江苏省东台中学高一数学备课组
- 格式:ppt
- 大小:225.50 KB
- 文档页数:17
第13课时三角函数的周期性一、课题:三角函数的周期性二、学习目标:1、了解周期函数,最小正周期定义2、会求正、余弦函数的最小正周期,并能初步应用三、学习重、难点:函数的周期性,最小正周期定义四、预习思考题1.周期函数的概念一般地,对于函数f(x),如果存在一个非零的常数T,使得定义域内的每一个x值,都满足f(x+T)=f(x),那么函数f(x)就叫做________________,非零常数T叫做这个函数的________.2.最小正周期的概念对于一个周期函数f(x),如果在它所有的周期中存在一个________________,那么这个________________就叫做f(x)的最小正周期.3、函数y=sinx 的最小正周期是;函数y=cosx的最小正周期是。
4.y=A sin(ωx+φ),y=A cos(ωx+φ)的周期一般地,函数y=A sin(ωx+φ)及y=A cos(ωx+φ)(其中A,ω,φ为常数,且A≠0,ω>0)的周期T=______.学习过程:一、创设情景: 问题:(1)今天是星期二,则过七天是星期几?过十四天呢?……(2)物理中的单摆运动、圆周运动,质点运动的规律如何呢?(3)由三角函数线可知,正弦、余弦函数值的变化规律是如何呢?二、新知建构1、周期函数的定义对于函数f(x),如果存在一个非零的常数T,使得定义域内的每一个x值,都满足f(x+T)=f(x),那么函数f(x)就叫周期函数,非零常数T叫做这个函数的周期。
说明:(1)T必须是常数且不为零 (2)周期性是函数的整体性质,f(x+T)=f(x)必须对定义域中任一个x都成立。
类比奇、偶函数的定义(4)若T≠0为y=f(x)的一个周期,则nT(n∈Z且n≠0)也是y=f(x)的周期判断思考(1)对于函数y=sinx,x∈R,有2sin()sin636πππ+=,能否说是它的周期?(2)正弦函数y=sinx,x∈R是不是周期函数,如果是,周期是多少?(2kπ,k∈Z且k≠0)2、最小正周期的定义对于一个周期函数f(x),如果在它所有的周期中存在一个最小的正数,那么这个最小正数就叫做f(x)的最小正周期。
江苏省泰州市东台中学高一数学理测试题含解析一、选择题:本大题共10小题,每小题5分,共50分。
在每小题给出的四个选项中,只有是一个符合题目要求的1. 已知函数,则的值是()A.8 B.C.9 D.参考答案:D2. 函数的图象可由函数的图象作怎样的变换得到()A.向左平移个单位 B.向右平移个单位 C.向左平移个单位 D.向右平移个单位参考答案:C3. (5分)已知全集A={3,4,5},B={1,3,6},则A∩B=()A.{3} B.{4,5} C.{1,6} D.{2,4,5,7}参考答案:A考点:交集及其运算.专题:集合.分析:利用交集的性质求解.解答:全集A={3,4,5},B={1,3,6},A∩B={3}.故选:A.点评:本题考查交集的求法,是基础题,解题时要认真审题,注意交集性质的合理运用.4. 已知等差数列{a n}满足a2+a4=4,a3+a5=10,则它的前10项的和S10=()A.123 B.105 C.65 D.23参考答案:C5. 已知函数f(x)=是(﹣∞,+∞)上的减函数,则实数a的取值范围为()A.(﹣∞,5)B.(0,2] C.(0,5)D.[2,5)参考答案:D【考点】函数单调性的性质.【分析】根据题意,由函数单调性的性质可得,解可得a的取值范围,即可得答案.【解答】解:根据题意,分段函数f(x)=是(﹣∞,+∞)上的减函数,则必有,解可得:2≤a<5,即a的取值范围为:[2,5);故选:D.6. 是,的平均数,是,,,的平均数,是,,的平均数,则下列各式正确的是()A.B.C.D.参考答案:A略7. 直线的倾斜角是()A. 30°B. 60°C. 120°D. 150°参考答案:C直线的斜率为直线的倾斜角为:,可得:故选C8. 函数f(x)=e x+x﹣2的零点所在的一个区间是()A.(﹣2,﹣1)B.(﹣1,0)C.(0,1)D.(1,2)参考答案:C【考点】函数零点的判定定理.【分析】将选项中各区间两端点值代入f(x),满足f(a)?f(b)<0(a,b为区间两端点)的为答案.【解答】解:因为f(0)=﹣1<0,f(1)=e﹣1>0,所以零点在区间(0,1)上,故选C.【点评】本题考查了函数零点的概念与零点定理的应用,属于容易题.函数零点附近函数值的符号相反,这类选择题通常采用代入排除的方法求解.9. 已知数列{a n}的通项为a n=,则满足a n+1<a n的n的最大值为()A.3 B.4 C.5 D.6参考答案:C【考点】数列的函数特性.【分析】a n=,a n+1<a n,<,化为:<.对n分类讨论即可得出.【解答】解:a n=,a n+1<a n,∴<,化为:<.由9﹣2n>0,11﹣2n>0,11﹣2n<9﹣2n,解得n∈?.由9﹣2n<0,11﹣2n>0,解得,取n=5.由9﹣2n<0,11﹣2n<0,11﹣2n<9﹣2n,解得n∈?.因此满足a n+1<a n的n的最大值为5.故选:C.10. 一个几何体的三视图如图所示,则该几何体可以是()A、圆柱B、圆台C、棱柱D、棱台参考答案:B试题分析:由俯视图可知该几何体底面为两个圆,因此该几何体为圆台考点:几何体三视图二、填空题:本大题共7小题,每小题4分,共28分11. 已知三棱锥A﹣BCD的四个顶点A、B、C、D都在球O的表面上,AC⊥平面BCD,BC⊥CD,且AC=,BC=2,CD=,则球O的表面积为.参考答案:12π【考点】球的体积和表面积.【分析】证明BC⊥平面ACD,三棱锥S﹣ABC可以扩充为以AC,BC,DC为棱的长方体,外接球的直径为体对角线,求出球的半径,即可求出球O的表面积.【解答】解:由题意,AC⊥平面BCD,BC?平面BCD,∴AC⊥BC,∵BC⊥CD,AC∩CD=C, ∴BC⊥平面ACD ,∴三棱锥S ﹣ABC 可以扩充为以AC ,BC ,DC 为棱的长方体,外接球的直径为体对角线, ∴4R 2=AC 2+BC 2+CD 2=12, ∴R=,∴球O 的表面积为4πR 2=12π. 故答案为12π.12. 计算 lg + lg8+lg5 lg20+(lg2) =___________参考答案:1113. 计算:log 89log 32﹣lg4﹣lg25= .参考答案:【考点】对数的运算性质. 【专题】函数的性质及应用.【分析】根据对数的运算性质计算即可.【解答】解:log 89log 32﹣lg4﹣lg25=log 23log 32﹣lg100=﹣2=﹣,故答案为:【点评】本题考查了对数的运算性质,属于基础题.14. 已知f (x )=,则f (f ())=.参考答案:【考点】函数的值.【分析】先求出f ()==﹣3,从而f (f ())=f(﹣3),由此能求出f (f ())的值.【解答】解:∵f (x )=,∴f ()==﹣3,f (f ())=f (﹣3)=2﹣3=. 故答案为:.【点评】本题考查函数值的求法,是基础题,解题时要认真审题,注意函数性质的合理运用.15. 已知数列满足,若对任意都有,则实数的取值范围是 .参考答案:16. 设为实常数,是定义在上的奇函数,当时,,若对一切成立,则的取值范围为_______. 参考答案:解析式为:;因为对一切成立,;,,由,所以,解得;17. 函数的定义域为.参考答案:三、解答题:本大题共5小题,共72分。
《平面的基本性质》(第一课时)教案
江苏省东台中学杨晓翔
一、教案背景
1. 学科:数学
2. 课时:1
3.面向学生:高一学生通过初中平面几何的学习,已掌握了点、线的概念、表示方法和画法。
但对初中学习过的点和直线的特征及基本性质印象不深。
二、教学课题
《平面的基本性质》(第一课时)
教学目标:
1.初步了解平面的概念,掌握平面的基本画法。
理解平面的基本性质,掌握它的应用;
2.会用图形、文字和符号描述点、直线、平面及其相互位置关系;
三、教材分析
本节课是苏教版必修2第一章《立体几何初步》的第二部分《点、线、面之间的位置关系》的第一课时。
教学重点:理解平面概念及基本性质。
教学难点:文字语言、图形语言和符号语言的转换与使用。
教学准备:多媒体课件和网络教室。
四、教学方法
多媒体教学和实验教学等。
五、教学过程
通过这一节课的研究,我们掌握了哪些知识,还有哪些感
本节课,我们类比了一参照物——直线,运用三种语言——文
七、教学反思
本节课从实例出发,引导学生从具体的实物中抽象出平面,并逐步探索其本质属性,为公理化研究问题打下伏笔,完成了一次从感悟到理性思维的飞跃;采用类比推理的模
式,让立体几何的建模与学习成为教师与学生合作下的“再创造”,实现了从二维平面到三维空间质的飞跃;集合语言的使用,加快了数学建模的进程,体现了数学符号语言的抽象美和简洁美,渗透了借形引数、以数证形、数形相辅的数学思想。
