有机化学综合练习一(命名、写结构式)
- 格式:doc
- 大小:111.00 KB
- 文档页数:3
有机命名练习题有机命名是有机化学中的基础内容,它是研究有机物质性质、结构和反应的基础。
有机化合物的命名方法繁多,根据不同的结构特征和功能基团,可以采用不同的命名规则。
为了帮助大家更好地掌握有机命名的方法和技巧,下面是一些有机命名练习题供大家练习。
1. 苯乙烯可以通过加氢反应转化为乙烷,请写出反应方程式,并给出乙烷的IUPAC命名。
答案:反应方程式:C6H5-CH=CH2 + H2 → C2H6 + C6H6乙烷的IUPAC命名:ethane2. 请给出以下有机化合物的IUPAC命名:(1) CH3-CH2-CH(CH3)-CH2-CH3(2) CH3-CH=CH-CHO(3) CH3-CH2-COOH(4) CH3-C≡C-CH2-OH答案:(1) 3-methylpentane(2) 3-butenal(3) ethanoic acid(4) propargyl alcohol3. 请根据结构式给出以下有机化合物的IUPAC命名:(1) CH3-CH2-CH2-C≡CH(2) CH3-O-CH2-CH3(3) CH3-CH(Br)-CH2-CH3(4) CH3-CH=CH-CH2-CH3答案:(1) 1-pentyne(2) ethyl ether(3) bromoethane(4) 1-pentene4. 请给出以下有机化合物的常用名称:(1) (CH3)3COH(2) HCOOH(3) CH3NH2(4) CH3COCH3答案:(1) tert-butyl alcohol(2) formic acid(3) methylamine(4) acetone5. 请根据以下有机化合物的常用名称给出结构式:(1) isopropyl chloride(2) acetic acid(3) ethylamine(4) phenol答案:(1) CH3CHClCH3(2) CH3COOH(3) CH3CH2NH2(4) C6H5OH6. 请给出以下有机化合物的结构式和IUPAC命名:(1) 2,2,4-trimethylpentane(2) butanoic acid(3) ethylene glycol(4) methyl benzoate答案:(1) 结构式: CH3-C(CH3)2-CH2-CH(CH3)2IUPAC命名: 2,2,4-trimethylpentane(2) 结构式: CH3CH2CH2COOHIUPAC命名: butanoic acid(3) 结构式: HO-CH2-CH2-OHIUPAC命名: ethane-1,2-diol(4) 结构式: CH3OCOC6H5IUPAC命名: methyl benzoate通过以上的有机命名练习题,相信大家对有机化合物的命名方法和技巧有了更深入的了解。
有机化合物命名练习题醛和酮的命名醛和酮是有机化合物中常见的功能团。
它们的命名涉及到一定的规则和命名法则。
下面是几个醛和酮的命名练习题,通过解答这些题目,你可以巩固对醛和酮命名规则的理解和掌握。
练习题一:命名以下化合物中的醛和酮功能团。
1. CH3CHO2. CH3CH2COCH33. CH3CH2COCH2CH2CH34. CH3CH2CH2CHO练习题二:给出以下醛和酮的结构式,并写出其系统命名和常用名称。
1. HCHO2. CH3COCH33. CH3CH2COCH(CH3)CH34. CH3CH(CH3)CH2COCH3练习题三:写出以下化合物的结构式,并命名其醛或酮功能团。
1. Pentanal2. Propanone3. 2-methylbutan-3-one4. Hex-2-enal练习题四:根据以下名称写出相应化合物的结构式。
1. Butyraldehyde2. 2,4-dimethylpentan-3-one3. 2-hexanone4. Cyclohexanone练习题五:给出以下化学式的结构式,并命名其醛或酮功能团。
1. C4H8O2. C6H10O3. C5H10O4. C3H6O练习题六:写出以下化合物的结构式,并给出其系统命名和常用名称。
1. (CH3)2CHCHO2. CH3COCH(CH3)CH2CH(CH3)23. CH3COC(CH3)34. (CH3)2CHCH(CH3)C(O)(CH3)CH2CH(CH3)2练习题七:给出以下化合物的名称,写出其结构式。
1. Butanal2. 2,3-dimethyl-3-pentanone3. 3-ethyl-2,4-dimethylhexan-3-one4. Benzaldehyde以上是一些醛和酮的命名练习题,通过解答可以加深对醛和酮的命名规则的理解。
希望这些练习能够帮助你巩固知识,提高对有机化合物命名的准确性和熟练度。
药学专业有机化学综合练习题一.命名下列化合物,若为立体结构式需标明构型。
1. CH3CH2CHCH2CHCH3CH3CH3 2.(CH3)2CHCH2CHCHCH2CH3CH2CH3CH33.CH3CHCH2CHCH2CH2CH332CH34. CH3CHCH2CH2CHCH2CH333CH3 5.Cl2CH3 6.BrCH3CH27.H3CCH38. 9. Cl10.Br11.C CCOOHCH3HCH3CH212.CH3CH2CH2CHCHC CCH33CH2CH313. CH3CH=CHC CH14. CH=CH2CH3C C15.CHCH2CHCH3OHCH216.C CCH2HH3CHCH317.CH32CH3OHH18.HSCH2CH2OH19.SO3HCH320.OHOH21.OH22.OH223.SO3H224. CH3CH2OCH=CH225. CH3CHO26.CO2HOH27. CH3CH22CH(CH3)2O28. CH3CH2CHCH2COCl329.H OHCO2H330.COOCH2CH331. CH 3CH 22COOCH 3O32. HCON(CH 3)2 33. CH 3CH 2CONHCH 3 34.N(CH 3)235.NCOOH36. NN F. 37.OCHO38.NCH 339.COOH H H 2N2SH二.根据名称写出其结构式1. 螺[3.4]辛烷2. 2,7,7-三甲基二环[2.2.1]庚烷3. 双环[3.2.1]辛烷4. 2,3-二甲基-.2,4-己二烯5. Z-3-甲基-2-氯-2-戊烯6. (Z)-3-乙基-2-己烯7. 1,6-二甲基环己烯8. 乙基9. 乙烯基10. 异丁基 11.异戊基 12.苄基 13. 苯基 14. 烯丙基15. 叔丁醇 16. (2R,3R)-1,2,3-三氯丁烷 17. (2R,3R)-,2,3-二氯-1-丁醇 18. 反-2-甲基-2-丁烯醇19. 4,5-二甲基-2-乙基-1,3-己二醇 20. 甲异丙醚 21. 苯甲醚 22. 3-戊烯醛23. 4-甲基-2-戊酮 24. 苯乙酮 25. 1-环己基-2-丁酮 26. 2-甲基-1-苯基-1-丁酮27. R-乳酸 28. L-2-氨基丙酸 29. 丙二酸 30. 3-羟基戊二酸 31. 顺-丁烯二酸酐32. 乙酸丙酸酐 33. 乙酸乙酯 34. 3-甲基丁酸乙酯 35. N-甲基苯甲酰胺36. 1,4-戊二胺 37. N,N-二甲基苯胺 38. N-甲基-N-乙基环己胺 39. 溴化甲基三乙基铵40. 氢氧化三甲基异丙基铵 41. 2-呋喃甲醛 42. N-甲基-2-羟基咪唑 43. 5-乙基噻唑 44. 嘌呤三.写出下列反应的主要产物1.CH 3CH CH 2 + HBr2.+ HBrCH 3C CH 2CH 33.CH 3+ HI4.CH 3+ HClCH35.+ HBr6.+ HBr7.CH 2=CH -CH=CH 2 + CH 2=CH -CHO8.O+9.(CH 3)3CCH 2CH 34+10.CH 3311.C 2H 5+ Cl 2312.CH 2CH 3NBS13.CH 3NBSBr14.+ Br 2FeBr 3C OO15.+ Br 2NO 2316.(CH 3)2CH CHCH 3Cl17.CH 3CH 2CHCH 318.BrCH 3CH 2CH 3CH 319. CH 3CH 2CH 2Br + NaOCH 320.CH2Cl + (CH 3)321. (CH 3)2CHCl + NaSH22.BrCH 2Br23.ClCH 2CH CH 2Cl24.CH3CH2CHCH2C6H5OH25.CH2CH2OH+ SOCl2 26.OH+ SOCl227.CH3CHCHCH3+28.CH3C+3CH3CH229.CH3OCH3 + HI30.+ HClC6H5CH CH2O331.+ HOCH33 OCH3CH3CH332. CH3CH2稀NaOH33.O+ CH3CH2MgBr(2)H2O/H34.3+CH3CCH3+ CH3Mg I35.O+(C6H5)3P=CH2DMSO 36.+ HCHO(CH3)3C CHO NaOH(浓)37. CHO+H2N-NHO2NNO238. CH3CH2CH2CHO + HOCH2CH239.HOCH3OCH3I2 +NaOH40.C6H5COCH2CH2CH341. CH3CH2CH2COOH + Cl2P42.CH3CH2CCH2COOHO43. CH3CH2CHCH2COOH44.+COOHOH(CH3CO)2O45.COOHOH+ NaHCO346.180o C COOHCOOH47.NaOH +ClONH48.COONa+ CH3CH2Cl49. O OO + CH3OH回流50.22 CH3CO2C2H551.Br CH3(CH2)4C NH2O52.CH2CH2CONH2+ Br2 + NaOH53.O + NH3 O54.CH3NHCH33255.+ HN(CH2CH3)2 CH3SO2Cl56. NH2+ NaNO2 + HCl0~5℃57.CH3N+(CH3)3OH58.N H32OH ,(CH 3CO)2O,5℃59. +NSO 360. OCHO + NaOH (浓)四、选择题1.下列结构中所有碳原子均在一条直线上的是 【 】 A .CH 2=CHCH 2Cl B .CH 3CH=CH 2 C .CH 2=C=CH 2 D . CH 2=CH -CH=CH 2 2. 