18届三校生高考数学公式
- 格式:pdf
- 大小:647.24 KB
- 文档页数:6
重点公式 第零章一、()()0000<=>⎪⎩⎪⎨⎧-=a a a a a a二、因式分解常用的公式222)(2b a b ab a ±=+± ))((22b a b a b a -+=- ))((2233b ab a b a b a +±=±三、分式:除式中含有字母的有理式叫分式,分式有意义的条件是分母不零 1.分式的基本性质:M B M A B A ⨯⨯=MB MA B A ÷÷=(M 为整式,且0≠M ) 2.分式的运算:加减法:c b a c b c a ±=± bd bc ad d c b a ±=± 乘除法:bd ac d c b a =⋅ bcadc d b a d c b a =⨯=÷乘方:n nn ba b a =)( (n 为正整数)四、1.一元二次方程的求根公式:aac b b x 242-±-= (042≥-ac b )2.韦达定理:a b x x -=+21;ac x x =⋅21 第一章一、非空集合A 有:子集:n2个;真子集:12-n个;非空真子集个数:22-n个 二、两个实数大小的比较b a b a >⇔>-0 b a b a =⇔=-0 b a b a <⇔<-0第二章一、不等式的性质 1.对称性:a b b a <⇔> 2.传递性:c a c b b a <⇔>>, 3.(同加)m b m a b a +>+⇒>4. bc ac c b a >⇒>>0, bc ac c b a =⇒=>0, bc ac c b a <⇒<>0,5.(1) 加法运算(同向加):d b c a d c b a +>+⇒>>,(2)减法运算:统一成加法运算c b d a c d b a d c b a ->-⇒->->⇒>>,, 6.(1)(正向同乘) bd ac d c b a >⇒>>>>0,0 (2)除法运算:统一乘法运算0011,00,0>>⇒>>>>⇒>>>>cbd a c d b a d c b a 7.乘方运算(正乘方):)1,(0>∈>⇒>>+n N n b a b a nn且 8.开方运算(正开方):)1,(0>∈>⇒>>+n N n b a b a n n且9.(同号倒) ba ab b a 110,<⇒>> 二、均值定理1.时取等号当且仅当其中b a R b a ab ba =∈≥++,,,22. 时取等号当且仅当其中c b a R c b a abc c b a ==∈≥+++,,,,33三、重要不等式 1. 0)(2≥+b a2. 时取等号当且仅当其中b a R b a ab b a =∈≥+,,,2223. )0,0,0(3333>>>≥++c b a abc c b a第三章 一、1.正比例函数时为减函数时为增函数,当当00),0()(<>≠=k k k kx x f2.一次函数时为减函数时为增函数,当当00),0()(<>≠+=k k k b kx x f),0()(.3≠=k xkx f 反比例函数)上是减函数,,)和(,函数在区间(时当∞+∞->00,0k )上是增函数,)和(,时,函数在区间(当∞+∞-<000k时,函数为增函数时,函数为减函数,当当且对数函数110),10(log y 4.a ><<≠>=a a a a x 时,函数为增函数时,函数为减函数,当当且指数函数110),10(y 5.><<≠>=a a a a a x二、函数)0(2≠++=a c bx ax y 叫做二次函数 三、二次函数的图像是一条抛物线四、任何一个二次函数)0(2≠++=a c bx ax y 都可把它的解析式配方为顶点式;ab ac a b x a y 44)2(22-++=性质1.图像的顶点坐标为)44,2(2a b ac a b --,对称轴是直线abx 2-= 2.当0>a ,函数在区间)2,(a b --∞上是减函数,在),2(+∞-a b上是增函数, 当0<a ,函数在区间),2(+∞-a b 上是减函数,在)2,(ab--∞上是增函数,3.最值(1)当0>a ,函数图像开口向上,当a bx 2-=时,a b ac y 442min -=(2)当0<a ,函数图像开口向下,当abx 2-=时,a b ac y 442max -=[]说明1.我们研究二次函数的性质常用的方法有两种:配方法和公式法2.无论是利用公式法还是配方法我们都可以直接得出二次函数的顶点坐标与对称轴,但我们讨论函数的最值以及它的单调区间时一定要考虑它的开口方向 五、常见函数的表达式:1.正比例函数表达式:)0(≠=k kx y2.反比例函数表达式:)0(≠=k xky 3.一次函数表达式:)0(≠+=k b kx y 4.二次函数表达式:一般式:)0(2≠++=a c bx ax y顶点式:为抛物线顶点其中),(),0()(2n m a n m x a y ≠+-=两根式:c bx ax x x x x x x a y ++--=22121),)((为二次方程、其中的两根,或函数与x 轴的交点的横坐标第四章一、幂的有关概念1.正整数指数幂:)(+∈=⋅N n a a a a nn个2.零指数幂:)0(,10≠=a a 3.负整数指数幂:),0(,1+∈≠=-N n a aan n4.正分数指数幂:)1,,,0(,>∈≥=+n N m n a a a n m nm5.负分数指数幂:)1,,,0(,1>∈>=+-n N m n a aanmnm三、实数指数幂的运算法则 1.nm n m a a a +=⋅2.mnn m aa =)(3.)0,0,()(>>∈⋅=⋅b a R n m b a b a nnn、注 四、函数),10(R x a a a y x∈≠>=且叫做指数函数五、一般地,指数函数)1,0(≠>=a a a y x在其底数101<<>a a 及这两种情况下的图像和性质如下表所示:1>a (1)R x ∈(2)0>y(3)函数的图像都通过点(0,1) (4)在),(+∞-∞上是增函数(5)当100;10<<<>>y x y x 时,当时,10<<a (1)R x ∈(2)0>y(3)函数的图像都通过点(0,1) (4)在),(+∞-∞上是减函数(5)当10;100><<<>y x y x 时,当时,六、对数概念如果)10(≠>=a a N a b且,那么b N N a b a =log 的对数,记作为底叫做以,其中叫做真数叫做底,N a特别底,以10为底的对数叫做常用对数,N N lg log 10可简记作 七、对数的性质1.1的对数等于零,即)10(01log ≠>=a a a 且2.底的对数等于1,即)10(1log ≠>=a a a a 且3.零和负数没有对数 八、积、商、幂的对数:1.)0,0,10(log log )(log >>≠>+=N M a a N M MN a a a 且2. )0,0,10(log log )(log >>≠>-=N M a a N M NMa a a 且 3. )0,10(log log >≠>=M a a M a M a aa 且九、换底公式:)0,1,10,0(log log log >≠≠>>=N b a b a bMN a a b 且十、对数恒等式:)0,10(log >≠>=N a a N aNa 且十一、对数函数:形如)0,1,0(log >≠>=x a a x y a 的函数我们称为对数函数十二、一般地,对数函数)1,0(log ≠>=a a x y a 在其底数101<<>a a 及这两种情况下的图像和性质如下表所示:1>a (1)0>x(2)R y ∈(3)函数的图像都通过点(1,0) (4)在),0(+∞上是增函数(5)当010;01<<<>>y x y x 时,当时,10<<a (1)0>x(2)R y ∈(3)函数的图像都通过点(1,0) (4)在),0(+∞上是减函数(5)当010;01><<<>y x y x 时,当时, 十三、指数方程及解法 1.定义法:b x f b aa x f log )()(=⇔=2.同底比较法:)()()()(x g x f a a x g x f =⇔=3.换元法:[]x t c bt t t a c a b a x f x f x f 后再求求得得可设,002)()(2)(=++=⇔=+⋅+十四、对数方程及解法 1.定义法:⎩⎨⎧=>⇔=ba ax f x f b x f )(0)()(log 2.同底比较法:⎪⎩⎪⎨⎧=>>⇔=)()(0)(0)()(log )(log x g x f x g x f x g x f a a3.换元法形如:[]0)(log 0)(log )(log 22=++=⇔=++c bt t t x f c x g b x f a a a 得可设第五章一、利用数列的前{}的通项公式:之间的关系求出数列与项和n n a n S nn n a a a a S ++++= 321 ⎩⎨⎧≥-==-)2(,)1(,11n S S n S a n nn[]说明这里是用两个式子联合起来表示的,切莫忘记前一个式子,事实上,当1=n 时,001,S S S n 而=-没有意义,因而第二个式子也无意义二、等差数列定义如果一个数列从第二项起,每一项与它的前一项的差都等于同一个常数,这个数列就叫做等差数列,这个常数叫做公差,记为)(,1++∈-=N n a a d d n n 即 等差数列的一般形式为 ,2,,111d a d a a ++ 三、等差数列通项公式d n a a n )1(1-+=四、等差数列前n 项和公式记n n a a a a S ++++= 321,则d n n na S a a n S n n n 2)1(2)(11-+=+=或 []说明在n nS an d a ,,,,1五个量中,已知任意三个量可求出另两的量,即“知三求二”五、等差中项对给定的实数b a A b A a A b a 与叫做成等差数列,则称使得,如果插入数与,, 的等差中项,且b a A ba A +=+=22或 六、等差数列的性质1.在等差数列中,若公差0=d ,则此数列为常数列;若0>d ,则此数列为递增数列;若0<d ,则此数列为递减数列2.在等差数列中,),,()(n m N n m nm a a d d n m a a nm n m ≠∈--=-=-+或3. 在等差数列中,若正整数q p n m ,,,满足q p n m +=+,则有q p n m a a a a +=+4. 在等差数列中,每隔相同的项抽出来的项按照原来的顺序排列,构成一个新的等差数列,如 ,,,531a a a 仍然是等差数列5. 在等差数列中,每连续m 项之和构成的数列仍然是等差数列,如654321,,a a a a a a +++仍然是等差数列6. 有穷等差数列中,与首末两端距离相等的两项之和相等,并等于首末两项之和,若项数为奇数,还等于中间项的2倍,即中a a a a a a a a a n p n p n n 2112312=+=+==+=++---[]说明在三个成等差数列的数中,一般设为:d a a d a +-,,七、等比数列定义如果一个数列从第二项起,每一项与它的前一项的比都等于同一个常数,这个数列就叫做等比数列,这个常数叫做公比,记为)(,1++∈=N n a a q q nn 即 等比数列的一般形式为 ,,,2111q a q a a 八、等比数列通项公式)0(11≠=-q q a a n n九、等比数列前n 项和公式记n n a a a a S ++++= 321,则)1(1)1(1)1(11≠--=≠--=q qq a a S q q q a S n n n n 或 []说明1.以上的两个式子都是针对1≠q 的情况,当1=q 时,数列为常数列,故1na Sn=2.在n n S a n d a ,,,,1五个量中,已知任意三个量可求出另两的量,即“知三求二” 十、等差中项对给定的实数b a G b G a G b a 与叫做成等比数列,则称使得,如果插入数与,, 的等比中项,且ab G ab G ±==或2[]说明1.b a 、两个实数必须是同号的,即0>ab ,这时b a 、才有等比中项2.其中的一个值ab ,当b a 与是正数时,有称为b a 与的几何平均数 十一、等比数列的性质1.在等比数列中,若公比1=q ,则此数列为常数列;若10,01,011<<<>>q a q a 或,则此数列为递增数列;若1,010,011><<<>q a q a 或,则此数列为递减数列2.在等比数列中,),,(n m N n m q a a q a a n m n m n m nm≠∈==+--或 3. 在等比数列中,若正整数q p n m ,,,满足q p n m +=+,则有q p n m a a a a =(特殊地,若2,2p n m a a a p n m ==+则)4. 在等比数列中,每隔相同的项抽出来的项按照原来的顺序排列,构成一个新的等比数列,如 ,,,741a a a 仍然是等比数列5. 有穷等比数列中,与首末两端距离相等的两项之和相等,并等于首末两项之积,若项数为奇数,还等于中间项的平方,即2112312中a a a a a a a a a n k n k n n =====+---6. 在等比数列中,每连续m 项之和(积)构成的数列仍然是等比数列如 654321,,a a a a a a +++仍然是等比数列; 654321,,a a a a a a 也仍然是等比数列[]说明在三个成等比数列的数中,一般设为:aq a qa ,,第六章一、弧度π=0180 二、弧长公式:)(为弧度数ααr l⋅=三、扇形的面积公式:)(21212为弧度数扇形ααr lr S ⋅== 四、任意角的三角函数的定义定义:在平面直角坐标系中,设点α是角),(y x P 的终边上的任意一点,且该点到原点的距离为)0(>r r ,则yrx r y x x y r x r y ======ααααααcsc ,sec ,cot ,tan ,cos ,sin 五、三角函数的符号七、平方关系:1cot csc ,1tan sec ,1cos sin 222222=-=-=+αααααα 八、商数关系:ααααααcot sin cos ,tan cos sin == 九、倒数关系:1cos sec ,1sin csc ,1cot tan =⋅=⋅=⋅αααααα 十、诱导公式:1. ααααsec )sec(,cos )cos(=-=-2.终边相同的角,其同名三角函数值同3.奇变偶不变,符号看象限十一、两角和与差的三角函数的公式βαβαβαsin cos cos sin )sin(±=± βαβαβαsin sin cos cos )cos( =± βαβαβαtan tan 1tan tan )tan( ±=±十二、倍角公式αααcos sin 22sin = ααααα2222sin 211cos 2sin cos 2cos -=-=-=ααα2tan 1tan 22tan -=十三、半角公式2cos 12sinαα-±= 2cos 12cos αα+±= ααααααααsin cos 1cos 1sin 2tan cos 1cos 12tan-=+=+-±=或十四、三角函数的图像与性质x y sin =图像定义式:R 值域:[]1,1-周期性:最小正周期π2=T 奇偶性:x x sin )sin(-=-奇函数 单调性:在上递增Z k k k ∈⎥⎦⎤⎢⎣⎡++-ππππ22,22在上递减Z k k k ∈⎥⎦⎤⎢⎣⎡++ππππ223,22x y cos =图像定义式:R 值域:[]1,1-周期性:最小正周期π2=T 奇偶性:x x cos )cos(=-偶函数单调性:在[]上递增Z k k k ∈+-πππ2,2在[]上递减Z k k k ∈+πππ2,2x y tan =图像定义式: ⎭⎬⎫⎩⎨⎧∈⋅+≠Z k k x x ,2ππ值域:R周期性:最小正周期π=T 奇偶性:x x tan )tan(-=-奇函数 单调性:在每个区间上都是递增Z k k k ∈++-)2,2(ππππ十五、正弦性函数:k x A y ++=)sin(ϕω ,最小值:最大值:k A k A +-+, ϖπ2=T 最小正周期:十六、余弦性函数: k x A y ++=)cos(ϕω ,最小值:最大值:k A k A +-+, ϖπ2=T 最小正周期:十七、正切性函数: k x A y ++=)tan(ϕω ϖπ=T 最小正周期: 十八、辅助公式:)sin(cos sin 22ϕααα++=+=b a b a y (其中ab =αtan ) 十九、三角形中的边角关系 1.π=++C B A2.大边对大角,大角对大边3.