13.2 非正弦周期函数分解为傅里叶级数
- 格式:ppt
- 大小:518.00 KB
- 文档页数:35
13.1 非正弦周期信号
特点:周期性;非正弦。
例如:(见幻灯片)
13.2 周期函数分解为傅立叶级数
一、傅立叶级数的收敛定理:
按照傅立叶级数展开法,任何一个满足狄里赫利(Dirichlet)条件的非正弦周期信号(函数)都可以分解为一个恒定分量与无穷多个频率为非正弦周期信号频率的整数倍、不同幅值的正弦分量的和。
二、几种典型的非正弦周期函数信号的展开式
(见幻灯片以及本章附表13-1)
三、将方波展开为傅立叶级数
利用EWB5.12软件仿真各次谐波叠加的结果
令E m =1,πω1001=,(f=50Hz ),计算得出:A 1=1.27,A 3=0.42,A 5=0.25,
A 7=0.18,A 9=0.141
演示曲线合成,分量越多越接近方波。
四、频谱(见幻灯)
定义:用长度与各次谐波振幅大小相对应的线段,按频率高低把它们依
次排列起来
五、利用对称性简化傅立叶级数的计算
1.纵轴对称:(偶函数)b k =0
2.关于原点对称:(奇函数)a k =0
3.镜对称:该波形移动半周期后与横轴对称,a 2k =b 2k =0。
第十三章非正弦周期电流电路和信号的频谱重点:1. 非正弦周期电流电路的电流、电压的有效值、平均值;2. 非正弦周期电流电路的平均功率3. 非正弦周期电流电路的计算方法难点:1. 叠加定理在非正弦周期电流电路中的应用2. 非正弦周期电流电路功率的计算章与其它章节的联系:三相电路可以看成是三个同频率正弦电源作用下的正弦电流电路,对它的计算,第九章正弦电流电路中所阐述的方法完全适用。
§13.1 非正弦周期信号生产实际中不完全是正弦电路,经常会遇到非正弦周期电流电路。
在电子技术、自动控制、计算机和无线电技术等方面,电压和电流往往都是周期性的非正弦波形。
非正弦周期交流信号的特点:1) 不是正弦波2) 按周期规律变化,满足:(k=0,1,2…..)式中T 为周期。
图 13.1 为一些典型的非正弦周期信号。
图13.1(a)半波整流波形(b)锯齿波(c)方波本章主要讨论非正弦周期电流、电压信号的作用下,线性电路的稳态分析和计算方法。
采用谐波分析法,实质上就是通过应用数学中傅里叶级数展开方法,将非正弦周期信号分解为一系列不同频率的正弦量之和,再根据线性电路的叠加定理,分别计算在各个正弦量单独作用下电路中产生的同频率正弦电流分量和电压分量,最后,把所得分量按时域形式叠加得到电路在非正弦周期激励下的稳态电流和电压。
§13.2 周期函数分解为付里叶级数电工技术中所遇到的非正弦周期电流、电压信号多能满足展开成傅里叶级数的条件,因而能分解成如下傅里叶级数形式:也可表示成:以上两种表示式中系数之间关系为:上述系数可按下列公式计算:(k=1,2,3……)求出a0、a k、b k便可得到原函数f(t) 的展开式。
注意:非正弦周期电流、电压信号分解成傅里叶级数的关键在于求出系数a0、ak、bk ,可以利用函数的某种对称性判断它包含哪些谐波分量及不包含哪些谐波分量,可使系数的确定简化,给计算和分析将带来很大的方便。
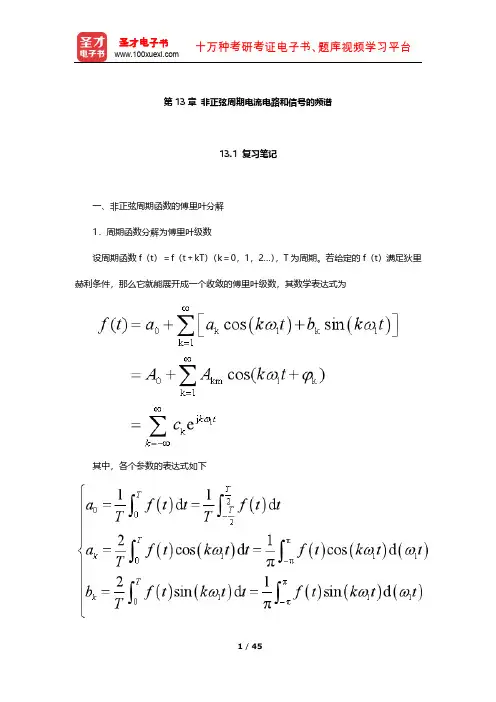
第13章非正弦周期电流电路和信号的频谱13.1 复习笔记一、非正弦周期函数的傅里叶分解1.周期函数分解为傅里叶级数设周期函数f(t)=f(t+kT)(k=0,1,2…),T为周期。
若给定的f(t)满足狄里赫利条件,那么它就能展开成一个收敛的傅里叶级数,其数学表达式为其中,各个参数的表达式如下A0=a0φk=arctan(-b k/a k)2.周期函数的谐波定性分析定性判断周期函数存在哪些谐波成分,然后具体计算各次谐波的幅值与相位。
(1)f(t)为奇函数,即f(t)=-f(-t),f(t)的展开式中只能含有奇函数,即(2)f(t)为偶函数,即f(t)=f(-t),f(t)的展开式中只含有偶函数,即(3)f(t)为奇谐波函数,即f(t)=-f(t±T/2),f(t)的展开式中只含奇次谐波,即(4)f(t)为偶谐波函数,即f(t)=f(t±T/2),f(t)的展开式中只含直流分量和偶次谐波,即二、有效值、平均值和平均功率1.非正弦周期电流电路的有效值和平均值设非正弦周期电流其有效值、平均值的计算方法如表13-1-1所示。