下列结构中,所有原子共平面的是: 【 】A .CH CH 2B .CH 3C .CH 2OHD .OCH 33. 分子中所有碳原子均为sp 3杂化 【 】 A. C 6H 5CH=CH 2 B. (CH 3)2C=CH 2 C. HC ≡CCH=CH 2 D. CH 3CHClCH 34.下列结构中,碳原子都是sp 2杂化的是: 【 】 A .CH 2CH CH 3B .CH 2CCH 2 C .CH 2CH C CH D .CH 2CH CH 2+5. 分子中所有碳原子均为sp 2杂化 【 】 A. HC ≡CCH=CH 2 B.CH 3CHClCH 3 C. (CH 3)2C=CH 2 D. CH 2=CHCH=CHCl6. 具有最长碳碳键长的分子是 【 】 A .乙烷 B. 乙烯 C. 乙炔 D. 苯7.顺反异构与对映异构可共存的结构是 【 】 A . B .C .CH 3CH 3D .CH 3CH=CHCH(CH 3)28. 不存在顺反异构的化合物是【 】 CH 3CH=CHCH 3C 6H 5CH=CHBrA. B. D.C.ClCl ClClCl9. 存在对映异构的是【 】 CH 3CH=CHCH 3C 6H 5CHCH 3A. B. D.C.ClClCl10. 存在 p-π 共轭体系的分子是 【 】A. 1,3-环己二烯B. 苯甲醛C. Cl-CH 2CH=CH 2D. Cl-CH=CH 2(CH 3)2C CHCHCH 3CH 3CH CHCHCH311. 立体异构不包括【 】 A. 构象异构 B. 对映异构 C. 顺反异构 D. 互变异构12. 具有芳香性的化合物是【 】Br+ Br -OA. B.C.D.13. 不具有芳香性的化合物是【 】+ Br -A. B.C.D.N H14. 最稳定的正碳离子是【 】CH 3 C CH 32+CH 3 CH CH 3+A. B.CH 3 CH 2+C.CH 3+D.15.下列正碳离子最稳定的是 【 】A .C 6H 5CH 2+B .(CH 3)3C +C .C 6H 5C +(CH 3)2 D .CH 3+16. 最稳定的游离基是 【 】CH 3 C CH 36H 5CH 3 CH CH 3A. B.CH 3 CH 2C.CH 3D.17. 分子中同时含有1°, 2°, 3°和 4°碳原子的化合物是 【 】 A. 2, 2, 3-三甲基丁烷 B. 2, 2, 3-三甲基戊烷 C. 2, 3, 4-三甲基戊烷 D. 3, 3-二甲基戊烷18. 薄荷醇的构造式为OH,其可能的旋光异构体数目是 【 】A. 2个B. 4个C. 6个D. 8个19.吲哚的结构式是: 【 】A.N HB .C .N HD .N20.既是叔胺又是芳香胺的是 【 】 A .叔丁胺 B . N -甲基对甲苯胺 C .3-甲基苯胺 D .N,N -二甲基苯胺21.以C 2-C 3分析正丁烷的优势构象是 【 】 A .完全重叠式 B .部分重叠式 C .对位交叉式 D .邻位交叉式 2.2.下列基团属于间位定位基的是: 【 】 A .甲基 B .羧基 C .乙酰氨基 D .甲氧基23.下列基团属邻.对位定位基的是: 【 】 A .-CN B .-Br C .-COOH D .-NO 2 24. 属于邻对位定位基的是 【 】 A. -CHO B. -SO 3H C. -CH=CH 2 D. -CN 25. 在亲电反应中能钝化苯环的基团是 【 】A. —OHB. —NO 2C. —OCH 3D. —NH 326.卤代烃的消除反应一般遵循: 【 】 A .马氏规则 B .休克尔规则 C .霍夫曼规 D .查依采夫规则27.R-2-丁醇和S-2-丁醇性质不同的是: 【 】 A .水溶性 B .熔点 C .沸点 D .比旋光度 28. 水溶性最小的化合物是 【 】OHCH 3CHCH 2CH 2OHA.B.C. D.3CH 2-CH-CH 2OH OH OH29. 熔点最高的化合物是 【 】A. 2-甲基丙烷B. 戊烷C. 异戊烷D. 新戊烷30.下列化合物与金属钠反应放出氢气速度最快的是: 【 】 A .甲醇 B .乙醇 C .异丙醇 D .叔丁醇 31.能与氯化亚铜的氨溶液反应产生红色沉淀的是: 【 】 A .CH 3CH 2CH 2CHO B .CH 3CH 2CCH C .CH 3CH 2C CCH 3 D .CH 3CH 2CH CH 232. 最易发生消去HX 反应的是 【 】 A. 2-甲基-3-溴丁烷 B. 3-甲基-1-溴丁烷 C. 2-甲基-2-溴丁烷 D. 1-溴丁烷 33.下列化合物不与FeCl 3显色的有 【 】 A .苯酚 B .邻甲基苯酚 C .2,4-戊二酮 D .苯甲醚34.下列化合物最难发生水解反应的是 【 】 A .CH 3COOC 2H 5 B .CH 3CONH 2 C .CH 3COCl D .(CH 3CO)2O35.下列化合物不能发生碘仿反应的有 【 】 A .乙醇 B .乙醛 C .苯乙酮 D .正丁醇 36.不能发生碘仿反应的是 【 】 A. B. C. D.CH 3 C CH 3O CH 3CH 2OHC 6H 5CHO CH 3C-C 6H 5O 37. 能发生碘仿反应的是【 】A. B. C.D.CH 3(CH 2)3CH 3CH 3CHOCH 2OHCH 3(CH 2)2CH=CH 238.下列化合物不能与HCN 加成的是 【 】 A .正壬醛 B .丁酮 C .苯乙酮 D .环己酮 39. 下列物质与氢氰酸能发生加成反应又能发生碘仿反应的是: 【 】A .C OHB .C OCH 3C .CH 3OD .CH 3CH 22CH 3O40. 下列化合物可发生Cannizzaro 反应的是: 【 】 A .乙醛 B .苯甲醛 C .丙醛 D .丙酮41.下列试剂中能发生Cannizzaro 歧化反应的是 【 】 A .甲醇 B .甲醛 C .甲酸 D .甲胺42. 能与丙酮反应的是: 【 】 A .托伦试剂 B .斐林试剂 C|.班乃德试剂 D .格氏试剂43. 最易与硝酸银作用生成白色沉淀的化合物是 【 】A. CH 3C -ClB. (CH 3)3C -ClC. CH 2=CHCHCH 3D. ClO44. 下列羧酸衍生物发生亲核取代反应速度最快的是 【 】A .CH 3CONH 2B .(CH 3CO)2OC .CH 3COClD .CH 3COOC 2H 545.下列化合物中可发生克莱森酯缩合反应的是: 【 】A .乙酸乙酯B .甲酸甲酯C .苯甲酸乙酯D .苯酚46. 最容易发生脱羧反应的是 【 A 】A .β-丁酮酸B .β-羟基丁酸C .α-羟基丁酸D .α-丁酮酸47.CH 3CH=CHCH 2CH=CHCH 3经酸性KMnO 4氧化后的产物是 【 】A .CH 3COOH + HOOCCH 2COOHB .CO 2 + OHCCH 2CHOC .HCOOH + OHCCH 2CHOD .HCOOH + HOOCCH 2COOH48. 能发生缩二脲反应的是: 【 】A .丙氨酸B .乙酰苯胺C .尿素D .多肽49.. 能与重氮盐发生偶联反应的是 【 】NHCOCH 3CH=CH 2N(C 2H 5)2N(CH 3)3Cl -+A. B. C. D.50. 室温下能与HNO 2 作用放出N 2 的是 【 】A. (CH 3)3NB. H 2NCONH 2C. C 6H 5NHCH 3D. HCON(CH 3)251.吡咯环碳上的硝化属于 【 】A .亲核取代B .亲核加成C .亲电取代D .亲电加成52. 醛与醇加成生成半缩醛的反应属于 【 】A. 亲核加成B. 亲电加成C. 亲核取代D. 亲电取代53.乙醛与乙醇在干燥HCl 条件下的反应属于 【 】A .醇醛缩合反应B .亲核加成反应C .Cannizarro 反应D .Diels-Alder 反应54. 在光照下,甲苯与氯气反应生成氯化苄,这一反应的机理是: 【 】A .亲电加成B .亲核取代C .亲电取代D .自由基取代55.亚硫酸氢钠与醛反应生成结晶性沉淀的反应机理是: 【 】A .亲核取代B .亲电取代C .亲核加成D .亲电加成56.下列叙述不属于S N 1反应特征的是 【 】A .有重排产物生成B .产物外消旋化C .反应一步完成D .反应分步进行57. 最易发生 S N 2 反应的是 【 】A. 溴乙烷B. 溴苯C.溴乙烯D. 2-溴丁烷58. 最易发生 S N 1 反应的是 【 】A. 溴甲烷B. 溴乙烷C. 3-溴-2-甲基丁烷D. 2-溴-2-甲基丁烷59. 下列说法中,属于 S N 2 反应特征的是 【 】A. 有正碳离子中间体生成B. 中心碳的构型完全发生转化C. 得到外消旋化产物D. 反应活性 3°RX > 2°RX > 1°RX > CH 3X60. 反应 CH 2=CHCH 3 + HCl → CH 3CHClCH 3 属于 【 】A. 亲核加成B. 亲电取代C. 亲电加成D. 自由基取代61. 属于亲电试剂的是 【 】A. HNO 3B. HCNC. NaHSO 3D. H 2N -NH 262. 属于亲核试剂的是 【 】A. Br 2B. NaHSO 3C. H 2SO 4D. HBr63. 在亲电反应中能活化苯环的基团是 【 】A. —CO 2HB. —SO 3HC. —OCH 3D. —NO 264. 亲核取代反应活性最高的是 【 】A. CH 3COClB. (CH 3CO)2OC. CH 3CO 2CH 3D. CH 3CONH 265.亲电取代反应速度比苯快的是: 【 】A .吡咯B .吡啶C .硝基苯D .喹啉66. 亲电取代反应活性最高的是 【 】A. 苯B. 吡咯C. 吡啶D.嘧啶67. 与甲醇发生酯化反应速率最大的是 【 】A. 乙酸B. 丙酸C. 2-甲基丙酸D. 2,2-二甲基丙酸68. 与乙酸发生酯化反应的速率最大的是 【 】A. 甲醇B. 乙醇C. 丙醇D. 丁醇69.化合物:a 乙醇.b 乙酸.c 苯酚.d 碳酸,其酸性由强到弱排列是 【 】A .abcdB .bdcaC .bcadD .bcda70. 酸性最强的是 【 】A .苯酚 B. 3-硝基苯酚 C. 4-硝基苯酚 D. 2,4-二硝基苯酚71. 酸性最强的是 【 】COOH NO 2COOH COOHH 3C A. B. C. D.OH72.下列化合物碱性最强的是 【 】A .二甲胺B .NH 3C .苯胺D .吡咯73 碱性最强的是 【 】A. CH 3CONH 2B. C 6H 5NH 2C. (CH 3)2NHD. NH 374. 碱性最弱的是 【 】 N B.N H A.N H C.NH 2D.75.可用作重金属解毒剂的是 【 】A .乙醚B .乙硫醇C .二巯基丙醇D .二氯亚砜76.下列试剂中能区别苯甲醛和苯乙酮的是 【 】A .FeCl 3溶液B .Grignard 试剂C .Fehling 试剂D .Tollens 试剂77.能溶于NaOH 溶液,通入CO 2后又析出来的化合物是 【 】A .环己醇B .苯酚C .苯胺D .苯甲酸78.下列试剂中,可把苯胺与N-甲基苯胺定性区别开来的是 【 】A .5%HCl 水溶液B .先用C 6H 5SO 2Cl 再用NaOHC .AgNO 3 + NH 3·H 2OD .Cu 2Cl 2 + NH 3·H 2O79. 区别甲苯与氯苯最好采用 【 】A. Br 2/CCl 4B. AgNO 3C. KMnO 4D. 浓H 2SO 4五、判断题。