直角三角形中:1sin ,sin ,sin 2222===+===+C cbB c a A b a cC B A 、、π二十、余弦定理A bc c b a cos 2222-+= bca cb A 2cos 222-+=B ac c a b cos 2222-+= acb c a B 2cos 222-+=C ab b a c cos 2222-+= abc b a C 2cos 222-+=二十一、正弦定理)(2sin sin sin 为三角形外接圆的半径其中r r CcB b A a === 二十二、三角形面积B ca A bcC ab S ABC sin 21sin 21sin 21===∆第七章 一、运算律若为实数,则、μλ 1.a a ⋅=)()(λμμλ 2. a a a μλμλ+=+)( 3. b a b a λλλ⋅=+)([]说明数乘向量的运算律与实数的运算律类似二、向量平行的充要条件若b a b a b λλ=⇔≠,使存在唯一实数则//,0[]说明当b a b //,0,显然对任意实数λ=三、向量内积的概念与性质 1.两向量的夹角已知两个非零向量b a 与,作,,b OB a OA ==则AOB ∠是向量b a 与规定01800≤≤[]说明①b a 与0②b a 与0180③b a ⊥0902.内积的定义b a =⋅[]说明①b a ⋅的结果是一个实数,可以等于正数、负数、零叫做a b 在方向上正射影的数量 3.内积的性质①如果e 是单位向量,则a e e a =⋅=⋅ ②0=⋅⇔⊥b a b a③a a ==⋅④b a =⑤b a ≤⋅ 四、向量内积的运算律 1. a b b a ⋅=⋅2. )()()(b a b a b a λλλ⋅=⋅=⋅3. c b c a c b a ⋅+⋅=⋅+)([]说明一般地,)()(c b a c b a ⋅⋅≠⋅+,也就是说,向量内积没有“乘法的结合律”五、设A 、B 两点的坐标分别是),)(,(2211y x y x 则 ),(),(),(12121122y y x x y x y x AB --=-= 六、向量直角坐标运算1.设),(21a a a =,),(21b b b =则),(),(),(22112121b a b a b b a a b a ±±=±=± 2.),(),(2121a a a a a λλλλ==3.若),(21a a a =,),(21b b b =则2211b a b a b a +=⋅ 七、向量长度坐标运算1.若),(21a a a =2221a a +=2.若),(),(2211y x B y x A ,212212)()(y y x x -+-=[]说明也叫A 、B 两点的距离,记为BA d、,上式也叫两点距离公式八、中点公式设),(),(2211y x B y x A ,线段AB 的中点坐标为),(y x ,则2,22121y y y x x x +=+= 九、平移变换公式 点平移公式:若把点⎩⎨⎧+=+==201021000),,(),(),(a y y a x x y x P a a a y x P 则平移到点按向量十、两向量平行于垂直的条件 设),(21a a a =,),(21b b b =,则)00(0//2122111221≠≠=⇔=-⇔b b b a b a b a b a b a 且 02211=+⇔⊥b a b a b a十一、图像平移公式:一般地,函数)(x f y =的图像平移向量),(21a a a =后,得到的图像的函数表达式为)(12a x f a y -=-第八章一、直线的倾斜角和斜率1.直线的倾斜角:一条直线向上的方向与x 轴的正方向所成的最小正角α,称为直线的倾斜角规定:当0//=α轴时,x l 倾斜角的范围是:πα≤≤02.直线的斜率:若α为直线l 的倾斜角,当2πα≠时,将αtan 叫做直线的斜率,记作:αtan =k ,当2πα=,直线的斜率不存在3.斜率的计算公式:①αtan =k②如果),(21v v v =为直线的一个方向斜率,且121,0v v k v =≠则 ③如果),(B A n =为直线的一个法向量,且BA kB -=≠则,0 ④如果),(),(2211y x N y x M 是直线上的两个点 ,且121221,x x y y k x x --=≠则二、直线的方程 1.直线方程一览表2.特殊的直线方程①平行于y 轴的直线方程:0x x = ②平行于x 轴的直线方程:0y y = ③过原点的直线方程:kx y =[]说明当一般式方程y x ,系数有为零时1. ,0:111=+C x A l ,0:222=+C x A l 则重合与或2121///l l l l212121//C C A A l l ≠⇔;212121/C C A A l l =⇔重合与 2. ,0:111=+C x A l ,0:222=+C x B l 则21l l ⊥四、待定系数法求直线方程已知直线l :0=++C By Ax ,则与l 平行的直线方程可设为:0=++D By Ax 与l 垂直的直线方程可设为:0=+-D Ay Bx 五、两直线的夹角1.定义:两条直线相交,组成两对对顶角,其中不大于2π的角叫做两条直线的夹角;当两直线平行或重合时,规定夹角为0,常用θ表示两直线的夹角 2.范围:20πθ≤≤3夹角公式:① 设0:1111=++C y B x A l ,0:2222=++C y B x A l 则222221212121cos B A B A B B A A +⋅++=θ②111:b x k y l +=,222:b x k y l +=则21121tan k k k k +-=θ六、点到直线的距离公式 1. 点到直线的距离公式设点),(000y x P 到直线l :0=++C By Ax 的距离为d ,则2200BA CBy Ax d +++=2. 两条平行直线间的距离公式设0:1111=++C y B x A l ,0:2222=++C y B x A l 的距离为d ,则2221BA C C d +-=七、定义:平面内,与定点的距离等于定长的点的集合(轨迹)叫做圆,定点叫做圆的圆心,定长叫做圆的半径 八、圆的标准方程圆心在点),(b a C ,半径为r 的圆的标准方程是222)()(r b y a x =-+- 特殊地,圆心在坐标原点,半径为r 的圆的标准方程是222r y x =+九、圆的一般方程022=++++F Ey Dx y x把圆的一般方程化为标准方程的形式就是:44)2()2(2222FE D E y D x -+=+++1.当F E D 422-+>0时,方程表示一个圆的方程,圆心为(2D-,2E -)半径为2422F E D r -+=2. 当F E D 422-+=0时,方程表示一个点(2D-,2E -)3. 当F E D 422-+<0时,方程不表示任何图形 十、点与圆的位置关系对于点),(000y x P 和圆222)()(r b y a x =-+-或022=++++F Ey Dx y x ,点P 到圆心距离记作d1.点P在圆内⇔⇔<-+-22020)()(r b y a x r d F Ey Dx y x <⇔<++++0002020⇔在圆上点P .2⇔=-+-22020)()(r b y a x r d F Ey Dx y x =⇔=++++0002020 ⇔在圆外点P .3⇔>-+-22020)()(r b y a x r d F Ey Dx y x >⇔>++++0002020十一、圆与直线的位置关系直线l :0=++C By Ax ,圆C: 222)()(r b y a x =-+-有直线和圆的方程联系得到关于y x 或的一元二次方程,求出判别式∆1. 直线与圆相离⇔圆与直线没有公共点⇔∆<0⇔圆心到直线l 的距离r d >2. 直线与圆相切⇔圆与直线有一个公共点⇔∆=0⇔圆心到直线l 的距离r d =3. 直线与圆相交⇔圆与直线有两个公共点⇔∆>0⇔圆心到直线l 的距离r d <[]说明当直线与圆相离时,圆上的点到直线的最大距离=r d +,最小距离=r d -其中d 为圆心到直线的距离,知圆上的一点),(00y x P ,则过点P 的圆222)()(r b y a x =-+-的切线方程为:0))(())((0000=--+--b y y y a x x x 十二、圆与圆的位置关系圆221211)()(r b y a x C =-+-,圆21222222,)()(C C d R b y a x C ==-+-,1.外离r R d +>⇔ 2外切r R d +=⇔3.相交)(,r R r R d r R >+<<-⇔4.内切r R d -=⇔5.内含r R d -<⇔十三、椭圆定义:平面内,与两定点21F F 、的距离的和等于常数(大于21F F )的点轨迹叫做椭圆,定点21F F 、叫做椭圆的焦点,两焦点间的距离叫做焦距第二定义:平面内,与一个定点F 的距离和到一条定直线l 的距离的比是常数)10(<<e e 的点的轨迹叫做椭圆,定点F 叫做椭圆的一个焦点,定直线l 叫做与该焦点对应的准线(一个椭圆有两个焦点和两条准线)常数e 叫做椭圆的离心率十四、椭圆的标准方程和几何性质定义:M 为椭圆上的点)2(22121F F a a MF MF >=+ 焦点位置:x 轴 图形:标准方程:12222=+by a x参数关系:)0(222>>+=b a c b a 范围:b y a x ≤≤,对称性:对称轴:x 轴、y 轴 对称中心:原点 焦点:)0,()0,(21c F c F 、- 顶点:),0()0,(b B a A ±±、 轴长:长轴长a 2;短轴长b 2准线:ca x l 2:±=离心率:ac e =焦点位置:y 轴 图形:标准方程:12222=+bx a y参数关系:)0(222>>+=b a c b a 范围:a y b x ≤≤,对称性:对称轴:x 轴、y 轴 对称中心:原点 焦点:),0(),0(21c F c F 、- 顶点:)0,(),0(b B a A ±±、 轴长:长轴长a 2;短轴长b 2准线:ca y l 2:±=离心率:ac e =十五、双曲线定义:平面内,与定点21F F 、的距离的差的绝对值等于常数(大于0小于21F F )的点轨迹叫做双曲线,定点21F F 、叫做双曲线的焦点,两焦点间的距离叫做焦距第二定义:平面内,与一个定点的距离和到一条定直线的距离的比是常数)1(>e 的点的轨迹叫做双曲线,定点叫做双曲线的一个焦点,定直线叫做与该焦点对应的准线(双曲线有两个焦点和两条准线)常数e 叫做双曲线的离心率十六、双曲线的标准方程和几何性质定义:M 为双曲线上的点)20(22121F F a a MF MF <<=- 焦点位置:x 轴图形:标准方程:12222=-by a x 参数关系:)0,0(222>>+=b a b a c 范围:R y a x ∈≥,对称性:对称轴:x 轴、y 轴 对称中心:原点焦点:)0,()0,(21c F c F 、-顶点:)0,()0,(21a A a A 、-轴长:实轴长a 2;虚轴长b 2 准线:ca x l 2:±= 渐近线:x a b y ±= 离心率:ac e =焦点位置:y 轴图形:标准方程:12222=-bx a y 参数关系:)0,0(222>>+=b a b a c范围:R x a y ∈≥,对称性:对称轴:x 轴、y 轴 对称中心:原点焦点:),0(),0(21c F c F 、-顶点:),0(),0(21a A a A 、-轴长:实轴长a 2;虚轴长b 2 准线:ca y l 2:±= 渐近线:x b a y ±= 离心率:ac e = 十七、抛物线定义:平面内与一个定点F 的距离和到一条定直线l 的距离相等的点的轨迹叫做抛物线,定点F 叫做抛物线的焦点,定直线l 叫做抛物线的准线第二定义:平面内,与一个定点F 的距离和到一条定直线l 的距离的比是常数)1(=e 的点的轨迹叫做抛物线,定点F 叫做抛物线的焦点,定直线l 叫做抛物线的准线,常数e 叫做抛物线的离心率十八、抛物线的标准方程和几何性质焦点位置:x 轴正半轴图形:标准方程:px y 22=范围:R y x ∈≥,0对称性:对称轴:x 轴 焦点:)0,2(p F 顶点:原点:(0,0) 准线:2:p x l -= 离心率:1=e焦点位置:x 轴负半轴图形:标准方程:px y 22-=范围:R y x ∈≤,0对称性:对称轴:x 轴 焦点:)0,2(pF -顶点:原点:(0,0) 准线:2:px l =离心率:1=e焦点位置:y 轴正半轴图形:标准方程:py x 22=范围:0,≥∈y R x对称性:对称轴:y 轴 焦点:)2,0(pF顶点:原点:(0,0) 准线:2:py l -=离心率:1=e焦点位置:y 轴负半轴图形:标准方程:py x 22-=范围:0,≤∈y R x对称性:对称轴:y 轴 焦点:)2,0(pF -顶点:原点:(0,0) 准线:2:py l =离心率:1=e、。
一、代数部分:1. 一元一次方程:ax + b = 0,解为 x = -b/a(a ≠ 0)。
2. 一元二次方程:ax^2 + bx + c = 0,解为 x = [-b ± √(b^2 - 4ac)] / 2a。
3. 平方差公式:a^2 - b^2 = (a + b)(a - b)。
4. 完全平方公式:a^2 + 2ab + b^2 = (a + b)^2,a^2 - 2ab + b^2 = (a -b)^2。
5. 立方公式:a^3 + b^3 = (a + b)(a^2 - ab + b^2),a^3 - b^3 = (a -b)(a^2 + ab + b^2)。
6. 二项式定理:(a + b)^n = C(n, 0)a^n b^0 + C(n, 1)a^(n-1) b^1 + ... + C(n, n-1)a^1 b^(n-1) + C(n, n)a^0 b^n。
7. 多项式除法:将多项式P(x)除以单项式x - a,商为Q(x),余数为R(x),满足P(x) = (x - a)Q(x) + R(x)。
8. 指数运算法则:a^m a^n = a^(m+n),(a^m)^n = a^(mn),a^m / a^n = a^(m-n)(a ≠ 0,m,n为正整数)。
9. 对数运算法则:log_a(xy) = log_a(x) + log_a(y),log_a(x/y) = log_a(x) - log_a(y),log_a(x^n) = n log_a(x)。
二、几何部分:1. 三角形面积公式:S = (1/2) 底高。
2. 圆的周长公式:C = 2πr,圆的面积公式:S = πr^2。
3. 矩形面积公式:S = 长宽。
4. 平行四边形面积公式:S = 底高。
5. 梯形面积公式:S = (上底 + 下底) 高 / 2。
6. 圆锥体积公式:V = (1/3) πr^2h。
7. 球体积公式:V = (4/3) πr^3。
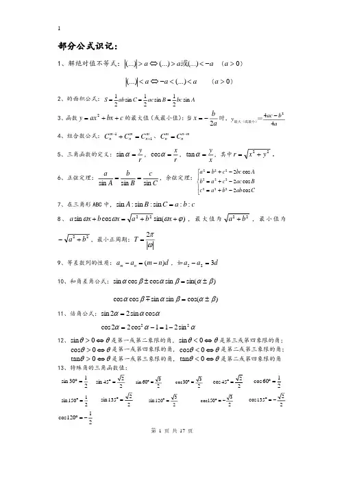
第 1 页 共 17 页1部分公式识记:1、解绝对值不等式:a a a −<>⇔>(...)(...)(...)或 (0>a )a a a <<−⇔<(...)(...) (0>a )2、的面积公式:A bc B ac C ab S sin 21sin 21sin 21===3、函数c bx ax y ++=2的最大值(或最小值):当a b x 2−=时,ab ac y 442−=最大(或最小) 4、组合数公式:mn m n m nC C C 11+−=+、m n nm n C C −= 5、三角函数的定义:r y =αsin ,r x =αcos ,xy =αtan ,其中22y x r +=。
6、正弦定理:CcB b A a sin sin sin ==,余弦定理:⎪⎩⎪⎨⎧−+=−+=−+=C ab b a c B ac c a b A bc c b a cos 2cos 2cos 2222222222 7、在三角形ABC 中,c b a C B A ::sin :sin :sin = 8、)sin(cos sin 22ϕωωω++=+x b a x b x a ,最大值为22b a +,最小值为22b a +−,最小正周期:ωπ2=T9、等差数列的性质:d n m a a n m )(−=−,如d a a 325=− 10、和角差角公式:)sin(sin cos cos sin βαβαβα±=± )cos(sin sin cos cos βαβαβα±= 11、倍角公式:αααcos sin 22sin =ααα22sin 211cos 22cos −=−=12、⇔>0sin θθ是第一或第二象限的角,⇔<0sin θθ是第三或第四象限的角;⇔>0cos θθ是第一或第四象限的角,⇔<0cos θθ是第二或第三象限的角; ⇔>0tan θθ是第一或第三象限的角,⇔<0tan θθ是第二或第四象限的角 13、特殊角的三角函数值:2130sin =︒ 2245sin =︒ 2360sin =︒ 2330cos =︒ 2245cos =︒ 2160cos =︒21150sin =︒ 22135sin =︒ 23120sin =︒ 23150cos −=︒ 22135cos −=︒21120cos −=︒第 2 页 共 17 页知识点回顾第一部分:集合与不等式【知识点】1、集合A 有n 个元素,则集合A 的子集有n 2个,真子集有12−n 个,非空真子集有22−n 个;2、充分条件、必要条件、充要条件:(1)p ⇒q ,则p 是q 的充分条件,q 是p 的必要条件如 p :(x+2)(x-3)=0 q :x=3∴q ⇒p ,q 为p 的充分条件,p 为q 的必要条件 (2)q p ⇒且p q ⇒,则p 是q 的充要条件,q 也是p 的充要条件 3、一元二次不等式的解法:若a 和b 分别是方程0))((=−−b x a x 的两根,且a b <,则如:()()2303x x x −−>⇒>或2x <, 0)3)(2(<−−x x ⇒23x << 口诀:大于两边分(大于大的根,小于小的根),小于中间夹。
