2010-2011 浙江省高职高专录取分数线
- 格式:docx
- 大小:790.37 KB
- 文档页数:39
2010年浙江省第三批投档分数线
]
2010-8-18 9:27:56 [ 蔡依林首谈双j恋提供此信息奖励 0
文理科第三批平行志愿院校投档分数线,今天在浙江教育考试网()公
布,考生可登录查询。
2010年浙江省第三批投档分数线
经过前几批招生,浙江省约15万名本科生已上榜,约占普通高校在浙招生总量的60%。
本批录取对应高考第三类考试科目,属专科(高职)层次,招生总数为9.5万余名,占今年普通高校在浙招生总量约四成,其中公办院校和省内院校是本批招生主力。
本批招生提前院校录取已在8月15日结束,包括公安(警察)、航海、农村社区医学定向培养及部分高职自主招生录取人数在内,共有2000余名专科(高职)考生被录取,考生可通过登录浙江教育考试网()查询确认。
即将进入本批第二阶段录取的平行志愿院校有580余所,计划招收9.3万余名,其中文科3.4万余名、理科5.9万余名。
首轮投档比例,省内院校为1∶1,省外院校按不高于1∶1.1。
本批平行志愿首轮投档院校今晚完成退档。
省教育考试院明晚公布本批征求志愿计划,未被录取的考生可在8月20日在网上填报征求志愿。
分数不上线的考生如希望填报降分院校志愿,需等到23日登录浙江教育考试网,看有无合适的降分征求志愿院校可以填报。
另外,今年浙江高职多元化招生选拔模式改革顺利,农村社区医学定向培养,扩大招生范围,实际录取800名;同时高职自主招生扩大生源范围,允许往届生报考,省级示范高职院校采取“校考加高考” 模式的自主招生,在本批提前录取900余名。
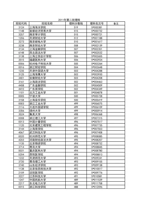
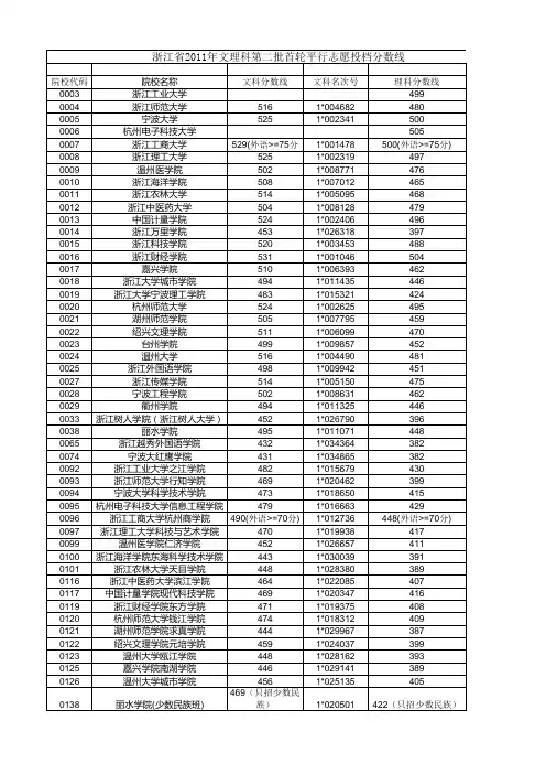
院校代码院校名称文科分数线文科名次号理科分数线理科名次号0001浙江大学6281-0008246465-002800 0003浙江工业大学5801-0057935745-021418 0004浙江师范大学5761-0065275615-026625 0005宁波大学5851-0049485655-0252080006杭州电子科技大学5771-0063065605-0271090007浙江工商大学592(外语>=75分)1-003916572(外语>=75分)5-0220110008浙江理工大学5791-0060885615-026683 0009温州医学院5741-0068455735-021623 0010浙江海洋学院5535-030382 0011浙江农林大学5565-029177 0012浙江中医药大学5861-0048025695-023212 0013中国计量学院5575-028879 0015浙江科技学院5525-031199 0016浙江财经学院6021-0027656035-011255 0017嘉兴学院5711-0075505555-029705 0020杭州师范大学5751-0067555595-027882 0022绍兴文理学院5711-0074745565-029185 0024温州大学5731-0071925555-0294470182宁波诺丁汉大学584(外语>=115分)1-005180560(外语>=115分)5-0273971103北京大学6681-0000496985-000115 1104北京大学医学部6785-0005451105北京第二外国语学院6171-0014696185-0075021113北京工业大学5901-0041346105-0095031116北京航空航天大学6211-0011826395-0037001117北京化工大学5901-0042005895-015551 1121北京交通大学6101-0019956225-006584 1123北京科技大学6071-0022266185-007412 1127北京理工大学6081-0021526295-005262 1128北京林业大学5731-0070735875-016425 1130北京师范大学6311-0007126395-003764 1132北京体育大学5791-0060935655-025206 1133北京外国语大学6371-0005026415-003453 1136北京协和医学院5675-024085 1140北京邮电大学6365-004147 1142北京语言大学6141-0016766125-008951 1143北京中医药大学5955-0134841144对外经济贸易大学6351-0005566415-0034821146华北电力大学(北京)6041-0025396295-0052991147清华大学6671-0000536975-000126 1149首都师范大学5981-0031965795-019303 1151首都医科大学5855-017089 1153中国传媒大学6171-0014556185-0075351154中国地质大学(北京)6011-0028595905-0151761155中国矿业大学(北京)5911-0040105835-0177051157中国农业大学6111-0019366135-008790 1159中国人民大学6541-0001566755-0006111160中国石油大学(北京)6001-0029575955-0136841163中国政法大学6301-0007586425-003331 1165中央财经大学6341-0006156205-0071311167中央民族大学6081-0021046025-0116171171北京邮电大学(宏福校区)6005-0121361202河北工业大学5725-021997 1203南开大学6251-0009786405-003609 1210天津大学6221-0011566315-005000 1239天津医科大学6085-009924 1246天津中医药大学5871-0045825635-026167 1247中国民航大学5585-0282831311东北大学秦皇岛分校5615-0268151331河北医科大学6235-0064281334华北电力大学(保定)5871-0046556065-0103091342石家庄铁道大学5731-0071725535-030557 1349燕山大学5731-0071085555-029627 1404山西大学5721-0073745505-032211 1415太原理工大学5741-0069405615-026867 1502内蒙古大学5721-0073385515-031424 2108大连海事大学6041-0024805945-013857 2111大连理工大学5841-0051036225-006716 2117大连医科大学5505-032131 2122东北财经大学5861-0048186185-007518 2124东北大学5781-0061625915-014990 2127辽宁大学5791-0059545605-027466 2155沈阳农业大学5515-031794 2158沈阳药科大学5585-028413 2161中国医科大学5875-016558 2210长春理工大学5711-0075405535-030706 2218东北师范大学5791-0060325565-0290652220吉林大学6081-0021365985-012768 2242延边大学5721-0073065565-029431 2302东北石油大学5535-030705 2303东北林业大学5711-0074225545-030096 2304东北农业大学5525-031104 2308哈尔滨工程大学5741-0068405825-018210 2309哈尔滨工业大学6285-0055182310哈尔滨工业大学(威海)5885-0158662320哈尔滨医科大学5655-0249862332黑龙江中医药大学5655-0251843101东华大学6101-0019575995-012364 3102复旦大学6621-0000866915-000225 3104华东理工大学6031-0026096255-006069 3105华东师范大学6251-0009896335-004678 3106华东政法大学6191-0013146265-005786 3109上海财经大学6481-0002476655-001118 3112上海大学6101-0020066035-0110983119上海对外贸易学院6041-0025716105-0093743131上海交通大学6381-0004746845-0003743132上海交通大学医学院6475-0027063136上海理工大学5891-0043065915-014841 3151上海外国语大学5831-0052506375-004029 3164上海中医药大学5761-0065625855-017204 3165同济大学6251-0009886425-0032463166上海交通大学医学院(护理类)5805-0190853206东南大学6221-0011236355-004337 3209河海大学6031-0026606105-009368 3216江南大学5971-0033855865-016879 3220江苏大学5801-0058505645-025612 3240南京大学6151-0016376455-002975 3243南京工业大学5771-0063315685-0237503246南京航空航天大学6041-0025056205-0070383251南京理工大学5971-0032606165-008109 3256南京农业大学5911-0040245715-022660 3259南京师范大学6131-0017515885-0160693267南京信息工程大学5761-0066255625-0265953270南京医科大学6235-006508 3281苏州大学6181-0013986125-008992 3297西交利物浦大学5771-0063585605-027322 3315中国矿业大学5751-0066955685-023927 3316中国药科大学5981-0031955955-013703 