沪教版(上海)七年级上册数学 9.6 整式的加减 同步练习(含答案)
- 格式:doc
- 大小:241.50 KB
- 文档页数:5
整式整章复习一、知识梳理:现实世界、其他学科、数学中的问题情境①整式的加减②幂整式及其运算解决问题二、知识要点:1、代数式、单项式、多项式、单项式的次数、多项式的次数、整式、同类项 1.单项式(1)单项式的概念:数与字母的积这样的代数式叫做单项式,单独一个数或一个字母也是单项式。
注意:数与字母之间是乘积关系。
(2)单项式的系数:单项式中的字母因数叫做单项式的系数。
如果一个单项式,只含有字母因数,是正数的单项式系数为1,是负数的单项式系数为—1。
(3)单项式的次数:一个单项式中,所有字母的指数的和叫做这个单项式的次数。
2.多项式(1)多项式的概念:几个单项式的和叫做多项式。
在多项式中,每个单项式叫做多项式的项,其中不含字母的项叫做常数项。
一个多项式有几项就叫做几项式。
多项式中的符号,看作各项的性质符号。
(2)多项式的次数:多项式中,次数最高的项的次数,就是这个多项式的次数。
(3)多项式的排列:1.把一个多项式按某一个字母的指数从大到小的顺序排列起来,叫做把多项式按这个字母降幂排列。
2.把一个多项式按某一个字母的指数从小到大的顺序排列起来,叫做把多项式按这个字母升幂排列。
由于多项式是几个单项式的和,所以可以用加法的运算定律,来交换各项的位置,而保持原多项式的值不变。
3.整式:单项式和多项式统称为整式。
4.同类项的概念:所含字母相同,并且相同字母的次数也相同的项叫做同类项,几个常数项也叫同类项。
2、整式的加减(合并同类项)合并同类项:1.合并同类项的概念:把多项式中的同类项合并成一项叫做合并同类项。
2.合并同类项的法则:同类项的系数相加,所得结果作为系数,字母和字母的指数不变。
3.合并同类项步骤:⑴.准确的找出同类项。
⑵.逆用分配律,把同类项的系数加在一起(用小括号),字母和字母的指数不变。
⑶.写出合并后的结果。
在掌握合并同类项时注意:1.如果两个同类项的系数互为相反数,合并同类项后,结果为0.2.不要漏掉不能合并的项。
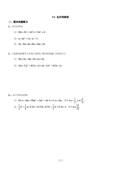
、课本稳固练习以下说法正确的选项是〔 2 xA.单项式一的系数是32、4、7、9.6 整式的加减3 2 4B.单项式;ab的指数是7C. 1是单项式x多项式3x2y3 2x3y2最高次项的系数0.5y 3x是D.单项式可能不含有字母项式,关于字母y的最高次数项是,把多项式按x的降哥排列单项式1x4y3的次数与多项式a228a m 1b a2b2的次数相同,求m的值.假设A和B都是五次多项式,那么A. A B 一定是多项式C. A B是次数不高于LI *右m、n都是自然数,多项式同时都含有字母A. 1廿 c 2m 2 2 人3 m右2a b与-a4 单项式1a2n1b4与A.无法计算11、5的整式m 2na bB. 2nb、c ,且系数为B. 33b n3是同类项,那么2m 8m3a b是同类项,假设3x m 5y2与x3y n的和是单项式,卜列各式中去括号正确的选项是a22a b2B. 2x yC. 2x22x2D.12、A 2x2B.D .B 一定是单项式B是次数不低于5的整式2m 2n的次数是〔C. m1的7次单项式共有〔C. 15那么(1)2a b22x3x2 23xy 2y , B 2x xy)2n〕个.D.D. 362n中较大的数、100 ,▲、102n) (1 m) (C. 4D.4a21 3a一 2 ——3y ,求A (B 2A)二、根底过关、,一 , ab 2c 4 一一,,1 ,,,一,一 ,2 22 一—一,一 1. 单项式 --------- 的系数是, 次数是,多项式3xy 8x y 9的最局次项 3为.2 2 . 2 22 3a 2b 与a 2b 的差是.3 .a 3b m x n 1y 3m t a t s b n 1 x 2m 5y s n 的化简结果是单项式,那么 mnst () A. 0 B, 30 C. 60 D. 904 .单项式2x b y c 与单项式1x m 2 y 2n 1的差是ax n 3 y m 1 ,那么abc . 3 25 .… 3,代数式2(a b) 4(a b)的值为 ___________________________________ .a b a b 3(a b) 6 .当 x 1,时 ax 5 bx 3 cx 1 3,当 x 1,时 ax 5 bx 3 cx 1 .7 .当x 2时,代数式ax 3 bx 1的值为6,那么当x 2时,代数式 ax 3 bx 1的值是多少?13、 假设a 是绝对值等于4的有理数,b 是倒数等于 2的有理数.求代数式 3a 2b 2a 2b 2ab 2 4a ab 的值. 14、 a 、b 、c 满足: 求多项式a 2b ,. 2 ⑴ 5 a 3 2 b 22 a b 2abc a c 2 0 ;⑵1x 2 a y 1 b c 是7次单项式;33a 2b 4a 2c abc 的值.次多项式.2.某多项式与 3x 2+6x+5的差是4x 2+7x — 6,求此多项式12.:A 3x m y m , B 2y m x m , C 5x m 7y m .求:1)A -B -C 2)2A -3C 8 . 2 a 2b 3ab 2 4 ab 2 3a 2b 2 2 ...1 . 1 a b 2ab ,其中 a = — — , b=—2 3 9 . A x 2 x 2, B x 2 1 x ,求(1) A+ B, (2) 2A — 3B10 .假设代数式 2x 2 ax y 6 2bx 2 3x 5y 1的值与字母x 的取值无关,求代数式 -a 2 2b 224ab 的值. P 关于x 的三次三项式,Q 是关于x 的五次三项式,那么P+Q 是关于x 的——次多项式,P-Q TH14. xy=-2,x+y=3 求代数式 3xy+10y 5x 2xy 2y 3x 的值15.有两个多项式: A 2a 2 4a 1, B 2a 2 2a 3,当a 取任意有理数时,能比拟 A 与B 的大小吗?16. A=a 2+b 2-c 2,B=-4a 2+2b 2+3c 2,且 A+B+C=0,求 C .一, 、心一._ 2 . 2 I17、:m, x, y 满足(1) 一(x 5) 5 m 3 1:2x 2 6y 2 m(xy 9y 2) (3x 2 3xy 7y 2)的值.3 2 2 3 23 19、试说明:不管x 取何值代数式(x 5x 4x 3) ( x 2x 3x 1) (4 7x 6x x )的值是不会改变的.0;2a 2b y 1与7b 3a 2是同类项,求代数式 2 . 2 2 18、:A= 4x 4xy y , B= x 2xy 5y ,求(3A-2B ) — ( 2A+B )的值.b个正整数之20、对正整数a, b, aA b等于由a开始的的连续和,如: 2 A3=2+3+4,又如:5 A 4=5+6+7+8=26.假设1 Ax=15,求x.221 " 〞是新规定的这样一种运算法那么: a b a2 2ab比方3 ( 2) 322 3 ( 2) 3①试求2 1的值;②假设2 x 2,求x的值;③假设(一2) (1 x) = x+9,求x的值.22、化简(1) 7 3x 4x2 4x 8x2 15 ⑵⑶ 8x23x 2x2 7x 5 3 4x23、先化简,后求值;222 2a29b3 4a2b2)假设0,求3a2b 2ab2 2 ab 1.5a2b ab 3ab2的值;(3) 2x12x 3y 2x 3y65—2x33y ,其中x 2, y 1.。
七年级上册《数学》整式的加减练习题2.1 第1课时单项式一、能力提升1.下列结论正确的是()A.a是单项式,它的次数是0,系数为1B.π不是单项式C.是一次单项式D.-是6次单项式,它的系数是-2.已知是8次单项式,则m的值是()A.4B.3C.2D.13.3×105xy的系数是,次数是.4.下列式子:①ab;②-;③;④-a2+a;⑤-1;⑥a-,其中是单项式的是.(填序号)5.写出一个含有字母x,y的五次单项式:.6.观察下面的单项式:a,2a2,4a3,8a4,…,根据你发现的规律,第8个式子是.7.某学校到文体商店买篮球,篮球单价为a元,买10个以上(包括10个)按8折优惠.用单项式填空:(1)购买9个篮球应付款元;(2)购买m(m≥10)个篮球应付款元.8.若单项式(k-3)x|k|y2是五次单项式,则k=.9.观察下列各数,用含n的单项式表示第n个数.-2,-4,-6,-8,-10,…,.二、创新应用10.观察下列单项式:-x,3x2,-5x3,7x4,…,-37x19,39x20,…,回答下列问题:(1)这组单项式的系数的规律是什么?(2)这组单项式的次数的规律是什么?(3)根据上面的归纳,你可以猜想出第n个单项式是什么吗?(4)请你根据猜想,写出第2020,2021个单项式.答案一、能力提升1.D a是单项式,次数、系数均为1,所以A错;因为π是单独的一个数,所以π是单项式,所以B错;的分母中含有字母,无法写成数字与字母的积,所以不是单项式,所以C错;对于D项,它的系数为-,次数为2+3+1=6,所以D正确.2.C由单项式的次数的定义,得2m+3+1=8,将A,B,C,D四选项分别代入验证知C为正确答案.3.3×105;2.4.①②⑤.5.-x4y(答案不唯一).6.128a8.7.(1)9a.(2)0.8ma.8.-3;由题意,得|k|+2=5,且k≠3,解得k=-3.9.-2n;-2,-4,-6,-8,-10,这些数都是负数,且都是偶数,因此第n个数为-2n.二、创新应用10.解:(1)这组单项式的系数的符号规律是(-1)n,系数的绝对值规律是2n-1,故系数的规律是(-1)n(2n-1).(2)次数即x的指数的规律是从1开始的连续自然数.(3)第n个单项式是(-1)n(2n-1)x n.(4)第2020个单项式是4039x2020,第2021个单项式是-4041x2021.2.1 第2课时多项式一、能力提升1.下列说法正确的是()A.多项式ax2+bx+c是二次多项式B.四次多项式是指多项式中各项均为四次单项式C.-ab2,-x都是单项式,也都是整式D.-4a2b,3ab,5是多项式-4a2b+3ab-5中的项2.如果一个多项式是五次多项式,那么它任何一项的次数()A.都小于5B.都等于5C.都不小于5D.都不大于53.一组按规律排列的多项式:a+b,a2-b3,a3+b5,a4-b7,……其中第10个式子是()A.a10+b19B.a10-b19C.a10-b17D.a10-b214.若x n-2+x3+1是五次多项式,则n的值是()A.3B.5C.7D.05.-3x2y-2x2y2+xy-4的最高次项为.6.