边界条件的处理
- 格式:pptx
- 大小:359.28 KB
- 文档页数:24
有限元法边界条件的处理有限元法边界条件的处理边界上的节点通常有两种情况,1. ⼀种边界上的节点可⾃由变形,此时节点上的载荷等于0,或者节点上作⽤某种外载荷,可以令该点的节点载荷等于规定的载荷Q。
这种情况的处理是⽐较简单的。
2. 另⼀种边界上的节点,规定了节点位移的数值。
这种情况下,有两种⽅法可以处理:* 划0置1法* 置⼤数法划0置1法是精确的⽅法,置⼤数法则是近似的⽅法。
下⾯分别介绍这两种⽅法置⼤数法假设v⾃由度的位移已知为b(b可以为0或者其他任意值)。
1. 将v⾃由度相应对⾓线上的刚度系数k(v,v) 换成⼀个极⼤的数,例如可以换成k(v,v)*1E8 k(v,v) ---> k(v,v) * 1E82. 将v⾃由度相应节点载荷F(v) 换成F(v) * 1E8 * bF(v) ---> F(v) * 1E8 * b3. 其余均保留不变,求出的v =~ b此⽅法的处理只需要修改两个数值即可,简单⽅便,虽然求得的是近似值,但⼀般仍然推荐使⽤。
置⼤数法来源于约束变分原理,本质和罚函数是⼀样的,得到的都是⼀个⾮精确值,施加起来在程序实现上相对简单,但是过⼤的⼤数可能引起线性⽅程的病态,造成在某些求解⽅法下⽆法求解,过⼩的⼤数有可能引起计算的误差,因此⼤数的选择也算是⼀个优化的过程吧,因此如果位移边界条件为0的话,主1副0的⽅法通⽤性更好吧⽽位移⾮零的情况下,还有⼀种类似主1副0的⽅法可以采⽤吧,不过程序处理相对⿇烦⼀点,我⼀下也没找到,你不妨找找看这是在不增加⽅程个数的情况下的处理⽅式,拉格朗⽇乘⼦法好像也可以处理边界条件,但是会增加⽅程的个数,所以⼤家⼀般都不太⽤来着,拉格朗⽇乘⼦法和罚函数法的原理可以看⼀下王勖成写的那本有限元,如果英⽂好,不放看看监克维奇的那本英⽂的《finite element method》划0置1法假设v⾃由度的位移已知为b(b可以为0或者其他任意值)。
位移为01. 只保留相应主对⾓线上的元素k(v,v),其所在⾏(v)列(v)上其他元素均改为0。
有限元边界条件处理方法和各自的优缺点
有限元边界条件处理方法主要有以下几种:
直接法。
直接在有限元方程中引入边界条件,需要增加未知量,增加方程求解规模。
消去法。
通过引入新的变量和方程,将边界条件消去,需要增加计算量。
罚函数法。
通过在总能量中引入罚函数项,将边界条件转化为求解过程中的约束条件,需要调整罚函数参数。
这几种方法的优缺点如下:
直接法:优点是简单直观,易于实现;缺点是需要增加未知量,增加方程求解规模。
消去法:优点是无需增加未知量;缺点是需要增加计算量,且对于复杂问题可能难以实现。
罚函数法:优点是无需增加未知量;缺点是需要调整罚函数参数,且对于某些问题可能不适用。
计算流体力学中的边界条件处理在计算流体力学中,边界条件处理是一个至关重要的步骤。
边界条件是指在数值计算中,对于流场的边界处所设定的条件,用于模拟真实流动情况,并保证数值计算的准确性和可靠性。
本文将对计算流体力学中的边界条件处理进行综述,包括常见的边界条件类型和其在不同应用中的处理方式。
一、边界条件类型1. 进口边界条件进口边界条件是指流场的进口边界,即外部流体进入计算区域的边界。
在进口边界处需要设定流体的入口流速、温度、浓度等参数。
常用的进口边界条件有恒定流速、恒定温度和恒定浓度等。
进口边界条件的处理方式通常采用指定数值来模拟实际流动情况。
2. 出口边界条件出口边界条件是指流场的出口边界,即计算区域的外部流体离开的边界。
出口边界条件需要设定出口处的压力、速度等参数。
常见的出口边界条件有静压出口、出流出口等。
