导数三角函数大题练习
- 格式:doc
- 大小:933.51 KB
- 文档页数:8
导数的计算练习题及答案1. 计算函数f(x) = 3x^2 - 4x + 2的导数f'(x)。
解答:根据函数f(x) = 3x^2 - 4x + 2,使用导数的定义来计算导数f'(x)。
f'(x) = lim(delta x -> 0) (f(x + delta x) - f(x)) / delta x代入函数f(x)的表达式:f'(x) = lim(delta x -> 0) [(3(x + delta x)^2 - 4(x + delta x) + 2) -(3x^2 - 4x + 2)] / delta x化简并展开:f'(x) = lim(delta x -> 0) [3(x^2 + 2x * delta x + (delta x)^2) - 4x - 4 * delta x + 2 - 3x^2 + 4x - 2] / delta xf'(x) = lim(delta x -> 0) [3x^2 + 6x * delta x + 3(delta x)^2 - 4x - 4* delta x + 2 - 3x^2 + 4x - 2] / delta xf'(x) = lim(delta x -> 0) [6x * delta x + 3(delta x)^2 - 4 * delta x] / delta xf'(x) = lim(delta x -> 0) [6x + 3 * delta x - 4]由于求导数时delta x趋近于0,所以delta x也可以看作一个无穷小量,其平方项可以忽略不计,即delta x^2 = 0。
化简结果:f'(x) = 6x - 4所以函数f(x) = 3x^2 - 4x + 2的导数f'(x)为6x - 4。
2. 计算函数g(x) = 2sin(x) + 3cos(x)的导数g'(x)。
三角函数、数列导数测试题及详解一、选择题:本大题共10小题,每小题5分,共50分,在每小题给出的四个选项中,只有一项是 符合题目要求的. 1.已知点A (-1,1),点B (2,y ),向量a=(l ,2),若//AB a ,则实数y 的值为 A .5B .6C .7D .82.已知等比数列123456{},40,20,n a a a a a a a ++=++=中则前9项之和等于 A .50B .70C .80D .903.2(sin cos )1y x x =+-是A .最小正周期为2π的偶函数B .最小正周期为2π的奇函数C .最小正周期为π的偶函数D .最小正周期为π的奇函数 4.在右图的表格中,如果每格填上一个数后,每一横行成等差数列,每一纵列成等比数列,那么x+y+z 的值为 A .1 B .2 C .3 D .4 5.已知各项均不为零的数列{}n a ,定义向量*1(,),(,1),n n n n c a a b n n n N +==+∈,下列命题中真命题是A .若*,//n n n N c b ∀∈总有成立,则数列{}n a 是等差数列 B .若*,//n n n N c b ∀∈总有成立,则数列{}n a 是等比数列 C .若*,n n n N c b ∀∈⊥总有成立,则数列{}n a 是等差数列 D .若*,n n n N c b ∀∈⊥总有成立,则数列{}n a 是等比数列6.若sin2x 、sinx 分别是sin θ与cos θ的等差中项和等比中项,则cos2x 的值为 A .1338+ B .1338C .1338± D .124-7.如图是函数sin()y x ωϕ=+的图象的一部分,A ,B 是图象上的一个最高点和一个最低点,O 为坐标原点,则OA OB ⋅的值为 A .12π B .2119π+C .2119π-D .2113π-8.已知函数()cos ((0,2))f x x x π=∈有两个不同的零点x 1,x 2,且方程()f x m =有两个不同的实根x3,x4.若把这四个数按从小到大排列构成等差数列,则实数m的值为A .12B.12-C.32D.—329.设函数f(x)=e x(sinx—cosx),若0≤x≤2012π,则函数f(x)的各极大值之和为A.1006(1)1e eeπππ--B.20122(1)1e eeπππ--C.10062(1)1e eeπππ--D.2012(1)1e eeπππ--10.设函数11()(),21xf x x Ax=++为坐标原点,A为函数()y f x=图象上横坐标为*()n n N∈的点,向量11,(1,0),nn k k n nka A A i a iθ-===∑向量设为向量与向量的夹角,满足15tan3nkkθ=<∑的最大整数n是A.2 B.3 C.4 D.5二、填空题:本大题共5小题,每小题5分,共25分.请将答案填在答题卡对应题号的位置上,题两空的题,其答案按先后次序填写,填错位置,书写不清,模棱两可均不得分.11.设1(sin cos)sin2,()3f fααα+=则的值为.12.已知曲线1*()()nf x x n N+=∈与直线1x=交于点P,若设曲线y=f(x)在点P处的切线与x轴交点的横坐标为201212012220122011,log log lognx x x x+++则的值为____.13.已知22sin sin,cos cos,33x y x y-=--=且x,y为锐角,则tan(x -y)= .14.如图放置的正方形ABCD,AB =1.A,D分别在x轴、y轴的正半轴(含原点)上滑动,则OC OB⋅的最大值是____.15.由下面四个图形中的点数分别给出了四个数列的前四项,将每个图形的层数增加可得到这四个数列的后继项,按图中多边形的边数依次称这些数列为“三角形数列”、“四边形数列”…,将构图边数增加到n可得到“n边形数列”,记它的第r项为P(n,r),则(1)使得P(3,r)>36的最小r的取值是;(2)试推导P(n,r)关于,n、r的解析式是____.三、解答题:本大题共6小题,共75分.解答应写出文字说明、证明过程或演算步骤.16.(本小题满分12分)已知2(2sin ,),(1,23sin cos 1)OA a x a OB x x ==-+,O 为坐标原点,0,a ≠设(),.f x OA OB b b a =⋅+>(I )若0a >,写出函数()y f x =的单调速增区间; (Ⅱ)若函数y=f (x )的定义域为[,2ππ],值域为[2,5],求实数a 与b 的值,17.(本小题满分12分)如图,某测量人员,为了测量西江北岸不能到达的两点A ,B 之间的距离,她在西江南岸找到一个点C ,从C 点可以观察到点A ,B ;找到一个点D,从D 点可以观察到点A ,C ;到一个点E ,从E 点可以观察到点B ,C ;并测量得到数据:∠ACD=90°,∠ADC= 60°,∠ACB =15°,∠BCE =105°,∠CEB =45°,DC=CE =1(百米). (I )求△CDE 的面积; (Ⅱ)求A ,B 之间的距离.18.(本小题满分12分)国家助学贷款是由财政贴息的信用贷款,旨在帮助高校家庭经济困难学生支付在校学习期间所需的学费、住宿费及生活费.每一年度申请总额不超过6000元.某大学2010届毕业生李顺在本科期间共申请了24000元助学贷款,并承诺在毕业后3年内(按36个月计)全部还清.签约的单位提供的工资标准为第一年内每月1500元,第13个月开始,每月工资比前一个月增加5%直到4000元.李顺同学计划前12个月每个月还款额为500元,第13个月开始,每月还款额比前一月多x 元.(I )若李顺恰好在第36个月(即毕业后三年)还清贷款,求x 的值;(II )当x=50时,李顺同学将在第几个月还清最后一笔贷款?他还清贷款的那一个月的工资余额是多少?(参考数据:1.0518 =2.406,1.0519=2.526,1.0520 =2.653,1.0521=2.786) 19.(本小题满分12分)已知函数()sin .f x x x =+ (I )当[0,],()x f x π∈时求的值域;(II )设2()()1,()1[0,)g x f x g x ax '=-≥++∞若在恒成立,求实数a 的取值范围.20.(本小题满分13分)已知211()(1),()10(1),{}2,()()()0,n n n n n f x x g x x a a a a g a f a +=-=-=-+=数列满足9(2)(1).10n n b n a =+- (I )求证:数列{a n ,-1)是等比数列;(Ⅱ)当n 取何值时,b n 取最大值,并求出最大值;(Ⅲ)若1*1m m m m t t m N b b ++<∈对任意恒成立,求实数t 的取值范围.21.(本小题满分14分)设曲线C :()ln ( 2.71828),()()f x x ex e f x f x '=-=表示导函数.(I )求函数f (x )的极值;(Ⅱ)数列{a n }满足111,2(3)n na e a f e a +'==+.求证:数列{a n }中不存在成等差数列的三项;(Ⅲ)对于曲线C 上的不同两点A (x 1,y 1),B (x 2,y 2),x 1<x 2,求证:存在唯一的012(,)x x x ∈,使直线AB 的斜率等于0().f x '参考答案一、选择题: 1.【考点分析】本题主要考查平面向量的运算和向量平行充要条件的基本运用.【参考答案】 C 【解题思路】AB →=(3,y -1),∵AB →∥a ,∴31=y -12,∴y =7.2. 【考点分析】本题主要考查等比数列的基本运算性质. 【参考答案】 B .【解题思路】3321654)(q a a a a a a ++=++,∴213=q ,3654987)(q a a a a a a ++=++=10,即9s =70.3.【考点分析】本题考查三角函数的性质和同角三角函数的基本关系式的运用,考查基本运算能力. 【参考答案】D【解题思路】2(sin cos )12sin cos sin 2y x x x x x =+-==,所以函数2(sin cos )1y x x =+-是最小正周期为π的奇函数。
导数的运算练习题在微积分学中,导数是非常重要的概念之一,它用于描述函数在某一点附近的变化率。
掌握导数的运算是学习微积分的基础,本文将为大家提供一些导数的运算练习题,帮助读者巩固掌握导数的计算方法。
1. 计算下列函数的导数:(1)f(x) = x^3 + 2x^2 - 5x + 1(2)g(x) = sin(x) - cos(x)(3)h(x) = e^x + ln(x)(4)i(x) = √(x^2 + 1)2. 计算下列函数的导数:(1)f(x) = 2x^3 - 3x^2 + 4x - 1(2)g(x) = cos(x) + sin(x) + tan(x)(3)h(x) = ln(x^2) - e^(2x)(4)i(x) = √x + 1/x3. 计算下列函数的导数:(1)f(x) = x^4 + 2x^3 - 3x^2 + 4x - 1(2)g(x) = sin(2x) - cos(2x)(3)h(x) = e^(x^2) + ln(x^3)(4)i(x) = ln(x) + e^x4. 计算下列函数的导数:(1)f(x) = x^5 + 2x^4 - 3x^3 + 4x^2 - 5x + 1(2)g(x) = sin(x)cos(x)(3)h(x) = ln(x) + e^x - x(4)i(x) = e^(2x) + ln(x^2)通过以上的练习题,读者可以熟悉导数的计算方法,掌握常用函数的导数运算规则。
在计算导数时,读者需要注意以下几点:1. 基本函数的导数规则:对于多项式函数,求导后,指数降低1,系数不变;对于三角函数,求导后,正弦变余弦,余弦变负正弦;对于指数函数,求导后,底数不变,指数变形式的导数。
2. 乘法法则:若函数为两个函数的乘积,则导数等于其中一个函数的导数乘以另一个函数,再加上另一个函数的导数乘以第一个函数。
3. 除法法则:若函数为两个函数的商,则导数等于分子函数的导数乘以分母函数,减去分母函数的导数乘以分子函数,再除以分母函数的平方。
1、(理)已知函数f (x )=⎩⎪⎨⎪⎧2x +1,x ≤0,f (x -3),x >0,则f (2012)等于( )A .-1B .1C .-3D .3[答案] A[解析] f (2012)=f (2009)=f (2006)=……=f (2)=f (-1)=2×(-1)+1=-1.2、(文)设函数f (x )=⎩⎪⎨⎪⎧21-x -1 (x <1)lg x (x ≥1),若f (x 0)>1,则x 0的取值范围是( )A .(-∞,0)∪(10,+∞)B .(-1,+∞)C .(-∞,-2)∪(-1,10)D .(0,10) [答案] A[解析] 由条件知,⎩⎪⎨⎪⎧ x 0<121-x 0-1>1或⎩⎨⎧x 0≥1lg x 0>1,∴x 0<0或x 0>10.3、函数f (x )=ln(4+3x -x 2)的单调递减区间是( ) A .(-∞,32]B .[32,+∞)C .(-1,32]D .[32,4)[答案] D[解析] 由4+3x -x 2>0得,函数f (x )的定义域是(-1,4),u (x )=-x 2+3x +4=-(x -32)2+254的减区间为[32,4),∵e >1,∴函数f (x )的单调减区间为[32,4).4、如果函数f (x )=ax 2+2x -3在区间(-∞,4)上单调递增,则实数a 的取值范围是________.[答案] [-14,0][解析] (1)当a =0时,f (x )=2x -3,在定义域R 上单调递增,故在(-∞,4)上单调递增;(2)当a ≠0时,二次函数f (x )的对称轴为直线x =-1a ,因为f (x )在(-∞,4)上单调递增,所以a <0,且-1a ≥4,解得-14≤a <0.综上所述-14≤a ≤0.5、(文)若函数f (x )=-x 2+2ax 与g (x )=ax +1在区间[1,2]上都是减函数,则a 的取值范围是________.[答案] (0,1][解析] 由f (x )=-x 2+2ax 得函数对称轴为x =a , 又在区间[1,2]上是减函数,所以a ≤1, 又g (x )=ax +1在[1,2]上减函数,所以a >0, 综上a 的取值范围为(0,1].6、(理)下列函数中既是奇函数,又在区间[-1,1]上单调递减的是( )A .f (x )=sin xB .f (x )=-|x +1|C .f (x )=12(a x+a -x )D .f (x )=ln 2-x2+x[答案] D[解析] y =sin x 与y =ln 2-x 2+x 为奇函数,而y =12(a x +a -x)为偶函数,y =-|x +1|是非奇非偶函数.y =sin x 在[-1,1]上为增函数.故选D.7、(2010·山东)设f (x )为定义在R 上的奇函数,当x ≥0时,f (x )=2x +2x +b (b 为常数),则f (-1)=( )A .3B .1C .-1D .-3[答案] D[解析] 由条件知f (0)=0,∴b =-1, ∴f (-1)=-f (1)=-(21+2×1-1)=-3.8、(2010·深圳中学)已知函数y =f (x )是偶函数,y =g (x )是奇函数,它们的定义域都是[-π,π],且它们在x ∈[0,π]上的图象如图所示,则不等式f (x )g (x )<0的解集是________.[答案] ⎝ ⎛⎭⎪⎫-π3,0∪⎝ ⎛⎭⎪⎫π3,π[解析] 依据偶函数的图象关于y 轴对称,奇函数的图象关于原点对称,先补全f (x )、g (x )的图象,∵f (x )g (x )<0,∴⎩⎨⎧ f (x )<0g (x )>0,或⎩⎨⎧f (x )>0g (x )<0,观察两函数的图象,其中一个在x 轴上方,一个在x 轴下方的,即满足要求,∴-π3<x <0或π3<x <π.9、(理)(2010·北京崇文区)设a =⎝ ⎛⎭⎪⎫120.5,b =0.30.5,c =log 0.30.2,则a 、b 、c 的大小关系是( )A .a >b >cB .a <b <cC .b <a <cD .a <c <b[答案] C[解析] y =x 0.5在(0,+∞)上是增函数,1>12>0.3,∴1>a >b ,又y =log 0.3x 在(0,+∞)上为减函数, ∴log 0.30.2>log 0.30.3=1,即c >1,∴b <a <c .10、(文)已知函数f (x )=⎩⎪⎨⎪⎧log 2x (x >0)2x (x ≤0),若f (a )=12,则实数a=( )A .-1 B. 2 C .-1或 2 D .1或- 2[答案] C[解析] 当a >0时,log 2a =12,∴a =2;当a <0时,2a=12,∴a=-1,选C.11、(文)若关于x 的方程4x +(1-a )·2x +4=0有实数解,则实数a 的取值范围是( )A.(-∞,5] B.[5,+∞) C.[4,+∞) D.(-5,5] [答案] B[解析]a-1=2x+42x≥22x·42x=4等号在2x=42x,即x=1时成立,∴a≥5.12、(理)(2011·重庆文,6)设a=log1312,b=log1323,c=log343,则a、b、c的大小关系是()A.a<b<c B.c<b<a C.b<a<c D.b<c<a [答案] B[解析]∵a=log1312,b=log1323,∵log13x单调递减而12<23∴a>b且a>0,b>0,又c<0.故c<b<a. 13、(文)函数f(x)=|log12x|的图象是()[答案] A[解析]f(x)=|log12x|=|log2x|=⎩⎪⎨⎪⎧log 2x (x ≥1)-log 2x (0<x <1),故选A. 14、(2011·四川文,4)函数y =(12)x +1的图象关于直线y =x 对称的图象大致是( )[答案] A [解析]解法一:作y =(12)x 的图象,然后向上平移1个单位,得y =(12)x+1的图象,再把图象关于y =x 对称即可.15、函数y =log 12(x 2-5x +6)的单调增区间为( )A .(52,+∞)B .(3,+∞)C .(-∞,52)D .(-∞,2)[答案] D[解析] 由x 2-5x +6>0得x >3或x <2,由s =x 2-5x +6=(x -52)2-14知s =x 2-5x +6在区间(3,+∞)上是增函数,在区间(-∞,2)上是减函数,因此函数y =log 12(x 2-5x +6)的单调增区间是(-∞,2),选D.16、设正数x 、y 满足log 2(x +y +3)=log 2x +log 2y ,则x +y 的取值范围是( )A .(0,6]B .[6,+∞)C .[1+7,+∞)D .(0,1+7][答案] B[解析] ∵log 2(x +y +3)=log 2x +log 2y =log 2(xy ), ∴x +y +3=xy .由x 、y ∈R +知xy ≤(x +y 2)2,∴x +y +3≤(x +y 2)2.令x +y =A ,∴A +3≤A 24,∴A ≥6或A ≤-2(舍去),故选B.17、(理)函数y =x 35在[-1,1]上是( ) A .增函数且是奇函数 B .增函数且是偶函数 C .减函数且是奇函数 D .减函数且是偶函数[答案] A[解析] ∵35的分子分母都是奇数,∴f (-x )=(-x ) 35=-x 35=-f (x ),∴f (x )为奇函数,又35>0,∴f (x )在第一象限内是增函数,又f (x )为奇函数,∴f (x )在[-1,1]上是增函数.18、(理)若幂函数f (x )的图象经过点A ⎝ ⎛⎭⎪⎫14,12,则它在A 点处的切线方程为________.[答案] 4x -4y +1=0[解析] 设f (x )=x α,∵f (x )图象过点A ,∴⎝ ⎛⎭⎪⎫14α=12,∴α=12.∴f (x )=x12,∴f ′(x )=12x,∴f ′⎝ ⎛⎭⎪⎫14=1,故切线方程为y -12=1×⎝ ⎛⎭⎪⎫x -14, 即4x -4y +1=0.19、(2011·汕头一检)若方程x 2-2mx +4=0的两根满足一根大于1,一根小于1,则m 的取值范围是( )A .(-∞,-52)B .(52,+∞)C .(-∞,-2)∪(2,+∞)D .(-52,+∞)[答案] B[解析] 设f (x )=x 2-2mx +4,则题设条件等价于f (1)<0,即1-2m +4<0⇒m >52,故选B.20、(理)若方程2ax 2-x -1=0在(0,1)内恰有一解,则a 的取值范围为( )A .a <-1B .a >1C .-1<a <1D .0≤a <1[答案] B[解析] 令f (x )=2ax 2-x -1,当a =0时显然不适合题意. ∵f (0)=-1<0 f (1)=2a -2∴由f (1)>0得a >1,又当f (1)=0,即a =1时,2x 2-x -1=0两根x 1=1,x 2=-12不合题意,故选B.21、(理)(2010·吉林市质检)函数f (x )=⎝ ⎛⎭⎪⎫12x -sin x 在区间[0,2π]上的零点个数为( )A .1个B .2个C .3个D .4个[答案] B[解析] 在同一坐标系中作出函数y =⎝ ⎛⎭⎪⎫12x与y =sin x 的图象,易知两函数图象在[0,2π]内有两个交点.22、(文)(2011·舟山月考)函数f (x )=⎩⎪⎨⎪⎧ln x +2x -6 (x >0)-x (x +1) (x ≤0)的零点个数是( )A .0B .1C .2D .3[答案] D[解析] 令-x (x +1)=0得x =0或-1,满足x ≤0; 当x >0时,∵ln x 与2x -6都是增函数, ∴f (x )=ln x +2x -6(x >0)为增函数, ∵f (1)=-4<0,f (3)=ln3>0,∴f (x )在(0,+∞)上有且仅有一个零点, 故f (x )共有3个零点.23、(2010·宁夏石嘴山一模)函数y =2x 3-3x 2-12x +5在[0,3]上的最大值,最小值分别是()A.5,-15 B.5,-4C.