整节课内容较多,课时稍紧,可根据不同基础的学生作适当调整。
江苏省盐城市东台第一高级中学高一数学理下学期期末试题含解析一、选择题:本大题共10小题,每小题5分,共50分。
在每小题给出的四个选项中,只有是一个符合题目要求的1. 如果实数满足,则有 ( )A.最小值和最大值1 B.最大值1和最小值C.最小值而无最大值 D.最大值1而无最小值参考答案:B 解析:设2. 函数y=a x-2+2(a>0,且a≠1)的图象必经过点A.(0,1) B.(1,1) C.(2,2) D.(2,3)参考答案:D3. 在等差数列{a n}中,已知,则该数列前11项和=()A.58 B.88 C.143 D.176参考答案:B在等差数列中,因为,则,该数列的前项和为,选B.4. 《九章算术》之后,人们进一步用等差数列求和公式来解决更多的问题,《张丘建算经》卷上第22题为:“今有女善织,日益功疾(注:从第2天开始,每天比前一天多织相同量的布),第一天织5尺布,现在一月(按30天计),共织390尺布”,则从第2天起每天比前一天多织()尺布。
A. B. C. D.参考答案:D设从第2天起每天比前一天多织d尺布则由题意知,解得d=.故选:D.5. 已知圆C与直线2x—y+5=0及2x-y-5=0都相切,圆心在直线x+y=0上,则圆C的方程为A.(x+1)2+(y-1)2=5B.x2+y2=5C.(x-1)2+(y-1)2= D,x2+y2=参考答案:B因为两条直线2x-y+5=0与2x-y-5=0平行,故它们之间的距离为圆的直径,即,所以r=.设圆心坐标为P(a,-a),则满足点P到两条切线的距离都等于半径,所以,解得a=0,故圆心为(0,0),所以圆的标准方程为x2+y2=5,故选B.6.A.B.C.D.参考答案:B7. 一个正方体的顶点都在球面上,它的棱长为2cm,则球的表面积是()A.8πcm2 B.12πcm2 C.16πcm2 D.20πcm2参考答案:B【考点】球内接多面体;球的体积和表面积.【专题】计算题.【分析】由题意正方体的外接球的直径就是正方体的对角线长,求出正方体的对角线长,即可求出球的表面积.【解答】解:正方体的顶点都在球面上,则球为正方体的外接球,则2=2R,R=,S=4πR2=12π故选B【点评】本题是基础题,考查正方体的外接球的不面积的求法,解题的根据是正方体的对角线就是外接球的直径,考查计算能力,空间想象能力.8. 已知集合A={x|y=},A∩B=?,则集合B不可能是()A.{x|4x<2x+1} B.{(x,y)|y=x﹣1}C.D.{y|y=log2(﹣x2+2x+1)}参考答案:D【考点】1E:交集及其运算.【分析】求出各项中的集合确定出B,根据A与B的交集为空集,判断即可得到结果.【解答】解:选项A中,由4x=22x<2x+1,得到2x<x+1,即x<1,即B={x|x<1};选项B中,由B={(x,y)|y=x﹣1},得到B为点集;选项C中,由y=sinx,﹣≤x≤,得到﹣≤y≤,即B={y|﹣≤y≤};选项D中,由y=log2(﹣x2+2x+1),得到﹣x2+2x+1>0,即x2﹣2x﹣1<0,解得:1﹣<x<1+,即B={x|1﹣<x<1+},由集合A中y=,得到x﹣1≥0,即x≥1,∴A={x|x≥1},∵A∩B=?,∴B不可能为{y|y=log2(﹣x2+2x+1)},故选:D.9. 如图,在△ABC中,D是边AC上的点,且AB=AD,2AB=BD,BC=2BD,则sinC的值为()A. B.C.D.参考答案:D10. 集合,集合Q=,则P与Q的关系是()P=Q B.P Q C. D.参考答案:C二、填空题:本大题共7小题,每小题4分,共28分11. 已知二次函数若实数且,则.参考答案:512. 已知函数f(x)=,若f(f(1))=3a,则实数a= .参考答案:﹣3【考点】函数的值.【分析】根据自变量的值代入分段函数,从而得到方程求解即可.【解答】解:∵f(x)=,∴f(1)=5﹣2=3,f(f(1))=f(3)=9+6a=3a,解得,a=﹣3,故答案为:﹣3.13. 已知等差数列{a n}的公差为d,若a1,a2,a3,a4,a5的方差为8,则d的值为_________ .参考答案:14. 古希腊数学家阿波罗尼斯在他的巨著《圆锥曲线论》中有一个著名的几何问题:在平面上给定两点,,动点满足(其中a 和是正常数,且),则P 的轨迹是一个圆,这个圆称之为“阿波罗尼斯圆”,该圆的半径为__________.参考答案:【分析】设,由动点满足(其中和是正常数,且),可得,化简整理可得.【详解】设,由动点满足(其中和是正常数,且),所以,化简得,即,所以该圆半径故该圆的半径为.【点睛】本题考查圆方程的标准形式和两点距离公式,难点主要在于计算.15. 已知tan α=2,则= .参考答案:1【考点】GI :三角函数的化简求值.【分析】化简所求的表达式为正切函数的形式,代入求解即可. 【解答】解:tan α=2,则===1.故答案为:1.16. 已知数列{a n }是各项均不为零的等差数列,S n 为其前n 项和,且,若不等式对任意恒成立,则实数的最大值为 .参考答案:917. (本小题满分4分)数列{a n }满足a 1=1,,记S n =,若对任意n∈N*恒成立,则正整数m 的最小值是 ;参考答案:10三、 解答题:本大题共5小题,共72分。
实践创新 __基于整体把揠高中数学课程理念的教学设计探究*—以“导数在研究函数中的应用”一课为例□杨晓翔(江苏省东台中学,江苏东台224200)摘要:高中数学课程具有严格的逻辑体系.教学过程中任何只注重“课时主义”和“知识点 情节”的行为,都将把数学知识碎片化、间断化和片面化,从而违背数学发生、发展的客观规律.只 有在整体把握高中数学课程的理念下进行教学设计,才可能促进学生构建知识,达成三维目标, 实现核心素养的形成.关键词:数学课程;教学设计;核心素养高中数学课程自身具有严格的逻辑体系. 它既不同于以基础性、综合性为特征的小学、 初中数学课程,也不同于以专业性、应用性为 特征的高等数学课程,它是两者之间过渡的重 要环节,兼具两者部分特征,是整个数学教育 体系的核心部分,是学生的数学知识、思想、方法和能力向深度和广度大幅拓展、提升的关键 部分.它们是一个整体,教学过程中任何只注 重“课时主义”和“知识点情节”的行为,都将把 数学知识碎片化、间断化和片面化,从而违背 数学发生、发展的客观规律,教师在进行教学 设计时需要统筹考虑,整体谋划.正因如此,对参考文献:[1 ] ARONS A B. “Critical thinking^ and the baccalaureate curriculum [ J ^ Liberal Education, 1985(71):141-157.[2] ARONS A B. A guide to introductory physics teaching [M ] John Wiley & Sons, Inc., 1990.[3 ] ARONS A B. Development of energy concepts in introductory physics courses [J].AmericanJournalof Physics,1999(67).[4 ] HERRMANN F. Energy density and stress: A new approach to teaching electromagnetism [J]. American Journal of Physics,1989(57): 707-714.[5] THEWLIS J. Concise dictionary of physics and related subjects [M]. PergamonPress, 1979: 360.*基金项目:江苏省教育科学“十二五”规划课题—整体把握高中数学课程理念的单元教学设计实践 研究(课题批准号:D/2013/02/440)教学月刊.中学版^_」教学参考2016/12^^•实践创斩于整体把握高中数学课程理念的教学设计实 践研究也备受重视.一、 对整体把握高中数学课程的认识所谓整体把握高中数学课程,是指在感知 过程中要把高中数学课程当作一个整体来对 待和处理.具体指教师与学生在教与学的过程 中,不仅要关注每个微观的数学知识点和思想 方法的掌握,更要从宏观角度,把高中数学看 成是由各个内在相互联系的要素构成的有机 统一体,科学合理地处理好局部与整体的关 系,并注重学生数学能力和情感态度的培养, 努力遵循学生终身数学教育、终身发展的理念 来认识、建设和处理高中数学课程.