高中数学公式口诀大全一、《集合与函数》内容子交并补集,还有幂指对函数。
性质奇偶与增减,观察图象最明显。
复合函数式出现,性质乘法法则辨,若要详细证明它,还须将那定义抓。
指数与对数函数,两者互为反函数。
底数非1的正数,1两边增减变故。
函数定义域好求。
分母不能等于0,偶次方根须非负,零和负数无对数;正切函数角不直,余切函数角不平;其余函数实数集,多种情况求交集。
两个互为反函数,单调性质都相同;图象互为轴对称,Y=X是对称轴;求解非常有规律,反解换元定义域;反函数的定义域,原来函数的值域。
幂函数性质易记,指数化既约分数;函数性质看指数,奇母奇子奇函数,奇母偶子偶函数,偶母非奇偶函数;图象第一象限内,函数增减看正负。
二、《三角函数》三角函数是函数,象限符号坐标注。
函数图象单位圆,周期奇偶增减现。
同角关系很重要,化简证明都需要。
正六边形顶点处,从上到下弦切割;中心记上数字1,连结顶点三角形;向下三角平方和,倒数关系是对角,顶点任意一函数,等于后面两根除。
诱导公式就是好,负化正后大化小,变成税角好查表,化简证明少不了。
二的一半整数倍,奇数化余偶不变,将其后者视锐角,符号原来函数判。
两角和的余弦值,化为单角好求值,余弦积减正弦积,换角变形众公式。
和差化积须同名,互余角度变名称。
计算证明角先行,注意结构函数名,保持基本量不变,繁难向着简易变。
逆反原则作指导,升幂降次和差积。
条件等式的证明,方程思想指路明。
万能公式不一般,化为有理式居先。
公式顺用和逆用,变形运用加巧用;1加余弦想余弦,1 减余弦想正弦,幂升一次角减半,升幂降次它为范;三角函数反函数,实质就是求角度,先求三角函数值,再判角取值范围;利用直角三角形,形象直观好换名,简单三角的方程,化为最简求解集;三、《不等式》解不等式的途径,利用函数的性质。
对指无理不等式,化为有理不等式。
高次向着低次代,步步转化要等价。
数形之间互转化,帮助解答作用大。
证不等式的方法,实数性质威力大。
三校生数学常用公式及常用结论1.元素与集合的关系x A x C U A , x C U A x A .2.德摩根公式C U ( A I B) C U A U C U B; C U ( A U B)C U A I C U B .3. 包含关系A IB A A U B B A BC U B C U AA I C UBC U A U B R .4.集合{ a1, a2,L , a n}的子集个数共有 2n个;真子集有 2n–1 个;非空子集有 2n–1 个;非空的真子集有 2n– 2 个.5.二次函数的解析式的三种形式(1)一般式 f ( x) ax 2 bx c(a 0) ;(2)顶点式 f ( x)a( x h)2k (a 0) ;(3)零点式 f ( x)a( x x1 )( x x2 )(a 0) .6.闭区间上的二次函数的最值二次函数 f ( x) ax2bx c(a0) 在闭区间 p,q 上的最值只能在 x b处及区间的两2a端点处取得,具体如下:(1) 当 a>0 时,若x b p q ,则 f (x)min f (b max f ( p), f (q);2a ,), f (x)maxb 2ax f ( p), f (q) , f (x)min min f ( p), f (q) .p, q ,f ( x)max max2ab b(2) 当 a<0 时,若x p, q ,则f (x)min min f ( p), f (q),若 x p,q ,则2a2af (x)max max f ( p), f ( q) , f ( x) min min f ( p), f (q) .7.一元二次方程的实根分布依据:若 f (m) f (n)0 ,则方程 f ( x) 0 在区间 ( m, n) 内至少有一个实根.设 f ( x) x2px q ,则( 1)方程 f ( x)0在区间 (m,) 内有根的充要条件为 f (m)0 或p24q0 pm;2f (m) 0f (n)( 2 )方程 f (x)0 在区间 (m, n) 内有根的充要条件为f (m) f (n)或 p 2 4q 0 或m pn2 f ( m) 0 f (n) 0af (n)或;af ( m) 0( 3)方程 f ( x)0 在区间 (, n) 内有根的充要条件为 f (m) 0 或p 2 4q 0 . p2 m8. 真值表p q 非p p或q p且q真 真 假 真 真 真 假 假 真 假 假 真 真 真 假 假 假 真 假 假 9. 常见结论的否定形式原结论 反设词 原结论反设词 是 不是 至少有一个 一个也没有 都是 不都是 至多有一个 至少有两个大于 不大于 至少有 n 个 至多有( n 1)个 小于不小于至多有 n 个至少有( n 1)个对所有 x , 存在某 x ,成立不成立p 或 qp 且 q 对任何 x , 存在某 x ,不成立成立p 且 qp 或 q10. 四种命题的相互关系原命题互逆逆命题 若p则q若q则p互互互 为为互 否否逆逆否否否命题逆否命题 若非p则非q互逆若非q则非p11.充要条件 p 是 q 充分条件 ( )充分条件:若 p q ,则 . 1 ( 2)必要条件:若 q p ,则 p 是 q 必要条件 .( 3)充要条件:若p q ,且 q p ,则 p 是 q 充要条件 .注:如果甲是乙的充分条件,则乙是甲的必要条件;反之亦然.12. 如果函数 f ( x)和g (x)都是减函数 , 则在公共定义域内 , 和函数 f ( x)g (x) 也是减函数;如果函数 y f (u) 和 u g (x) 在其对应的定义域上都是减函数, 则复合函数y f [ g( x)] 是增函数 .13.奇偶函数的图象特征奇函数的图象关于原点对称,偶函数的图象关于y 轴对称 ; 反过来,如果一个函数的图象关于原点对称,那么这个函数是奇函数;如果一个函数的图象关于 y 轴对称,那么这个函数是偶函数.14. 若函数y f ( x)是偶函数,则f ( x a) f ( x a);若函数y f (x a)是偶函数,则f (x a) f ( x a) .15.多项式函数P( x)a n x n a n 1 x n 1L a0的奇偶性多项式函数 P(x) 是奇函数P(x) 的偶次项(即奇数项)的系数全为零.多项式函数 P(x) 是偶函数P(x) 的奇次项(即偶数项)的系数全为零.16.两个函数图象的对称性(1) 函数y f ( x) 和 y f 1 ( x) 的图象关于直线y=x对称.17. 若将函数y f (x) 的图象右移 a 、上移b个单位,得到函数y f ( x a) b 的图象;若将曲线 f ( x, y)0的图象右移 a 、上移b个单位,得到曲线 f ( x a, y b)0 的图象.18.互为反函数的两个函数的关系f (a) b f 1 (b) a .19.几个常见的函数方程(1)正比例函数 f (x)cx , f( x y) f ( x) f ( y), f (1) c .(2)指数函数 f (x) a x, f ( x y) f ( x) f ( y), f (1)a0 .(3)对数函数 f (x)log a x ,f ( xy) f (x) f ( y), f (a)1(a 0, a 1) .(4)幂函数 f ( x) x, f ( xy) f ( x) f ( y), f ' (1).20.几个函数方程的周期 ( 约定 a>0)( 1)f (x) f (x a) ,则 f ( x) 的周期T=a;21.分数指数幂m1( a(1) a n0, m, n N ,且n 1 ) .n a mm1(2) a n0, m, n N ,且n 1 ).m( aa n22.根式的性质(1)(n a )n a .( 2)当n为奇数时,n a n a ;当 n 为偶数时,n a n| a |a, a0a, a. 023.有理指数幂的运算性质(1)a r a s a r s( a0, r , s Q ) .(2)(a r )s a rs (a0, r , s Q) .(3)( ab)r a r b r (a0, b0, r Q) .注:若 a>0 ,p 是一个无理数,则 a p表示一个确定的实数.上述有理指数幂的运算性质,对于无理数指数幂都适用 .24.指数式与对数式的互化式log a N b a b N (a 0, a 1, N 0) .25.对数的换底公式log a N log m N( a0 , 且 a 1 , m0, 且 m1, N0 ).log m a 推论 log a m b n nlog a b ( a0,且a 1,m, n0,且m1,n1 , N 0). m26.对数的四则运算法则若 a>0,a≠ 1, M> 0, N> 0,则(1)log a (MN )log a M log a N ;(2)loga M logaM loga N ; N(3)log a M n n log a M (n R) .27. 设函数 f (x)log m (ax 2bx c)(a0) ,记 b 24ac .若 f ( x) 的定义域为R , 则a 0 ,且0 ; 若f(x) 的值域为R , 则 a0,且0 . 对于 a0 的情形 , 需要单独检验 .28.对数换底不等式及其推广若 a 0 , b 0 , x 0 , x 1,则函数y log ax(bx ) a(1)当 a b 时 , 在(0,1)和(1,)上 y log ax (bx ) 为增函数.a a,(2) 当 a b 时 , 在(0,1)和(1,) 上 y log ax (bx ) 为减函数.a a推论 :设n, p0 ,a 0,且a1,则m 1( 1)log m p ( n p)log m n .( 2)log a m log a n log a 2 m n.2 29.平均增长率的问题如果原来产值的基础数为 N ,平均增长率为 p ,则对于时间 x 的总产值 y ,有 y N (1 p)x .30. 数列的同项公式与前 n 项的和的关系a n s 1 , n 1s n s n 1 , n ( 数列 { a n } 的前 n 项的和为 s n a 1 a 2 L a n ).2 31. 等差数列的通项公式a n a 1 (n 1)d dn a 1d (n N * ) ;其前 n 项和公式为n(a 1 a n )n(n 1)s n2na 12dd n 21d)n .(a2 1232. 等比数列的通项公式a na 1qn 1a 1q n (n N * ) ;q其前 n 项的和公式为s na 1 (1 q n ) , q 1 1 qna 1 , q 1或 s na 1 a n q, q11 q.na 1 ,q 133. 等比差数列 a n : a n 1qa n d , a 1 b(q 0) 的通项公式为b ( n1)d, q 1a nbq n (d b)q n 1d;q 1 , q 1其前 n 项和公式为nb n(n1)d,( q 1)s n(bd1 q nd n,( q.)q 11 1)1 q q34. 同角三角函数的基本关系式sin2cos21 , tan =sin, tan cot 1cos35. 和角与差角公式sin( ) sin coscos sin; cos( ) cos cos msin sin ;tan()tantan.1mtan tansin( )sin( ) sin 2 sin 2 ( 平方正弦公式 ); cos()cos()cos 2sin 2.a sinb cos = a 2 b 2 sin() ( 辅 助 角所 在 象 限 由 点 ( a, b) 的 象 限 决定, tanb).a36. 二倍角公式sin 2sin cos .cos2 cos 2 sin 2 2cos 21 1 2sin 2.tan 22 tan .1 tan237. 三角函数的周期公式函数 y sin( x) ,x ∈ R 及函数 y cos( x) ,x ∈R(A, ω, 为常数,且 A ≠ 0,ω> 0) 的周期 T2 ;函数 y tan( x) , x k , k Z (A, ω ,为常数,且 A ≠0,ω> 0)2的周期 T.38. 正弦定理a b c 2R .sin A sin B sin C39. 余弦定理b 2c 2 a 2a 2 c 2b 2a 2b 2c 2cos A2bccos B2ac cosC2ab40. 面积定理 ( 1) S11bh b 12 ah ach c ( h a 、 h b 、 h c 分别表示 a 、b 、c 边上的高) .22( 2) S1ab sin C1bc sin A1ca sin B .22241. 三角形内角和定理在△ ABC 中,有 A B CC (A B)CA B2( AB) .222C 2242.实数与向量的积的运算律设λ、μ为实数,那么(1)结合律:λ ( μa)=( λμ ) a;(2)第一分配律: ( λ +μ ) a=λa+μ a;(3)第二分配律:λ ( a+b)= λa+λb.43.向量的数量积的运算律:(1) a ·b= b ·a (交换律) ;(2)( a)·b= (a·b)= a· b= a ·( b);(3)( a+b)· c= a ·c +b ·c.44.向量平行的坐标表示设 a=( x1, y1) , b= ( x2, y2),且 b 0,则 a P b(b 0)x1 y2x2 y10 .a 与b 的数量积 ( 或内积 )a·b=| a|| b|cos θ.45.向量的平行与垂直设a=( x1, y1) , b= ( x2, y2),且 b 0,则A||b b=λa x1 y2x2 y10 .a b(a0)a· b=0x1 x2y1 y20 .46. 一元二次不等式ax2bx c0(或0) (a 0,b24ac 0) ,如果 a 与 ax2bx c 同号,则其解集在两根之外;如果 a 与 ax2bx c 异号,则其解集在两根之间.简言之:同号两根之外,异号两根之间 .x1x x2(x x1)( x x2 ) 0( x1 x2 ) ;x x1, 或 x x2( x x1)( x x2 ) 0( x1x2 ) .47.含有绝对值的不等式当 a> 0 时,有x a x22a x a . ax a x2a2x a 或x a .48.无理不等式f (x)0( 1) f (x)g( x)g( x)0.f (x)g( x)f (x)0 f ( x)0( 2) f (x)g( x)g( x)0或.f (x)[ g(x)] 2g( x)0f (x)0( 3) f (x)g( x)g (x)0.f (x)[ g( x)] 249.指数不等式与对数不等式(1) 当 a 1时 ,a f ( x) a g( x)f ( x)g (x) ;f (x) 0log a f ( x) log a g (x)g (x) 0.f (x)g( x)(2) 当 0 a 1 时 ,a f ( x) a g ( x)f ( x) g( x) ;f ( x) 0 log a f (x) log a g(x)g(x)f ( x) g(x)50.斜率公式ky 2y 1( P 1 ( x 1 , y 1 ) 、 P 2 ( x 2 , y 2 ) ) .x 2 x 151.直线的五种方程( 1)点斜式y y 1 k( x x 1 ) ( 直线 过点 1 1 1 ,且斜率为k ) .l P (x , y )( 2)斜截式 y kx b (b 为直线 l 在 y 轴上的截距 ).( 3)两点式y y 1 x x 1 ( y 1 y 2 )( P 1( x 1 , y 1) 、 P 2 (x 2, y 2 ) ( x 1 x 2 )).y 2 y 1 x 2 x 1(4) 截距式 x y1( a 、b 分别为直线的横、纵截距, a 、 b0 )a b ( 5)一般式(其中 A 、B 不同时为 0).Ax By C52 .