轴的常用材料及其机械性能
- 格式:docx
- 大小:29.07 KB
- 文档页数:9
销轴常用的几种材料销轴常用的几种材料一,45号钢GB/T699-1999标准规定45钢抗拉强度为600MPa,屈服强度为355MPa,伸长率为16%,断面收缩率为40%,冲击功为39J 。
45钢是轴类零件的常用材料,它价格便宜经过调质(或正火)后,可得到较好的切削性能,而且能获得较高的强度和韧性等综合机械性能,淬火后表面硬度可达45~52HRC。
40Cr等合金结构钢适用于中等精度而转速较高的轴类零件,这类钢经调质和淬火后,具有较好的综合机械性能。
45号钢广泛用于机械制造,这种钢的机械性能很好。
但是这是一种中碳钢,淬火性能并不好,45号钢可以淬硬至HRC42~46。
所以如果需要表面硬度,又希望发挥45#钢优越的机械性能,常将45#钢表面淬火(高频淬火或者直接淬火),这样就能得到需要的表面硬度。
注:直径为8―12mm的45号钢淬火时容易产生裂纹,这是一个较为复杂的问题。
目前采取的措施是淬火时试样在水中快速搅动,或者采用油冷,可避免出现裂纹。
二,40Cr40Cr是轴类零件的常用材料,它价格便宜经过调质(或正火)后,可得到较好的切削性能,而且能获得较高的强度和韧性等综合机械性能,淬火后表面硬度可达45~52HRC。
40Cr等合金结构钢适用于中等精度而转速较高的轴类零件,这类钢经调质和淬火后,具有较好的综合机械性能。
40Cr是我国我国GB的标准钢号,40Cr钢是机械制造业使用最广泛的钢之一。
调质处理后具有良好的综合力学性能,良好的低温冲击韧性和低的缺口敏感性。
钢的淬透性良好,水淬时可淬透到Ф28~60mm,油淬时可淬透到Ф15~40mm。
这种钢除调质处理外还适于氰化和高频淬火处理。
切削性能较好,当硬度为HB174~229时,相对切削加工性为60%。
轴材料的机械性能大全讲解轴材料是工程中常见的一种材料,在各种机械设备中被广泛使用。
轴材料对机械设备的稳定性和可靠性起着重要的作用。
如何选取合适的轴材料,了解轴材料的机械性能是非常重要的。
本文将从轴材料的强度、硬度、韧性、疲劳强度等方面进行讲解。
强度轴材料的强度是指轴在承受外力的作用下不发生破坏的最大能力。
轴材料的强度主要受到其成分和制备工艺的影响。
常用的轴材料有普通碳钢、合金钢、不锈钢、铝合金等。
普通碳钢的强度相对较低,但制造工艺简单,适用于一些要求不高的场合。
合金钢的强度相对较高,适用于机械设备的高强度要求。
不锈钢具有优异的耐腐蚀性和强度,适用于一些对耐腐蚀性和强度都有较高要求的场合。
铝合金轴材料的强度相对较低,不过具有轻质化和强度高效的特点,适用于一些重量要求较低的应用场合。
硬度轴材料的硬度可用来衡量其抗磨损能力。
轴材料的硬度一般用洛氏硬度计进行测试。
在不同的用途场景下,轴材料的硬度需求也不同。
例如,在一些需要耐磨损的环境下,轴材料的硬度需求会比较高。
在一些需要抗冲击的机械设备中,轴材料的硬度需求比较低,因为硬度高的轴材料在受到冲击时容易发生裂纹和断裂。
韧性轴材料的韧性是指材料在受到外力作用下发生永久形变的能力。
韧性高的轴材料不容易发生变形和破裂。
在一些需要经常受到大力剪切、扭转、拉压力的机械设备中,需要选择韧性高的轴材料。
常见的韧性较高的轴材料有高强度合金钢、钛合金等。
疲劳强度轴材料在长期使用过程中,受到外界作用而产生微小裂痕,这些裂痕将会逐渐扩大,最终导致轴材料断裂。
轴材料的疲劳强度是指材料在长期受到交替应力作用下不能承受的最大应力值。
