北交大《信号与系统》第一次作业
- 格式:doc
- 大小:230.00 KB
- 文档页数:3
北京交通大学智慧树知到“电气工程及其自动化”《信号与系统》网课测试题答案(图片大小可自由调整)第1卷一.综合考核(共10题)1.若一个连续LTI系统是因果系统,它一定是一个稳定系统。
()A.错误B.正确2.1/jω具有()。
A.微分特性B.积分特性C.延时特性D.因果特性3.非周期的冲激取样信号,其频谱是离散的、周期的。
()A.错误B.正确4.下列哪些不是幅度调制的本质特性()。
A.改变信号的频率B.改变信号的相位C.改变信号频谱的位置D.改变信号频谱的结构5.信号f(t)=3cos(4t+π/3)的周期是()。
A.2πB.πC.π/2D.π/46.在工程上,从抽样信号恢复原始信号时需要通过的滤波器是()。
A.高通滤波器B.低通滤波器C.带通滤波器D.带阻滤波器7.一个LTI系统的频率响应为H(jw)=1/(jw+2)3,该系统可由()。
A.三个一阶系统并联B.三个一阶系统级联C.一个二阶系统和一个一阶系统并联D.一个二阶系统和一个一阶系统级联8.当输入信号的复频率等于系统函数的零点时,系统的强迫响应分量为()。
A.无穷大B.不为零的常数C.0D.随输入信号而定9.所有非周期信号都是能量信号。
()A.错误B.正确10.下列各式中不正确的是()。
A.δ(2t)=δ(t)B.δ(2t)=2δ(t)C.δ(2t)=(1/2)δ(t)D.2δ(t)=(1/2)δ(2t)第1卷参考答案一.综合考核1.参考答案:A2.参考答案:B3.参考答案:A4.参考答案:ABD5.参考答案:C6.参考答案:B7.参考答案:BD8.参考答案:C9.参考答案:A10.参考答案:ABD。
北京交通大学智慧树知到“电气工程及其自动化”《信号与系统》网课测试题答案(图片大小可自由调整)第1卷一.综合考核(共10题)1.一个因果的稳定系统的系统函数所有的零、极点必须都在s平面的左半平面内。
()A.错误B.正确2.若一个系统的H(s)的极点多于零点,且该系统是因果的,则其阶跃响应在t=0上是连续的。
()A.错误B.正确3.关于傅立叶变换,下列哪个说法是正确的()。
A.时域是非周期连续的,则频域是非周期连续的B.时域是周期离散的,则频域也是周期离散的C.频域不是周期连续的,则时域也不是周期连续的D.时域是非周期离散的,则频域是周期连续的4.已知一连续系统在输入f(t)的作用下的零状态响应为yzs(t)=f(4t),则该系统为()。
A.线性时不变系统B.线性时变系统C.非线性时不变系统D.非线性时变系统5.所有非周期信号都是能量信号。
()A.错误B.正确6.下列哪项不是单位阶跃响应的特性()。
A.零状态响应B.瞬态响应C.稳态响应D.自由响应7.稳定系统的H(s)极点一定在s平面的左半平面。
()A.错误B.正确8.对连续周期信号取样所得的离散时间序列也是周期信号。
()A.错误B.正确9.一个LTI系统的频率响应为H(jw)=1/(jw+2)3,该系统可由()。
A.三个一阶系统并联B.三个一阶系统级联C.一个二阶系统和一个一阶系统并联D.一个二阶系统和一个一阶系统级联10.按信号的可积性划分,信号分为()。
A.能量信号B.连续信号C.周期信号D.功率信号第1卷参考答案一.综合考核1.参考答案:A2.参考答案:B3.参考答案:ABD4.参考答案:B5.参考答案:A6.参考答案:BCD7.参考答案:A8.参考答案:A9.参考答案:BD10.参考答案:AD。
第一章 绪 论1.试判断系统()()r t e t =-是否是时不变系统?(给出检验步骤)解:由()()r t e t =-,得到输入为()e t 时,对应的输出为()r t :()()r t e t =-再由()()r t e t =-,得到输入为()e t τ-时,对应的输出为()e t τ--。
假设()()r t e t =-是一个时不变系统,则对应的()()r t e t ττ-=-+显然()()()r t e t e t τττ-=-+≠--假设不成立,这是一个时变系统。