-4,-15 D.5,-16[答案] A[解析]∵y′=6x2-6x-12=0,得x=-1(舍去)或x=2,故函数y=f(x)=2x3-3x2-12x+5在[0,3]上的最值可能是x取0,2,3时的函数值,而f(0)=5,f(2)=-15,f(3)=-4,故最大值为5,最小值为-15,故选A.24、若a>2,则函数f(x)=13x3-ax2+1在区间(0,2)上恰好有() A.0个零点B.1个零点C.2个零点D.3个零点[答案] B[解析]f′(x)=x2-2ax=x(x-2a)=0⇒x1=0,x2=2a>4.易知f(x)在(0,2)上为减函数,且f(0)=1>0,f(2)=113-4a<0,由零点判定定理知,函数f(x)=13x3-ax2+1在区间(0,2)上恰好有一个零点.25、(2011·北京模拟)若函数f(x)=ln x-12ax2-2x存在单调递减区间,则实数a的取值范围是________.[答案][-1,+∞)[分析]函数f(x)存在单调减区间,就是不等式f′(x)<0有实数解,考虑到函数的定义域为(0,+∞),所以本题就是求f′(x)<0在(0,+∞)上有实数解时a的取值范围.[解析]解法1:f′(x)=1x-ax-2=1-ax2-2xx,由题意知f ′(x )<0有实数解,∵x >0,∴ax 2+2x -1>0有实数解.当a ≥0时,显然满足;当a <0时,只要Δ=4+4a >0,∴-1<a <0,综上知a >-1.解法2:f ′(x )=1x -ax -2=1-ax 2-2x x , 由题意可知f ′(x )<0在(0,+∞)内有实数解. 即1-ax 2-2x <0在(0,+∞)内有实数解. 即a >1x2-2x 在(0,+∞)内有实数解.∵x ∈(0,+∞)时,1x 2-2x =(1x -1)2-1≥-1,∴a >-1.26、(文)如图,过函数y =x sin x +cos x 图象上点(x ,y )的切线的斜率为k ,若k =g (x ),则函数k =g (x )的图象大致为()[答案] A[解析] ∵y ′=sin x +x cos x -sin x =x cos x , ∴k =g (x )=x cos x ,易知其图象为A.27、(2011·汕头模拟)设f (x )=⎩⎪⎨⎪⎧x 2 x ∈[0,1]2-x x ∈(1,2],则⎠⎛02f (x )d x 等于( )A.34B.45C.56 D .不存在[答案] C[解析] ⎠⎛02f (x )d x =⎠⎛01x 2d x +⎠⎛12(2-x )d x=13x 3|10+⎪⎪⎪⎝ ⎛⎭⎪⎫2x -12x 221=56. 28、(2010·德州阶段检测) ⎠⎜⎜⎛-π2π2 (sin x +cos x )d x 的值是( )A .0 B.π4 C .2 D .4[答案] C[解析]⎠⎜⎜⎛-π2π2 (sin x +cos x )d x =(-cos x +sin x )|⎪⎪⎪⎪π2-π2=2.29、(2011·武汉调研)若cos α=35,-π2<α<0,则tan α=( )A.43B.34 C .-43 D .-34 [答案] C[解析] 依题意得,sin α=-45,tan α=sin αcos α=-43,选C.30、(文)(2010·四川文)将函数y =sin x 的图象上所有的点向右平行移动π10个单位长度,再把所得各点的横坐标伸长到原来的2倍(纵坐标不变),所得图象的函数解析式是( )A .y =sin ⎝ ⎛⎭⎪⎫2x -π10 B .y =sin ⎝ ⎛⎭⎪⎫2x -π5C .y =sin ⎝ ⎛⎭⎪⎫12x -π10D .y =sin ⎝ ⎛⎭⎪⎫12x -π20 [答案] C[解析] ∵向右平移π10个单位,∴用x -π10代替y =sin x 中的x ;∵各点横坐标伸长到原来的2倍,∴用12x 代替y =sin ⎝ ⎛⎭⎪⎫x -π10中的x ,∴得y =sin ⎝ ⎛⎭⎪⎫12x -π10. 31、(理)(2011·吉林一中月考)函数y =sin(ωx +φ)(x ∈R ,ω>0,0≤φ<2π)的部分图象如图,则( )A .ω=π2,φ=π4B .ω=π3,φ=π6C .ω=π4,φ=π4D .ω=π4,φ=5π4[答案] C[解析] ∵T4=3-1=2,∴T =8,∴ω=2πT =π4.令π4×1+φ=π2,得φ=π4,∴选C. 32.在△ABC 中,若cos A =45,cos B =513,则cos C 的值是( )A.1665B.5665C.1665或5665 D .-1665 [答案] A[解析] 在△ABC 中,0<A <π,0<B <π,cos A =45,cos B =513,∴sin A =35,sin B =1213,所以cos C =cos[π-(A +B )]=-cos(A +B ) =sin A ·sin B -cos A ·cos B =35×1213-45×513=1665,故选A. 33、(文)(2010·北京东城区)在△ABC 中,如果sin A =3sin C ,B =30°,那么角A 等于( )A .30°B .45°C .60°D .120° [答案] D[解析] ∵△ABC 中,B =30°,∴C =150°-A , ∴sin A =3sin(150°-A )=32cos A +32sin A ,∴tan A =-3,∴A =120°.34、(理)已知tan α=-2,则14sin 2α+25cos 2α的值是( )A.257B.725 C.1625 D.925 [答案] B[解析] 14sin 2α+25cos 2α=14sin 2α+25cos 2αsin 2α+cos 2α=14tan 2α+25tan 2α+1=725. 35、已知cos(α-β)=35,sin β=-513,且α∈⎝ ⎛⎭⎪⎫0,π2,β∈⎝ ⎛⎭⎪⎫-π2,0,则sin α=( )A.3365B.6365 C .-3365 D .- 6365[答案] A[解析]∵⎩⎪⎨⎪⎧0<α<π2-π2<β<0,∴0<α-β<π,又cos(α-β)=35,∴sin(α-β)=1-cos 2(α-β)=45;∵-π2<β<0,且sin β=-513,∴cos β=1213.从而sin α=sin[(α-β)+β]=sin(α-β)cos β+cos(α-β)sin β=3365.36、(2011·重庆理,6)若△ABC 的内角A 、B 、C 所对的边a 、b 、c 满足(a +b )2-c 2=4,且C =60°,则ab 的值为( )A.43B .8-4 3C .1 D.23[答案] A[解析] 在△ABC 中,C =60°, ∴a 2+b 2-c 2=2ab cos C =ab ,∴(a +b )2-c 2=a 2+b 2-c 2+2ab =3ab =4, ∴ab =43,选A.37、(2011·深圳二调)在△ABC 中,已知a ,b ,c 分别为∠A ,∠B ,∠C 所对的边,且a =4,b =43,∠A =30°,则∠B 等于( )A .30°B .30°或150°C .60°D .60°或120°[答案] D[解析] 由正弦定理得a sin A =bsin B ,所以4sin30°=43sin B ,sin B =32.又0°<B <180°,因此有B =60°或B =120°,选D.6.(文)(2010·天津理)在△ABC 中,内角A ,B ,C 的对边分别是a ,b ,c ,若a 2-b 2=3bc ,sin C =23sin B ,则A =( )A .30°B .60°C .120°D .150°[答案] A[解析] 由余弦定理得:cos A =b 2+c 2-a 22bc ,由题知b 2-a 2=-3bc ,c 2=23bc ,则cos A =32, 又A ∈(0°,180°),∴A =30°,故选A.38、2011·皖南八校第二次联考)已知向量a =(3,4),b =(2,-1),如果向量a +λb 与b 垂直,则λ的值为( )A.52 B .-52C.25 D .-25 [答案] D[解析] ∵a =(3,4),b =(2,-1),∴a +λb =(3+2λ,4-λ),故2(3+2λ)-(4-λ)=0,∴λ=-25,故选D.39、(2011·宁波十校联考)已知平面向量a =(1,2),b =(-2,m ),且a ∥b ,则2a +3b =( )A .(-2,-4)B .(-3,-6)C .(-4,-8)D .(-5,-10) [答案] C[解析] 由a =(1,2),b =(-2,m ),且a ∥b ,得1×m =2×(-2)⇒m =-4,从而b =(-2,-4),那么2a +3b =2×(1,2)+3×(-2,-4)=(-4,-8).40、已知△ABC 中,AB →=a ,AC →=b ,a ·b <0,S △ABC =154,|a |=3,|b |=5,则∠BAC 等于( )A .30°B .120°C .150°D .30°或150° [答案] C[解析] S △ABC =12|a ||b |sin ∠BAC =154,∴sin ∠BAC =12.又a ·b <0,∴∠BAC 为钝角,∴∠BAC =150°,选C.41、(2011·唐山联考)已知c 、d 为非零向量,且c =a +b ,d =a -b ,则|a |=|b |是c ⊥d 的( )A .充分不必要条件B .必要不充分条件C .充要条件D .既不充分也不必要条件 [答案] C[解析] 因为c ,d 为非零向量,所以c ⊥d ⇔c ·d =0⇔a 2-b 2=0⇔|a |2-|b |2=0⇔|a |=|b |.因此,|a |=|b |是c ⊥d 的充要条件,选C.42、(2011·河南质量调研)直线ax +by +c =0与圆x 2+y 2=9相交于两点M 、N ,若c 2=a 2+b 2,则OM →·ON →(O 为坐标原点)等于( )A .-7B .-14C .7D .14 [答案] A[解析] 记OM →、ON →的夹角为2θ.依题意得,圆心(0,0)到直线ax +by +c =0的距离等于|c |a 2+b 2=1,∴cos θ=13,∴cos2θ=2cos 2θ-1=2×(13)2-1=-79,∴OM →·ON →=3×3cos2θ=-7,选A.。
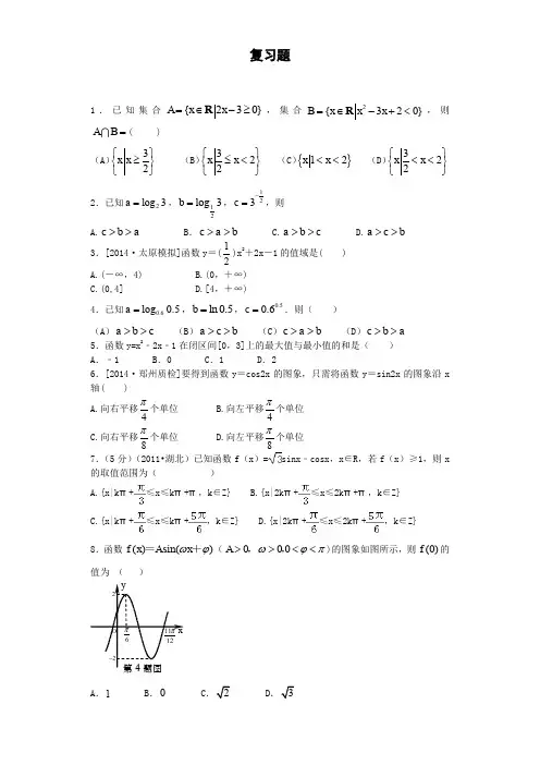
复习题1.已知集合{230}A x x =∈-≥R ,集合2{320}B x x x =∈-+<R ,则A B =( )(A )32x x ⎧⎫≥⎨⎬⎩⎭ (B )322x x ⎧⎫≤<⎨⎬⎩⎭ (C ){}12x x << (D )322x x ⎧⎫<<⎨⎬⎩⎭2.已知2log 3a =,12log 3b =,123c -=,则A.c b a >> B .c a b >> C.a b c >> D.a c b >> 3.[2014·太原模拟]函数y =(12)x 2+2x -1的值域是( ) A.(-∞,4) B.(0,+∞) C.(0,4] D.[4,+∞)4.已知0.6log 0.5a =,ln0.5b =,0.50.6c =.则( )(A )>>a b c (B )>>a c b (C )>>c a b (D )>>c b a5.函数y=x 2﹣2x ﹣1在闭区间[0,3]上的最大值与最小值的和是( ) A .﹣1 B .0 C .1 D .26.[2014·郑州质检]要得到函数y =cos2x 的图象,只需将函数y =sin2x 的图象沿x 轴( )A.向右平移4π个单位 B.向左平移4π个单位 C.向右平移8π个单位 D.向左平移8π个单位7.(5分)(2011•湖北)已知函数f (x )=sinx ﹣cosx ,x ∈R ,若f (x )≥1,则x的取值范围为( ) A.{x|k π+≤x≤k π+π,k ∈Z} B.{x|2k π+≤x≤2k π+π,k ∈Z} C.{x|k π+≤x≤k π+,k ∈Z} D.{x|2k π+≤x≤2k π+,k ∈Z}8.函数()si ()n f x A x ωϕ=+(000A ωϕπ>><<,,)的图象如图所示,则(0)f 的值为 ( )A .1B .0C D9.已知函数)sin()(ϕω+=x A x f ),0,0(πϕπω<<->>A 的部分图象如图所示,则函数)(x f 的解析式为( )A .)421sin(2)(π+=x x fB .)4321sin(2)(π+=x x fC .)421sin(2)(π-=x x fD .)4321sin(2)(π-=x x f10.已知函数)2||,0,0)(sin()(πϕωϕω<>>+=A x A x f ,其导函数)(x f '的部分图象如图所示,则函数)(x f 的解析式为( )A .)421sin(2)(π+=x x fB .)421sin(4)(π+=x x fC .)421sin(2)(π-=x x fD .)421sin(4)(π-=x x f11.函数f(x)=Asin(ωx +φ)(A >0,ω>0)的图象如图所示.为了得到g(x)=-Acosωx(A >0,ω>0)的图象,可以将f(x)的图象( )A .向右平移12π个单位长度B .向右平移512π个单位长度 C .向左平移12π个单位长度 D .向左平移512π个单位长度12.若1tan()47πα+=,则tan α=( )(A )34 (B )43 (C )34- (D )43-13.已知函数x x f ωcos )(=)0,(>∈ωR x 的最小正周期为π,为了得到函数()=x g)4sin(πω+x 的图象,只要将()x f y =的图象( )A .向左平移8π个单位长度 B .向右平移8π个单位长度 C .向左平移4π个单位长度 D .向右平移4π个单位长度14.函数y =cos 2x 在下列哪个区间上是减函数( ) A.-4,4ππ⎤⎡⎥⎢⎣⎦, B.344ππ⎡⎤⎢⎥⎣⎦, C.02π⎡⎤⎢⎥⎣⎦, D.[,]2ππ15.为了得到sin 2y x =的图象,只需将sin(2)3y x π=+的图象 ( )A .向右平移3π个长度单位B .向右平移6π个长度单位C .向左平移6π个长度单位 D .向左平移3π个长度单位16.已知1sin(),(0,)22ππαα+=-∈,则cos α的值为 .17.设角α是第三象限角,且sin2α=-sin2α,则角2α是第________象限角. 18.若 tan α=3,则 sin 2α-2 sin αcos α+3 cos 2α=______. 19.若sin 3πα⎛⎫- ⎪⎝⎭=35,则cos 6πα⎛⎫+ ⎪⎝⎭=________.20.已知0<x<π,sinx +cosx =15. (1)求sinx -cosx 的值;(2)求tanx 的值.21.已知函数().1cos 2cos sin 322-+=x x x x f(I)求函数()x f 的单调增区间; (II)当⎥⎦⎤⎢⎣⎡∈2,0πx 时,求函数()x f 的最大值及相应的x 值.参考答案1.B 【解析】试题分析:3{230}[,).2A x x =∈-≥=+∞R 2{320}(1,2).B x x x =∈-+<=R 所以A B =322x x ⎧⎫≤<⎨⎬⎩⎭.考点:集合运算 2.D 【解析】试题分析:由对数函数的性质知1a >,0b <,由幂函数的性质知01c <<,故有a c b >>. 考点:对数、幂的比较大小 3.C【解析】设t =x 2+2x -1,则y =(12)t. 因为t =(x +1)2-2≥-2,y =(12)t为关于t 的减函数, 所以0<y =(12)t ≤(12)-2=4, 故所求函数的值域为(0,4].4.(B ) 【解析】 试题分析:由0.60.6log 0.5>log 0.6=1,1a >.ln 0.5ln10,0b <=<.0.5000.60.61,01c <<=∴<<.可得a c b >>.故选(B )考点:1.对数函数的性质.2.指数函数的性质.3.数的大小比较. 5.B【解析】∵y=x 2﹣2x ﹣1=(x ﹣1)2﹣2 ∴当x=1时,函数取最小值﹣2, 当x=3时,函数取最大值2 ∴最大值与最小值的和为0 故选B 6.B【解析】∵y =cos2x =sin(2x +2π),∴只需将函数y =sin2x 的图象沿x 轴向4π个单位,即得y =sin2(x +4π)=cos2x 的图象,故选B. 7.B 【解析】试题分析:利用两角差的正弦函数化简函数f (x )=sinx ﹣cosx ,为一个角的一个三角函数的形式,根据f (x )≥1,求出x 的范围即可.解:函数f (x )=sinx ﹣cosx=2sin (x ﹣),因为f (x )≥1,所以2sin (x ﹣)≥1,所以,所以f (x )≥1,则x 的取值范围为:{x|2k π+≤x≤2k π+π,k ∈Z}故选B点评:本题是基础题考查三角函数的化简,三角函数不等式的解法,考查计算能力,常考题型. 8.A 【解析】试题分析:由已知,4112,(),2,3126A T πππω==⨯-==,所以()2sin 2()f x x ϕ=+, 将(),26π代人得,()2,s 2si in(6)1n 23ππϕϕ==⨯++,所以,,326πππϕϕ==+, ()2sin 2(0)2sin 2(),(01662s n 6)i f x x f πππ⨯===+=+,故选A .考点:正弦型函数,三角函数求值.9.B 【解析】试题分析:由图象可知函数的最大值为2,最小值为-2,所以2A =; 由图象可知函数的周期324,22T πππ⎛⎫⎛⎫=⨯--= ⎪⎪⎝⎭⎝⎭所以221=42T ππωπ== 所以,13-+==2224πππϕϕ⎛⎫⨯∴ ⎪⎝⎭, 所以函数的解析式为:)4321sin(2)(π+=x x f 故答案选B.考点:三角函数的图象与性质. 10.B 【解析】试题分析:因为()()sin f x A x ωϕ=+,所以 ()()cos f x A x ωωϕ'=+由()f x ' 图象知32,4222T T ππππ⎛⎫=--=∴= ⎪⎝⎭,22142T ππωπ=== 2A ω=,4A ∴=10224ππϕϕ⎛⎫⨯-+=⇒= ⎪⎝⎭ ()14sin 24f x x π⎛⎫∴=+ ⎪⎝⎭故选B.考点:1、导数的求法;2、三角函数的图象与性质. 11.B【解析】由图象知,f(x)=sin 23x π⎛⎫+⎪⎝⎭,g(x)=-cos 2x ,代入B 选项得sin 52123x ππ⎡⎤⎛⎫-+ ⎪⎢⎥⎝⎭⎣⎦=sin 22x π⎛⎫- ⎪⎝⎭=-sin 22x π⎛⎫- ⎪⎝⎭=-cos 2x . 12.(C ) 【解析】试题分析:由1tan()47πα+=所以tan 113,tan 1tan 74ααα+=∴=--.故选(C ). 考点:1.角的和差公式.2.解方程的思想.13.B 【解析】试题分析:由于函数x x f ωcos )(=)0,(>∈ωR x 的最小正周期为π,所以2ω=.所以函数()cos 2f x x = sin(2)2x π=+.所以将函数()x f y =向右平移8π即可得到()sin(2)4g x x π=+.故选B.考点:1.函数的平移.2.函数的诱导公式. 14.C 【解析】试题分析:A :当[,]44x ππ∈-时,2[,]22x ππ∈-,不是减函数;B :当3[,]44x ππ∈时,32[,]22x ππ∈,不是减函数;C :当[0,]2x π∈时,2[0,]x π∈,是减函数;D :当[,]2x ππ∈时,2[,2]x ππ∈,不是减函数,故选C.考点:三角函数单调性判断.15.B 【解析】试题分析:sin(2)3y x π=+sin 2()6x π=+,所以向右平移6π个长度单位即可. 考点:三角函数的平移变换. 16.23 【解析】试题分析:1s i n ()s i n 2παα+=-=-,即1sin 2α=,又(0,)2πα∈,故c o s i α==.考点:诱导公式,同角三角函数的基本关系式. 17.四【解析】由α是第三象限角,知2k π+π<α<2k π+32π (k ∈Z),k π+2π<2α<k π+34π(k ∈Z),知2α是第二或第四象限角,再由sin 2α=-sin 2α知sin 2α<0,所以2α只能是第四象限角. 18.35【解析】sin 2α-2 sin αcos α+3 cos 2α=2222sin 2sin cos 3cos sin cos αααααα-++ =22tan 2tan 3tan 1ααα-++=12610-=35. 19.-35【解析】cos 6πα⎛⎫+⎪⎝⎭=cos 32ππα⎡⎤⎛⎫-+ ⎪⎢⎥⎝⎭⎣⎦=-sin 3πα⎛⎫- ⎪⎝⎭=-35. 20.(1)75(2)-43【解析】(1)∵sinx +cosx =15,∴1+2sinxcosx =125, ∴2sinxcosx =-2425,又∵0<x<π,∴sinx>0,2sinxcosx =-2425<0,∴cosx<0,∴sinx -cosx>0,∴sinx -cosx 75=.(2)111717sinx cosx tanx sinx cosx tanx ++=,=--,tanx =-43.21.(I) ()x f 的单调递增区间为()Z k k k ∈⎥⎦⎤⎢⎣⎡+-6.3ππππ(II)6π=x 时. ()x f 取最大值,最大值为2.【解析】试题分析:(I)()1cos 2cos sin 322-+=x x x x f x x 2cos 2sin 3+=⎪⎭⎫ ⎝⎛+=62sin 2πx令()Z k k x k ∈+≤+≤-226222πππππ得()Z k k x k ∈+≤≤-63ππππ∴()x f 的单调递增区间为()Z k k k ∈⎥⎦⎤⎢⎣⎡+-6.3ππππ (II)由⎥⎦⎤⎢⎣⎡∈2,0πx 可得67626πππ≤+≤x 所以当,262ππ=+x 即6π=x 时. ()x f 取最大值,最大值为2.考点:本题主要考查三角函数的和差倍半公式,三角函数的图象和性质。