疲劳强度高的轴材料能够经受住长期的应力变化,不容易发生裂纹和断裂。
常见的具有高疲劳强度的材料有高强度合金钢、不锈钢等。
轴材料的机械性能是影响机械设备运行稳定性和可靠性的重要因素,选用合适的轴材料对机械设备的性能和寿命具有关键作用。
本文从轴材料的强度、硬度、韧性、疲劳强度等方面进行了讲解。
以下是机械行业常用的20种材料及其特性:1. 碳钢:- 特性:强度高、硬度适中、耐磨性好,易于加工和焊接。
- 应用:机械零件、结构件等。
2. 不锈钢:- 特性:耐腐蚀性好、强度高、抗氧化性强。
- 应用:食品加工设备、化工设备、船舶零件等。
3. 铝合金:- 特性:密度低、强度高、良好的导热性和导电性。
- 应用:航空航天、汽车、电子设备等。
4. 铜:- 特性:良好的导电性和导热性,耐腐蚀性好。
- 应用:电子器件、导线、换热器等。
5. 钛合金:- 特性:密度低、强度高、耐腐蚀性强。
- 应用:航空航天、医疗器械、化工设备等。
6. 镍合金:- 特性:耐腐蚀性好、高温强度高。
- 应用:化工设备、航空发动机、核电站设备等。
7. 铸铁:- 特性:强度高、耐磨性好、抗冲击性强。
- 应用:机床床身、发动机缸体、管道件等。
8. 锻钢:- 特性:强度高、韧性好、耐磨性较好。
- 应用:汽车曲轴、锻造件、工具等。
9. 塑料:- 特性:良好的绝缘性、耐腐蚀性、低密度。
- 应用:工程塑料件、密封件、电器外壳等。
10. 聚酰亚胺(PI):- 特性:高温稳定性、优异的耐化学性、强度高。
- 应用:航空航天、电子设备、汽车零部件等。
11. 聚四氟乙烯(PTFE):- 特性:优异的耐磨性、低摩擦系数、优良的绝缘性。
- 应用:密封件、轴承、阀门等。
12. 聚氨酯(PU):- 特性:耐磨性好、强度高、耐油性好。
- 应用:密封件、刮板、橡胶轮等。
13. 聚甲醛(POM):- 特性:强度高、硬度高、耐磨性好。
- 应用:齿轮、轴承、零件等。
14. 高速钢:- 特性:耐高温、耐磨性好、切削性能优异。
- 应用:刀具、冲头、铣刀等。
15. 钻石:- 特性:硬度极高、耐磨性好、导热性好。
- 应用:切割工具、磨料、金刚石刀具等。
16. 合成蓝宝石:- 特性:透明度好、硬度高、耐腐蚀性强。
- 应用:光学器件、观察窗、手表表盘等。
17. 硅胶:- 特性:柔软、耐高温、优良的绝缘性。
汽车传动轴的材料及其热处理工艺有哪些下载提示:该文档是本店铺精心编制而成的,希望大家下载后,能够帮助大家解决实际问题。
文档下载后可定制修改,请根据实际需要进行调整和使用,谢谢!本店铺为大家提供各种类型的实用资料,如教育随笔、日记赏析、句子摘抄、古诗大全、经典美文、话题作文、工作总结、词语解析、文案摘录、其他资料等等,想了解不同资料格式和写法,敬请关注!Download tips: This document is carefully compiled by this editor. I hope that after you download it, it can help you solve practical problems. The document can be customized and modified after downloading, please adjust and use it according to actual needs, thank you! In addition, this