2.已知信号1(/2)f t 和2()f t 的波形如图所示,画出11()(1)()y t f t u t =+-和22()(53)y t f t =-的波形。
图1解:根据一展二反三平移的步骤来做,对于第一个图,第一步将1(/2)f t 展成1()f t第二步将1()f t 平移成1(1)f t +第三步将1(1)f t +乘上()u t -得到11()(1)()y t f t u t =+-对于第二个图,先写出其表达式2()9(1)f t t δ=+则22()(53)9(531)y t f t t δ=-=-+9(63)9(36)3(2)t t t δδδ=-=-=-于是得到2()y t 的图形为3.系统如图2所示,画出1()f t ,2()f t 和3()f t 的图形,并注明坐标刻度。
图2解:由系统图可以得到1()()()f t t t T δδ=--它的图形为(设T>0)21()()[()()]ttf t f t dt t t T dt δδ-∞-∞==--⎰⎰它的图形为(设T>0)32()(2)()f t t T f t δ=-+它的图形为(设T>0)4.确定下列系统是因果还是非因果的,时变还是非时变的,并证明你的结论。
1()(5)cos ()y t t x t ⎛⎫=+ ⎪⎝⎭解:令0t =,则1(0)5cos (0)y x ⎛⎫= ⎪⎝⎭,故是因果系统。
北航《信号与系统》在线作业一
试卷总分:100 得分:100
一、单选题 (共 10 道试题,共 30 分)
1. 信号〔ε(t)-ε(t-2)〕的拉氏变换的收敛域为 ________。
A. Re[s]>0
B. Re[s]>2
C. 全S平面
D. 不存在
满分:3 分
正确答案:C
2. 将信号f(t)变换为 ________称为对信号f(t)的平移或移位。
A. f(t–t0)
B. f(k–k0)
C. f(at)
D. f(-t)
满分:3 分
正确答案:A
3. 计算ε(3-t)ε(t)= ________。
A. ε(t)-ε(t-3)
B. ε(t)
C. ε(t)- ε(3-t)
D. ε(3-t)
满分:3 分
正确答案:A
4. 对因果系统,只要判断H(s)的极点,即A(s)=0的根(称为系统特征根)是否都在左半平面上,即可判定系统是否稳定。
下列式中对应的系统可能稳定的是? ________
A. s*s*s+2008s*s-2000s+2007
B. s*s*s+2008s*s+2007s
C. s*s*s-2008s*s-2007s-2000
D. s*s*s+2008s*s+2007s+2000
满分:3 分
正确答案:B
5. 幅度调制的本质是 ________。
A. 改变信号的频率
B. 改变信号的相位
C. 改变信号频谱的位置。
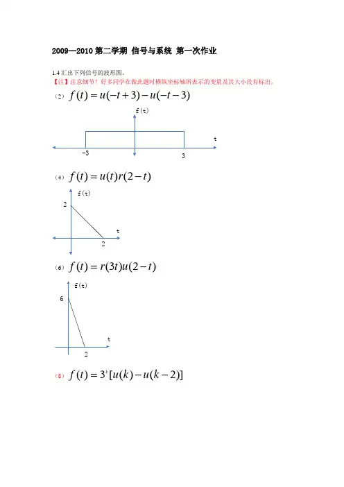
2009—2010第二学期 信号与系统 第一次作业1.4汇出下列信号的波形图。
【注】注意细节!好多同学在做此题时横纵坐标轴所表示的变量及其大小没有标出。
(2))3()3()(---+-=t u t u t f(4))2()()(t r t u t f -=(6))2()3()(t u t r t f -=(8))]2()([3)(--=k u k u t f k1.5试写出下列各信号的函数式。
a:)]2()1()[()1()()(---+--=t u t u t r t u t u t f)4()3()]3()2()[4(---+----+t u t u t u t u t rc:)]2()1()[1(sin 10)(----=t u t u t t f π e:)]5()1([3)(--+=k u k u t f1.6绘出下列信号的波形。
(1))(cost u(2))(sin t r(3))4(2-t u(4)te-1.7计算下列各题。