高三数学 函数及导数应用、数列、三角函数测试题本试卷分第Ⅰ卷(选择题)和第Ⅱ卷(非选择题)两部分.满分150分,考试时间120分钟.第Ⅰ卷(选择题 共60分)一、选择题:(本大题共12小题,每小题5分,满分60分.)1.设0<θ<π,θθsin cos 331i ii+=++,则θ 的值为( ) A .32π B .2π C .3π D .6π 2.条件:11p x +>,条件131:>-xq ,则q⌝是p ⌝的 A .充分不必要条件 B .必要不充分条件C .充要条件D .既不充分又不必要条件3.若不等式222424ax ax x x +-<+对于任意实数x 均成立,则实数a 的取值范围是 .A (2,2)- .B (2,2]- .C (,2)[2,)-∞-+∞ .D (,2)-∞- 4.已知||3=a ,||4=b ,2=+p a b ,=-q a b 且17=-⋅p q ,则a 与b 的夹角为.A 60 .B 90 .C 30 .D5. 已知x a a a xlog 10=<<,则方程的实根个数是A 、1个B 、2个C 、3个D 、1个或2个或3个6.函数f (x )= ⎩⎨⎧≥+≤-.1),1(log ,11|,)cos(|22x x x <x π 若2)1()(=+f m f ,则m 的所有可能值为A.1,-1 B . 1,0,-1 C .-,2222 D. 1, -,2222 7.已知O 是ABC △所在平面内一点,D 为BC 边中点,且2OA OB OC ++=0,那么( ) A.AO OD = B.2AO OD =C.3AO OD =D.2AO OD =8.如果2πlog |3π|log 2121≥-x ,那么x sin 的取值范围是 ( )A .21[-,]21B .21[-,]1C .21[-,21()21 ,]1 D .21[-,23()23 ,]1 9.在等差数列}{n a 中,,0,01312><a a 且1213a a >,若}{n a 的前n 项和0<n S ,则n 的最大值为( ) A .17B .18C .20D .2310. 曲线y=x sin x 在点)2,2(ππ-处的切线与x 轴、直线x =π所围成的三角形的面积为( )A.22π B. 2π C. 22π D. 2)2(21π+11.设函数θ≤=0,)(3若x x f <4π时,)1()tan (m f m f -+⋅θ >0恒成立,则实数m 的取值范围是( )A.(0,1)B.(∞-,0)C.(∞-,1)D.(∞-,21) 12. 如图,半径为2的⊙O 切直线MN 于点P ,射线PK 从PN 出发,绕P 点逆时针旋转到PM ,旋转过程中PK 交⊙O 于点Q ,若∠POQ 为x ,弓形PmQ 的面积为S=f(x),那么f(x)的图象大致是:( )二、填空题:(本大题共4小题,每小题4分,共16分)ABCON Q mKMP13.22132lim 1x x x x →-++-的值等于__________________.14.函数π()3sin 23f x x ⎛⎫=- ⎪⎝⎭的图象为C ,如下结论中正确的是______(写出所有正确结论的编号..). ①图象C 关于直线11π12x =对称; ②图象C 关于点2π03⎛⎫⎪⎝⎭,对称; ③函数()f x 在区间π5π1212⎛⎫-⎪⎝⎭,内是增函数; ④由3sin 2y x =的图角向右平移π3个单位长度可以得到图象C . 15.设10<<a ,函数)22(log )(2--=x x a a a x f ,则使0)(<x f 的x 的取值范围是 。
导数与三角函数交汇试题1.(2019•石家庄一模)已知函数,(1)求函数f(x)的极小值(2)求证:当﹣1≤a≤1 时,f(x)>g(x)2.(2019春•常熟市期中)已知函数f(x)=e2x(sin x﹣3cos x).(1)求函数f(x)在点(0,f(0))处的切线方程;(2)求函数f(x)在区间上的最大值和最小值.3.(2019•大连模拟)已知函数f(x)=ae x﹣sin x+1其中a∈R,e为自然对数的底数.(1)当a=1时,证明:对∀x∈[0,+∞),f(x)≥2;(2)若函数f(x)在[0,π]上存在两个不同的零点,求实数a 的取值范围.4.(2019•天津)设函数f(x)=e x cos x,g(x)为f(x)的导函数.(Ⅰ)求f(x)的单调区间;(Ⅱ)当x∈[,]时,证明f(x)+g(x)(﹣x)≥0;(Ⅲ)设x n为函数u(x)=f(x)﹣1 在区间(2nπ+,2nπ+ )内的零点,其中n∈N,证明2nπ+﹣x n<.5.(2019•新课标Ⅰ)已知函数f(x)=2sin x﹣x cos x﹣x,f′(x)为f(x)的导数.(1)证明:f′(x)在区间(0,π)存在唯一零点;(2)若x∈[0,π]时,f(x)≥ax,求a 的取值范围.6.(2019•新课标Ⅰ)已知函数f(x)=sin x﹣ln(1+x),f′(x)为f(x)的导数.证明:(1)f′(x)在区间(﹣1,)存在唯一极大值点;(2)f(x)有且仅有2 个零点.7.(2019•富阳区模拟)设函数f(x)=2x2+alnx,(a∈R)(Ⅰ)若曲线y=f(x)在点(1,f(1))处的切线方程为y=2x+m,求实数a,m的值(Ⅱ)若f(2x﹣1)+2>2f(x)对任意x∈[2,+∞)恒成立,求实数 a 的取值范围;(Ⅲ)关于x 的方程f(x)+2cos x=5 能否有三个不同的实根?证明你的结论8.(2019•北辰区模拟)已知函数f(x)=e x﹣ax,(a∈R),g(x)=.(Ⅰ)求函数f(x)的单调区间;(Ⅱ)若g(x)≤kx 在x∈[0,+∞)恒成立,求k 的取值范围;(Ⅲ)当a=1,x≥0时,证明:(2+cos x)f′(x)≥2sin x.9.(2019•佛山二模)已知函数f(x)=,0<x<π.(Ⅰ)若x=x0时,f(x)取得极小值f(x0),求实数a及f(x0)的取值范围;(Ⅱ)当a=π,0<m<π时,证明:f(x)+mlnx>0.10.(2019•武汉模拟)(1)求证:x≥0时,cos x≥1﹣x2恒成立;(2)当a≥1时,∀x∈[0,+∞),证明不等式xe ax+x cos x+1≥(1+sin x)2恒成立.11.(2019•山东模拟)已知函数(Ⅰ)当x>0时,证明f(x)>g(x);(Ⅱ )已知点P (x ,xf (x )),点Q (﹣sin x ,cos x ),设函数时,试判断h(x)的零点个数.12.(2019•衡阳一模)已知函数f(x)=sin x﹣.(1)若f(x)在[0,]上有唯一极大值点,求实数a 的取值范围;(2)若a=1,g(x)=f(x)+e x,且g(x1)+g(x2)=2(x1≠x2),求证:x1+x2<0.13.(2019•东城区二模)已知函数f(x)=x+sin x.(Ⅰ)求曲线y=f(x)在点处的切线方程;(Ⅱ)若不等式f(x)≥ax cos x 在区间上恒成立,求实数a 的取值范围.14.(2019•日照模拟)已知函数(e为自然对数的底数).(1)求函数f(x)的值域;(2)若不等式f(x)≥k(x﹣1)(1﹣sin x)对任意恒成立,求实数k的取值范围;(3)证明:.15.(2019•江苏模拟)定义函数f(x)=x sin x+k cos x,x∈(0,π)为j(K)型函数,共中K∈Z.(1)若y=f(x)是j(1)型函数,求函数f(x)的值域;(2)若y=f(x)是j(0)型函数,求函f(x)极值点个数;(3)若y=f(x)是j(2)型函数,在y=f(x)上有三点A、B、C 横坐标分別为x1、x2、x3,其中x1<x2<x3,试判断直线AB 的斜率与直线BC 的斜率的大小并说明理由.16.(2019•房山区二模)已知函数.(Ⅰ)求曲线y=f(x)在x=0 处的切线方程;(Ⅱ)求f(x)在(0,π)上的单调区间;(Ⅲ)当m>1 时,证明:g(x)在(0,π)上存在最小值.17.(2019春•东莞市期中)已知函数f(x)=e x cos x.(1)求曲线y=f(x)在点(0,f(0))处的切线方程;(2)求函数f(x)在区间上的值域.18.(2019•莆田二模)已知函数.(1)讨论f(x)的单调性;(2)当0≤a≤1时,证明:xf(x)>a(sin x+1).19.(2019•泰安二模)已知函数f(x)=(x﹣m)lnx(m≤0).(1)若函数f(x)存在极小值点,求m 的取值范围;(2)证明:f(x+m)<e x+cos x﹣1.20.(2019春•龙岩期中)已知函数f(x)=x cos x﹣sin x,x∈[﹣].(Ⅰ)求证:f(x)≥0;(Ⅱ)若a对x∈(﹣)恒成立,求a 的最大值与b 的最小值.21.(2019•昆明模拟)已知函数f(x)=a(x﹣sin x)(a∈R且a≠0).(1)讨论f(x)的单调性;(2)设,若对任意x≥0,都有f(x)+g(x)≥0,求a 的取值范围.22.(2019•安徽模拟)已知函数f(x)=m tan x+2sin x,x∈[0,),m∈R.(Ⅰ)若函数y=f(x)在x∈[0,)上是单调函数,求实数m 的取值范围;(Ⅱ)当m=1 时,(i)求函数y=f(x)在点x=0 处的切线方程;(ii)若对任意x∈[0,),不等式f(x)≥aln(x+1)恒成立,求实数a的取值范围.23.(2019•昆明模拟)已知函数f(x)=e x(x+sin x+a cos x)(a∈R)在点(0,f(0))处切线的斜率为1.(1)求a 的值;(2)设g(x)=1﹣sin x,若对任意x≥0,都有f(x)+mg(x)≥0,求实数m 的取值范围.24.(2019•江苏一模)已知函数f(x)=(x+1)lnx+ax(a∈R).(1)若函数y=f(x)在点(1,f(1))处的切线方程为x+y+b=0,求实数a,b的值;(2)设函数g(x)=,x∈[1,e](其中e为自然对数的底数).①当a=﹣1 时,求函数g(x)的最大值;②若函数h(x)=||是单调减函数,求实数a 的取值范围.25.(2019春•龙凤区校级月考)已知函数f(x)=lnx﹣mx(m∈R).(1)讨论函数f(x)的单调区间;(2)若m═﹣e,a∈(e+,+∞),且f(x)≤ax﹣b恒成立,求的最大值(其中e 为自然对数的底数).26.(2019•石家庄模拟)已知函数f(x)=ae x﹣sin x,其中a∈R,e为自然对数的底数.(Ⅰ)当a=1时,证明:对∀x∈[0,+∞),f(x)≥1;(Ⅱ)若函数f(x)在(0,)上存在极值,求实数a 的取值范围.27.(2019春•香洲区校级月考)已知函数f(x)=(1+x)e﹣2x,g(x)=ax++1+2x cos x,当x∈[0,1]时,(Ⅰ)若函数g(x)在x=0 处的切线与x 轴平行,求实数a 的值;(Ⅱ)求证:1﹣x≤f(x)≤;(Ⅲ)若f(x)≥g(x)恒成立,求实数a 的取值范围.28.(2018秋•盐城期末)设f(x)=x2﹣2ax+1,g(x)=sin x.(1)若∀x∈[0,1]都有f(x)≥0 恒成立,求实数 a 的取值范围;(2)若∃x1∈(0,1],使得对∀x2∈[0,],都有f(x1)≥g(x2)恒成立,求实数a 的, : 取值范围.29.(2019•武侯区校级模拟)已知函数 f (x )=x sin x +2cos x +ax +2,其中 a 为常数.(Ⅰ)若曲线 y =f (x )在 x =0 处的切线在两坐标轴上的截距相等,求 a 之值;(Ⅱ)若对∀x ∈(0,π),都有π<f (x )<π2,求 a 的取值范围.30.(2018 秋•丰台区期末)已知函数 f (x )=x ﹣sin x .(Ⅰ)求曲线 y =f (x )在点(,f ())处的切线方程; (Ⅱ)求证:当 x ∈(0,)时,0<f (x )< x 3.31.(2012 秋•保定月考)已知函数. (1) 若 a =﹣4,求函数 f (x )的单调区间;(2) 设函数 ,试问:在定义域内是否存在三个不同的自变量的取值 x i (i =1,2,3)使得 f (x i )﹣g (x i )的值恰好都相等,若存在,请求出 a 的范围,若不存在,请说明理由?32.(2012 春•东湖区校级期中)已知 f (x )是定义在集合 D 上的函数,且﹣1<f ′(x )<0.(1) 若 ,在[ ]([ ]⊆D )上的最大值为 ,试求不等式|ax +1|<a 的解集.(2)若对于定义域中任意的 x 1,x 2,存在正数ε,使|x 1﹣1|<且|x 2﹣1|< ,求证:|f (x 1)﹣f (x 2)|<ε.33.(2012•井冈山市模拟)已知函数 f (x )=2x ﹣π,g (x )=cos x .(1)设 h (x )=(f x )﹣g (x ),若 x 1,x 2∈[﹣ +2k π +2k π(] k ∈Z ),求证≥h ();(2)若 x 1∈[,π],且 f (x n +1)=g (x n ),求证:|x 1﹣|+|x 2﹣|+…+|x n ﹣| < .34.(2013•北京)已知函数 f (x )=x 2+x sin x +cos x .(Ⅰ)若曲线 y =f (x )在点(a ,f (a ))处与直线 y =b 相切,求 a 与 b 的值;(Ⅱ)若曲线 y =f (x )与直线 y =b 有两个不同交点,求 b 的取值范围.35.(2013•泉州二模)定义域为D的函数f(x),其导函数为f′(x).若对∀x∈D,均有f (x)<f′(x),则称函数f(x)为D上的梦想函数.(Ⅰ)已知函数f(x)=sin x,试判断f(x)是否为其定义域上的梦想函数,并说明理由;(Ⅱ)已知函数g(x)=ax+a﹣1(a∈R,x∈(0,π))为其定义域上的梦想函数,求a的取值范围;(Ⅲ)已知函数h(x)=sin x+ax+a﹣1(a∈R,x∈[0,π])为其定义域上的梦想函数,求a 的最大整数值.36.(2013•枣庄二模)设f(x)=ax+cos x(x∈R).(1)若,试求出函数f(x)的单调区间;(2)若对任意x≥0,都有x+sin2x+cos x≤f(x)成立,求实数a 的取值范围.答案解析:1.【解答】解:(1)f′(x)=﹣=,(x∈(0,+∞)).当a﹣1≤0时,即a≤1时,f′(x)>0,函数f(x)在x∈(0,+∞)上单调递增,无极小值;当a﹣1>0时,即a>1时,f′(x)<0,解得0<x<a﹣1,函数f(x)在(0,a﹣1)上单调递减.f′(x)>0,解得x>a﹣1,函数f(x)在(a﹣1,+∞)上单调递增.∴x=a﹣1时,函数f(x)取得极小值,f(a﹣1=1+ln(a﹣1).综上所述,当a≤1时,f(x)无极小值;当a>1时,f(x)极小值=1+ln(a﹣1).(2)令F(x)=f(x)﹣g(x)=lnx+﹣=,x∈(0,+∞).当﹣1≤a≤1时,要证f(x)>g(x),即证F(x)>0,即xlnx﹣a sin x+1>0,即证xlnx>a sin x﹣1.①当0<a≤1时,令h(x)=x﹣sin x,h′(x)=1﹣cos x≥0,所以h(x)在x∈(0,+∞)上单调递增,故h(x)>h(0)=0,即x>sin x.∴ax﹣1>a sin x﹣1,令u(x)=xlnx﹣x+1,u′(x)=lnx,当x∈(0,1),u′(x)<0,u(x)在(0,1)上单调递减;x∈(1,+∞),u′(x)>0,u(x)在(1,+∞)上单调递增.又∵0<a≤1,∴xlnx≥x﹣1≥ax﹣1.由上面可知:xlnx≥x﹣1≥ax﹣1>a sin x﹣1,所以当0<a≤1,∴xlnx>a sin x﹣1.②当a=0时,即证xlnx>﹣1.令v(x)=xlnx,v′(x)=lnx+1,可得v(x)在(0,)上单调递减,在(,+∞)上单调递增,v(x)min=v()=﹣>﹣1,故xlnx>﹣1.③当﹣1≤a<0时,当x∈(0,1]时,a sin x﹣1<﹣1,由②知v(x)=xlnx≥﹣,而﹣>﹣1,故xlnx>a sin x﹣1.当x∈(1,+∞)时,a sin x﹣1≤0,由②知v(x)=xlnx>v(1)=0,故xlnx>a sin x﹣1;所以,当x∈(0,+∞)时,xlnx>a sin x﹣1.综上①②③可知,当﹣1≤a≤1时,f(x)>g(x).2.①答案:(1)函数f(x)=e x cos x−x的导数为f′(x)=e x(cos x−sin x)−1,可得曲线y=f(x)在点(0,f(0))处的切线斜率为k=e0(cos0−sin0)−1=0,切点为(0,e0cos0−0),即为(0,1),曲线y=f(x)在点(0,f(0))处的切线方程为y=1;(2)函数f(x)=e x cos x−x的导数为f′(x)=e x(cos x−sin x)−1,令g(x)=e x(cos x−sin x)−1,则g(x)的导数为g′(x)=e x(cos x−sin x−sin x−cos x)=−2e x⋅sin x,当x∈[0,π/2],可得g′(x)=−2e x⋅sin x⩽0,即有g(x)在[0,π/2]递减,可得g(x)⩽g(0)=0,则f(x)在[0,π/2]递减,即有函数f(x)在区间[0,π/2]上的最大值为f(0)=e0cos0−0=1;最小值为f(π/2)=eπ/2cosπ/2−π/2=−π/2.②分析:(1)求出f(x)的导数,可得切线的斜率和切点,由点斜式方程即可得到所求方程;(2)求出f(x)的导数,再令g(x)=f′(x),求出g(x)的导数,可得g (x)在区间[0,π/2]的单调性,即可得到f(x)的单调性,进而得到f (x)的最值.(2)由f(x)在(-∞,0)和(1+∞)上具有相反的单调性知:f′(x)=0的解在[0,1]上,根据零点存在定理可得一不等式,解出即可;(3)问题即为证明a>0且x>-1时,e2x+ae x≥(x+1)2+a(x+1),先利用导数证明e x≥x+1,再根据不等式的性质即可证明原不等式;【解析】(1)f′(x)=(2e x-2e)e x=0,得x=1,当x<1时f′(x)<0,f(x)单调递减;当x>1时,f′(x)>0,f(x)单调递增,所以x=1为唯一极小值点,也是最小值点,所以f(x)的最小值为f(1)=-e2;(2)因为f(x)在(-∞,0)和(1+∞)上具有相反的单调性,则有f′(x)=0的解在[0,1]上,即2e x+a=0的解在[0,1]上.记h(x)=2e x+a,则h(0)•h(1)≤0,解得-2e≤a≤-2,所以a的取值范围为[-2e,-2];(3)即证明a>0且x>-1时,e2x+ae x≥(x+1)2+a(x+1),现证明e x≥x+1,记g(x)=e x-(x+1),令g′(x)=e x-1=0,得x=0,当-1<x<0时,g′(x)<0,g(x)单调递减;当x>0时,g′(x)>0,g(x)单调递增,所以x=0为唯一极小值点,也即最小值点,∴g(x)≥g(0)=0,∴e x≥x+1,所以a>0且x>-1时,e2x≥(x+1)2,ae x≥a(x+1),∴e2x+ae x≥(x+1)2+a(x+1).36.4.。