有机化学综合练习一给下列化合物命名(打*号的标出其构型)或写出结构式、构型式1. CH 3CH-CH 3 2、 CH-CH 2-CH 2-CH 2-CH-CH 3 CH 3 CH 33*.4*、5. CH 3CH 2CH 2-CH 2C CH 6、、9*. 10、NO 2311. CH 3-C =CH -CH 2CHO 12、 CH 3 13.CH 3OC(CH 3)3 14、21.水杨酸 25. 苦味酸 26. 丙烯酸甲酯 30. 氯苄 35. 草酸 39. 季戊四醇 40. (R )-2-羟基丁酸 41. 苯甲醚 42. 邻苯二酚 45. 苄醇 46. 石炭酸 52.异丙苯 53.1,5-二硝基萘 54.氯化苄 55.甲硫醇 56.三氯乙醛 参考答案1.2,3,7—三甲基辛烷 2、 2,2—二甲基—3—乙基庚烷 3.(E )—3—溴—2—戊烯 4、 (Z )—3—甲基—4—丙基—3—辛烯 5.1—己炔 6、苯乙炔7.顺—1,3—二甲基环丁烷 8、 3—甲基环己烯 9.(S )—2—氯戊酸 10、3—硝基甲苯 11.4—甲基—3—戊烯醛 12、苯甲酸甲酯3 3CH 3CH 2CH 3 H Br C=C -C CH COOHCH 2CH 2CH 3Cl HCH 3CH 2CH 2CH 2 CH CH 2 CH 3 CH 3 C CH 3 CH 3 C=C CH 2CH 2CH 2CH 3 CH 2CH 2CH 3 CH 3CH 2 CH 3-C -OCH 3O OH OH -C -Br O 313、甲基叔丁基醚 14、苯甲酰溴 15.(R )—2—氨基丁酸 16、间苯二酚17. —呋喃甲醛 19、邻苯二甲酸二乙酯21. 22、H —C —NH 223. 24、H 2N —CH 2CH 2CH 2COOH25、 26、CH 2=CH-COOCH 327. 28、29、 30、31、 32、33.CH 3COOCH=CH 2 34、35. 36、37. 38、39. 40、41、 42、43. 44、-COOH-OH OO -CH 2COOH OH -NO 2 NO 2-NO 2-C -Cl O Cl O NCH 3-CH 2Cl N -CH 3-CH 3 NH 2 CH 3CHCOOH -C -Br OCOOH COOH O-CH 2OH -N (CH 3)2 OHHOH 2C -C -CH 2OH CH 2OHCH 2OH HOH COOH CH 2CH 3 OCH 3 -OH-OHNH 2CH 2COOH -CH 2OH -OH45. 46、 47、 48、49.50、51、 HCOOH 52、53. 54、55、CH 3SH 56、Cl 3C-CHO57、 58、59、 60、有机化学综合练习二完成反应式(写出主要产物或注明反应条件)1.CH 3-C CH + 2H Cl 2. +3. CH 3 + HBr 4. CH 3-CH C CH + H 2O CH 35. + (CH 3CO)2O6. CH 3OCH 2CH 3 + HI-CH=CH-CHO -C -Cl O-NH-C-CH 3 OS —NO 2 CH(CH 3)22-CH 2Cl -CH 2NH 2 S —SO 3H HO CHOOH OH OH HH HH CH 2OH CHO-C-CH 3O HgSO 4 H 2SO 47.CH 3-CH —CH-CH 2-CH 2CH8. + (CH 3CO )2CO9. 10.11.CH 3-CH=CH 2 + Cl 212. CH 3-CH 2-CHO13.CH 3-CH =CH 2-C -CH 314. C-CH 2-CH 2-CH 3 15.17.CH 2=CH-CH 2CH 2-C -CH 321.22. —CH=CH-CHO 2OH23.CH 3-C -CH 2 24. CH(CH 3)227. 28.CH 3 C(CH 3)3 KMnO 4 OCH 3-CH —C-CH 2-CH 3 3-CH —CH 2-CH 2-CH 3 Br Br O O NaBH 4 过氧化物CH 3-CH=C-CH 2-CH 3 + HBr CH 3 2 CH 3-CH =C -CH 3 + HBr CH 3 稀OH -CH 3-CH-CH-CH 2CH 3 KOH -乙醇 CH 3CH 3 OH 光H 2NNH 2 H 2O , NaOH高沸点溶剂,加热 OO29.32.33.34. CH 3-CH-CH 2-C-CH 3 CH3-CH-CH 2-CH 2-CH 336. CH 3—C —CH 2COOH37.38.39.参考答案1. 2、3、 4、5、无水三氯化铝6、CH 3I + CH 3CH 2OH 7. 8、9、 10、11. ClCH 2-CH=CH 2 12.13. CH 3-CH =CH 2-CH 2-CH 3 14. CH 2COOH2COOH-N 2+Cl - + -OH -N=N- -OH 浓NaOH -CHO + HCHO Cl Cl O O N KMnO 4/H +—CH 3 KOH-乙醇,△ O 2,V 2O 5O Cl ClCH 3—C —CH 3Br CH 3—CH —CH2—CH 3 CH 3 CH 3-CH —C —CH 3 O CH 3 CH 3-C=CH-CH 2-CH 2CH 3 -NH-C-CH 3 O CH 3-CH 2—C -CH 3 CH 3 Br CH 3-CH-CH-CH 2-CH 3 CH 3 Br CH 3-CH 2-CH -CH -CHO OH CH 3 CH 2-CH 2-CH 2-CH 315. 16. Fe + HCl17. CH 2=CH-CH 2CH 2-CH -CH 3 18.19. 20. 20. 22. LiAlH 4 或NaBH 423.CH 3-C -CH 3 24、25. 26.27. KOH/乙醇 28、29. 30.31. 32. 弱碱性33. 34. Zn-Hg/浓HCl, 加热35. 36、 37. 38、39.有机化学综合练习三单项选择题及填空题1.在实验室进行蒸馏时,被蒸馏的液体的体积应占蒸馏烧瓶容量的( )。
有机化学综合练习1.命名下列各化合物:CHOOCH 3 C C CH 3CH 2BrCH 3CH 2COOHNCONH 2NHNH 2C C C OOO HH( )( )( )( )( )123452.写出下列化合物的结构式:(1)蔗糖 (2)A TP(3)β—甲基—γ—己内酯 (4)乙酰水杨酸 (5)S —半胱氨酸 3.完成下列反应式:CH 3CH 2ClAlCl 3无水 +( )1( )CH 3CH 2CHO NaOH 2CHOC CH 3O+HCN( )3COOHOH ( )45CHO HH HOH OH OH CH 2OH+Br 2(H 2O)( )6( )CH 3CHCH 2CH 23OHO+I 2NaOH+CH 2ClClNaOH(H 2O)+( )7HOOC CH 2 CH COOHCH3( )8CH 3CH CHCHO HOCH 2CH 2OH+干 ( )9CH 3CH 3KMnO 4H ++( )104.是非题(对的用“√”表示,错的用“×”表示)(1)羰基化合物亲核加成反应的活性不仅取决于羰基的正电荷,而且还取决于羰基碳上连接基团的体积————————————————————————( )(2)α—卤代烃的酸性比同碳数的羧酸强,是因为卤素与羧基之间的共轭效应产生的。
———————————————————————————————( )(3)有机物中,卤素、羟基和氨基直接连在叔碳原子上时,它们分别为叔卤代烃、叔醇或叔胺。
————————————————————————————( )(4)COOH COOHH HCl Cl有2个手性碳原子,所以有旋光性。
————————( ) (5)醋酸酐——浓硫酸可用作临床检验胆固醇的试剂。
————————( ) (6)蛋白质水解所得到的20种氨基酸与亚硝酸反应,都能放出N 2。
——( ) (7)苯进行磺化反应时,作为亲电试剂的是SO 3。
药学专业有机化学综合练习题参考答案一.命名下列化合物,若为立体结构式需标明构型。