3404安徽大学5881-0045755715-022627 3429安徽医科大学5875-016285 3445合肥工业大学5731-0071595775-0201553455中国科学技术大学6675-0010093517福州大学6021-0027785955-013681 3523华侨大学5761-0066215595-027725 3543厦门大学6291-0008006415-003487 3607江西财经大学5801-0059175655-024947 3646南昌大学5871-0046225745-021090 3731山东大学6221-0011376195-007255 3732山东大学威海分6011-0028815835-017962校3763中国海洋大学6041-0025226035-0112723765中国石油大学(华东)5695-0235164032湖北中医药大学5685-023637 4034华中科技大学6141-0016876315-004964 4037华中农业大学5781-0061865555-029738 4039华中师范大学6011-0028585885-015935 4055武汉大学6261-0009326345-004464 4067武汉科技大学5575-028586 4072武汉理工大学5811-0056915965-0132984093中国地质大学(武汉)5861-0047765775-0202234095中南财经政法大学6161-0015786245-0062234236郑州大学5801-0058525725-022123 4314湖南大学6101-0019786095-009522 4342湖南师范大学5781-0061745585-028269 4352湖南中医药大学5645-025339 4362湘潭大学5731-0071815555-029473 4365中南大学6051-0024576115-0091334412广东外语外贸大学6021-0027006045-0109604422广州医学院5675-024029 4423广州中医药大学5615-026667 4424华南理工大学6041-0025526265-005886 4425华南农业大学5525-030865 4426华南师范大学5881-0044595745-021439 4428暨南大学6131-0017706095-009592 4431南方医科大学5545-0300664433汕头大学5791-0059445515-031770 4436中山大学6251-0009646365-004071 4440深圳大学5861-0048035645-025446 4504广西大学5751-0068325525-031326 4517广西医科大学5505-032108 4602海南大学5761-0065795605-027275 5005西南大学5941-0036705635-026176 5007西南政法大学5931-0038336005-011960 5011重庆大学6041-0024926025-011452 5031重庆医科大学5605-027250 5111成都中医药大学5721-0072565575-028910 5113电子科技大学6045-010790 5120四川大学6131-0017966095-009547 5129四川农业大学5555-029614 5141西南财经大学6181-0014336265-005828 5143西南交通大学5861-0047585915-0148425150电子科技大学(沙河校区)5705-0230515210贵州大学5741-0069215585-028328 5314云南大学5761-0064665595-027687 6102长安大学5771-0063095675-024370 6105陕西科技大学5545-029946 6108陕西师范大学5751-0066775585-0282636116西安电子科技大学5761-0066085925-0144646125西安建筑科技大学5721-0073345685-0238756127西安交通大学6141-0017146335-004592 6139西安外国语大学5901-0042305705-022907 6144西北大学5981-0031865775-0201346145西北工业大学5821-0055546045-0108746147西北农林科技大学5741-0069335595-0277526204兰州大学5881-0044935835-017958 6301青海大学5711-0074195535-030418 6405宁夏大学5711-0075685555-029906 6501石河子大学5525-031048 6504新疆大学5505-032289。
院校代码院校名称分数线名次号分数线名次号65浙江越秀外国语学院4591*0333064025*076820 74宁波大红鹰学院4591*0333074025*076815 2126辽宁财贸学院4591*0332934035*075678 2128辽宁对外经贸学院4591*0332164025*076769 2143沈阳大学科技工程学院4591*0329024045*075363 2146沈阳工业大学工程学院4591*0332514025*076612 2154沈阳理工大学应用技术学院4591*0330474025*076733 2203长春大学光华学院4591*0332544025*076814 2204长春大学旅游学院4591*0332974025*076254 2208长春工业大学人文信息学院4591*0332484025*076420 2215吉林财经大学信息经济学院4591*0332954025*076496 2225吉林华桥外国语学院4591*0332374025*0767772229吉林建筑工程学院建筑装饰学院4591*0333024025*0768182232吉林农业大学发展学院4591*0330264025*076665 4078武汉生物工程学院4591*0329864025*076804 4094中国地质大学江城学院4591*0331764275*060010 4323湖南工业大学科技学院4591*0329394025*076539 4502北京航空航天大学北海学院4591*0330714025*076379 4505广西大学行健文理学院4591*0331554055*074603 4514广西师范大学漓江学院4591*0332084025*0761954520广西中医学院赛恩斯新医药学院4591*0330914035*0758604603海南大学三亚学院4591*0332684025*0766745004四川外语学院重庆南方翻译学院4591*0332664165*0674915006西南大学育才学院4591*0332424025*076535 5018重庆工商大学派斯学院4591*0332994025*076773 5025重庆三峡学院4591*0331094485*044152 5132四川师范大学成都学院4591*0331834035*076050 5316云南大学旅游文化学院4591*0331444025*0766386121西安工业大学北方信息工程学院4591*0331954035*0758156133西安欧亚学院4591*0331314025*076801 6213天水师范学院4591*0329624185*065894 6505新疆大学科学技术学院4591*0330924035*076063 2150沈阳化工大学科亚学院4601*0326414025*076610 2219东北师范大学人文学院4601*0328614025*076694 3647南昌大学科学技术学院4601*0326764345*055049 3738山东交通学院4601*0327754605*035492 4207河南大学民生学院4601*0327984055*074845 4213河南理工大学万方科技学院4601*0328634025*076493 4245中原工学院信息商务学院4601*0327654405广东白云学院4601*0327234025*076668 4409广东培正学院4601*0327164085*0728444522桂林电子科技大学信息科技学院4601*0327114025*076726文科理科5104成都理工大学工程技术学院4601*0327974085*0727265108成都信息工程学院银杏酒店管理学院4601*0325984065*0741895122四川大学锦江学院4601*0326014045*075221 5218贵州师范大学求是学院4601*0325554035*076144 5323云南师范大学文理学院4601*0327634055*074878 6149西京学院4601*0328834035*075685 6206兰州交通大学博文学院4601*0326274065*073850 6211兰州商学院陇桥学院4601*0327374025*076722 6408宁夏理工学院4601*0326944025*0765371106北京第二外国语学院中瑞酒店管理学院4611*0322394215*0642301112北京工商大学嘉华学院4611*0321654045*074944 1304北京化工大学北方学院4611*0321774035*075641 2306哈尔滨德强商务学院4611*0324544035*076000 3552仰恩大学4611*0323904025*076766 3602东华理工大学长江学院4611*0325194115*070758 3706济南大学泉城学院4611*0322504025*076322 4002长江大学工程技术学院4611*0321444065*073892 4341湖南涉外经济学院4611*0324014145*068669 4401北京理工大学珠海学院4611*0324214065*074037 4427吉林大学珠海学院4611*0322214025*076599 4512广西民族大学相思湖学院4611*0322334601海口经济学院4611*0321484075*073111 