函数导数、三角函数、不等式(二):高考数学一轮复习基础必刷题姓名:___________��班级:___________��学号:___________一、单选题1.函数41y x =-的定义域为()A .[)0,1B .()1,+∞C .()()0,11,+∞ D .[)()0,11,+∞ 2.设a >0,b >0,化简2115113366221()()()3a ab a ⋅-÷的结果是()A .2313a -B .233a -C .13a-D .-3a 3.已知不等式240x ax ++ 的解集为,R 则a 的取值范围是()A .[]4,4-B .()4,4-C .][(),44,∞∞--⋃+D .()(),44,-∞-+∞ 4.曲线31y x =+在点(1,)a -处的切线方程为()A .33y x =+B .31y x =+C .31y x =--D .33y x =--5.下列命题中正确的是()A .若0ab >,a b >,则11a b<B .若a b <,则22ac bc <C .若a b >,c d >,则a c b d ->-D .若a b >,c d <,则a b c d>6.下列判断正确的是()A .命题“对顶角相等”的逆命题是真命题B .命题“若1x <,则21x >”的否命题是“21x <,则1x <”C .“1a =”是“函数()22cos sin f x ax ax =-的最小正周期是π”的必要不充分条件D .“0b =”是“函数()2f x ax bx c =++是偶函数”的充要条件7.已知集合{lg(2)}A xy x ==-∣,{}2120B x x x =--<∣,则A B = ()A .()2,4B .()3,4-C .()2,3D .()4,3-8.已知函数21()23ln 2f x x x x =+-,则()f x 的单调递减区间是()A .(3,1)-B .(0,1)C .(,3)(1,)-∞-+∞ D .(1,)+∞9.已知函数f (x )=sin (ωx +2φ)﹣2sinφcos (ωx +φ)(ω>0,φ∈R )的图象的相邻两条对称轴相距2π个单位,则ω=()A .1B .12C .13D .210.公元前6世纪,古希腊毕达哥拉斯学派在研究正五边形和正十边形的作图时,发现了黄金分割数12,其近似值为0.618,这是一个伟大的发现,这一数值也表示为2sin18a =,若24a b +=,则21cos 72a b=-()A .12B .2CD .411.已知不等式5132-≤-x x 的解集为A ,关于x 的不等式2220-+>ax x 的解集为B ,且⊆ A B B ,则实数a 的取值范围为()A .(0,)+∞B .1,16⎛⎫+∞ ⎪⎝⎭C .2,9⎛⎫+∞ ⎪⎝⎭D .1,2⎛⎫+∞ ⎪⎝⎭12.设B 是椭圆2222:1(0)x y C a b a b+=>>的上顶点,若C 上的任意一点P 都满足||2PB b ≤,则C 的离心率的取值范围是()A .,12⎫⎪⎪⎣⎭B .1,12⎡⎫⎪⎢⎣⎭C .0,2⎛ ⎝⎦D .10,2⎛⎤⎥⎝⎦二、填空题13.若1tan 3α=-,则3sin 2cos 2sin cos αααα+=-_______.14.已知关于x 的不等式2320ax x -+>的解集为{1x x <或}x b >,则b 的值为______.15.已知tan 312πα⎛⎫-=- ⎪⎝⎭,则tan 6πα⎛⎫+= ⎪⎝⎭______.16.已知偶函数()f x 在(0,)+∞上是减函数,且(1)0f -=,则()0f x x<的解集__________三、解答题17.已知函数3()395f x x x =-+.(1)求函数()f x 的单调递减区间;(2)求函数()f x 在[]3,3-上的最大值和最小值.18.已知312sin ,,,cos ,5213πααπββ⎛⎫=∈=- ⎪⎝⎭是第三象限角,求(1)cos α与sin β的值;(2)cos()αβ-.19.已知函数()()21ln 12f x a x x a x =+-+.(1)求函数f (x )的单调区间;(2)若f (x )≥0对定义域内的任意x 恒成立,求实数a 的取值范围.20.已知函数()ln 2f x x x ax =-+(a 为实数)(1)若2a =,求()f x 在21,e ⎡⎤⎣⎦的最值;(2)若()0f x ≥恒成立,求a 的取值范围.21.在ABC 中,内角,,A B C 的对边分别为,,a b c ,满足cos cos 2cos a B b A c B +=,b .(1)求B ;(2)若2a c -=,求ABC 的面积.22.设函数22()3ln 1f x a x ax x =+-+,其中0a >.(1)讨论()f x 的单调性;(2)若()y f x =的图象与x 轴没有公共点,求a 的取值范围.参考答案:1.D 【解析】【分析】由题意列不等式组求解【详解】由题意得2010x x ≥⎧⎨-≠⎩,解得0x ≥且1x ≠,故选:D 2.D 【解析】【分析】由分数指数幂的运算性质可得结果.【详解】因为0a >,0b >,所以2115211115113366326326221()()()333a b a b b a ba +-+-⋅-÷=-⋅=-.故选:D.3.A 【解析】【分析】利用判别式小于等于零列不等式求解即可.【详解】因为不等式240x ax ++ 的解集为,R 所以2Δ4140a =-⨯⨯ ,解得44a -,所以a 的取值范围是[]4,4-,故选:A.4.A 【解析】【分析】求出导函数,进而利用导数的几何意义得到切线的斜率,再求出a 的值,利用点斜式求出切线方程.【详解】()23f x x '=,所以()13f '-=,又当1x =-时,31110a x =+=-+=,所以31y x =+在点(1,)a -处的切线方程为:()31y x =+,即33y x =+故选:A 5.A 【解析】【分析】利用不等式的基本性质可判断A 选项,利用特殊值法可判断BCD 选项.【详解】因为0ab >,a b >,所以a b ab ab >,即11a b<,所以A 正确;若a b <,0c =,则22ac bc =,所以B 错误;取2a c ==,1b d ==,则a c b d -=-,所以C 错误;取2a =,1b =,2c =-,1d =-,则a bc d=,所以D 错误.故选:A.6.D 【解析】【分析】逐项进行判断,根据逆命题、否命题、充分条件、必要条件的定义进行判断即可.【详解】对A ,命题“对顶角相等”的逆命题为:“相等的两个角为对顶角”,假命题,故错;对B ,命题“若1x >,则21x >”的否命题是“1x ≤,则21x ≤”,故错;对C ,()22cos sin sin 2f x ax ax ax =-=,最小正周期为π,所以212a aππ=⇒=±所以“1a =”是“函数()22cos sin f x ax ax =-的最小正周期是π”的充分不必要条件,故错;对D ,函数()2f x ax bx c =++是偶函数,则函数不含有奇次项,所以0b =故“0b =”是“函数()2f x ax bx c =++是偶函数”的充要条件.7.A 【解析】【分析】求出集合,A B 可得A B .【详解】(2,)A =+∞,(3,4)B =-,故(2,4)A B ⋂=,故选:A.8.B 【解析】【分析】利用导数研究()f x 的单调递减区间.【详解】由题设,2323()2x x f x x x x+-'=-+=,又定义域为(0,)+∞,令()0f x '<,则223(3)(1)0x x x x +-=+-<,解得31x -<<,故01x <<,∴()f x 在(0,1)上递减.故选:B.9.D 【解析】【分析】分析角度的关系将sin(2)x ωϕ+展开,再合一变形求得()f x 的解析式,再根据图象的相邻两条对称轴相距2π个单位求得周期再求ω即可.【详解】()sin(2)2sin cos()sin()cos cos()sin 2sin cos ()f x x x x x x ωϕϕωϕωϕϕωϕϕϕωϕ=+-+=+++-+()sin()cos sin cos()sin sin x x x x ωϕϕϕωϕωϕϕω=+-+=+-=⎡⎤⎣⎦.即()f x =sin xω又图象的相邻两条对称轴相距2π个单位,故()f x 的周期为π.故22ππωω=⇒=.故选:D本题主要考查了三角函数的和差角公式以及周期的求法,属于基础题型.10.B 【解析】【分析】根据同角三角函数平方关系可求得24cos 18b = ,利用二倍角公式化简所求式子即可得到结果.【详解】2sin18a = ,()2222444sin 1841sin 184cos 18b a ∴=-=-=-=,22222216sin 18cos 184sin 3621cos 72112sin 362sin 36a b ===--∴+.故选:B.11.B 【解析】【分析】解出不等式5132-≤-x x 可得集合A ,由⊆ A B B 可得A B ⊆,然后可得2220-+>ax x 在(3,7]x ∈上恒成立,然后分离参数求解即可.【详解】由5132-≤-x x 得51032x x --≤-,()7023x x -≤-,解得37x <≤,因为⊆ A B B ,所以A B⊆所以可得2220-+>ax x 在(3,7]x ∈上恒成立,即222->x a x 在(3,7]x ∈上恒成立,故只需2max 22-⎛⎫> ⎪⎝⎭x a x ,222211111111,,2241673-⎛⎫⎡⎫=-+=--+∈ ⎪⎪⎢⎝⎭⎣⎭x x x x x x ,当114x =时,2max 21216-⎛⎫= ⎪⎝⎭x x ,故116a >.故选:B 12.C 【解析】【分析】设()00,P x y ,由()0,B b ,根据两点间的距离公式表示出PB ,分类讨论求出PB 的最大值,再构建齐次不等式,解出即可.【详解】设()00,P x y ,由()0,B b ,因为2200221x y a b+=,222a b c =+,所以()()2223422222220000022221y c b b PB x y b a y b y a b b b c c ⎛⎫⎛⎫=+-=-+-=-++++ ⎪ ⎪⎝⎭⎝⎭,因为0b y b -≤≤,当32b b c-≤-,即22b c ≥时,22max 4PB b =,即max 2PB b =,符合题意,由22b c ≥可得222a c ≥,即02e <≤;当32b b c->-,即22b c <时,42222max b PB a b c =++,即422224b a b b c ++≤,化简得,()2220c b -≤,显然该不等式不成立.故选:C .【点睛】本题解题关键是如何求出PB 的最大值,利用二次函数求指定区间上的最值,要根据定义域讨论函数的单调性从而确定最值.13.35-【解析】【分析】利用同角三角函数的基本关系,分子、分母同除以cos α即可求解.【详解】将原式分子、分母同除以cos α3sin 2cos 3tan 212322sin cos 2tan 1513αααααα++-+===-----故答案为:35-【点睛】本题考查了同角三角函数的基本关系、齐次式,属于基础题.14.2【解析】【分析】由题意可得1和b 是方程2320ax x -+=的两个根,由根与系数的关系可得321,1b b a a+=⨯=,从而可求出b 的值【详解】因为关于x 的不等式2320ax x -+>的解集为{1x x <或}x b >,所以1和b 是方程2320ax x -+=的两个根,所以321,1b b a a+=⨯=,解得1,2a b ==,故答案为:215.12-【解析】【分析】tan tan 6124πππαα⎛⎫⎛⎫+=-+ ⎪ ⎪⎝⎭⎝⎭,然后算出即可.【详解】tan tan1124tan tan 612421tan tan 124ππαπππααππα⎛⎫-+ ⎪⎛⎫⎛⎫⎝⎭+=-+==- ⎪ ⎪⎛⎫⎝⎭⎝⎭-- ⎪⎝⎭.故答案为:12-【点睛】本题考查正切函数的和差公式,找出已知角与所求角的关系是解题的关键.16.(1,0)(1,)-È+¥【解析】【分析】分0x >和0x <两种情况讨论x 的范围,根据函数的单调性可得到答案.【详解】因为()f x 是偶函数,且(1)0f -=,所以(1)(1)0f f =-=,又()f x 在(0,)+∞上是减函数,所以()f x 在(,0)-∞上是增函数,①当0x >时,由()0f x x<得()0f x <,又由于()f x 在(0,)+∞上为减函数,且(1)0f =,所以()(1)f x f <,得1x >;②当0x <时,由()0f x x<得()>0f x ,又(1)0f -=,()f x 在(,0)-∞上是增函数,所以()>(1)f x f -,所以10x -<<.综上,原不等式的解集为:(1,0)(1,)-È+¥.故答案为:(1,0)(1,)-È+¥.【点睛】方法点睛:本题主要考查函数相关性质,利用函数性质解不等式,运用函数的奇偶性与单调性的关系是进行区间转换的一种有效手段.奇函数在对称区间上的单调性相同,且()() f x f x -=-.偶函数在对称区间上的单调性相反,且()()() f x f x f x =-=..17.(1)()1,1-;(2)最大值为59,最小值为49-【解析】(1)求出()f x ',令()0f x '<,得到函数()f x 的单调递减区间;(2)求出函数在[]3,3-的单调性,根据极值和端点值,求得最值.【详解】(1)()2999(1)(1)f x x x x =-+-'=,x ∈R令()0f x '<,得11x -<<,所以()f x 的减区间为()1,1-.(2)由(1),令()0f x '>,得1x <-或1x >知:[]3,1x ∈--,()f x 为增函数,[]1,1x ∈-,()f x 为减函数,[]1,3x ∈,()f x 为增函数.()349f -=-,()111f -=,()11f =-,()539f =.所以()f x 在区间[]3,3-上的最大值为59,最小值为49-.【点睛】本题考查了利用导数研究函数的单调性和求函数的最值,属于基础题.18.(1)4cos =5α-,5sin 13β=-;(2)3365【解析】【分析】(1)根据平方关系计算即可得出cos α,sin β;(2)由(1)的结果,结合两角差的余弦公式求解即可.【详解】(1)由3sin 5α=,,2παπ⎛⎫∈ ⎪⎝⎭,得4cos 5α=-.又由12cos 13b =-,β是第三象限角,得5sin 13β===-.(2)由(1)得4123533cos()cos cos sin sin 51351365αβαβαβ⎛⎫⎛⎫⎛⎫-=+=-⨯-+⨯-= ⎪ ⎪ ⎪⎝⎭⎝⎭⎝⎭.19.(1)答案见解析(2)12a ≤-【解析】【分析】(1)求导数,然后对a 进行分类讨论,利用导数的正负,可得函数()f x 的单调区间;(2)利用(1)中函数的单调性,求得函数在1x =处取得最小值,即可求实数的取值范围.(1)解:求导可得()(1)()(0)>'--=x a x f x x x①0a ≤时,令()0f x '<可得1x <,由于0x >知01x <<;令()0f x '>,得1x >∴函数()f x 在(0,1)上单调递减,在(1,)+∞上单调递增;②01a <<时,令()0f x '<可得1<<a x ;令()0f x '>,得1x >或x a <,由于0x >知0x a <<或1x >;∴函数()f x 在(,1)a 上单调递减,在(0,),(1,)+∞a 上单调递增;③1a =时,()0f x '≥,函数()y f x =在(0,)+∞上单调递增;④1a >时,令()0f x '<可得1x a <<;令()0f x '>,得x a >或1x <,由于0x >知01x <<或x a>∴函数()f x 在(1,)a 上单调递减,在(0,1),(,)+∞a 上单调递增;(2)由(1)0a ≥时,1(1)02f a =--<,(不符合,舍去)当0a <时,()f x 在(0,1)上单调递减,在(1,)+∞上单调递增,故函数在1x =处取得最小值,所以函数()0f x ≥对定义域内的任意x 恒成立时,只需要(1)0f ≥即可∴12a ≤-.综上,12a ≤-.20.(1)最小值为 2e -,最大值为2;(2)(],1ln 2-∞+.【解析】【分析】(1)首先求出函数的导函数,即可得到函数的单调性,从而得到函数的最小值,再求出区间端点的函数值,即可求出函数在区间上的最大值;(2)首先求出函数的定义域,参变分离,即可得到2ln x a x +≥恒成立,令()2 ln =+g x x x ,利用导数研究函数的单调性,即可求出函数的最小值,从而得解;【详解】(1)当2a =时,() ln 22=-+f x x x x ,()ln 1f x x '=-由()0f x '<得0 x e <<,由()0f x '>得x e >,所以()f x 在()0,e 上单调递减,在()e +∞,上单调递增,且() ln 2 2 2=-+=-f e e e e e ,() 1 1ln12 2 0f =-+=,()2222 ln 2 2 2-+==f e e e e 则函数()f x 在区间21,e ⎡⎤⎣⎦上的最小值为 2e -,最大值为2.(2)由题得函数的定义域为()0,∞+,若()0f x ≥恒成立,则ln 20x x ax -+≥,即2ln x a x+≥恒成立,令()2 ln =+g x x x ,则()22122 x g x x x x -'=-=,当02x <<时,()0g x '<;当2x >时,()0g x '>,所以()g x 在()0,2上单调递减,在()2,+∞上单调递增,则()min 21ln 2()==+g x g ,所以1ln 2a ≤+,故a 的取值范围为(],1ln 2-∞+.21.(1)3π;(2【解析】(1)利用正弦定理的边角互化以及两角和的正弦公式可得sin()2sin cos A B C B +=,再利用三角形的内角和性质以及诱导公式即可求解.(2)根据余弦定理求出3ac =,再由三角形的面积公式即可求解.【详解】解:(1)由正弦定理知sin cos sin cos 2sin cos A B B A C B +=,sin()2sin cos A B C B +=,因为,(0,)A B C C ππ+=-∈,所以sin 2sin cos C C B =,由sin 0C ≠,故1cos 2B =.因为(0,)B π∈,所以3B π=.(2)由余弦定理及2a c -=知2222cos b a c ac B =+-.227a c ac ∴+-=,2()7a c ac ∴-+=,47ac ∴+=,3ac ∴=.11sin 32224ABC S ac B ∴==⨯⨯= .22.(1)()f x 的减区间为10,a ⎛⎫ ⎪⎝⎭,增区间为1,+a ⎛⎫∞ ⎪⎝⎭;(2)1a e >.【解析】【分析】(1)求出函数的导数,讨论其符号后可得函数的单调性.(2)根据()10f >及(1)的单调性性可得()min 0f x >,从而可求a 的取值范围.【详解】(1)函数的定义域为()0,∞+,又()23(1)()ax ax f x x+-'=,因为0,0a x >>,故230ax +>,当10x a<<时,()0f x '<;当1x a >时,()0f x '>;所以()f x 的减区间为10,a ⎛⎫ ⎪⎝⎭,增区间为1,+a ⎛⎫∞ ⎪⎝⎭.(2)因为()2110f a a =++>且()y f x =的图与x 轴没有公共点,所以()y f x =的图象在x 轴的上方,由(1)中函数的单调性可得()min 1133ln 33ln f x f a a a ⎛⎫==-=+ ⎪⎝⎭,故33ln 0a +>即1a e>.【点睛】方法点睛:不等式的恒成立问题,往往可转化为函数的最值的符号来讨论,也可以参变分离后转化不含参数的函数的最值问题,转化中注意等价转化.。
高中数学三角函数与导数综合题精选1(14,北京理,18)已知函数()cos sin ,0,2f x x x x x π⎡⎤=-∈⎢⎥⎣⎦. (1)求证:()0f x(2)若sin x a b x <<在0,2π⎛⎫⎪⎝⎭上恒成立,求a 的最大值与的最小值.2(17,北京理,19)已知函数()cos xf x e x x =-. (1)求曲线()y f x =在点(0,(0))f 处的切线方程;(2)求函数()f x 在区间0,2π⎡⎤⎢⎥⎣⎦上的最大值和最小值.3(2017山东)已知函数()22cos f x x x =+,()()cos sin 22x g x e x x x =-+-,其中 2.71828e =是自然对数的底数.(Ⅰ)求曲线()y f x =在点(,())f ππ处的切线方程;(Ⅱ)令()()()h x g x af x =-()a R ∈,讨论()h x 的单调性并判断有无极值,有极值时求出极值.4(2020福州二检)已知函数()()sin cos x f x x x x e =+-.(Ⅰ)若()'f x 为()f x 的导函数,且()()()'g x f x f x =-,求函数()g x 的单调区间; (Ⅱ)若0x ≥,证明:()21f x x ≥-.5已知函数()sin f x x x =,(0,)x π∈,()f x '为()f x 的导数,且()()g x f x '=.证明:()1()g x 在22,3π⎛⎫⎪⎝⎭内有唯一零点; ()2()2f x .(参考数据:sin 20.9903≈,cos20.4161≈-,tan 2 2.1850≈- 1.4142≈, 3.14π≈.)6(19年全国1卷,20)已知函数()sin ln(1)f x x x =-+,()f x '为()f x 的导数.证明:(1)()f x '在区间(1,)2π-存在唯一极大值点;(2)()f x 有且仅有2个零点.7 (2013福建)已知函数()sin()(0,0)f x x ωϕωϕπ=+><<的周期为π,图像的一个对称中心为(,0)4π,将函数()f x 图像上的所有点的横坐标伸长为原来的2倍(纵坐标不变),在将所得图像向右平移2π个单位长度后得到函数()g x 的图像. (1)求函数()f x 与()g x 的解析式; (2)是否存在0(,)64x ππ∈,使得0000(),(),()()f x g x f x g x 按照某种顺序成等差数列?若存在,请确定0x 的个数;若不存在,说明理由.(3)求实数a 与正整数n ,使得()()()F x f x ag x =+在(0,)n π内恰有2013个零点.8 (2016年全国Ⅲ) 设函数()cos 2(1)(cos 1)f x x x αα=+-+,其中0α>,记|()|f x 的最大值为A . (Ⅰ)求()f x '; (Ⅱ)求A ;(Ⅲ)证明|()|2f x A '≤.9 设函数()sin ()f x x x x =∈R .(1)求证:(2)()2sin f x k f x k x ππ+-=,其中k 为整数;(2)设0x 为()f x 的一个极值点,求证:()42021x f x x =+ (3)设()f x 在(0,)+∞上的全部极值点按从小到大的顺序排列为12,,,,n a a a ⋯⋯,求证:1(1,2,)2n n a a n ππ+<-<=.。