1.CH 3CH 2CHCH 2CHCH 3CH 3CH 32. (CH 3)2CHCH 2CHCHCH 2CH 32CH 3CH 33.CH 3CHCH 2CHCH 2CH 2CH 332CH 32,4-二甲基己烷2,5-二甲基-4-乙基庚烷 2-甲基-4-乙基庚烷4.CH 3CHCH 2CH 2CHCH 2CH 333CH 3 5.Cl2CH 36.BrCH 3CH 22,6-二甲基-3-乙基庚烷 (1R,3R)-1-乙基-3-氯环己烷顺-1-乙基-4-溴环己烷7.H 3CCH 38. 9.10.Br3,6-二甲基二环[3.2.2]壬烷 1,3,8-三甲基螺[]癸烷 5-氯螺[]辛烷 2-溴二环[4.3.0]壬烷C CCOOHCH 3H CH 3CH 2.CH 3CH 2CH 2CHCHC CCH 33CH 2CH 313. CH 3CH=CHC CH 14. CH=CH 2CH 3C CE-2-甲基-2-戊烯酸 4-甲基-5-乙基-2-辛炔 3-戊烯-1-炔1-戊烯-3-炔15.CHCH 2CHCH 3CH 2 16.C C2HH 3CHCH 3CH 32CH 3OH H .HSCH 2CH 2OH4-戊烯-2-醇(2R,4E)-4-己烯-2-醇 (S)-2-丁醇2-巯基乙醇19.SO 3HCH 320.OHOH21. OH22.OH223.SO 3H22-甲基苯磺酸 间苯二酚 2-萘酚 5-硝基-2-萘酚 5-硝基-2-萘磺酸24.CH 3CH 2OCH=CH 225.CH 3CHO26.CO 2HOH27.CH 3CH 2CCH 2CH(CH 3)2O乙基乙烯基醚 对甲基苯甲醛 3-羟基苯甲酸 5-甲基-3-己酮28.CH 3CH 2CHCH 2COCl329. HOH CO 2H 330.COOCH 2CH 33-甲基戊酰氯D-乳酸(R-2-羟基丙酸) 苯甲酸乙酯31. CH 3CH 22COOCH 3O32. HCON(CH 3)2 33.CH 3CH 2CONHCH 3 34.N(CH 3)23-戊酮酸甲酯 N,N-二甲基甲酰胺 N-甲基丙酰胺 N,N-二甲基苯胺35.NCOOH36. NN F. 37.OCHO38.NCH 339.COOHH H 2N2SHβ-吡啶甲酸 5-氟嘧啶 2-呋喃甲醛 3-甲基吡啶 L-半光氨酸二.根据名称写出其结构式1. 螺[]辛烷2. 2,7,7-三甲基二环[2.2.1]庚烷3. 双环[3.2.1]辛烷4. 2,3-二甲基,4-己二烯5. Z-3-甲基-2-氯-2-戊烯6. (Z)-3-乙基-2-己烯7. 1,6-二甲基环己烯8. 乙基9. 乙烯基CC Cl CH 3CH 3CH 2H 3CCH 3C CHCH 2CH 2CH 2CH 2CH 3CH 3CH 3CH 3CH 2-CH 2=CH10. 异丁基11.异戊基12.苄基 13. 苯基 14.烯丙基15. 叔丁醇 16. (2R,3R)-1,2,3-三氯丁烷 17. (2R,3R)-,2,3-二氯-1-丁醇 18. 反-2-甲基-2-丁烯醇19. 4,5-二甲基-2-乙基-1,3-己二醇 20. 甲异丙醚 21. 苯甲醚22. 3-戊烯醛23. 4-甲基-2-戊酮24. 苯乙酮25. 1-环己基-2-丁酮 26.2-甲基-1-苯基-1-丁酮27. R-乳酸 28. L-2-氨基丙酸 29. 丙二酸 30. 3-羟基戊二酸31. 顺-丁烯二酸酐32. 乙酸丙酸酐 33. 乙酸乙酯34. 3-甲基丁酸乙酯35. N-甲基苯甲酰胺36. 1,4-戊二胺37. N,N-二甲基苯胺 38. N-甲基-N-乙基环己胺 39. 溴化甲基三乙基铵40. 氢氧化三甲基异丙基铵 41. 2-呋喃甲醛 42. N-甲基-2-羟基咪唑 43. 5-乙基噻唑 44. 嘌呤三.写出下列反应的主要产物1. CH3CH CH2 + HBr CH3CHBrCH32.+ HBrCH3C CH23CH33CH3Br3.CH3+ HICH3CH2CHCH34.CH3+ HClCH3CH3CH2C3CH3Cl5+ HBrCH3Br6.+ HBrCH3Br7.CH2=CH-CH=CH2 + CH2=CH-CHOCHO8.O+O9.(CH 3)3CCH 2CH KMnO 4,H +3)3CCOOH10.CH33CH 3Cl11.C 2H 5+ Cl 2FeCl 3C 2H 5Cl+C 2H 5Cl12.CH 2CH 3NBSCHCH 313.CH 3NBSBrCH 2BrBr14.+ Br 2FeBr 3OOC OO Br +C OO Br15.+ Br 2NO 2CN3NO 2CN Br16.(CH 3)2CHCHCH 3Cl (CH3)2C CHCH 317.BrCH 3CH 2CHCH 3CH 3CH=CHCH 318.BrCH 3CH 2C CH 3CH 3CH 3CH=CCH 3319. CH3CH2CH2Br + NaOCH3 CH3CH2CH2OCH320.CH2Cl + (CH3)3CH2OC(CH3)321. (CH3)2CHCl + NaSH (CH3)2CHSH22.Br CH2NaOHBr CH2OH23.ClCH2CH CH2Cl HOCH2CH CH2Cl24.CH3CH2CHCH2C6H CH3CH2CH CHC6H5 25.CH2CH2OH+ SOCl2CH2CH2Cl 26.OH+ SOCl2Cl+ SO2 + HCl27.CH3CHCHCH3+CH3CH2CCH33+28.CH3C+3CH3CH2CH3C+3CH2CH329.CH3OCH3 + HI CH3OH + CH3I30.+ HClC6H5CH CH2O3C6H5CH CH231.+ HOCH3OCH3CH3CH3CH3CH3CHOCH3332.CH3CH2CHO稀NaOH低温CH3CH2CH CHCHO333.O+ CH 3CH 2MgBr2HO CH 2CH 334.3+CH 3CCH 3+ CH 3Mg ICH 33CH 3 35.O +(C 6H 5)3P=CH 2DMSOCH 236.+ HCHO(CH 3)3C CHO NaOH(浓)+ HCOO -(CH 3)3CCH 2OH37.CHO +H 2N-NHO 2N NO 2N-NHO 2NNO 2CH=38.CH 3CH 2CH 2CHO + HOCH 2CH 2干HClCH 3CH 2CH 2CHO O39.HOCH 3OCH 3COONa + 2CHI 3I 2 +NaOH40.C 6H 5COCH 2CH 2CH 3C 6H 5CH 2CH 2CH 2CH 341.CH 3CH 2CH 2COOH + Cl PCH 3CH 2CHCOOH42.CH 3CH 2CCH 2COOHOCH 3CH 2CCH 3 + CO 2O43.CH 3CH 2CHCH 2CH 3CH 2CH CHCOOH44.COOHOH(CH 3CO)2O+COOHOOCCH 345.COOHOH+ NaHCO 3COONa OH46. 180o CCOOHCOOHO OO47.NaOH+C Cl ONH C NO 48.COONa + CH 3CH 2Cl COOCH 2CH 349.OOO+ CH 3OH回流HOOCCH 2CH 2COOCH 350.2(1)NaOC H 2 CH 3CO 2C 2H 5CH 322CH 3O O51.Br CH 3(CH 2)4C NH 2OCH 3CH 2CH 2CH 2CH 2NH 252.CH 2CH 2CONH 2+ Br 2CH 2CH 2NH253.O + NH 3OCH 2CH 2CH 2CONH 254.CH 3NHCH 3CH 3N (CH 3CO)2OCH 3COCH 355.+ HN(CH 2CH 3)2CH 3SO 2Cl CH 3SO 2N(CH 2CH 3)256.NH 2+ NaNO 2+ HCl0~5℃N 2+Cl57.CH 3N +(CH 3)3OHCH 258.N H32-32N HNO 259.+N SO 3N SO 3-+60. OCHO + NaOH (浓)OCH 2OH +OCO 2-四、选择题1.下列结构中所有碳原子均在一条直线上的是 【 C 】 A .CH 2=CHCH 2Cl B .CH 3CH=CH 2 C .CH 2=C=CH 2 D . CH 2=CH-CH=CH 2 2.下列结构中,所有原子共平面的是:【 A 】A .CH CH 2B . CH 3C .CH 2OHD .OCH 33. 分子中所有碳原子均为sp 3杂化【 D 】A. C 6H 5CH=CH 2B. (CH 3)2C=CH 2C. HC ≡CCH=CH 2D. CH 3CHClCH 3 4.下列结构中,碳原子都是sp 2杂化的是:【 D 】 A .CH 2CH CH 3 B .CH 2C CH 2C .CH 2CH C CHD .CH 2CH CH 2+5. 分子中所有碳原子均为sp 2杂化 【 D 】A. HC ≡CCH=CH 2 C. (CH 3)2C=CH 2 D. CH 2=CHCH=CHCl 6. 具有最长碳碳键长的分子是【 A 】A.乙烷 B. 乙烯 C. 乙炔 D. 苯7.顺反异构与对映异构可共存的结构是【 B 】A.B.C.CH3CH3D.CH3CH=CHCH(CH3)28. 不存在顺反异构的化合物是【 C 】9. 存在对映异构的是【 B 】10. 存在 p-π共轭体系的分子是【 D 】A. 1,3-环己二烯B. 苯甲醛C. Cl-CH2CH=CH2D. Cl-CH=CH211. 立体异构不包括【 D 】A. 构象异构B. 对映异构C. 顺反异构D. 互变异构12. 具有芳香性的化合物是【 B 】13. 不具有芳香性的化合物是【 A 】14. 最稳定的正碳离子是【 A 】15.下列正碳离子最稳定的是CH3CH CHCHCH3【 C 】A .C 6H 5CH 2+B .(CH 3)3C +C .C 6H 5C +(CH 3)2D .CH 3+16. 最稳定的游离基是【 A 】17. 分子中同时含有1°, 2°, 3°和 4°碳原子的化合物是 【 B 】A. 2, 2, 3-三甲基丁烷B. 2, 2, 3-三甲基戊烷C. 2, 3, 4-三甲基戊烷D. 3, 3-二甲基戊烷18. 薄荷醇的构造式为OH,其可能的旋光异构体数目是【 D 】A. 2个B. 4个C. 6个D. 8个 19.吲哚的结构式是:【 C 】A .NHB .C .N HD .N20.既是叔胺又是芳香胺的是【 D 】A .叔丁胺B . N-甲基对甲苯胺C .3-甲基苯胺D .N,N-二甲基苯胺 21.以C 2-C 3分析正丁烷的优势构象是【 C 】 A .完全重叠式 B .部分重叠式 C .对位交叉式 D .邻位交叉式 .下列基团属于间位定位基的是:【 B 】 A .甲基 B .羧基 C .乙酰氨基 D .甲氧基 23.下列基团属邻.对位定位基的是:【 B 】 A .-CNB .-BrC .-COOHD .-NO 2 24. 属于邻对位定位基的是【 C 】A. -CHOB. -SO 3HC. -CH=CH 2D. -CN 25. 在亲电反应中能钝化苯环的基团是【 B 】 A. —OH B. —NO 2 C. —OCH 3 D. —NH 326.卤代烃的消除反应一般遵循:【 D 】A .马氏规则B .休克尔规则C .霍夫曼规D .查依采夫规则丁醇和S-2-丁醇性质不同的是: 【 D 】 A .水溶性B .熔点C .沸点D .比旋光度 28. 水溶性最小的化合物是【 C 】29. 