若一个关于a的二次三项式的二次项系数为2,常数项和一次项系数都是-3,则这个二次三项式为.7.多项式的二次项系数是.8.如图(1)(2),某餐桌桌面可由圆形折叠成正方形(图中阴影部分表示可折叠部分).已知折叠前圆形桌面的直径为am,折叠成正方形后其边长为bm.如果一块正方形桌布的边长为am,并按图(3)所示把它铺在折叠前的圆形桌面上,那么桌布垂下部分的面积是多少?如果按图(4)方式把这块桌布铺在折叠后的正方形桌面上呢?并求当a=2,b=1.4时它们的面积大小(π取3.14).9.四人做传数游戏,甲任取一个数传给乙,乙把这个数加1传给丙,丙再把所得的数平方后传给丁,丁把所得的数减1报出答案,设甲任取的一个数为a.(1)请把游戏最后丁所报出的答案用整式的形式描述出来;(2)若甲取的数为19,则丁报出的答案是多少?二、创新应用10.如图,观察点阵图形和与之对应的等式,探究其中的规律:(1)请在④和⑤后面的横线上分别写出相应的等式:(2)通过猜想,写出与第n个图形相对应的等式.答案一、能力提升1.C.2.D;多项式的次数指的是次数最高项的次数,故一个五次多项式次数最高项的次数为5.3.B;根据多项式排列的规律,字母a的指数是按1,2,3,…的正整数排列,故第10个式子应为a10.字母b的指数是按1,3,5,7,…的奇数排列,故第10个式子应为b19.中间的符号第1个式子是正,第2个式子是负,这样正、负相间,故第10个式子应为a10-b19.4.C;由题意,得n-2=5,解得n=7.5.-2x2y2;6.2a2-3a-3.7.=-,二次项为,故二次项系数为.8.解:m2;(a2-b2)m2;2.04m2.当a=2,b=1.4时,a2-a2=22-×22=4-3.14=0.86(m2),a2-b2=22-1.42=2.04(m2).9.解:(1)由甲传给乙变为a+1;由乙传给丙变为(a+1)2;由丙传给丁变为(a+1)2-1.故丁所报出的答案为(a+1)2-1.(2)由(1)知,代入a=19,得399.二、创新应用10.解:(1)④4×3+1=4×4-3.⑤4×4+1=4×5-3.(2)4(n-1)+1=4n-3.2.2 第1课时合并同类项一、能力提升1.下列各组式子为同类项的是()A.x2y与-xy2B.0.5a2b与0.5a2cC.3b与3abcD.-0.1m2n与nm22.若-2a m b2m+n与5a n+2b2m+n可以合并成一项,则m-n的值是()A.2B.0C.-1D.13.若x a+2y4与-3x3y2b是同类项,则(a-b)2021的值是()A.-2021B.1C.-1D.20214.已知a=-2021,b=,则多项式3a2+2ab-a2-3ab-2a2的值为()A.1B.-1C.2021D.-5.若2x2y m与-3x n y3的和是一个单项式,则m+n=.6.若关于字母x的整式-3x2+mx+nx2-x+3的值与x的值无关,则m=,n=.7.把(x-y)和(x+y)各看作一个字母因式,合并同类项3(x+y)2-(x-y)+2(x+y)2+(x-y)-5(x+y)2=.8.合并下列各式的同类项:(1)-2x2-8y2+4y2-5x2-5x+5x-6xy;(2)3x2y-4xy2-3+5x2y+2xy2+5.9.已知-2a m bc2与4a3b n c2是同类项,求多项式3m2n-2mn2-m2n+mn2的值.10.先合并同类项,再求值:(1)7x2-3+2x-6x2-5x+8,其中x=-2;(2)3x-4x3+7-3x+2x3+1,其中x=-2.二、创新应用11.有这样一道题:“当a=0.35,b=-0.28时,求多项式7a3-6a3b+3a2b+3a3+6a3b-3a2b-10a3的值.”有一名同学指出,题目中给出的条件“a=0.35,b=-0.28”是多余的,他的说法有没有道理?为什么?答案一、能力提升1.D2.A;∵-2a m b2m+n与5a n+2b2m+n可以合并成一项,∴m=n+2,则m-n=2.故选A.3.C;由同类项的定义,得a+2=3,2b=4,解得a=1,b=2.所以(a-b)2021=(1-2)2021=(-1)2021=-1.4.A;把多项式合并同类项,得原式=-ab,当a=-2021,b=时,原式=1.5.5;2x2y m与-3x n y3的和是一个单项式,说明2x2y m与-3x n y3是同类项,即m=3,n=2,故m+n=5.6.1;3;算式的值与x的值无关,说明合并同类项后,所有含x项的系数均为0.-3x2+mx+nx2-x+3=(-3+n)x2+(m-1)x+3,则m=1,n=3.7.0.8.解:(1)-2x2-8y2+4y2-5x2-5x+5x-6xy=(-2-5)x2+(-8+4)y2+(-5+5)x-6xy=-7x2-4y2-6xy.(2)3x2y-4xy2-3+5x2y+2xy2+5=(3+5)x2y+(-4+2)xy2+(-3+5)=8x2y-2xy2+2.9.解:由同类项定义,得m=3,n=1.3m2n-2mn2-m2n+mn2=(3-1)m2n+(-2+1)mn2=2m2n-mn2.当m=3,n=1时,原式=2×32×1-3×12=18-3=15.10.解:(1)原式=(7-6)x2+(2-5)x+(8-3)=x2-3x+5,当x=-2时,原式=(-2)2-3×(-2)+5=15.(2)原式=-2x3+8,当x=-2时,原式=-2×(-2)3+8=24.二、创新应用11.解:他的说法有道理.因为原式=(7+3-10)a3+(-6+6)a3b+(3-3)a2b=0,所以原式的值与a,b的值无关.即题目中给出的条件“a=0.35,b=-0.28”是多余的.2.2 第2课时去括号一、能力提升1.三角形的第一条边长是(a+b),第二条边比第一条边长(a+2),第三条边比第二条边短3,这个三角形的周长为()A.5a+3bB.5a+3b+1C.5a-3b+1D.5a+3b-12.如果a-3b=-3,那么5-a+3b的值是()A.0B.2C.5D.83.今天数学课上,老师讲了多项式的加减,放学后,小明回到家拿出课堂笔记复习老师课上讲的内容,他突然发现一道题:(x2+3xy)-(2x2+4xy)=-x2【】.【】处被钢笔水弄污了,则此处中的一项是()A.-7xyB.7xyC.-xyD.xy4.化简(3x2+4x-1)+(-3x2+9x)的结果为.5.若一个多项式加上(-2x-x2)得到(x2-1),则这个多项式是.6.已知a-b=3,c+d=2,则(b+c)-(a-d)的值为.7.某轮船顺水航行了5h,逆水航行了3h,已知船在静水中的速度为akm/h,水流速度为bkm/h,则轮船顺水航行的路程比逆水航行的路程多.8.先化简,再求值:(1)(x2-y2)-4(2x2-3y2),其中x=-3,y=2;(2)a-2[3a+b-2(a+b)],其中a=-21,b=1000.9.已知A=2x2+3xy-2x-1,B=-x2+kxy-1,且A+B的值与y无关,求k的值.10.观察下列各式:①-a+b=-(a-b);②2-3x=-(3x-2);③5x+30=5(x+6);④-x-6=-(x+6).探索以上四个式子内的括号的变化情况,思考它和去括号法则有什么不同?利用你探索出来的规律,解答下面的题目:已知a2+b2=5,1-b=-2,求-1+a2+b+b2的值.二、创新应用11.有理数a,b,c在数轴上的位置如图所示,试化简|a-b|-|c-a|+|b-c|-|a|.答案一、能力提升1.B;三角形的周长为a+b+(a+b+a+2)+(a+b+a+2-3)=a+b+a+b+a+2+a+b+a+2-3=5a+3b+1.2.D;由a-3b=-3,得-(a-3b)=3,即-a+3b=3.因此5-a+3b=5+3=8.3.C.4.13x-1;(3x2+4x-1)+(-3x2+9x)=3x2+4x-1-3x2+9x=13x-1.5.2x2+2x-1;(x2-1)-(-2x-x2)=x2-1+2x+x2=2x2+2x-1.6.-1;由a-b=3,可得a-b的相反数为-3,即-(a-b)=-3,即-a+b=-3,因此(b+c)-(a-d)=b+c-a+d=(-a+b)+(c+d)=-3+2=-1.7.(2a+8b)km轮船在顺水中航行了5(a+b)km,在逆水中航行了3(a-b)km,因此轮船顺水航行的路程比逆水航行的路程多5(a+b)-3(a-b)=5a+5b-3a+3b=(2a+8b)km.8.解:(1)原式=-x2+y2.当x=-3,y=2时,原式=-.(2)原式=2b-a.当a=-21,b=1000时,原式=2021.解:A+B=(2x2+3xy-2x-1)+(-x2+kxy-1)=2x2+3xy-2x-1-x2+kxy-1=x2+(3+k) xy-2x-2.因为A+B的值与y无关,所以3+k=0,解得k=-3.10.解:因为a2+b2=5,1-b=-2,所以-1+a2+b+b2=-(1-b)+(a2+b2)=-(-2)+5=7.二、创新应用11.解:由题意知a-b<0,c-a>0,b-c<0,a<0,因此原式=-(a-b)-(c-a)-(b-c)-(-a)=-a+b-c+a-b+c+a=a.2.3 第3课时整式的加减一、能力提升1.已知一个多项式与3x2+9x的和等于3x2+4x-1,则这个多项式是()A.-5x-1B.5x+1C.-13x-1D.13x+12.化简-3x-的结果是()A.-16x+B.-16x+C.-16x-D.10x+3.如图①,将一个边长为a的正方形纸片剪去两个小长方形,得到一个“”图案,如图②所示,再将剪下的两个小长方形拼成一个新的长方形,如图③所示,则新长方形的周长可表示为()A.2a-3bB.4a-8bC.2a-4bD.4a-10b4.小明在复习课堂笔记时,发现一道题:=-x2-xy+y2,括号处被钢笔弄污了,则括号处的这一项是()A.y2B.3y2C.-y2D.-3y25.已知a3-a-1=0,则a3-a+2020=.6.多项式(4xy-3x2-xy+x2+y2)-(3xy-2x2+2y2)的值与无关.(填“x”或“y”)7.若a2+ab=8,ab+b2=9,则a2-b2的值是.8.若2x-y=1,则(x2+2x)-(x2+y-1)=.9.先化简,再求值:2(a2b+ab2)-(2ab2-1+a2b)-2,其中a=-,b=-2.10.计算:(1)3(a2-4a+3)-5(5a2-a+2);(2)3x2-.11.规定一种新运算:a*b=a+b,求当a=5,b=3时,(a2b)*(3ab)+5a2b-4ab的值.二、创新应用12.扑克牌游戏.小明背对小亮,让小亮按下列四个步骤操作:第一步:分发左、中、右三堆牌,每堆牌不少于两张,且各堆牌现有的张数相同;第二步:从左边一堆拿出两张,放入中间一堆;第三步:从右边一堆拿出一张,放入中间一堆;第四步:左边一堆有几张牌,就从中间一堆拿几张牌放入左边一堆.