把握高中数学的整体结构,其纵向维度, 需要在每一个局部数学知识模块的教学中,努 力体现其在整个高中阶段的地位和作用,从历 史的角度,让学生真实感知其发现或发生、论 证或发展、应用等全部过程;其横向维度,需要 上升到课程的高度,把高中数学作为一个整 体,让学生站在整个高中数学课程的高度,理 解和认识每一知识模块,进而对高中数学获得 全方位的认知与感悟.二、 基于整体把握高中数学课程理念的 教学设计课例以笔者2015年12月在江苏省青年数学 教师优秀课观摩与评比活动中应邀开设的研 讨课“导数在研究函数中的应用”(苏教版)为 例,通过简要介绍教学过程,谈谈笔者所在课 题组在教学设计和实践中对整体把握高中数 学课程理念的探索和体会.(一)教材分析函数的单调性是高中学生研究函数的第 一个重要性质,是函数学习中第一个用数学符 号语言刻画的概念,在“必修一”学生已学会运 用定义法和图象法等初等方法研究函数的单 调性.本章学生是在掌握基本初等函数的性质 和学习导数的概念与运算的基础上,特别是在教学月刊•中学版_教学参考2016/12 | ,了解导数的几何意义的前提下,学习运用导数 法去研究函数的单调性,为进一步研究较为复杂的复合函数的极值、最值,进而画出函数的 草图,讨论“恒成立问题”“存在性问题”“零点 问题”等打下基础,同时,也有利于帮助学生了 解函数整体的平均变化率与某点处的瞬时变 化率的关系,进一步加深对函数单调性的理 解.利用导数研究函数的单调性,学生的认知 困难主要有两个方面.(1)导数与函数单调性 关系的探索发现.高等数学是用极限思想给予 严格的证明,而高中阶段只能利用导数的几何 意义,由特殊函数在同一单调区间内导数值的特征来观察、分析、归纳和总结规律.如何联想 到运用导数来判断单调性,以及如何发现这一 规律对学生而言是非常困难的.(2)由于导数 法是由特殊函数的图象结合导数值观察发现 的,是否具有一般性,学生还存有疑问,如何进 行理论分析、如何处理是一大难点.根据以上 的分析和高中数学课程标准的教学要求,确定 了本节课的重点和难点.教学重点:导数在研究函数单调性中的应用;教学难点:导数与函数单调性关系的探究 和发现以及理论分析.(二)教学过程简录1.复习回顾引入课题引例:试确定函数f (x )=x 2-4x +3的单调增 区间和减区间.问题:函数单调性是如何定义的?如何判 断函数的单调性?教师小结:图象法(依性作图、以图识性), 定义法(取值、作差、变形、断号、定论).【设计意图】以实际数学问题为载体,通过 解决问题引导学生复习回顾已掌握的证明函 数单调性的初等方法.问题:能利用这些初等方法讨论研究所有函数的单调性吗?大家能否找出一些反例?学生:不能.例如,含有三次以上幂函数,或含有对数函数,或含有三角函数等的函数.教师:根据同学们的意见,列举其中三个 函数:(1)f(x)=2x3-6x2+7; (2)f(x)=x1nx;(3)f(x)=x+2cosx.【设计意图】引导学生针对在学习过程中 遇到的困难,培养好奇心,探究新方法,导人新 课.由学生随意推荐函数,既可以激发学生学 习的兴趣,又可以初步感受新的方法研究函数 单调性更具有一般性和有效性.2.探索归纳发现结论问题:运用现代多媒体技术,通过几何画 板可以试着画出上述函数的图象,根据上述函 数的图象,能判断函数的单调性吗?图1图2图3学生:从图1可以发现,函数(1)可以,而 从图2、图3不能确定函数(2)(3)的单调性,因为难以确定单调区间之间的“分点”【设计意图】由于还未学习极值点的判断,那么对于连续函数,学生的困难是难以确定单 调区间之间的分界点一极值点的确切位置,这里激起学生的疑问,为后面进一步研究极值 点埋下伏笔.通过讨论,使学生感受到用函数 图象判断函数单调性虽然比较直观,但有时不 够精确,还需要寻找其他方法进行严密化、精 确化的研究和严格的代数逻辑推理.问题:除了初等方法,还有其他更为有效 的方法研究这些复合函数的单调性吗?函数单 调性是对函数变化趋势的一种刻画,高中数学 还有什么知识也可以刻画函数变化的趋势?又 是如何刻画的?实践创新__学生:导数.函数的导数主要刻画了函数在每一点处的瞬时变化率,反映了函数上升或下降的陡峭程度.问题:能利用导数去研究函数的单调性吗?导数的几何意义是什么?函数在不同的单调区间内,伴随着函数图象上每一点处切线的变化,其导数值具有什么相应特征?学生活动:利用几何画板,对上述三个函数的图象不断变化切线的位置,师生共同探究,分组讨论,猜想出导数法的一般结论,板书结论.猜想:对于函数y=((x)在某区间I上,(1) 如果f'(x)>0,那么f(x)为区间I上的 增函数.(2) 如果f'(x)<0,那么f(x)为区间I上的 减函数.【设计意图】通过实例,借助几何图形的直观,观察特殊函数图象切线的变化,引导学生观察、分析、猜想和提炼出导数与函数单调性的密切关系,从而发现研究函数单调性的又一种方法——导数法,培养学生由特殊到一般的归纳总结能力.问题:虽然上述三个函数是由大家随意找出的,但能代表所有连续可导函数吗?也就是说上述结论具有一般性吗?教师指出:上述结论是由上述三个特殊的函数图象得到的,只是一种猜想,是否具有一般性,还需要严格的数学证明.问题:对任意连续可导函数y=f(x)在区间I上f'(x)>0恒成立,几何意义是什么?学生:函数图象在区间I上任意一点处切线的斜率都大于零.问题:要证明函数y=f(x)在区间I上单调递增,根据定义就是要证明什么?学生1:任取xi,2沂I,当X02时,都有f(x)<f(x2)成立.或任取乂1,2沂I,当X,>x2时,都有 f(x)>f(x2)成立._教学月刊•中学版_」教学参考2016/12^^•实践创斩学生2:任取、,2沂I ,都有f (Xl)-f(X 2) >0X 1-X 2成立.学生3:函数图象在区间I 上联结任意两 点割线的斜率都大于零.问题:如果图象连续的函数y =f (x )在区间 丨上f '(x )>0恒成立,则函数y =f (x )在区间I 上 单调递增,你能简单说明理由吗?学生活动:分组讨论.从图4发现,让经过 两点f (x 2))的割线平行 移动,当函数图象 平滑、连续不间断 时,则必然有一直线与函数图象相图4切,设切点为(x 〇,f (x 。
江苏省盐城市东台镇中学高一数学文月考试卷含解析一、选择题:本大题共10小题,每小题5分,共50分。
在每小题给出的四个选项中,只有是一个符合题目要求的1. 已知是边长为1的等边三角形,点分别是边的中点,连接并延长到点,使得,则的值为()A.B. C. D.参考答案:B2. 对任意实数,直线与圆:的位置关系是A.相交B.相切C.相离D.与取值有关参考答案:A3. 已知直线上两点的坐标分别为,且直线与直线垂直,则的值为()A. B. C. D.参考答案:B略4. 锐角三角形中,内角的对边分别为,若,则的取值范围是() A.B、 C、D、参考答案:C5. cos570°=()A. B. C. D.参考答案:B【分析】直接利用诱导公式化简得解.【详解】故选:B【点睛】本题主要考查了利用诱导公式化简及特殊角的三角函数值,属于基础题。
6. 如果二次函数y=x2+2x+(m-2)有两个不同的零点,则m的取值范围是()A. B. C. D.参考答案:D7. 已知函数,则的值为.参考答案:略8. 已知x,y∈R,且8﹣2y=2x,则x+y的最大值为()A.2 B.3 C.4 D.6参考答案:C【考点】基本不等式;有理数指数幂的化简求值.【分析】由题意可得8=2x+2y≥2=2,由指数幂的运算验证等号成立即可.【解答】解:∵x,y∈R,且8﹣2y=2x,∴8=2x+2y≥2=2,解得2x+y≤16,即x+y≤4,当且仅当2x=2y即x=y=2时取等号∴x+y的最大值为4故选:C9. 下列命题正确的是()A.若∥,且∥,则∥.B.两个有共同起点且相等的向量,其终点可能不同.C.向量的长度与向量的长度相等D.若非零向量与是共线向量,则A、B、C、D四点共线。