熔点最高的化合物是【 D 】A. 2-甲基丙烷B. 戊烷C. 异戊烷D. 新戊烷30.下列化合物与金属钠反应放出氢气速度最快的是: 【 A 】 A .甲醇B .乙醇C .异丙醇D .叔丁醇31.能与氯化亚铜的氨溶液反应产生红色沉淀的是:【 B 】A .CH 3CH 2CH 2CHOB .CH 3CH 2C CH C .CH 3CH 2C CCH 3D .CH 3CH 2CH CH 232. 最易发生消去HX 反应的是【 C 】A. 2-甲基-3-溴丁烷B. 3-甲基-1-溴丁烷C. 2-甲基-2-溴丁烷D.1-溴丁烷 33.下列化合物不与FeCl 3显色的有【 D 】A .苯酚B .邻甲基苯酚C .2,4-戊二酮D .苯甲醚 34.下列化合物最难发生水解反应的是【 B 】 A .CH 3COOC 2H 5 B .CH 3CONH 2 C .CH 3COCl D .(CH 3CO)2O 35.下列化合物不能发生碘仿反应的有【 D 】 A .乙醇B .乙醛C .苯乙酮D .正丁醇 36.不能发生碘仿反应的是【 A 】37. 能发生碘仿反应的是 【 B 】 38.下列化合物不能与HCN 加成的是【 C 】 A .正壬醛 B .丁酮C .苯乙酮D .环己酮39.下列物质与氢氰酸能发生加成反应又能发生碘仿反应的是:【 C 】40. A .O HB .OCH 341.C .CH 3OD .CH 3CH 22CH 3O40. 下列化合物可发生Cannizzaro 反应的是:【 B 】 A .乙醛B .苯甲醛C .丙醛D .丙酮41.下列试剂中能发生Cannizzaro歧化反应的是【 B 】 A .甲醇 B .甲醛 C .甲酸D .甲胺42.能与丙酮反应的是:【 D 】A .托伦试剂B .斐林试剂C|.班乃德试剂D .格氏试剂 43. 最易与硝酸银作用生成白色沉淀的化合物是【 A 】44. 下列羧酸衍生物发生亲核取代反应速度最快的是 【 C 】 A .CH 3CONH 2B .(CH 3CO)2OC .CH 3COClD .CH 3COOC 2H 545.下列化合物中可发生克莱森酯缩合反应的是: 【 A 】 A .乙酸乙酯B .甲酸甲酯C .苯甲酸乙酯D .苯酚46. 最容易发生脱羧反应的是【 A 】 A .β-丁酮酸B .β-羟基丁酸C .α-羟基丁酸D .α-丁酮酸47.CH 3CH=CHCH 2CH=CHCH 3经酸性KMnO 4氧化后的产物是 【 A 】 A .CH 3COOH + HOOCCH 2COOHB .CO 2 + OHCCH 2CHOC .HCOOH + OHCCH 2CHOD .HCOOH + HOOCCH 2COOH 48.能发生缩二脲反应的是:【 D 】 A .丙氨酸B .乙酰苯胺C .尿素D .多肽49.. 能与重氮盐发生偶联反应的是【 B 】50. 室温下能与HNO 2 作用放出N 2 的是【 B 】 A. (CH 3)3N B. H 2NCONH 2 C. C 6H 5NHCH 3 D. HCON(CH 3)251.吡咯环碳上的硝化属于【 C 】 A .亲核取代B .亲核加成C .亲电取代D .亲电加成 52. 醛与醇加成生成半缩醛的反应属于 【 A 】A. 亲核加成B. 亲电加成C. 亲核取代D. 亲电取代 53.乙醛与乙醇在干燥HCl条件下的反应属于【 B 】 A .醇醛缩合反应B .亲核加成反应C .Cannizarro 反应D.Diels-Alder反应54. 在光照下,甲苯与氯气反应生成氯化苄,这一反应的机理是:【 D 】A.亲电加成B.亲核取代C.亲电取代D.自由基取代55.亚硫酸氢钠与醛反应生成结晶性沉淀的反应机理是:【 C 】A.亲核取代B.亲电取代 C.亲核加成D.亲电加成1反应特征的是56.下列叙述不属于SN【 C 】A.有重排产物生成B.产物外消旋化C.反应一步完成D.反应分步进行2 反应的是57. 最易发生 SN【 A 】A. 溴乙烷B. 溴苯C.溴乙烯D. 2-溴丁烷1 反应的是【 D 】58. 最易发生 SNA. 溴甲烷B. 溴乙烷C. 3-溴-2-甲基丁烷D. 2-溴-2-甲基丁烷2 反应特征的是59. 下列说法中,属于 SN【 B 】A. 有正碳离子中间体生成B. 中心碳的构型完全发生转化C. 得到外消旋化产物D. 反应活性 3°RX > 2°RX > 1°RX > CHX360. 反应 CH 2=CHCH 3 + HCl → CH 3CHClCH 3 属于【 C 】A. 亲核加成B. 亲电取代C. 亲电加成D. 自由基取代 61. 属于亲电试剂的是【 A 】A. HNO 3B. HCNC. NaHSO 3D. H 2N -NH 2 62. 属于亲核试剂的是【 B 】 A. Br 2B. NaHSO 3C. H 2SO 4D. HBr 63. 在亲电反应中能活化苯环的基团是【 C 】 A. —CO 2HB. —SO 3HC. —OCH 3D. —NO 2 64. 亲核取代反应活性最高的是【 A 】 A. CH 3COCl B. (CH 3CO)2O C. CH 3CO 2CH 3 D. CH 3CONH 2 65.亲电取代反应速度比苯快的是:【 A 】 A .吡咯B .吡啶C .硝基苯D .喹啉 66. 亲电取代反应活性最高的是【 B 】A. 苯B. 吡咯C. 吡啶D.嘧啶 67. 与甲醇发生酯化反应速率最大的是【 A 】A. 乙酸B. 丙酸C. 2-甲基丙酸D. 2,2-二甲基丙酸68. 与乙酸发生酯化反应的速率最大的是【 A 】 A. 甲醇B. 乙醇C. 丙醇D. 丁醇69.化合物:a 乙醇.b 乙酸.c 苯酚.d 碳酸,其酸性由强到弱排列是 【 B 】 A .abcdB .bdcaC .bcadD .bcda70. 酸性最强的是【 D 】A .苯酚B. 3-硝基苯酚C. 4-硝基苯酚D. 2,4-二硝基苯酚 71. 酸性最强的是【 B 】 72.下列化合物碱性最强的是【 A 】 A .二甲胺 B .NH 3 C .苯胺 D .吡咯73 碱性最强的是【 C 】A. CH 3CONH 2B. C 6H 5NH 2C. (CH 3)2NHD. NH 3 74. 碱性最弱的是【 A 】 75.可用作重金属解毒剂的是【 C 】 A .乙醚B .乙硫醇C .二巯基丙醇D .二氯亚砜76.下列试剂中能区别苯甲醛和苯乙酮的是 【 D 】 A .FeCl 3溶液 B .Grignard 试剂C .Fehling试剂D .Tollens 试剂77.能溶于NaOH 溶液,通入CO 2后又析出来的化合物是 【 B 】 A .环己醇B .苯酚C .苯胺D .苯甲酸78.下列试剂中,可把苯胺与N-甲基苯胺定性区别开来的是 【 B 】 A .5%HCl 水溶液B .先用C 6H 5SO 2Cl 再用NaOHC .AgNO 3 + NH 3·H 2OD .Cu 2Cl 2 + NH 3·H 2O 79. 区别甲苯与氯苯最好采用【 C 】A. Br 2/CCl 4B. AgNO 3C. KMnO 4D. 浓H 2SO 4五、判断题。
命名和写结构(分子式写在前面为命名、写在后面为写结构)CH 3CH 3cH 2cHCH 2cH 2cCH 2cH 3CH 2cH 2cH 3CH 3cH 2cH 2cHCHCH 2cH 3CH 2cH 2cH 3CH 38. 3-甲基-1-丁焕(CH 3 ) 2 CHC 三 CHCH 39 CH 3CHCH = CHCH 2c三CCH 3 7-HCH 2=CH ------- -CHCH...........................10.C 3(S) 3-甲基-1-戊烯-4-快CH 3 ICH 3CHC 三 CCH 3C = C / \11.H H(2Z)-4-甲基-2-庚烯-5-快7.异戊二烯 C H 2 = C —CH = CH 2 1.CH 3CHCH 3CH 32,6,6- 三甲基-3-乙基辛烷4-甲基-5-乙基辛烷2 , 2, 7-三甲基-6-乙基辛烷4. CH 3CH 2C = CH 25. (E)-1-澳丙烯CH 3CH 2、 Br 、 c = c/2-乙基-1-戊烯H CH 3,CH(CH 3)26.c = c/ 、()甲基-5-辛烯-2-快CH 3 CH 3HH反式十氢奈的构象式21. CH 3CH 3 COOH (CH 3)2CHCH H H (2E,4Z) 12. 3\C = C.H 、 ..CH 2CH 3C = CH -2,4-庚二烯13. 4-甲基环己烯H Cl HCl CH 315. 2-甲基丁烷的最稳定 Newma 微影式CH 3H HCH 3 HCH 316. (R,S) -2,3-二羟基丁二酸的最稳定 Newma©影式H OH HOH 17. COOH投影式(R,S) -2,3-二羟基丁二酸(内消旋酒石酸)的 Fischer18.顺-1 , 2-二甲基环己烷的优势构象14. (2S,3R) -2,3-二氯丁烷的 Fischer 投影式COOHH :^°HCOOH19.反-1-乙基-3-异丙基环己烷的优势构象20.顺-1-甲基-4-叔丁基环己烷的优势构象CH 2CH 3:C(CH 3)3CH 3CH 3CH 3cH 2cHe H 2cH e H 2cH 33-甲基-5-澳庚烷CH=CH 2CCH3CH2,/ HHOBrC 2H 5CH 323. 24. 1,8-二甲基-螺[3.5]-5- 辛烯庚烯30. 31. 烯丙基氯5-澳-1,3- Cl32. 4-氯-2-戊烯CH 3CHCH = CHCH 3Br22.29.(S)-3-羟基-1-戊烯33. 对二甲苯34.35.36.37.38.39. CH 3 CH 3CH 3cH2cHCH 2CHCH 2CH3CH3CH 3c = CHCH 2CH2CH34-硝基芳基澳苯磺酸3-甲基-5- 2-苯基-2-己烯CH2BrNO2SO3HSO2NH2苯基庚烷又寸-氨基苯磺酰胺COOHCH5- NH2甲基-1-蔡甲酸Cl40.NO2 41. 9-硝基菲CH20H ICHOH42.甘油CH20HOHQ44. 0cH3对-甲氧基苯酚OHO2N NO2V45. 2,4,6-三硝基苯酚NO2CH 3cH^CH 346. HO CH 2cH 33-甲基-2-戊醇47. 叔丁醇(CH3)3c0HCH348. CH3cH= CHCH2cH0H4-己烯』-醇—O —CH349 .苯甲醛\=/50 .乙基叔丁基醒(CH3)3 C0cH2cH351 .苯甲硫醇C6H5cH2s H52 .二甲亚碉(C H3)2S O义CH3-C-CH-CH353 . CH3 2-甲基-2,3-环氧丁烷54 .四氢吠喃OIICHCCH 2cH 3O OII IICH 3CCH 2CCH 3对苯醍COOH、55. 18-冠-6 56. 3 -蔡酚 OH57. 2- 丁烯醛 CH 3CH = CHCHO58. 苯甲醛CHO60. CH 3 2-苯基-3- 戊酮61.COCHOCH 3又^•-甲氧基苯乙酮 63. NHNH 2苯肿65.COOH邻苯二甲酸59. 62. 2,5-戊二酮64.32-甲基环己酮HOOCC = C产、66 .反-丁烯二酸HCOOHCH 3(CH 2)4\CH2C = C ,C 67 .顺式亚油酸 HH H68 .硬脂酸 CH3(CH 2)16COOH69 .软脂酸 CH 3(CH 2)14COOHCH 3(CH 2)7cH = CH(CH 2)7COOH71.3-苯基丙烯酸C 6H 5cH=CHC00H73.乙酸酎(CH 3c 0)2。