5028重庆师范大学涉外商贸学院4611*0322034025*076629 6136西安思源学院4611*0323324055*074628 1225天津理工大学中环信息学院4621*0321214025*076509 1343石家庄铁道大学四方学院4621*0320744045*074941 2106大连东软信息学院4621*0317574045*075352 3722青岛农业大学海都学院4621*0319964035*075961 3750山东万杰医学院4621*0319024515*042119 4036华中科技大学武昌分校4621*0320964035*075601 4049三峡大学科技学院4621*0320314095*071758 4069武汉科技大学中南分校4621*0320864415*049670 4348湖南文理学院芙蓉学院4621*0321295033重庆邮电大学移通学院4621*0320164025*076688 5211贵州大学科技学院4621*0320444035*076169 5322云南师范大学商学院4621*0317924065*074079 1330河北师范大学4631*0313324045*075479 1337华北煤炭医学院4631*0313514545*039898 1351中国地质大学长城学院4631*0314034065*073817 2101鞍山师范学院4631*0313414155*068067 2217东北电力大学4631*0316694845*018016 2305东北农业大学成栋学院4631*0314744245*0620243152上海外国语大学贤达经济人文学院4631*0314054585*0372063606华东交通大学理工学院4631*0315954425*049071 4038华中农业大学楚天学院4631*0315714045*0755584040华中师范大学汉口分校4631*0314694205*064467 4357吉首大学张家界学院4631*0314624025*076472 4416广州大学松田学院4631*0313795207贵阳中医学院时珍学院4631*0316744305*057515 5308昆明医学院海源学院4631*0316854175*066683 5315云南大学滇池学院4631*0315324095*071856 6126西安建筑科技大学华清学院4631*0317064235*062313 6210兰州商学院长青学院4631*0316956216西北师范大学知行学院4631*0314721305北京交通大学海滨学院4641*0310754155*067903 1333衡水学院4641*0312554545*040302 1405山西大学商务学院4641*0311544155*067761 2335牡丹江师范学院4641*0312184245*061490 3207东南大学成贤学院4641*0310644305*057926 3302徐州师范大学科文学院4641*0312623512福建师范大学协和学院4641*0310634065*074220 3518福州大学阳光学院4641*0310874115*070953 3530闽南理工学院4641*0311444035*075643 3756山东英才学院4641*0310954045*075498 4217河南中医学院4641*0312954575*038231 4340湖南商学院北津学院4641*0310814045*074931 5012重庆大学城市科技学院4641*0309274045*075491 6106陕西科技大学镐京学院4641*0311084175*066440 6208兰州理工大学技术工程学院4641*0313184025*076715100浙江海洋学院东海科学技术学院4651*0307124045*0753193620江西科技师范学院理工学院4651*0306694235*062277 3643景德镇陶瓷学院科技艺术学院4651*0308154025*076671 3729山东财政学院东方学院4651*0308454235*062274 3761烟台南山学院4651*0307604045*0754724059武汉工程大学邮电与信息工程学院4651*0309004025*0766264219黄河科技学院4651*0308704025*076573 4319湖南工程学院应用技术学院4651*0307654125*069656 4403电子科技大学中山学院4651*0305824025*076484 5114电子科技大学成都学院4651*0307624085*072345 5305昆明理工大学津桥学院4651*0305004025*076811 6140西安外事学院4651*0306164035*075893 186上海财经大学浙江学院4661*0304744025*076817 1150首都师范大学科德学院4661*0303274025*076819 2157沈阳体育学院4661*0303934334湖南理工学院南湖学院4661*0301654095*072148 4363湘潭大学兴湘学院4661*0302254035*075753 6118西安翻译学院4661*0301424055*074308 6134西安培华学院4661*0302894125*070209 6503新疆财经大学商务学院4661*0303254205*064776 3437蚌埠学院4671*0298485121四川大学锦城学院4671*029********061866123温州大学瓯江学院4681*029********074008 125嘉兴学院南湖学院4681*029********073187 1230天津商业大学宝德学院4681*029********073426 1350燕山大学里仁学院4681*029********067815 1419中北大学信息商务学院4681*0292422148沈阳航空航天大学北方科技学院4681*029********0765113252南京理工大学泰州科技学院4681*029********066932 3277南通大学杏林学院4681*029********073154 3444阜阳师范学院信息工程学院4681*029********073530 3742山东科技大学4681*029********014039 4012湖北大学知行学院4681*029********060011 4020湖北经济学院法商学院4681*029********058736 4071武汉纺织大学外经贸学院4681*029********075151 4097中南民族大学工商学院4681*029********073812 6218甘肃政法学院4681*029********069849 121湖州师范学院求真学院4691*028********074533 1316河北大学工商学院4691*028********065078 1325河北经贸大学经济管理学院4691*029********068447 3211淮阴工学院4691*028********052142 4204河南财经政法大学成功学院4691*029********073324 6101宝鸡文理学院4691*028********040937 101浙江农林大学天目学院4701*028********068720 3143上海杉达学院4701*028********073467 4306长沙理工大学城南学院4701*028********057660 5019重庆工商大学融智学院4701*028********069047 185同济大学浙江学院4711*028********067698 4016湖北工业大学商贸学院4711*028********076796 4062武汉工业学院工商学院4711*028********073544 1236天津外国语大学滨海外事学院4721*027********045712 2112大连理工大学城市学院4721*027********071460 5301楚雄师范学院4721*027********059525 6114西安财经学院行知学院4721*027********048951 6146西北工业大学明德学院4721*027********074069 14浙江万里学院4731*027********069249 3260南京师范大学泰州学院4731*0273423713青岛滨海学院4731*027********075419 4068武汉科技大学城市学院4731*027********059032 6129西安科技大学高新学院4731*027********075762 6404北方民族大学4731*027********049354 126温州大学城市学院4741*0267634155*067844 2140辽宁中医药大学杏林学院4741*0267684125*069710 2316哈尔滨师范大学恒星学院4741*0267513628江西师范大学科学技术学院4741*0269264315*057146 4073武汉理工大学华夏学院4741*0267174265*060493 5310曲靖师范学院4741*0269544095*071991 3228江苏科技大学南徐学院4751*0263694105*071041 3280三江学院4751*0264414125*0697804360邵阳学院4751*0265654575*038260 6137西安体育学院4751*0263974405*050816 6203兰州城市学院4751*0266274025*076245 33浙江树人学院(浙江树人大学)4761*0261004165*067349 99温州医学院仁济学院4761*025********065361 1201北京科技大学天津学院4761*0261154115*070367 1506内蒙古科技大学包头师范学院4761*025********072419 2110大连交通大学信息工程学院4761*025********076615 2123东北财经大学津桥商学院4761*025********062504 2319哈尔滨学院4761*025********042869 3519福州大学至诚学院4761*0260604095*072068 