两条直线的平行和垂直(1)若 l 1 : yk 1 x b 1 , l 2 : y k 2 x b 2① l 1 ||l 2 k 1 k 2 ,b 1 b 2 ;② l 1 l 2 k 1 k 2 1 .0 , l 2 : A 2 x B 2 y C 2 0 ,且 A 、A 、 B 、B 都不为零 ,(2)若 l 1 : A 1 x B 1 y C 11212 ① l 1 ||l 2A 1B 1C 1 ;A 2B 2C 2②l 1l 2A 1 A 2B 1 B 2 0;53 .夹角公式 (1) tan|k2k 1 | .1 k2 k 1( l 1 : y k 1x b 1 , l 2 : y k 2 x b 2 , k 1k 2 1)(2) tan|A 1B 2A 2B1|.A 1 A 2B 1B 2( l 1 : A 1 x B 1 y C 1 0 , l 2 : A 2 x B 2 y C 2 0 , A 1 A 2 B 1B 2 0 ). 直线 l 1l 2 时,直线 l 1 与 l 2 的夹角是 .254. l 1 到 l 2 的角公式(1) tank 2k1 .1 k2 k 1( l 1 : y k 1x b 1 , l 2 : y k 2 x b 2 , k 1k 21)(2) tanA 1B 2A 2B1 .A 1 A 2B 1B 2( l 1 : A 1 x B 1 y C 1 0 , l 2 : A 2 x B 2 y C 2 0 , A 1 A 2 B 1B 2 0 ). 直线 l 1l 2 时,直线 l 1 到 l 2 的角是 .255. 点与圆的位置关系点 P( x 0 , y 0 ) 与圆 ( x a) 2 ( y b)2 r 2 的位置关系有三种若 d(a x 0 )2 (b y 0 )2 ,则d r 点 P 在圆外 ; d r点 P 在圆上 ; d r点 P 在圆内 .56. 直线与圆的位置关系直线 AxBy C 0 与圆 (x a)2 ( y b) 2r 2 的位置关系有三种 :d r 相离 0 ; d r 相切 0 ; dr相交0 .其中 dAa BbC.A 2B 257. 圆的切线方程(1) 已知圆 x 2 y 2 Dx Ey F 0 .①若已知切点 ( x 0 , y 0 ) 在圆上,则切线只有一条,其方程是D ( x 0 x) E( y 0 y)F0 . x 0 x y 0 y2 2当 (x 0 , y 0 ) 圆外时 , D (x 0 x) E( y 0 y)x 0 x y 0 y22F 0 表示过两个切点的切点弦方程.②过圆外一点的切线方程可设为yy 0 k (x x 0 ) ,再利用相切条件求 k ,这时必有两条切线,注意不要漏掉平行于 y 轴的切线.③斜率为 k 的切线方程可设为 y kx b ,再利用相切条件求 b ,必有两条切线.(2) 已知圆 x 2y 2 r 2 .①过圆上的 P 0 ( x 0 , y 0 ) 点的切线方程为 x 0 x y 0 y r 2 ;②斜率为 k 的圆的切线方程为 ykx r 1k 2 .58.椭圆的的内外部( 1)点 P( x 0 , y 0 ) 在椭圆x 2y 2 1(a b 0) 的内部 x 02 y 02 1 .a 2b 2 a 2 b 2( 2)点 P( x 0 , y 0 ) 在椭圆x 2y 2 1(a b 0) 的外部x 02 y 02 1 .a2b2a2b259. 椭圆的切线方程(1) 椭圆x 2 y 2 1(ab 0) 上一点 P( x 0 x 0 x y 0 y 1.a 2b 2 , y 0) 处的切线方程是b 2a 2(2)过椭圆x2y 2 1(a b 0) 外一点 P( x 0 , y 0 ) 所引两条切线的切点弦方程是x 0 x y 0 ya 2b 21.a2b2(3)椭圆x 2y 2 1(a b 0) 与直线 AxBy C 0 相切的条件是 A 2 a 2B 2b 2c 2 .a 2b 260. 双曲线的内外部 (1) 点 P( x 0 , y 0 ) 在双曲线x 2y 21(a 0, b 0) 的内部x 02 y 02 1 .a 2b 2a 2b 2(2) 点 P( x 0 , y 0 ) 在双曲线x 2y 21(a 0, b 0) 的外部x 02 y 02 1 .a 2b 2a 2b 261. 双曲线的方程与渐近线方程的关系2 222bx .(1 )若双曲线方程为xy 1渐近线方程:x2y2 0ya 2b 2aba(2)若渐近线方程为 yb x x y 0 双曲线可设为x 2y 2 .aa ba 2b 2(3) 若双曲线与 x2y 2 1有公共渐近线,可设为 x 2 y 2 (0 ,焦点在 x 轴上,a 2b 2a 2b 20 ,焦点在 y 轴上) .62. 双曲线的切线方程(1)双曲线 x2y 21(a 0, b 0) 上一点 P( x 0 , y 0 ) 处的切线方程是 x 0 xy 0 y1.a 2b 2a 2b 2( 2)过双曲线x 2y 2 1(a 0, b0) 外一点 P( x 0 , y 0 ) 所引两条切线的切点弦方程是x 0 x y 0 y a 2b 2a 2b 21.(3)双曲线x 2y 2 1(a 0,b 0) 与直线 Ax By C 0 相切的条件是 A 2a 2B 2 b 2 c 2 .a 2b 263. 抛物线 y 2 2 px 的焦半径公式抛物线 y 22 px( p 0) 焦半径 CFx 0 p.2过焦点弦长 CD x1px2px2p . 2x1264. 抛物线y2 2 px 上的动点可设为P (y2, y ) 或P(2 pt2,2 pt )或 P(xo, y o) ,其中2 py o2 2 px o.65. 二次函数y ax2bx cb)24ac b2(a 0)的图象是抛物线:()顶点坐标a(x4a12a为 ( b , 4ac b2) ;(2)焦点的坐标为 (b, 4ac b21) ;(3)准线方程是 y4ac b2 1 .2a4a2a4a4a66.抛物线的内外部(1)点 P( x0 , y0 ) 在抛物线 y2 2 px( p0) 的内部y2 2 px( p0) .点P( x0 , y0 ) 在抛物线 y2 2 px( p 0) 的外部y2 2 px( p 0) .(2)点 P( x0 , y0 ) 在抛物线 y2 2 px( p0) 的内部y22px ( p 0) .点P( x0 , y0 ) 在抛物线 y2 2 px( p 0) 的外部y2 2 px( p0) .(3)点 P( x0 , y0 ) 在抛物线 x22py ( p0) 的内部x2 2 py( p0) .点P( x0 , y0 ) 在抛物线 x22py ( p 0)的外部x2 2 py( p 0) .(4)点 P( x0 , y0 ) 在抛物线 x2 2 py( p0) 的内部x2 2 py ( p0) .点P( x0 , y0 ) 在抛物线 x2 2 py( p 0) 的外部x2 2 py ( p0) .67.抛物线的切线方程(1) 抛物线y2 2 px 上一点 P(x0 , y0 ) 处的切线方程是 y0 y p(x x0 ) .(2)过抛物线y 2 2 px 外一点 P(x0 , y0 ) 所引两条切线的切点弦方程是y0 y p(x x0 ) .(3)抛物线y2 2 px( p 0) 与直线 Ax By C 0 相切的条件是 pB 2 2 AC .68. 直线与圆锥曲线相交的弦长公式AB( x x)2( y y) 2或1212AB(1 k 2 )( x2 x1) 2 | x1x2 | 1 tan2| y1y2 | 1cot 2(弦端点A( x1, y1 ), B( x2 , y2 ) ,由方程ykx b消去 y 得到ax2bx c0 ,0,为直线 AB 的倾F(x , y )0斜角, k 为直线的斜率) .69.证明直线与直线的平行的思考途径(1)转化为判定共面二直线无交点;(2)转化为二直线同与第三条直线平行;(3)转化为线面平行;(4)转化为线面垂直;(5)转化为面面平行 .70.证明直线与平面的平行的思考途径(1)转化为直线与平面无公共点;(2)转化为线线平行;(3)转化为面面平行 .71.证明平面与平面平行的思考途径(1)转化为判定二平面无公共点;(2)转化为线面平行;(3)转化为线面垂直 .72.证明直线与直线的垂直的思考途径(1)转化为相交垂直;(2)转化为线面垂直;(3)转化为线与另一线的射影垂直;(4)转化为线与形成射影的斜线垂直 .73.证明直线与平面垂直的思考途径(1)转化为该直线与平面内任一直线垂直;(2)转化为该直线与平面内相交二直线垂直;(3)转化为该直线与平面的一条垂线平行;(4)转化为该直线垂直于另一个平行平面;(5)转化为该直线与两个垂直平面的交线垂直74.证明平面与平面的垂直的思考途径(1)转化为判断二面角是直二面角;(2)转化为线面垂直 .75.斜棱柱的直截面已知斜棱柱的侧棱长是 l , 侧面积和体积分别是积分别是 c1和 S1,则①S斜棱柱侧c1 l.② V斜棱柱S1l ..S斜棱柱侧和 V斜棱柱,它的直截面的周长和面76.作截面的依据三个平面两两相交,有三条交线,则这三条交线交于一点或互相平行.77.棱锥的平行截面的性质如果棱锥被平行于底面的平面所截,那么所得的截面与底面相似,截面面积与底面面积的比等于顶点到截面距离与棱锥高的平方比(对应角相等,对应边对应成比例的多边形是相似多边形,相似多边形面积的比等于对应边的比的平方);相应小棱锥与小棱锥的侧面积的比等于顶点到截面距离与棱锥高的平方比.78.柱体、锥体的体积V柱体1Sh (S是柱体的底面积、h是柱体的高). 3V锥体1Sh (S是锥体的底面积、h是锥体的高). 379.分类计数原理(加法原理)N m1 m2 L m n.80.分步计数原理(乘法原理)N m1 m2 L m n.81. 排列数公式m = n(n 1) (n m 1) =n !*A n.( n , m ∈ N ,且 m n ) .(nm)!注 :规定 0! 1.82. 排列恒等式(1 ) A n m (n m 1) A n m 1 ; ( 2) A n mn A n m 1 ;n m ( 3) A n m nA n m 11 ;( 4) nA n n A n n 11 A n n ;( 5) A n m 1A n m mA n m 1 .(6) 1! 22! 3 3! L n n! ( n 1)! 1.83. 组合数公式C n m=A n m= n(n 1) (n m 1) =n !( n ∈ N * , m N ,且 m n ).A m 1 2mm !(nm)!m84. 组合数的两个性质(1) C n m =C n n m ; (2) C n m +C n m 1 =C n m 1 . 注 :规定 C n 0 1 . ..85. 排列数与组合数的关系 A n m m !C n m .86. 复数的相等a bi c dia c,bd . ( a, b, c, d R )87. 复数 z a bi 的模(或绝对值)| z |=| a bi |= a 2b 2 .88. 复数的四则运算法则(1) (a bi ) (c di ) (a c) (b d)i ;(2) (a bi )(c di ) (a c) (b d)i ;(3) (a bi )(c di ) ( ac bd ) (bc ad )i ;(4) (a bi )( c di )acbdbc ad. c 2 d 2c 2d 2 i (c di 0)89. 复数的乘法的运算律对于任何 z 1, z 2 , z 3 C ,有 交换律 : z 1 z 2 z 2 z 1 .结合律 : (z 1 z 2 ) z 3z 1 ( z 2 z 3 ) .分配律 : z 1 ( z 2 z 3 ) z 1 z 2z 1 z 3 .90. 复平面上的两点间的距离公式d | z 1 z 2 |( x 2 x 1) 2 ( y 2 y 1) 2 ( z 1x 1 y 1i , z 2 x 2 y 2 i ).91. 向量的垂直uuuuruuuur非零复数 z 1 a bi , z 2 c di 对应的向量分别是 OZ 1 , OZ 2 ,则uuuur uuuur z 2为纯虚数 z 2 |2 | z 1 |2 | z 2 |2 OZ 1 OZ 2 z 1 z 2 的实部为零| z 1z 1| z 1z 2 |2 | z 1 |2 | z 2 |2| z 1 z 2 | | z 1 z 2 | ac bd 0 z 1iz 2 ( λ为非零实数 ).92. 实系数一元二次方程的解实系数一元二次方程 ax 2 bx c 0,①若b 2 4ac0 , 则 x 1,2bb 2 4ac ;2a②若b 2 4ac0 , 则 x 1 x 2b ;b 22a③若4ac 0 ,它在实数集 R 内没有实数根;在复数集C 内有且仅有两个共轭复数根 xb(b 2 4ac)i(b 2 4ac0) .2a。
高考数学必背公式整理一、平面几何公式1. 直线的一般方程:Ax + By + C = 02. 两点间的距离公式:AB = √[(x2 - x1)² + (y2 - y1)²]3. 点到直线的距离公式:d = |Ax0 + By0 + C| / √(A² + B²)4. 两直线夹角的余弦公式:cosθ = (A₁A₂ + B₁B₂) / (√(A₁² + B₁²) √(A₂² + B₂²))5. 两直线平行的条件:A₁ / A₂ = B₁ / B₂ ≠ C₁ / C₂6. 两直线垂直的条件:A₁A₂ + B₁B₂ = 07. 两直线交点的坐标:x = (B₁C₂ - B₂C₁) / (A₁B₂ - A₂B₁),y = (A₂C₁ - A₁C₂) / (A₁B₂ - A₂B₁)二、立体几何公式1. 体积公式:长方体的体积 V = lwh,正方体的体积V = a³,圆柱的体积V = πr²h,圆锥的体积V = (1/3)πr²h,球体的体积 V = (4/3)πr³2. 表面积公式:长方体的表面积 S = 2lw + 2lh + 2wh,正方体的表面积 S = 6a²,圆柱的表面积S = 2πrh + 2πr²,圆锥的表面积S = πrl + πr²,球体的表面积S = 4πr²三、三角函数公式1. 余弦定理:c² = a² + b² - 2abcosC2. 正弦定理:a / sinA = b / sinB = c / sinC3. 三角恒等式:sin²θ + cos²θ = 1,1 + tan²θ = sec²θ,1 + cot²θ = csc²θ四、导数公式1. 基本导数:(xⁿ)' = nxⁿ⁻¹,(sinx)' = cosx,(cosx)' = -sinx,(tanx)' = sec²x,(cotx)' = -csc²x,(lnx)' = 1/x,(ex)' = ex2. 乘法法则:(uv)' = u'v + uv'3. 除法法则:(u/v)' = (u'v - uv') / v²4. 链式法则:(f(g(x)))' = f'(g(x)) * g'(x)五、积分公式1. 基本积分:∫xⁿdx = (xⁿ⁺¹) / (n⁺¹),∫sinxdx = -cosx,∫cosxdx = sinx,∫sec²xdx = tanx,∫csc²xdx = -cotx,∫1/xdx = ln|x|,∫exdx = ex2. 乘法法则:∫uvdx = ∫u'vdx + ∫uv'dx3. 替换法则:∫f(g(x))g'(x)dx = ∫f(u)du六、概率统计公式1. 排列公式:Aₙₙ = n! / (n - m)!2. 组合公式:Cₙₙ = n! / (m!(n - m)!)3. 二项式定理:(a + b)ⁿ = Cⁿ₀aⁿb⁰ + Cⁿ₁aⁿ⁻¹b¹ + ... + Cⁿₙa⁰bⁿ4. 期望公式:E(X) = Σ(xP(x))5. 方差公式:Var(X) = Σ(x²P(x)) - [E(X)]²以上是高考数学中常用的必背公式。
必修 1 数学知识点第一章、会合与函数观点§1.1.1 、会合1、把研究的对象统称为元素,把一些元素构成的整体叫做会合。
会合三因素:确立性、互异性、无序性。
2、只需构成两个会合的元素是同样的,就称这两个会合相等。
3、常有会合:正整数会合:或,整数会合:,有理数会合:,实数会合:.4、会合的表示方法:列举法、描绘法 .§1.1.2 、会合间的基本关系1、一般地,对于两个会合A、B,假如会合 A 中随意一个元素都是会合 B 中的元素,则称会合A是会合 B 的子集。