出口边界条件的处理方式主要是通过迭代计算来确定达到稳定状态的数值解。
3. 壁面边界条件壁面边界条件是指流场与实际物体接触的部分,需要考虑流体在壁面上的速度、温度等的变化。
通常情况下,流体在壁面上的速度是零,即无滑移边界条件;温度则可根据壁面材料的传热性质进行设定。
壁面边界条件的处理方式通常采用无滑移条件和指定壁面温度条件。
4. 对称边界条件对称边界条件是指流场的某个边界面对称分布的情况。
在对称边界处,流动的物理量具有对称分布的特点,例如速度分量、压力等。
对称边界条件的处理方式是将对称面上的物理量进行相等的设定,以模拟对称分布情况。
二、边界条件处理方式1. 插值法插值法是一种常用的边界条件处理方式。
通过在已知的边界节点上求解物理量的值,然后通过插值方法计算出其他边界节点上物理量的近似值。
插值法能够通过边界条件的已知值预测其他未知值,从而实现对流场的模拟和计算。
2. 外推法外推法是一种基于已知的数值求解方法,通过已知节点上的物理量值来预测边界处未知节点上的物理量。
外推法的基本思想是根据已知节点处的物理量值,利用数值计算方法来迭代求解其他未知边界节点上的值。
数值模拟偏微分方程的三种方法:FDM、FEM及FVM偏微分方程数值模拟常用的方法主要有三种:有限差分方法(FDM)、有限元方法(FEM)、有限体积方法(FVM),本文将对这三种方法进行简单的介绍和比较。
有限差分方法有限差分方法(Finite Difference Methods)是数值模拟偏微分方程最早采用的方法,至今仍被广泛运用。
该方法包括区域剖分和差商代替导数两个过程。
具体地,首先将求解区域划分为差分网格,用有限个网格节点代替连续的求解区域。
其次,利用Taylor级数展开等方法将偏微分方程中的导数项在网格节点上用函数值的差商代替来进行离散,从而建立以网格节点上的值为未知量的代数方程组。
该方法是一种直接将微分问题变为代数问题的近似数值解法,数学概念直观,表达简单,是发展较早且比较成熟的数值方法。
差商代替导数后的格式称为有限差分格式,从格式的精度来考虑,有一阶格式、二阶格式和高阶格式。
从差分的空间离散形式来考虑,有中心格式和迎风格式。
对于瞬态方程,考虑时间方向的离散,有显格式、隐格式、交替显隐格式等。
目前常见的差分格式,主要是以上几种格式的组合,不同的组合构成不同的差分格式。
差分方法主要适用于结构网格,网格的步长一般根据问题模型和Courant稳定条件来决定。
请输入标题有限元方法(Finite Element Methods)的基础是变分原理和分片多项式插值。
该方法的构造过程包括以下三个步骤。
首先,利用变分原理得到偏微分方程的弱形式(利用泛函分析的知识将求解空间扩大)。
其次,将计算区域划分为有限个互不重叠的单元(三角形、四边形、四面体、六面体等)。
再次,在每个单元内选择合适的节点作为求解函数的插值点,将偏微分方程中的变量改写成由各变量或其导数的节点值与所选用的分片插值基函数组成的线性表达式,得到微分方程的离散形式。
利用插值函数的局部支集性质及数值积分可以得到未知量的代数方程组。
有限元方法有较完善的理论基础,具有求解区域灵活(复杂区域)、单元类型灵活(适于结构网格和非结构网格)、程序代码通用(数值模拟软件多数基于有限元方法)等特点。
量子力学专题三:一维势场中的粒子一、一维薛定谔方程边界条件和处理办法(熟练掌握)1、边界条件:A、束缚态边界条件:在无穷远处,找到粒子的概率为零,相应的波函数的值应该趋近于零;B、连续性边条件:a、波函数连续;b、波函数的一阶偏导数连续。
(注意:不一定同时成立!!)C、周期性边界条件:在求解角动量l分量的本征函数时,利用周期性边界条件可以确z定本征函数的归一化常数;在求解转子的能量本征函数时,亦可以利用周期性边界条件来确定其归一化常数。