3638江西中医学院科技学院4761*025********052586 4015湖北工业大学工程技术学院4761*0261724105*071283 5118内江师范学院4761*0261264225*063166 122绍兴文理学院元培学院4771*025********068936 3745山东农业大学4771*025********063561 4035华中科技大学文华学院4771*025********048658 4511广西民族大学4771*025********037778 4531玉林师范学院4771*025********073487 5201安顺学院4771*025********047963 1114北京工业大学耿丹学院4781*025********071104 1335华北电力大学科技学院4781*025********040433 2222吉林工程技术师范学院4781*025********073734 3307扬州大学广陵学院4781*025********071000 3623江西理工大学应用科学学院4781*025********056900 4237郑州航空工业管理学院4781*025********076146 2244白城师范学院4791*024********075422 3626江西农业大学南昌商学院4791*024********075780 2136辽宁师范大学4801*024********045700 3159上海应用技术学院4801*024********024182 3411安徽工业大学工商学院4801*024********074696 4056武汉大学珞珈学院4801*024********066089 5312玉溪师范学院4801*024********056445 116浙江中医药大学滨江学院4811*023********060951 3283苏州大学应用技术学院4811*024********069879 4309长沙医学院4811*024********052235 6303青海民族大学4811*023********057038 1141北京邮电大学世纪学院4821*023********061884 1346邢台学院4821*023********040122 2340绥化学院4821*023********066803 3130上海建桥学院4821*023********071330 3244南京工业大学浦江学院4821*023********052467 3430安徽医科大学临床医学院4821*023********049963 5219黔南民族师范学院4821*023********049637 3282苏州大学文正学院4831*023********068481 3426安徽师范大学皖江学院4831*022********069958 5136四川外语学院成都学院4831*022********0763971211天津大学仁爱学院4841*022********074028 1505内蒙古科技大学4841*022********043195 2227吉林建筑工程学院4841*022********043680 3146上海师范大学天华学院4841*022********074068 3764中国海洋大学青岛学院4841*022********063475 1207天津财经大学珠江学院4851*022********055579 3268南京信息工程大学滨江学院4851*021********058400 3726曲阜师范大学杏坛学院4851*022********072333 3741山东经济学院燕山学院4851*022********055661 4318湖南工程学院4851*022********037218 5303红河学院4851*022********058703 1102北京城市学院4861*021********065260 3261南京师范大学中北学院4861*021********065878 3526集美大学诚毅学院4861*021********063172 4202安阳师范学院4861*021********062980 93浙江师范大学行知学院4871*021********068388 3217江南大学太湖学院4871*021********057353 3541武夷学院4871*021********047292 117中国计量学院现代科技学院4881*020********056971 3621江西蓝天学院4881*020********055068 4019湖北经济学院4881*021********018123 4353湖南中医药大学湘杏学院4881*020********057132 5106成都体育学院4881*020********069102 3247南京航空航天大学金城学院4891*020********053434 4221黄淮学院4891*020********050552 97浙江理工大学科技与艺术学院4901*020********051318 2213长春师范学院4901*020********041296 3650南昌航空大学科技学院4901*020********060280 3651南昌理工学院4901*020********049157 3721青岛农业大学4901*020********022875 5302大理学院4901*020********043260 120杭州师范大学钱江学院4911*0196284305*057637 2322黑龙江八一农垦大学4911*0198684405*050264 3253南京理工大学紫金学院4911*0197414405*050209 3314中国传媒大学南广学院4911*0198194205*064892 4043黄石理工学院4911*0197624535*040680 4244中原工学院4911*0197824235*062856 94宁波大学科学技术学院4921*0194104365*053285 2233吉林农业科技学院4921*0193184425*048705 2239吉林医药学院4921*0191834555*039385 138丽水学院(少数民族班)4931*0191534355*054384 1204南开大学滨海学院4931*0190064275*059543 2153沈阳理工大学4931*0188074685*029986 2301大庆师范学院4931*0191374395*051245 3239南京财经大学红山学院4931*0189914395*051277 4022湖北民族学院4931*0189144485*044462 4235许昌学院4931*0188804465*0461604361湘南学院4931*0188494555*039530 4530梧州学院4931*0190794435*048300 5128四川警察学院4931*0187484575*038193 5319云南民族大学4931*0188024525*041440 119浙江财经学院东方学院4941*0184424405*050234 1507内蒙古民族大学4941*0184574335*055503 2201北华大学4941*0186504535*040940 3274南京邮电大学通达学院4941*0185514335*0551293608江西财经大学现代经济管理学院4941*0184224545*0402805142西南财经大学天府学院4941*0183824465*04613895杭州电子科技大学信息工程学院4951*0181124405*0502071308北京中医药大学东方学院4951*0182524285*059027 2241通化师范学院4951*0180154415*050057 4506广西工学院4951*0182954485*044761 5206贵阳中医学院4951*0180124535*040761 6502新疆财经大学4951*0182314555*039715 4355怀化学院4961*0177284305*057320 5003四川外语学院4961*0176584965*009613 5147宜宾学院4961*0178724135*069453 6112渭南师范学院4961*0177924095*071962 4032湖北中医药大学4971*0174074755*025068 4070武汉纺织大学4971*0172234025*076556 5320云南农业大学4971*0171424515*042470 92浙江工业大学之江学院4981*0169754435*047911 4214河南农业大学4981*0168474605*036002 6214西北民族大学4981*0169354045*075106 6杭州电子科技大学4991*0164185065*003554 1413太原工业学院4991*0164434505*043006 2312哈尔滨金融学院4991*0165254525*041769 4234信阳师范学院4991*0166984385*052220 4322湖南工业大学4991*0166884605*035521 6509新疆师范大学4991*0165484385*051799 1313邯郸学院5001*0160232147沈阳航空航天大学5001*0161224765*024127 2337齐齐哈尔大学5001*0161494505*043357 3656新余学院5001*0161614445*047618 4079武汉体育学院5001*0161824035*076091 4229南阳师范学院5001*0162454595*036146 4247周口师范学院5001*0161574455*047027 5203毕节学院5001*0162254515*042095 2234吉林师范大学5011*0158394305*057588 4201安阳工学院5011*0158084475*044992 4225洛阳理工学院5011*0155444595*036586 4230河南城建学院5011*0157944475*045318 5146西南石油大学5011*0155554715*027396 