记作.2、假如会合,但存在元素,且,则称会合A是会合B的真子集.记作:A B.3、把不含任何元素的会合叫做空集.记作:. 并规定:空会合是任何会合的子集.4、假如会合 A 中含有 n 个元素,则会合 A 有个子集.§1.1.3 、会合间的基本运算1、一般地,由全部属于会合 A 或会合 B 的元素构成的会合,称为会合 A 与 B 的并集 . 记作:.2、一般地,由属于会合 A 且属于会合 B 的全部元素构成的会合,称为 A 与 B 的交集 . 记作:.3、全集、补集?§1.2.1 、函数的观点1、 A、 B 是非空的数集,假如依照某种确立的关系,使于会合A中的随意一个数,在会合 B 中都有唯一确立的数和它,那么就称会合A到会合B的一个函数,作:.2、一个函数的构成因素:定域、关系、域.假如两个函数的定域同样,并且关系完整一致,称两个函数相等 .§1.2.2 、函数的表示法1、函数的三种表示方法:分析法、象法、列表法.§1.3.1 、性与最大(小)1、注意函数性明的一般格式:解:且,:=⋯§1.3.2 、奇偶性1、一般地,假如于函数的定域内随意一个,都有,那么就称函数偶函数 . 偶函数象对于称.2、一般地,假如于函数的定域内随意一个,都有,那么就称函数奇函数 . 奇函数象对于原点称.第二章、基本初等函数(Ⅰ)§2.1.1 、指数与指数的运算1、一般地,假如,那么叫做的次方根。
高考前数学知识点总结一. 备考内容: 知识点总结二. 复习过程:高考临近,对以下问题你是否有清楚的认识?1. 对于集合,一定要抓住集合的代表元素,及元素的“确定性、互异性、无序性”。
{}{}{}如:集合,,,、、A x y x B y y x C x y y x A B C ======|lg |lg (,)|lg中元素各表示什么?2. 进行集合的交、并、补运算时,不要忘记集合本身和空集的特殊情况。
∅注重借助于数轴和文氏图解集合问题。
空集是一切集合的子集,是一切非空集合的真子集。
3. 注意下列性质:{}()集合,,……,的所有子集的个数是;1212a a a n n()若,;2A B A B A A B B ⊆⇔==(3)德摩根定律:()()()()()()C C C C C C U U U U U U A B A B A B A B ==,4. 你会用补集思想解决问题吗?(排除法、间接法)5. 可以判断真假的语句叫做命题,逻辑连接词有“或”,“且”和()()∨∧“非”().⌝若为真,当且仅当、均为真p q p q ∧若为真,当且仅当、至少有一个为真p q p q ∨若为真,当且仅当为假⌝p p6. 命题的四种形式及其相互关系是什么? (互为逆否关系的命题是等价命题。
)原命题与逆否命题同真、同假;逆命题与否命题同真同假。
7. 对映射的概念了解吗?映射f :A →B ,是否注意到A 中元素的任意性和B 中与之对应元素的唯一性,哪几种对应能构成映射?(一对一,多对一,允许B 中有元素无原象。
)8. 函数的三要素是什么?如何比较两个函数是否相同? (定义域、对应法则、值域)9. 求函数的定义域有哪些常见类型? 10. 如何求复合函数的定义域?[]如:函数的定义域是,,,则函数的定f x a b b a F(x f x f x ())()()>->=+-0义域是_____________。
重点公式 第零章一、()()0000<=>⎪⎩⎪⎨⎧-=a a a a a a二、因式分解常用的公式222)(2b a b ab a ±=+± ))((22b a b a b a -+=- ))((2233b ab a b a b a +±=±μ三、分式:除式中含有字母的有理式叫分式,分式有意义的条件是分母不零 1.分式的基本性质:M B M A B A ⨯⨯= MB MA B A ÷÷=(M 为整式,且0≠M ) 2.分式的运算:加减法:c b a c b c a ±=± bd bc ad d c b a ±=± 乘除法:bd ac d c b a =⋅ bcadc d b a d c b a =⨯=÷乘方:n nn ba b a =)( (n 为正整数)四、1.一元二次方程的求根公式:aac b b x 242-±-= (042≥-ac b )2.韦达定理:a b x x -=+21;acx x =⋅21 第一章一、非空集合A 有:子集:n2个;真子集:12-n个;非空真子集个数:22-n个 二、两个实数大小的比较b a b a >⇔>-0 b a b a =⇔=-0 b a b a <⇔<-0第二章一、不等式的性质1.对称性:a b b a <⇔>2.传递性:c a c b b a <⇔>>,3.(同加)m b m a b a +>+⇒>4. bc ac c b a >⇒>>0, bc ac c b a =⇒=>0, bc ac c b a <⇒<>0,5.(1) 加法运算(同向加):d b c a d c b a +>+⇒>>,(2)减法运算:统一成加法运算c b d a c d b a d c b a ->-⇒->->⇒>>,, 6.(1)(正向同乘) bd ac d c b a >⇒>>>>0,0 (2)除法运算:统一乘法运算0011,00,0>>⇒>>>>⇒>>>>cbd a c d b a d c b a 7.乘方运算(正乘方):)1,(0>∈>⇒>>+n N n b a b a nn且 8.开方运算(正开方):)1,(0>∈>⇒>>+n N n b a b a n n且9.(同号倒) ba ab b a 110,<⇒>> 二、均值定理1.时取等号当且仅当其中b a R b a ab ba =∈≥++,,,22. 时取等号当且仅当其中c b a R c b a abc c b a ==∈≥+++,,,,33三、重要不等式 1. 0)(2≥+b a2. 时取等号当且仅当其中b a R b a ab b a =∈≥+,,,2223. )0,0,0(3333>>>≥++c b a abc c b a第三章 一、1.正比例函数时为减函数时为增函数,当当00),0()(<>≠=k k k kx x f2.一次函数时为减函数时为增函数,当当00),0()(<>≠+=k k k b kx x f),0()(.3≠=k xkx f 反比例函数)上是减函数,,)和(,函数在区间(时当∞+∞->00,0k )上是增函数,)和(,时,函数在区间(当∞+∞-<000k时,函数为增函数时,函数为减函数,当当且对数函数110),10(log y 4.a ><<≠>=a a a a x 时,函数为增函数时,函数为减函数,当当且指数函数110),10(y 5.><<≠>=a a a a a x二、函数)0(2≠++=a c bx ax y 叫做二次函数 三、二次函数的图像是一条抛物线四、任何一个二次函数)0(2≠++=a c bx ax y 都可把它的解析式配方为顶点式;ab ac a b x a y 44)2(22-++=性质1.图像的顶点坐标为)44,2(2a b ac a b --,对称轴是直线abx 2-= 2.当0>a ,函数在区间)2,(a b --∞上是减函数,在),2(+∞-a b上是增函数, 当0<a ,函数在区间),2(+∞-a b 上是减函数,在)2,(ab--∞上是增函数,3.最值(1)当0>a ,函数图像开口向上,当a bx 2-=时,a b ac y 442min -=(2)当0<a ,函数图像开口向下,当abx 2-=时,a b ac y 442max -=[]说明1.我们研究二次函数的性质常用的方法有两种:配方法和公式法2.无论是利用公式法还是配方法我们都可以直接得出二次函数的顶点坐标与对称轴,但我们讨论函数的最值以及它的单调区间时一定要考虑它的开口方向 五、常见函数的表达式:1.正比例函数表达式:)0(≠=k kx y2.反比例函数表达式:)0(≠=k xky 3.一次函数表达式:)0(≠+=k b kx y 4.二次函数表达式:一般式:)0(2≠++=a c bx ax y顶点式:为抛物线顶点其中),(),0()(2n m a n m x a y ≠+-=两根式:c bx ax x x x x x x a y ++--=22121),)((为二次方程、其中的两根,或函数与x 轴的交点的横坐标第四章一、幂的有关概念1.正整数指数幂:)(+∈=⋅N n a a a a nn 43421ΛΛ个2.零指数幂:)0(,10≠=a a 3.负整数指数幂:),0(,1+∈≠=-N n a aan n4.正分数指数幂:)1,,,0(,>∈≥=+n N m n a a a n m nm5.负分数指数幂:)1,,,0(,1>∈>=+-n N m n a aanmnm三、实数指数幂的运算法则 1.nm n m a a a +=⋅2.mnn m aa =)(3.)0,0,()(>>∈⋅=⋅b a R n m b a b a nnn、注 四、函数),10(R x a a a y x∈≠>=且叫做指数函数五、一般地,指数函数)1,0(≠>=a a a y x在其底数101<<>a a 及这两种情况下的图像和性质如下表所示: 1>a (1)R x ∈ (2)0>y(3)函数的图像都通过点(0,1) (4)在),(+∞-∞上是增函数(5)当100;10<<<>>y x y x 时,当时,10<<a (1)R x ∈(2)0>y(3)函数的图像都通过点(0,1) (4)在),(+∞-∞上是减函数(5)当10;100><<<>y x y x 时,当时,六、对数概念如果)10(≠>=a a N a b且,那么b N N a b a =log 的对数,记作为底叫做以,其中叫做真数叫做底,N a特别底,以10为底的对数叫做常用对数,N N lg log 10可简记作 七、对数的性质1.1的对数等于零,即)10(01log ≠>=a a a 且2.底的对数等于1,即)10(1log ≠>=a a a a 且3.零和负数没有对数八、积、商、幂的对数:1.)0,0,10(log log )(log >>≠>+=N M a a N M MN a a a 且2. )0,0,10(log log )(log >>≠>-=N M a a N M NMa a a 且 3. )0,10(log log >≠>=M a a M a M a aa 且九、换底公式:)0,1,10,0(log log log >≠≠>>=N b a b a bMN a a b 且十、对数恒等式:)0,10(log >≠>=N a a N aNa 且十一、对数函数:形如)0,1,0(log >≠>=x a a x y a 的函数我们称为对数函数十二、一般地,对数函数)1,0(log ≠>=a a x y a 在其底数101<<>a a 及这两种情况下的图像和性质如下表所示: 1>a (1)0>x (2)R y ∈(3)函数的图像都通过点(1,0) (4)在),0(+∞上是增函数(5)当010;01<<<>>y x y x 时,当时,10<<a (1)0>x(2)R y ∈(3)函数的图像都通过点(1,0) (4)在),0(+∞上是减函数(5)当010;01><<<>y x y x 时,当时, 十三、指数方程及解法 1.定义法:b x f b aa x f log )()(=⇔=2.同底比较法:)()()()(x g x f a a x g x f =⇔=3.换元法:[]x t c bt t t a c a b a x f x f x f 后再求求得得可设,002)()(2)(=++=⇔=+⋅+十四、对数方程及解法 1.定义法:⎩⎨⎧=>⇔=ba ax f x f b x f )(0)()(log 2.同底比较法:⎪⎩⎪⎨⎧=>>⇔=)()(0)(0)()(log )(log x g x f x g x f x g x f a a3.换元法形如:[]0)(log 0)(log )(log 22=++=⇔=++c bt t t x f c x g b x f a a a 得可设第五章一、利用数列的前{}的通项公式:之间的关系求出数列与项和n n a n S nn n a a a a S ++++=ΛΛ321 ⎩⎨⎧≥-==-)2(,)1(,11n S S n S a n nn[]说明这里是用两个式子联合起来表示的,切莫忘记前一个式子,事实上,当1=n 时,001,S S S n 而=-没有意义,因而第二个式子也无意义二、等差数列定义如果一个数列从第二项起,每一项与它的前一项的差都等于同一个常数,这个数列就叫做等差数列,这个常数叫做公差,记为)(,1++∈-=N n a a d d n n 即 等差数列的一般形式为Λ,2,,111d a d a a ++ 三、等差数列通项公式d n a a n )1(1-+=四、等差数列前n 项和公式记n n a a a a S ++++=ΛΛ321,则d n n na S a a n S n n n 2)1(2)(11-+=+=或 []说明在n nS an d a ,,,,1五个量中,已知任意三个量可求出另两的量,即“知三求二”五、等差中项对给定的实数b a A b A a A b a 与叫做成等差数列,则称使得,如果插入数与,, 的等差中项,且b a A ba A +=+=22或 六、等差数列的性质1.在等差数列中,若公差0=d ,则此数列为常数列;若0>d ,则此数列为递增数列;若0<d ,则此数列为递减数列2.在等差数列中,),,()(n m N n m nm a a d d n m a a nm n m ≠∈--=-=-+或3. 在等差数列中,若正整数q p n m ,,,满足q p n m +=+,则有q p n m a a a a +=+4. 在等差数列中,每隔相同的项抽出来的项按照原来的顺序排列,构成一个新的等差数列,如ΛΛ,,,531a a a 仍然是等差数列5. 在等差数列中,每连续m 项之和构成的数列仍然是等差数列,如654321,,a a a a a a +++仍然是等差数列6. 有穷等差数列中,与首末两端距离相等的两项之和相等,并等于首末两项之和,若项数为奇数,还等于中间项的2倍,即中a a a a a a a a a n p n p n n 2112312=+=+==+=++---Λ[]说明在三个成等差数列的数中,一般设为:d a a d a +-,,七、等比数列定义如果一个数列从第二项起,每一项与它的前一项的比都等于同一个常数,这个数列就叫做等比数列,这个常数叫做公比,记为)(,1++∈=N n a a q q nn 即 等比数列的一般形式为Λ,,,2111q a q a a 八、等比数列通项公式)0(11≠=-q q a a n n九、等比数列前n 项和公式记n n a a a a S ++++=ΛΛ321,则)1(1)1(1)1(11≠--=≠--=q qq a a S q q q a S n n n n 或 []说明1.以上的两个式子都是针对1≠q 的情况,当1=q 时,数列为常数列,故1na Sn=2.在n n S a n d a ,,,,1五个量中,已知任意三个量可求出另两的量,即“知三求二” 十、等差中项对给定的实数b a G b G a G b a 与叫做成等比数列,则称使得,如果插入数与,, 的等比中项,且ab G ab G ±==或2[]说明1.b a 、两个实数必须是同号的,即0>ab ,这时b a 、才有等比中项2.其中的一个值ab ,当b a 与是正数时,有称为b a 与的几何平均数 十一、等比数列的性质1.在等比数列中,若公比1=q ,则此数列为常数列;若10,01,011<<<>>q a q a 或,则此数列为递增数列;若1,010,011><<<>q a q a 或,则此数列为递减数列2.在等比数列中,),,(n m N n m q a a q a a n m n m n m nm≠∈==+--或 3. 在等比数列中,若正整数q p n m ,,,满足q p n m +=+,则有q p n m a a a a =(特殊地,若2,2p n m a a a p n m ==+则)4. 在等比数列中,每隔相同的项抽出来的项按照原来的顺序排列,构成一个新的等比数列,如ΛΛ,,,741a a a 仍然是等比数列5. 有穷等比数列中,与首末两端距离相等的两项之和相等,并等于首末两项之积,若项数为奇数,还等于中间项的平方,即2112312中a a a a a a a a a n k n k n n =====+---Λ6. 在等比数列中,每连续m 项之和(积)构成的数列仍然是等比数列如Λ654321,,a a a a a a +++仍然是等比数列;Λ654321,,a a a a a a 也仍然是等比数列[]说明在三个成等比数列的数中,一般设为:aq a qa ,,第六章一、弧度π=0180 二、弧长公式:)(为弧度数ααr l⋅=三、扇形的面积公式:)(21212为弧度数扇形ααr lr S ⋅== 四、任意角的三角函数的定义定义:在平面直角坐标系中,设点α是角),(y x P 的终边上的任意一点,且该点到原点的距离为)0(>r r ,则yrx r y x x y r x r y ======ααααααcsc ,sec ,cot ,tan ,cos ,sin 五、三角函数的符号七、平方关系:1cot csc ,1tan sec ,1cos sin 222222=-=-=+αααααα 八、商数关系:ααααααcot sin cos ,tan cos sin == 九、倒数关系:1cos sec ,1sin csc ,1cot tan =⋅=⋅=⋅αααααα 十、诱导公式:1. ααααsec )sec(,cos )cos(=-=-2.