2012-2019年导数与三角函数交汇真题汇编(含答案解析) 2019全国新课标I 卷理2020.已知函数()sin ln(1)f x x x =-+,()f x '为()f x 的导数.证明:(1)()f x '在区间(1,)2π-存在唯一极大值点; (2)()f x 有且仅有2个零点.20.解:(1)设()()g x f 'x =,则1()cos 1g x x x=-+,21sin ())(1x 'x g x =-++.当1,2x π⎛⎫∈- ⎪⎝⎭时,()g'x 单调递减,而(0)0,()02g'g'π><,可得()g'x 在1,2π⎛⎫- ⎪⎝⎭有唯一零点,设为α.则当(1,)x α∈-时,()0g'x >;当,2x α⎛π⎫∈ ⎪⎝⎭时,()0g'x <. 所以()g x 在(1,)α-单调递增,在,2απ⎛⎫ ⎪⎝⎭单调递减,故()g x 在1,2π⎛⎫- ⎪⎝⎭存在唯一极大值点,即()f 'x 在1,2π⎛⎫- ⎪⎝⎭存在唯一极大值点.(2)()f x 的定义域为(1,)-+∞.(i )当(1,0]x ∈-时,由(1)知,()f 'x 在(1,0)-单调递增,而(0)0f '=,所以当(1,0)x ∈-时,()0f 'x <,故()f x 在(1,0)-单调递减,又(0)=0f ,从而0x =是()f x 在(1,0]-的唯一零点.(ii )当0,2x ⎛π⎤∈ ⎥⎝⎦时,由(1)知,()f 'x 在(0,)α单调递增,在,2απ⎛⎫ ⎪⎝⎭单调递减,而(0)=0f ',02f 'π⎛⎫< ⎪⎝⎭,所以存在,2βαπ⎛⎫∈ ⎪⎝⎭,使得()0f 'β=,且当(0,)x β∈时,()0f 'x >;当,2x βπ⎛⎫∈ ⎪⎝⎭时,()0f 'x <.故()f x 在(0,)β单调递增,在,2βπ⎛⎫⎪⎝⎭单调递减. 又(0)=0f ,1ln 1022f ππ⎛⎫⎛⎫=-+> ⎪ ⎪⎝⎭⎝⎭,所以当0,2x ⎛π⎤∈ ⎥⎝⎦时,()0f x >.从而,()f x 在0,2⎛⎤⎥⎝⎦π没有零点. (iii )当,2x π⎛⎤∈π⎥⎝⎦时,()0f 'x <,所以()f x 在,2π⎛⎫π ⎪⎝⎭单调递减.而02f π⎛⎫> ⎪⎝⎭,()0f π<,所以()f x 在,2π⎛⎤π ⎥⎝⎦有唯一零点.(iv )当(,)x ∈π+∞时,ln(1)1x +>,所以()f x <0,从而()f x 在(,)π+∞没有零点. 综上,()f x 有且仅有2个零点.2019全国新课标I 卷文2020.已知函数f (x )=2sin x -x cos x -x ,f ′(x )为f (x )的导数.(1)证明:f ′(x )在区间(0,π)存在唯一零点; (2)若x ∈[0,π]时,f (x )≥ax ,求a 的取值范围.20.解:(1)设()()g x f x '=,则()cos sin 1,()cos g x x x x g x x x '=+-=. 当π(0,)2x ∈时,()0g x '>;当π,π2x ⎛⎫∈⎪⎝⎭时,()0g x '<,所以()g x 在π(0,)2单调递增,在π,π2⎛⎫⎪⎝⎭单调递减.又π(0)0,0,(π)22g g g ⎛⎫=>=-⎪⎝⎭,故()g x 在(0,π)存在唯一零点. 所以()f x '在(0,π)存在唯一零点.(2)由题设知(π)π,(π)0f a f =…,可得a ≤0.由(1)知,()f x '在(0,π)只有一个零点,设为0x ,且当()00,x x ∈时,()0f x '>;当()0,πx x ∈时,()0f x '<,所以()f x 在()00,x 单调递增,在()0,πx 单调递减. 又(0)0,(π)0f f ==,所以,当[0,π]x ∈时,()0f x ….又当0,[0,π]a x ∈„时,ax ≤0,故()f x ax ….因此,a 的取值范围是(,0]-∞.5、(2017•山东)已知函数f (x )=x 2+2cosx ,g (x )=e x (cosx ﹣sinx+2x ﹣2),其中e≈2.17828…是自然对数的底数.(13分)(Ⅰ)求曲线y=f (x )在点(π,f (π))处的切线方程; (Ⅱ)令h (x )=g (x )﹣a f (x )(a ∈R ),讨论h (x )的单调性并判断有无极值,有极值时求出极值.5、【答案】解:(Ⅰ)f (π)=π2﹣2.f′(x )=2x ﹣2sinx ,∴f′(π)=2π. ∴曲线y=f (x )在点(π,f (π))处的切线方程为:y ﹣(π2﹣2)=2π(x ﹣π). 化为:2πx ﹣y ﹣π2﹣2=0.(Ⅱ)h (x )=g (x )﹣a f (x )=e x (cosx ﹣sinx+2x ﹣2)﹣a (x 2+2cosx ) h′(x )=e x (cosx ﹣sinx+2x ﹣2)+e x (﹣sinx ﹣cosx+2)﹣a (2x ﹣2sinx ) =2(x ﹣sinx )(e x ﹣a )=2(x ﹣sinx )(e x ﹣e lna ).令u (x )=x ﹣sinx ,则u′(x )=1﹣cosx≥0,∴函数u (x )在R 上单调递增. ∵u (0)=0,∴x >0时,u (x )>0;x <0时,u (x )<0.(i )a≤0时,e x ﹣a >0,∴x >0时,h′(x )>0,函数h (x )在(0,+∞)单调递增; x <0时,h′(x )<0,函数h (x )在(﹣∞,0)单调递减. ∴x=0时,函数h (x )取得极小值,h (0)=﹣1﹣2a . (ii )a >0时,令h′(x )=2(x ﹣sinx )(e x ﹣e lna )=0. 解得x 1=lna ,x 2=0.①0<a <1时,x ∈(﹣∞,lna )时,e x ﹣e lna <0,h′(x )>0,函数h (x )单调递增; x ∈(lna ,0)时,e x ﹣e lna >0,h′(x )<0,函数h (x )单调递减; x ∈(0,+∞)时,e x ﹣e lna >0,h′(x )>0,函数h (x )单调递增. ∴当x=0时,函数h (x )取得极小值,h (0)=﹣2a ﹣1.当x=lna 时,函数h (x )取得极大值,h (lna )=﹣a[ln 2a ﹣2lna+sin (lna )+cos (lna )+2]. ②当a=1时,lna=0,x ∈R 时,h′(x )≥0,∴函数h (x )在R 上单调递增.③1<a 时,lna >0,x ∈(﹣∞,0)时,e x ﹣e lna <0,h′(x )>0,函数h (x )单调递增; x ∈(0,lna )时,e x ﹣e lna <0,h′(x )<0,函数h (x )单调递减; x ∈(lna ,+∞)时,e x ﹣e lna >0,h′(x )>0,函数h (x )单调递增. ∴当x=0时,函数h (x )取得极大值,h (0)=﹣2a ﹣1.当x=lna 时,函数h (x )取得极小值,h (lna )=﹣a[ln 2a ﹣2lna+sin (lna )+cos (lna )+2].综上所述:a≤0时,函数h (x )在(0,+∞)单调递增;x <0时,函数h (x )在(﹣∞,0)单调递减. x=0时,函数h (x )取得极小值,h (0)=﹣1﹣2a .0<a <1时,函数h (x )在x ∈(﹣∞,lna )是单调递增;函数h (x )在x ∈(lna ,0)上单调递减.当x=0时,函数h (x )取得极小值,h (0)=﹣2a ﹣1.当x=lna 时,函数h (x )取得极大值,h (lna )=﹣a[ln 2a ﹣2lna+sin (lna )+cos (lna )+2]. 当a=1时,lna=0,函数h (x )在R 上单调递增.a >1时,函数h (x )在(﹣∞,0),(lna ,+∞)上单调递增;函数h (x )在(0,lna )上单调递减.当x=0时,函数h (x )取得极大值,h (0)=﹣2a ﹣1.当x=lna 时,函数h (x )取得极小值,h (lna )=﹣a[ln 2a ﹣2lna+sin (lna )+cos (lna )+2].【考点】导数的加法与减法法则,导数的乘法与除法法则,函数的单调性与导数的关系,利用导数研究函数的单调性,利用导数研究函数的极值,利用导数研究曲线上某点切线方程 【解析】【分析】(Ⅰ)f (π)=π2﹣2.f′(x )=2x ﹣2sinx ,可得f′(π)=2π即为切线的斜率,利用点斜式即可得出切线方程.(Ⅱ)h (x )=g (x )﹣a f (x )=e x (cosx ﹣sinx+2x ﹣2)﹣a (x 2+2cosx ),可得h′(x )=2(x ﹣sinx )(e x ﹣a )=2(x ﹣sinx )(e x ﹣e lna ).令u (x )=x ﹣sinx ,则u′(x )=1﹣cosx≥0,可得函数u (x )在R 上单调递增.由u (0)=0,可得x >0时,u (x )>0;x <0时,u (x )<0.对a 分类讨论:a≤0时,0<a <1时,当a=1时,a >1时,利用导数研究函数的单调性极值即可得出.17.(2015湖南理21(1))已知0a >,函数()[)()e sin 0,axf x x x =∈+∞. 记n x 为()f x 的从小到大的第n ()*n ∈N 个极值点,证明:数列(){}nf x 是等比数列.● 17. 解析 ()e sin e cos e (sin cos )axaxaxf x a x x a x x '=+=+● e sin()ax x ϕ=+,其中a 1tan =ϕ,π02ϕ<<. ● 令 ()0f x '=,由0x …得 πx m ϕ+=,即*π,x m m ϕ=-∈N .● 对k ∈N ,若2π(21)πk x k ϕ<+<+,即2π(21)πk x k ϕϕ-<<+-,则()0f x '>;● 若(21)π(22)πk x k ϕ+<+<+,即(21)π(22)πk x k ϕϕ+-<<+-,则()0f x '<. ● 因此,在区间((1)π,π)m m ϕ--与(π,π)m m ϕ-上,)('x f 的符号总相反, ● 于是,当*π,x m m ϕ=-∈N 时,)(x f 取得极值,所以*π,n x n n ϕ=-∈N .● 此时,()1()()esin(π)(1)e a n n a n n f x n πϕπϕϕ-+-=-=-,易知0)(≠n x f , ● 且2[(1)π]π11(π)()(1)e e ()(1)en a n a n n a n n f x f x ϕϕ++-++--==--是常数, 21.(2016全国丙理21)设函数()cos2(1)(cos +1)f x a x a x =+-,其中0a >,记()f x 的最大值为A . (1)求()f x '; (2)求A ;(3)证明2.f x A '()„21.解析 (1)()()2sin 21sin f x a x a x '=---.(2)当1a …时,()()()()()cos21cos 121320f x a x a x a a a f =+-++-=-=≤.因此32A α=-.当01a <<时,将()f x 变形为()()22cos 1cos 1f x a x a x =+--. 令()()2211g t at a t =+--,则A 是()g t 在[]1,1-上的最大值,,,且当时,取得极小值,极小值为. 令,解得且,所以. (i )当时,在内无极值点,,,,所以.()1g a -=()132g a =-14at a-=()g t ()2211611488a a a a g a a a --++⎛⎫=--=- ⎪⎝⎭1114a a --<<13a >-15a >15a >105a <„()g t ()1,1-()1g a -=()123g a =-()()11g g -<23A a =-(ii )当时,在同一坐标中画出函数,,在上的图像.由上图,我们得到如下结论当时,.综上,. (3)由(1)得.当时,; 当时,,所以; 当时,.所以; 综上所述有.25.(2017山东理20)已知函数,,其中是自然对数的底数.(1)求曲线在点处的切线方程;115a <<y x =32y x =-2618x x y x ++=1,5⎡⎫+∞⎪⎢⎣⎭115a <<2618a a A a++=2123,05611,18532,1a a a a a a a a ⎧-<⎪⎪++⎪<<⎨⎪->⎪⎪⎩„()()2sin21sin 21f x a x x a a α'=---+-„105a <„()()1242232f x a a a A '+-<-=??115α<<131884a A a =++…()12f x a A '+<?1a ≥()31642f x a a A '--=??()2f x A '„()2f x A '„()22cos f x x x =+()()e cos sin 22x g x x x x =-+-e 2.71828=L ()y f x =()(),f ππ(2)令,讨论的单调性并判断有无极值,有极值时求出极值.25.解析 (1)由题意,又,所以,因此曲线在点处的切线方程为,即.(2)由题意得,因为,令,则,所以在上单调递增. 因为,所以当时,;当时,. (i )当时,.当时,,在区间上单调递减; 当时,,在区间上单调递增, 所以当时,取得极小值,极小值为;(ii )当时,,由,得,. ① 当时,,当时,,此时单调递增; 当时,,此时单调递减; 当时,,此时单调递增. 所以当时,取得极大值,极大值为,()()()()h x g x af x a =-∈R ()h x ()22f π=π-()22sin f x x x '=-()2f 'π=π()y f x =()(),f ππ()()222y x -π-=π-π222y x =π-π-2()e (cos sin 22)(2cos )x h x x x x a x x =-+--+()()()()e cos sin 22e sin cos 222sin x xh x x x x x x a x x '=-+-+--+--=()()2e sin 2sin x x x a x x ---()()2e sin x a x x =--()sin m x x x =-()1cos 0m x x '=-…()m x R (0)0m =0x >()0m x >0x <()0m x <0a „e x a -0>0x <()0h x '<()h x (),0-∞0x >()0h x '>()h x ()0,+∞0x =()h x ()021h a =--0a >()()()ln 2e esin x ah x x x '=--()0h x '=1ln x a =2=0x 01a <<ln 0a <(),ln x a ∈-∞()0h x '>()h x ()ln ,0x a ∈()0h x '<()h x ()0,x ∈+∞()0h x '>()h x ln x a =()h x ()()()2ln ln 2ln sin ln cos ln 2h a a a a a a ⎡⎤=--+++⎣⎦当时,取得极小值,极小值是; ②当时,,所以当时,,函数在上单调递增,无极值点; ② 当时,,所以 当时,,此时单调递增; 当时,,此时单调递减; 当时,,此时单调递增; 所以当时,取得极大值,极大值为; 当时,取得极小值,极小值为.综上所述:当时,在上单调递减,在上单调递增, 函数有极小值,极小值为;当时,函数在和上单调递增,在上单调递减,函数有极大值,也有极小值,极大值是,极小值是;当时,函数在上单调递增,无极值;当时,函数在和上单调递增,在上单调递减,函数有极大值,也有极小值, 极大值是,极小值是.26.(2017北京理19)19.已知函数.(1)求曲线在点处的切线方程;0x =()h x ()021h a =--1a =ln 0a =(),x ∈-∞+∞()0h x '…()h x (),-∞+∞1a >ln 0a >(),0x ∈-∞()0h x '>()h x ()0,ln x a ∈()0h x '<()h x ()ln ,x a ∈+∞()0h x '>()h x 0x =()h x ()021h a =--ln x a =()h x ()()()2ln ln 2ln sin ln cos ln 2h a a a a a a ⎡⎤=--+++⎣⎦0a „()h x (),0-∞()0,+∞()h x ()021h a =--01a <<()h x (),ln a -∞()0,+∞()ln ,0a ()h x ()()()2ln ln 2ln sin ln cos ln 2h a a a a a a ⎡⎤=--+++⎣⎦()021h a =--1a =()h x (),-∞+∞1a >()h x (),0-∞()ln ,a +∞()0,ln a ()h x ()021h a =--()()()2ln ln 2ln sin ln cos ln 2h a a a a a a ⎡⎤=--+++⎣⎦()e cos xf x x x =-()y f x =()()0,0f(2)求函数在区间上的最大值和最小值.26.解析 (1)因为,所以,. 又因为,所以曲线在点处的切线方程为.(2)设,则. 当时,,所以在区间上单调递减. 所以对任意,有,即. 所以函数在区间上单调递减.因此在区间上的最大值为,最小值为.10.(2014 辽宁理 21)(本小题满分12分)已知函数()()()cos 2f x x x x =-π+-()8sin 13x +,()()()23πcos 41sin ln 3x g x x x x ⎛⎫=--+- ⎪π⎝⎭.证明:(1)存在唯一00,2x π⎛⎫∈ ⎪⎝⎭,使()00f x =; (1)存在唯一1,2x π⎛⎫∈π⎪⎝⎭,使()10g x =,且对(1)中的01x x +<π. 16.【2012高考真题全国卷理20】(本小题满分12分)(注意:在试题卷上作答无效.........) 设函数f (x )=ax+cosx ,x ∈[0,π].(Ⅰ)讨论f (x )的单调性;(Ⅱ)设f (x )≤1+sinx ,求a 的取值范围. 【答案】()f x π0,2⎡⎤⎢⎥⎣⎦()e cos x f x x x =-()e (cos sin )1x f x x x '=--(0)0f '=(0)1f =()y f x =(0,(0))f 1y =()e (cos sin )1xh x x x =--()e (cos sin sin cos )2e sin xxh x x x x x x '=---=-π0,2x ⎛⎫∈ ⎪⎝⎭()0h x '<()h x π0,2⎡⎤⎢⎥⎣⎦π0,2x ⎡⎤∈⎢⎥⎣⎦()(0)0h x h =„()0f x '„()f x π0,2⎡⎤⎢⎥⎣⎦()f x π0,2⎡⎤⎢⎥⎣⎦(0)1f =ππ22f ⎛⎫=- ⎪⎝⎭(2013)北京文已知函数2()sin cos f x x x x x =++(1)若曲线()y f x =在点(,())a f a 处与直线y b =相切,求a 与b 的值。