这时,小明准确地说出了中间一堆牌现有的张数.你认为中间一堆牌现有的张数是多少?并说明你的理由.13.小黄做一道题“已知两个多项式A,B,计算A-B”.小黄误将A-B看作A+B,求得结果是9x2-2x+7.若B=x2+3x-2,请你帮助小黄求出A-B的正确答案.答案一、能力提升1.A;由题意,得(3x2+4x-1)-(3x2+9x)=3x2+4x-1-3x2-9x=-5x-1.2.B.3.B;所得新长方形的长为a-b,宽为a-3b,则其周长为2[(a-b)+(a-3b)]=2(2a-4b)=4a-8b.4.C;=-x2+3xy-y2+x2-4xy-()=-x2-xy-y2-()=-x2-xy+y2,故括号处的这一项应是-y2.5.2021;由a3-a-1=0,得a3-a=1,整体代入得a3-a+2020=1+2020=2021.6.x;因为(4xy-3x2-xy+x2+y2)-(3xy-2x2+2y2)=4xy-3x2-xy+x2+y2-3xy+2x2-2y2=-y2, 所以多项式的值与x无关.7.-1;a2+ab-(ab+b2)=a2+ab-ab-b2=a2-b2=8-9=-1.8.2;当2x-y=1时,(x2+2x)-(x2+y-1)=x2+2x-x2-y+1=2x-y+1=1+1=2.故答案为2.9.解:原式=2a2b+2ab2-2ab2+1-a2b-2=a2b-1,当a=-,b=-2时,原式=×(-2)-1=×(-2)-1=--1=-.10.解:(1)3(a2-4a+3)-5(5a2-a+2)=3a2-12a+9-25a2+5a-10=-22a2-7a-1.(2)3x2-=3x2-5x+x-3-2x2=x2-x-3.11.解:原式=a2b+3ab+5a2b-4ab=(1+5)a2b+(3-4)ab=6a2b-ab.当a=5,b=3时,原式=6×52×3-5×3=450-15=435.二、创新应用12.解:设第一步每堆各有x张牌;第二步左边有(x-2)张牌,中间有(x+2)张牌,右边有x张牌;第三步左边有(x-2)张牌,中间有x+2+1=x+3张牌,右边有(x-1)张牌;第四步中间有x+3-(x-2)=x+3-x+2=5张牌,因此中间一堆牌现有的张数是5.13.解:因为A+B=9x2-2x+7,B=x2+3x-2,所以A=9x2-2x+7-(x2+3x-2)=9x2-2x+7-x2-3x+2=8x2-5x+9,所以A-B=8x2-5x+9-(x2+3x-2) =8x2-5x+9-x2-3x+2=7x2-8x+11.。
一、选择题1.把有理数a 代入|a +4|﹣10得到a 1,称为第一次操作,再将a 1作为a 的值代入得到a 2,称为第二次操作,…,若a =23,经过第2020次操作后得到的是( ) A .﹣7 B .﹣1 C .5 D .112.如图,下列各三角形中的三个数之间均具有相同的规律,根据此规律,最后一个三角形中y 与n 之间的关系是()A .y=2n+1B .y=2n +nC .y=2n+1+nD .y=2n +n+1 3.已知2a ﹣b =3,则代数式3b ﹣6a+5的值为( ) A .﹣4B .﹣5C .﹣6D .﹣7 4.已知一个多项式与3x 2+9x 的和等于5x 2+4x ﹣1,则这个多项式是( ) A .2x 2﹣5x ﹣1B .﹣2x 2+5x+1C .8x 2﹣5x+1D .8x 2+13x ﹣1 5.下列计算正确的是( ) A .﹣1﹣1=0B .2(a ﹣3b )=2a ﹣3bC .a 3﹣a=a 2D .﹣32=﹣96.如图,a ,b 在数轴上的位置如图所示:,那么||||a b a b -++的结果是( )A .2b -B .2bC .2a -D .2a7.已知有理数1a ≠,我们把11a-称为a 的差倒数,如:2的差倒数是1112=--,1-的差倒数是()11112=--.如果12a =-,2a 是1a 的差倒数,3a 是2a 的差倒数,4a 是3a 的差倒数…依此类推,那么2020a 的值是( )A .2-B .13C .23D .328.下列变形中,正确的是( )A .()x z y x z y --=--B .如果22x y -=-,那么x y =C .()x y z x y z -+=+-D .如果||||x y =,那么x y = 9.若关于x 的多项式6x 2﹣7x +2mx 2+3不含x 的二次项,则m =( )A .2B .﹣2C .3D .﹣3 10.把一个大正方形和四个相同的小正方形按图①、②两种方式摆放,则大正方形的周长与小正方形的周长的差是( )A .2+a bB .+a bC .3a b +D .3a b + 11.下列同类项合并正确的是( )A .x 3+x 2=x 5B .2x ﹣3x =﹣1C .﹣a 2﹣2a 2=﹣a 2D .﹣y 3x 2+2x 2y 3=x 2y 3 12.古希腊著名的毕达哥拉斯学派把1,3,6,10…这样的数称为“三角形数”,而把1,4,9,16…这样的数称为“正方形数”.从图中可以发现,任何一个大于1的“正方形数”都可以看作两个相邻“三角形数”之和.下列等式中,符合这一规律的是( )A .13=3+10B .25=9+16C .36=15+21D .49=18+31 13.已知多项式()210m xm x +--是二次三项式,m 为常数,则m 的值为( ) A .2-B .2C .2±D .3± 14.在3a ,x+1,-2,3b -,0.72xy ,2π,314x -中单项式的个数有( ) A .2个B .8个C .4个D .5个 15.小明乘公共汽车到白鹿原玩,小明上车时,发现车上已有(6a ﹣2b )人,车到中途时,有一半人下车,但又上来若干人,这时车上共有(10a ﹣6b )人,则中途上车的人数为( )A .16a ﹣8bB .7a ﹣5bC .4a ﹣4bD .7a ﹣7b二、填空题16.如果多项式32242(176)x x kx x +-+-中不含2x 的项,则k 的值为__.17.在一列数a 1,a 2,a 3,a 4,…a n 中,已知a 1=2,a 2111a =-,a 3211a =-,a 4311a =-,…a n n 111a -=-,则a 2020=___. 18.已知等式:2222233+=⨯,233 3388+=⨯,244 441515+=⨯,…,2a a 1010b b+=⨯(a ,b 均为正整数),则 a b += ___. 19.已知整数a 1,a 2,a 3,a 4…满足下列条件:a 1=0,a 2=﹣|a 1+1|,a 3=﹣|a 2+2|,a 4=﹣|a 3+3|,…,依此类推,则a 2016的值为_______.20.与22m m +-的和是22m m -的多项式为__________.21.求值:(1)()()22232223a a a a a -++-=______,其中2a =-;(2)()()222291257127a ab ba ab b -+-++=______,其中12a =,12b =-; (3)()()222222122a b aba b ab +----=______,其中2a =-,2b =.22.列式表示:(1)三个连续整数的中间一个是n ,用代数式表示它们三个数的和为______;(2)三个连续奇数的中间一个是n ,其他两个数用代数式表示为______;(3)设n 表示任意一个整数,试用含n 的式子表示不能被3整除的数为______.23.图中阴影部分的面积为______.24.在整式:32x y -,98b -,336b y -,0.2,57mn n --,26a b +-中,有_____个单项式,_____个多项式,多项式分别是_______.25.某市出租车的收费标准为:3km 以内为起步价10元,3km 后每千米收费1.8元,某人乘坐出租车()km 3x x >,则应付费______元.26.观察单项式:x -,22x ,33x -,44x ,…,1919x -,2020x , …,则第2019个单项式为______.三、解答题27.若1+2+3+…+n=m ,求(ab n )•(a 2b n ﹣1)…(a n ﹣1b 2)•(a n b )的值.28.父母带着孩子(一家三口)去旅游,甲旅行社报价大人为a 元,小孩为a 2元;乙旅行社报价大人、小孩均为a 元,但三人都按报价的90%收费,则乙旅行社收费比甲旅行社贵多少元?(结果用含a 的代数式表示)29.国庆期间,广场上设置了一个庆祝国庆70周年的造型(如图所示).造型平面呈轴对称,其正中间为一个半径为b 的半圆,摆放花草,其余部分为展板.求:(1)展板的面积是 .(用含a ,b 的代数式表示)(2)若a =0.5米,b =2米,求展板的面积.(3)在(2)的条件下,已知摆放花草部分造价为450元/平方米,展板部分造价为80元/平方米,求制作整个造型的造价(π取3).30.观察下列等式:21=2,22=4,23=8,24=16,25=32,26=64,27=128,…,通过观察,用你所发现的规律确定22017的个位数字.。
1.在代数式a2+1,﹣3,x2﹣2x,π,1x中,是整式的有()A.2个B.3个C.4个D.5个C 解析:C【分析】单项式和多项式统称为整式,分母中含有字母的不是整式.【详解】解:a2+1和 x2﹣2x是多项式,-3和π是单项式,1x不是整式,∵单项式和多项式统称为整式,∴整式有4个.故选择C.【点睛】本题考查了整式的定义.2.下面用数学语言叙述代数式1a﹣b,其中表达正确的是()A.a与b差的倒数B.b与a的倒数的差C.a的倒数与b的差D.1除以a与b的差C 解析:C【分析】根据代数式的意义,可得答案.【详解】用数学语言叙述代数式1a﹣b为a的倒数与b的差,故选:C.【点睛】此题考查了代数式,解决问题的关键是结合实际,根据代数式的特点解答.3.某公司今年2月份的利润为x万元,3月份比2月份减少8%,4月份比3月份增加了10%,则该公司4月份的利润为(单位:万元)()A.(x﹣8%)(x+10%)B.(x﹣8%+10%)C.(1﹣8%+10%)x D.(1﹣8%)(1+10%)x D解析:D【分析】首先利用减小率的意义表示出3月份的利润,然后利用增长率的意义表示出4月份的利润.【详解】解:由题意得3月份的产值为(1﹣8%)x,4月份的产值为(1﹣8%)(1+10%)x.故选:D.【点睛】本题考查了列代数式,正确理解增长率以及下降率的定义是关键.4.如图,下列各三角形中的三个数之间均具有相同的规律,根据此规律,最后一个三角形中y与n之间的关系是()A.y=2n+1 B.y=2n+n C.y=2n+1+n D.y=2n+n+1B解析:B【详解】∵观察可知:左边三角形的数字规律为:1,2,…,n,右边三角形的数字规律为:2,22,…,2n,n+,下边三角形的数字规律为:1+2,2+, (2)22∴最后一个三角形中y与n之间的关系式是y=2n+n.