表13-1-1注:①非正弦周期电流平均值等于此电流绝对值的平均值;②正弦量平均值I av=0.898I。
2.非正弦周期电流电路的功率计算(1)非正弦周期电流电路的瞬时功率为(2)非正弦周期电流电路的平均功率为其中,φk=φuk-φik,k=1,2…。
即平均功率等于恒定分量构成的功率和各次谐波平均功率的代数和。
(3)非正弦周期电流电路的视在功率:S=UI。
三、非正弦周期电流电路的计算在非正弦周期激励电压、电流或外施信号作用下,分析和计算线性电路的方法,主要利用傅里叶级数展开法——谐波分析法。
计算步骤:(1)把已知的非正弦周期电压u(t)或电流i(t)展开成傅里叶级数,高次谐波取到哪一项,要根据所需准确度的高低而定;(2)应用叠加定理对直流分量和各次谐波分量单独作用计算;(3)将第二步所得结果在时域中进行叠加,即得最后所需要的结果。
非正弦周期信号的傅里叶级数分解当电路的激励源为直流或正弦交流电源时,可用所述方法对电路进行分析计算。
但是在实际电气系统中,却经常会遇到非正弦的激励源问题,例如电力系统的交流发电机所产生的电动势,其波形并非理想的正弦曲线,而是接近正弦波的周期性波形。
即使是正弦激励源电路,若电路中存在非线性器件时,也会产生非正弦的响应。
在电子通信工程中,遇到的电信号大都为非正弦量,如常见的方波、三角波、脉冲波等,有些电信号甚至是非周期性的。
对于线性电路,周期性非正弦信号可以利用傅里叶级数展开把它分解为一系列不同频率的正弦分量,然后用正弦交流电路相量分析方法,分别对不同频率的正弦量单独作用下的电路进行计算,再由线性电路的叠加定理,把各分量叠加,得到非正弦周期信号激励下的响应。
这种将非正弦激励分解为一系列不同频率正弦量的分析方法称为谐波分析法。
设周期函数的周期为T,则有:(k为任意整数)如果函数满足狄里赫利条件,那么它就可以分解成为傅里叶级数。
一般电工技术中所涉及的周期函数通常都能满足狄里赫利条件,能展开为傅里叶级数,在后面讨论中均忽略这一问题。
对于上述周期函数,可表示成傅里叶级数:(1)或(2)式中,称为基波角频率;二式中系数之间有关系式:或(3)展开式中除第一项外,每一项都是不同频率的正弦量,称为周期函数的直流分量(恒定分量),第二项称为基波分量,基波角频率,其变化周期与原函数周期相同,其余各项(的项)统称为高次谐波。
高次谐波分量的频率是基波频率的整数倍。
当时称为二次谐波,时称为三次谐波等等。
是第n次谐波的初相角。
当已知时,傅里叶级数表达式中各谐波分量的系数可由下面公式求得:(4)下面用一个具体例子来进行傅里叶分解。
例1 图1所示为对称方波电压,其表达式可写为:求此信号的傅里叶级数展开式。
图1解:根据傅里叶级数的系数推导公式,可得由此可得所求信号的傅里叶级数展开式为在实际工程计算中,由于傅里叶级数展开为无穷级数,因此要根据级数展开后的收敛情况,电路频率特性及精度要求,来确定所取的项数。
第10章非正弦周期电流电路211分解为直流量和一系列不同频率正弦量之和,每一信号单独作用下的响应,与直流电路及正
弦电流电路的求解方法相同,再应用叠加定理求解,是前面内容的综合。
图10-1 几种非正弦周期信号的波形
二、谐波分析法
怎样分析在非正弦周期电流、电压信号的作用下线性电路的稳态响应呢?其步骤如下。
(1)应用数学中的傅里叶级数展开法,将非正弦周期电流、电压激励分解为一系列不同
频率的正弦量之和。
(2)分别计算在各种频率正弦量单独作用下,电路中产生的同频率正弦电流分量和电压分量。
(3)再根据线性电路的叠加定理,把所得分量按时域形式叠加。
上述方法就称为谐波分析法。
它实质上就是把非正弦周期电流电路的计算转化为一系列
正弦电流电路的计算,这样仍能充分利用相量法这个有效的工具。
思考与练习
10-1-1什么叫非正弦周期波,你能举出几个实际中的非正弦周期波的例子吗?
10-1-2电路中产生非正弦周期波的原因是什么?试举例说明。
10-1-3有人说:“只要电源是正弦的,电路中各部分的响应也一定是正弦波。
”这种说
法对吗?为什么?
10-1-4试述谐波分析法的应用范围和应用步骤。
10.2 非正弦周期函数分解为傅里叶级数
如果给定的周期函数f(t)满足狄里赫利条件(函数在任意有限区间内,具有有限个极值点
与不连续点),则该周期函数定可展开为一个收敛的正弦函数级数。
而在电工技术中,我们所
遇到的周期函数通常均满足该条件。