化工原理第三版陈敏恒课后习题答案全解(清晰、可打印版)
- 格式:pdf
- 大小:3.75 MB
- 文档页数:129
13.2 课后习题详解(一)习题过程的方向和极限13-1 温度为30℃、水汽分压为2kPa的湿空气吹过如表13-1所示三种状态的水的表面时,试用箭头表示传热和传质的方向。
表13-1解:已知:t=30℃,P=2kPa,与三种状态水接触。
求:传热、传质方向(用箭头表示)查水的饱和蒸汽压以Δt为传热条件,为传质条件,得:表13-213-2 在常压下一无限高的填料塔中,空气与水逆流接触。
入塔空气的温度为25℃、湿球温度为20℃。
水的入塔温度为40℃。
试求:气、液相下列情况时被加工的极限。
(1)大量空气,少量水在塔底被加工的极限温度;(2)大量水,少量空气在塔顶被加工的极限温度和湿度。
解:已知:P=101.3kPa,,逆流接触。
求:(1)大量空气,少量水,(2)大量水,少量空气,(1)大量空气处理少量水的极限温度为空气的湿球温度(2)大量水处理少量空气的极限温度为水的温度且湿度为查40℃下,过程的计算13-3 总压力为320kPa的含水湿氢气干球温度t=30℃,湿球温度为t w=24℃。
求湿氢气的湿度H(kg水/kg干氢气)。
已知氢-水系统的α/k H≈17.4kJ/(kg·℃)。
解:已知:P=320kPa,t=30℃,氢水-水系统,求:H(kg水/kg干氢气)查得24℃下,13-4 常压下气温30℃、湿球温度28℃的湿空气在淋水室中与大量冷水充分接触后,被冷却成10℃的饱和空气,试求:(1)每千克干气中的水分减少了多少?(2)若将离开淋水室的气体再加热至30℃,此时空气的湿球温度是多少?图13-1解:已知:P=101.3 kPa,求:(1)析出的水分W(kg水/kg干气)(1)查水的饱和蒸汽压(2)设查得与所设基本相符,13-5 在t1=60℃,H1=0.02kg/kg的常压空气中喷水增湿,每千克的干空气的喷水量为0.006kg,这些水在气流中全部汽化。
若不计喷入的水本身所具有的热焓,求增湿后的气体状态(温度t2和湿度H2)。
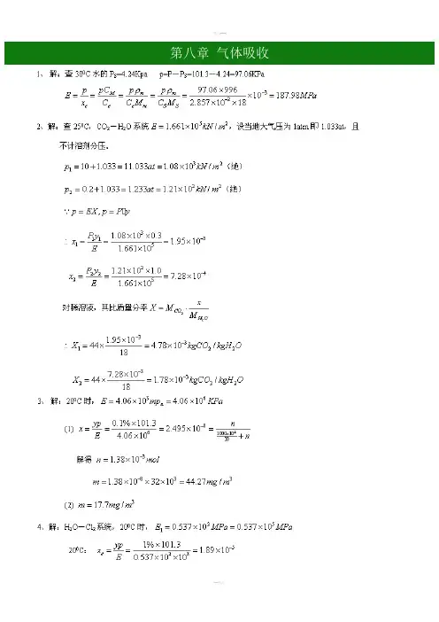
第八章气体吸收1.解:查引忙水的P£=4_24K:pa p=P-P3=lC1.3~4J4=97.0l5KPa 用十警=筮=歳riS笫xg®込解:査25兀,COa-HaO系统£ = 1,661x1"樹加i设当地大气压为I atm SP 1.033at,且不计S剂分压n巧=10+ 1.033= 11.033^2 =1.08^10^(绝)= 0.2+1.033= 1.23S3fi = 1.21xl0Wf^^ (绝)对稀濬痕其比质量分率代九.金1 0气址10今.'.X] = 44x ---------- =47弘訂艇禺。
187 >Cyin7& = 44K --------- = 1.73x10T辰Cq /炫禺018爪解1邓忙时,总二4.06x1^朋玖二406x1(/脸勺=1.38x10-^x32x10^ =4』27蛾£4> 解;筋0—Cb系统,2邙C时,^1 = 0.537xW^A?Pa = 0.537xl0W(2皆竺=竺沁竺曲"2仆计P101.3(q - jf) = 1.09x10'^ (y-儿)二0,005764UC, ^2 = 0 80x10^= 0.8x10^% _空-更迪込"如计PlOlJ兀-A =0.47x10"^ y-” = 0.003685、解:= fn^x= 50x2x10 "^= 0,01^-y^)j = 0.025-0.01 = 0.015(兀7)1 = (5-2)x10 Y= 3x10^丁 =坷乜=50 X— = 25P Q 2儿=??j2;c = 25x2x10 "=50x10**"話詈"2(y-儿L = 0 025-0.005 = 0,02(心-x)2 =(10-2)x10, = 8x10」说備2倍於=辟5& 解:査20忙水,Pa = 23346KPa, p& = 101.3-23346= 989654畑P 型=101.3-1・33 = 99・97级0OCQo = Q220xlL//s 辿工Q= O・252X1OY//S6K吸="F以呢0 =——=——91 D(严-仙W/6W =以羽=旳991 9 >9 0,孑叭刀% 诫弟宓"莎+而=百+-=^+T=〒⑴'鶴曲z/yifoixkt/ih< Z 、Z0lP8・[£x 01X89乙•0X81(昨丁皿回0恥他吨逊o心66二, 乙、/%用(迢严W)惫k, ■ or "d测0泌"e%J藍而"匕善5烽4宀1JV甲十I g=E^ = 3^N .