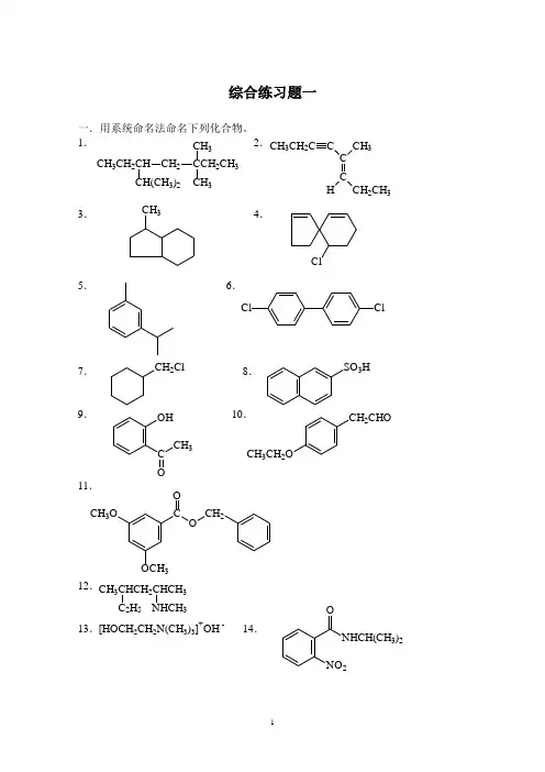
综合练习题一一.用系统命名法命名下列化合物。
1. 2.3. 4.5. 6.7. 8.9. 10.11.12.13. 14.CH 3CH 2CH CH(CH 3)2CH 2CCH 2CH 3CH 3CH 3CH 3CH 2CC C C CH 3HCH 2CH 3CH 3Cl ClClCH 2Cl SO 3HOH C 32CHOCH 3CH 2O C O O CH 23CH 3ONO 2ONHCH(CH 3)2[HOCH 2CH 2N(CH 3)3]+OH -CH 3CHCH 2CHCH32H 53二.写出下列化合物的结构式或Fischer投影式。
1.2,2-二甲基-3,3-二乙基戊烷2.反-1-甲基-4-叔丁基环己烷(优势构象式)3.环戊二烯负离子4.间二乙烯苯5.对异丁基苄溴6.苯甲醚7.顺-1,3-环己二醇(非优势构象式)8.4,4’-二羟基二苯甲酮9.(2R,3S)-2,3-二羟基丁酸10.R-半胱氨酸11.嘌呤12.柠檬酸三.单选题。
1.下面哪个化合物不属于异戊烷光化氯代产物。
()A.异戊基氯B.2-甲-1-氯丁烷C.2-甲-2-氯丁烷D.1-氯戊烷2.1-甲基环己烯与溴化氢发生加成反应的主产物是:()A.溴甲基环己烷B.1-甲-1-溴环己烷C.1-甲-2-溴环己烷D.1-甲-3-溴环己烷3.分子式为C6H12的同分异构体中,能与溴化氢加成生成2-溴-4-甲戊烷的环烷烃是:()A.环己烷B.甲基环戊烷C.1,2-二甲基环丁烷D.1,3-二甲基环丁烷4.(1)正丁醇,(2)异丙醇,(3)叔丁醇,(4)甲醇分别与氢卤酸发生S N1反应的速度由快至慢的顺序为:()A.(1)>(2)>(3)>(4)B.(4)>(3)>(2)>(1)C.(3)>(2)>(1)>(4)D.(3)>(1)>(2)>(4)5.下列化合物中无芳香性的是:()A.环戊二烯B.环戊二烯负离子C.环丙烯正离子D.菲6.甲苯与硝酸反应最不可能得到的产物是:()A.邻硝基甲苯B.对硝基甲苯C.邻硝基苯甲酸D.间硝基甲苯7.(1)氯环己烷,(2)1-甲-1-氯环己烷,(3)1-氯甲基环己烷发生S N2反应速度由快到慢的顺序为:()A.(1)>(2)>(3)B.(3)>(1)>(2)C.(3)>(2)>(1)D.(2)>(1)>(3)8.内消旋酒石酸的构型为:()A.(R,S)B.(R,R)C.(S,S)D.(D,L)9.乙二醇与酸性高锰酸钾溶液反应的最终产物是:()A.羟基乙醛B.乙二醛C.乙二酸D.水和二氧化碳10.下列化合物中不能与氢氰酸加成的是:()A.正壬醛B.丁酮C.苯乙酮D.环己酮11.下列化合物中能和Tollens试剂反应的是:()A.乳酸B.草酸C.醋酸D.酒石酸12.下列化合物中,烯醇式最稳定的是:A.丙酮B.乙酰丙酮C.乙酰乙酸乙酯D.β-丁酮酸四.是非题:1.离域键不是共价键。
有机化学综合练习(重点)有机化学综合练习一给下列化合物命名(打*号的标出其构型)或写出结构式、构型式1. CH 3CH-CH 3 2*、 CH-CH 2-CH 2-CH 2-CH-CH 3 CH 3 CH 33. CH 3CH 2CH 2-CH 2C CH 4、5*.6、NO 237. CH 3-C =CH-CH 2CHOCH 3 8、9*. COOHH NH 2 CH 2CH 3 10、13.水杨酸 14. 甲酰胺 15. α-呋喃乙酸 16. γ-氨基丁酸 17. 苦味酸 18. 丙烯酸甲酯 19. 四氢呋喃 20. N-甲基吡咯 21. 2,3-二甲基吡啶 22. 呋喃甲醇 23. N ,N-二甲基苯胺 24. α-萘酚 25. 季戊四醇 26. (R )-2-羟基丁酸 27. 邻苯二酚 28. 甘氨酸 29. 邻苯二甲酰亚胺 30. 苄醇 31. 石炭酸 32. 肉桂醛 33. 乙酰苯胺 34.蚁酸 35.1,5-二硝基萘有机化学综合练习二完成反应式(写出主要产物或注明反应条件)1.CH 3-C CH + 2H ClN H-NO 2 C=C CH 2CH 2CH 2CH 3 CH 2CH 2CH 3 CH 3CH 2 CH 3 -C -Br O O -CHO 3COOHCH 2CH 2CH 3Cl H CHO2. +3. CH 3 + HBr 4. CH 3-CHC CH + H 2O CH 35. + (CH 3CO)2O6. CH 3OCH 2CH 3 + HI7.CH 3-CH —CH-CH 2-CH 2CH8. + (CH 3CO )2CO9. 10.11.CH 3-CH=CH 2 + Cl 212. CH 3-CH 2-CHO13.CH 3-CH =CH 2-C -CH 314. C-CH 2-CH 2-CH 3 15.16.17.CH 2=CH-CH 2CH 2-C -CH 3-C-CH 3O -COOH2 -NH 2 O NaBH 4 过氧化物 CH 3-CH=C-CH 2-CH3 + HBr CH 3 2 CH 3-CH =C -CH 3 + HBrCH 3稀OH - CH 3-CH-CH-CH 2CH 3 KOH -乙醇 CH 3BrCH 3 OH 光 H 2NNH 2 H 2O , NaOH 高沸点溶剂,加热 OOHgSO 4 H 2SO 418. + SOCl 219.20.26. CH3—C —CH 2COOH27.28.29.30. C H 2 CH -CH 2-C -CH 2CH C H 2 CH -CH 2CH 2CH 2CH 3有机化学综合练习三单项选择题及填空题1.下列化合物中,只有( )分子中的碳原子全部是Sp 2杂化。
绪论1、请写出下列化合物分子结构式的简写式:答案:2、请将下列简写式转化为键线式:答案:3、判断下列化合物有无偶极矩? 画出其方向:答案<请点击>答案:4、排列出乙烷、乙烯、乙炔分子中C-H键极性大小顺序:答案<请点击>答案:乙烷< 乙烯< 乙炔答案<请点击> 答案:醋酸可溶于水。
醋酸分子中的羧基可与水分子形成氢键缔合,使醋酸溶于水中。
烷烃1、命名或写出下列化合物的结构式:答案:2、回答下列问题:(1)2,2-二甲基丁烷的一氯代主要产物是(2).一分子量为72的烷烃进行氯代时,只得一种氯代产物,其结构为(3).写出1,2-二溴乙烷Newman投影式的优势构象。
(4).将下面化合物按其沸点由高到低的顺序排列A、辛烷B、3-甲基庚烷C、2,3-二甲基戊烷D、2-甲基己烷(5). 下列自由基中最稳定的是A、B、C、D、答案<请点击>答案:3、用不同符号表示下列化合物中伯、仲、叔、季碳原子答案<请点击> 答案:4、某烷烃相对分子质量为72,氯化时(1)只得一种一氯化产物,(2)得三种一氯化产物,(3)得四种一氯化产物,分别写出这些烷烃的构造式。
答案<请点击> 答案:烯烃、炔烃及共轭二烯烃1、命名或写出下列化合物的结构式:答案:(1) 4-甲基-2-己炔(2) 4-异丙基环己烯(3) 1-丁烯-3-炔(4) 反-3,4-二甲基环丁烯2、选择题:(1)下列化合物中碳氢键解离能最小的是:(2)下列碳正离子中最稳定的是:(3)下列烯烃在和溴水发生加成反应时,反应速度最快的是:(4)下列烯烃最稳定的是(),最不稳定的是()A、2,3-二甲基-2-丁烯B、3-甲基-2-戊烯C、反-3-己烯D、顺-3-己烯(5)下列烯烃不具有顺、反异构体的是:(6)下列烯烃氢化热(KJ/mol)最低的是:答案:3、完成下列反应式:答案:4、用简单并有明显现象的化学方法鉴别下列各组化合物:正庚烷1,4-庚二烯1-庚炔答案<请点击> 答案:5、合成题:(1)以环己醇为原料合成:1,2,3-三溴环己烷(2)从异丙醇为原料合成:溴丙烷(3)由1-氯环戊烷为原料合成:顺-1,2-环戊二醇。
第一阶段综合练习题(1~5章)一、单选题(20分)1.下列结构中,所有碳原子都是sp 2杂化的是 CA .B .CH 2C CH 2C .CH 2CH CH 2+D .CH 2CH CH 2Br2.下列结构中,所有碳原子都在一条直线上的是 B A .CH 3CH 2CH 2CH 3 B .CH 3C CCH 3 C .CH 3CH CHCH 3 D .CH 2C CHCH 3 3.下列化合物既能产生顺反异构,又能产生对对映异构的是 DA .CH 3CH CHCH 3B .CH 3CH CBrCH 3C .CH 2CHCHBrCH 3D .CH 3CH CHCHBrCH 3 4.下列物质能使KMnO 4/H +和Br 2/CCl 4溶液褪色,且与AgNO 3氨溶液作用产生白色沉淀的是 C A .1-丁烯 B .环丙烷 C .1—丁炔 D .2-丁炔 5.①—COOH 、②HC ≡C —、③ClCH 2—、④HO —四个基团,按次序规则排列顺序正确的是 D A .①〉②>③>④B .③〉④>①〉②C .④〉①>③〉②D .④>③>①>②6.最稳定的自由基是 B A .CH 3CH CH B .CH 2CHCH 2C .(CH 3)3CD .(CH 3)2CH7.结构式CH 3CHC CH 2CH 3CH 2CCH 3CHCH 3的IUPAC 命名正确的是 AA .3—ethyl —5—methyl —2,5—heptadieneB .5-ethyl-3-methyl-2,5—heptadieneC .3—methyl-5-ethyl-2,5-heptadieneD .3-ethyl-5-methylheptadiene 8.下列物质中,属于Lewis 碱的是 C A .BF 3 B .Br +C .R —D .AlCl 3 9.下列碳卤键的极化度最大的是 DA .C -FB .C -ClC .C —BrD .C —I10.碳正离子①(CH 3)3C +、②CH 2=CHCH 2+、③CH 3CH 2+、④(CH 3)2CH +的稳定性顺序正确的是BA .①〉②>③〉④B .②>①>④>③C .①>④>③>②D .③>④>①〉②二、是非题(8分)1.含量有手性碳原子的化合物都是手性分子.× 2.分子中若有极性键,则该分子一定是极性分子。