复习题1.已知集合{230}A x x =∈-≥R ,集合2{320}B x x x =∈-+<R ,则A B =( )(A )32x x ⎧⎫≥⎨⎬⎩⎭ (B )322x x ⎧⎫≤<⎨⎬⎩⎭ (C ){}12x x << (D )322x x ⎧⎫<<⎨⎬⎩⎭2.已知2log 3a =,12log 3b =,123c -=,则A.c b a >> B .c a b >> C.a b c >> D.a c b >> 3.[2014·太原模拟]函数y =(12)x 2+2x -1的值域是( ) A.(-∞,4) B.(0,+∞) C.(0,4] D.[4,+∞)4.已知0.6log 0.5a =,ln 0.5b =,0.50.6c =.则( )(A )>>a b c (B )>>a c b (C )>>c a b (D )>>c b a5.函数y=x 2﹣2x ﹣1在闭区间[0,3]上的最大值与最小值的和是( ) A .﹣1 B .0 C .1 D .26.[2014·郑州质检]要得到函数y =cos2x 的图象,只需将函数y =sin2x 的图象沿x 轴( )A.向右平移4π个单位 B.向左平移4π个单位 C.向右平移8π个单位 D.向左平移8π个单位7.(5分)(2011•湖北)已知函数f (x )=sinx ﹣cosx ,x ∈R ,若f (x )≥1,则x的取值范围为( ) A.{x|k π+≤x≤k π+π,k ∈Z} B.{x|2k π+≤x≤2k π+π,k ∈Z} C.{x|k π+≤x≤k π+,k ∈Z} D.{x|2k π+≤x≤2k π+,k ∈Z}8.函数()si ()n f x A x ωϕ=+(000A ωϕπ>><<,,)的图象如图所示,则(0)f 的值为 ( )A .1B .0 C9.已知函数)sin()(ϕω+=x A x f ),0,0(πϕπω<<->>A 的部分图象如图所示,则函数)(x f 的解析式为( )A .)421sin(2)(π+=x x fB .)4321sin(2)(π+=x x f C .)421sin(2)(π-=x x fD .)4321sin(2)(π-=x x f 10.已知函数)2||,0,0)(sin()(πϕωϕω<>>+=A x A x f ,其导函数)(x f '的部分图象如图所示,则函数)(x f 的解析式为( )A .)421sin(2)(π+=x x fB .)421sin(4)(π+=x x fC .)421sin(2)(π-=x x fD .)421sin(4)(π-=x x f11.函数f(x)=Asin(ωx +φ)(A >0,ω>0)的图象如图所示.为了得到g(x)=-Acosωx(A >0,ω>0)的图象,可以将f(x)的图象( )A .向右平移12π个单位长度B .向右平移512π个单位长度 C .向左平移12π个单位长度D .向左平移512π个单位长度12.若1tan()47πα+=,则tan α=( )(A )34 (B )43 (C )34- (D )43-13.已知函数x x f ωcos )(=)0,(>∈ωR x 的最小正周期为π,为了得到函数()=x g)4sin(πω+x 的图象,只要将()x f y =的图象( )A .向左平移8π个单位长度 B .向右平移8π个单位长度 C .向左平移4π个单位长度 D .向右平移4π个单位长度14.函数y =cos 2x 在下列哪个区间上是减函数( ) A.-4,4ππ⎤⎡⎥⎢⎣⎦, B.344ππ⎡⎤⎢⎥⎣⎦, C.02π⎡⎤⎢⎥⎣⎦, D.[,]2ππ15.为了得到sin 2y x =的图象,只需将sin(2)3y x π=+的图象 ( )A .向右平移3π个长度单位B .向右平移6π个长度单位C .向左平移6π个长度单位 D .向左平移3π个长度单位16.已知1sin(),(0,)22ππαα+=-∈,则cos α的值为 .17.设角α是第三象限角,且sin2α=-sin2α,则角2α是第________象限角. 18.若 tan α=3,则 sin 2α-2 sin αcos α+3 cos 2α=______. 19.若sin 3πα⎛⎫- ⎪⎝⎭=35,则cos 6πα⎛⎫+ ⎪⎝⎭=________.20.已知0<x<π,sinx +cosx =15. (1)求sinx -cosx 的值;(2)求tanx 的值.21.已知函数().1cos 2cos sin 322-+=x x x x f(I)求函数()x f 的单调增区间; (II)当⎥⎦⎤⎢⎣⎡∈2,0πx 时,求函数()x f 的最大值及相应的x 值.参考答案1.B 【解析】试题分析:3{230}[,).2A x x =∈-≥=+∞R 2{320}(1,2).B x x x =∈-+<=R 所以A B =322x x ⎧⎫≤<⎨⎬⎩⎭.考点:集合运算 2.D 【解析】试题分析:由对数函数的性质知1a >,0b <,由幂函数的性质知01c <<,故有a c b >>. 考点:对数、幂的比较大小 3.C【解析】设t =x 2+2x -1,则y =(12)t. 因为t =(x +1)2-2≥-2,y =(12)t为关于t 的减函数, 所以0<y =(12)t ≤(12)-2=4, 故所求函数的值域为(0,4].4.(B ) 【解析】 试题分析:由0.60.6log 0.5>log 0.6=1,1a >.ln 0.5ln10,0b <=<.0.5000.60.61,01c <<=∴<<.可得a c b >>.故选(B )考点:1.对数函数的性质.2.指数函数的性质.3.数的大小比较. 5.B【解析】∵y=x 2﹣2x ﹣1=(x ﹣1)2﹣2 ∴当x=1时,函数取最小值﹣2, 当x=3时,函数取最大值2 ∴最大值与最小值的和为0 故选B 6.B【解析】∵y =cos2x =sin(2x +2π),∴只需将函数y =sin2x 的图象沿x 轴向4π个单位,即得y =sin2(x +4π)=cos2x 的图象,故选B. 7.B 【解析】试题分析:利用两角差的正弦函数化简函数f (x )=sinx ﹣cosx ,为一个角的一个三角函数的形式,根据f (x )≥1,求出x 的范围即可.解:函数f (x )=sinx ﹣cosx=2sin (x ﹣),因为f (x )≥1,所以2sin (x ﹣)≥1,所以,所以f (x )≥1,则x 的取值范围为:{x|2k π+≤x≤2k π+π,k ∈Z}故选B点评:本题是基础题考查三角函数的化简,三角函数不等式的解法,考查计算能力,常考题型. 8.A 【解析】试题分析:由已知,4112,(),2,3126A T πππω==⨯-==,所以()2sin 2()f x x ϕ=+, 将(),26π代人得,()2,s 2si in(6)1n 23ππϕϕ==⨯++,所以,,326πππϕϕ==+, ()2sin 2(0)2sin 2(),(01662s n 6)i f x x f πππ⨯===+=+,故选A .考点:正弦型函数,三角函数求值.9.B 【解析】试题分析:由图象可知函数的最大值为2,最小值为-2,所以2A =; 由图象可知函数的周期324,22T πππ⎛⎫⎛⎫=⨯--= ⎪⎪⎝⎭⎝⎭所以221=42T ππωπ== 所以,13-+==2224πππϕϕ⎛⎫⨯∴ ⎪⎝⎭, 所以函数的解析式为:)4321sin(2)(π+=x x f 故答案选B.考点:三角函数的图象与性质. 10.B 【解析】试题分析:因为()()sin f x A x ωϕ=+,所以 ()()cos f x A x ωωϕ'=+由()f x ' 图象知32,4222T T ππππ⎛⎫=--=∴= ⎪⎝⎭,22142T ππωπ=== 2A ω=,4A ∴= 10224ππϕϕ⎛⎫⨯-+=⇒= ⎪⎝⎭ ()14sin 24f x x π⎛⎫∴=+ ⎪⎝⎭故选B.考点:1、导数的求法;2、三角函数的图象与性质. 11.B【解析】由图象知,f(x)=sin 23x π⎛⎫+⎪⎝⎭,g(x)=-cos 2x ,代入B 选项得sin 52123x ππ⎡⎤⎛⎫-+ ⎪⎢⎥⎝⎭⎣⎦=sin 22x π⎛⎫- ⎪⎝⎭=-sin 22x π⎛⎫- ⎪⎝⎭=-cos 2x . 12.(C ) 【解析】试题分析:由1tan()47πα+=所以tan 113,tan 1tan 74ααα+=∴=--.故选(C ). 考点:1.角的和差公式.2.解方程的思想.13.B 【解析】试题分析:由于函数x x f ωcos )(=)0,(>∈ωR x 的最小正周期为π,所以2ω=.所以函数()cos 2f x x = sin(2)2x π=+.所以将函数()x f y =向右平移8π即可得到()sin(2)4g x x π=+.故选B.考点:1.函数的平移.2.函数的诱导公式. 14.C 【解析】试题分析:A :当[,]44x ππ∈-时,2[,]22x ππ∈-,不是减函数; B :当3[,]44x ππ∈时,32[,]22x ππ∈,不是减函数; C :当[0,]2x π∈时,2[0,]x π∈,是减函数;D :当[,]2x ππ∈时,2[,2]x ππ∈,不是减函数,故选C.考点:三角函数单调性判断.15.B 【解析】试题分析:sin(2)3y x π=+sin 2()6x π=+,所以向右平移6π个长度单位即可. 考点:三角函数的平移变换. 16.23 【解析】试题分析:1s i n ()s i n 2παα+=-=-,即1sin 2α=,又(0,)2πα∈,故c o s i n 2α==.考点:诱导公式,同角三角函数的基本关系式. 17.四【解析】由α是第三象限角,知2k π+π<α<2k π+32π (k ∈Z),k π+2π<2α<k π+34π(k ∈Z),知2α是第二或第四象限角,再由sin 2α=-sin 2α知sin 2α<0,所以2α只能是第四象限角. 18.35【解析】sin 2α-2 sin αcos α+3 cos 2α=2222sin 2sin cos 3cos sin cos αααααα-++ =22tan 2tan 3tan 1ααα-++=12610-=35. 19.-35【解析】cos 6πα⎛⎫+⎪⎝⎭=cos 32ππα⎡⎤⎛⎫-+ ⎪⎢⎥⎝⎭⎣⎦=-sin 3πα⎛⎫- ⎪⎝⎭=-35. 20.(1)75(2)-43【解析】(1)∵sinx +cosx =15,∴1+2sinxcosx =125, ∴2sinxcosx =-2425,又∵0<x<π,∴sinx>0,2sinxcosx =-2425<0,∴cosx<0,∴sinx -cosx>0,∴sinx -cosx 75=.(2)111717sinx cosx tanx sinx cosx tanx ++=,=--,tanx =-43.21.(I) ()x f 的单调递增区间为()Z k k k ∈⎥⎦⎤⎢⎣⎡+-6.3ππππ (II)6π=x 时. ()x f 取最大值,最大值为2.【解析】试题分析:(I)()1cos 2cos sin 322-+=x x x x f x x 2cos 2sin 3+=⎪⎭⎫⎝⎛+=62sin 2πx 令()Z k k x k ∈+≤+≤-226222πππππ得()Z k k x k ∈+≤≤-63ππππ∴()x f 的单调递增区间为()Z k k k ∈⎥⎦⎤⎢⎣⎡+-6.3ππππ (II)由⎥⎦⎤⎢⎣⎡∈2,0πx 可得67626πππ≤+≤x 所以当,262ππ=+x 即6π=x 时. ()x f 取最大值,最大值为2.考点:本题主要考查三角函数的和差倍半公式,三角函数的图象和性质。
专题25导数中的三角函数问题1.已知函数()e (sin cos )x f x x x kx =++,R k ∈,()(),()().g x f x h x g x ''==(1)已知(0)(0)f h =,求k 的值;(2)是否存在k ,使得对任意R x ∈,恒有()2()2()0h x g x f x -+=成立?说明理由.【解析】(1)因为()()()e 2cos x g x f x x kx k '==++,()()()e 2cos 2sin 2xh x g x x x kx k '==-++,所以()022h k =+,而()01f =,由221k +=解得12k =-.(2)对任意R x ∈,()2()2()0h x g x f x -+=恒成立,即()()e 2cos 2sin 22e 2cos 2e (sin cos )0x x x x x kx k x kx k x x kx -++-+++++=,化简可得,0kx =,所以0k =时,可使得对任意R x ∈,恒有()2()2()0h x g x f x -+=成立.2.设函数()sin x f x e a x b =++.(1)若()f x 在0x =处的切线为10x y --=,求,a b 的值;(2)当[)1,0,a x =∈+∞时,()0f x ≥恒成立,求b 的范围.【解析】(1)由()sin x f x e a x b =++得:()cos x f x e a x =+',且()01f b =+.由题意得:()001f e a '=+=,即0a =,又()0,1b +在切线10x y --=上.∴0110b ---=,得2b =-.(2)当1a =时,()sin x f x e x b =++,得()cos xf x e x '=+,当[)0,x ∈+∞时,[]1,cos 1,1xe x ≥∈-,当cos 1x =-时,2,x k k N ππ=+∈,此时e 1x >.∴()0f x ¢>,即()f x 在[)0,+∞上单调递増,则()()min 01f x f b ==+,要使()0f x ≥恒成立,即10b +≥,∴1b ≥-.3.设函数()2cos ,x f x e a x a =+∈R .(1)若()f x 在0,2π⎛⎫⎪⎝⎭上存在零点,求实数a 的取值范围;(2)证明:当[]1,2,0,2a x π⎛⎫∈∈ ⎪⎝⎭时,()23f x x +.【解析】(1)设()2,()cos x g x e h x a x ==,因为当0,2x π⎛⎫∈ ⎪⎝⎭时,()g x 为增函数,当0a ≥时,0()h x a ≤≤,22()2g x e π<<,所以()f x 在0,2π⎛⎫ ⎪⎝⎭上恒大于零,所以()f x 在0,2π⎛⎫⎪⎝⎭上不存在零点,当0a <时,()h x 在0,2π⎛⎫⎪⎝⎭上为增函数,根据增函数的和为增函数,所以()f x 在0,2π⎛⎫⎪⎝⎭上为单调函数,所以()f x 在0,2π⎛⎫⎪⎝⎭上若有零点,则仅有1个,所以(0)()02f f π<,即2(2)20a e π+⋅<,解得2a <-,所以实数a 的取值范围(,2)-∞-(2)证明:设()()232cos 23x G x f x x e a x x =--=+--,则'()2sin 2x G x e a x =--,则'0(0)2sin 020G e a =--=,所以''()2cos xG x e a x ⎡⎤=-⎣⎦,因为[1,2]a ∈,所以''()0G x ⎡⎤≥⎣⎦,所以'()G x 在0,2π⎛⎫ ⎪⎝⎭上递增,'()0G x >在0,2π⎛⎫⎪⎝⎭上恒成立,所以()G x 在0,2π⎛⎫⎪⎝⎭上递增,而(0)231G a a =+-=-,因为[1,2]a ∈,所以(0)0G ≥,所以()0G x ≥恒成立,所以当[1,2]a ∈时,()23f x x +4.已知函数()sin ,[0,],0x f x ae x x x a π=++∈<.(1)证明:当1a =-时,函数()f x 有唯一的极大值;(2)当()21f x x <-恒成立,求实数a 的取值范围.【解析】(1)证明:()e cos 1x f x a x '=++,因为[]0,x π∈,所以1cos 0x +≥,当1a =-时,()cos 1x f x e x '=-++,令()e cos 1,()e sin 0x x g x x g x x '=-++=--<,()g x 在区间[]0,π上单调递减;(0)121,()e 0g g ππ=-+==-<,存在()00,π∈x ,使得()00f x '=,所以函数()f x 递增区间是[]00,x ,递减区间是[]0,x π.所以函数()f x 存在唯一的极大值()0f x .(2)由()21f x x <-,即令()e sin 10,0,()e cos 10'=+-+<<∴=+-<x x h x a x x a h x a x ,()h x ∴在区间[]0,π上单调减函数,()(0)1≤=+h x h a ,只要10a +<即可,即1a <-.5.已知函数()cos x f x e x ax =--.(1)当a=2时,证明:()f x 在(),0-∞上单调递减.(2)若对任意x≥0,()cos f x x x ≥-恒成立,求实数a 的取值范围.【解析】(1)证明:当a=2时,函数()cos 2x f x e x x =--,()sin 2x f x e x '=+-,若0x <,则1x e <,.因为sin 1x <,所以()sin 20x f x e x '=+-<,故()f x 在(),0-∞上单调递减.(2)解:当0x =时,()01f x =≥-,对a ∈R 恒成立;当x>0时,由()cos f x x x >-,整理得1xea x≤-.设()1xe g x x=-,则2(1)()x e x g x x -'=.令()0g x '>,得1x >,则()g x 在()1,+∞上单调递增令()0g x '<,得01x <<,则()g x 在(0,1)上单调递减.所以min ()(1)1g x g e ==-,1a e -≤.综上,实数a 的取值范围是(],1e -∞-.6.已知函数()()e cos xf x a x x a R =--∈(1)若2a =,求曲线()y f x =在()()0,0f 处的切线方程;(2)若()f x 在()0,π上有两个极值点,求实数a 的取值范围.【解析】(1)当2a =时,()2e cos xf x x x =--,()2e sin 1x f x x '∴=+-,()002e sin 011f '∴=+-=,()02e cos0010f --== ,∴()y f x =在()()0,0f 处的切线方程为()110y x -=⨯-,即10x y -+=;(2)()f x 在()0,π上有两个极值点等价于()e sin 10xf x a x '=+-=在()0,π上有两个不同的实数根,即1sin e x x a -=在()0,π上有两个不同的实数根,令()1sin e xxh x -=,()0,πx ∈,()π1sin cos 14ee xxx x x h x ⎛⎫-- ⎪--⎝⎭'∴==令()0h x '=,解得π2x =,当π0,2x ⎛⎫∈ ⎪⎝⎭时,()0h x '<,()h x 单调递减;当π,π2x ⎛⎫∈ ⎪⎝⎭时,()0h x '>,()h x 单调递增;又()01sin 001e h -==,π2π1sin π202e h -⎛⎫== ⎪⎝⎭,()()πππ1sin π1πe 0,1e e h --===∈,∴当()π0,e a -∈时,方程1sin exx a -=在()0,π上有两个不同的实数根,∴实数a 的取值范围为()π0,e -.7.已知函数()e sin xf x x ax=+(1)若1a =,判断f (x )在(2π-,0)的单调性;(2)()f x 在[0,2π]上有且只有2个零点,求a 的取值范围.【解析】(1)当1a =时,()e sin ,(,0)2xf x x ax x π=+∈-()e sin e cos 1sin 14x x x f x x x x π⎛⎫=++=++ ⎪⎝⎭'.当,02x π⎛⎫∈- ⎪⎝⎭时,,444x πππ⎛⎫+∈- ⎪⎝⎭,所以sin 112424x x ππ⎛⎫⎛⎫-<+<-<+< ⎪ ⎪⎝⎭⎝⎭,又0e 1x <<,sin 14xx π⎛⎫+>- ⎪⎝⎭,从而()0f x '>,所以,f (x )在(2π-,0)上单调递增;(2)由函数()e sin 0,2xf x x axx π⎡⎤=+∈⎢⎥⎣⎦,,可知()00f =,则f (x )在0,2x π⎛⎤∈ ⎥⎝⎦上有且只有1个零点.()e sin e cos x x f x x x a +'=+,令()e sin e cos x x h x x x a =++,则()2e cos 0xh x x '=≥在[0.2π]上恒成立.即()f x '在[0,2π]上单调递,()201e 2f a f aππ⎛'⎫=+=⎪⎭'+ ⎝,当1a ≥-时,()()00f x f '≥'≥,f (x )在[0.2π]上单调递增.则f (x )在(0,2π]上无零点,不合题意,舍去,当π2e a ≤-时,()02f x f π⎛⎫'≤'≤ ⎪⎝⎭,()f x 在[0,2π]上单调递减,则()f x 在(0,2π]上无零点,不合题意,舍去,当2e 1a π-<<-时,2(0)10,()e 02f a f a ππ'=+<'=+≥则()f x '在(0,2π)上只有1个零点,设为0x .且当0(0,)x x ∈时,()0f x <′;当0,2x x π⎛⎫∈ ⎪⎝⎭时,()0f x >′所以当()00x x ∈,时,()f x 在(0,0x )上单调递减,在(0x ,2π)上单调递增,又()200e 22f f a πππ⎛⎫==+ ⎪⎝⎭,,因此只需2e 022f a ππ⎛⎫=+≥ ⎪⎝⎭即可,即22e 1a ππ-≤<-综上所述:22e 1παπ-≤<-8.已知函数()sin cos f x x ax x =-,a ∈R(1)若()f x 在0x =处的切线为y x =,求实数a 的值;(2)当13a ≥,[0,)x ∈+∞时,求证:()2.f x ax ≤【解析】(1)∵()cos cos sin f x x a x ax x '=-+,∴(0)11f a '=-=,∴0a =(2)要证()2f x ax ≤,即证sin cos 2x ax x ax -≤,只需证sin (2cos )x ax x ≤+,因为2cos 0x +>,也就是要证sin 02cos x ax x -≤+,令sin ()2cos xg x ax x =-+,22cos (2cos )sin (sin )2cos 1()(2cos )(2cos )x x x x x g x a a x x +--+'=-=-++∵13a ≥,∴2222cos 11(cos 1)()0(2cos )33(2cos )x x g x x x +--'≤-=≤++∴()g x 在[0,)+∞为减函数,∴()(0)0g x g ≤=,∴sin cos 2x ax x ax -≤,得证9.已知函数()ln f x x x =.(1)求()f x 的图象在点()()1,1A f 处的切线方程,并证明()f x 的图象上除点A 以外的所有点都在这条切线的上方;(2)若函数()()()ln 1sin cos g x x x f x x =+-,1π,e 2x ⎡⎫∈⎪⎢⎣⎭,证明:()11cos e e g x ≥.(其中e 为自然对数的底数)【解析】(1)()ln f x x x = ,则()1ln f x x '=+,()()11,10f f '∴==.()f x ∴的图象在点()()1,1A f 处的切线方程为1y x =-.设()ln 1h x x x x =-+,则()ln h x x '=,令()0h x '<,得()0,1x ∈;令()0h x '>,得()1,x ∈+∞.()h x ∴在()0,1上单调递减,在()1,+∞上单调递增,∴当0x >且1x ≠时,()()10h x h >=,()f x ∴的图象上除点A 以外的所有点都在这条切线的上方;(2)由题可知,()()ln 1sin ln cos g x x x x x x =+-,1π,e 2x ⎡⎫∈⎪⎢⎣⎭.()()sin 1ln 1cos ln cos cos ln sin ln sin ,xg x x x x x x x x x x x x x x⎛⎫'∴=++--+=+ ⎪⎝⎭1π,e 2x ⎡⎫∈⎪⎢⎣⎭,sin 0x ∴>,由(1)知ln 1x x x ≥-,当且仅当1x =时,等号成立,11ln 1110x x x x x ∴+≥+-≥-=>.()0g x '∴>,函数()g x 在区间1π,e 2⎡⎫⎪⎢⎣⎭上为增函数。