参考答案:C略10. 无论为何实值,直线总过一个定点,该定点坐标为().A.(1,)B.(,)C.(,)D.(,)参考答案:D略二、填空题:本大题共7小题,每小题4分,共28分11. 已知函数f(x)=log a x+x﹣b(a>0且a≠1),当3<a<4<b<5时,函数f(x)的零点x0∈(n,n+1),n∈N*,则n=.参考答案:3根据a,b的范围判断f(3),f(4)的符号,从而得出零点x0的范围.解:∵3<a<4<b<5,∴0<log a3<1,1<log a4<2,﹣2<3﹣b<﹣1,﹣1<4﹣b<0,∴f(3)=log a3+3﹣b<0,f(4)=log a4+4﹣b>0,∴f(x)在(3,4)上存在零点.故答案为3.12. 若向量的夹角是,,则= .参考答案:13.已知,,则= ,cosx= .参考答案:;.【考点】三角函数的化简求值.【分析】由x 的范围求出x﹣的范围,再由同角三角函数的基本关系式求得;由cosx=cos[(x﹣)+],展开两角和的余弦求得cosx.【解答】解:∵,∴<,又,∴=.则cosx=cos[(x﹣)+]=cos(x﹣)cos﹣sin(x﹣)sin=.故答案为:;.【点评】本题考查三角函数的化简求值,关键是“拆角配角”思想的应用,是中档题.14. 为了解中学生课外阅读情况,现从某中学随机抽取200名学生,收集了他们一年内的课外阅读量(单位:本)等数据,以下是根据数据绘制的统计图表的一部分.下面有四个推断:①这200名学生阅读量的平均数可能是26本;②这200名学生阅读量的75%分位数在区间[30,40)内;③这200名学生中的初中生阅读量的中位数一定在区间[20,30)内;④这200名学生中的初中生阅读量的25%分位数可能在区间[20,30)内.所有合理推断的序号是________.参考答案:②③④【分析】①由学生类别阅读量图表可知;②计算75%分位数的位置,在区间内查人数即可;③设在区间内的初中生人数为,则,分别计算为最大值和最小值时的中位数位置即可;④设在区间内的初中生人数为,则,分别计算为最大值和最小值时的25%分位数位置即可. 【详解】在①中,由学生类别阅读量中男生和女生人均阅读量知,这200名学生的平均阅读量在区间内,故错误;在②中,,阅读量在的人数有人,在的人数有62人,所以这200名学生阅读量的75%分位数在区间内,故正确;在③中,设在区间内的初中生人数为,则,当时,初中生总人数为116人,,此时区间有25人,区间有36人,所以中位数在内,当时,初中生总人数为131人,,区间有人,区间有36人,所以中位数在内,当区间人数去最小和最大,中位数都在内,所以这名学生中的初中生阅读量的中位数一定在区间内,故正确;在④中,设在区间内的初中生人数为,则,当时,初中生总人数为116人,,此时区间有25人,区间有36人,所以25%分位数在内,当时,初中生总人数为131人,,区间有人,所以25%分位数在内,所以这名学生中的初中生阅读量的25%分位数可能在区间内,故正确;故答案为:②③④【点睛】本题主要考查频数分布表、平均数和分位数的计算,考查学生对参数的讨论以及计算能力,属于中档题.15. 如果一个水平放置的图形的斜二测直观图是一个底面为45°,腰和上底均为1的等腰梯形,那么原平面图形的面积是.参考答案:【考点】平面图形的直观图.【专题】计算题.【分析】水平放置的图形为直角梯形,求出上底,高,下底,利用梯形面积公式求解即可.【解答】解:水平放置的图形为一直角梯形,由题意可知上底为1,高为2,下底为1+,S=(1++1)×2=2+.故答案为:2+.【点评】本题考查水平放置的平面图形的直观图斜二测画法,也可利用原图和直观图的面积关系求解.属基础知识的考查.16. 函数y=|log2x|﹣10﹣x的零点个数是.参考答案:2【考点】函数零点的判定定理.【专题】计算题;数形结合;综合法;函数的性质及应用.【分析】将方程的解的个数转化为两个函数的交点问题,通过图象一目了然.【解答】解:函数y=|log2x|﹣10﹣x的零点个数,就是方程|log2x|﹣10﹣x=0的根的个数,得|log2x|=10﹣x,令f(x)=|log2x|,g(x)=10﹣x,画出函数的图象,如图:由图象得:f(x)与g(x)有2个交点,∴方程|log2x|﹣10﹣x=0解的个数为2个,故选答案为:2【点评】本题考查了函数根的存在性问题,考查转化思想,数形结合思想,是一道基础题.17. 函数f(x)=-2sin(3x+)表示振动时,请写出在内的初相________.参考答案:f(x)=-2sin(3x+)=2sin(3x+),所以在内的初相为。
高中数学集体备课记录表日期:XX年XX月XX日地点:XX教室主持人:XXX参与备课教师:1. XXX(主题:引入高中数学学习的重要性)2. XXX(主题:数列与数学模型)3. XXX(主题:解析几何的基本概念和方法)4. XXX(主题:概率与统计的应用)备课内容:1. 引入高中数学学习的重要性在本次备课中,我们首先讨论了高中数学学习的重要性。
我们一致认为高中数学是培养学生逻辑思维和分析问题能力的重要学科。
通过数学学习,学生不仅能够提高解决实际问题的能力,还能够培养抽象思维和推理能力。
因此,我们将致力于设计有趣且具有挑战性的数学课程,激发学生对数学的兴趣和学习动力。
2. 数列与数学模型接下来,我们讨论了数列与数学模型的教学内容。
我们认识到数列是数学中重要的概念之一,它不仅广泛应用于自然科学、经济学和工程学等领域,还是理解数学模型的基础。
因此,我们将设计一系列能够激发学生兴趣的数列问题,帮助他们掌握数学模型的建立与应用。
3. 解析几何的基本概念和方法随后,我们深入研究了解析几何的基本概念和方法。
我们强调了平面直角坐标系的建立,同时重点讲解了点、直线和圆的表示方法。
我们一致认为,几何图形的解析表达能够帮助学生更好地理解几何问题,并提高他们的空间想象能力。
因此,我们将提供大量的练习题,让学生充分应用解析几何的基本概念和方法。
4. 概率与统计的应用最后,我们讨论了概率与统计在现实生活中的应用。
我们认识到概率与统计是现代社会不可或缺的数学学科,它们广泛应用于保险、金融、医学等领域。
因此,我们将注重培养学生的概率思维和数据分析能力,通过实例和案例演练,让学生掌握概率与统计的基本原理和方法。
总结:本次备课中,我们讨论了高中数学的重要性,并围绕数列与数学模型、解析几何、概率与统计等内容进行了深入研究。
我们将根据教学大纲和学生需求,设计富有挑战性的教学活动,以激发学生对数学学习的兴趣和动力。
我们相信,通过我们的共同努力,学生们将能够在数学学习中取得更大的突破和成就。
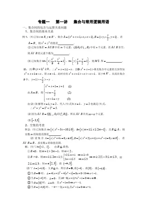
专题一 第一讲 集合与常用逻辑用语一、集合间的包含与运算关系问题1、集合间的基本关系例1:(1)已知+∈∈R y R x ,,集合}1,2,{},1,,1{2+--=---++=y y y B x x x x A .若B A =,则22y x +的值是 .(2)已知全集U =A B U 中有m 个元素,()()U U A B U 痧中有n 个元素.若A B I 非空, 则A B I 的元素个数为 .(3)已知集合M =⎭⎬⎫⎩⎨⎧=+149|22y x x ,N =⎭⎬⎫⎩⎨⎧=+123|y x y ,则=N M I . 解:(1)0)1(2≥+x Θ,x x x -≥++∴12,且012>++x x Θ及集合中元素的互异性知 x x x -≠++12,即1-≠x ,此时应有211x x x x ++>->--.而+∈R y ,从而在集合B 中,12y y y +>->- . 由B A =,得211(1)(2)21(3)x x y y x x y⎧++=+⎪⎪-=-⎨⎪--=-⎪⎩ 由(2)(3)解得2,1==y x ,代入(1)式知1x =,2y =也满足(1)式,.5212222=+=+∴y x(2)因为[()()]U U U A B A B =I U 痧?,所以A B I 共有m n -个元素.(3)[]3,3-. 2、空集的考查例2:(1)已知集合A ={}2|3100x x x --≤,B ={}|121x m x m +≤≤-,且B A ⊆,则 实数m 的取值范围是 .(2)设集合{}(){}222|40,,|2110,A x x x x R B x x a x a x R =+=∈=+++-=∈.若A B B =I ,求实数a 的取值范围.解:(1)∵A =[]2 , 5-, 由B A ⊆得:①B =∅,则121->+m m ,即2<m ;②B ≠∅,则121-≤+m m 且2132153m m m m -≤+⇒≥-⎧⎨-≤⇒≤⎩332≤≤-≥⇒m m 且,即 32≤≤m ,知m ∈[]2,3 .故 (],3-∞. (2)∵{}4,0A =-,又B A ⊆,所以,B =Φ或{}4-,或{}0,或{}4,0-. ①当B =Φ时,()()2241418801a a a a ∆=+--=+<⇒<-.②当{}4B =-时,0∆=,且()21681+10a a a +-=⇒∈Φ-. ③当{}0B =时,0∆=,且2101a a -=⇒=-. ④当{}4,0B =-时,()2421,10 1.a a a +-=⇒-=-且=综上所述,实数a 的取值范围是11a a ≤-=或.二、以集合语言为背景的综合题例3:(1)已知{|(1,0)(0,1),},{|(1,1)(1,1),}P a a m m R Q b b n n R ==+∈==+-∈是两个向量集合,则P Q =I .(2)设集合I ={1,2,3},A ⊆I ,若把集合M ∪A =I 的集合M 叫做集合A 的配集,则A ={1,2}的配集有 个.(3)(2010·绍兴模拟)已知{a n }是等差数列,d 为公差且不为0,a 1和d 均为实数,它的前n 项和记作S n ,设集合A ={(a n ,S n n )|n ∈N *},B ={(x ,y )|14x 2-y 2=1,x ,y ∈R }.