19浙江大学宁波理工学院5021*0151874495*0435703224江苏技术师范学院5021*0153074395*051290 3544厦门大学嘉庚学院5021*0153664495*044066 3703德州学院5021*0151964365*053598 3758潍坊学院5021*0152804605*035880 4228南阳理工学院5021*0152294595*036173 4515广西师范学院5021*0154084475*045043 5115乐山师范学院5021*0152114035*076074 1339廊坊师范学院5031*0149244465*045700 1414太原科技大学5031*0151334635*033353 3402安徽财经大学商学院5031*0150594555*039729 4090孝感学院5031*0148944485*044515 4226洛阳师范学院5031*0150554425*048912 4525桂林理工大学5031*0149694605*035573 6107陕西理工学院5031*0148734555*039612 6209兰州商学院5031*0150584565*038402 25浙江外国语学院5041*0144034065*07421735衢州学院(原浙江工业大学浙西分校升格)5041*0143764495*0436123436安庆师范学院5041*0144804505*043283 3540三明学院5041*0145944585*037146 3701滨州学院5041*0143934495*044069 4321湖南工学院5041*0145244535*040970 4332湖南科技学院5041*0144404485*044285 4356吉首大学5041*0146874495*044076 4503广西财经学院5041*0144974765*023999 4609海南医学院5041*0146374675*030851 5001长江师范学院5041*0146954385*052128 5313云南财经大学5041*0147494935*011502 6135西安石油大学5041*0144944665*031004 1170北京联合大学5051*0140794595*036534 1302北华航天工业学院5051*0141644625*034159 1403山西大同大学5051*0141494525*041851 3420安徽科技学院5051*0142494565*038411 3604赣南医学院5051*0140094705*028144 4045荆楚理工学院5051*0142834086咸宁学院5051*0141774465*046193 4232新乡学院5051*0143644525*041343 4613琼州学院5051*0143534485*044445 5029重庆文理学院5051*0140234525*041770 5107成都信息工程学院5051*0140124215*063759 5117绵阳师范学院5051*0140334515*041935 5144西南科技大学5051*0141744625*034395 5304昆明理工大学5051*0142354775*023227 6151延安大学5051*0142064415*049861 6202甘肃中医学院5051*0143194605*036005 2113大连民族学院5061*0136844445*047812 4088襄樊学院5061*0135954445*047365 5208贵州财经学院5061*0136004715*0280296150咸阳师范学院5061*0137604265*060402 96浙江工商大学杭州商学院5071*0134714565*038595 1234天津体育学院5071*0133364125*069813 1336华北科技学院5071*0133654605*035635 1418中北大学5071*0134154625*034534 2206长春工程学院5071*0134334545*040271 2207长春工业大学5071*0132254465*045641 2223吉林工商学院5071*0135324535*040594 3210淮海工学院5071*0132284665*031579 3319常州工学院5071*0135413640井冈山大学5071*0133044585*036983 3642景德镇陶瓷学院5071*0135254075*073263 3657宜春学院5071*0133204575*038023 3757泰山学院5071*0134694385*052059 4313湖南城市学院5071*0135584525*041533 6207兰州理工大学5071*0135224595*036322 1416太原师范学院5081*0129154565*038498 3241南京大学金陵学院5081*0129204475*045104 3304盐城工学院5081*0130034615*034979 3603赣南师范学院5081*0130824535*040754 6141西安文理学院5081*0128784545*040148 6205兰州交通大学5081*0131884615*035283 3258南京审计学院金审学院5091*0125134565*038973 3442滁州学院5091*0126353453皖南医学院5091*0128264835*019126 3528龙岩学院5091*0128344535*041164 3533莆田学院5091*0125624585*037485 3619江西科技师范学院5091*0127084615*035233 4211河南科技大学5091*0125234685*029858 4333湖南理工学院5091*0125844655*031997 4347湖南文理学院5091*0125174575*038205 5109成都学院5091*0127854605*035813 5140西华师范大学5091*0126334555*039761130浙江师范大学金华职业技术学院教学点5101*0122534605*0359201214天津职业技术师范大学5101*0123544505*042923 1408山西农业大学5101*0124074455*046496 3201常熟理工学院5101*0122164565*038589 3298徐州工程学院5101*0122924645*033111 3305盐城师范学院5101*0122394555*039065 3443阜阳师范学院5101*0123264545*040453 3446合肥学院5101*0124264605*035604 3448淮北师范大学5101*0122104605*036096 3553漳州师范学院5101*0124374505*043211 3746山东轻工业学院5101*0123834595*036850 4308长沙学院5101*0123434585*037137 4310衡阳师范学院5101*0122204605*036075 6120西安工业大学5101*0121794825*0193373421安徽理工大学5111*0119524815*020123 4061武汉工业学院5111*0119414715*027692 4519广西中医学院5111*0118354615*035314 5116泸州医学院5111*0119764705*028477 5148中国民用航空飞行学院5111*0119234785*022870 38丽水学院5121*0117014605*035637 188浙江理工大学(少数民族班)5121*0117794835*019315 1410山西中医学院5121*0114904645*032762 2156沈阳师范大学5121*0116034445*047383 3422安徽农业大学5121*0114674595*036392 3537泉州师范学院5121*0117354615*035141 3711临沂师范学院5121*0115504555*039087 4001长江大学5121*0116104605*035853 4206河南大学5121*0114094635*033223 4208河南工业大学5121*0114914505*042784 4513广西师范大学5121*0116794535*041129 6215西北师范大学5121*0117144505*043074 18浙江大学城市学院5131*0113694625*034528 3648南昌工程学院5131*0110624685*029946 4013湖北第二师范学院5131*0111554675*030916 4048三峡大学5131*0110874825*019783 5027重庆师范大学5131*0112244585*037448 5321云南师范大学5131*0111004735*026508 1164中华女子学院5141*010********037380 3644九江学院5141*010********033453 4358南华大学5141*010********075632 5139西华大学5141*010********034362 23台州学院5151*010********031954 1341石家庄经济学院5151*010********033985 3275南京中医药大学5151*010********036350 4316湖南第一师范学院5151*010********030397 5024重庆理工大学5151*010********027614 5318云南警官学院5151*010********028343 28宁波工程学院5161*010********025802 3273南京邮电大学5161*010********001605 3503福建工程学院5161*010********029513 3601东华理工大学5161*010********028544 4335湖南农业大学5161*010********074587 4607海南师范大学5161*010********035524 5145西南民族大学5161*010********039784 