第二十九讲带三角函数的导数题知识与方法带有三角函数的导数题,处理方法与指数、对数、多项式函数有类似的地方,也有不同之处.在研究带三角部分的函数的零点、单调性时,除了常规的那些方法之外,还要适时运用下面的几个技巧:1.sin x 和cos x 的有界性:例如当x →+∞时,x ,x e ,ln x 这些部分都会不断增大,趋于+∞,而sin x ,cos x 则始终在[]1,1-内震荡,利用这一特征,我们可以抓住函数的各个部分之中影响函数值的主要部分,放缩掉次要部分,进而分区间进行讨论.这是三角类导数题相比其它导数题最主要的独特特征.2.取点技巧:在论证函数零点时,往往需要取点,而三角函数的取点,很多时候可以考虑取一些特殊的角,如2π、π、π-等.3.三角不等式:sin tan x x x <<02x π⎛⎫<< ⎪⎝⎭,熟悉这一不等式及其图形背景,解决问题时可用于适度放缩.典型例题【例1】已知函数()()12sin 0f x x x x =+->,()()sin 0g x x x x =-≥(1)求()f x 和()g x 的最小值;(2)证明:()2xf x e ->【解析】解:(1)由题意,()12cos f x x '=-,当0,3x π⎛⎫∈ ⎪⎝⎭时,()0f x '<,当,3x ππ⎛⎫∈ ⎪⎝⎭时,()0f x '>,所以()f x 在0,3π⎛⎫ ⎪⎝⎭上单调递减,在,3ππ⎛⎫⎪⎝⎭上单调递增,故()f x 在()0,π上的最小值为133f ππ⎛⎫=+- ⎪⎝⎭,又当x π≥时,()12sin 123f x x x f ππ⎛⎫=+-≥+-> ⎪⎝⎭,所以()f x的最小值为13π+-,另一方面,()1cos 0g x x '=-≥,所以()g x 在[)0,+∞上单调递增.故()()min 00g x g ==.(2)要证()2x f x e ->,只需证212sin x x x e -+->,即证()212sin 1x x x e +->,设()()212sin x h x x x e =+-()0x >,则()()()22324sin 2cos 22sin 32sin 2cos x x h x x x x e x x x x e '=+--=-+--,由(1)知当0x >时,sin x x >,所以22sin 0x x ->,而32sin 2cos 304x x x π⎛⎫--=-+> ⎪⎝⎭,所以()0h x '>在()0,+∞上恒成立,故()h x 在()0,+∞上单调递增,结合()01h =知()1h x >,所以()212sin 1x x x e +->,故不等式()2x f x e ->成立.【例2】已知函数()ln 2sin f x x x x =-+,()f x '为()f x 的导函数.(1)证明:()f x '在()0,π上存在唯一的零点;(2)判断()f x 的零点个数,并给出证明.【解析】解法1:(1)由题意,()f x 的定义域为()0,+∞,()112cos f x x x'=-+,()212sin f x x x ''=--,当()0,x π∈时,()0f x ''<,所以()f x '在()0,π上单调递减,又()12cos10f '=>,2102f ππ⎛⎫'=-< ⎪⎝⎭,所以()f x '在()0,π上存在唯一的零点.(2)设()f x '在()0,π上的零点为0x 012x π⎛⎫<< ⎪⎝⎭,由(1)可得当()00,x x ∈时,()0f x '>,()f x 单调递增;当()0,x x π∈时,()0f x '<,()f x 单调递减,111111ln 2sin ln 22sin 222222f ⎛⎫=-+=--+ ⎪⎝⎭,因为126π<,所以1sin sin 262ππ<=,故12sin12<,而1ln 212--<-,所以102f ⎛⎫< ⎪⎝⎭,又ln 20222f πππ⎛⎫=-+> ⎪⎝⎭,所以()f x 在1,22π⎛⎫ ⎪⎝⎭上有一个零点,又()ln 0f πππ=-<,所以()f x 在,2ππ⎛⎫⎪⎝⎭上有一个零点,另一方面,当3,2x ππ⎡⎤∈⎢⎣⎦时,()112cos 0f x x x '=-+<,所以()f x 在3,2ππ⎡⎤⎢⎣⎦上没有零点,当32x π>时,易证ln 2x x x e ≤<,,所以()ln 2sin 2sin 2sin 22x xf x x x x x x x =-+<-+=-,而2sin 2x ≤,1132222x π>⨯>,所以()0f x <,故()f x 在3,2π⎛⎫+∞ ⎪⎝⎭上没有零点,综上所述,()f x 在定义域()0,+∞上有且仅有2个零点.解法2:(1)由题意,()f x 的定义域为()0,+∞,()112cos f x x x '=-+,()212sin f x x x''=--,当()0,x π∈时,()0f x ''<,所以()f x '在()0,π上单调递减,又303f ππ⎛⎫'=> ⎪⎝⎭,2102f ππ⎛⎫'=-< ⎪⎝⎭,所以()f x '在()0,π上存在唯一的零点.(2)设()f x '在()0,π上的零点为0x 032x ππ⎛⎫<< ⎪⎝⎭,由(1)可得当()00,x x ∈时,()0f x '>,()f x 单调递增;当()0,x x π∈时,()0f x '<,()f x单调递减,22211122sin 0f e e e ⎛⎫=--+< ⎪⎝⎭,()0ln 0333f x f πππ⎛⎫>=-+ ⎪⎝⎭,所以()f x 在021,x e ⎛⎫⎪⎝⎭上有一个零点,又()ln 0f πππ=-<,所以()f x 在()0,x π上有一个零点,当[],2x ππ∈时,()ln 2sin ln f x x x x x x =-+≤-,易证ln 1x x ≤-,所以ln 110x x x x -≤--=-<,从而()0f x <恒成立,故()f x 在[],2ππ上没有零点,当()2,x π∈+∞时,()ln 2sin ln 2f x x x x x x =-+≤-+,设()()ln 22g x x x x π=-+>,则()110g x x'=-<,所以()g x 在()2,π+∞上单调递减,结合()()2ln 2220g πππ=-+<知()0g x <,所以()0f x <,故()f x 在()2,π+∞上没有零点,综上所述,()f x 在定义域()0,+∞上有且仅有2个零点.【例3】已知函数()ln sin f x a x x x =-+,其中a 为非零常数.(1)若函数()f x 在()0,+∞上单调递增,求a 的取值范围;(2)设3,2πθπ⎛⎫∈ ⎪⎝⎭,且cos 1sin θθθ=+,证明:当2sin 0a θθ<<时,()f x 在()0,2π上恰有两个极值点.【解析】(1)由题意,()cos 1af x x x'=-+,因为()f x 在()0,+∞上单调递增,所以()0f x ''≥恒成立,即cos 10ax x-+≥,所以()cos 1a x x ≥-,因为0x >,cos 10x -≤,所以()cos 10x x -≤,又当2x π=时,()cos 10x x -=,所以()cos 1x x -的最大值是0,因为()cos 1a x x ≥-,所以0a ≥,故实数a 的取值范围是[)0,+∞.(2)由(1)知()()1cos 1cos a f x x a x x x x x'=-+=-+设()cos g x a x x x =-+()02x π<<,则()cos sin 1g x x x x '=-++,()2sin cos g x x x x ''=+,当0x π<≤时,cos 10x -+>,sin 0x x ≥,所以()0g x '>;当32x ππ<<时,()0g x ''<,所以()g x '在3,2ππ⎛⎫⎪⎝⎭上单调递减,又()20g π'=>,331022g ππ⎛⎫'=-< ⎪⎝⎭,所以()g x '在3,2ππ⎛⎫ ⎪⎝⎭上有一个零点,又3,2πθπ⎛⎫∈ ⎪⎝⎭且cos 1sin θθθ=+,所以()cos sin 10g θθθθ'=-++=,从而()g x '在3,2ππ⎛⎫⎪⎝⎭上的零点就是θ,且当x πθ<<时,()0g x '>,当302x π<<时,()0g x '<;当322x ππ≤<时,易得()3cos sin 0g x x x x '''=->,所以()g x ''在3,22ππ⎛⎫⎪⎝⎭上单调递增,因为3202g π⎛⎫''=-<⎪⎝⎭,()220g ππ''=>所以()g x ''在3,22ππ⎛⎫⎪⎝⎭上有一个零点,记作0x ,且当032x x π≤<时,()0g x ''<;当02x x π<<时,()0g x ''>,所以()g x '在03,2x π⎡⎫⎪⎢⎣⎭上单调递减,在()0,2x π上单调递增,又331022g ππ⎛⎫'=-<⎪⎝⎭,()20g π'=,所以()0g x '<在3,22ππ⎡⎫⎪⎢⎣⎭上恒成立;综上所述,当0x θ<<时,()0g x '>;当02x π<<时,()0g x '<,所以()g x 在()0,θ上单调递增,在(),2θπ上单调递减,()()02g g a π==,()cos g a θθθθ=-+,又2sin 0a θθ<<,且cos 1sin θθθ=+,所以()00g <,()20g π<,()()2cos 1sin sin 0g a a a θθθθθθθθθθ=-+=-++=->,从而()g x 在()0,θ和(),2θπ上各有一个零点,分别记作1x 和2x ,则()()1200f x g x x x x '>⇔>⇔<<,()()1000f x g x x x '<⇔<⇔<<或22x x π<<,所以()f x 在()10,x 上单调递减,在()12,x x 上单调递增,在()2,2x π上单调递减,故()f x 在()0,2π上恰有两个极值点.强化训练1.已知函数()ln f x x x ax =-()a ∈R (1)讨论()f x 在()1,+∞上的单调性;(2)当1a =时,判断()()3cos 22F x f x x x ππ⎛⎫=+<< ⎪⎝⎭的零点个数,并说明理由.【解析】(1)由题意,()ln 1f x x a '=+-,且当1x >时,ln 0x >,当1a ≤时,10a -≥,所以()0f x '>,从而()f x 在()1,+∞上单调递增;当1a >时,()10a f x x e -'>⇔>,()101a f x x e -'<⇔<<,所以()f x 在()11,a e -上单调递减,在()1,a e -+∞上单调递增.(2)当1a =时,()ln f x x x x =-,()3ln cos 22F x x x x x x ππ⎛⎫=-+<< ⎪⎝⎭,所以()ln sin F x x x '=-,()1cos 0F x x x ''=->,从而()F x '在3,22ππ⎛⎫⎪⎝⎭上单调递增,又ln 1022F ππ⎛⎫'=-< ⎪⎝⎭,33ln 1022F ππ⎛⎫'=+>⎪⎝⎭,所以()F x '在3,22ππ⎛⎫⎪⎝⎭上有唯一的零点,记作0x ,且()0302F x x x π'>⇔<<,()002F x x x π'<⇔<<,故()F x 在0,2x π⎛⎫⎪⎝⎭上单调递减,在03,2x π⎛⎫ ⎪⎝⎭上单调递增,因为ln 02222F ππππ⎛⎫=-< ⎪⎝⎭,3333ln 02222F ππππ⎛⎫=->⎪⎝⎭,所以()F x 有且仅有1个零点.2.已知函数()3sin 2f x ax x =-,其中a ∈R ,且()f x 在0,2π⎡⎤⎢⎣⎦上的最大值为32π-.(1)求a 的值;(2)判断()f x 在()0,π上的零点个数,并给出证明.【解析】(1)()()sin cos f x a x x x '=+,显然sin cos 0x x x +≥在0,2π⎡⎤⎢⎥⎣⎦上恒成立,所以当0a >时,()0f x '≥,故()f x 在0,2π⎡⎤⎢⎥⎣⎦上单调递增,从而()max 332222f x f a πππ-⎛⎫==-= ⎪⎝⎭,解得:1a =,符合题意,当0a <时,()0f x '≤,所以()f x 在0,2π⎡⎤⎢⎥⎣⎦上单调递减,从而()()max 33022f x f π-==-≠,不合题意,当0a =时,()32f x =-,不合题意,综上所述,实数a 的值为1.(2)由(1)知()3sin 2f x x x =-,且()f x 在0,2π⎛⎫⎪⎝⎭上单调递增,又()3002f =-<,3022f ππ-⎛⎫=> ⎪⎝⎭,所以()f x 在0,2π⎛⎫⎪⎝⎭上有一个零点,而()f x '在,2ππ⎡⎫⎪⎢⎣⎭上单调递减,又102f π⎛⎫'=> ⎪⎝⎭,()0f ππ'=-<,所以()f x '在,2ππ⎛⎫⎪⎝⎭上有一个零点1x ,当1,2x x π⎡⎫∈⎪⎢⎣⎭时,()0f x '>,当()1,x x π∈时,()0f x '<,故()f x 在1,2x π⎡⎫⎪⎢⎣⎭上单调递增,在()1,x π上单调递减,又3022f ππ-⎛⎫=> ⎪⎝⎭,()302f π=-<,所以()f x 在,2ππ⎡⎫⎪⎢⎣⎭上有一个零点,综上所述,()f x 在()0,π上有且仅有2个零点.3.已知函数()sin x f x e x =(1)求函数()f x 的单调区间;(2)若对任意的0,2x π⎡⎤∈⎢⎣⎦,()f x ax ≥恒成立,求实数a 的取值范围.【解析】(1)由题意,()()sin cos sin 4x x f x e x x x π⎛⎫'=+=+ ⎪⎝⎭所以()30sin 022224444f x x k x k k x k πππππππππ⎛⎫'>⇔+>⇔<+<+⇔-<<+⎪⎝⎭()370sin 022*******f x x k x k k x k ππππππππππ⎛⎫'<⇔+<⇔+<+<+⇔+<<+⎪⎝⎭,故()f x 的单调递增区间是32,244k k ππππ⎛⎫-+ ⎪⎝⎭,单调递减区间是372,244k k ππππ⎛⎫++ ⎪⎝⎭,其中k ∈Z .(2)()()0sin 0x f x ax f x ax e x ax ≥⇔-≥⇔-≥,设()sin 02x g x e x ax x π⎛⎫=-≤≤ ⎪⎝⎭,则()()sin cos x g x e x x a '=+-,()2cos 0x g x e x ''=≥,所以()g x '在0,2π⎡⎤⎢⎣⎦上单调递增,且()01g a '=-,22g e aππ⎛⎫'=- ⎪⎝⎭当1a ≤时,()00g '≥,所以()0g x '≥恒成立,故()g x 在0,2π⎡⎤⎢⎣⎦上单调递增,又()00g =,所以()0g x ≥恒成立,即sin 0x e x ax -≥,满足题意;当2a e π≥时,02g π⎛⎫'≤ ⎪⎝⎭,所以()0g x '≤恒成立,故()g x 在0,2π⎡⎤⎢⎣⎦上单调递减,又()00g =,所以当0,2x π⎛⎤∈ ⎥⎝⎦时,()0g x <,sin 0x e x ax -<,不合题意;当21a e π<<时,()00g '<,02g π⎛⎫'> ⎪⎝⎭,所以()g x '在0,2π⎛⎫⎪⎝⎭上有唯一的零点,记作0x ,且()000g x x x '<⇔≤<,()002g x x x π'>⇔<≤,所以()g x 在[)00,x 上单调递减,结合()00g =可得当()00,x x ∈时,()0g x <,即sin 0x e x ax -<,不合题意;综上所述,实数a 的取值范围是(],1-∞.4.已知函数()()sin 1x f x e ax x a =-+-∈R .(1)当2a =时,求()f x 的单调区间;(2)当12a ≤<时,证明:()f x 有且仅有2个零点.【解析】(1)当2a =时,()2sin 1x f x e x x =-+-,()2cos x f x e x '=-+,()sin x f x e x ''=-,当0x ≥时,1x e ≥,sin 1x ≤,所以()0f x ''≥,故()f x '在[)0,+∞上单调递增,结合()00f '=知()0f x '≥,所以()f x 在[)0,+∞上单调递增,当0x <时,1x e <,cos 1x ≤,所以()2cos 0x f x e x '=-+<,从而()f x 在(),0-∞上单调递减,综上所述,()f x 的单调递增区间为[)0,+∞,单调递减区间为(),0-∞.(2)由题意,()cos x f x e a x '=-+,()sin x f x e x ''=-,当0x ≥时,()0f x ''≥,所以()f x '在[)0,+∞上单调递增,又12a ≤<,所以()020f a '=->,故()0f x '>恒成立,从而()f x 在[)0,+∞上单调递增,结合()00f =知()f x 在[)0,+∞上有且仅有一个零点,当时0x π-≤<,0x e >,0sinx ≤,所以()0f x ''>,从而()f x '在[),0π-上单调递增,又()10f e a ππ-'-=--<,()020f a '=->,所以()f x '在(),0π-上有一个零点0x ,且当[)0,x x π∈-时,()0f x '<,()f x 单调递减;当()0,0x x ∈时,()0f x '>,()f x 单调递增,又()10f e a πππ--=+->,()00f =,所以()f x 在(),0π-上有一个零点,当x π<-时,()sin 1sin 120x x f x e ax x e a x a ππ=-+->++->->,所以()f x 无零点,综上所述,()f x 有且仅有2个零点.5.已知函数()ln cos 02f x x ax x x x π⎛⎫=+-<≤ ⎪⎝⎭(1)当1a =-时,设()()f x g x x=,证明:()0g x <;(2)若()f x 恰有2个零点,求a 的最小整数值.【解析】(1)当1a =-时,()ln cos 02f x x x x x x π⎛⎫=--<≤ ⎪⎝⎭,()ln cos 1x g x x x =--,()21ln sin 0x g x x x -'=+>,所以()g x 在0,2π⎛⎤⎥⎝⎦上单调递增,又2ln 1022g πππ⎛⎫=-< ⎪⎝⎭,所以()0g x <恒成立.(2)当1a ≤时,()ln cos ln cos f x x ax x x x x x x =+-≤+-,当01x <≤时,ln 0x ≤,()cos cos 10x x x x x -=-<,所以ln cos 0x x x x +-<,从而()0f x <,当12x π<≤时,设()ln cos h x x x x x =+-12x π⎛⎫<≤ ⎪⎝⎭,则()1cos sin 1h x x x x x '=+--,()212sin cos 0h x x x x x ''=---<,所以()h x '在1,2π⎛⎤⎥⎝⎦上单调递减,又()1 cos1sin10h '=-<,所以()0h x '<,从而()h x 在1,2π⎛⎤⎥⎝⎦上单调递减,因为()1cos110h =-<,所以()0h x <,即ln cos 0x x x x +-<,故()0f x <,所以当1a ≤时,()0f x <恒成立,从而()f x 没有零点;当2a =时,()ln 2cos f x x x x x =+-,()12cos 2sin 1f x x x x x'=+--,()214sin 2cos 0f x x x x x ''=---<,所以()f x '在0,2π⎛⎤⎥⎝⎦上单调递减,又11112cos sin 0222f ⎛⎫'=+-> ⎪⎝⎭,()12cos12sin10f '=-<,所以()f x '在1,12⎛⎫⎪⎝⎭上有1个零点,记作0x ,则()000f x x x '>⇔<<,()002f x x x π'<⇔<≤,从而()f x 在()00,x 上单调递增,在0,2x π⎛⎤⎥⎝⎦上单调递减,因为111111ln cos cos ln 20222222f ⎛⎫=+-=--< ⎪⎝⎭,()12cos112cos103f π=->-=,ln 0222f πππ⎛⎫=-< ⎪⎝⎭,所以()f x 在1,12⎛⎫ ⎪⎝⎭和1,2π⎛⎫⎪⎝⎭上各有1个零点,从而()f x 共有2个零点,故a 的最小整数值为2.6.已知函数()sin x x xf x e a=-(1)若曲线()y f x =在点()()0,0f 处的切线方程为2y x b =+,求a ,b 的值;(2)若03a <<,讨论()f x 在()0,π上的零点个数.(参考数据:24.8e π≈)【解析】(1)由题意,()sin x x x f x e a =-,()1cos x x x f x e a -'=-,所以()00f =,()101f a'=-,一方面,()1012f a'=-=,所以1a =-,另一方面,切点()0,0在切线2y x b =+上,所以0b =.(2)由(1)可得()()1cos 1cos xx xa x e xx x f x e a ae ---'=-=,设()()1cos x g x a x e x =--()0x π<<,则()()cos sin x g x a e x x '=---,()()()cos sin sin cos 2sin 0x x xg x e x x e x x e x ''⎡⎤=--+--=>⎣⎦,所以()g x '在()0,π上单调递增,由于03a <<,所以()010g a '=--<,()0g a e ππ'=-+>,从而()g x '在()0,π上有唯一的零点,记作0x ,且()000g x x x '<⇔<<,()00g x x x π'>⇔<<,故()g x 在()00,x 上单调递减,在()0,x π上单调递增,()01g a =-,()()10x g a e ππ=-+>,当01a <≤时,()00g ≤,所以()g x 在()0,π上有唯一的零点,记作1x ,且当10x x <<时,()0g x <,所以()0f x '<,当1x x π<<时,()0g x >,所以()0f x '>,从而()f x 在()10,x 上单调递减,在()1,x π上单调递增,又()00f =,()0f e πππ=>,所以()f x 有且仅有1个零点,当13a <<时,()00g >,又1022g a ππ⎛⎫⎛⎫=-< ⎪ ⎪⎝⎭⎝⎭,所以()g x 在()0,π上有2个零点,记作2x ,3x ()23x x <,且当20x x <<或3x x π<<时,()0g x >,所以()0f x '>,当23x x x <<时,()0g x <,所以()0f x '<,从而()f x 在()20,x 上单调递增,在()23,x x 上单调递减,在()3,x π上单调递增,又()00f =,222120222a e f a e ae ππππππ-⎛⎫=-=< ⎪⎝⎭,()0f e πππ=>,所以()f x 共有2个零点.。