shop provides you with various types of practical materials, such as educational essays, diary appreciation, sentence excerpts, ancient poems, classic articles, topic composition, work summary, word parsing, copy excerpts, other materials and so on, want to know different data formats and writing methods, please pay attention!汽车传动轴的材料及其热处理工艺1. 引言在汽车制造领域,传动轴是起到传递动力和扭矩的重要组成部分。
第十一章轴§11-1 概述三.轴的材料主要是碳钢和合金钢。
碳钢:价格低廉,对应力集中的敏感性低,可用热1处理或化学处理提高耐磨性和抗疲劳强度,最常用45号钢。
合金钢:比碳钢具有更高的机械性能和更好的淬火性能。
在传递大动力,并要求减小尺寸与质量,提高轴颈的耐磨性,以及在高温或低温条件下工作的轴,采用合金钢。
注意:在一般工作温度下(低于200),各种碳钢和合金钢的弹性模量相差不多,所以不四.提高轴的强度的常用措施1.合理布置轴上零件以减小轴的载荷 2.改进轴上零件的结构以减小轴的载荷 3.改进轴的结构以减小应力集中的影响 4.改进轴的表面质量以提高轴的疲劳强度 五.轴的结构工艺性§11-3 轴的计算轴的计算通常在初步完成结构设计后进行校核计算。
计算准则是满足轴的强度或刚度要求,必要时校核轴的振动稳定性。
一.轴的强度校核计算根据轴的受载及应力情况,采取相应的计算方法,并恰当选取许用应力。
对于仅仅(或主要)承受扭矩的轴(传动轴),按扭转强度计算; 对于只承受弯矩的轴(心轴),按弯曲强度计算; 对于既承受弯矩又承受扭矩的轴(转轴),按弯扭组合强度进行计算,需要时按疲劳强度进行精确校核。
1.按扭转强度条件计算这种方法只按轴所受的扭矩计算轴的强度;如果还受不大的弯矩,则用降低许用扭转切应力的方法予以考虑。
在作轴的结构设计时,通常用这种方法初步估算轴径。
对于不太重要的轴,也可作为最后计算结果。
轴的扭转强度为[]MPa dn PW T TTT ττ≤≈=362.010*55.9由上式可得轴径 [][]mm nPA n P n P d T T 3033636.2.010*55.9.2.010*55.9==≥ττ式中:[]3602.0/10*55.9T A τ=,表15-3。
对于空心轴()mm n PA d 3401β-≥,β=0.5~0.6当轴截面上开有键槽时,应增大轴径以考虑键槽对轴的强度的削弱。
谈钻机零件材料的选用无锡探矿机械总厂王学渊摘要:钻机零件材料的选用,应根据其工作条件所要求的机械性能,及材料热处理后所能达到的性能相结合,才能做到选材科学、经济、合理。
关键词:钻机零件材料;调质;淬透性;淬透层;渗碳钻机零部件设计的优劣,直接决定了钻机的质量档次及在市场上的竞争力。
钻机零部件设计,离不开科学、合理、经济地选用材料,既要考虑零件的工作和受载情况,又要考虑零件尺寸与质量限制,以及材料的经济适用与管理方便等,正确选材是比较复杂的。
钻机设计人员要将一些钢铁材料与热处理方面的知识,融汇于零部件的设计之中,设计的钻机才可迈上一个新的台阶。