试问下列结论是否正确,如果正确,请给予证明;如果不正确,请举例说明:① 若以集合A 中的元素作为点的坐标,则这些点都在同一条直线上;② A ∩B 至多有一个元素;③ 当a 1≠0时,一定有A ∩B ≠∅.解:(1)因为(1,) (1,1)a m b n n ==-+r r 代入选项可得(){}1,1P Q ⋂=故{〔1,1〕}.(2)A 的配集中一定含有元素3,余下两个元素1,2可以全不含、仅有一个、两个都有; 故4个;(3)① 正确;在等差数列{a n }中,S n =2)(1n a a n +,则21=n S n (a 1+a n ),这表明点(a n ,n S n )的坐标适合方程y 21=(x +a 1),于是点(a n , nS n )均在直线y =21x +21a 1上. ② 正确;设(x ,y )∈A ∩B ,则(x ,y )中的坐标x ,y 应是方程组⎪⎪⎩⎪⎪⎨⎧=-+=1412121221y x a x y 的解,由方程组消去y 得:2a 1x +a 12=-4(*),当a 1=0时,方程(*)无解,此时A ∩B =∅;当a 1≠0时,方程(*)只有一个解x =12124a a --,此时,方程组也只有一解⎪⎪⎩⎪⎪⎨⎧-=--=1211214424a a y a a y ,故上述方程组至多有一解. ∴A ∩B 至多有一个元素.③不正确;取a 1=1,d =1,对一切的x ∈N *,有a n =a 1+(n -1)d =n >0,nS n >0,这时集合A 中的元素作为点的坐标,其横、纵坐标均为正,另外,由于a 1=1≠0http:// / 如果A ∩B ≠∅,那么据(2)的结论,A ∩B 中至多有一个元素(x 0,y 0),而x 0=5224121-=--a a<0,y 0=43201=+x a <0,这样的(x 0,y 0)∉A ,产生矛盾,故a 1=1,d =1时A ∩B =∅,所以a 1≠0时,一定有A ∩B ≠∅是不正确的. 三、命题真假的判断与否定问题例4: (1)下列4个命题:①命题“若Q 则P ”与命题“若非P 则非Q ”互为逆否命题;②“am 2<bm 2”是“a <b ”的必要不充分条件;③“矩形的两条对角线相等”的否命题为假;④命题“⊄∅{1,2}}或4∉{1,2}”为真命题.其中真命题的序号是__ _____.(2)已知命题:p R x ∈∃,022≤++a ax x .若命题p 是假命题,则实数a 的取值范 围是 .解:(1)①③④;(2) 0<a <1.四、充分、必要条件的确认与探求问题例5:(1)“18a =”是“对任意的正数x ,21a x x+≥”的 条件 (2)以下四个命题中,正确命题的序号是______________.①△ABC 中,A >B 的充要条件是sin sin A B >;②函数()y f x =在区间(1,2)上存在零点的充要条件是(1)(2)0f f ⋅<; ③等比数列{a n }中,1531,164a a a ===±,则;④把函数sin(22)y x =-的图象向右平移2个单位后,得到的图象对应的解析式为 sin(42)y x =-(3)已知命题p :方程a 2x 2+ax -2=0在[-1,1]上有解;命题q :只有一个实数x 满足不等式x 2+2ax +2a ≤0.若命题“p 或q ”是假命题,则a 的取值范围是_________.解:(1)18a =12218a x x x x ⇒+=+≥=,另一方面对任意正数x ,21a x x +≥, 只要 21a x x +≥=18a ⇒≥,所以充分不必要条件. (2)①;(3)解析 由a 2x 2+ax -2=0,得(ax +2)(ax -1)=0,显然a ≠0,∴x =-2a 或x =1a. ∵x ∈[-1,1],故|-2a |≤1或|1a|≤1, ∴|a |≥1.只有一个实数x 满足不等式x 2+2ax +2a ≤0,即抛物线y=x2+2ax+2a与x轴只有一个交点,∴Δ=4a2-8a=0,∴a=0或a=2.∴命题“p或q”为真命题时,|a|≥1或a=0.∵命题“p或q”为假命题,∴a的取值范围为{a|-1<a<0或0<a<1}.答案-1<a<0或0<a<1。
第10课时 三角函数的诱导公式(1)一、课题:三解函数的诱导公式(1)二、教学目标: 1.巩固理解三角函数线的知识,并能利用三角函数线推导诱导公式一、二、三、四。
2.掌握诱导公式一、二、三、四,并能正确运用公式进行有关计算、化简。
3.了解、体会将求任意角的三角函数转化为求锐角三角函数的化归的数学思想,提高分析问题、解决问题的能力。
三、教学重点、难点 1.诱导公式一、二、三、四的推导、记忆及符号的判断。
2.理解诱导公式,灵活运用诱导公式求值、化简。
四、预习思考题1.设α为任意角,则π+α,-α,π-α的终边与α的终边之间的对称关系.2.诱导公式一~四(1)公式一:sin(α+2k π)=________,cos(α+2k π)=________,tan(α+2k π)=________,(其中k ∈Z.)(2)公式二:sin(-α)=________,cos(-α)=________,tan(-α)=________.(3)公式三:sin(π-α)=________,cos(π-α)=________,tan(π-α)=________.(4)公式四:sin(π+α)=________,cos(π+α)=______,tan(π+α)=________.五、教学过程1.复习三角函数线。
2.角α的终边与角2()k k Z απ+∈、α-、πα-、πα+的终边位置关系如何?同名三角函数的关系又如何?3.新授诱导公式(一)sin(2)sin ()cos(2)cos ()tan(2)tan ()k k Z k k Z k k Z απααπααπα+=∈+=∈+=∈ 诱导公式(二)sin()sin cos()cos tan()tan αααααα-=--=--=-诱导公式(三)sin()sin cos()cos tan()tan πααπααπαα-=-=--=- 诱导公式(四)sin()sin cos()cos tan()tan πααπααπαα+=-+=-+=思考:由公式二、三,你能推导出公式四吗?根据公式二、三、四中的任意两组公式,你能推导出另外一组公式吗?注:1. 诱导公式一、二、三、四中的又可以是任意角,公式对角度制、弧度制都成立。
第9课时 同角三角函数关系(2)一、课题:同角三角函数关系2二、教学目标:1.能正确运用公式进行三角函数式的求值2.能根据三角函数关系公式进行三角式的化简和证明.三、教学重点:公式的灵活运用(求值、化简及证明)四、复习思考题1.同角三角函数的基本关系式2.同角三角函数基本关系式的变形3.若sin θ=-45,tan θ>0,则cos θ=________. 4.已知α是第二象限角且tan α=-512,则sin α=________. 5.已知sin α-cos α=12,则sin 3α-cos 3α=________. 6.已知1+sin αcos α=-12,则cos αsin α-1的值是________. 五、教学过程:一、基础训练:1.已知tan α= -3 3 则cos α= . 2.已知a =2sin 2θ,log 2b=cos 2θ,则ab= . 3.已知A 为三角形的内角,若sinA+cosA=1225,则这个三角形的形状为 . 4.已知sin 2θ-2cos θ=2,则sin θcos θ+3 sin θ +cos θ= .5.若角α终边落在直线x+y=0上,则sin α 1-sin 2α + 1-cos 2α cos α= . 6.已知sin θ·cos θ=12 ,则tan θ+1 tan θ=________. 7.已知tan α= 2 ,则cos α-5sin α3cos α+ sin α=_____________.二、例题选讲:例1.已知sin α+cos α=12,求下列各三角函数式的值: ① sin α·cos α ②sin 3α+cos 3α ③sin 4α+cos 4α例2 化简tan 其中α是第二象限角.例3 求证:sin 1cos 1cos sin αααα-=+3.巩固练习(1)已知sin α+cos α=15,0<α<π,求tan α.(2)化简(1)cos tan αα; (2)222cos 112sin αα--.(3)求证:2211tan cos αα+=.(三)课堂小结六、教学设计七、教后记八、课后作业1.若1sin 1cos ,cos 2sin 1αααα+==-则____________.2.化简(1)tan θ其中为第二象限角(2;(33.证明下列恒等式;(1)4422sin cos 12sin cos αααα+=-;(2)2212sin cos 1tan cos sin 1tan x x x x x x--=-+.4.(1)已知44sin cos sin cos sin cos αααααα+=+求及的值;(2)已知1sin cos (0),tan 5αααπα+=<<求的值.。