(2))10(2--t e atδ解:)()()()(0t t f t t t f δδ=-)()()10(22210010t et et ett atatδδδ-=--==-∴(4)dtt t )21()2cos(20-⎰δπ解:⎰⎰∞∞-∞∞-==-)()()()()(000t f dt t t f dt t t t f δδ1cos )2cos()21()2cos(2120-===-∴=⎰ππδπt t dt t t(6)dt tt t⎰-++113)2()1cos (δ解:原理同上dttt t dt tt t ⎰⎰--++=++∴113113)2()1cos ()2()1cos (δδ422)(2)1c o s (1103=⨯=⨯++=⎰-=dt t t t t δ1.8已知信号波形,绘所给信号波形。
(6))31(tf -1.10 判断以下系统是否为线性系统,并说明理由。
北京交通⼤学信号与系统期末考试试题北京交通⼤学考试试题课程名称:信号与系统姓名:学号:班级:成绩:⼀、填空题(每题3分,共30分)1.=+-?∞∞--dt t u t e t )1()42(δ .2. x 1(n )={1,3,3;n = -1,0,1}, x 2(n )={1,4;n = -1,0},determine x 1(n )*x 2(n ) = .3.Consider sampling )10(Sa )(t t x =,determine the maximum of sampling interval T so thatthere will be no aliasing =max T (s).4.A LTI system has input )()sin()(t u t t x = and output )()sin cos ()(t u t t e t y t+-=-,determine the impulse response of this system =)(t h .5.A system has input )(1t x and output )(1t y . If the system has properties, then theinput and output pairs has the relationship: input is )3(3)2()(112-+-=t x t x t x , so output is )3(3)2()(112-+-=t y t y t y 。
6.The transfer function of a LTI system is12)(+=s s H , the system belongs to type .(high-pass, low-pass, band-pass or band-stop ?)7.the FS of )(t x is )(ωj X , the FS of is ωωj e j X -)2(。
(单选题)1: f(k)=sin3k,k=0,±1,±2,±3,…是()。
A: 周期信号
B: 非周期信号
C: 不能表示信号
D: 以上都不对
正确答案: B
(单选题)2: 当输入信号的复频率等于系统函数的零点时,系统的强迫响应分量为()。
A: 无穷大
B: 不为零的常数
C: 0
D: 随输入信号而定
正确答案: C
(单选题)3: 设一个矩形脉冲的面积为S,则矩形脉冲的傅氏变换在原点处的函数值等于()。
A: S/2
B: S/3
C: S/4
D: S
正确答案: D
(单选题)4: 满足傅氏级数收敛条件时,周期信号f(t)的平均功率()。
A: 大于各谐波分量平均功率之和
B: 不等于各谐波分量平均功率之和
C: 小于各谐波分量平均功率之和
D: 等于各谐波分量平均功率之和
正确答案: D
(单选题)5: 离散时间单位延迟器D的单位序列响应为()。
A: δ(k)
B: δ(k+1)
C: δ(k-1)
D: 1
正确答案: C
(单选题)6: sinπ(t-2)δ(t-1)等于()。
A: sinπ(t-2)
B: δ(t-1)
C: 1
D: 0
正确答案: D
(单选题)7: 设系统零状态响应与激励的关系是:yzs(t)=|f(t)|,则以下表述不对的是()。
A: 系统是线性的。
秋北交信号与系统在线作业一秋北交《信号与系统》在线作业一北京交通铁路信号与系统在线运营一一、单选题(共10道试题,共30分。
)1.卷积δ(t)*f(t)*δ(t)结果为()。