故选B.【点睛】考点:规律型:数字的变化类.5.有一组单项式如下:﹣2x,3x2,﹣4x3,5x4……,则第100个单项式是()A.100x100B.﹣100x100C.101x100D.﹣101x100C解析:C【分析】由单项式的系数,字母x的指数与序数的关系求出第100个单项式为101x100.【详解】由﹣2x,3x2,﹣4x3,5x4……得,单项式的系数的绝对值为序数加1,系数的正负为(﹣1)n,字母的指数为n,∴第100个单项式为(﹣1)100(100+1)x100=101x100,故选C.【点睛】本题综合考查单项式的概念,乘方的意义,数字变化规律与序数的关系等相关知识点,重点掌握数字的变化与序数的关系.6.如图,用若干大小相同的黑白两种颜色的长方形瓷砖,按下列规律铺成一列图案,则第7个图案中黑色瓷砖的个数是()A.19 B.20 C.21 D.22D解析:D【分析】观察图形,发现:黑色纸片在4的基础上,依次多3个;根据其中的规律,用字母表示即可.【详解】第个图案中有黑色纸片3×1+1=4张第2个图案中有黑色纸片3×2+1=7张,第3图案中有黑色纸片3×3+1=10张,…第n个图案中有黑色纸片=3n+1张.当n=7时,3n+1=3×7+1=22.故选D.【点睛】此题考查规律型:图形的变化类,解题关键在于观察图形找到规律.7.下列计算正确的是()A.﹣1﹣1=0 B.2(a﹣3b)=2a﹣3b C.a3﹣a=a2D.﹣32=﹣9D解析:D【分析】根据有理数的减法、去括号、同底数幂的乘方即可解答.【详解】解:A.﹣1﹣1=﹣2,故本选项错误;B.2(a﹣3b)=2a﹣6b,故本选项错误;C.a3÷a=a2,故本选项错误;D.﹣32=﹣9,正确;故选:D.【点睛】本题考查了去括号和简单的提取公因式,掌握去括号时符号改变规律是解决此题的关键. 8.化简2a-[3b-5a-(2a-7b)]的值为()A.9a-10b B.5a+4bC.-a-4b D.-7a+10b A解析:A【解析】2a-[3b-5a-(2a-7b)]=2a-(3b-5a-2a+7b)=2a-(10b-7a)=2a-10b+7a=9a-10b,故选A.【点睛】本题考查去括号,合并同类项,解题的关键是按运算的顺序先去括号,然后再进行合并同类项.9.下列去括号正确的是()A.112222x y x y⎛⎫=⎭-⎪⎝---B.()12122x y x y++=+-C .()16433232x y x y --+=-++ D .()22x y z x y z +-+=-+ D 解析:D【分析】 根据整式混合运算法则和去括号的法则计算各项即可. 【详解】 A. 112222x y x y ⎛⎫ =⎭-⎪⎝--+,错误; B. ()12122x y x y ++=++,错误; C. ()136433222x y x y --+=-+-,错误; D. ()22x y z x y z +-+=-+,正确;故答案为:D .【点睛】本题考查了整式的混合运算,掌握整式混合运算法则和去括号的法则是解题的关键. 10.下列式子:222,32,,4,,,22ab x yz ab c a b xy y m x π+---,其中是多项式的有( ) A .2个B .3个C .4个D .5个A解析:A【分析】几个单项式的和叫做多项式,结合各式进行判断即可.【详解】 22a b ,3,2ab ,4,m -都是单项式; 2x yz x+分母含有字母,不是整式,不是多项式; 根据多项式的定义,232ab c xy y π--,是多项式,共有2个.故选:A .【点睛】本题考查了多项式,解答本题的关键是理解多项式的定义.注意:几个单项式的和叫做多项式.11.下列变形中,正确的是( )A .()x z y x z y --=--B .如果22x y -=-,那么x y =C .()x y z x y z -+=+-D .如果||||x y =,那么x y = B 解析:B【分析】根据去括号法则、等式的基本性质以及绝对值的性质逐一判断即可.A :()x z y x z y --=-+,选项错误;B :如果22x y -=-,那么x y =,选项正确;C :()x y z x y z -+=--,选项错误;D :如果||||x y =,那么x 与y 互为相反数或二者相等,选项错误;故选:B.【点睛】本题主要考查了去括号法则、等式的基本性质与绝对值性质,熟练掌握相关概念是解题关键.12.已知 2x 6y 2和﹣3x 3m y n 是同类项,则9m 2﹣5mn ﹣17的值是( )A .﹣1B .﹣2C .﹣3D .﹣4A 解析:A【分析】根据同类项是字母相同且相同字母的指数也相同,可得m ,n 的值,根据代数式求值,可得答案.【详解】由题意,得3m =6,n =2.解得m =2,n =2.9m 2﹣5mn ﹣17=9×4﹣5×2×2﹣17=﹣1,故选:A .【点睛】本题考查同类项的定义,同类项定义中的两个“相同”:所含字母相同;相同字母的指数相同,是易混点,还有注意同类项定义中隐含的两个“无关”:①与字母的顺序无关;②与系数无关.13.若关于x ,y 的多项式2237654x y mxy xy -++化简后不含二次项,则m =( ) A .17 B .67 C .-67D .0B 解析:B【分析】将原式合并同类项,可得知二次项系数为6-7m ,令其等于0,即可解决问题.【详解】解:∵原式=()2236754x y m xy +-+, ∵不含二次项,∴6﹣7m =0, 解得m =67. 故选:B .本题考查了多项式的系数,解题的关键是若不含二次项,则二次项系数6-7m=0. 14.已知m ,n 是不相等的自然数,则多项式2m n m n x x +-+的次数是( )A .mB .nC .m n +D .m ,n 中较大者D 解析:D【分析】由于多项式中每个单项式叫做多项式的项,这些单项式中的最高次数,就是这个多项式的次数,因为m ,n 均为自然数,而2m n +是常数项,据此即可确定选择项.【详解】因为2m n +是常数项,所以多项式2m n m n x x +-+的次数应该是,m n x x 中指数大的,即m ,n 中较大的,故答案选D.【点睛】本题考查的是多项式的次数,解题关键是确定2m n +是常数项.15.有20个数排成一行,对于任意相邻的三个数,都有中间的数等于前后两数的和.如果第一个数是0,第二个数是2,这20个数的和是( )A .2B .﹣2C .0D .4A 解析:A【分析】根据题意可以写出这组数据的前几个数,从而发现数字的变化规律,再利用规律求解.【详解】解:由题意可得,这列数为:0,2,2,0,﹣2,﹣2,0,2,2,…,∴这20个数每6个为一循环,且前6个数的和是:0+2+2+0+(﹣2)+(﹣2)=0, ∵20÷6=3…2,∴这20个数的和是:0×3+(0+2)=2.故选:A .【点睛】本题考查了数字的变化规律,正确理解题意,发现题目中数字的变化规律:每6个数重复出现是解题的关键.1.如果一个多项式与另一多项式223m m -+的和是多项式231m m +-,则这个多项式是_________.【分析】根据题意列出算式利用整式的加减混合运算法则计算出结果【详解】解:设这个多项式为A 则A=(3m2+m-1)-(m2-2m+3)=3m2+m-1-m2+2m-3=2m2+3m-4故答案为2m2+解析:2234m m +-【分析】根据题意列出算式,利用整式的加减混合运算法则计算出结果.【详解】解:设这个多项式为A,则A=(3m 2+m-1)-(m 2-2m+3)=3m 2+m-1-m 2+2m-3=2m2+3m-4,故答案为2m2+3m-4.【点睛】本题考查了整式的加减运算,掌握整式的加减混合运算法则是解题的关键.2.某商店经销一种品牌的洗衣机,其中某一型号的洗衣机每台进价为a元,商店将进价提高20%后作为零售价进行销售,一段时间后,商店又以9折优惠价促销,这时该型号洗衣机的零售价为__元.08a【解析】试题分析:根据题意得:a•(1+20)×90=108a;故答案为108a考点:列代数式解析:08a【解析】试题分析:根据题意得:a•(1+20%)×90%=1.08a;故答案为1.08a.考点:列代数式.3.关于x的二次三项式的一次项的系数为5,二次项的系数是-3,常数项是-4.按照x的次数逐渐减小排列,这个二次三项式为____.-3x2+5x-4【分析】由于多项式是由单项式组成的而多项式的次数是多项式中次数最高的项的次数而关于x的二次三项式的二次项系数是-3一次项系数是5常数项是-4根据前面的定义即可确定这个二次三项式【详解析:-3x2+5x-4【分析】由于多项式是由单项式组成的,而多项式的次数是“多项式中次数最高的项的次数”,而关于x的二次三项式的二次项系数是-3,一次项系数是5,常数项是-4,根据前面的定义即可确定这个二次三项式.【详解】∵关于x的二次三项式,二次项系数是-3,∴二次项是-3x2,∵一次项系数是,∴一次项是5x,∵常数项是-4,∴这个二次三项式为:-3x2+5x-4.故答案为:-3x2+5x-4【点睛】本题考查了多项式的知识,多项式是由单项式组成的,本题首先要确定是由几个单项式组成,要记住常数项也是一项,单项式前面的符号也应带着.4.将代数式4a2b+3ab2﹣2b3+a3按a的升幂排列的是_____.﹣2b3+3ab2+4a2b+a3【分析】找出a的次数的高低后由低到高排列即可得出答案【详解】可得出﹣2b3+3ab2+4a2b+a3【点睛】本题考查了代数式中的次数熟悉掌握次数的概念和细心是解决本解析:﹣2b3+3ab2+4a2b+a3.【分析】找出a的次数的高低后,由低到高排列即可得出答案.【详解】可得出﹣2b3+3ab2+4a2b+a3.【点睛】本题考查了代数式中的次数,熟悉掌握次数的概念和细心是解决本题的关键.5.礼堂第一排有a个座位,后面每排都比第一排多1个座位,则第n排座位有________________.【分析】有第1排的座位数看第n排的座位数是在第1排座位数的基础上增加几个1即可【详解】解:∵第一排有个座位∴第2排的座位为a+1第3排的座位数为a+2…第n排座位有(a+n-1)个故答案为:(a+n解析:a n1+-【分析】有第1排的座位数,看第n排的座位数是在第1排座位数的基础上增加几个1即可.【详解】解:∵第一排有a个座位,∴第2排的座位为a+1,第3排的座位数为a+2,…第n排座位有(a+n-1)个.故答案为:(a+n-1).【点睛】考查列代数式;得到第n排的座位数与第1排座位数的关系式的规律是解决本题的关键.6.一列数a1,a2,a3…满足条件a1=12,a n=111na--(n≥2,且n为整数),则a2019=_____.