第12课时 小结与复习一、课题:小结与复习二、学习目标:1. 能进一步运用同角三角函数关系式及诱导公式求值、化简、证明。
2. 能通过公式的运用,了解从未知到已知、由复杂到简单的转化过程。
3. 进一步准确记忆并理解诱导公式,灵活运用公式。
三、学习重、难点:公式的灵活运用。
四、学习过程1. 复习:同角三角函数关系、诱导公式2. 练习:①202020sin 1sin 2sin 3+++ (20)sin 89+=②αβαβ已知cos(+)=-1,tan =2,则tan =③0(sin )cos 2,(cos30)f x x f =已知则=3. 例题讲解:例1.已知tan 2α=,求下列各式的值: ①2sin 3cos 4sin 9cos αααα-- ②22222sin 3cos 4sin 9cos αααα--例2.已知1sin cos ,0,sin cos 5αααπαααα+=<<且求和sin -cos例3.α为第二象限角②4141cos()cos()44n n παπα+-++- n Z ∈例4.已知方程8x 2+6kx+2k+1=0的两个实根为sin cos αα和(sin cos )αα>其中 求(1)求k 的值; (2)求tan α的值.4. 巩固练习(1)已知222sin 3sin cos 2cos 0αααα+-=求下列各式的值①tan α ②sin cos 3cos sin αααα++ ③2sin sin cos 1ααα++2. 化简 sin[(1)]cos[(1)]()sin()cos()k k k Z k k παπαπαπα++⋅+-∈-⋅+3. 已知1t a n ,t a n αα是关于x 的方程 x 2-kx+k 2-3=0的两实根,且73,cos(3)sin()2παππαπα<<+++求的值。
五. 课堂小结六. 课后作业1. 若α的终边过点(3x-9,x+2)且cos 0α≤,sin 0,x α>∈则=2.角α的终边过点P(-8m,-6cos600)且4cos 5α=-,则m=3.α为第三象限角,且cos m α=,则tan α用m 可表示为4.已知A 是△ABC 的内角,且7sin cos 13A A +=,则△ABC 是 三角形5. 若sin cos αα+=1tan tan αα+=6. 若2sin 21,(cos 3)(sin 1)cos 1αααα+=+++则=7. 已知集合{|2(21),},{|44},A k k k Z B A B απαπαα=+<<+∈=-<<则=8. 函数|sin |2cos 3|tan |sin |cos |tan x x x y x x x =-+的值域为9. 2tan αα=∈则10. 已知3sin cos 0αα+=,求下列各式的值 ①3cos 5sin sin cos αααα+- ②22sin 2sin cos 3cos αααα+-11. 化简sin()sin()()sin()cos()n n n Z n n απαπαπαπ++-∈+-12. m 为何值时,关于x 的方程2(5)(25)120m x m x +--+=的两根是直角三角形两锐角的正弦。
利用数学课后练习㊀促进知识有效掌握顾翠娟(江苏省东台市第一中学㊀224000)摘㊀要:合理的展开课后习练可以及时考察与检验同学们的知识吸收掌握程度ꎬ能够很好地反映出大家知识吸收掌握上的不足与漏洞ꎬ让大家有针对性地查漏补缺.本文对此进行了分析研究.关键词:利用ꎻ数学ꎻ课后ꎻ练习ꎻ促进ꎻ知识ꎻ掌握中图分类号:G632㊀㊀㊀㊀㊀㊀文献标识码:A㊀㊀㊀㊀㊀㊀文章编号:1008-0333(2020)33-0026-02㊀㊀课堂上新知识内容的分析讲解结束后并不是学习过程的完结.同学们在完成新课内容的学习后很可能就有些知识点还没有完全弄懂ꎬ后者是对于有些难点部分存在一知半解ꎬ这些都十分普遍.想要让自身就知识点有牢固的吸收掌握ꎬ课后练习是非常重要的环节.㊀㊀一㊁巩固基础知识的吸收想要利用课后练习来牢固知识的吸收掌握ꎬ这需要就练习内容做有针对性的选择.如果学到一些比较抽象ꎬ需要理解记忆的内容较多的知识点时ꎬ同学们首先要夯实理论基础ꎬ要就基本内容有良好的理解掌握.这时ꎬ大家不妨从相对简单的练习题出发ꎬ在完成这些练习的基础上牢固记忆ꎬ并且能够锻炼自身灵活使用所学知识解决实际问题的能力.练习的形式也可以十分多样.如果是那些思维量较大的知识点ꎬ大家可以更多地记忆开放性问题的探究来展开知识应用.如果是理论性较强ꎬ涉及到很多细碎知识点的学习内容ꎬ大家可以利用习题组的形式来加以强化.合理的选择练习内容和形式ꎬ这样才能够起到更好的训练效果ꎬ并且达到牢固知识吸收掌握的训练目标.比如ꎬ学习完轨迹方程的相关内容后ꎬ不少同学对于各种不同轨迹的方程特征和方程的求解方式在掌握上不够牢固ꎬ这时大家就可以展开如下练习:(1)已知A(-1ꎬ0)ꎬB(1ꎬ0)ꎬ动点P分别与A㊁B相连ꎬ所得连线的斜率之积为-2ꎬ求点P的轨迹方程. (2)已知点A是圆x2+y2=16上的动点ꎬ一个定点M(8ꎬ0)ꎬ动点P是线段MA的中点ꎬ求点P的轨迹方程. (3)已知动圆M和圆C1:(x+1)2+y2=36内切ꎬ并和圆C2:(x-1)2+y2=4外切ꎬ求动圆圆心M的轨迹方程. (4)已知动直线l1:ax+y+1=0ꎬl2:x-ay-1=0ꎬ求l1和l2的交点P的轨迹方程.这几个问题都不算太难ꎬ但是却能够起到很好的知识吸收巩固与强化的训练效果.同学们可以首先就这类习题多加练习ꎬ让自己的理论根基更为扎实ꎬ这不仅有助于知识吸收掌握的强化ꎬ也会给后续处理更为复杂的问题奠定良好的理论根基.㊀㊀二㊁促进思维的多元与发散学习完新课内容后ꎬ很多同学容易产生的问题就是对于知识的理解只是停留在表面ꎬ同学们在遇到各种实际问题时往往没有做深入思考和探析ꎬ这使得问题的解析方法不得当ꎬ甚至会进入到很多思维误区中.在学到一些思维量较大ꎬ且可以有很多变式的知识内容时ꎬ想要牢固吸收掌握这些知识点ꎬ需要大家的思维更加灵活多样.因此ꎬ同学们可以尝试一些可以锻炼自身思维能力的习题ꎬ基于这些问题的解答来就涉及的知识点做更有效的应用ꎬ并且让自己思维的灵活性和发散性得到锻炼.这不仅有助于大家真正吸收掌握知识原理ꎬ也能够让同学们在处理各类复杂多变的问题时都有良好应对.比如ꎬ讲解完三角函数的重点知识点后ꎬ老师会给大家列举一两题很有代表性的三角函数的练习题.不少同学在题目还没完全看清楚前就草草解答ꎬ最后得出的答案自然不正确.也有同学身体会非常细致ꎬ并且会有一些新的发现ꎬ比如经过层层深入的分析后得出ꎬ并不是老师上课讲的知识点在做题时都能用上ꎬ这个题目中包含一些老师没有讲过的知识点ꎬ因此不知道该如何解答.这个简单的测试其实是在告诉大家ꎬ在处理各类问题时一定要让自己的思维更加多元与发散ꎬ不要简单的想当然ꎬ要做更加全面而细致的思考.最后ꎬ在老师的帮助下大家慢慢找到了问题解析的正确思路ꎬ并且就课堂知识实现了复习巩固ꎬ明确三角函数问题的关键点在什么地方ꎬ这是一种很好的知识巩固吸收的方法.㊀㊀三㊁分析所学知识的应用方法随着大家积累知识的慢慢增多ꎬ以及见过的习题越来越丰富ꎬ同学们在完成各类习题时也会做一些经验和方法的总结.大家会意识到ꎬ在利用所学知识解答具体问题的过程中ꎬ了解知识点的适用条件和适用范围极为重要.这是决定能否利用这个知识点解决实际问题的判断依据ꎬ也是让自身的解题思维更加严谨的分析过程.很多时候学完新的知识内容后大家会就这一点有所忽略ꎬ并没有真正考虑学到的知识内容的使用条件和范围.因此ꎬ同学们在解题时一定要就这个问题有仔细思考ꎬ这样才能够将问题做有效解答.比如课堂上老师提出了这样的问题:在圆里面求弦长ꎬ有 构造直角三角形 与 联立方程组ꎬ利用弦长公式进行计算 这两种方法.如果将圆的方程变为x2-y2=1ꎬy=x2ꎬ那么此时如何求出弦长?上述两种方法是否依然适用?这是一个很有代表性的习练形式ꎬ是在考察大家就解题方法和思维的适用条件做分析判断的学习过程.这样的习练内容可以很好地引导大家思考具体问题在解答时可以采取哪些合适的方法和模式ꎬ是让大家更深入地理解知识内容的实质ꎬ加强知识吸收掌握程度的训练过程.合理地展开课后习练可以及时考察与检验同学们的知识吸收掌握程度ꎬ能够很好地反映出大家知识吸收掌握上的不足与漏洞ꎬ让大家有针对性地查漏补缺.利用课后习练既能够帮助同学们牢固知识的吸收掌握ꎬ这也是锻炼大家思维能力ꎬ提升大家综合学科素养的训练过程.㊀㊀参考文献:[1]房俊ꎬ刘利强.高中数学高效课堂习题课练习的有效性研究[J].数理化解题研究ꎬ2017(12):12.[2]杨志霞.数学训练ꎬ贵在科学 浅析高中数学中的合理练习方法[J].理科考试研究ꎬ2017(01):48.