a、δ(t)b.δ(2t)c.f(t)d.f(2t)正确答案:2.线性系统有()。
a、分解特性B.零状态线性C.零输入线性D.以上所有正确答案:3.时域是实偶函数,其傅氏变换一定是()。
a.实偶函数b.纯虚函数c.任意复函数d.任意实函数正确答案:4.对于连续因果系统,系统函数H(s)=(s-2)/(s+2),以下陈述不正确()。
a、这是一阶系统B。
这是一个稳定的系统C。
这是一个最小相位系统d。
这是一个全通系统正确答案:5.信号〔ε(t)-ε(t-2)〕的拉氏变换的收敛域为()。
a.re[s]>0b.re[s]>2c.全s 平面d.不存在正确答案:六ε(k)*ε(k-1)=()a.(k+1)ε(k)b.kε(k-1)c.(k-1)ε(k)d.(k-1)ε(k-1)正确答案:7.理想的低通滤波器是()。
a、因果系统b.物理可实现系统c.非因果系统d、励磁前未响应的系统的正确答案:8.连续时间信号f(t)的拉氏变换的收敛域是()。
a.带状b.环状c.与ζ无关d、ω关于变量的正确答案:9.1/jω具有()。
a.微分特性b.积分特性c.延时特性d.因果特性正确答案:10.假设系统零态响应和激励之间的关系为:YZS(T)=| f(T)|,则以下表达式不正确()。
a、这个系统是线性的。
B.系统是时不变的。
C.系统是因果关系。
D.系统稳定。
正确答案是:北交《信号与系统》在线作业一二、判断题(共10题,总分30分)一.一个系统的零状态响应就等于它的自由响应。
a.错误b.正确正确答案:2.稳定系统的H(s)极必须在s平面的左半平面内。
a.错误b.正确正确答案:3.拉普拉斯变换是一种连续时间系统分析方法。
a、 B.正确答案:4.系统的极点分布对系统的稳定性有比较大的影响。
1.f(k)=sin3k,k=0,±1,±2,±3,…是()。
A.周期信号B.非周期信号C.不能表示信号D.以上都不对【参考答案】: B2.当输入信号的复频率等于系统函数的零点时,系统的强迫响应分量为()。
A.无穷大B.不为零的常数C.0D.随输入信号而定【参考答案】: C3.设一个矩形脉冲的面积为S,则矩形脉冲的傅氏变换在原点处的函数值等于()。
A.S/2B.S/3C.S/4D.S【参考答案】: D4.满足傅氏级数收敛条件时,周期信号f(t)的平均功率()。
A.大于各谐波分量平均功率之和B.不等于各谐波分量平均功率之和C.小于各谐波分量平均功率之和D.等于各谐波分量平均功率之和【参考答案】: D5.离散时间单位延迟器D的单位序列响应为()。
A.δ(k)B.δ(k1)C.δ(k-1)D.1【参考答案】: C6.sinπ(t-2)δ(t-1)等于()。
A.sinπ(t-2)B.δ(t-1)C.1D.0【参考答案】: D7.设系统零状态响应与激励的关系是:yzs(t)=|f(t)|,则以下表述不对的是()。
A.系统是线性的B.系统是时不变的C.系统是因果的D.系统是稳定的【参考答案】: A8.线性系统具有()。
A.分解特性B.零状态线性C.零输入线性D.以上全对【参考答案】: D9.函数δ'(t)是()。
A.奇函数B.偶函数C.非奇非偶函数D.奇谐函数【参考答案】: A10.理想低通滤波器是()。
A.因果系统B.物理可实现系统C.非因果系统D.响应不超前于激励发生的系统【参考答案】: C11.若一个系统的H(s)的极点多于零点,且该系统是因果的,则其阶跃响应在t=0上是连续的。
A.错误B.正确【参考答案】: B12.因果连续LTI系统的系统函数的极点一定在s平面的左半平面。
A.错误B.正确【参考答案】: A13.奇函数加上直流后,傅氏级数中仍含有正弦分量。
A.错误B.正确【参考答案】: B14.用有限项傅里叶级数表示周期信号,吉布斯现象是不可避免的。
(单选题)1: sinπ(t-2)δ(t-1)等于()。
A: sinπ(t-2)
B: δ(t-1)
C: 1
D: 0
正确答案: D
(单选题)2: 能量信号其()。
A: 能量E=0
B: 功率P=0
C: 能量E=∞
D: 功率P=∞
正确答案: B
(单选题)3: 如果一连续时间二阶系统的系统函数H(s)的共轭极点在虚轴上,则它的h(t)应是()。