*.BE 陀ef——W B W2护气兄 =-- =-= ---- 才=叫£H巾乙82£-09£^d-^d另肿域3乙厶= Z8T£-O9L = "d钟朋乙8 L£ W列L储吐觀°严/^匚966=旷$/严囚9?0=(7 5战S 常V吗6丁0 = $厶口乙=」7Vg L万=2厂険(吆-叱(〒)〒二可巩丁万/N9、解J (1) —=—+— T 疋=2.2x10*R«0"(s /) Ky 上y kxM =儿)=2・2xl0」x(0・05-2xa01) = 6・6"0"j^o/G ・M2) ⑵降螟培上回=0.0232〔空)0•气上_尸33d A pD・.・Q « P,D 8 —dkg g —斗y =上占与P 无关EP洛=—=M = —m = 1-25P p "F?+忌 nK 尸"281*1°厂 y ; = 0.05-1.25x0.01 "1 =疋;Cx-儿 riaxio"眄= 577%、〒" 1 1 W210、证明 5 '<* -- =—H -----Hy 上y &上占+竺心 C a 匕 a Lak,jf/HSP % =眩+ -% X而用=%叫=%叫 两式相除得%=轨闲Na=-MoG 证毕•J 411、证昵 由物料衡算得 "鬲十2®-儿)L底浓度吸收儿=mx ・》咛竽小2)G mG-L得3訂=寻訂=汕了 __________ 1 _________ / __________________ 变 _________如G-J-J”沁 严-」%加、丄严G 、y 八 歹-牴--0-乃) G--)歹十(可丁2 ■也巧)“pnG1(1-- )M +J —In _______ ________ L ________空 乃-叨心L•••丄("一©) = GO,— ”)wzG mO一厂片_ 一匸儿+刑叫a 給(討款F1 _ wCJ _ ?w _ 1 A Z 剛旳的21=丄必1_715、解:(1)比=X (1-7)= 0・02X (1・0.95) = 0・001A = 1.50,-J 2)/(^-A2)= 1.5X (0.02-0.001)/(^^-0.0004) = 1.75 G广 jK] = ¥%-}^) + E = ;p^x(0.02-aCJ01)+00004 = 0.0113 (2) A/1 =yj-wx, = 0.02-12x0.0113= 6.44x10-3场=乃一加心=0 001-1-2x0.0004 = 5.2x10^咲。
1 95x10-3二:.爲= 44x -------------- = 4 78x 10_3^CO 2 /kgH 2O1S■(章气体吸收L 解;查 刘叱水的 P s =4.24Kpa p=P-Ps=l01.3-4.24=37.06KPaE 厶江込二込二"06冥9严如―1沢9沏甩0 C, C,M K C S M 3 2.857X 1(FS<182、解;查25t CO 丁一巴0系统£ = 1.661x10^/^1设当地大气压为1包血即1.033at 且 不计溶剂分=10+1.033= 11.033a£ =1.08xl03jtW/m 1 (绝) p 2 = 0 2+1.033 = 1 23^ = 1.SlxlO^fcV/w?(绝) p = EX,p = FQy/>! _ 1.08X 103X 0.3~Y~1.661xlO r= 1.95xl0-s对稀溶液,其比质量分率X =1%"7 28 x 10弓X 2 = 44x- ------------- = 1.78X 10-3^(7O 2 IkgH^O3、解’ 2(PC 时,超= 406x10弓型玖二4 06x1炉防解得 w = 1.38xl0-3^Z⑴"亍^^ = 2停沪=密ws = 1.38 x 10^ x 32 x 105= 44.27 ffsg / w(2)漑-174、解:HiC-Cli系统,2WC 时,E x= 0.537 ^WMPa = 0.537xlOWa吨"金0需:黑爲W9X10-y 01X05n l s x OJ X S ZH X h H /T 2X F O I X Q I O H <—貯)M O O H S O l £O OO S £ g x :劉 Jz o J O x e x g H X r H f破/89E O O O L■S X 8O HJ.wx %「剤$5O X8O H Q CWCS X O8OH T 600寸9L O O O N (H I 5 V S X 601—•N (X I 貯)oL lx茗寸—T sl x g o /I sl xa s .oI 副2_=0:025 = 1 0xl0_3=?