[3]刘正玉.打造充满高效的高中数学课堂[J].数学学习与研究ꎬ2014(15):37.[4]涂海滨.高中数学课堂加强互动营造良好氛围探讨[J].数学学习与研究ꎬ2019(22):74.[5]严发银.核心素养下高中数学课堂错误资源化问题与对策[J].名师在线ꎬ2020(06):18.[责任编辑:李㊀璟]基于数学思想方法培养的高中数学教学探究王㊀颖(江苏省盐城中学㊀224000)摘㊀要:在高中数学教学中培养学生的数学思想方法ꎬ通过思维的启发提升学生在数学学习中的能力ꎬ引导学生在积极主动的独立思考中解决数学问题ꎬ实现数学思想方法的培养与发展.本文对此进行了分析研究.关键词:数学ꎻ思想方法ꎻ培养ꎻ高中ꎻ教学中图分类号:G632㊀㊀㊀㊀㊀㊀文献标识码:A㊀㊀㊀㊀㊀㊀文章编号:1008-0333(2020)33-0027-02㊀㊀随着数学学科的改革创新ꎬ学校教育对数学思想及数学方法在日常教学中的应用越来越重视ꎬ数学思想方法的培养有利于打破学生在数学学习中的惯性思维习惯ꎬ提升学生在数学学习中的主动思考与验证能力ꎬ提高学生分析㊁总结与归纳能力ꎬ从而有效促进学习能力的发展.㊀㊀一㊁以自主探究教学促进数学思维能力的培养探究式教学模式是指教师通过给学生抛出一些具有探究性的问题或案例ꎬ引导学生通过自主学习㊁查阅资料㊁实验㊁观察㊁思考㊁讨论等形式进行主动探究ꎬ从而发现并总结出问题的原理及结论ꎬ并形成能力的一种教学方法.探究式教学法以学生作为教学工作的主体ꎬ通过教师的有效引导ꎬ在自主探索和自主分析的过程中解决学习中的问题ꎬ分析事物的内在属性及关联ꎬ寻找规律ꎬ总结方法ꎬ形成能力并建立起自主的认知模型与学习架构.探究式教学模式对学生数学思想方法的培养ꎬ利用具有探究性的数学知识及问题ꎬ引导学生对数学问题进行多角度和多元化的思考ꎬ通过自主学习㊁合作学习㊁讨论㊁分析㊁交流等形式ꎬ大胆进行演算与推论ꎬ从而形成结论ꎬ循序渐进促进学生数学思想方法的不断提升.。
江苏新课标高一数学必修⑤教案 东台市第一中学高一数学备课组殷向东第 1 页 共 4 页1.1.1 数列(2)教学目标:(1)了解数列的递推公式是确定数列的一种方法;(2)理解数列的通项公式的概念,掌握根据数列的前n 项和确定数列的通项公式. 教学重点:(1)根据数列的前n 项和写出数列的通项公式.(2)进一步理解数列是特殊的函数,能运用函数思想讨论一些数列问题。
教学难点:根据数列的前n 项和写出数列的通项公式.教学过程一.问题情复习:(1)①数列{}n a的通项公式n a =4是该数列中的第 项.②已知数列{}n a 的通项公式2412n a n n =--,则4a = ,7a = ,65是它的第 项(2)写出下列数列的通项公式:①2,5-,10,17- ,...; ②23,415,635,863,...; ③12,2,92,8,252,...; *④0.5.0.55,0.555,0.5555,.... ⑤112,134,158,1716,...; 二.学生活动思考:已知在数列{}n a 中12n n a a +=+,那么这个数列中的任意一项是否都可以写出来?三.建构数学1.通项公式一般地,如果数列{}n a 的第n 项与序号n 之间的关系可以用一个公式来表示.那么这个公式叫做这个数列的通项公式.2.递推公式:如果已知数列{}n a 的第一项(或前几项),以及任一项n a 与前面一项n a (或前几项)之间的关系可用一个公式来表示,则这个公式叫做{}n a 的递推公式.3.数列的前n 项的和通常记为n S ,12n n S a a a =++⋅⋅⋅+.。
专题一 第一讲 集合与常用逻辑用语一、集合间的包含与运算关系问题1、集合间的基本关系例1:(1)已知+∈∈R y R x ,,集合}1,2,{},1,,1{2+--=---++=y y y B x x x x A .若B A =,则22y x +的值是 .(2)已知全集U =A B 中有m 个元素,()()U U A B 痧中有n 个元素.若A B I 非空, 则A B I 的元素个数为 .(3)已知集合M =⎭⎬⎫⎩⎨⎧=+149|22y x x ,N =⎭⎬⎫⎩⎨⎧=+123|y x y ,则=N M . 解:(1)0)1(2≥+x ,x x x -≥++∴12,且012>++x x 及集合中元素的互异性知 x x x -≠++12,即1-≠x ,此时应有211x x x x ++>->--.而+∈R y ,从而在集合B 中,12y y y +>->- . 由B A =,得211(1)(2)21(3)x x y y x x y⎧++=+⎪⎪-=-⎨⎪--=-⎪⎩ 由(2)(3)解得2,1==y x ,代入(1)式知1x =,2y =也满足(1)式,.5212222=+=+∴y x(2)因为[()()]U U U A B A B =痧?,所以A B 共有m n -个元素.(3)[]3,3-.2、空集的考查例2:(1)已知集合A ={}2|3100x x x --≤,B ={}|121x m x m +≤≤-,且B A ⊆,则 实数m 的取值范围是 .(2)设集合{}(){}222|40,,|2110,A x x x x R B x x a x a x R=+=∈=+++-=∈.若AB B =,求实数a 的取值范围.解:(1)∵A =[]2 , 5-, 由B A ⊆得:①B =∅,则121->+m m ,即2<m ;②B ≠∅,则121-≤+m m 且2132153m m m m -≤+⇒≥-⎧⎨-≤⇒≤⎩332≤≤-≥⇒m m 且,即 32≤≤m ,知m ∈[]2,3 .故 (],3-∞.(2)∵{}4,0A =-,又B A ⊆,所以,B =Φ或{}4-,或{}0,或{}4,0-. ①当B =Φ时,()()2241418801a a a a ∆=+--=+<⇒<-. ②当{}4B =-时,0∆=,且()21681+10a a a +-=⇒∈Φ-.③当{}0B =时,0∆=,且2101a a -=⇒=-.④当{}4,0B =-时,()2421,10 1.a a a +-=⇒-=-且=综上所述,实数a 的取值范围是11a a ≤-=或.二、以集合语言为背景的综合题例3:(1)已知{|(1,0)(0,1),},{|(1,1)(1,1),}P a a m m R Q b b n n R ==+∈==+-∈是两个向量集合,则P Q =I .(2)设集合I ={1,2,3},A ⊆I ,若把集合M ∪A =I 的集合M 叫做集合A 的配集,则A ={1,2}的配集有 个.(3)(2010·绍兴模拟)已知{a n }是等差数列,d 为公差且不为0,a 1和d 均为实数,它的前n 项和记作S n ,设集合A ={(a n ,S n n )|n ∈N *},B ={(x ,y )|14x 2-y 2=1,x ,y ∈R }.试问下列结论是否正确,如果正确,请给予证明;如果不正确,请举例说明:① 若以集合A 中的元素作为点的坐标,则这些点都在同一条直线上;② A ∩B 至多有一个元素;③ 当a 1≠0时,一定有A ∩B ≠∅.解:(1)因为(1,) (1,1)a m b n n ==-+代入选项可得(){}1,1P Q ⋂=故{〔1,1〕}.(2)A 的配集中一定含有元素3,余下两个元素1,2可以全不含、仅有一个、两个都有; 故4个; (3)① 正确;在等差数列{a n }中,S n =2)(1n a a n +,则21=n S n (a 1+a n ),这表明点(a n ,n S n )的坐标适合方程y 21=(x +a 1),于是点(a n , nS n )均在直线y =21x +21a 1上. ② 正确;设(x ,y )∈A ∩B ,则(x ,y )中的坐标x ,y 应是方程组⎪⎪⎩⎪⎪⎨⎧=-+=1412121221y x a x y 的解,由方程组消去y 得:2a 1x +a 12=-4(*),当a 1=0时,方程(*)无解,此时A ∩B =∅;当a 1≠0时,方程(*)只有一个解x =12124a a --,此时,方程组也只有一解⎪⎪⎩⎪⎪⎨⎧-=--=1211214424a a y a a y ,故上述方程组至多有一解. ∴A ∩B 至多有一个元素.③不正确;取a 1=1,d =1,对一切的x ∈N *,有a n =a 1+(n -1)d =n >0,nS n >0,这时集合A 中的元素作为点的坐标,其横、纵坐标均为正,另外,由于a 1=1≠0 如果A ∩B ≠∅,那么据(2)的结论,A ∩B 中至多有一个元素(x 0,y 0),而x 0=5224121-=--a a <0,y 0=43201=+x a <0,这样的(x 0,y 0)∉A ,产生矛盾,故a 1=1,d =1时A ∩B =∅,所以a 1≠0时,一定有A ∩B ≠∅是不正确的. 