试卷一一、命名下列各化合物或写出结构式(每题1分,共10分)1.C CH C(CH3)3(H3C)2HCH(Z)-或顺-2,2,5-三甲基-3-己烯2.3-乙基-6-溴-2-己烯-1-醇HOCH2CH CCH2CH2CH2BrCH2CH23.OCH3(S)-环氧丙烷4.CHO3,3-二甲基环己基甲醛5.邻羟基苯甲醛OHCHO 6. 苯乙酰胺ONH22-phenylacetamide7.OHα-萘酚8.对氨基苯磺酸NH2HO3S9. COOH4-环丙基苯甲酸10.甲基叔丁基醚O二. 试填入主要原料,试剂或产物(必要时,指出立体结构),完成下列各反应式。
(每空2分,共48分)1.CH CH2ClCHBrKCN/EtOH答Br CN2.答3.答4.+CO2CH3答CO2CH35.1, B2H62, H2O2, OH-1, Hg(OAc)2,H2O-THF2, NaBH4答OHOH(上面)(下面)6.OOOOO答NH2NH2, NaOH,(HOCH2CH2)2O7.CH2ClClNaOHH2OCH2OHCl+C12高温高压、O3H2O Zn粉①②CH = C H2CH3COCH3H2O①②HBr Mg醚H+CH3COC1OHCCHCH2CH2CH2CHOC1C1;8.ClCH 3+H 2OOH -SN 1历程答CH 3OH+CH 3OH9.C 2H 5ONaOCH 3O+ CH2=CHCCH 3O C 2H 5ONa答OO CH 3CH 2CH 2C CH 3OOCH 3O10.BrBrZnEtOH答11.C O CH 3+Cl 2H +答COCH 2Cl12.CH 3NH 2Fe,HClH 2SO 4HNO 3CH 3NO 2CH 3(CH 3CO)2OCH 3NHCOCH 3CH 3NHCOCH 3BrBr 2NaOHCH 3NH 2Br H 2SO 4NaNO 2H 3PO 2CH 3Br (2)三. 选择题。
有机化学综合测试题一、命名下列化合物(9、10两小题需标明构型,命名、构型各1分,共12分):HH CH 3Br HCH 2OH3.OH4.SO 2Cl CH 35.N OH6.CH 2CHCOOHHONH 27.N NOHHO8.9.10.N NCl1.2. CH 3C CH 3CH 2(CH 3)2CHCH 2CH 3HCCCHCH CH 2CH 3H COOHC OH CCH 3CH 3H二、写出下列化合物的结构式(每小题2分,共10分): 1.N ,N —二甲基--吡啶甲酰胺 2.(E )-3—(4-羟基苯基)—2-丁烯醛3.顺—1-甲基-4-乙基环己烷的优势构象式 4.—D —吡喃甘露糖的Haworth 透视式5.(3R ,4R )—3,4—二羟基—2-戊酮的Fischer 投影式三、判断正误(对的打“√”,错的打“×”,每小题1分,共6分): 1.具有手性的分子一定具有旋光性。
( )2.苄基氯在稀碱中水解生成苄醇的反应机理属S N 1反应.( ) 3.顺-2-丁烯的沸点比反—2-丁烯的沸点高。
( )4.蔗糖在稀碱溶液中有变旋作用,在稀酸溶液中无变旋作用。
( ) 5.油脂的酸值越大,其品质越差.( ) 6.蛋白质分子二级结构的空间构象有—螺旋体和—折叠片两种。
( )四、单项选择(将正确答案的序号字母填入题后的括号中,每小题1分,共10分): 1.下列四组化合物互为同分异构体的是( )。
A 。
乙醚和乙醇B 。
乙醛和乙酸C 。
正丁烷和2—甲基丙烷 D. 1-丁烯和1-丁炔 2.下列三种杂化态碳原子的电负性大小顺序正确的是( ). A 。
sp sp 2sp3B 。
sp2sp3spC. sp3sp2sp D. sp 3spsp 23.1—丁烯在光作用下与N-溴代丁二酰亚胺(NBS)反应生成3-溴-1-丁烯,此反应机理属于( )。
A. 亲电取代反应 B. 亲核取代反应C. 亲电加成反应D. 自由基取代反应 4.下列化合物最容易与HCN 起加成反应的是( )。
有机化学题练习题一、命名或写结构式(有立体异构的要写出)1. (S)—3—甲基—2—庚酮肟2. 马来酸酐3. DMF (N,N —二甲基甲酰胺) CHN(CH 3)2O4. 二乙烯基铜锂5. N,N ’—二环己基碳二亚胺6.氯化三乙基苄基铵7. 偶氮苯8.吲哚9.β—D —吡喃葡萄糖的椅式构象 OH HOHHOHHOHHOHOH10. 或H11. 苄基氯12. TMS (四甲基硅烷)13. NBS (N —溴丁二酰亚胺)OONBr14.苯并—15—冠--515. 2,3,4—三甲基己烷16. (E )--2—甲基—1—氯—2—戊烯17. 反—1—乙基—4—溴—环己烷18. (2R ,3R )--1,2,3,4—丁四醇H 2C OH 2OH OHH HHO(标出R 、S 构型)19. 二环[4.3.2]十一烷20. 1-对甲苯基-2-氯丁烷CH 3CH 2CHCH 2ClCH 321. N ,N-二甲基-对异丙基苯甲酰胺CH(CH 3)2CNCH 3CH 3O22. 二苄醚 H 2C OH 2C23. 四氢呋喃 O24. 3-甲氧基-1-戊醇25. 苯基环氧乙烷CH CH 2O26. (R )3-苯基-3-氯丙酸C ClHCH2COOH27. E -4-甲基-4-烯-3-己炔酮C CCH 3H 3CHCOCCH28. 对苯氧基苯甲酸COOHO29.3-甲基-4-异丙基庚烷30.5--(1,2--二甲基丙基) 壬烷31.(R)- -溴代乙苯32.2-甲基-3-乙基己烷33.顺-1,2-二甲基环己烷 (优势构象)34.5—乙基—4—辛醇H 3CCH 3HOCH 335.ClCO CClO 对苯二甲酰氯36.CH 3ON(CH 3)2对甲氧基—N ,N —二甲苯胺37.CH 24N +Cl - 氯化四苄基铵38. CH 3SCH 3O二甲亚砜 39.CH 3SCH 3O二甲砜BrCH 3HCH 3H H 340. CH 3NO 2Br Br 3,5-二溴-2-硝基甲苯二、选择填空1. 最稳定的碳正离子是 ( D )(A )H 2CC HCH 2(B )H 2CC HH 2C CH 2(C )H 2CC HH CCH 3(D )H 2CC HC(CH 3)22. S N 2反应历程的特点是 ( D )(A )反应分两步进行 (B )反应速度与碱的浓度无关 (C )反应过程中生成活性中间体R + (D )产物的构型完全转化 3 . 具有顺反异构体的物质是 ( A )(A )H 3CC HC COOH3(B )H 3CC HC CH 33(C )H 3CC C HH 2C 3CH 3(D )H 2CCH 24. 与AgNO 3—C 2H 5OH 溶液反应由易到难顺序正确的是 ( C )(1)2—环丁基—2—溴丙烷 (2)1—溴丙烷 (3)2—溴丙烷 (4)1—溴丙烯 (A )(1)>(2)>(3)>(4) (B )(1)>(2)>(4)>(3) (C )(1)>(3)>(2)>(4) (D )(2)>(3)>(4)>(1) 5. 2—氯丁烷最稳定的构象是 ( A )(A )3H 3 (B )3H 3 (C )3H 3(D )3H 36.HBrCH 3CH 2CH 3 的对映体是 ( A ) (A )HBr CH 2CH 33(B )BrH CH 2CH 33(C )H 3CH 2CCH 3BrH(D )H 3CCH 2CH 3H7. 下列物质中具有旋光性的化合物是 ( C )(A ) (B ) (C ) (D )8. 下列物质中具有芳香性的化合物是 ( B )(A ) (B ) (C ) (D )9. 比较下列各离子的亲核性大小正确的是 ( A )(1)HO - (2)C 6H 5O - (3)CH 3CH 2O - (4)CH 3COO -(A )(3)>(1) >(2) >(4) (B )(4)>(2) >(1) >(3) (C )(3)>(1) >(4) >(2) (D )(2)>(3) >(4) >(1) 10. 1,2—二甲基环己烷最稳定的构象是 ( D )(A ) (B ) (C ) (D )11. 下列羰基化合物发生亲核加成反应的速度次序是 ( D )(1)HCHO (2) CH 3COCH 3 (3)CH 3CHO (4)C 6H 5COC 6H 5 (A ) (1)>(2) >(3) >(4) (B )(4)>(3) >(2) >(1) (C )(4)>(2) >(3) >(1) (D )(1)>(3) >(2) >(4) 12.能用紫外光普区别的一对化合物是 ( C )(A )与 (B ) 与(C )O与O(D )CH 3与13.下列羧酸酯在酸性条件下发生水解反应的速度次序是 ( A )(1)CH 3COC(CH 3)3O(2)CH 32CH 3O(3)CH 3COCH(CH 3)2O(4)CH 3COCH 3O(A ) (4)>(2) >(3) >(1) (B )(1)>(3) >(2) >(4) (C ) (4)>(3) >(2) >(1) (D )(1)>(2) >(4) >(4) 14 .利用迈克尔(Michael )反应,一般可以合成 ( B )(A )1,3—二官能团化合物 (B )1,5—二官能团化合物 (C )α,β—不饱和化合物 (D ) 甲基酮类化合物 15. 下列化合物的酸性次序正确的是 ( A )(1)CH 3CH 2CNH 3O(2)ClCH 2CH 2NH 3 (3)CH 3CH 2CH 2NH 3 (4)CH 3CH 2SO 2NH 3(A ) (4)>(1) >(2) >(3) (B )(1)>(3) >(2) >(4) (C ) (2)>(3) >(1) >(4) (D )(4)>(3) >(2) >(1) 16.下列化合物能发生碘仿反应的是 ( C )(A )CH 3CH 3CHO (B )CH 3CH 2CH 2OH (C ) C 6H 5CHOHCH 3 (D )C 6H 5CH 2CH 2OH 17 .可用于Reformatsky 反应的溴代物是 ( A )(A )CH 3CH 2CHCOOEt(B )BrCH 3CH 2CHCOOH(C )CH 3CHCH 2COOH(D )BrCH 2CH 2CH 2COOEt18. 下列化合物的烯醇式含量由多到少排列次序正确的是 ( A )(1)CH 3COCH 2CH 3 (2)CH 3COCH 2COCH 3 (3)CH 3COCH 2COOC 2H 5(4)CH 3COCHCOCH 33(5)CH 3COCHCOOC 2H 5COCH 3(A ) (4)>(5) >(2) >(3) >(1) (B )(1)>(3) >(2) >(5) >(4) (C ) (4)>(2) >(5) >(3) >(1) (D )(1)>(2) >(3) >(4) >(5) 19. 能够发生Cope 消去反应的化合物是 ( D )(A )N CH 3CH 3CH 3Cl - (B ) NCH 3H O -(C ) CNH 2O (D )NCH 3CH 3O -20.下列化合物中酸性较强的为 (D )。