-1【分析】依次计算出a2a3a4a5a6观察发现3次一个循环所以a2019=a3【详解】a1=a2==2a3==﹣1a4=a5==2a6==﹣1…观察发现3次一个循环∴2019÷3=673∴a20解析:-1【分析】依次计算出a2,a3,a4,a5,a6,观察发现3次一个循环,所以a2019=a3.【详解】a 1=12,a 2=111-2 =2,a 3=11-2 =﹣1,a 4=11=1--12(),a 5=111-2=2,a 6=11-2=﹣1… 观察发现,3次一个循环,∴2019÷3=673,∴a 2019=a 3=﹣1,故答案为﹣1.【点睛】本题考查了数字的规律变化,要求学生通过观察数字,分析、归纳并发现其中的规律,并应用规律解决问题是解题的关键.7.已知在没有标明原点的数轴上有四个点,且它们表示的数分别为a 、b 、c 、d .若|a ﹣c |=10,|a ﹣d |=12,|b ﹣d |=9,则|b ﹣c |=___.7【分析】根据数轴和题目中的式子可以求得c ﹣b 的值从而可以求得|b ﹣c|的值【详解】∵|a ﹣c|=10|a ﹣d|=12|b ﹣d|=9∴c ﹣a=10d ﹣a=12d ﹣b=9∴(c ﹣a )﹣(d ﹣a )+(d解析:7【分析】根据数轴和题目中的式子可以求得c ﹣b 的值,从而可以求得|b ﹣c |的值.【详解】∵|a ﹣c |=10,|a ﹣d |=12,|b ﹣d |=9,∴c ﹣a =10,d ﹣a =12,d ﹣b =9,∴(c ﹣a )﹣(d ﹣a )+(d ﹣b )=c ﹣a ﹣d +a +d ﹣b=c ﹣b=10﹣12+9=7.∵|b ﹣c |=c ﹣b ,∴|b ﹣c |=7.故答案为:7.【点睛】本题考查了数轴、绝对值以及整式的加减,解答本题的关键是明确数轴的特点,可以将绝对值符号去掉,求出相应的式子的值.8.仅当b =______,c =______时,325x y 与23b c x y 是同类项。
七年级数学上册各章节的沪科版同步练习题第一章有理数1. 下列数中,哪些是负数?- (-8)- 0- 5- (-3)- 22. 将下列数按从小到大的顺序排列:- (-4)- 0- 3- (-1)- 23. 计算下列各式的值:- (-5) + 3- (-2) - 7- (-6) × 4- (-12) ÷ (-3)- (-8) + (-2)第二章整式的加减1. 计算下列各式的值:- (-5) + (-3) + 2- (-8) - 3 - (-2)- 4 - (-7) - 3- (-2) × (-3) × 2- (-15) ÷ (-3) ÷ (-5)2. 求下列各式的值:- 3 - 5 + 2- 4 × (-2) × (-3)- (-12) ÷ 3 ÷ (-2)- (-7) - 3 + (-4)- (-5) × (-6) × 23. 判断下列等式是否成立:- (-2) + 5 = 5 + (-2)- 4 + 3 = 3 + 4- (-7) - 3 = 3 - (-7)- 2 × (-5) = (-5) × 2- (-8) ÷ 4 = 4 ÷ (-8)第三章数的乘方1. 求下列各式的值:- 2²- 3²- (-4)²- (-2)²- 0²2. 计算下列各式的值:- 5 × 5 × 5- (-2) × (-2) × (-2)- 9 × 9- (-3) × (-3)- 0 × 0 × 03. 求下列各式的值:- 2³- (-3)³- 4³- (-2)³- 0³第四章一次函数1. 判断下列函数是不是一次函数:- y = 2x + 3- y = -3x - 4- y = 5x² + 3- y = 4- y = -2x2. 求下列函数的函数值:- y = 2x + 3,当x = 4时- y = -3x - 4,当x = (-2)时- y = 5x² + 3,当x = 1时- y = 4,当x = 0时- y = -2x,当x = 3时3. 根据函数图像填空:- 函数图像是一条直线,且斜率为2,那么该函数是一次函数,它的斜率是__2__。
第九章 整式9.1 由字母表示数(1)一、选择题1.若一袋苹果重m 千克,则10袋苹果重( )千克. (A )m ; (B )m 10;(C )10m; (D )不能确定. 2.一个两位数的个位数字是a ,十位数字是b ,则这个两位数是( ) (A )ab ; (B )a b +; (C )b a 10+; (D )a b 10+.3.如果两个数的和是20,其中一个数用字母m 表示,那么m 与另一个数的积用式子表示是( ) (A ))m 20(m +; (B ))20m (m -; (C )m 20; (D ))m 20(m -.4.甲数是x ,甲数是乙数的74,则乙数是( ) (A )x 74; (B )x 47; (C )74x +; (D )x 47+.二、填空题5.若长方形的长为a ,宽为b ,则长方形的周长是 ,面积 . 6.若梯形的上底长为a ,下底长为b ,高为h ,则梯形的面积为 . 7.小明今年的年龄是小杰和小丽的平均数.已知小杰今年a 岁,小丽今年b 岁,则小明今年 岁.8.已知正方形的周长为c ,用c 表示正方形的边长是 ,面积是 . 9.已知圆的周长为c ,用c 表示圆的半径是 ,用c 表示圆的面积是 . 10.根据下列条件列方程:(1)一个长方形的长为x 厘米,宽为y 厘米,周长为36厘米,相应方程是.(2)小丽春节压岁钱共a 元,在节日中花去了81元,还剩219元,相应方程是.三、解答题11.设某数为x,用x表示2006减去某数平方的差的倒数.9.1 字母表示数(2)一、选择题1.一个数被5除,商为x ,余数为3,这个数为( ) (A )3x 5+; (B )3x 5-;(C )53-; (D )53.2.若a 箱橘子重m 千克,则3箱橘子重( ) (A )a m 千克; (B )m a3千克; (C )am3千克; (D )ma 3千克. 3.设某两数为y x 、表示“这两个数的平方差”正确的是( )(A )2)y x -(; (B )22y x -; (C )y x 2-; (D )2y x -.4.已知扇形弧长为l ,圆心角为οn ,用l 与n 表示扇形半径的正确表示式应是( ) (A )πn l 180; (B )l n180π; (C )nl 180π; (D )180nl π.二、填空题5.用长方体的长a 、宽b 、高c 表示长方体的体积是 .长方体的表面积是 .6.设某数为)0x (x ≠,用x 表示:某数的相反数的倒数是 . 7.引入未知数x ,(1)由x 的3次方与y 的和为零的关系所列的方程是 . (2)由“x 与y 积的4倍与5的差是x 的21”所列方程是 . 8.引入未知数x 表示下列不等量关系:(1)某数的7倍小于或等于10: . (2)某数的一半小于3与4的商: .三、解答题9.1千克苹果的价格为x元,小丽买了5千克苹果,用字母x表示小丽买的苹果的总价.10.设某数为x,用x表示“某数的10%除以a的商.”9.2 代数式一、选择题1.在下面四个式子中,为代数式的是( )(A )ba ab =; (B )2-;(C )abc V =; (D )01x 3>-.2.已知x 是一个两位数,y 是一个一位数,如果把y 置于x 的左边,那么所组成的三位数可表示为( )(A )yx ; (B )x y +; (C )x y 10+; (D )x y 100+. 3.若a 增加它的%x 后得到b ,则b 为( )(A )%ax ; (B )%)x 1(a +; (C )%x a +; (D ))%x a (+. 4.正方形边长为a 厘米,边长增加2厘米后,面积增加了( )(A )4厘米2; (B ))4a (2+厘米2;(C )]a )2a [22--(厘米2; (D )]a )2a [(22-+厘米2.二、填空题5. 叫做代数式,单独的一个 或 也是代数式. 6.用代数式表示:(1)x 的51与8的和是 . (2)a 的相反数减去5的差是 . (3)y 的3次方与x 的和是 .(4)比x 的7倍的倒数大2的数是 .7.一套服装原价m 元,打六五折后的单价是 元. 8.预计“十一五”(2006—2010)期间,上海全生产总值年增长率达到11.5%,设2008年上海全市生产总值为a 亿元,则2009年全市生产总值是 亿元.9.甲糖a 千克,每千克m 元,乙糖b 千克,每千克n 元,两种糖充分混合后平均每千克的均价为 元.10.在下列表格中,第一行中的数都经过同样的代数式运算得到第二行.请写出这个三、解答题11.三角形的三边长分别是a厘米,b厘米,c厘米,且a边上的高是h厘米,用代数式表示这个三角形的周长与面积.12.某校七年级有3个班人数为a,4个班人数为b,一个班级人数为c,用代数式表示这8个班的平均人数.9.3 代数式的值(1)一、选择题1.当2x -=时,代数式x 38-的值是( )(A )2; (B )14; (C )3; (D )7.2.当21x =时,代数式)1x (512+的值是( ) (A )51 ; (B )41; (C )1; (D )53. 3.代数式y x 2-,当2x -=,4y -=时的值是( ) (A )8-; (B )8;(C )0; (D )以上都不对. 4.当a 分别取下列值时,代数式a )1a (2÷+的值不变( ) (A )23-与 ; (B )313与; (C )312与- ; (D )11与-.二、填空题5.当7x =时,代数式1x 8+-的值是 .6.当1x =,2y -=时,代数式y x 2+的值是 . 7.当4.0x -=,3.0y =时,代数式y x +的值是 . 8.当=x 时,代数式7x 7+-的值是0.9.当=x ,5y =时,代数式y x 2-的值是5-. 10.已知3y 21x 3=++-,那么代数式y 2x 3-的值是 .三、解答题11.求下列代数式的值(要求写计算过程) (1)当3a -=时,求1a a 31a 322+--的值.(2)当2a =,3b -=,4c =时,计算代数式的值ac 4b 2-的值.12.求代数式y3x 2yx +-的值,其中(1)2x -=,5y -=;(2)2x =,5y =.13.如果09x 3y 3x 2=-++,求代数式22y xy 3x 2--的值.9.3代数式的值(2)一、选择题1.代数式3y x 22+-,当2x -=,4y -=时的值是( ) (A )-1; (B )7; (C )15; (D) 19.2.已知1a =,0b =,则代数式3322b a ab 3b a 3-++的值是( ) (A )0; (B )7; (C )8; (D )1.3.已知代数式7y 3x 22+-的值是8,那么代数式9y 6x 42+-的值是( ) (A )10; (B )11;(C )0; (D )无法计算. 4.代数式3)2x (2+-有( )(A )最大值; (B )最小值;(C )既有最大值,又有最小值; (D )无最大值也无最小值.二、填空题5.用代数式表示半径为R 的圆的面积是 ,当1R =时,圆的面积是 .6.用代数式表示边长为a 的正方形周长是 ,当5.0a =时,其周长是 . 7.小明妈妈买三年期国库券a 元,年利率为p ,三年到期的本利和是 元,当a =20000p =3%时,一年到期本利和是 元.8.三个连续奇数,中间一个是1n 2+,用代数式表示这三个连续奇数的和是 ;当n =2时,这个代数式的值是 .三、解答题9.S 为梯形面积,a 、b 分别为梯形上、下底边长,h 为梯形的高 (1)写出梯形的面积公式是 ; (2)当S =24,a =3,b =9时,求高h ;(3)当a =1,b = 4,h =3时,求面积.10.小李和小明一起设计了一个电脑程序,在电脑执行该程序时,第一不会将输入的数值乘以5,第二步将乘积的结果减去3,第三步将所得差取绝对值后输出.(1)如果输入的数是b ,那么输出的结果用b 的代数式表示是什么?(2)若输入的数是-7,那么输出的结果是什么?11.当x 分别取左圈内的数时(1)请在右圈中填写代数式x 2x 3+相对应的值;(2)观察上述过程与结果,你得出一个什么结论?用一句话表示。