A: 指数增长信号
B: 指数衰减振荡信号
C: 常数
D: 等幅振荡信号
正确答案: D
(单选题)4: 设一个矩形脉冲的面积为S,则矩形脉冲的傅氏变换在原点处的函数值等于()。
A: S/2
B: S/3
C: S/4
D: S
正确答案:
(单选题)5: 零输入响应是()。
A: 全部自由响应
B: 部分自由响应
C: 部分零状态响应
D: 全响应与强迫响应之差
正确答案: B
(单选题)6: 对于某连续因果系统,系统函数H(s)=(s-2)/(s+2),下面说法不对的是()。
A: 这是一个一阶系统
B: 这是一个稳定系统
C: 这是一个最小相位系统
D: 这是一个全通系统
正确答案: C
(单选题)7: 函数δ'(t)是()。
《信号与系统》第一次作业
姓名: 董虎虎
学号: 17602436
1. 判断下列系统是否为线性系统,其中()y t 、[]y k 为系统的完全响应,(0)x 为系统初始状态,()f t 、[]f k 为系统输入激励。
(1)()(0)l g ()=y t x ft 解:在判断具有初始状态的系统是否线性时,应从三个方面来判断。
一是可分解性,即系统的输出响应可分解为零输入响应与零状态响应之和。
二是零输入线性,系统的零输入响应必须对所有的初始状态呈现线性特性。
三是零状态线性,系统的零状态响应必须对所有的输入信号呈现线性特性。
只有这三个条件都符合,该系统才为线性系统。
()(0)l g ()=y t x ft 不具有可分解性,所以系统是非线性系统。
(2)[](0)[][1]=+-y kx f k f k
解:y[k]具有可分解性,零输入响应x(0)是线性的,但零状态响应f[k]f[k-1]是非线性的,所以系统是非线性系统。
2. 判断下列系统是否为线性非时变系统,为什么?其中()f t 、[]f k 为输入信号,
()y t 、[]y k 为零状态响应。
(1)()()()=y t g t f t
解:在判断系统的时不变特性时,不涉及系统的初始状态,只考虑系统的零状态响应。
系统零状态响应,g(t)f(t)满足均匀性和叠加性,所以系统是线性系统。
因为T{f(t-t0)}=g(t).f(t-to)
而 y(t-t0)=g(t-t0).f(t-t0) ≠T{f(t-t0)},故该系统为时变系统。
因此该系统为线性时变系统
(2)2
20[][],(0,1,2,)
+===∑k i y k kfi k 解:2
20[][],(0,1,2,)
+===∑k i y k kfi k 为线性时变系统。
3. 已知信号()f t 的波形如题1-3图所示,绘出下列信号的波形。
1t 1f(t)0-2-1-1
题1-3图
(1)(36)-+f t
解:f(t) ——(波形数轴对称):f(-t)——【波形t 轴方向,t 值缩小至1/3,f (t )值不变】:f(-3t)——【波形往右横移6】:(36)-+f t
最终画出波形图如下:
(2)(1)3
t f -+ 解 :f(t) ——(波形数轴对称):f(-t)——【波形t 轴方向,t 值扩大3倍,f (t )值不变】:f(-⅓t) ——【波形往右横移1】:(1)3t f -
+ 最终画出波形图如下:
4. 已知()(4)2(1)(1)2(1)
t
f t t t t t e u t δδδ-'=+-+++++,绘出()f t 波形。
计算并绘出
()()t
gt f d ττ-∞=⎰的波形。
5. 一个离散时间信号[]f k 如题1-5图所示。
画出下列信号的图形。
k f[k]1231
2
023145673
3389
题1-5图
(1)[3]f k
解:有f(k)的波形图可知,当k=1是,f(3k)=f(3)=3;当k=2时,f(3k)=f(6)=3; 当k 取其它整数时f(3k)的值均为0。
所以f(3k)的波形图为:
(2)[32]f k -+
解:当k=-2时,f(-3k+2)=f(8)=1;当k=-1时,f(-3k+2)=f(5)=3;当k=0时, f(-3k+2)=f(2)=2;当k 取其它整数时f(-3k+2)的值均为0.
所以f(-3k+2)的波形图为:。