9温州医学院5171*0097504865*016961 1227天津农学院5171*0098184615*035075 1323河北金融学院5171*0098964865*016959 2145沈阳工业大学5171*0098894815*020656 4014湖北工业大学5171*0098094845*018117 5131四川师范大学5171*0099704605*035547 6143西安邮电学院5171*0098054785*0227902202长春大学5181*0096044655*032052 3301徐州师范大学5181*0094434685*029670 3622江西理工大学5181*0096054765*023726 3625江西农业大学5181*0094664695*029378 3710聊城大学5181*0094284555*039335 4339湖南商学院5181*0093674805*020918 3266南京晓庄学院5191*0090274705*028561 4330湖南科技大学5191*0091704805*021342 10浙江海洋学院5201*0088564735*026555 21湖州师范学院5201*0088944695*028852 3235金陵科技学院5201*0088814765*023660 3743山东理工大学5201*0087894845*017935 5111成都中医药大学5201*0089104885*015047 6128西安科技大学5201*0087504895*014701 2142沈阳大学5211*0085784585*037580 2323黑龙江大学5211*0085054245*062115 3226江苏警官学院5211*0083644785*022862 3288苏州科技学院5211*0085454895*014467 3649南昌航空大学5211*0085464875*015936 3737山东建筑大学5211*0085344835*018601 4406广东工业大学5211*0083184945*011361 1404山西大学5221*0082154815*020122 3627江西师范大学5221*0081084715*027973 3734山东工商学院5221*0080094825*019443 6111陕西中医学院5221*0081124555*039355 4366中南林业科技大学5231*0078334695*028796 3148上海体育学院5241*0074114585*037290 3425安徽师范大学5241*0073594775*022949 3511福建师范大学5241*0073484285*058962 3637江西中医学院5241*0074294705*028453 12浙江中医药大学5251*0070594925*012608 17嘉兴学院5251*0072934735*026218 1246天津中医药大学5251*0070204955*010283 22绍兴文理学院5261*0070044785*022505 1232天津师范大学5261*0067584915*013388 3114上海电机学院5261*0069404825*019733 4058武汉工程大学5261*0067524905*014013 4305长沙理工大学5261*0069304915*012806 4521桂林电子科技大学5261*0068374655*032201 3748山东师范大学5271*0065644915*012828 5103成都理工大学5271*0065154925*012240 4浙江师范大学5281*0062624835*019038 1156中国劳动关系学院5281*0062984805*021375 2314哈尔滨商业大学5281*0063724725*026959 11浙江农林大学5291*0057974815*020361 1324河北经贸大学5291*0058504905*013438 3158上海音乐学院5291*0059504875*0160623712鲁东大学5291*0059904755*024754 4602海南大学5301*0055184805*021170 24温州大学5311*0053814875*015921 1120北京建筑工程学院5311*0053085005*006609 1315河北大学5311*0054564855*017472 2214吉林财经大学5311*0052584975*008757 3113上海第二工业大学5311*0052084925*012757 3222常州大学5311*0054334785*022339 3242南京工程学院5311*0054075025*005879 3548厦门理工学院5311*0052774855*017597 3605华东交通大学5311*0052264965*009307 5017重庆工商大学5311*0054344855*017169 6113西安财经学院5311*0051564995*007483 1139北京印刷学院5321*0050144685*029637 1235天津外国语大学5321*0050105005*007067 1402山西财经大学5321*0050844965*009521 2104大连大学5321*0048644845*017839 3276南通大学5321*0048634895*014767 27浙江传媒学院5331*0045844825*019404 4203河南财经政法大学5331*0046534935*011689 1223天津科技大学5341*0045234915*012966 1138北京信息科技大学5351*0040594975*009046 3115上海电力学院5351*0041335075*002904 3127上海海洋大学5351*0040304905*014010 3144上海商学院5351*0041374995*007310 3227江苏科技大学5351*0041474965*009748 4408广东金融学院5351*0040545035*004806 4410广东商学院5351*0041245025*005826 15浙江科技学院5361*0039654915*012830 1229天津商业大学5361*0040154885*015017 2109大连交通大学5361*0037844875*015660 3728山东财政学院5361*0038435015*006468 3760烟台大学5361*0038534875*015877 4067武汉科技大学5361*0039264985*008323 3254南京林业大学5371*0035004835*018586 20杭州师范大学5381*0032124975*009054 3705济南大学5381*0034244925*012566 3740山东经济学院5381*0034414975*0092284402北京师范大学-香港浸会大学联合国际学院5381*0032204935*0117105宁波大学5391*0031924985*008466 13中国计量学院5391*0030125005*007139 3524集美大学5411*0026305035*005118 3145上海师范大学5421*0022844975*009079 8浙江理工大学5431*0021955055*004045 1135北京物资学院5431*0021825035*004912 3306扬州大学5431*0019945035*004791 3401安徽财经大学5431*0020215035*0048227浙江工商大学5441*0018355025*005477 3714青岛大学5441*0018905025*005375 6148西北政法大学5441*0017755085*002522 2116大连外国语学院5451*0015505025*005543 3138上海立信会计学院5451*0015915085*002716 3161上海政法学院5451*0016565035*004897 3607江西财经大学5451*0016495055*004132 1247中国民航大学5461*0013645005*007155 16浙江财经学院5481*0011575085*002609 3238南京财经大学5501*0007595085*002723 3257南京审计学院5501*0007125155*000833 1206天津财经大学5511*0006125115*001516 3134上海金融学院5511*0006145115*001633 1148首都经济贸易大学5531*0004505155*000839 3125上海海事大学5551*0002585095*002190 3124上海海关学院5561*0002115175*000561汉族 5141*010808汉族 4655*0322494096中南民族大学少数民族4621*032136少数民族4345*0550763浙江工业大学4925*012168 181浙江科技学院(中外合作专业)4055*074741 189浙江理工大学(中外合作专业)4695*029493 1101北方工业大学5055*003741 1110北京服装学院4655*031708 1131北京石油化工学院4885*015217 1208天津城市建设学院4785*022687 1216天津工业大学4715*027713 1224天津理工大学4745*025658 1240天津医科大学临床医学院4295*058074 1310承德医学院4735*026120 1312防灾科技学院4565*038836 1314河北传媒学院1317河北工程大学4685*029855 1318河北工程大学科信学院4065*073596 1319河北工业大学城市学院4315*056816 1321河北建筑工程学院4605*035515 1326河北科技大学4335*055155 1328河北科技师范学院4445*047436 1329河北理工大学4635*033386 1331河北医科大学5085*002386 1332河北医科大学临床学院4545*040208 1338华北煤炭医学院冀唐学院4335*055398 