加2 25O 一兀)2 = 0 025 - 0.005= 0.02(x tf-x)2 = (10-2)X10-,= 8xl0-4・,匕空二匹= 1.33倍0-儿)1 0.015(x,-x)2 = 8.0x10^ = 26?倍(q-x)i 3.0X10-46、解:查20°C 水,去如二2.3346畑,去別=101.3-2.3346 = 98.9654畑= 101.3-1.33 = 99.97^QOCD O = 0.220xlO^w2/^ 20V D= 0.252xlQ-4w2/sN A-A^=^A 8M厂=2137s = 0.59 防7、解:查3(PC, _D= 0.26&//s,Q = 995.7畑/沪,饱和蒸汽压p kl = 31.22tn?nHgPn= 760-31.82 = 122>fntnHgp^7 =160fnfnHg轴羽4嗨,“0.01+为⑴齢3亦忖= 1.44x10% = 16/7 边K G a k G a k L a k y a k L a 64.6 16.6K y a = PK G a = 54.9 K泅心•心⑵K£a = HK^ = 4.62x0.542 = 2.5049、解:(1) — = —+ —^AT=2.2xlO^ Kmol f(s • tn )K y k y kxN A = K y (y-y e -) = 2.2X1Q-4 x(0.05- 2x0.01) = 6.6x10”幻沏(s /) ⑵降膜塔心= 0.023#(罟严(名严vpccP,Dcc-^=>Ar g 8 占=>匕=k g P =>k y 与P 无关 Ep淤=—=加=—fn= 1.25P P 11 — + — ^> AT 1 =2.81x10^k l y kx y尹一尹; = 0.05-1.25x0.01Kg -几)=1 05x10* -^-^ = 57.7%10、证明:*/ — ---- 1—匕K即 H 0G = kg^H L/C•.• y = tnx:. 2x = mKy而 H = H 0G W 0G = H Ql W Ql两式相除得 N OG = AN OL 即"。
第八章气体吸收L 解;查刘叱水的P s=4.24Kpa p=P-Ps=l01.3-4.24=37.06KPaE厶江込二込二"06冥9严如―1沢9沏甩0 C, C,M K C S M32.857X1(FS<182、解;查25t CO丁一巴0系统£ = 1.661x10^/^1设当地大气压为1包血即1.033at且不计溶剂分压’=10+1.033= 11.033a£ =1.08xl03jtW/m1(绝)p2= 0 2+1.033 = 1 23^ = 1.SlxlO^fcV/w?(绝)p = EX,p = FQy/>!_1.08X103X0.3~Y~ 1.661xlO r对稀溶液,其比质量分率X =1%1 95x10-3二:.爲= 44x ---------- = 4 78x 10_3^CO2/kgH2O1S"7 28 x 10弓X2 = 44x- --------- =1.78X10-3^(7O2IkgH^O3、解’ 2(PC 时,超= 406x10^型玖二 4 06x12尿解得w = 1.38xl0-3^Z^=1.38X10^X32X105=44.27 mg 用4、解:HiC-Cli系统,2WC 时,E x= 0.537 = 0.537xlOWa2(P C:yp1%X101.30.537xl02xl(?= 1.89xl0-5= 1.95xl0-s(1)yp_0.1%xl01 3~E~ 4 06xl06= 2.495xKr® =lOOCkiD218"空二竺竺4竺L畑xi尸p101 3(x f-x) = 1.09xl0_J O -儿)=0.00576 4CPG E2 = O.SOxlOWdj = 0 8xl05^101 3x,-x = 0.47xl0-3 y-j;f = 0 003685、解:—= 50x 2 xlO ~^= 0.01y = O25 = 5xW,勻m 50O—兀h = 0.025-0.01 二0.015(5-2)x10 ^=3x10丫睥=—= 50x 丄二2于刊 2=/?^^ = 25x2x10^ = 50 xlO-*码二鱼二2(_L)® 一P)A a RT P3l RT D备血心N A A 3Mr=2137^ = 0.59ftr1、解:查30°C J D= 0.268C>M2Is7p— 995.7jtg/ 饱和蒸汽压p kl- 31/>B1= 760-31 82 = 728w^Vg阻一农760-728 “ 口洛=七厂="Ter =爾硼加^ [口厘In —呛7羽N亦二輕"QQZ"龄W+抨)邸M 警沁池初。