本文主要就钻机中用得较多的调质钢,渗碳钢等浅谈几点看法。
1 调质钢含碳量0.30%~0.50%的中碳结构钢与中碳低合金结构钢经调质后具有良好的综合机械性能,即具有较高的抗拉强度,σb=700~1100 Mpa,又具有较高的塑韧性(伸长率)δ=8%~10%,不收缩率ψ=45%~55%,冲击值αk=60~100 J/cm2。
调质是指中碳(低合金)结构钢先进行淬火得马氏体组织(或马氏体为主体的组织),尔后再550~650 ℃高温回火得回火索氏体组织。
同一轴径选用不同钢材的工件采用不同调质工艺处理至同一硬度,得到的机械性能产生差异;不同轴径选用同一钢材的工件采用相同的调质工艺处理,各自的机械性能也产生差异,这一现象的产生是钢材淬透性这一特性造成的。
通俗地讲,淬透性是钢材能够被淬透的能力接受淬火成马氏体的能力。
淬透性与工件截面厚度有一定关系,即所谓尺寸效应,截面尺寸增大,淬透层深度减小。
合金结构钢较碳素结构钢的淬透性高。
40Cr、35CrMo等合金结构钢较40、45碳素钢的淬透层的截面相应增大。
如全淬透截面尺寸:45钢水淬12~18 mm,油淬5~8 mm,淬透已不易;40Cr钢油淬18~32 mm;35CrMo钢油淬25~40 mm。
而40Cr钢φ50 mm料油淬工件表面15~8 mm淬硬已较难,φ60~70 mm工件油淬则几乎无淬硬层。
轴材料的选择方式和设计轴是一个用于旋转运动的机械元件,主要用于支撑和传递力矩。
在进行轴的选择和设计时,需要考虑多个因素,包括应力、强度、重量、成本和摩擦等。
下面将详细介绍轴材料的选择方式和设计。
一、轴材料的选择方式:1.强度要求:根据轴所承受的轴向载荷和弯矩,选择具有足够强度的材料。
常用的高强度材料有碳钢、合金钢、不锈钢等。
2.磨损和摩擦:要考虑轴与其他零件之间的摩擦和磨损,尽量选择具有良好的耐磨性和低摩擦系数的材料。
如铜合金、钼合金等。
3.腐蚀环境:根据轴所处的使用环境,选择具有良好的耐腐蚀性能的材料,如不锈钢、耐酸碱钢等。
4.温度和热膨胀:对于工作在高温环境下的轴,需要选择能够耐高温变形的材料,如高温合金、镍基合金等。
5.重量:轴的重量对于整个系统的性能和效率有一定影响,因此在允许范围内,选择轻质材料可以减轻负荷,提高效率。
二、轴的设计原则:1.直径设计:根据轴的承载能力和弯矩,采用适当的公式确定轴的直径。
一般情况下,较小的直径意味着较小的阻力和较低的负载,但要保证足够的强度。
2.强度设计:根据轴的材料和截面形状,计算轴材料承受载荷的最大强度和应力。
确保轴材料在其允许的强度范围内工作。
3.刚度设计:在高速旋转或精密运动的应用中,要求轴具有较高的刚度,以减少弯曲和变形。
可以采用增加直径或改变材料来提高刚度。
4.表面处理:为了减小摩擦和磨损,可以对轴进行表面处理,如打磨、涂覆或加装套管等,以改善表面硬度和光滑度。
三、轴材料的常用选择:1.碳钢:碳钢具有较高的强度和刚性,成本较低,广泛应用于一般工程中。
2.不锈钢:不锈钢具有良好的耐腐蚀性和强度,尤其适用于潮湿、酸碱环境下的工作。
3.铜合金:铜合金具有良好的导热性和耐磨性,常用于高速旋转和高温应用中。
4.铝合金:铝合金具有较低的密度和良好的导热性能,适用于轻负载和高速运动的应用。
5.钛合金:钛合金具有良好的耐腐蚀性和高温性能,但成本较高,适用于高要求的工作环境。
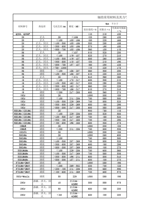