一、解答题1.观察下列单项式:﹣x ,2x 2,﹣3x 3,…,﹣9x 9,10x 10,…从中我们可以发现: (1)系数的规律有两条:系数的符号规律是系数的绝对值规律是(2)次数的规律是(3)根据上面的归纳,可以猜想出第n 个单项式是 .解析:(1)奇数项为负,偶数项为正;与自然数序号相同;(2)与自然数序号相同;(3)(1)n n nx -【分析】通过观察题意可得:奇数项的系数为负,偶数项的系数为正,且系数的绝对值与自然数序号相同,次数也与与自然数序号相同.由此可解出本题. 【详解】 (1)奇数项为负,偶数项为正,与自然数序号相同;(2)与自然数序号相同;(3)(1)n n nx -.【点睛】本题考查了单项式的有关概念.确定单项式的系数和次数时,把一个单项式分解成数字因数和字母因式的积,是找准单项式的系数和次数的关键.分别找出单项式的系数和次数的规律也是解决此类问题的关键.2.如图,将面积为2a 的小正方形和面积为2b 的大正方形放在同一水平面上(0b a >>)(1)用a 、b 表示阴影部分的面积;(2)计算当3a =,5b =时,阴影部分的面积.解析:(1)22111222a ab b ++;(2)492【分析】(1)阴影部分为两个直角三角形,根据面积公式即可计算得到答案;(2)将3a =,5b =代入求值即可.(1)()21122a ab b ⨯++, 22111222a ab b =++; (2)当3a =,5b =时, 原式221113355222=⨯+⨯⨯+⨯492=. 【点睛】 此题考察列式计算,根据图形边长正确列式表示图形的面积即可.3.为鼓励居民节约用电,某市采用价格调控手段达到省电目的,该市电费收费标准如下表(按月结算):(2)设某月的用电量为x 度(0300x <≤),试写出不同电量区间应缴交的电费.解析:(1)该居民12月份应缴电费94.5元;(2)0.5,01500.6522.5,1502500.860,250300x x x x x x <≤⎧⎪-<≤⎨⎪-<≤⎩【分析】(1)根据用电量类型分别进行计算即可;(2)分三种情况进行讨论,当x 不超过150度时,x 超过150度,但不超过时250度时和x 超过250度时,再分别代入计算即可.【详解】解:(1)由题意,得150×0.50+(180-150)×0.65=94.5(元)答:该居民12月应缴交电费94.5元;(2)若某户的用电量为x 度,则当x≤150时,应付电费:0.50x 元;当150<x≤250时,应付电费:0.65(x -150)+75=0.65x 22.5-(元);当250<x <300,应付电费:0.80(x -250)+140=0.8x 60-(元).∴不同电量区间应缴交的电费为:0.5,01500.6522.5,1502500.860,250300x x x x x x <≤⎧⎪-<≤⎨⎪-<≤⎩.本题考查了列代数式,读懂题目信息,理解阶梯电价的收费方法和电费的计算方法是解题的关键.4.窗户的形状如图所示(图中长度单位:cm ),其中上部是半圆形,下部是边长相同的四个小正方形. 已知下部小正方形的边长是acm.(1)计算窗户的面积(计算结果保留π).(2)计算窗户的外框的总长(计算结果保留π).(3)安装一种普通合金材料的窗户单价是175元/平方米,当a=50cm 时,请你帮助计算这个窗户安装这种材料的费用(π≈3.14,窗户面积精确到0.1).解析:(1)2214a +a 2π;(2)6a a π+;(3)245.【分析】(1)根据图示,窗户的面积等于4个小正方形的面积加上半径是a 的半圆的面积;(2)根据图示,窗户外框的总长就是用3条长度是2acm 的边的长度加上半径是acm 的半圆的长度;(3)根据窗户的总面积,代入求值即可.【详解】 解:(1)窗户的面积为:()()222214a a 422a a a cm ππ⎛⎫⨯+=+ ⎪⎝⎭ (2)窗户的外框的总长为:()()132a 262a a a cm ππ⨯+⨯=+ (3)当a=50cm ,即:a=0.5m 时, 窗户的总面积为:()2220.540.5128m ππ⎛⎫⨯+=+ ⎪⎝⎭ 取π≈3.14,原式=1+0.3925≈1.4(m 2)安装窗户的费用为:1.4×175=245(元).【点睛】本题考查的知识点是求组合图形的面积与周长,将已知图形分解为所熟悉的简单图形是解此题的关键.5.化简并求值:已知2232A a b ab abc =-+,小明错将“2A B -”看成“2A B +”,算得结果22434C a b ab abc =-+.(1)计算B 的表达式;(2)小强说正确结果的大小与c 的取值无关,对吗?请说明理由.(3)若18a =,15b = ,求正确结果的代数式的值. 解析:(1)2222a b ab abc -++;(2)小强的说法对,正确结果的取值与c 无关,理由见解析;(3)0.【分析】(1)由2A+B=C 得B=C-2A ,将C 、A 代入根据整式的乘法计算可得B ;(2)将A 、B 代入2A-B ,根据整式的加减运算法则进行化简,由化简后的代数式中无字母c 可知其值与c 无关;(3)将a 、b 的值代入计算即可.【详解】解:(1)∵2A B C +=,∴2B C A =-.B 22224342(32)a b ab abc a b ab abc =-+--+2222434642a b ab abc a b ab abc =-+-+-2222a b ab abc =-++;(2)222222(32)(22)A B a b ab abc a b ab abc -=-+--++222264222a b ab abc a b ab abc =-++--2285a b ab =-.因正确结果中不含c ,所以小强的说法对,正确结果的取值与c 无关;(3)将18a =, 15b =代入(2)中的代数式,得: 22221111858()5()8585a b ab -=⨯⨯-⨯⨯0= . 【点睛】本题主要考查整式的乘法,熟练掌握整式的乘法法则是解题的关键.6.当0.2x =-时,求代数式22235735x x x x -+-+-的值。
9.5 合并同类项一、课本巩固练习1、合并同类项:(1)22226345xy x x y yx x ---+;(2)22375x x x x ----;(3)534852a x a x ax x -++--.2、上海教育版数学七年级上册9.2《整式的加减》同步练习1(1)3()5()()a b a b a b +-+++;(2)222(2)4(2)(2)3(2)x y x y x y x y ---+---.3、、求下列各式的值.(1)222223210242x y xy xy xy x y x y xy ----++,其中13,134x y =-=;(2)23231110.20.250.50.51245x x x x x x x -++--+-,其中1213x =.4、、如果184n xy -与13247m y x +-是同类项,求m n 的值.二、基础过关一、判断下列合并同类项是否正确,正确的用“√”表示,错误的用“×”表示:(1)23325534m n m n m n +=; ( )(2)222853xy y x xy -+=-; ( )(3)1110.502n n n n x y y x ---=; ( ) 二、合并下列各式中的同类项:(1)22244ab a b ab +-=____________________________;(2)5959m n m n ---+=____________________________;(3)22643532x x x x ++---=____________________________。
三、解答题1、 如果32n x y 与534m x y -是同类项,求代数式223443n m n m +---的值2、当1,1x y ==-时,250ax by +-=,那么当1,1x y =-=时,求代数式21ax by +-的值。
3、 先合并同类项,再求代数式的值:(1)2222113123.522223xy y x y y x y xy --++--,其中3,2x y ==-。
9.6 整式的加减一、课本巩固练习1、下列说法正确的是( )A .单项式23x -的系数是3-B .单项式3242π2ab -的指数是7 C .1x是单项式 D .单项式可能不含有字母2、多项式2332320.53x y x y y x ---是 次 项式,关于字母y 的最高次数项是 ,关于字母x 的最高次项的系数 ,把多项式按x 的降幂排列 。
3、已知单项式4312x y -的次数与多项式21228m a a b a b +++的次数相同,求m 的值。
4、若A 和B 都是五次多项式,则( )A .AB +一定是多项式 B .A B -一定是单项式C .A B -是次数不高于5的整式D .A B +是次数不低于5的整式5、若m 、n 都是自然数,多项式222m n m n a b ++-的次数是( )A .mB .2nC .2m n +D .m 、2n 中较大的数6、同时都含有字母a 、b 、c ,且系数为1的7次单项式共有( )个。
A .1B .3C .15D .367、若2222m a b +与3334m n a b +--是同类项,则m n += 。
8、单项式21412n a b --与283m m a b 是同类项,则100102(1)(1)n m +⋅-=( ) A .无法计算 B .14C .4D .1 9、若5233m n x y x y -与的和是单项式,则n m = 。