三、命题真假的判断与否定问题例4: (1)下列4个命题:①命题“若Q 则P ”与命题“若非P 则非Q ”互为逆否命题;②“am 2<bm 2”是“a <b ”的必要不充分条件;③“矩形的两条对角线相等”的否命题为假;④命题“⊄∅{1,2}}或4∉{1,2}”为真命题.其中真命题的序号是__ _____.(2)已知命题:p R x ∈∃,022≤++a ax x .若命题p 是假命题,则实数a 的取值范 围是 .解:(1)①③④;(2) 0<a <1.四、充分、必要条件的确认与探求问题例5:(1)“18a =”是“对任意的正数x ,21a x x +≥”的 条件 (2)以下四个命题中,正确命题的序号是______________.①△ABC 中,A >B 的充要条件是sin sin A B >;②函数()y f x =在区间(1,2)上存在零点的充要条件是(1)(2)0f f ⋅<; ③等比数列{a n }中,1531,164a a a ===±,则;④把函数sin(22)y x =-的图象向右平移2个单位后,得到的图象对应的解析式为 sin(42)y x =-(3)已知命题p :方程a 2x 2+ax -2=0在[-1,1]上有解;命题q :只有一个实数x 满足不等式x 2+2ax +2a ≤0.若命题“p 或q ”是假命题,则a 的取值范围是_________. 解:(1)18a=12218a x x x x ⇒+=+≥=,另一方面对任意正数x , 21a x x +≥, 只要21a x x +≥=≥18a ⇒≥,所以充分不必要条件. (2)①;(3)解析 由a 2x 2+ax -2=0,得(ax +2)(ax -1)=0,显然a ≠0,∴x =-2a 或x =1a.∵x ∈[-1,1],故|-2a |≤1或|1a|≤1, ∴|a |≥1.只有一个实数x 满足不等式x 2+2ax +2a ≤0, 即抛物线y =x 2+2ax +2a 与x 轴只有一个交点, ∴Δ=4a 2-8a =0,∴a =0或a =2.∴命题“p 或q ”为真命题时,|a |≥1或a =0. ∵命题“p 或q ”为假命题,∴a 的取值范围为{a |-1<a <0或0<a <1}. 答案 -1<a <0或0<a <1。
第一讲 三角函数的图像与性质例1、已知函数f(x)=tan(3πsinx) (1)求f(x)的定义域和值域;(2)在(-π,π)中,求f(x)的单调区间;(3)判定方程f(x)=tan32π在区间(-π,π)上解的个数。
解:(1)∵-1≤sinx ≤1 ∴ -3π≤3πsinx ≤3π。
又函数y=tanx 在x=k π+2π(k ∈Z)处无定义,且(-2π,2π)[-3π,3π](-π, π), ∴令3πsinx=±2π,则sinx=±23解之得:x=k π±3π (k ∈Z) ∴f(x)的定义域是A={x|x ∈R ,且x ≠k π±3π,k ∈Z} ∵tanx 在(-2π,2π)内的值域为(-∞,+∞),而当x ∈A 时,函数y=13πsinx 的值域B 满足(-2π,2π)B ,∴f(x)的值域是(-∞,+∞)。
(2)由f(x)的定义域知,f(x)在[0,π]中的x=3π和x=32π处无定义。
设t=3πsinx ,则当x ∈[0, 3π)∪(3π,32π)∪(32π,π)时,t ∈[0, 2π)∪(2π,3π],且以t 为自变量的函数y=tant 在区间(0,2π),(2π,3π]上分别单调递增。
又∵当x ∈[0,3π]时,函数t=3πsinx 单调递增,且t ∈[0, 2π) 当x ∈(3π,2π]时,函数t=3πsinx 单调递增,且t ∈(2π, 3π] 当x ∈[2π,32π)时,函数t=3πsinx 单调递减,且t ∈(2π, 3π] 当x ∈(32π,π)时,函数t=3πsinx 单调递减,且t ∈(0,2π) ∴f(x)=tan(13πsinx)在区间[0,3π),(3π,2π]上分别是单调递增函数;在),32(),32,2[ππππ上是单调递减函数。
又f(x)是奇函数,所以区间(-3π,0],[-2π,-3π)也是f(x)的单调递增区间]2,32(),32,[ππππ----是f(x)的递减区间。
2022年江苏省盐城市东台镇中学高一数学理模拟试题含解析一、选择题:本大题共10小题,每小题5分,共50分。
在每小题给出的四个选项中,只有是一个符合题目要求的1. 与—457°角的终边相同的角的集合是()A、{B、C、 D、参考答案:C2. 若集合A={x|kx2+4x+4=0,x∈R}只有一个元素,则实数k的值为()A.0 B.1C.0或1 D.2参考答案:C解析:集合A中只有一个元素,即方程kx2+4x+4=0只有一个根.当k=0时,方程为一元一次方程,只有一个根;当k≠0时,方程为一元二次方程,若只有一根,则Δ=16-16k=0,即k=1.所以实数k的值为0或1.3. 在同一平面直角坐标系中,函数的图象和直线的交点个数是()A.0 B.1 C. 2 D. 4参考答案:C4. 将函数y=sinx的图象上所有的点向右平行移动个单位长度,再把所得各点的横坐标伸长到原来的2倍(纵坐标不变),所得图象的函数解析式是( ).A.y=sin(2x-) B.y=sin(2x-)C.y=sin(x-) D.y=sin(x-)参考答案:C5. 已知数列,,,,,…,这个数列的特点是从第二项起,每一项都等于它的前后两项之和,则这个数列的前项之和等于()(A)(B)(C)(D)参考答案:D6. 已知集合,,则∪是: ( )A. B. C. D.参考答案:C7. 已知x>0,y>0,,则的最小值是A.3 B.4 C.D.参考答案:B8. 的值等于()A.B.C.D.参考答案:A略9. 若函数为奇函数,且在上是减函数,又,则的解集为( )A .(-3,3)B .C .D .参考答案:D10. 正四棱锥的侧棱和底面边长都等于,则它的外接球的表面积是( )参考答案:二、 填空题:本大题共7小题,每小题4分,共28分11. 设函数,若用表示不超过实数的最大整数,则函数的值域为___ __________.参考答案:12. 已知,,则等于.参考答案:略 13. 函数的最小值为_________.参考答案:14. 三个数的最大公约数是_________________。
学科:数学 年级:高二 课题:1-1(2-1)2.4.1抛物线的几何性质(1)主备人: 学生姓名: 得分:一、教学内容:抛物线的几何性质(1)二、教学目标:掌握抛物线的几何性质,能应用抛物线的几何性质解决问题. 三、课前预习:1、已知抛物线标准方程是x y 62=,求它的焦点坐标和准线方程.2.根据下列条件写出抛物线的标准方程 (1)焦点是)0,2(-F(2)准线方程是31=y(3)焦点到准线的距离是4,焦点在y 轴上(4)经过点)2,6(-A四、讲解新课探究1 类比椭圆、双曲线的几何性质,抛物线又会有怎样的几何性质?根据抛物线)0(22>=p px y 的图象研究抛物线的几何性质. 1.范围.当x 的值 →+∞ 时,y→+∞,这说明此抛物线向右上方和右下方无限延伸.2.对称性.从图象上看:抛物线关于x 轴对称;从方程上看:把y 换成y -方程不变,图象关于x 轴对称.3.顶点.抛物线和它对称轴的交点叫抛物线的顶点,即坐标原点. 4.离心率.抛物线上的点与焦点的距离和它到准线的距离之比,叫做抛物线的离心率.由定义知,抛物线y2=2px (p>0)的离心率为e =1.例1 已知抛物线关于x 轴对称,它的顶点在坐标原点,并且经过点(2,M -,求它的标准方程.例2 探照灯反射镜的轴截面是抛物线的一部分,光源位于抛物线的焦点处. 已知灯口圆的直径为60cm ,灯深40cm ,求抛物线的标准方程和焦点位置.例3 图中是抛物线形拱桥,当水面在位置l 时,拱顶离水面2米,水面宽4米.水下降1米后,水面宽多少?若在水面上有一宽为2米,高为1.6米的船只,能否安全通过拱桥?六、课堂练习七、课堂小结 八、课后作业1.抛物线的通经:过抛物线的焦点且垂直于对称轴的弦叫做抛物线的通经,抛物线)0(22>=p px y 的通经为 .2.已知抛物线的顶点为原点,焦点在y 轴上,抛物线上点(),2m -到焦点的距离为4,则m的值为_________________3.抛物线24x y =上一点A 的纵坐标为4,则点A 与抛物线焦点的距离为____________ 4.已知抛物线24y x =上一点到焦点的距离为5,则这点坐标为____________ 5.抛物线22y x =上的两点A 、B 到焦点的距离之和为5,则线段AB 的中点的横坐标是 .6.已知抛物线的顶点在原点,对称轴为坐标轴,焦点在直线042=--y x 上, 求抛物线的方程.7.已知抛物线的顶点是双曲线14491622=-y x 的中心,而焦点是双曲线的左顶点, 求抛物线的方程.8.抛物线顶点在原点,以坐标轴为对称轴,过焦点且与y 轴垂直的弦长为16,求抛物线方程.。