轴的常用材料及其机械性能轴的常用材料及其机械性能轴的材料种类很多,选用时主要根据对轴的强度、刚度、耐磨性等要求,以及为实现这些要求而采用的热处理方式,同时考虑制造工艺问题加以选用,力求经济合理。
轴的常用材料是优质碳素钢35、45、50,最常用的是45和40Cr钢。
对于受载较小或不太重要的钢,也常用Q235或Q275等普通碳素钢。
对于受力较大,轴的尺寸和重量受到限制,以及有某些特殊要求的轴,可采用合金钢,常用的有40Cr、40MnB、40CrNi等。
球墨铸铁和一些高强度铸铁,由于铸造性能好,容易铸成复杂形状,且减振性能好,应力集中敏感性低,支点位移的影响小,故常用于制造外形复杂的轴。
特别是我国研制成功的稀土-镁球墨铸铁,冲击韧性好,同时具有减摩、吸振和对应力集中敏感性小等优点,已用于制造汽车、拖拉机、机床上的重要轴类零件,如曲轴等。
根据工作条件要求,轴都要整体热处理,一般是调质,对不重要的轴采用正火处理。
对要求高或要求耐磨的轴或轴段要进行外表处理,以及外表强化处理(如喷丸、辐压等)和化学处理(如渗碳、渗氮、氮化等),以提高其强度〔尤其疲劳强度〕和耐磨、耐腐蚀等性能。
在一般工作温度下,合金钢的弹性模量与碳素钢相近,所以只为了提高轴的刚度而选用合金钢是不合适的。
轴一般由轧制圆钢或锻件经切削加工制造。
轴的直径较小时,可用圆钢棒制造;对于重要的,大直径或阶梯直径变化较大的轴,多采用锻件。
为节约金属和提高工艺性,直径大的轴还可以制成空心的,并且带有焊接的或者锻造的凸缘。
对于形状复杂的轴〔如凸轮轴、曲轴〕可采用铸造。
轴的常用材料及其机械性能(MPa)各种发动机曲轴材料及热处理各种凸轮轴材料及热处理工艺机床主轴材料和热处理半轴常用材料及技术要求。
滚动轴承的材料滚动轴承是一种常见的机械零部件,它通过滚动体在内圈和外圈之间滚动,从而减少摩擦和支撑旋转轴。
而滚动轴承的性能和寿命很大程度上取决于所选用的材料。
不同的工作环境和使用要求需要选择不同的轴承材料,下面将介绍几种常见的滚动轴承材料及其特点。
1. 钢材。
钢材是制造滚动轴承最常用的材料之一。
常见的轴承钢材包括碳素钢、合金钢和不锈钢。
碳素钢价格低廉,硬度高,但耐腐蚀性差;合金钢在碳素钢的基础上添加了其他合金元素,具有更好的耐磨性和耐腐蚀性;不锈钢则具有良好的耐腐蚀性能,适用于潮湿或腐蚀性环境。
钢材制成的轴承具有较高的强度和硬度,适用于高速、高负荷的工作环境。
2. 陶瓷材料。
陶瓷材料因其高硬度、耐磨性和耐腐蚀性而被广泛应用于滚动轴承制造。
常见的陶瓷材料包括氧化铝陶瓷、氮化硅陶瓷和硼化硅陶瓷。
氧化铝陶瓷具有优异的耐磨性和热稳定性,适用于高速、高温的工作环境;氮化硅陶瓷具有较高的强度和耐磨性,适用于高速、高负荷的工作环境;硼化硅陶瓷具有极高的硬度和耐磨性,适用于超高速、超高温的工作环境。
陶瓷材料制成的轴承具有优异的耐磨性和耐腐蚀性,适用于特殊工况下的使用。
3. 聚合物材料。
聚合物材料因其良好的自润滑性和减震性而被应用于滚动轴承制造。
常见的聚合物材料包括聚四氟乙烯(PTFE)、聚酰亚胺(PI)和聚酰胺(PA)。
PTFE具有优异的自润滑性和耐磨性,适用于低速、高负荷的工作环境;PI具有较高的耐热性和耐化学性,适用于高温、腐蚀性环境;PA具有良好的耐磨性和减震性,适用于高速、低噪音的工作环境。
聚合物材料制成的轴承具有良好的自润滑性和减震性,适用于对润滑要求较高的工作环境。
4. 复合材料。
复合材料是将两种或两种以上的材料通过一定的工艺方法结合而成的新材料,具有各种材料的优点。