终边相同的角,其同名三角函数值同3.奇变偶不变,符号看象限十一、两角和与差的三角函数的公式βαβαβαsin cos cos sin )sin(±=± βαβαβαsin sin cos cos )cos(μ=± βαβαβαtan tan 1tan tan )tan(μ±=±十二、倍角公式αααcos sin 22sin = ααααα2222sin 211cos 2sin cos 2cos -=-=-=ααα2tan 1tan 22tan -=十三、半角公式2cos 12sinαα-±= 2cos 12cos αα+±= ααααααααsin cos 1cos 1sin 2tan cos 1cos 12tan-=+=+-±=或十四、三角函数的图像与性质x y sin =图像定义式:R 值域:[]1,1-周期性:最小正周期π2=T 奇偶性:x x sin )sin(-=-奇函数单调性:在上递增Z k k k ∈⎥⎦⎤⎢⎣⎡++-ππππ22,22在上递减Z k k k ∈⎥⎦⎤⎢⎣⎡++ππππ223,22x y cos =图像定义式:R 值域:[]1,1-周期性:最小正周期π2=T 奇偶性:x x cos )cos(=-偶函数单调性:在[]上递增Z k k k ∈+-πππ2,2在[]上递减Z k k k ∈+πππ2,2x y tan =图像定义式: ⎭⎬⎫⎩⎨⎧∈⋅+≠Z k k x x ,2ππ值域:R周期性:最小正周期π=T 奇偶性:x x tan )tan(-=-奇函数 单调性:在每个区间上都是递增Z k k k ∈++-)2,2(ππππ十五、正弦性函数:k x A y ++=)sin(ϕω ,最小值:最大值:k A k A +-+, ϖπ2=T 最小正周期:十六、余弦性函数: k x A y ++=)cos(ϕω ,最小值:最大值:k A k A +-+, ϖπ2=T 最小正周期:十七、正切性函数: k x A y ++=)tan(ϕω ϖπ=T 最小正周期: 十八、辅助公式:)sin(cos sin 22ϕααα++=+=b a b a y (其中ab =αtan ) 十九、三角形中的边角关系 1.π=++C B A2.大边对大角,大角对大边3.直角三角形中:1sin ,sin ,sin 2222===+===+C cbB c a A b a cC B A 、、π二十、余弦定理A bc c b a cos 2222-+= bca cb A 2cos 222-+=B ac c a b cos 2222-+= acb c a B 2cos 222-+=C ab b a c cos 2222-+= abc b a C 2cos 222-+=二十一、正弦定理)(2sin sin sin 为三角形外接圆的半径其中r r CcB b A a === 二十二、三角形面积B ca A bcC ab S ABC sin 21sin 21sin 21===∆第七章 一、运算律若为实数,则、μλ 1.⋅=)()(λμμλ 2. μλμλ+=+)( 3.b a b a λλλ⋅=+)([]说明数乘向量的运算律与实数的运算律类似二、向量平行的充要条件若λλ=⇔≠,使存在唯一实数则//,[]说明当//,,显然对任意实数λ=三、向量内积的概念与性质 1.两向量的夹角已知两个非零向量与,作,,==则AOB ∠是向量与规定01800≤≤[]说明①与0②与0180③⊥0902.内积的定义=⋅[]说明①⋅的结果是一个实数,可以等于正数、负数、零叫做在方向上正射影的数量 3.内积的性质①如果e 是单位向量,则=⋅=⋅ ②0=⋅⇔⊥③==⋅④=⑤≤⋅ 四、向量内积的运算律 1. ⋅=⋅ 2.)()()(λλλ⋅=⋅=⋅3. ⋅+⋅=⋅+)([]说明一般地,)()(⋅⋅≠⋅+,也就是说,向量内积没有“乘法的结合律”五、设A 、B 两点的坐标分别是),)(,(2211y x y x 则 ),(),(),(12121122y y x x y x y x --=-= 六、向量直角坐标运算1.设),(21a a =,),(21b b =则),(),(),(22112121b a b a b b a a ±±=±=± 2.),(),(2121a a a a λλλλ==3.若),(21a a =,),(21b b =则2211b a b a +=⋅ 七、向量长度坐标运算1.若),(21a a =2221a a +=2.若),(),(2211y x B y x A ,212212)()(y y x x -+-=[]说明也叫A 、B 两点的距离,记为BA d、,上式也叫两点距离公式八、中点公式设),(),(2211y x B y x A ,线段AB 的中点坐标为),(y x ,则2,22121y y y x x x +=+= 九、平移变换公式 点平移公式:若把点⎩⎨⎧+=+==201021000),,(),(),(a y y a x x y x P a a a y x P 则平移到点按向量十、两向量平行于垂直的条件 设),(21a a =,),(21b b =,则)00(0//2122111221≠≠=⇔=-⇔b b b a b a b a b a b a 且 02211=+⇔⊥b a b a十一、图像平移公式:一般地,函数)(x f y =的图像平移向量),(21a a =后,得到的图像的函数表达式为)(12a x f a y -=-第八章一、直线的倾斜角和斜率1.直线的倾斜角:一条直线向上的方向与x 轴的正方向所成的最小正角α,称为直线的倾斜角规定:当0//=α轴时,x l 倾斜角的范围是:πα≤≤02.直线的斜率:若α为直线l 的倾斜角,当2πα≠时,将αtan 叫做直线的斜率,记作:αtan =k ,当2πα=,直线的斜率不存在3.斜率的计算公式: ①αtan =k②如果),(21v v =为直线的一个方向斜率,且121,0v v k v =≠则 ③如果),(B A =为直线的一个法向量,且BA kB -=≠则,0 ④如果),(),(2211y x N y x M 是直线上的两个点 ,且121221,x x y y k x x --=≠则二、直线的方程2.特殊的直线方程①平行于y 轴的直线方程:0x x = ②平行于x 轴的直线方程:0y y = ③过原点的直线方程:kx y =[]说明当一般式方程y x ,系数有为零时1. ,0:111=+C x A l ,0:222=+C x A l 则重合与或2121///l l l l212121//C C A A l l ≠⇔;212121/C C A A l l =⇔重合与 2. ,0:111=+C x A l ,0:222=+C x B l 则21l l ⊥四、待定系数法求直线方程已知直线l :0=++C By Ax ,则与l 平行的直线方程可设为:0=++D By Ax 与l 垂直的直线方程可设为:0=+-D Ay Bx 五、两直线的夹角1.定义:两条直线相交,组成两对对顶角,其中不大于2π的角叫做两条直线的夹角;当两直线平行或重合时,规定夹角为0,常用θ表示两直线的夹角 2.范围:20πθ≤≤3夹角公式:① 设0:1111=++C y B x A l ,0:2222=++C y B x A l 则222221212121cos B A B A B B A A +⋅++=θ②111:b x k y l +=,222:b x k y l +=则21121tan k k k k +-=θ六、点到直线的距离公式 1. 点到直线的距离公式设点),(000y x P 到直线l :0=++C By Ax 的距离为d ,则2200BA CBy Ax d +++=2. 两条平行直线间的距离公式设0:1111=++C y B x A l ,0:2222=++C y B x A l 的距离为d ,则2221BA C C d +-=七、定义:平面内,与定点的距离等于定长的点的集合(轨迹)叫做圆,定点叫做圆的圆心,定长叫做圆的半径 八、圆的标准方程圆心在点),(b a C ,半径为r 的圆的标准方程是222)()(r b y a x =-+- 特殊地,圆心在坐标原点,半径为r 的圆的标准方程是222r y x =+九、圆的一般方程022=++++F Ey Dx y x把圆的一般方程化为标准方程的形式就是:44)2()2(2222FE D E y D x -+=+++1.当F E D 422-+>0时,方程表示一个圆的方程,圆心为(2D-,2E -)半径为2422F E D r -+=2. 当F E D 422-+=0时,方程表示一个点(2D-,2E -)3. 当F E D 422-+<0时,方程不表示任何图形 十、点与圆的位置关系对于点),(000y x P 和圆222)()(r b y a x =-+-或022=++++F Ey Dx y x ,点P 到圆心距离记作d1. 点P 在圆内⇔⇔<-+-22020)()(r b y a x r d F Ey Dx y x <⇔<++++0002020⇔在圆上点P .2⇔=-+-22020)()(r b y a x r d F Ey Dx y x =⇔=++++0002020 ⇔在圆外点P .3⇔>-+-22020)()(r b y a x r d F Ey Dx y x >⇔>++++0002020十一、圆与直线的位置关系直线l :0=++C By Ax ,圆C: 222)()(r b y a x =-+-有直线和圆的方程联系得到关于y x 或的一元二次方程,求出判别式∆1. 直线与圆相离⇔圆与直线没有公共点⇔∆<0⇔圆心到直线l 的距离r d >2. 直线与圆相切⇔圆与直线有一个公共点⇔∆=0⇔圆心到直线l 的距离r d =3. 直线与圆相交⇔圆与直线有两个公共点⇔∆>0⇔圆心到直线l 的距离r d <[]说明当直线与圆相离时,圆上的点到直线的最大距离=r d +,最小距离=r d -其中d 为圆心到直线的距离,知圆上的一点),(00y x P ,则过点P 的圆222)()(r b y a x =-+-的切线方程为:0))(())((0000=--+--b y y y a x x x 十二、圆与圆的位置关系圆221211)()(r b y a x C =-+-,圆21222222,)()(C C d R b y a x C ==-+-,1.外离r R d +>⇔2外切r R d +=⇔3.相交)(,r R r R d r R >+<<-⇔4.内切r R d -=⇔5.内含r R d -<⇔十三、椭圆定义:平面内,与两定点21F F 、的距离的和等于常数(大于21F F )的点轨迹叫做椭圆,定点21F F 、叫做椭圆的焦点,两焦点间的距离叫做焦距第二定义:平面内,与一个定点F 的距离和到一条定直线l 的距离的比是常数)10(<<e e 的点的轨迹叫做椭圆,定点F 叫做椭圆的一个焦点,定直线l 叫做与该焦点对应的准线(一个椭圆有两个焦点和两条准线)常数e 叫做椭圆的离心率十四、椭圆的标准方程和几何性质定义:M 为椭圆上的点)2(22121F F a a MF MF >=+ 焦点位置:x 轴 图形:标准方程:12222=+by a x参数关系:)0(222>>+=b a c b a 范围:b y a x ≤≤,对称性:对称轴:x 轴、y 轴 对称中心:原点 焦点:)0,()0,(21c F c F 、- 顶点:),0()0,(b B a A ±±、 轴长:长轴长a 2;短轴长b 2准线:ca x l 2:±=离心率:ac e =焦点位置:y 轴 图形:标准方程:12222=+bx a y参数关系:)0(222>>+=b a c b a 范围:a y b x ≤≤,对称性:对称轴:x 轴、y 轴 对称中心:原点 焦点:),0(),0(21c F c F 、- 顶点:)0,(),0(b B a A ±±、 轴长:长轴长a 2;短轴长b 2准线:ca y l 2:±=离心率:ac e =十五、双曲线定义:平面内,与定点21F F 、的距离的差的绝对值等于常数(大于0小于21F F )的点轨迹叫做双曲线,定点21F F 、叫做双曲线的焦点,两焦点间的距离叫做焦距第二定义:平面内,与一个定点的距离和到一条定直线的距离的比是常数)1(>e 的点的轨迹叫做双曲线,定点叫做双曲线的一个焦点,定直线叫做与该焦点对应的准线(双曲线有两个焦点和两条准线)常数e 叫做双曲线的离心率十六、双曲线的标准方程和几何性质定义:M 为双曲线上的点)20(22121F F a a MF MF <<=- 焦点位置:x 轴 图形:标准方程:12222=-by a x 参数关系:)0,0(222>>+=b a b a c 范围:R y a x ∈≥,对称性:对称轴:x 轴、y 轴 对称中心:原点焦点:)0,()0,(21c F c F 、-顶点:)0,()0,(21a A a A 、-轴长:实轴长a 2;虚轴长b 2 准线:ca x l 2:±= 渐近线:x a b y ±= 离心率:ac e =焦点位置:y 轴图形:标准方程:12222=-bx a y 参数关系:)0,0(222>>+=b a b a c 范围:R x a y ∈≥,对称性:对称轴:x 轴、y 轴 对称中心:原点焦点:),0(),0(21c F c F 、-顶点:),0(),0(21a A a A 、-轴长:实轴长a 2;虚轴长b 2 准线:ca y l 2:±= 渐近线:x b a y ±= 离心率:ac e = 十七、抛物线定义:平面内与一个定点F 的距离和到一条定直线l 的距离相等的点的轨迹叫做抛物线,定点F 叫做抛物线的焦点,定直线l 叫做抛物线的准线第二定义:平面内,与一个定点F 的距离和到一条定直线l 的距离的比是常数)1(=e 的点的轨迹叫做抛物线,定点F 叫做抛物线的焦点,定直线l 叫做抛物线的准线,常数e 叫做抛物线的离心率十八、抛物线的标准方程和几何性质焦点位置:x 轴正半轴图形:标准方程:px y 22=范围:R y x ∈≥,0对称性:对称轴:x 轴 焦点:)0,2(p F 顶点:原点:(0,0) 准线:2:p x l -= 离心率:1=e焦点位置:x 轴负半轴图形:标准方程:px y 22-= 范围:R y x ∈≤,0 对称性:对称轴:x 轴 焦点:)0,2(pF -顶点:原点:(0,0) 准线:2:px l =离心率:1=e焦点位置:y 轴正半轴 图形:标准方程:py x 22= 范围:0,≥∈y R x 对称性:对称轴:y 轴 焦点:)2,0(pF顶点:原点:(0,0) 准线:2:py l -=离心率:1=e焦点位置:y 轴负半轴 图形:标准方程:py x 22-= 范围:0,≤∈y R x对称性:对称轴:y 轴 焦点:)2,0(p F - 顶点:原点:(0,0) 准线:2:p y l =离心率:1=e 、。
广东高职高考〔3+证书〕?数学?公式一元一次方程5χ-6=7χ+85χ-7χ= 8+6-2χ=14χ=-7一元二次方程χ2=9 χ2-9=0 χ=±3 4χ2-9=04χ2=9χ2=94χ=922χ2-5χ=0χ〔2χ-5〕=0χ=02χ-5=0χ=52χ2-5χ+6=0〔十字相乘法;交叉相乘,再相加〕1 -21 -31×-3=-31×-2=-2-3+-2=-5〔χ-2〕〔χ-3〕=0χ=2,χ=3公式法:aχ2+ bχ+c=0〔标准式〕;x=−b±√b2−4ac2a例:χ2-5χ+6=0x =5±√25−242×1x =5±√122χ2-5χ=0x =5±√25−4×2×02×2x =104公式:a 2+2ab+b 2=〔a+b 〕2 a 2-2ab+b 2=〔a-b 〕2 〔a+b 〕〔a-b 〕=a 2-b 2 〔ab 〕2=a 2b 2 〔a-b 〕2=〔b-a 〕2{0个实数解:√b 2−4ac =01个实数解:√b 2−4ac =02个实数解:√b 2−4ac >0判别式:∆=b 2−4ac 指数23=2×2×2=8 23·24=27⇒a n ·a m =2n+m2524=21⇒a nam =a n−m(2×3)2=22×32⇒(ab )n=a n b na 0=1(a ≠0) 2−3=123=18(−23)−2=1(−23)2=94a m n=√a m n{232=√232(可不写)=√8=2√2423=√423=√1632−12=1212=1√2=1×√2√2×√2=√2√4=√226413=(43)13=43×13=4⇒(a n)m=a n∙m(0.125)−23=[(0.5)3]−13=0.5−2=10.5−2=10.25=1×1000.25×100=10025 √χ2=|χ|={χ, χ>0−χ,χ<0对数〔a t =N ,log a N =t 〕20=1,log 21=0;21=2,log 22=1;22=4,log 24=2;23=8,log 28=324=16,log 216=4;2−3=18,log 218=−3log 10100=2;log 100.1=−1⇒常用对数:lg100=log 10100=2,底数为10可不写。