1417运城学院4355*054319 1501呼伦贝尔学院1503内蒙古工业大学4425*049283 1508内蒙古农业大学4415*049499 2103渤海大学4665*031029 2107大连工业大学4695*0289492115大连海洋大学4655*032108 2117大连医科大学5065*003334 2118大连医科大学中山学院4025*076750 2129辽宁工业大学4045*075284 2133辽宁科技大学4625*034164 2134辽宁科技大学信息技术学院4055*074335 2137辽宁石油化工大学4555*039289 2138辽宁医学院4305*057715 2139辽宁中医药大学4615*035309 2144沈阳工程学院4645*033138 2149沈阳化工大学4575*037958 2151沈阳建筑大学4785*022837 2152沈阳建筑大学城市建设学院4025*076747 2159沈阳医学院4915*013375 2162中国医科大学临床医药学院4375*052840 2211长春理工大学光电信息学院4025*076590 2226吉林化工学院4515*042190 2228吉林建筑工程学院城建学院4025*076718 2231吉林农业大学4525*041615 2235吉林师范大学博达学院4085*0724642311哈尔滨工业大学华德应用技术学院4025*0765702313哈尔滨理工大学4845*018486 2315哈尔滨师范大学4055*074751 2324黑龙江东方学院2325黑龙江工程学院4415*049531 2328黑龙江科技学院4455*046365 2332黑龙江中医药大学4595*036782 2333佳木斯大学4135*069017 2336牡丹江医学院4605*035644 2338齐齐哈尔医学院4645*033011 3120上海工程技术大学4905*013538 3212淮阴师范学院4545*040040 3221江苏大学京江学院4255*061070 3264南京体育学院4075*073115 3271南京医科大学康达学院4575*037672 3303徐州医学院4985*008104 3406安徽工程大学4615*034771 3407安徽工程大学机电学院4085*072351 3410安徽工业大学4845*018144 3416安徽建筑工业学院4615*0349453417安徽建筑工业学院城市建设学院4415*0496513434安徽中医学院4785*022509 3438蚌埠医学院4705*028579 3439巢湖学院4555*039325 3447河海大学文天学院4245*061750 3451淮南师范学院4535*0410323507福建农林大学4635*033200 3515福建医科大学5135*001112 3516福建中医药大学4895*014850 3702滨州医学院4825*019605 3709济宁医学院4805*020753 3719青岛科技大学4935*011662 3720青岛理工大学4975*008773 3725曲阜师范大学4575*038305 3759潍坊医学院4365*053323 3762枣庄学院4385*051700 3766中国石油大学胜利学院4025*076767 4023湖北汽车工业学院4585*037200 4024湖北汽车工业学院科技学院4055*074486 4029湖北师范学院4535*040612 4092郧阳医学院4085*072816 4212河南理工大学4695*029415 4216河南师范大学4335*055423 4218华北水利水电学院4065*073597 4233新乡医学院4775*023287 4248郑州华信学院4331湖南科技大学潇湘学院4135*069276 4337湖南人文科技学院4455*046954 4352湖南中医药大学4755*024880 4359南华大学船山学院4365*053137 4414广东药学院4885*015176 4422广州医学院5105*001918 4429茂名学院4455*046442 4507广西工学院鹿山学院4035*076033 4517广西医科大学4635*033534 4528桂林医学院4225*063367 5022重庆交通大学4855*017099 5023重庆科技学院4635*033477 5031重庆医科大学5035*005232 5032重庆邮电大学4875*016199 5110成都医学院4975*009218 5112川北医学院4685*029889 5133四川师范大学文理学院4025*076616 5138四川音乐学院绵阳艺术学院5204贵阳医学院4935*012042 5205贵阳医学院神奇民族医药学院4175*066340 5209贵州财经学院商务学院4035*075881 5220遵义医学院4785*022590 5307昆明医学院5015*006512 5311西南林业大学4575*037709 6119西安工程大学4635*033172 6130西安理工大学4975*008780 6131西安理工大学高科学院4035*0759886217甘肃农业大学4335*055514 6302青海大学昆仑学院4425*048837 6406宁夏大学新华学院6409宁夏医科大学4595*036600 6507新疆农业大学4035*075692 6510新疆医科大学厚博学院4045*075022 6513新疆医科大学4565*038897。
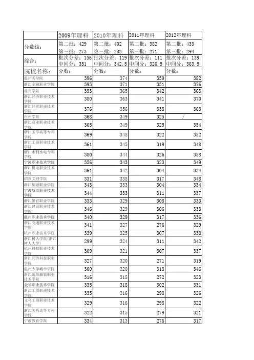
宁波职业技术学院浙江金融职业学院浙江机电职业技术学院金华职业技术学院温州职业技术学院浙江警官职业学院公安海警高等专科学校浙江水利水电专科学校浙江医药高等专科学校浙江医学高等专科学校温州职业技术学院浙江交通职业技术学院金华职业技术学院宁波城市职业技术学院浙江电力职业技术学院浙江同济科技职业学院浙江工商职业技术学院台州职业技术学院浙江工贸职业技术学院浙江机电职业技术学院浙江建设职业技术学院浙江艺术职业学院浙江经贸职业技术学院浙江商业职业技术学院浙江经济职业技术学院浙江旅游职业学院浙江警官职业学院浙江工业职业技术学院杭州职业技术学院嘉兴职业技术学院湖州职业技术学院衢州职业技术学院丽水职业技术学院义乌工商职业技术学院浙江纺织服装职业技术学院浙江邮电职业技术学院宁波天一职业技术学院台州科技职业学院浙江国际海运职业技术学院浙江体育职业技术学院温州科技职业学院浙江汽车职业技术学院绍兴托普信息职业技术学院嘉兴南洋职业技术学院浙江育英职业技术学院浙江横店影视职业学院杭州科技职业技术学院杭州万向职业技术学院浙江广厦建设职业技术学院浙江长征职业技术学院浙江东方职业技术学院我院2011年浙江省文理科分专业录取情况来源:招生就业处发布人:招生就业处时间:2012-03-24 人气:丽水职业技术学院2009-2012年普高文理科首次投档分数与名次2009-2012年普高文理科首次投档分数与名次2012年我院浙江普高文理科录取分专业分数表(文科)宁波教育学院绍兴职业技术学院2011年普高第三批分数线文科为275分,理科为271分。
我院文科录取最高分为368分、最低分为276分;理科录取最高分为323分、最低分为271分。
艺术类录取文化分分数线文科为192分,理科为175分。
三校生录取分数线为:计算机类260分,机械类315分,电子、电工类270分,外贸类368分,财会类312分,工艺美术类338分。
嘉兴职业技术学院近三年普高生录取最低分数线点击:4314 发布时间:2013-6-24 11:06:02表5:近3年普高生录取最低分数线序号专业名称2010年2011年2012年文科理科文科理科文科理科1 动物防疫与检疫338 311 319 2952 环境监测与治理技术337 311 319 272 333 3243 园林技术337 311 314 295 333 3244 应用英语337 313 320 311 333 3325 应用日语337 313 319 298 333 3316 食品药品监督管理337 311 332 295 333 3247 工程造价344 335 373 353 371 3568 商品花卉337 301 322 296 333 3259 现代纺织技术337 311 319 295 333 32510 机电一体化技术—311 —303 32911 电气自动化技术—311 —295 32412 应用电子技术—312 —29513 汽车运用技术—300 —27114 计算机应用技术按信息类招生文科337、理科311 323 298 335 33215 软件技术326 298 32416 通信技术319 297 32417 服装设337 312 321 299 342 32918 文秘344 —322 —33319 财务管理按管理类招生文科349、理科341327 333 353 34720 旅游管理按旅游类招生文科337、理科312 325 300 333 32421 酒店管理324 305 333 32622 国际贸易实务340 333 329 318 337 33823 报关与国际货运342 327 328 307 334 32624 畜牧兽医—319 276 333 32425 工业设计按设计类招生文科337、理科311319 299 334 324工商企业管理338 335 国际商务333 332 电子商务333 330 物流管理333 330 汽车技术服务与营销333 324衢州职业技术学院2010-2012年各专业录取分数线(浙江省)2011高46分,2012比省线高36分浙江东方职业技术学校2012年浙江省普高生各专业录取分数统计表2011年浙江省普高生各专业录取分数统计表浙江万向职业技术学校2012年我院录取分数线时间:2013-03-25 来源:交流合作处作者:交流合作处人气:8831三校生录取分数线2009-2011各专业录取分数线(理科)时间:2013-03-12 来源:教务处作者:教务处人气:20342009-2011各专业录取分数线(理科)浙江邮电职业技术学校2012年各专业录取分数(浙江)作者:来源:更新:2013-3-42012年录取分数(浙江)金融管理与实务 