2、处理方法:A、列出不同区间的能量本征方程,并对其进行求解;B、根据束缚态边条件,选择适合的解;C、根据连续性边条件,对得到的波函数进行归一化处理;D、写出本征函数和对应的能量本征值。
二、一维方势阱:1、一维无限深方势阱的求解方法及其物理讨论(熟练掌握) A 、非对称势阱: a 、解题步骤:(1)写出各个区间的能量本行方程; (2)根据写出的微分方程,求出其通解;(3)根据连续性边界条件,确定其相位及其能量本征值的取值; (4)根据概率诠释,对波函数进行归一化处理,确定待定常数; (5)写出能量本征方程和对应的能量本征值。
b 、具体过程:)0(),0(0)(a x a x x x V <<><⎩⎨⎧∞=(1)列出不同区间的能量本征方程,并对其进行求解; 在0<x 和a x >区间,波函数为:0)(≡x ψ在ax <<0区间,能量本征方程为:)()(2222x E x dxdm ψψ=-对其变形,得2=+''ψψk其中,mE k2=(0>E )。
解得: )sin()(δψ+=kx A x(2)根据束缚态边条件,选择适合的解;此处的束缚态边条件,即粒子在无穷远处出现的概率为零,在求解本征方程——在0<x 和a x >区间,波函数为:0)(≡x ψ——时已经应用了!(3)根据连续性边条件,对得到的波函数进行归一化处理;在0=x 处,波函数连续,有0sin )0(==δψA ,则有0=δ。
大型客机复杂可压缩流的大涡模拟主要研究方法一、大涡模拟基础1. 大涡模拟简介大涡模拟是一种将流场分解成小尺度湍流和大尺度湍流的方法。
在LES中,大尺度结构通过直接数值模拟来求解,而小尺度结构则通过子网格模型(sub-grid model)进行建模。
由于小尺度结构不再需要直接求解,因此可以使用更粗的网格来进行计算,从而减少计算量。
同时,LES还能够提供更加真实的湍流统计数据,如湍流强度、湍流长度等。
2. LES的优点和局限性与其他流体力学方法相比,LES有以下几个优点:(1)能够考虑湍流中的时间和空间尺度差异,提供更加真实的湍流信息;(2)计算结果对于网格的依赖性相对较小,使得计算可以在较粗的网格上进行;(3)LES能够模拟复杂流场,如湍流燃烧、多相流等。
虽然LES具有很多优点,但它也有一些局限性:(1)计算量较大,需要使用高性能计算机进行计算;(2)由于需要建立子网格模型,LES的结果可能受到模型误差的影响;(3)由于直接数值模拟只考虑了大尺度结构,因此对于小尺度结构的预测可能存在误差。
二、大涡模拟在大型客机流场研究中的应用1. 大涡模拟在飞行器气动力学研究中的应用大型客机的外形复杂,流场也非常复杂。
对于这样的流场,传统的计算流体力学方法可能无法准确地预测气动力学行为。
因此,大涡模拟成为研究大型客机流场的一种重要方法。
在大涡模拟中,通过将流场分解成大尺度结构和小尺度结构,可以更加准确地模拟大型客机流场中的湍流现象。
大涡模拟还能够提供更加真实的气动力学数据,如升阻比、气动力矩等。
这些数据对于飞机设计和优化非常重要。
2. 大涡模拟在飞行器噪声研究中的应用随着人们对噪声污染的关注度不断提高,飞机噪声研究也越来越受到关注。
大型客机飞行时产生的噪声主要来自于引擎和机翼表面的湍流。
由于湍流现象非常复杂,传统的计算流体力学方法无法准确地预测噪声的产生和传播。
因此,大涡模拟成为研究飞机噪声的一种重要方法。
通过大涡模拟,可以更加准确地模拟湍流现象,从而预测噪声的产生和传播方式。
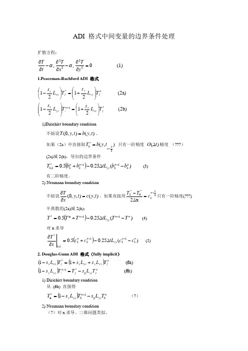