11、下列各式中去括号正确的是( )A .()222222a a b b a a b b --+=--+B .()()222222x y x y x y x y -+--+=-++-C .()22235235x x x x --=-+D .()3232413413a a a a a a ⎡⎤---+-=-+-+⎣⎦12、已知222223223A x xy y B x xy y =-+=+-,,求(2)A B A --13、若a 是绝对值等于4的有理数,b 是倒数等于2-的有理数。
数学七年级上 第九章 整式9.5 合并同类项(1)一、选择题1 正方形的边长为a cm,边长增加3cm 后,面积增加 ( ) A. 29cm B. 22)9(cm a + C. 222])3[(cm a a ++ D. 222])3[(cm a a -+ 2 设甲数为x ,乙数比甲数及甲数的倒数的和大12,则乙数为 ( ) A.+x 12x + B. +x 112x + C. +x 11(1)2x + D. +x 112x -3 下列说法中正确的是 ( )A.单项式一定是整式,而整式不一定是单项式B.整式一定是多项式,而多项式也一定时整式C.只含有乘除运算的式子叫单项式D.单项式的次数是各个字母指数最大的数 4 代数式75y x +,y x 221,0,221xy ,2yx ,225y x ,y x 252-中,其中是同类项的有 ( ) A.3个 B.4个 C.5个 D.6个5. 下列代数式中,一定是正数的是 ( ) A. 2(1)a + B.1a + C. 2()1a -+ D.21()a --6.下面的等式成立的是 ( ) A .222632x x x =+ B .10.2504ab ab -+= C .3y y y y ++= D .55ab ab -= 7.要使22nx--与44x 是同类项,则n 应等于 ( )A .3B .2C .-3D .-2 8.在2004-与2015、ab 3与3abc -、53x 与35x 、ab -与ab 21中,是同类项的有 ( ) A .2组 B .3组 C .4组 D .5组9. 下列各组中两数相互为同类项的是 ( ) A .y x 22与22xy B .b a 221与c a 221 C .b a 2与abc 3 D .2352n m 与32m n - 10. 下列说法正确的是 ( )A .字母相同的项是同类项B .只有系数不同的项,才是同类项C .-2与0.2是同类项D .y x 2-与2xy 是同类项二、填空题11. 单项式342x y 与n m m y x ++-2151是同类项,则=+n m . 12. 若12x =-,13y =-,则代数式22x y +23x -的值是 ;13. 若21x x +=,则2335x x +-的值是 .14.在代数式22835364x x x x ---++221x -中,28x 和 是同类项,3x -和 是同类项,5-和 是同类项.15.如果343b a 与22xya b -是同类项,那么x= ,y= ,它们的次数都是 . 16.222b 2ab 2a 43ab 21a 32-++-= . 17. 如果3423x ya b a b -与是同类项,那么x = . y = 。
《整式的加减》作业设计方案(第一课时)一、作业目标本节课的作业目标主要是帮助学生掌握整式的加减法法则,通过实际问题的解决,加深对整式概念的理解,并能够熟练运用整式的加减法进行计算。
同时,通过作业的完成,培养学生的逻辑思维能力和解决问题的能力。
二、作业内容整式加减的第一课时作业内容主要包括以下几个方面:1. 整式的概念及基本性质。
包括单项式、多项式等概念的理解,以及整式的基本性质如合并同类项等。
2. 整式的加减法法则。
要求学生熟练掌握整式的加减法运算法则,能够正确进行整式的加减运算。
3. 实际问题的解决。
设计几个与整式加减有关的实际问题,让学生运用所学知识进行解决,如代数式的化简、求值等。
4. 作业练习。
提供一定量的练习题,包括选择题、填空题、计算题等,让学生通过练习巩固所学知识。
三、作业要求针对上述作业内容,提出以下具体要求:1. 准确理解整式的概念及基本性质,能够正确辨别单项式、多项式等。
2. 熟练掌握整式的加减法运算法则,能够准确进行整式的加减运算。
3. 能够运用所学知识解决实际问题的能力,思路清晰,计算准确。
4. 认真完成作业练习,注意题目的解答过程和答案的准确性。
四、作业评价作业评价将从以下几个方面进行:1. 知识的理解程度。
评价学生对整式概念及基本性质的理解程度。
2. 运算能力。
评价学生的整式加减运算能力,包括运算的准确性和速度。
3. 问题解决能力。
评价学生运用所学知识解决实际问题的能力,包括思路的清晰度和计算的准确性。
4. 作业态度。
评价学生完成作业的态度,包括是否认真完成、是否按时完成等。
五、作业反馈作业反馈是提高学生学习效果的重要环节,本节作业的反馈将采取以下措施:1. 教师批改。
教师将对每位学生的作业进行认真批改,给出详细的批注和评分。
2. 课堂讲解。
教师将在课堂上对共性问题进行讲解,并对优秀作业进行展示。
3. 个别辅导。
针对学生出现的个别问题,教师将进行个别辅导,帮助学生解决问题。
数学七年级上 第九章 整式 9.5-9.6 整式的加减测试卷一姓名:一、选择题 (每题2分,共20分)1、下列等式中正确的是 ( )A 、)38(83x x --=-B 、)3(939+=+a aC 、-)(b a b a --=-D 、)83(83--=-x x2、下面的叙述错误的是 ( )A 、倍的和的平方的与的意义是3)3(2b a b a +B 、223b a b a 与的意义是+的3倍的和 C 、3)3(ba 的意义是a 的立方除以3b 的商 D 、b a b a 与的意义是2)(3+的和的平方的3倍 3、下列代数式书写正确的是 ( ) A 、36a B 、y x ÷3 C 、)2(y x a + D 、321abc 4、-)23(c b a +-去括号后的结果是 ( )A 、-c b a ++23B 、-c b a -+23C 、-c b a +-23D 、-c b a --235、下列说法正确的是 ( )A 、0不是单项式B 、x 没有系数C 、336x x+是多项式 D 、32y x -是单项式 6、下列各式中,去括号或添括号正确的是 ( )A 、c b a a c b a a +--=+--222)(2B 、)135(135-+-+=-+-y x a y x aC 、1272)]12(7[2+--=---x x x x x xD 、-)2()32(232-+--=+--a y x a y x7、代数式,21a a + y x 25, 0,5b a +,a -,2015,c ab 231,74mn -中单项式的个数是 ( ) A 、3 B 、4 C 、5 D 、68、若A 和B 都是5次多项式,则A+B 一定是 ( )A 、10次多项式B 、5次多项式C 、次数不高于5次的整式D 、次数不低于5次的整式9、已知yx x n m n m 228232与-是同类项,则 ( )A 、2,3==y xB 、2,4==y xC 、1,2==y xD 、1,4==y x10、下列计算中正确的是 ( )A 、a a a 6511-=+-B 、x x x 1165=--C 、m m m 2222=-D 、3331262x x x =+二、填空题 (每题2分,共28分)11、单项式25x -减去单项式y x x y x 2223,7,2--的和,列算式为 ,化简后的结果是 。
2024-2025学年七年级数学上学期期中模拟卷(上海专用)(考试时间:90分钟 试卷满分:100分)注意事项:1.答卷前,考生务必将自己的姓名、准考证号等填写在答题卡和试卷指定位置上。
2.回答选择题时,选出每小题答案后,用铅笔把答题卡上对应题目的答案标号涂黑。
如需改动,用橡皮擦干净后,再选涂其他答案标号。
回答非选择题时,将答案写在答题卡上。
写在本试卷上无效。
3.考试结束后,将本试卷和答题卡一并交回。
4.测试范围:沪教版2024七上第10~12章(整式的加减、整式的乘除、因式分解)。
5.难度系数:0.69。
第一部分(选择题 共18分)一、选择题(本大题共6小题,每小题3分,满分18分.在每个小题给出的四个选项中,只有一项符合题目要求的)1.下列说法错误的是( )A .221x x y ++是二次三项式B .133xy +是二次二项式C .34x x y +是五次二项式D .x y z ++是一次三项式【答案】A【解析】221x x y ++是三次三项式,故选项A 符合题意;133xy +是二次二项式,故选项B 不合题意;34x x y +是五次二项式,故选项C 不合题意;x y z ++是一次三项式,故选项D 不合题意.故选:A .2.下列各式中,去括号或添括号正确的是( )A .22(2)2a a b c a a b c--+=--+B .321(321)a x y a x y -+-=+-+-C .3[5(21)]3521x x x x x x ---=--+D .21(2)(1)x y a x y a ---+=--+-【答案】B【解析】A 、22(2)2a a b c a a b c --+=-+-,故错误;B 、321(321)a x y a x y -+-=+-+-,故正确;C 、3[5(21)]3521x x x x x x ---=-+-,故错误;D 、21(2)(1)x y a x y a ---+=-++-+,故错误;只有B 符合运算方法,正确.故选:B .3.下列各式计算正确的是( )A .336a a a +=B .33(3)9a a =C .224()a a -=D .2229(3)3a a a ¸=【答案】C【解析】A ,33362a a a a +=¹,计算错误,不符合题意;B ,33333(3)3279a a a a =×=¹,计算错误,不符合题意;C ,222224()(1)a a a ´-=-×=,计算正确,符合题意;D ,2229(3)33a a a ¸=¹,计算错误,不符合题意;故选:C .4.下列从左到右变形,是因式分解的是( )A .22322(25)25a a ab b a a b ab +-=+B .22(5)(5)25x y x y x y +-=-C .22()()x y x y x y -=+-D .2231(231)x x x x -+=-+【答案】C【解析】A .从左到右的变形属于整式乘法,不属于因式分解,故本选项不符合题意;B .从左到右的变形属于整式乘法,不属于因式分解,故本选项不符合题意;C .从左到右的变形属于因式分解,故本选项符合题意;D .从左到右的变形属于因式分解,但是分解错误,故本选项不符合题意;故选:C .5.