有机化学1期末考试练习题参考答案《有机化学(1)》综合练习(1)参考答案⼀、命名下列化合物或写出结构(共8题,每题1分,共8分)⼆、选择题(共10题,共20分,每⼩题2分)1.下列两个化合物的关系是(B)A.对映体 B.同⼀化合物 C.⾮对映异构体 D.构造异构体 2.下列化合物哪个存在偶合裂分 ( D)3.下列化合物中 (S)-2-溴⼰烷的对映体是( B )4.下列⾃由基最稳定的是(A),最不稳定的是( D)5.⽐较下列化合物的溶解度秩序(C> A> B )6.⽐较下列化合物中指定氢原⼦的酸性秩序(A> B >C)7.下列反应历程属于( C )A.E2消除 B.亲核取代 C.E1消除 D.亲电取代8.下列碳正离⼦最稳定的是(C),最不稳定的是( B)9.化合物C5H12的1HNMR谱中只有⼀个单峰,其结构式为( B) 10.下列化合物进⾏S N2反应活性最⾼的是( A),活性最低的是( C)三、完成下列反应(共30分,每空1.5分)⽤化学或波谱法鉴别下列各组化合物(共6分, 每⼩题3分)1.2.五、写出下列反应历程(共8分, 每⼩题4分)1.2.六、推测结构(8分,每⼩题4分)1.两种液体化合物A和B,分⼦式都是C4H10O。
A在100o C时不与PCl3反应,但能同浓HI反应⽣成⼀种碘代烷;B与PCl3共热⽣成2-氯丁烷,写出A和B的结构式。
2. 某化合物C的分⼦式为C10H12O2,其核磁共振氢谱数据为:δ= 1.3 ppm (3H,三重峰);2.3 (3H,单峰);4.3 (2H, 四重峰);7.1 (2H, 双重峰);7.8 (2H,双重峰)。
IR显⽰有酯基存在。
请推出化合物C的结构。
七、由指定原料及必要试剂合成(共20分,每⼩题5分)或其它合理路线《有机化学(1)》综合练习(2)参考答案1. 3-甲基-4-⼄基⼰烷;2. 2,3-⼆甲基丁烷;3. 2-氯-3-溴-1,3-环⼰⼆烯;4. 3-⼄基-1-戊炔;5. (2Z,4E)-2-氯-2,4-⼰⼆烯;6. (3S)-3-甲基-3-氯环⼰烯;7. (2S,3S)-2-羟基-3-氯丁烷;8. ⼆环[4.3.01,6]壬烷;9. 3-甲氧基-4-硝基苯酚; 10.C(CH3)3 CH3⼆.(每题2分,共20分)1. C> B > D >A;2. C;3. C;4. C;5. B;6. D;7. C;8. A;9. B; 10. C 和E.三.(每空1.5分,共30分)1. Cl,OH; 2.CH3CH23BrHCH3CH2CH-CH2Br,3. BrCH2CH2CF3;4.CH3OH,H3C HOH和5. O+ HCHOOH; 6.CH3O,CH3CHCH3;7. CH2Cl,CH3CH3和Cl; 8NO2OHNO29. CH2Br,C H2O;10. CH3CH2CH2CH2MgBr,CH3CH2CH2CH2-H;11 NO2NO2NO2 ,或NO21. 加⼊Br2-CCl4溶液有褪⾊反应的为 B和C,⽽A⽆变化;在 B和C溶液中加⼊KMnO4溶液,发⽣褪⾊反应的为B,⽽C不反应。
有机化学命名题一、烷烃的命名1. 简单烷烃的命名(习惯命名法)- 题目示例:写出正戊烷、异戊烷和新戊烷的结构简式并解释命名依据。
- 解析:- 正戊烷:结构简式为CH_3CH_2CH_2CH_2CH_3,直链的戊烷,习惯命名为正戊烷。
- 异戊烷:结构简式为(CH_3)_2CHCH_2CH_3,其主链有4个碳原子,2 - 甲基丁烷,习惯上称为异戊烷,因为它是带有一个甲基支链的丁烷结构。
- 新戊烷:结构简式为(CH_3)_4C,主链有3个碳原子,2,2 - 二甲基丙烷,习惯称为新戊烷,它是在丙烷的2号碳上连接两个甲基的特殊结构。
2. 系统命名法- 题目示例:命名CH_3CH(CH_3)CH_2CH_2CH(CH_3)CH_3。
- 解析:- 首先选择最长的碳链为主链,这里最长碳链有6个碳原子。
- 从离支链最近的一端开始编号,左边第2个碳上有一个甲基,右边第3个碳上有一个甲基。
- 命名为2,3 - 二甲基己烷。
二、烯烃的命名1. 简单烯烃的命名- 题目示例:命名CH_2 = CH - CH_3。
- 解析:- 选择含有双键的最长碳链为主链,这里主链有3个碳原子。
- 从离双键最近的一端开始编号,双键在1号碳和2号碳之间。
- 命名为丙烯。
2. 较复杂烯烃的命名- 题目示例:命名CH_3CH = C(CH_3)CH_2CH_3。
- 解析:- 主链有5个碳原子,含有双键。
- 从离双键最近的一端(左边)开始编号,双键在2号碳和3号碳之间,3号碳上有一个甲基。
- 命名为3 - 甲基 - 2 - 戊烯。
三、炔烃的命名1. 简单炔烃的命名- 题目示例:命名CH≡ C - CH_3。
- 解析:- 主链有3个碳原子,含有碳碳三键。
- 从离三键最近的一端开始编号,三键在1号碳和2号碳之间。
- 命名为丙炔。
2. 较复杂炔烃的命名- 题目示例:命名CH_3C≡ CCH(CH_3)CH_2CH_3。
- 解析:- 主链有6个碳原子,含有碳碳三键。
有机化学综合练习一
给下列化合物命名(打*号的标出其构型)或写出结构式、构型式
1. CH 3CH-CH 3 2、 CH-CH 2-CH 2-CH 2-CH-CH 3 CH 3 CH 3
3*.
4*、
5. CH 3CH 2CH 2-CH 2C CH 6、
、
9 10
N O 2
C H 3
11. CH 3-C =CH -CH 2CHO 12、
CH 3
13.CH 3OC(CH 3)3 14、
15*. COOH 16、 H NH 2 CH 2CH 3
17. 18、
19. 20、
21.水杨酸 22. 甲酰胺 23. α-呋喃乙酸 24. γ-氨基丁酸 25. 苦味酸 26. 丙烯酸甲
酯 27. 4-氯苯甲酰氯 28. 四氢呋喃 29. N-甲基吡咯 30. 氯苄 31. 2,3-二甲基吡啶 32. 丙氨酸 33. 醋酸乙烯酯 34. 苯甲酰溴 35. 草酸 36. 呋喃甲醇 37. N ,N-二甲基苯胺 38. α-萘酚 39. 季戊四醇 40. (R )-2-羟基丁酸 41. 苯甲醚 42. 邻苯二酚 43. 甘氨酸 44. 邻苯二甲酰亚胺 45. 苄醇 46. 石炭酸 47. 肉桂醛 48. 苯
3 3N H -NO 2 CH 3
CH 2CH 3 H Br C=C -C CH
COOH
CH 2CH 2CH 3
Cl
H CH 3CH 2CH 2CH 2 CH CH 2 CH 3 CH 3 C CH 3 CH 3
C=C
CH 2CH 2CH 2CH 3
CH 2CH 2CH 3
CH 3CH 2 CH 3
-C -OCH 3 O -OH OH -C -Br
O O -CHO -COOC 2H 5 -COOC 2H 5 3
甲酰氯 49. 乙酰苯胺 50. β-硝基噻吩 51.蚁酸 52.异丙苯 53.1,5-二硝基萘 54.氯化苄 55.甲硫醇 56.三氯乙醛 57.苄胺 58.8-氯喹啉 59. α-噻吩磺酸 60.D-葡萄糖(开链式)
参考答案
1.2,3,7—三甲基辛烷 2、 2,2—二甲基—3—乙基庚烷 3.(E )—3—溴—2—戊烯 4、 (Z )—3—甲基—4—丙基—3—辛烯 5.1—己炔 6、苯乙炔
7.顺—1,3—二甲基环丁烷 8、 3—甲基环己烯 9.(S )—2—氯戊酸 10、3—硝基甲苯 11.4—甲基—3—戊烯醛 12、苯甲酸甲酯 13、甲基叔丁基醚 14、苯甲酰溴 15.(R )—2—氨基丁酸 16、间苯二酚 17.α—呋喃甲醛 18、喹啉
19、邻苯二甲酸二乙酯 20、α—硝基吡咯
21.
22、H —C —NH 2
23. 24、H 2N —CH 2CH 2CH 2COOH
25、 26、CH 2=CH-COOCH 3
27. 28、
29、 30、
31、 32、
33.CH 3COOCH=CH 2 34、
35.
36、
37. 38、
-COOH -OH
O O -CH 2COOH
OH -NO 2 NO 2- NO 2
-C -Cl O
Cl O N
CH 3
-CH 2Cl
N
-CH
3 -CH 3 NH 2
CH 3CHCOOH -C -Br O COOH COOH O -CH 2OH -N (CH 3)2 OH
39. 40、
41、 42、
43. 44、
45.
46、
47、
48、
49. 50、
51、 HCOOH 52、
53. 54、
55、CH 3SH 56、Cl 3C-CHO
57、 58、
59、 60、 HOH 2C -C -CH 2OH CH 2OH CH 2OH H
OH COOH CH 2CH 3 OCH 3 -OH
-OH
NH 2
CH 2COOH -CH 2OH -OH
-CH=CH-CHO
-C -Cl O
-NH-C-CH 3 O S
—NO 2 CH(CH 3)2
2
-CH 2Cl -CH 2NH 2 S
—SO 3H HO CHO
OH OH OH H
H H H CH 2OH。