ADI 格式中间变量的边界条件处理扩散方程:(1) 02222=∂∂-∂∂-∂∂yT x T t T y x αα 1.Peaceman-Rachford ADI 格式(2b) 2121(2a) 2121*1*j xx x n yy y n j yy y j xx x T L s T L s T L s T L s j ⎪⎭⎫ ⎝⎛+=⎪⎪⎭⎫ ⎝⎛-⎪⎪⎭⎫ ⎝⎛+=⎪⎭⎫ ⎝⎛-+ 1)Dirichlet boundary condition不妨设),(),,0(t y b t y T =。
如果(2a )中直接取),(21*+=n b ty b T 只有一阶精度 )(t O ∆精度 (???)(2a)减2(b),导出的边界条件 ())(25.05.011*,n k n k yy n k n k k b b b tL b b T -∆-+=++ (3)有二阶精度。
2) Neumann boundary condition 不妨设),(),,0(t y c t y xT =∂∂。
如果直接用21*0*2x 2+=∆-n k c T T 只有一阶精度(???) 半离散的(2a)减2(b):())(25.05.011n *n n yy n T T tL T T T -∆-+=++ (4)对x 求导())(25.05.011,*n k n k yy n k n k k b c c tL c c x T -∆-+=∂∂++ (5)2. Douglas-Gunn ADI 格式(fully implicit )()()()(6b) 1(6a)11y *1*n j yy j n yy y n j yy y xx x j xx x T L s T T L s T L s L s T L s j -=-++=-+1) Dirichlet boundary condition从 (6b) 直接得() 1y 1*b n b yy n b yy y T L s T L s T --=+ (7)2) Neumann boundary condition(7)对x 求导。
出口进口nnn外边界面ll外流边界形状nnn周期边界进口边界面出口边界面(b )叶栅流nnnn进口边界面出口边界面(a )通道流固体壁面内流边界形状二.几个重要概念边界条件的定义:边界条件表示求解域外的信息(扰动)对求解域边界的影响。
确定边界条件的原则:1.若一信息由边界传入求解域,就应指定该信息的边界条件(第一原则);2.若一信息由求解域内传出边界,则不应指定该信息的边界条件(第二原则)。
由第一原则确定的边界条件称为解析边界条件;由第二原则确定不给边界条件,但在数值求解中必须补充的边界条件称为数值边界条件。
由于信息传播的方式由方程的类型所决定,所以边界条件如何确定是由方程的类型所决定的。
又由于信息(扰动)是沿特征线传播的,所以边界条件的确定与特征线与边界交汇的方式有关。
进口出口三.进口与出口条件(一) 一维Euler 方程0t x U F +=式中:U u e ρρ⎡⎤⎢⎥=⎢⎥⎢⎥⎣⎦ ()2u F u p e p u ρρ⎡⎤⎢⎥=+⎢⎥⎢⎥+⎣⎦补充状态方程2112p e u ργ=+- 1.进口边界(用下标 “in ”表示) 1)超音流(u a ∞>)3个解析边界条件均由来流条件决定,即in u u ∞= ,in ρρ∞= ,in p p ∞=2)亚音流(u a ∞<)2个解析边界条件,1个数值边界条件in u u ∞= ,in ρρ∞= ,in inner p p =下标inner 表示内场值。