常见的复合材料包括金属基复合材料和陶瓷基复合材料。
金属基复合材料具有较高的强度和硬度,适用于高速、高负荷的工作环境;陶瓷基复合材料具有优异的耐磨性和耐腐蚀性,适用于特殊工况下的使用。
曲轴用什么材料
曲轴是发动机的重要部件之一,其作用是将活塞的上下直线运动转化为发动机的旋转运动,从而驱动发动机的工作。
曲轴需要具备较高的强度、耐磨性和耐久性,因此通常采用高强度合金钢作为材料。
高强度合金钢具有较好的机械性能,可以在高温、高压和高速的工况下正常工作。
常用的曲轴材料有一下几种:
1. 碳素钢:碳素钢是最常见的曲轴材料,具有良好的强度和耐久性。
通常采用45钢、40Cr、35CrMo等碳素钢材料。
2. 钼钢:钼钢具有较高的硬度和耐磨性,适用于高速发动机。
通常采用40CrMoV4-6、42CrMo4V、34CrNiMo6等钼钢材料。
3. 硅钢:硅钢具有较好的磁导率和磁化特性,适用于较小功率的发动机。
通常采用35CS250、23GS、27QS等硅钢材料。
4. 铁素体不锈钢:铁素体不锈钢具有良好的韧性和耐腐蚀性,适用于耐酸碱的工作环境。
通常采用1Cr13、2Cr13等不锈钢
材料。
5. 高温合金钢:高温合金钢可以在高温下保持较好的强度和硬度,适用于高温发动机。
通常采用A286、GH4169等高温合
金钢材料。
除了材料的选择外,曲轴的制造工艺也对其性能有影响。
曲轴
制造通常包括锻造、热处理、精加工等工序,从而提高曲轴的强度和耐久性。
总之,曲轴的材料选择应根据发动机的工作环境和要求来确定,需要具备较高的强度、耐磨性和耐久性。
常用的材料包括碳素钢、钼钢、硅钢、铁素体不锈钢和高温合金钢。
同时,曲轴的制造工艺也对其性能有重要影响,需要采用适当的锻造、热处理和精加工工序。
轴的常用材料及其机械性能轴的材料种类很多,选用时主要根据对轴的强度、刚度、耐磨性等要求,以及为实现这些要求而采用的热处理方式,同时考虑制造工艺问题加以选用,力求经济合理.轴的常用材料是优质碳素钢35、45、50,最常用的是45和40Cr钢。
对于受载较小或不太重要的钢,也常用Q235或Q275等普通碳素钢。
对于受力较大,轴的尺寸和重量受到限制,以及有某些特殊要求的轴,可采用合金钢,常用的有40Cr、40MnB、40 CrNi等。
ﻫ球墨铸铁和一些高强度铸铁,由于铸造性能好,容易铸成复杂形状,且减振性能好,应力集中敏感性低,支点位移的影响小,故常用于制造外形复杂的轴。
特别是我国研制成功的稀土—镁球墨铸铁,冲击韧性好,同时具有减摩、吸振和对应力集中敏感性小等优点,已用于制造汽车、拖拉机、机床上的重要轴类零件,如曲轴等。
ﻫ根据工作条件要求,轴都要整体热处理,一般是调质,对不重要的轴采用正火处理.对要求高或要求耐磨的轴或轴段要进行表面处理,以及表面强化处理(如喷丸、辐压等)和化学处理(如渗碳、渗氮、氮化等),以提高其强度(尤其疲劳强度)和耐磨、耐腐蚀等性能。
在一般工作温度下,合金钢的弹性模量与碳素钢相近,所以只为了提高轴的刚度而选用合金钢是不合适的。
ﻫ轴一般由轧制圆钢或锻件经切削加工制造。
轴的直径较小时,可用圆钢棒制造;对于重要的,大直径或阶梯直径变化较大的轴,多采用锻件.为节约金属和提高工艺性,直径大的轴还可以制成空心的,并且带有焊接的或者锻造的凸缘。
ﻫ对于形状复杂的轴(如凸轮轴、曲轴)可采用铸造。
轴的常用材料及其机械性能(MPa)各种发动机曲轴材料及热处理各种凸轮轴材料及热处理工艺机床主轴材料和热处理半轴常用材料及技术要求。
