数字电路与逻辑设计(人民邮电出版社)课后答案(邹红主编)
- 格式:docx
- 大小:8.41 MB
- 文档页数:180
数字逻辑习题1.仅用NOR门来构造下面函数的逻辑网络:H=(XY)’Z’
2.仅用NAND门来构造下面的函数的逻辑网络:D=(A+B)B’
3.求出由下面逻辑网络产生的函数G的最简单形式
4.卡诺图化简:G(A,B,C,D)=Σm(2,3,4,7,8,14,15)
5. 卡诺图化简:G(A,B,C,D)=Σm(0,1,3,4,6,7,12,13,14)
6.卡诺图化简:G(A,B,C,D)=Σm(0,4,5,6,7,8,13,14,15)
7.卡诺图化简:G(A,B,C,D)=Σm(1,2,3,4,6,7,9,12,13)
8.采用一个组合电路来控制一个十进制的七段显示,此电路有4个输入,并提供用压缩十进制数表示的4位代码(0(d)=0000,……8(d)=1000,9(d)=1001)。
7个输出用来定义哪段激活,以显示给定的十进制数
(1)写出这个电路的真值表
(2)用sop形式表示真值表
(3)用pos形式表示真值表
(4)写出各段化简的表达式
7.时序电路分析
补充:。
数字电路与逻辑设计试题与答案(word版可编辑修改)编辑整理:尊敬的读者朋友们:这里是精品文档编辑中心,本文档内容是由我和我的同事精心编辑整理后发布的,发布之前我们对文中内容进行仔细校对,但是难免会有疏漏的地方,但是任然希望(数字电路与逻辑设计试题与答案(word版可编辑修改))的内容能够给您的工作和学习带来便利。
同时也真诚的希望收到您的建议和反馈,这将是我们进步的源泉,前进的动力。
本文可编辑可修改,如果觉得对您有帮助请收藏以便随时查阅,最后祝您生活愉快业绩进步,以下为数字电路与逻辑设计试题与答案(word版可编辑修改)的全部内容。
数字电路与逻辑设计(1)班级 学号 姓名 成绩一.单项选择题(每题1分,共10分)1.表示任意两位无符号十进制数需要( )二进制数.A .6B .7C .8D .92.余3码10001000对应的2421码为( )。
A .01010101 B.10000101 C 。
10111011 D.11101011 3.补码1.1000的真值是( )。
A . +1.0111B 。
-1。
0111 C. —0.1001 D. -0. 1000 4.标准或—与式是由( )构成的逻辑表达式。
A .与项相或 B. 最小项相或 C 。
最大项相与 D 。
或项相与 5。
根据反演规则,()()E DE C C A F ++⋅+=的反函数为( ).A. E )]E D (C C [A F ⋅++=B. E )E D (C C A F ⋅++= C 。
E )E D C C A (F ⋅++= D. E )(D A F ⋅++=E C C6.下列四种类型的逻辑门中,可以用( )实现三种基本运算。
A 。
与门 B. 或门 C. 非门 D. 与非门7. 将D 触发器改造成T 触发器,图1所示电路中的虚线框内应是( )。
图1A 。
或非门B 。
与非门 C. 异或门 D. 同或门8.实现两个四位二进制数相乘的组合电路,应有( )个输出函数.A . 8 B. 9 C. 10 D 。
数字电路与逻辑设计习题及参考答案数字电路与逻辑设计习题及参考答案- 2 -⼀、选择题1. 以下表达式中符合逻辑运算法则的是 D 。
A.C ·C=C 2B.1+1=10C.0<1D.A+1=12. ⼀位⼗六进制数可以⽤ C 位⼆进制数来表⽰。
A. 1B. 2C. 4D. 163. 当逻辑函数有n 个变量时,共有 D 个变量取值组合?A. nB. 2nC. n 2D. 2n4. 逻辑函数的表⽰⽅法中具有唯⼀性的是 A 。
A .真值表 B.表达式 C.逻辑图 D.状态图5. 在⼀个8位的存储单元中,能够存储的最⼤⽆符号整数是 D 。