通信系统运行管理 工商企业管理344316324.9405300316.4359296307.6普高生 2011 年录取情况(浙江)理科 专业名称 通信技术 移动通信技术 软件技术(增值业务) 工程监理(通信工程) 电子设备与运行管理 计算机通信 图形图像制作文科 图形图像制作 市场营销 邮政金融与实务 通信系统运行管理 工商企业管理作者: 来源: 更新:2012-5-24分数线:271最高分最低分344277370285325271329273313272329272335277分数线:275331297249297355308371303333298平均分 290 300 283 290 282 284 289306 305 319 316 310浙江交通职业技术学校2012 年面向浙江省各专业招生及录取分数发布时间:2013-5-29查看:8853 次专业名称 道路桥梁工程技术(检测监理) 汽车技术服务与营销 市场营销 航海技术科类 文科 文科 文科 文科计划招生 45 45 45 10实际招生 45 50 45 11最高分 393 367 354 355最低分 343 336 336 336招生对象 普高毕业生 普高毕业生 普高毕业生 普高毕业生物联网应用技术文科20计算机信息管理 商务英语文科20文科20人力资源管理文科40物流管理文科35国际航运业务管理文科20交通运营管理(城市轨道与公交运管)文科40道路桥梁工程技术 道路桥梁工程技术(检测监理) 市政工程技术理科80理科40理科45铁道工程技术(城市轨道维护与管理)理科35钢结构建造技术(工程技术与管理)理科20汽车运用技术理科40汽车技术服务与营销理科40市场营销理科35航海技术理科20轮机工程技术理科20船舶工程技术(按船舶机械设计与安装、船体修造、船舶制造安全管理 3 个方向分理科25流)船机制造与维修 数控技术理科10理科40机电一体化技术理科40物联网应用技术理科35计算机信息管理 通信技术 商务英语理科20理科20理科20人力资源管理 物流管理理科45理科50国际航运业务管理理科20交通运营管理(城市轨道与公交运管)理科40汽车电子技术机械类20船舶工程技术(船舶机械设计与安装)机械类45机电一体化技术机械类90数控技术 机电设备维修与管理(港口机械)机械类45机械类45计算机网络技术计算机类90计算机信息管理计算机类45楼宇智能化工程技术计算机类45通信技术计算机类3021368336普高毕业生20366337普高毕业生22360344普高毕业生40378337普高毕业生40359336普高毕业生20356339普高毕业生47379338普高毕业生80381333普高毕业生40375331普高毕业生50368329普高毕业生35359330普高毕业生20347329普高毕业生41368332普高毕业生40356330普高毕业生35352332普高毕业生26364329普高毕业生21340329普高毕业生21349329普高毕业生9351329普高毕业生40357329普高毕业生40357331普高毕业生33368329普高毕业生20377331普高毕业生25350329普高毕业生20360338普高毕业生45358330普高毕业生51365331普高毕业生21353330普高毕业生40371329普高毕业生20592549中职毕业生45602536中职毕业生90577537中职毕业生45593553中职毕业生45573536中职毕业生90486430中职毕业生45506441中职毕业生45512426中职毕业生30473426中职毕业生旅游管理 旅游管理 钢结构建造技术(工程技术与管理) 汽车电子技术 楼宇智能化工程技术 通信技术 应用电子技术 市场营销 商务英语 市场营销 汽车整形技术文秘类30旅游服务类60建筑类40电子电工类25电子电工类45电子电工类60电子电工类45商业类45外贸类45外贸类45其它类:汽车4530535497中职毕业生60563463中职毕业生40554436中职毕业生25583515中职毕业生45598522中职毕业生60569514中职毕业生45570531中职毕业生45583519中职毕业生45583558中职毕业生45590555中职毕业生45626528中职毕业生浙江国际海运职业技术学校2012 年高职招生分数线(一)——浙江省计划理科文科单考单招专业最高 分航海技术358轮机工程技术391船舶工程技术341船机制造与维修 340船舶电气工程技术 327港口物流设备与自 动控制336物流管理341港口业务管理346商务英语329报关与国际货运 352食品工艺与检测 314计算机信息管理 315电脑艺术设计308国际航运业务管理 318旅理方游向英)语(旅行社管322旅游管理324休旅游闲)旅游(滨海休闲320国际邮轮乘务330最低 分与省划 定线比 较值303 +9294 0294 0294 0296 +2294 0308 +14 297 +3313 +19314 +20295 +1 300 +6 294 0 294 0295 +1294 0295 +1 315 +21与省划 最高分最低分 定线比较值368 314 +34 346 307 +27 335 282 +2 349 317 +37 313 287 +7 360 281 +1 322 286 +6 357 283 +3 348 282 +2 353 280 0 325 280 0 343 281 +1计划 录取财会 30 30商业 25 25财会 10 外贸 2510/24财会 10 外贸 2010/21计算机 55艺术美 55财会 10 10旅游 15 文秘 1015/10旅游 15 文秘 2015/20旅游 25 文秘 525/5旅游 5 5最高分471 490 436/552 498/560 377 430 466 480/417 458/431 476/517 454最低分404 432 405/51 424/53 334 382 403 419/39 430/40 421/40 436小计附件:391 294368 280235 235宁波城市学院宁波城市学院 2010-2012 年浙江省普高各专业录取分数线普高文理国际经济 与贸易 物流管理 报关与国 际货运 电子商务 工商企业管理 计算机应 用技术 计算机网 络技术 应用电子技术 楼宇智能 化工程技术 机电一体 化技术 (轨道交通设备管理)旅游管理 类会展策划 与管理 城市园林 园林技术 园艺技术 园林工程[发布日期:2013-07-12 ] 作者: 2010 年(首轮投档名次号 2011 年(首轮投档名次号 文科 12486 理科 25177) 文科 14448 理科 27001) 文科(第三 理科(第三 文科(第三 理科(第三 批 283 分) 批 283 分) 批 275 分) 批 271 分)361344340328356343330311353334336311353334330315——336317—333—311—————333—313—334—312—342—326353334330312353334331311——————275311353—2793112842833313112012 年(首轮投档名次号 文科 12588 理科 24788) 文科(第三 理科(第三 批 249 分) 批 294 分)346344341338341337342337350344—337—337—337—337—349341337——323298——————技术 建筑装饰 工程技术 建筑工程技术 会计 财政金融类 应用英语 应用法语 艺术设计 (中外合作) 投资与理 财(中外合作) 计算机应 用技术 (中澳合作) 会计(中 澳合作)普高艺术艺术设计(视觉传达 方向)艺术设计(环境艺术 设计方向)艺术设计(动漫设计 与制作方向)装饰艺术 设计多媒体设 计与制作353334—333365352——353334353334————————2010 年 艺文(文化 艺理(文化 线 205 分) 线 196 分)282275285281282275284280282275—311—311353336341323271262330311283283296290————2011 年 艺文(文化 艺理(文化 线 192 分) 线 175 分)2792722762662762643413373413373573523513463423373423382963102973142963103143202012 年 艺文(文化 艺理(文化 线 191 分) 线 187 分)2862882832772832772012 年录取分数一览表 台州科技职业学院发布日期:[2013-05-24] 来源:[ 暂无 ] 浏览:[ 2089]2012 年浙江文理科录取分数专业名称(全称)园艺技术 商品花卉 生化制药技术 园林工程技术 环境监测与治理技术 食品营养与检测 机械制造与自动化 数控技术 模具设计与制造 计算机辅助设计与制造 计算机应用技术 网络系统管理 应用电子技术 金融保险会计 市场开发与营销物流管理 商务英语 旅游管理 酒店管理文秘计划 45 25 0 22 17 43 8 16 30 20 15 14 0 21 39 39 19 24 50 40 29文科 最高分328 323/ 331 332 325 356 330 357 320 330 327/ 341 357 330 334 345 346 328 338最低分 304 305 / 304 308 304 313 309 304 304 310 305 / 309 329 304 309 311 305 305 304计划 55 25 44 22 27 47 34 71 57 24 29 30 45 22 45 47 25 20 40 50 15理科 最高分342 340 330 330 336 328 349 337 338 322 326 329 318 336 356 345 358 340 332 335 337最低分 308 308 307 307 308 307 314 308 307 308 311 308 308 313 328 311 309 315 308 308 310省文科第三批投档线为 249 ,我院投档线为 304 。