传动轴的材料传动轴作为机械传动系统中的重要部件,其材料选择对于传动系统的性能和可靠性至关重要。
传动轴主要用于传递动力和转速,因此其材料应具有较高的强度、硬度和耐磨性。
在选择传动轴材料时,需要考虑到工作环境、负载条件、制造成本等因素,以确保传动轴具有良好的性能和经济性。
常见的传动轴材料包括钢、铝合金和碳纤维复合材料等。
钢是传动轴的主要材料,其优点是强度高、硬度大、耐磨性好,适用于承受大扭矩和冲击负载的工作条件。
常用的钢材包括碳素结构钢、合金结构钢和不锈钢等。
碳素结构钢具有良好的强度和韧性,适用于一般工况下的传动轴;合金结构钢具有较高的强度和硬度,适用于承受较大负载和高速旋转的传动轴;不锈钢具有良好的耐腐蚀性能,适用于工作环境要求较高的传动轴。
铝合金是一种轻质材料,具有良好的加工性和导热性能,适用于要求传动轴重量轻、惯性小的工作条件。
铝合金传动轴具有重量轻、导热性好的特点,适用于要求传动轴重量轻、惯性小的工作条件。
碳纤维复合材料是一种新型的轻质高强度材料,具有优异的抗拉强度和耐磨性,适用于要求传动轴重量轻、强度高、耐磨性好的工作条件。
在选择传动轴材料时,需要根据具体的工作条件和要求综合考虑材料的性能、成本和加工工艺等因素。
钢材具有良好的强度和耐磨性,适用于一般工况下的传动轴;铝合金具有重量轻、导热性好的特点,适用于要求传动轴重量轻的工作条件;碳纤维复合材料具有优异的抗拉强度和耐磨性,适用于要求传动轴重量轻、强度高、耐磨性好的工作条件。
总的来说,传动轴的材料选择应根据具体的工作条件和要求进行综合考虑,以确保传动轴具有良好的性能和经济性。
在今后的工程设计和制造中,应注重材料的创新和应用,不断提高传动轴的性能和可靠性,以满足不同工况下的需求。
轴的常用材料及其机械性能
轴的材料种类很多,选用时主要根据对轴的强度、刚度、耐磨性等要求,以及为实现这些要求而采用的热处理方式,同时考虑制造工艺问题加以选用,力求经济合理。
轴的常用材料是优质碳素钢35、45、50,最常用的是45和40Cr钢。
对于受载较小或不太重要的钢,也常用Q235或Q275等普通碳素钢。
对于受力较大,轴的尺寸和重量受到限制,以及有某些特殊要求的轴,可采用合金钢,常用的有40Cr、40MnB、40CrNi 等。
球墨铸铁和一些高强度铸铁,由于铸造性能好,容易铸成复杂形状,且减振性能好,应力集中敏感性低,支点位移的影响小,故常用于制造外形复杂的轴。
特别是我国研制成功的稀土-镁球墨铸铁,冲击韧性好,同时具有减摩、吸振和对应力集中敏感性小等优点,已用于制造汽车、拖拉机、机床上的重要轴类零件,如曲轴等。
根据工作条件要求,轴都要整体热处理,一般是调质,对不重要的轴采用正火处理。
对要求高或要求耐磨的轴或轴段要进行表面处理,以及表面强化处理(如喷丸、辐压等)和化学处理(如渗碳、渗氮、氮化等),以提高其强度(尤其疲劳强度)和耐磨、耐腐蚀等性能。
在一般工作温度下,合金钢的弹性模量与碳素钢相近,所以只为了提高轴的刚度而选用合金钢是不合适的。
轴一般由轧制圆钢或锻件经切削加工制造。
轴的直径较小时,可用圆钢棒制造;对于重要的,大直径或阶梯直径变化较大的轴,多采用锻件。
为节约金属和提高工艺性,直径大的轴还可以制成空心的,并且带有焊接的或者锻造的凸缘。
对于形状复杂的轴(如凸轮轴、曲轴)可采用铸造。
轴的常用材料及其机械性能(MPa)
各种发动机曲轴材料及热处理
各种凸轮轴材料及热处理工艺
机床主轴材料和热处理
半轴常用材料及技术要求。