A.(256)10B.(127)10C.(128)10D.(255)106.逻辑函数F=B A A ⊕⊕)( = A 。
A.BB.AC.B A ⊕D. B A ⊕7.求⼀个逻辑函数F 的对偶式,不可将F 中的 B 。
A .“·”换成“+”,“+”换成“·” B.原变量换成反变量,反变量换成原变量 C.变量不变D.常数中“0”换成“1”,“1”换成“0” 8.A+BC= C 。
B B.A+C C.(A+B)(A+C) D.B+C9.在何种输⼊情况下,“与⾮”运算的结果是逻辑0。
DA.全部输⼊是0 B.任⼀输⼊是0 C.仅⼀输⼊是0 D.全部输⼊是110.在何种输⼊情况下,“或⾮”运算的结果是逻辑1。
AA.全部输⼊是0 B.全部输⼊是1 C.任⼀输⼊为0,其他输⼊为1 D.任⼀输⼊为1 11.⼗进制数25⽤8421BCD码表⽰为 B 。
A.10 101B.0010 0101C.100101D.1010112.不与⼗进制数(53.5)10等值的数或代码为C 。
A.(0101 0011.0101)8421BCDB.(35.8)16C.(110101.11)2D.(65.4)813.以下参数不是矩形脉冲信号的参数D 。
A.周期B.占空⽐C.脉宽D.扫描期14.与⼋进制数(47.3)8等值的数为: B A. (100111.0101)2 B.(27.6)16 C.(27.3 )16D. (100111.101)215. 常⽤的BCD码有 D 。
3-1 分析题图3-1所示电路,写出电路输出Y 1和Y 2的逻辑函数表达式,列出真值表,说明它的逻辑功能。
解:由题图3-1从输入信号出发,写出输出Y 1和Y 2的逻辑函数表达式为1Y A B C =⊕⊕ ; 2()()Y A B C AB A B C A =⊕⋅⋅=⊕⋅+B将上式中的A 、 B 、C 取值000~111,分别求出Y 1和Y 2,可得出真值表如题解 表3-1所示。
题解 表3-1ABCA B ⊕()A B C ⊕⋅AB1Y2Y0 0 0 0 0 0 0 0 0 0 1 0 0 0 1 0 0 1 0 1 0 0 1 0 0 1 1 1 1 0 0 1 1 0 0 1 0 0 1 0 1 0 1 1 1 0 0 1 1 1 0 0 0 1 0 1 111111综上,由题解 表3-1可以看出,该电路实现了一位全加器的功能。
其中,A 和B 分别是被加数及加数,C 为相邻低位来的进位数;Y1为本位和数,Y 2为相邻高位的进位数。
3-2 分析题图3-2所示电路,要求:写出输出逻辑函数表达式,列出真值表,画出卡诺图,并总结电路功能。
解:由题图3-2从输入信号出发,写出输出F 的逻辑函数表达式为()()F A B C D =:::将上式中的A 、 B 、C 、D 取值0000~1111,求出F ,可得真值表和卡诺图分别如题解 表3-2和题解 图3-1所示。
题解 表3-2A B C DA B : C D :F0 0 0 0 1 1 1 0 0 0 1 1 0 0 0 0 1 0 1 0 0 0 0 1 1 1 1 1 0 1 0 0 0 1 0 0 1 0 1 0 0 1 0 1 1 0 0 0 1 0 1 1 1 0 1 0 1 0 0 0 0 1 0 1 0 0 1 0 0 11 0 1 0 0 0 1 1 0 1 1 0 1 0 1 1 0 0 1 1 1 1 1 0 1 1 0 0 1 1 1 0 1 0 0 1 1 1 1 1 1 1综上,由题解 表3-2可以看出,当输入A 、 B 、C 、D 中含有偶数个“1”时,输出;否则,当输入A 、 B 、C 、D 中含有奇数个“1”时,输出。
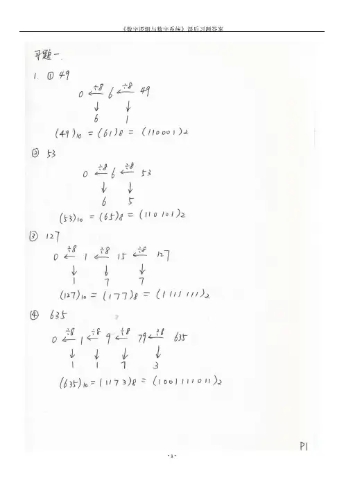
第1章习题及解答将下列二进制数转换为等值的十进制数。