高考数学公式高考数学中涉及的公式非常丰富,包括代数、几何、三角、概率等多个方面。
下面将对一些常见的高考数学公式进行介绍。
一、代数公式1.二项式定理对任意实数a、b和正整数n,有如下公式:(a+b)^n=C(n,0)*a^n*b^0+C(n,1)*a^(n-1)*b^1+...+C(n,n-1)*a^1*b^(n-1)+C(n,n)*a^0*b^n其中C(n,m)表示从n个元素中选m个元素的组合数。
2.幂函数公式(a^m)^n=a^(m*n)a^m*a^n=a^(m+n)a^0=1(a≠0)3.对数公式logb(M^a) = a * logb(M)logb(1) = 0logb(M*N) = logb(M)+logb(N)logb(M/N) = logb(M)-logb(N)logb(1/M) = -logb(M)4.指数公式a^x = b等价于 x = loga(b)5.一次方程的解对于一元一次方程ax+b=0,解为x=-b/a6.二次方程的解对于一元二次方程ax^2+bx+c=0,解为x=(-b±√(b^2-4ac))/(2a)二、几何公式1.长方形的周长和面积长方形的周长为P=2*(长+宽),面积为S=长*宽2.正方形的周长和面积正方形的周长为P=4*边长,面积为S=边长^23.圆的周长和面积圆的周长为P=2πr,面积为S=πr^24.三角形的面积设三角形的底为a,高为h,则面积为S=1/2*a*h5.直角三角形勾股定理设直角三角形两直角边长分别为a和b,斜边长为c,则有a^2+b^2=c^26.三角形的正弦定理对于任意三角形ABC,边长分别为a、b、c,角A的对边长度为a1,则有a/sinA=b/sinB=c/sinC=a1/sinA7.三角形的余弦定理对于任意三角形ABC,边长分别为a、b、c,角A的对边长度为a1,则有c^2=a^2+b^2-2ab*cosC8.三角形的面积公式对于任意三角形ABC,边长分别为a、b、c,半周长为p,则有S=sqrt(p*(p-a)*(p-b)*(p-c))9.矩形坐标系中两点间的距离设点A(x1,y1)和点B(x2,y2),则AB的距离为d=sqrt((x2-x1)^2+(y2-y1)^2)三、三角公式1.三角函数的基本关系sin^2(x)+cos^2(x)=1tan(x)=sin(x)/cos(x)cot(x)=1/tan(x)=cos(x)/sin(x)sec(x)=1/cos(x)csc(x)=1/sin(x)2.反三角函数sin^(-1)(x)表示sin(x)的反函数,其定义域为[-1,1],值域为[-π/2,π/2]cos^(-1)(x)表示cos(x)的反函数,其定义域为[-1,1],值域为[0,π]tan^(-1)(x)表示tan(x)的反函数,其定义域为全体实数,值域为(-π/2,π/2)cot^(-1)(x)表示cot(x)的反函数,其定义域为全体实数,值域为(0,π)sec^(-1)(x)表示sec(x)的反函数,其定义域为(-∞,-1]∪[1,+∞),值域为[0,π/2]∪[π/2,π]csc^(-1)(x)表示csc(x)的反函数,其定义域为(-∞,-1]∪[1,+∞)3.三角函数的和差化积公式sin(x±y)=sin(x)cos(y)±cos(x)sin(y)cos(x±y)=cos(x)cos(y)∓sin(x)sin(y)tan(x±y)=(tan(x)±tan(y))/(1∓tan(x)tan(y))四、概率统计公式1.随机事件的概率对于一个随机事件A,其概率为P(A)=A发生的次数/总的可能次数2.重要的排列组合公式排列公式:An=n!组合公式:Cnm = n!/(m!(n-m)!)3.期望对于随机变量X,其期望E(X)表示其平均值,计算公式为E(X)=∑(x⋅P(X=x))这只是高考数学中一部分常见的公式,实际考试中还有更多的公式需要掌握。
三校生数学常用公式数学常用公式一. 代数1. 集合,函数1. 元素与集合的关系U x A x C A ∈⇔∉,U x C A x A ∈⇔∉.2.包含关系A B A A B B =⇔=U U A B C B C A ⇔⊆⇔⊆U A C B ⇔=ΦU C A B R ⇔=.3.集合12{,,,}n a a a 的子集个数共有2n 个;真子集有2n –1个;非空子集有2n –1个;非空的真子集有2n –2个.4.二次函数的解析式的三种形式 (1)一般式2()(0)f x ax bx c a =++≠; (2)顶点式2()()(0)f x a x h k a =-+≠; (3)零点式12()()()(0)f x a x x x x a =--≠.5.指数式与对数式的互化式log b a N b a N =⇔=(0,1,0)a a N >≠>.6. 指数不等式与对数不等式 (1)当1a >时,()()()()f x g x a a f x g x >⇔>; ()0log ()log ()()0()()a a f x f x g x g x f x g x >⎧⎪>⇔>⎨⎪>⎩.(2)当01a <<时,()()()()f x g x a a f x g x >⇔<;()0log ()log ()()0()()a a f x f x g x g x f x g x >⎧⎪>⇔>⎨⎪<⎩7.对数的四则运算法则若a >0,a ≠1,M >0,N >0,则(1)log ()log log a a a MN M N =+; (2) log log log aa a MM N N=-; (3)log log ()n a a M n M n R =∈. 2. 数列(1)数列的同项公式与前n 项的和的关系11,1,2n n n s n a s s n -=⎧=⎨-≥⎩( 数列{}n a 的前n 项的和为12n n s a a a =+++).(2)等差数列的通项公式*11(1)()n a a n d dn a d n N =+-=+-∈; 其前n 项和公式为1()2n n n a a s +=1(1)2n n na d -=+211()22d n a d n =+-.(3)等比数列的通项公式1*11()n nn a a a q q n N q-==⋅∈; 其前n 项的和公式为11(1),11,1n n a q q s q na q ⎧-≠⎪=-⎨⎪=⎩或11,11,1n n a a qq q s na q -⎧≠⎪-=⎨⎪=⎩.(4)等比差数列{}n a :11,(0)n n a qa d a b q +=+=≠的通项公式为1(1),1(),11n n n b n d q a bq d b q d q q -+-=⎧⎪=+--⎨≠⎪-⎩;其前n 项和公式为(1),(1)1(),(1)111n n nb n n d q s d q db n q q q q +-=⎧⎪=-⎨-+≠⎪---⎩. 3. 不等式(1)解连不等式()N f x M <<常有以下转化形式()N f x M <<⇔[()][()]0f x M f x N --<⇔|()|22M N M Nf x +--<⇔()0()f x N M f x ->-⇔11()f x N M N>--.(2) 常用不等式:(1),a b R ∈⇒222a b ab +≥(当且仅当a =b 时取“=”号).(2),a b R +∈⇒2a b+≥(当且仅当a =b 时取“=”号). (3)3333(0,0,0).a b c abc a b c ++≥>>> (3) 极值定理已知y x ,都是正数,则有(1)若积xy 是定值p ,则当y x =时和y x +有最小值p 2;(2)若和y x +是定值s ,则当y x =时积xy 有最大值241s .4. 复数(1) 复数的相等 ,a bi c di a c b d +=+⇔==.(,,,a b c d R ∈)(2) 复数z a bi =+的模(或绝对值)||z =||a bi +. (3) 复数的四则运算法则(1)()()()()a bi c di a c b d i +++=+++;(2)()()()()a bi c di a c b d i +-+=-+-; (3)()()()()a bi c di ac bd bc ad i ++=-++; (4)2222()()(0)ac bd bc ada bi c di i c di c d c d +-+÷+=++≠++.(4) 复数的乘法的运算律,对于任何123,,z z z C ∈,有交换律:1221z z z z ⋅=⋅.结合律:123123()()z z z z z z ⋅⋅=⋅⋅. 分配律:1231213()z z z z z z z ⋅+=⋅+⋅ . (5) 复平面上的两点间的距离公式12||d z z =-=(111z x y i =+,222z x y i =+). 5. 排列组合与二项式定理 (1) 组合恒等式(1)11mm n n n m C C m --+=; (2)1m mn n n C C n m -=-;(3)11mm n n n C C m--=;(4)∑=nr r n C 0=n 2;(5)1121++++=++++r n r n r r r r r r C C C C C . (6)n nn r n n n nC C C C C 2210=++++++ . (7)14205312-+++=+++n n n n n n nC C C C C C . (8)1321232-=++++n n n n n nn nC C C C . (9)r n m r n r m n r m n r m C C C C C C C +-=+++0110 . (10)nn n n n n n C C C C C 22222120)()()()(=++++ .(2) 排列数公式mn A =)1()1(+--m n n n =!!)(m n n -.(n ,m ∈N *,且m n ≤).注:规定1!0=. (3) 排列恒等式(1)1(1)m m n n A n m A -=-+;(2)1mmn n n A A n m-=-; (3)11m m n n A nA --=; (4)11n n nn n n nA A A ++=-; (5)11m m m n n nA A mA -+=+.(6) 1!22!33!!(1)!1n n n +⋅+⋅++⋅=+-.(4) 组合数公式mnC =m n m mA A =m m n n n ⨯⨯⨯+-- 21)1()1(=!!!)(m n m n -⋅(n ∈N *,m N ∈,且m n ≤).(5) 组合数的两个性质(1)m n C =mn n C - ;(2) m n C +1-m n C =m n C 1+.注:规定10=nC .(6) 二项式定理nn n r r n r n n n n n n n n b C b a C b a C b a C a C b a ++++++=+--- 222110)( ;(7) 二项展开式的通项公式r r n r n r b a C T -+=1)210(n r ,,, =.二、三角函数1. 常见三角不等式(1)若(0,)2x π∈,则sin tan x x x <<.(2) 若(0,)2x π∈,则1sin cos x x <+≤(3) |sin ||cos |1x x +≥. 2. 同角三角函数的基本关系式22sin cos 1θθ+=,tan θ=θθcos sin ,tan 1cot θθ⋅=. 3. 和角与差角公式sin()sin cos cos sin αβαβαβ±=±;cos()cos cos sin sin αβαβαβ±=;tan tan tan()1tan tan αβαβαβ±±=.22sin()sin()sin sin αβαβαβ+-=-(平方正弦公式); 22cos()cos()cos sin αβαβαβ+-=-.sin cos a b αα+)αϕ+(辅助角ϕ所在象限由点(,)a b 的象限决定,tan baϕ=). 4. 二倍角公式sin 2sin cos ααα=.2222cos 2cos sin 2cos 112sin ααααα=-=-=-.22tan tan 21tan ααα=- 5. 三角函数的周期公式函数sin()y x ωϕ=+,函数cos()y x ωϕ=+,周期2T πω=;函数tan()y x ωϕ=+,周期T πω=. 6. 正弦定理2sin sin sin a b cR A B C===. 7. 余弦定理2222cos a b c bc A =+-; 2222cos b c a ca B =+-; 2222cos c a b ab C =+-.8. 面积定理(1)111222a b c S ah bh ch ===(a b c h h h 、、分别表示a 、b 、c 边上的高).(2)111sin sin sin 222S ab C bc A ca B ===.(3)OAB S ∆=三、向量运算1. 实数与向量的积的运算律 设λ、μ为实数,那么 (1) 结合律:λ(μa )=(λμ)a ; (2)第一分配律:(λ+μ)a =λa +μa; (3)第二分配律:λ(a +b )=λa +λb .2. 向量的数量积的运算律: (1) a ·b= b ·a (交换律);(2)(λa )·b= λ(a ·b )=λa ·b = a ·(λb ); (3)(a +b )·c= a ·c +b ·c. 3. 向量平行的坐标表示设a =11(,)x y ,b =22(,)x y ,且b ≠0,则a //b(b ≠0)12210x y x y ⇔-=.4. a 与b 的数量积(或内积)a ·b =|a ||b |cos θ. 5. 平面向量的坐标运算(1)设a =11(,)x y ,b =22(,)x y ,则a+b=1212(,)x x y y ++. (2)设a =11(,)x y ,b =22(,)x y ,则a-b=1212(,)x x y y --. (3)设A 11(,)x y ,B 22(,)x y ,则2121(,)AB OB OA x x y y =-=--.(4)设a =(,),x y R λ∈,则λa=(,)x y λλ.(5)设a =11(,)x y ,b =22(,)x y ,则a ·b=1212()x x y y +. 6. 两向量的夹角公式cos θ=(a =11(,)x y ,b =22(,)x y ).7. 平面两点间的距离公式 ,A B d =||AB AB AB =⋅=11(,)x y ,B 22(,)x y ). 8. 向量的平行与垂直设a =11(,)x y ,b =22(,)x y ,且b ≠0,则 A ||b ⇔b =λa 12210x y x y ⇔-=. a ⊥b(a ≠0)⇔a ·b=012120x x y y ⇔+=. 9. 线段的定比分公式设111(,)P x y ,222(,)P x y ,(,)P x y 是线段12P P 的分点,λ是实数,且12PP PP λ=,则121211x x x y y y λλλλ+⎧=⎪⎪+⎨+⎪=⎪+⎩⇔121OP OP OP λλ+=+ ⇔12(1)OP tOP t OP =+-(11t λ=+). 10. 点的平移公式''''x x h x x h y y k y y k⎧⎧=+=-⎪⎪⇔⎨⎨=+=-⎪⎪⎩⎩''OP OP PP ⇔=+ 11. 三角形五“心”向量形式的充要条件设O 为ABC ∆所在平面上一点,角,,A B C 所对边长分别为,,a b c ,则 (1)O 为ABC ∆的外心222OA OB OC ⇔==. (2)O 为ABC ∆的重心0OA OB OC ⇔++=.(3)O 为ABC ∆的垂心OA OB OB OC OC OA ⇔⋅=⋅=⋅. (4)O 为ABC ∆的内心0aOA bOB cOC ⇔++=.(5)O 为ABC ∆的A ∠的旁心aOA bOB cOC ⇔=+. 四、解析几何1. 直线方程 (1)斜率公式2121y y k x x -=-(111(,)P x y 、222(,)P x y ). (2)直线的五种方程(1)点斜式 11()y y k x x -=- (直线l 过点111(,)P x y ,且斜率为k ). (2)斜截式 y kx b =+(b 为直线l 在y 轴上的截距). (3)两点式112121y y x x y y x x --=--(12y y ≠)(111(,)P x y 、222(,)P x y(12x x ≠)).(4)截距式 1x ya b+=(a b 、分别为直线的横、纵截距,0a b ≠、)(5)一般式 0Ax By C ++=(其中A 、B 不同时为0). (3)两条直线的平行和垂直(1)若111:l y k x b =+,222:l y k x b =+ ①121212||,l l k k b b ⇔=≠; ②12121l l k k ⊥⇔=-.