如果14,2m n n xx +==,那么2m x 的值是( )A .4B .8C .64D .16【答案】C【解析】4m n x +=Q ,1n x =,1482m m n n x x x +\=¸=¸=,222()864m m x x \===.故选:C .6.图(1)是一个长为2a ,宽为2()b a b >的长方形,用剪刀沿图中虚线(对称轴)剪开,把它分成四块形状和大小都一样的小长方形,然后按图(2)那样拼成一个正方形,则中间空余的部分的面积是( )A .abB .2()a b +C .2()a b -D .22a b -【答案】C 【解析】中间部分的四边形是正方形,边长是2a b b a b +-=-,则面积是2()a b -.故选:C .第二部分(非选择题 共82分)二、填空题(本大题共12小题,每小题2分,满分24分)7.单项式2325x y z -的系数是 ,次数是 .【答案】25-,6.【解析】单项式2325x y z -的系数是25-,次数是:2316++=.故答案为:25-,6.8.如果单项式1235m n x y -与3354n x y +-是同类项,那么mn = .【答案】12【解析】由题意知,13m -=,32n n +=,解得4m =,3n =,则4312mn =´=,故答案为:12.9.计算:(﹣2a 2b )•(﹣4a 2b 3)= .【答案】8a 4b 4.【解析】原式=﹣2×(﹣4)•(a 2•a 2)•(b •b 3)=8a 4b 4.故答案为:8a 4b 4.10.计算:248(21)(21)(21)(21)++++= .(结果中保留幂的形式)【答案】1621-.【解析】248(21)(21)(21)(21)++++248(21)(21)(21)(21)(21)=-++++2248(21)(21)(21)(21)=-+++448(21)(21)(21)=-++88(21)(21)=-+1621=-,故答案为:1621-.11.因式分解:22()3()x y y x ---= .【答案】()(233)x y x y --+.【解析】原式22()3()()(233)x y x y x y x y =---=--+,故答案为:()(233)x y x y --+.12.计算:64331111()34612m m m m +-¸= .【答案】3432m m +-.【解析】64331111()34612m m m m +-¸634333111111312412612m m m m m m =¸+¸-¸3432m m =+-,故答案为:3432m m +-.13.计算:20212022( 1.25)0.8-´= .【答案】0.8-.【解析】原式2021[( 1.25)0.8]0.8=-´´2021(1)0.8=-´10.8=-´0.8=-.故答案为:0.8-.14.若225x mx ++是完全平方式,则m = .【答案】10±【解析】225x mx ++Q 是完全平方式,10m \=±,故答案为:10±15.因式分解:()()a a b b b a ---= .【答案】()()a b a b -+.【解析】原式()()()()a a b b a b a b a b =-+-=-+,故答案为:()()a b a b -+.16.若24b a =-,则代数式219(2)91022a b b a --++的值是 .【答案】36【解析】24b a =-Q ,24a b \-=,原式2194(2)1022a b =´+-+984102=+´+81810=++36=.故答案为:36.17.(2022秋•长宁区校级期中)为确保信息安全,信息需加密传输,发送方由明文®密文(加密);接收方由密文®明文(解密).已知加密规则为:明文a ,b ,c ,d ,对应密文23a +,31b +,45c +,2d c -,当接收方收到密文11,16,29,13时,解密得到明文a ,b ,c ,d ,则a b c d +++= .【答案】64【解析】由题意可得,2311a +=,3116b +=,4529c +=,213d c -=,解得,4a =,5b =,6c =,49d =,4564964a b c d \+++=+++=,故答案为:64.18.我国宋朝数学家杨辉在他的著作《详解九章算法》中提出下表,此表揭示了()(n a b n +为非负数)展开式的各项系数的规律.如:222()2a b a ab b +=++,它的系数分别为1,2,1.若4(1)y x =-展开得43243210y a x a x a x a x a =++++,那么01234a a a a a -+-+的值为 .【答案】16【解析】4432(1)4641y x x x x x \=-=-+-+,即01a =,14a =-,26a =,34a =-,41a =,012341(4)6(4)116a a a a a -+-+=--+--+=,故答案为:16.三、解答题(本大题共9小题,满分58分.解答应写出文字说明,证明过程或演算步骤)19.(5分)计算:23322332()()()()x x x x ++-+-【解析】23322332()()()()x x x x ++-+-6666x x x x =+-+·····(3分)62x =·····(2分)20.(5分)计算:33263(2)()a a a a a -¸+-×.【解析】33263(2)()a a a a a-¸+-×33261318a a a ´-++=-+-·····(3分)7748a a a =-+-747a a =--.·····(2分)21.(5分)简便计算:2201120072015-´.【解析】原式22011(20114)(20114)=--+222011(201116)=--·····(3分)16=.·····(2分)22.(5分)化简:22(2)(2)(2)8a b a b a b b -+--+.【解析】原式222224448a b a ab b b =--+-+·····(3分)4ab =.·····(2分)23.(5分)分解因式:22(4)4()a b a b +-+.【解析】22(4)4()a b a b +-+22(4)(22)a b a b =+-+(422)(422)a b a b a b a b =++++--·····(3分)(63)(2)a b a b =+-3(2)(2)a b a b =+-.·····(2分)24.(8分)先化简再求值22[2()()][()()2]x x y x y x y x y y -+----++,其中13x =,1y =.【解析】22[2()()][()()2]x x y x y x y x y y -+----++222222[2()][()2]x x y x y y =---+2222()()x y x y =++222()x y =+·····(6分)将1,13x y ==代入,原式2221100[()1]138=+=.·····(2分)25.(8分)已知关于x 的整式21A x mx =++,232(B nx x m m =++,n 为常数).若整式A B +的取值与x无关,求m n -的值.【解析】21A x mx =++Q ,232B nx x m =++,222132(1)(3)12A B x mx nx x m n x m x m \+=+++++=+++++,·····(4分)Q 整式A B +的取值与x 无关,10n \+=,30m +=,解得:1n =-,3m =-,则3(1)312m n -=---=-+=-.·····(4分)26.(8分)阅读下列解题的过程.分解因式:464x +解:442264166416x x x x +=++-222(8)16x x =+-22(84)(84)x x x x =+++-请按照上述解题思路完成下列因式分解:(1)44a +;(2)42244381x x y y -+.【解析】(1)44a +422444a a a =++-222(2)4a a =+-22(22)(22)a a a a =++-+;·····(4分)(2)42244381x x y y -+422422188125x x y y x y =-+-22222(9)25x y x y =--2222(95)(95)x y xy x y xy =-+--·····(4分)27.(9分)阅读理解:若x 满足(80)(60)30x x --=,求22(80)(60)x x -+-的值.解:设(80)x a -=,(60)x b -=,则(80)(60)30x x ab --==,(80)(60)20a b x x +=-+-=,所以222222(80)(60)()220230340x x a b a b ab -+-=+=+-=-´=.解决问题(1)若x 满足(30)(20)10x x --=-,求22(30)(20)x x -+-的值;(2)若x 满足22(2019)(2017)4042x x -+-=,求(2019)(2017)x x --的值;(3)如图,正方形ABCD 的边长为x ,1AE =,2CG =,长方形EFGD 的面积是5,四边形NGDH 和MEDQ 都是正方形,PQDH 是长方形,求图中阴影部分的面积(结果必须是一个具体的数值).【解析】(1)设(30)x a -=,(20)x b -=,则(30)(20)10x x ab --==-,(30)(20)10a b x x +-+-=,所以222222(30)(20)()210210120x x a b a b ab -+-=+=+-=+´=;·····(3分)(2)设(2019)x a -=,(2017)x b -=,则(2019)(2017)2a b x x -=---=,因为22(2019)(2017)4042x x -+-=,所以22222(2019)(2017)()24042x x a b a b ab -+-=+=-+=,即222(2019)(2017)4042x x +´--=,(2019)(2017)2019x x --=;·····(3分)(3)根据题意可知,1ED AD AE x =-=-,2DG DC CG x =-=-,因为长方形EFGD 的面积是5,所以(1)(2)5x x --=,设1x a -=,2x b -=,则(1)(2)1a b x x -=---=,5ab =,所以222()212511a b a b ab +=-+=+´=,因为四边形NGDH 和MEDQ 都是正方形,所以阴影部分的面积为:222222(1)(1)(2)(2)(1)(2)111021ED ED DG DG DH QD x x x x x x a ab b ab +×++×=-+--+-+--=+++=+=.·····(3分)。