(1)(11011)2 (2)()2(3)(1101101)2 (4)()2(5)()2(6)()2(7)()2(8)()2题解:(1)(11011)2 =(27)10 (2)()2 =(151)10(3)(1101101)2 =(109)10 (4)()2 =(255)10(5)()2 =()10(6)()2 =()10(7)()2=()10(8)()2 =()10将下列二进制数转换为等值的十六进制数和八进制数。
(1)(1010111)2 (2)(1)2(3)()2 (4)()2题解:(1)(1010111)2 =(57)16 =(127)8(2)(0)2 =(19A)16 =(632)8(3)()2 =()16 =()8(4)()2 =(2C.61)16 =()8将下列十进制数表示为8421BCD码。
(1)(43)10 (2)()10(3)()10 (4)()10题解:(1)(43)10 =(01000011)8421BCD(2)()10 =(.00010010)8421BCD(3)()10 =()8421BCD(4)()10 =(.0001)8421BCD将下列有符号的十进制数表示成补码形式的有符号二进制数。
(1) +13 (2)−9 (3)+3 (4)−8题解:(1) +13 =(01101)2(2)−9 =(10111)2(3) +3 =(00011)2(4)−8 =(11000)2用真值表证明下列各式相等。
(1)BA+=+B+BBAA(2)()()()=⊕A⊕CACABB(3)()C BA+=+BCA(4)CAB++A=AABC题解:(1)证明BA+=++BABBA(2)证明()()()ACABCBA⊕=⊕(3)证明()C BACBA+=+(4)证明CAB++=AACBA用逻辑代数公式将下列逻辑函数化成最简与或表达式。
(1)D++A=F+BCBCACA(2)()()D++=F+AACCDA(3)()()B++F+=B+DCDBDDA(4)()D++F+=ADCBCBA(5)()C A B C B AC F ⊕++= (6)()()C B B A F ⊕⊕= 题解:(1)BC A D C A BC C A B A F +=+++= (2)()()CD A D CD A C A A F +=+++=(3)()()C B B A D B D A C B D D D B F ++=++++= (4)()D C B A D C B AD C B A F +=+++= (5)()C B AC C A B C B AC F +=⊕++=(6)()()C A BC B A C B B A F ++=⊕⊕=或C A C B AB ++= 用卡诺图将下列逻辑函数化成最简与或表达式。
【最新整理,下载后即可编辑】
数字逻辑习题
1.仅用NOR门来构造下面函数的逻辑网络:H=(XY)’Z’
2.仅用NAND门来构造下面的函数的逻辑网络:D=(A+B)B’
3.求出由下面逻辑网络产生的函数G的最简单形式
4.卡诺图化简:G(A,B,C,D)=Σm(2,3,4,7,8,14,15)
5. 卡诺图化简:G(A,B,C,D)=Σm(0,1,3,4,6,7,12,13,14)
6.卡诺图化简:G(A,B,C,D)=Σm(0,4,5,6,7,8,13,14,15)
7.卡诺图化简:G(A,B,C,D)=Σm(1,2,3,4,6,7,9,12,13)
8.采用一个组合电路来控制一个十进制的七段显示,此电路有4个输入,并提供用压缩十进制数表示的4位代码(0(d)=0000,……8(d)=1000,9(d)=1001)。
7个输出用来定义哪段激活,以显示给定的十进制数
(1)写出这个电路的真值表
(2)用sop形式表示真值表
(3)用pos形式表示真值表(4)写出各段化简的表达式
7.时序电路分析
Q
Q
SET
CLR
D
X
Clock
Y
补充:
【最新整理,下载后即可编辑】。
第1章习题及解答1.1 将下列二进制数转换为等值的十进制数。