(2)若1111:0l A x B y C ++=,2222:0l A x B y C ++=,且A 1、A 2、B 1、B 2都不为零,①11112222||A B C l l A B C ⇔=≠; ②1212120l l A A B B ⊥⇔+=; (4)夹角公式(1)2121tan ||1k k k k α-=+.(111:l y k x b =+,222:l y k x b =+,121k k ≠-) (2)12211212tan ||A B A B A A B B α-=+.(1111:0l A x B y C ++=,2222:0l A x B y C ++=,12120A A B B +≠). 直线12l l ⊥时,直线l 1与l 2的夹角是2π. (5)1l 到2l 的角公式(1)2121tan 1k k k k α-=+.(111:l y k x b =+,222:l y k x b =+,121k k ≠-) (2)12211212tan A B A B A A B B α-=+.(1111:0l A x B y C ++=,2222:0l A x B y C ++=,12120A A B B +≠). 直线12l l ⊥时,直线l 1到l 2的角是2π. (6)点到直线的距离d =(点00(,)P x y ,直线l :0Ax By C ++=).2. 两点距离(1)空间两点间的距离公式 ,若A 111(,,)x y z ,B 222(,,)x y z ,则,A B d =||AB AB AB =⋅=3. 圆锥曲线 (一)圆(1)圆的四种方程(1)圆的标准方程 222()()x a y b r -+-=.(2)圆的一般方程 220x y Dx Ey F ++++=(224D E F +->0).(3)圆的参数方程 cos sin x a r y b r θθ=+⎧⎨=+⎩.(4)圆的直径式方程 1212()()()()0x x x x y y y y --+--=(圆的直径的端点是11(,)A x y 、22(,)B x y ). (2)点与圆的位置关系点00(,)P x y 与圆222)()(r b y a x =-+-的位置关系有三种若d =d r >⇔点P 在圆外;d r =⇔点P 在圆上;d r <⇔点P 在圆内. (3)直线与圆的位置关系直线0=++C By Ax 与圆222)()(r b y a x =-+-的位置关系有三种:0<∆⇔⇔>相离r d ; 0=∆⇔⇔=相切r d ; 0>∆⇔⇔<相交r d . 其中22BA C Bb Aa d +++=(4)两圆位置关系的判定方法设两圆圆心分别为O 1,O 2,半径分别为r 1,r 2,d O O =21条公切线外离421⇔⇔+>r r d ; 条公切线外切321⇔⇔+=r r d ;条公切线相交22121⇔⇔+<<-r r d r r ; 条公切线内切121⇔⇔-=r r d ; 无公切线内含⇔⇔-<<210r r d .(二)椭圆(1)椭圆22221(0)x y a b a b +=>>的参数方程是cos sin x a y b θθ=⎧⎨=⎩.(2)椭圆22221(0)x y a b a b+=>>焦半径公式)(21c a x e PF +=,)(22x ca e PF -=.(3)椭圆的的内外部(1)点00(,)P x y 在椭圆22221(0)x y a b a b +=>>的内部2200221x y a b ⇔+<.(2)点00(,)P x y 在椭圆22221(0)x y a b a b +=>>的外部2200221x y a b⇔+>.(4) 椭圆的切线方程(1)椭圆22221(0)x y a b a b +=>>上一点00(,)P x y 处的切线方程是00221x x y ya b+=. (2)过椭圆22221(0)x y a b a b+=>>外一点00(,)P x y 所引两条切线的切点弦方程是00221x x y ya b+=. (3)椭圆22221(0)x y a b a b+=>>与直线0Ax By C ++=相切的条件是22222A a B b c +=.(三)双曲线(1)双曲线22221(0,0)x y a b a b-=>>的焦半径公式21|()|a PF e x c =+,22|()|a PF e x c=-.(2)双曲线的内外部(1)点00(,)P x y 在双曲线22221(0,0)x y a b a b -=>>的内部2200221x y a b ⇔->.(2)点00(,)P x y 在双曲线22221(0,0)x y a b a b -=>>的外部2200221x y a b⇔-<.(3)双曲线的方程与渐近线方程的关系(1)若双曲线方程为12222=-b y a x ⇒渐近线方程:22220x y a b -=⇔x a b y ±=.(2)若渐近线方程为x a b y ±=⇔0=±b ya x ⇒双曲线可设为λ=-2222b y a x .(3)若双曲线与12222=-by a x 有公共渐近线,可设为λ=-2222b y a x (0>λ,焦点在x 轴上,0<λ,焦点在y 轴上). (4)双曲线的切线方程(1)双曲线22221(0,0)x y a b a b -=>>上一点00(,)P x y 处的切线方程是00221x x y ya b-=. (2)过双曲线22221(0,0)x y a b a b-=>>外一点00(,)P x y 所引两条切线的切点弦方程是00221x x y ya b-=. (3)双曲线22221(0,0)x y a b a b-=>>与直线0Ax By C ++=相切的条件是22222A a B b c -=.(四)抛物线(1)抛物线px y 22=的焦半径公式 (2)抛物线22(0)y px p =>焦半径02p CF x =+. (3)过焦点弦长p x x px p x CD ++=+++=212122. (4)抛物线px y 22=上的动点可设为P ),2(2y py或或)2,2(2pt pt PP (,)x y ,其中 22y px =.(5)二次函数2224()24b ac b y ax bx c a x a a-=++=++(0)a ≠的图象是抛物线:(1)顶点坐标为24(,)24b ac b a a --;(2)焦点的坐标为241(,)24b ac b a a -+-;(3)准线方程是2414ac b y a--=. (6)抛物线的切线方程(1)抛物线px y 22=上一点00(,)P x y 处的切线方程是00()y y p x x =+.(2)过抛物线px y 22=外一点00(,)P x y 所引两条切线的切点弦方程是00()y y p x x =+.(3)抛物线22(0)y px p =>与直线0Ax By C ++=相切的条件是22pB AC =.五、立体几何(1)面积射影定理 :'cos S S θ=.(平面多边形及其射影的面积分别是S 、'S ,它们所在平面所成锐二面角的为θ).(2)斜棱柱的直截面已知斜棱柱的侧棱长是l ,侧面积和体积分别是S 斜棱柱侧和V 斜棱柱,它的直截面的周长和面积分别是1c 和1S ,则 ①1S c l =斜棱柱侧. ②1V S l =斜棱柱. 球的半径是R ,则其体积343V R π=,其表面积24S R π=. (3)柱体、锥体的体积13V Sh =柱体(S 是柱体的底面积、h 是柱体的高).13V Sh =锥体(S 是锥体的底面积、h 是锥体的高).六、概率与统计(1)等可能性事件的概率()m P A n=. (2)互斥事件A ,B 分别发生的概率的和P(A +B)=P(A)+P(B). (3)n 个互斥事件分别发生的概率的和P(A 1+A 2+…+A n )=P(A 1)+P(A 2)+…+P(A n ). (4)独立事件A ,B 同时发生的概率P(A ·B)= P(A)·P(B). (5)n 个独立事件同时发生的概率 P(A 1· A 2·…· A n )=P(A 1)· P(A 2)·…· P(A n ).(6)n 次独立重复试验中某事件恰好发生k 次的概率()(1).k kn k n nP k C P P -=- 七、极限(1)几个常用极限 (1)1lim0n n→∞=,lim 0n n a →∞=(||1a <);(2)00lim x x x x →=,0011limx x x x →=. (2)两个重要的极限 (1)0sin lim1x xx→=;(2)1lim 1xx e x →∞⎛⎫+= ⎪⎝⎭(e=2.718281845…).(3)函数极限的四则运算法则若0lim ()x x f x a →=,0lim ()x x g x b →=,则(1)()()0lim x x f x g x a b →±=±⎡⎤⎣⎦;(2)()()0lim x x f x g x a b →⋅=⋅⎡⎤⎣⎦;(3)()()()0lim0x x f x ab g x b→=≠. (4)数列极限的四则运算法则 若lim ,lim n n n n a a b b →∞→∞==,则(1)()lim n n n a b a b →∞±=±;(2)()lim n n n a b a b →∞⋅=⋅;(3)()lim0n n na ab b b →∞=≠(4)()lim lim lim n n n n n c a c a c a →∞→∞→∞⋅=⋅=⋅( c 是常数).(5)特殊数列的极限(1)0||1lim 11||11nn q q q q q →∞<⎧⎪==⎨⎪<=-⎩不存在或.(2)1101100()lim ()()k k k k tt t n t t kk t a n a n a a k t b n b n b b k t ---→∞-⎧<⎪+++⎪==⎨+++⎪⎪>⎩不存在 .(3)()111lim11nn a q a S qq→∞-==--(S 无穷等比数列}{11n a q - (||1q <)的和).。
高考数学公式总结大全高考数学公式总结大全高考数学公式在备考中起到了至关重要的作用。
熟练掌握数学公式,能够为我们解题提供方便和效率。
下面是一份高考数学公式总结大全,供广大考生参考使用。
一、代数公式1. 二项式定理:$$(a+b)^n=\sum_{k=0}^{n}C_n^k \cdot a^{n-k} \cdot b^k$$2. 一元二次方程解的公式:$$x = \frac{-b \pm \sqrt{b^2-4ac}}{2a}$$3. 二次根式:$$\sqrt{mn}=\sqrt{m}\sqrt{n}, \;\left(\frac{m}{n}\right)^{\frac{1}{2}}=\frac{\sqrt{m}}{\sqrt{n}} $$4. 分式:$$\frac{a}{b} \cdot \frac{c}{d} = \frac{ac}{bd}, \;\frac{\frac{a}{b}}{\frac{c}{d}} = \frac{ad}{bc}$$5. 指数幂:$$a^m \cdot a^n = a^{m+n}, \; \frac{a^m}{a^n} =a^{m-n}, \; (a^m)^n = a^{mn}$$6. 对数换底公式:$$\log_a{x}=\frac{\log_b{x}}{\log_b{a}}$$7. 三角函数:$$\sin{2x} = 2\sin{x}\cos{x}, \; \cos{2x} =\cos^2{x}-\sin^2{x}, \; \tan{x} = \frac{\sin{x}}{\cos{x}}$$8. 三角三倍角公式:$$\sin{3x} = 3\sin{x}-4\sin^3{x}, \; \cos{3x} = 4\cos^3{x}-3\cos{x}, \; \tan{3x} = \frac{3\tan{x}-\tan^3{x}}{1-3\tan^2{x}}$$9. 三角和差公式:$$\sin{(a \pm b)} = \sin{a}\cos{b} \pm\cos{a}\sin{b}, \; \cos{(a \pm b)} = \cos{a}\cos{b} \mp\sin{a}\sin{b}$$10. 对数运算:$$\log_a{(mn)} = \log_a{m}+\log_a{n}, \;\log_a{\left(\frac{m}{n}\right)} = \log_a{m}-\log_a{n}$$二、几何公式1. 三角形面积公式:$$S = \frac{1}{2}bh, \; S =\frac{1}{2}ab\sin{C}, \; S = \sqrt{s(s-a)(s-b)(s-c)}$$2. 三角形周长公式:$$C = a+b+c$$3. 三角形中位线定理:三条中线交于同一点,且该点距离三个顶点的距离分别为各边长度的一半。
最新2018年高考数学公式总结口诀高考数学公式口诀(一)一、《集合与函数》内容子交并补集,还有幂指对函数。
性质奇偶与增减,观察图象最明显。
复合函数式出现,性质乘法法则辨,若要详细证明它,还须将那定义抓。
指数与对数函数,两者互为反函数。
底数非1的正数,1两边增减变故。
函数定义域好求。
分母不能等于0,偶次方根须非负,零和负数无对数;正切函数角不直,余切函数角不平;其余函数实数集,多种情况求交集。
两个互为反函数,单调性质都相同;图象互为轴对称,Y=X是对称轴;求解非常有规律,反解换元定义域;反函数的定义域,原来函数的值域。
幂函数性质易记,指数化既约分数;函数性质看指数,奇母奇子奇函数,奇母偶子偶函数,偶母非奇偶函数;图象第一象限内,函数增减看正负。
二、《三角函数》三角函数是函数,象限符号坐标注。
函数图象单位圆,周期奇偶增减现。
同角关系很重要,化简证明都需要。
正六边形顶点处,从上到下弦切割;中心记上数字1,连结顶点三角形;向下三角平方和,倒数关系是对角,变成税角好查表,化简证明少不了。
二的一半整数倍,奇数化余偶不变,将其后者视锐角,符号原来函数判。
两角和的余弦值,化为单角好求值,余弦积减正弦积,换角变形众公式。
和差化积须同名,互余角度变名称。
计算证明角先行,注意结构函数名,保持基本量不变,繁难向着简易变。
逆反原则作指导,升幂降次和差积。
条件等式的证明,方程思想指路明。
万能公式不一般,化为有理式居先。
公式顺用和逆用,变形运用加巧用;1加余弦想余弦,1减余弦想正弦,幂升一次角减半,升幂降次它为范;三角函数反函数,实质就是求角度,先求三角函数值,再判角取值范围;利用直角三角形,形象直观好换名,简单三角的方程,化为最简求解集;三、《不等式》解不等式的途径,利用函数的性质。
对指无理不等式,化为有理不等式。
高次向着低次代,步步转化要等价。
数形之间互转化,帮助解答作用大。
证不等式的方法,实数性质威力大。
求差与0比大小,作商和1争高下。
数学高考数学公式总结一元二次方程解一元二次方程的公式:x =因式分解一元二次方程的因式分解公式:ax^2 + bx + c = (x - p)(x - q)分式方程分式方程的求解公式:= x =不等式一元一次不等式的解法公式:< x < x (, )三角形三角形面积的公式:S = abC圆的周长和面积公式:C = 2r, S = r^2三角函数正弦、余弦、正切的定义公式:= , = , =概率与统计组合的公式:C_n^k =平均数的公式:{x} =牛顿第二定律公式:电磁学库仑定律公式:F = k化学反应化学反应的平衡常数公式:K_c =摩尔质量的公式:M =上面所述就是数学高考中涉及的一些重要公式,希望对你有所帮助。
在备考过程中,要注重公式的理解和运用,这样才能在考试中得心应手。
祝你高考取得好成绩!## 例题1:解一元二次方程题目:求解方程 (x^2 - 5x + 6 = 0)。
1.使用公式法:根据一元二次方程的解公式,得到:x = =2.使用因式分解法:将方程左边进行因式分解,得到:x^2 - 5x + 6 = (x - 2)(x - 3) = 0所以,方程的解为 (x_1 = 2),(x_2 = 3)。
例题2:分式方程求解题目:求解分式方程 ( = )。
1.将方程两边同时乘以 (xy),得到:2.解得 (y = )。
例题3:不等式求解题目:求解不等式 ( < x < 4)。
1.将不等式两边同时乘以 3,得到:2 < 3x < 122.除以 3,得到:< x < 4例题4:三角形面积求解题目:已知三角形两边长分别为 3 和 4,夹角为 (60^),求三角形面积。
1.使用三角形面积公式,得到:S = 3 4 60^= 3 4 = 3例题5:圆的周长和面积求解题目:已知圆的半径为 5,求圆的周长和面积。
1.使用圆的周长公式,得到:C = 25 = 102.使用圆的面积公式,得到:S = 5^2 = 25例题6:三角函数求解题目:已知 (= ),求 () 和 ()。