2.出口边界(用下标“out ”表示) 1)超音流(out u a >) 3个数值边界条件out inner u u = ,out inner ρρ= ,out inner p p =即所有边界条件均由内场值外推获得; 2)亚音流(out u a <)2个数值边界条件,1个解析边界条件out inner u u = ,out inner ρρ= ,out b p p =其中,b p 为出口反压进出口边界条件++-+++++-+++(二)二维Euler 方程0t x y U F G ++=式中,u U v e ρρρ⎡⎤⎢⎥⎢⎥=⎢⎥⎢⎥⎣⎦ ()2u u p F uv e p u ρρρ⎡⎤⎢⎥+⎢⎥=⎢⎥⎢⎥+⎣⎦ ()2v uv G v p e p v ρρρ⎡⎤⎢⎥⎢⎥=+⎢⎥⎢⎥+⎣⎦ 补充,()22112p e u v ργ=++- 对于多维问题,与一维类似,考察进出口截面上特征值的正负来确定边界条件。
基于有限元方法的热传导分析及其工程应用热传导是热力学中的一个重要现象,它描述了热量在物体中的传递过程。
在许多工程领域中,对热传导进行准确的分析和预测至关重要。
有限元方法是一种常用的数值模拟方法,可以有效地用于热传导分析,并在工程实践中得到了广泛的应用。
1. 有限元方法简介有限元方法是一种将复杂问题离散化为简单问题的数值方法。
它将需要求解的区域划分为有限数量的子区域,称为单元。
通过在每个单元上建立适当的数学模型,并考虑其边界条件,可以得到整个区域的近似解。
有限元方法可以应用于不同的物理场问题,例如结构力学、热传导、流体力学等。
2. 热传导的数学模型热传导过程可以用热传导方程表达。
对于三维空间中的热传导问题,热传导方程可以写作:∇·(k∇T) + q = ρCp∂T/∂t其中,T是温度分布,k是热导率,q是体积源项,ρ是密度,Cp是比热容。
这是一个偏微分方程,可通过有限元方法进行离散化求解。
3. 有限元离散化过程为了使用有限元方法解决热传导问题,首先需要将待求解区域划分为有限数量的单元。
常见的单元形状有三角形、四边形单元等。
然后,在每个单元内选择适当的插值函数来近似温度场的分布。
通过在每个单元上建立局部方程,并将它们组装成一个整体方程,可以得到一个线性方程组。
通过求解这个方程组,可以得到整个区域的温度分布。
4. 边界条件的处理在热传导问题中,边界条件起着重要的作用。
边界条件可以分为温度边界条件和热通量边界条件。
温度边界条件指定了边界上的温度值,而热通量边界条件指定了热量在边界上的传递速率。
在有限元方法中,通过在网格节点处施加相应的边界条件,可以得到方程组的边界条件部分。
5. 工程应用基于有限元方法的热传导分析在工程中有着广泛的应用。
以热导率为例,对于材料的选取和设计,了解其热导率的分布是非常重要的。
有限元方法可以对材料的热导率进行模拟和预测,从而指导工程设计和优化。
同时,在导热设备的设计中,有限元方法也可以用来评估材料的热传导性能,确定热传导路径,优化传热效果。
一维传热问题边界条件处理当计算区域的边界为第二,第三类边界条件时,边界节点的温度是未知量。
为使内部节点的温度代数方程组得以封闭,有两类方法可以采用,即补充以边界节点代数方程的方法及附加原项法。
这里将介绍边界节点代数方程的方法。
对于无限大平板的第二类边界条件,采用泰勒展开法时,只要把边界条件B q x dX dT ==δλ中的导数用差分表达式来代替即可,即k q x T T B M M ⋅+=-δ111。
上式的截差为一阶,而内点上如采用中心差分,则截差为二阶。
为了得出具有二阶截差的公式,可以采用虚拟点法。
在边界外虚设一点M1+1,这样节点M1就可视为内节点,其一阶导数即可采用中心差分:B M M q xT T =--+δλ21111 为了消去TM1+1,由一维、稳态、含内热源的控制方程可得在M1点的离散形式:()02211111=++--+S x T T T M M M δλ从以上两式中消去11+M T 得,()()λδλδxq S x x T T B M M +∆+=-111其中2/x x δ=∆,是节点M1所代表的控制容积的厚度。