(1)(11011)2 (2)(10010111)2(3)(1101101)2 (4)(11111111)2(5)(0.1001)2(6)(0.0111)2(7)(11.001)2(8)(101011.11001)2题1.1 解:(1)(11011)2 =(27)10 (2)(10010111)2 =(151)10(3)(1101101)2 =(109)10 (4)(11111111)2 =(255)10(5)(0.1001)2 =(0.5625)10(6)(0.0111)2 =(0.4375)10(7)(11.001)2=(3.125)10(8)(101011.11001)2 =(43.78125)10 1.3 将下列二进制数转换为等值的十六进制数和八进制数。
(1)(1010111)2 (2)(110111011)2(3)(10110.011010)2 (4)(101100.110011)2题1.3 解:(1)(1010111)2 =(57)16 =(127)8(2)(110011010)2 =(19A)16 =(632)8(3)(10110.111010)2 =(16.E8)16 =(26.72)8(4)(101100.01100001)2 =(2C.61)16 =(54.302)81.5 将下列十进制数表示为8421BCD码。
(1)(43)10 (2)(95.12)10(3)(67.58)10 (4)(932.1)10题1.5 解:(1)(43)10 =(01000011)8421BCD(2)(95.12)10 =(10010101.00010010)8421BCD(3)(67.58)10 =(01100111.01011000)8421BCD(4)(932.1)10 =(100100110010.0001)8421BCD1.7 将下列有符号的十进制数表示成补码形式的有符号二进制数。
数字电路与逻辑设计习题及参考答案一、选择题1. 以下表达式中符合逻辑运算法则的是 D 。
A.C ·C=C 2B.1+1=10C.0<1D.A+1=12. 一位十六进制数可以用 C 位二进制数来表示。
A . 1B . 2C . 4D . 163. 当逻辑函数有n 个变量时,共有 D 个变量取值组合?A. nB. 2nC. n 2D. 2n4. 逻辑函数的表示方法中具有唯一性的是 A 。
A .真值表 B.表达式 C.逻辑图 D.状态图5. 在一个8位的存储单元中,能够存储的最大无符号整数是 D 。
A .(256)10B .(127)10C .(128)10D .(255)106.逻辑函数F=B A A ⊕⊕)( = A 。
A.BB.AC.B A ⊕D. B A ⊕7.求一个逻辑函数F 的对偶式,不可将F 中的 B 。
A .“·”换成“+”,“+”换成“·”B.原变量换成反变量,反变量换成原变量C.变量不变D.常数中“0”换成“1”,“1”换成“0”8.A+BC= C 。
A .A+B B.A+C C.(A+B )(A+C ) D.B+C9.在何种输入情况下,“与非”运算的结果是逻辑0。
DA .全部输入是0 B.任一输入是0 C.仅一输入是0 D.全部输入是110.在何种输入情况下,“或非”运算的结果是逻辑1。
AA .全部输入是0 B.全部输入是1 C.任一输入为0,其他输入为1 D.任一输入为111.十进制数25用8421BCD 码表示为 B 。
A .10 101B .0010 0101C .100101D .1010112.不与十进制数(53.5)10等值的数或代码为 C 。
A .(0101 0011.0101)8421BCDB .(35.8)16C .(110101.11)2D .(65.4)813.以下参数不是矩形脉冲信号的参数 D 。
A.周期B.占空比C.脉宽D.扫描期14.与八进制数(47.3)8等值的数为: BA. (100111.0101)2B.(27.6)16C.(27.3 )16D. (100111.101)215. 常用的BCD码有 D 。