一.选择题(36分,每小题3分)1.已知圆锥的全面积是底面积的3倍,那么该圆锥的侧面展开图扇形的圆心角为A .120° B .150° C .180° D .240°2.设△ABC 的内角A ,B ,C 所对的边分别为a ,b ,c ,若bcosC+ccosB=asinA ,则△ABC 的形状为A .直角三角形B .锐角三角形C .钝角三角形D .不确定3.若函数f (x ),g (x )满足0)()(11⎰-=dx x g x f ,则f (x ),g (x )为区间[﹣1,1]上的一组正交函数,给出三组函数:①f (x )=sin x ,g (x )=cos x ;②f (x )=x+1,g (x )=x ﹣1;③f (x )=x ,g (x )=x 2,其中为区间[﹣1,1]上的正交函数的组数是 A .0 B .1 C .2 D .34.设函数f ′(x )是奇函数f (x )(x ∈R )的导函数,f (﹣1)=0,当x >0时,xf ′(x )﹣f (x )<0,则使得f (x )>0成立的x 的取值范围是 A .(﹣∞,﹣1)∪(0,1) B .(﹣1,0)∪(1,+∞) C .(﹣∞,﹣1)∪(﹣1,0) D .(0,1)∪(1,+∞) 5.已知函数f (x )=Asin (ωx+φ)(A ,ω,φ均为正的常数)的最小正周期为π,当x=时,函数f (x )取得最小值,则下列结论正确的是A .f (2)<f (﹣2)<f (0)B .f (0)<f (2)<f (﹣2)C .f (﹣2)<f (0)<f (2)D .f (2)<f (0)<f (﹣2)6. “a ≤﹣1”是“函数f (x )=lnx+ax+在[1,+∞)上是单调函数”的A .充分不必要条件B .必要不充分条件C .充要条件D .既不充分也不必要条件 7.函数y=sin (ωx+φ)(x ∈R ,ω>0,0≤φ<2π)的部分图象如图,则 A .ω=,φ=B .ω=,φ= C .ω=,φ=D .ω=,φ=8.如图,设点A 是单位圆上的一定点,动点P 从A 出发在圆上按逆时针方向转一周,点P 所旋转过的弧的长为l ,弦AP 的长为d ,则函数d=f (l )的图象大致为ABCD9.函数f (x )=sinx 在区间(0,10π)上可找到n 个不同数x 1,x 2,…,x n ,使得nn x x f x x f x x f )(......)()(2211===则n 的最大值等于A .8B .9C .10D .1110.若函数f (x )=sin ωx (ω>0)在区间上单调递增,在区间上单调递减,则ω= A .B .C .2D .311. “a=1”是“函数ax ax y 22sin cos -=的最小正周期为π”的 A .充分不必要条件 B .必要不充分条件 C .充要条件D .既不充分也不必要条件12.若542s i n ,532co s -==θθ则角θ的终边一定落在直线上.A .7x+24y=0B .7x ﹣24y=0C .24x+7y=0D .24x ﹣7y=0二.填空题(12分,每小题3分)13.设函数f (x )在(0,+∞)内可导,且f (e x )=x+e x,则f ′(1)= .14.已知)3sin()(πω+=x x f (ω>0),)3()6(ππf f =,且f (x )在区间)3,6(ππ上有最小值,无最大值,则ω= . 15.设f (x ),g (x )分别是定义在R 上的奇函数和偶函数,且g (x )≠0,当x <0时)()()()(x g x f x g x f '>',且0)3(=-f ,则不等式0)()(<x g x f 的解集是 .16.如图,y=f (x )是可导函数,直线l 是曲线y=f (x )在x=4处的切线,令g (x )=,则g ′(4)= .三.解答题(64分,17-20题每题11分,21、22每题10分) 17.设函数xx x f π+=ln )(,m ∈R .(Ⅰ)当m=e (e 为自然对数的底数)时,求f (x )的极小值;(Ⅱ)讨论函数3)(')(xx f x g -=零点的个数; (Ⅲ)若对任意b >a >0,<1恒成立,求m 的取值范围.18.设函数)ln 2()(2x x k xe xf x +-=(k 为常数,e=2.71828…是自然对数的底数).(Ⅰ)当k ≤0时,求函数f (x )的单调区间;(Ⅱ)若函数f (x )在(0,2)内存在两个极值点,求k 的取值范围.19.设函数x k x x f ln 2)(2-= k >0. (1)求f (x )的单调区间和极值;(2)证明:若f (x )存在零点,则f (x )在区间(1,)上仅有一个零点.20.设△ABC 的内角A ,B ,C 的对边分别为a ,b ,c ,满足2asinA=(2b ﹣c )sinB+(2c ﹣b )sinC . (Ⅰ)求角A 的大小;(Ⅱ)若a=2,b=2,求△ABC 的面积.21.在△ABC 中,已知AB=2,AC=3,A=60°. (1)求BC 的长;(2)求sin2C 的值. 22.已知函数f (x )=sin (2x ﹣)+2cos 2x ﹣1.(Ⅰ)求函数f (x )的单调增区间;(Ⅱ)在△ABC 中,a 、b 、c 分别是角A 、B 、C 的对边,且a=1,b+c=2,f (A )=,求△ABC 的面积. 四、选做题(共8分) 23.【选修4-4 坐标系与参数方程】已知极坐标系的极点在直角坐标系的原点处,极轴与x 轴的正半轴重合,直线l 的极坐标方程为:,曲线C 的参数方程为:(α为参数).(I )写出直线l 的直角坐标方程;(Ⅱ)求曲线C 上的点到直线l 的距离的最大值.必做题答案:1-6 CACAAA 7-12 CCCBAD13.2 14.15.)3,0()3,( --∞16.-17.解:(Ⅰ)当m=e 时,f (x )=lnx+,∴f ′(x )=;∴当x ∈(0,e )时,f ′(x )<0,f (x )在(0,e )上是减函数;当x ∈(e ,+∞)时,f ′(x )>0,f (x )在(e ,+∞)上是增函数;∴x=e 时,f (x )取得极小值为f (e )=lne+=2; (Ⅱ)∵函数g (x )=f ′(x )﹣=﹣﹣(x >0),令g (x )=0,得m=﹣x 3+x (x >0);设φ(x )=﹣x 3+x (x >0),∴φ′(x )=﹣x 2+1=﹣(x ﹣1)(x+1);当x ∈(0,1)时,φ′(x )>0,φ(x )在(0,1)上是增函数,当x ∈(1,+∞)时,φ′(x )<0,φ(x )在(1,+∞)上是减函数;∴x=1是φ(x )的极值点,且是极大值点,∴x=1是φ(x )的最大值点,∴φ(x )的最大值为φ(1)=;又φ(0)=0,结合y=φ(x )的图象,如图; 可知:①当m >时,函数g (x )无零点; ②当m=时,函数g (x )有且只有一个零点; ③当0<m <时,函数g (x )有两个零点; ④当m ≤0时,函数g (x )有且只有一个零点; 综上,当m >时,函数g (x )无零点;当m=或m ≤0时,函数g (x )有且只有一个零点;当0<m<时,函数g (x )有两个零点;(Ⅲ)对任意b >a >0,<1恒成立,等价于f (b )﹣b <f (a )﹣a 恒成立;设h (x )=f (x )﹣x=lnx+﹣x (x >0),则h (b )<h (a ). ∴h (x )在(0,+∞)上单调递减;∵h ′(x )=﹣﹣1≤0在(0,+∞)上恒成立,∴m ≥﹣x 2+x=﹣+(x >0),∴m ≥;对于m=,h ′(x )=0仅在x=时成立;∴m 的取值范围是[,+∞).18. 解:(Ⅰ)f (x )的定义域为(0,+∞),∴f ′(x )=﹣k (﹣)=(x >0),当k ≤0时,kx ≤0,∴e x﹣kx >0,令f ′(x )=0,则x=2,∴当0<x <2时,f ′(x )<0,f (x )单调递减;当x >2时,f ′(x )>0,f (x )单调递增,∴f (x )的单调递减区间为(0,2),单调递增区间为(2,+∞).(Ⅱ)由(Ⅰ)知,k ≤0时,函数f (x )在(0,2)内单调递减,故f (x )在(0,2)内不存在极值点;当k >0时,设函数g (x )=e x﹣kx ,x ∈[0,+∞).∵g ′(x )=e x ﹣k=e x ﹣e lnk,当0<k ≤1时,当x ∈(0,2)时,g ′(x )=e x﹣k >0,y=g (x )单调递增,故f (x )在(0,2)内不存在两个极值点;当k >1时,得x ∈(0,lnk )时,g ′(x )<0,函数y=g (x )单调递减,x ∈(lnk ,+∞)时,g ′(x )>0,函数y=g (x )单调递增,∴函数y=g (x )的最小值为g (lnk )=k (1﹣lnk )函数f (x )在(0,2)内存在两个极值点当且仅当解得:e综上所述,函数f (x )在(0,2)内存在两个极值点时,k 的取值范围为(e ,)19. 解:(1)由f (x )=f'(x )=x ﹣由f'(x )=0解得x=f (x )与f'(x )在区间(0,+∞)上的情况如下:X (o ,)(f'(x ) ﹣ 0f (x )↓所以,f (x )的单调递增区间为(),单调递减区间为(0,); f (x )在x=处的极小值为f ()=.(2)证明:由(1)知,f (x )在区间(0,+∞)上的最小值为f ()=.因为f (x )存在零点,所以,从而k ≥e当k=e 时,f (x )在区间(1,]上单调递减,且f ()=0所以x=是f (x )在区间(1,]上唯一零点. 当k >e 时,f (x )在区间(0,)上单调递减,且,所以f (x )在区间(1,]上仅有一个零点.综上所述,若f (x )存在零点,则f (x )在区间(1,]上仅有一个零点. 20. 解:(Ⅰ)由已知及正弦定理可得,整理得,所以又A ∈(0,π),故.(Ⅱ)由正弦定理可知,又a=2,,, 所以. 又,故或.若,则,于是;若,则,于是.21. 解:(1)由余弦定理可得:BC 2=AB 2+AC 2﹣2AB •ACcosA=4+8﹣2×2×3×=7, 所以BC=.(2)由正弦定理可得:,则sinC===,∵AB <BC ,∴C 为锐角, 则cosC===. 因此sin2C=2sinCcosC=2×=.22. 解:(Ⅰ)因为===所以函数f (x )的单调递增区间是〔〕(k ∈Z )(Ⅱ)因为f (A )=,所以又0<A<π所以从而故A=在△ABC 中,∵a=1,b+c=2,A=∴1=b 2+c 2﹣2bccosA ,即1=4﹣3bc .故bc=1从而S △ABC =选做题答案23. 解:(1)∵直线l的极坐标方程为:,∴ρ(sin θ﹣cos θ)=,∴,∴x﹣y+1=0.(2)根据曲线C 的参数方程为:(α为参数).得(x ﹣2)2+y 2=4,它表示一个以(2,0)为圆心,以2为半径的圆,圆心到直线的距离为:d=,∴曲线C 上的点到直线l 的距离的最大值=.。
导数、三角函数大题练习1.(本小题满分12分)已知)cos ),2cos(2(x x m π+=,))2sin(2,(cos π+=x x n ,且函数1)(+⋅=n m x f(1)设方程01)(=-x f 在),0(π内有两个零点21x x ,,求)(21x x f +的值; (2)若把函数)(x f y =的图像向左平移3π个单位,再向上平移2个单位,得函数)(x g 图像,求函数)(x g 在]2,2[ππ-上的单调增区间.解:(1)()2cos()cos cos 2sin()12sin cos 2cos cos 122sin 21cos 21)24f x x x x x x x x x x x x πππ=++++=-++=-+++=++...2分而()10f x -=,得:cos(2)4x π+=,而(0,)x π∈,得:1242x x ππ⎧=⎪⎪⎨⎪=⎪⎩或1224x x ππ⎧=⎪⎪⎨⎪=⎪⎩所以1233()())23424f x x f πππ+==++=..................6分 (2)())24f x x π=++--左移3π--11())212f x x π=++--上移2--11())412f x x π=++,则()g x 的单调递增区间:112222122k x k πππππ-+≤+≤+,23112424k x k ππππ-+≤≤-+,........ 而[,]22x ππ∈-,得:()f x 在11[,]224x ππ∈--和[,]242x ππ∈上递增....2.(本小题满分12分)已知函数()211cos sin cos 2,22f x x x x x x R =-++∈(Ⅰ)求函数()f x 在,42ππ⎡⎤-⎢⎥⎣⎦上的最值;(Ⅱ)若将函数()f x 的图象向右平移4π个单位,再将得到的图象上各点横坐标伸长到原来的2倍,纵坐标不变,得到()g x 的图像.已知()6411,,536g ππαα⎛⎫=-∈ ⎪⎝⎭.求cos 26απ⎛⎫- ⎪⎝⎭的值..3.(本小题满分12分) 在△ABC中,,,A B C 所对的边分别为,,a b c ,sin sin tan cos cos A BC A B+=+,sin()cos B A C -=.(1)求,A C ;(2)若33ABC S ∆=+,求,a c . (1)因为sin sin tan cos cos A B C A B +=+,即sin sin sin cos cos cos C A BC A B+=+, 所以sin cos sin cos cos sin cos sin C A C B C A C B +=+, 即sin cos cos sin cos sin sin cos C A C A C B C B -=-,得sin()sin()C A B C -=-.所以C A B C -=-,或()C A B C π-=--(不成立).即 2C A B =+, 得3C π=,所以.23B A π+=. 又因为1sin()cos 2B A C -==,则6B A π-=,或56B A π-=,(舍去) 得5,412A B ππ==. (2)162sin 3328ABC S ac B ac ∆+===+,又sin sin a cA C =, 即 2322a c =, 得22,2 3.a c ==4.(12分)在ABC ∆中,内角,,A B C 的对边分别为,,a b c ,且23sin 5a B c =,11cos 14B =. (Ⅰ)求角A 的大小;(Ⅱ)设BC 边的中点为D ,192AD =,求ABC ∆的面积.5. (本小题12分)已知函数1()()ln (,)f x a x b x a b R x=--∈,2()g x x =.(1)若1a =,曲线()y f x =在点(1,(1))f 处的切线与y 轴垂直,求b 的值; (2)在(1)的条件下,求证:()()2ln 2g x f x >-. 解:(1) 1a =时,1()ln ,f x x b x x=-- 所以22211'()1,b x bx f x x x x-+=+-= 由题'(1)20, 2.f b b =-=∴= (6分) (2)由(1)可得1()2ln ,f x x x x =--只需证212ln 2ln 20,x x x x-+++> 设21()2ln 2ln 2,(0)F x x x x x x=-+++>,32222212212(1)(21)'()21,x x x x x F x x x x x x --++-=--+==令'()0F x =,得12x =。
导数、三角函数大题练习
1.(本小题满分12分)已知)cos ),2cos(2(x x m π+
=,))2sin(2,(cos π+=x x n , 且函数1)(+⋅=n m x f
(1)设方程01)(=-x f 在),0(π内有两个零点21x x ,,求)(21x x f +的值;
(2)若把函数)(x f y =的图像向左平移
3π个单位,再向上平移2个单位,得函数)(x g 图像,求函数)(x g 在]2
,2[ππ-
上的单调增区间. 解:(1)
()2cos()cos cos 2sin()12sin cos 2cos cos 122sin 21cos 21)24
f x x x x x x x x x x x x πππ
=++++=-++=-+++=++...2分
而()10f x -=
,得:cos(2)4x π+=,而(0,)x π∈,得:1242x x ππ⎧=⎪⎪⎨⎪=⎪⎩或1224
x x ππ⎧=⎪⎪⎨⎪=⎪⎩
所以1233()(
))23424
f x x f πππ+==++=..................6分 (2
)())24f x x π=++--左移3π
--11())212
f x x π=++--上移
2--11())412
f x x π=++,则()
g x 的单调递增区间: 112222122k x k πππππ-+≤+≤+,23112424
k x k ππππ-+≤≤-+,........ 而[,]22x ππ∈-,得:()f x 在11[,]224x ππ∈--和[,]242x ππ∈上递增....
2.(本小题满分12分)已知函数(
)211cos sin cos 2,22
f x x x x x x R =-++∈(Ⅰ)求函数()f x 在,42ππ⎡⎤-⎢⎥⎣⎦
上的最值;(Ⅱ)若将函数()f x 的图象向右平移4π个单位,再将得到的图象上各点横坐标伸长到原来的2倍,纵坐标不变,得到()g x 的图像.已知
()6411,,536g ππαα⎛⎫=-∈ ⎪⎝⎭.求cos 26απ⎛⎫- ⎪⎝⎭
的值..
3.(本小题满分12分)
在△ABC 中,,,A B C 所对的边分别为,,a b c ,sin sin tan cos cos A B C A B
+=+,sin()cos B A C -=. (1)求,A C ;
(2)若3ABC S ∆=+,求,a c .
(1)因为sin sin tan cos cos A B C A B +=+,即sin sin sin cos cos cos C A B C A B
+=+, 所以sin cos sin cos cos sin cos sin C A C B C A C B +=+,
即sin cos cos sin cos sin sin cos C A C A C B C B -=-,
得sin()sin()C A B C -=-.所以C A B C -=-,或()C A B C π-=--(不成立).
即 2C A B =+, 得3C π
=,所以.23
B A π+=. 又因为1sin()cos 2B A
C -==,则6B A π-=,或56B A π-=,(舍去) 得5,412
A B ππ==. (2
)1sin 32ABC S ac B ∆===,又sin sin a c A C =, 即
=,
得a c ==
4.(12分)在ABC ∆中,内角,,A B C 的对边分别为,,a b c ,
(Ⅰ)求角A 的大小; (Ⅱ)设BC 边的中点为D ,,求ABC ∆的面积.。