下面给出一个算例进行说明。
设有一导热型方程,022=-T dx T d ,边界条件为x=0,T=0; x=1, dT/dx=1。
试将该区域4等分,用区域离散方法求出各节点温度。
解:采用区域离散方法时,网格划分如下图所示,内点上采用中心差分。
右端点采用二阶截差,离散方程为: 0163332=-T T 01633432=-+-T T T 01633543=-+-T T T 41323354=+-T T编程解上述方程组得出每个节点的温度。
方程代码如下(Fortran6.6):PROGRAM MAINUSE IMSLIMPLICIT NONEREAL :: A(4,4)=(/ 2.0625,-1.0,0.0,0.0,&-1.0,2.0625,-1.0,0.0,&0.0,-1.0,2.0625,-1.0,&0.0,0.0,-1.0,2.0625/) !矩阵A 的元素REAL :: B(4,1)=(/0.0,0.0,0.0,0.25/) !矩阵B 的元素REAL :: T(4,1) !4个节点的温度矩阵!EQUATION:!2.0625T2-T3=0!-T2+2.0625T3-T4=0!-T3+2.0625T4-T5=0!-T4+2.0625T5=0CALL LIN_SOL_GEN(A,B,T) !A*T=B,求解TWRITE(*,"(4F5.2)")TSTOPEND PROGRAM 0 T1 T3 T2 1/4 1/2 T5 T4 13/4。
混合元与有限元方法的区别全文共四篇示例,供读者参考第一篇示例:混合元法和有限元法是结构力学分析中常用的两种数值方法,它们在解决结构力学问题上起着非常重要的作用。
混合元法是有限元法的一种衍生形式,它综合了有限元法的优点,同时克服了其一些缺点,因此在一些复杂问题的计算中表现出更好的性能。
混合元方法与有限元方法的区别主要体现在以下几个方面:1. 数学模型的不同:有限元方法是以弱形式逐步计算变形不确定场,采用函数的线性组合来描述结构的整体特性。
而混合元方法将结构中的各种因素进行分解,分别用适当的分析方法进行处理,再将各项结果按照一定的规则整合起来进行求解,以获得结构的整体行为。
2. 材料性质的处理:有限元方法对于结构材料的性质一般以均匀连续的材料性质进行处理,而混合元方法对材料的非均匀性进行了更为细致的刻画,能更准确地反映出材料的各种不同性质。
3. 边界条件的处理:有限元方法在处理边界条件时通常是以等效力对结构施加外部荷载,而混合元方法则可以更为准确地模拟实际结构的约束条件,能够更好地满足结构的实际工况。
4. 结果的收敛性:有限元方法在处理大规模结构问题时,由于误差的积累,结果的精度会有所下降,而混合元方法在结构的研究中通过多因素综合考量,能够更为准确地反映出结构的实际情况,而且在结果的计算中误差的积累较小。
混合元方法相对于有限元方法在处理结构力学问题时,由于其能够更全面地考虑结构的各个方面,能够更加准确地预测结构的性能,因此在一些复杂结构的力学分析中表现出更好的性能。
在实际工程中,选择合适的方法要根据具体的问题来决定,既要考虑计算的精度和效率,也要考虑计算的成本和可靠性。
【混合元与有限元方法的区别】不同的特点适用于不同的场合,需要工程技术人员根据实际需求做出合适的选择。
第二篇示例:混合元方法和有限元方法是结构力学领域中常用的两种数值计算方法,它们都是利用数值计算的手段对结构系统进行分析和求解。
虽然它们在某些方面有相似之处,但在实际应用中又存在一些明显的区别。