年教师节座位安排(广东实验中学)
- 格式:pdf
- 大小:308.21 KB
- 文档页数:5
(精品)班主任如何排座位课堂座位管理模式是老师家长们一直很头疼的话题,到底哪个模式的座位排列最高效?下面小编带大家先来客观分析下一些常见的座位管理模式吧。
1、秧田型秧田式座位排列方式是课堂教学最普遍的方式。
目前,我国大部分学校采用“秧田式”的模式,把学生排列成一行行、一列列,使讲台成为教室的中心。
优点:便于教师管理教室整齐划一,空间充分利用,有利于教师管理课堂、维持秩序和有计划地传授知识,有利于教师观察学生的一切活动,是大班授课最适宜的座位排列方式,教师可以随时走到学生中间,充分发挥了教师的控制作用。
缺点:不利于师生交流其课堂布局过于突出教师的中心地位,既容易让教师产生权威感,形成居高临下、高高在上的心态,也容易让学生产生畏惧感,不利于师生交往和学生讨论合作。
师生互动具有“教师→学生”的单向性,大大降低了学生对教师进行反馈的频率。
老师说:“我个人比较喜欢“秧田型”的课堂座位排列。
在这种空间形态中,学生相互干扰少,听课注意力容易集中。
从教师来说,也易于观察与控制全班学生的课堂行为,利于进行系统讲授。
”2、分组模块这种模式类似于文章开头提到的“团团坐”,与秧田式不同,改变了学生看着学生的后背的方式,面对面围桌而坐,在相互交流中完成教学任务。
优点:增强学生间互动合作学生的主体性加强,注重了互助式、互动式、讨论式的学习,有利于小组成员进行相互交流合作,使小组成为真正意义上的“功能群体”,学生的学习任务由过去的个体化转向个体化与合作化相结合,学生之间由过去的竞争关系转向合作与竞争相结合的关系。
缺点:老师监管较难在这种自由的学习空间中,教师对学生的监控很难到位。
小组学习中,学生围桌而坐,教师很难发现学生开小差。
生理方面,不良的坐姿、肌肉的松弛、突然的扭头不仅会造成精神的涣散,长期下去还会影响视力,甚至增加一些疾病发生的危险因素。
老师说:“我觉得小组式排列法比较好,我会让学生自由组合,这样可以培养他们的合作精神,沟通能力和解决实际问题的能力,特别是对于一些探讨性的实验,这样的排列方法最有利于他们的学习。
学校教师团建活动策划方案(精选13篇)学校教师团建活动策划方案(篇1)一、活动目的9月10日是我国教师节,为发扬光大尊师重教传统,使学生学会感恩教师的爱心,感恩教师的劳动,感恩教师的教诲。
同时经过活动加强师生交流,增进师生感情,改善师生关系。
在教师节来临之际,开展庆祝教师节系列活动。
二、活动主题“浓浓师生情满满都是爱”三、活动时间9月4日————9月13日四、活动资料(一)国旗下讲话学生代表作一次国旗下讲话,向全体教职工送祝福,感激师恩。
(二)主题班会各班开展一次以“浓浓师生情满满都是爱”为主题的班会。
各班级可采取座谈、演讲、表演等多种方式开展本次主题班会活动。
要求主题突出、形式新颖。
以到达培育学生尊敬教师、热爱教师的思想感情,增进师生之间的友情,表达学生对教师的感恩之情。
(各班9月7日下班前交班会设计要点,交给刘帅教师)(三)广播站送祝福。
学校广播在9月7日起播出庆祝教师节节目,设立点歌台,欢迎全院学生为教师点播歌曲,送上祝福。
①专设庆祝教师节专题广播。
②资料:感人事迹、歌颂教师的歌曲、学生及家长的祝贺、教师寄语等。
③9月7日开播至9月12日止。
(四)一声问候一楼电子屏幕滚动播放各班级对教师祝福语,热烈庆祝第__个教师节!”“感恩教师,祝福教师!”、“祝教师们节日欢乐!”“教师,您辛苦了!”大屏幕滚动时间:9月7日———12日。
(五)一张手抄报各班以“庆祝教师节”为主题制作庆祝教师节手抄报一张,9月5日放学前上交至学生会,9月7日开始展出。
(六)真情瞬间征图活动。
请同学利用课余时间用照相机记录师生生活的点点滴滴,将最能体现师生间的真情瞬间记录下来,在教师节来临之际,向广大教师致以最崇高的问候。
中学要求各班上交一份摄影作品于9月6日午时上课前交至学工部教师处,届时将制作展板展出。
(七)征文:主题:献给教师的祝福要求:参赛作品题目自拟,文体不限,要求*资料进取、立意深刻,主题鲜明,能充分体现对教师的感恩之情。
2024举行教师节活动的策划方案(通用15篇)举行教师节活动的策划方案【篇1】一、活动时间:20__年9月7日18:30二、活动地点:三楼会议厅三、会议议程:1、领导致辞。
(刘校长)2、庆祝教师节优秀节目展演。
3、颁奖。
(注:节目和颁奖穿插进行)四、相关事宜:1、横幅(孙方友):南门热烈庆祝第x个教师节。
圆盘祝全体教师教师节快乐!三楼会议厅:沭阳县第二实验小学庆祝第x个教师节表彰大会。
2、教师座位、纪律安排。
(孙方友六年级调到中间后三排。
西区坐获奖老师,幼儿园老师坐在获奖教师后。
杜绝孩子到舞台周围观看)3、奖品购买:汤井业张石成。
100元/人共计100人4、文娱节目8个:王红梅李庆明5、获奖教师队形队列、上下场安排、彩排:宋营弟6、奖品准备及发放:曹红梅+汤井业+六名女教师(服装统一)7、电视台、《宿迁日报》宣传报道:项强、耿小娟8、颁奖程序:举行教师节活动的策划方案【篇2】●活动目标:1.在教师节当天,除了对自己班级的教师表达节日祝福也记得为其他班级的教师们送上祝福。
2.知晓教师节意义并了解教师工作的辛苦。
3.愿意承担值日生的任务,为班级能做力所能及的事情。
●活动准备:教师事先准备好卫生工具,划分好幼儿可执行的卫生区域。
●活动过程:1.导入部分教师讲解教师节的由来及意义,引导幼儿了解教师工作日常的繁琐与复杂性。
2.了解教师工作引导幼儿走出教室去观察教师的工作日常,了解教师们的辛苦。
3.我是班级小主人教师向幼儿说明班级的构成关系:除了老师外,小朋友们也是这个班级的主人。
引导幼儿帮助教师分担维护班级安全与卫生的责任,为班级做些事情。
如挂毛巾、管理自然角、给植物浇水、分发学习用品、擦桌子、摆放椅子等。
4.记录教师将活动过程拍摄下来,制作成小短片,用来记录孩子们的成长。
完成后大家共同检查,对自己的劳动给予肯定,体验帮助人的快乐。
5.教师表示感谢教师对于孩子们的付出真诚地表示感谢,并带领小朋友们走出教室,给其他班级的老师以及让幼儿园变美丽的所有老师送去教师节祝福。
初中座位安排⼀、初中存在的⼏种座位安排⽅式:1、按⾝⾼的⼤⼩编排座位当接接到⼀个新班级的时候,由于不了解学⽣。
可以按⾝⾼编排座位。
个别近视的学⽣和打过招呼的学⽣尽量满⾜他们的⼼愿。
优点是:省事。
学⽣没有太⼤的异议。
学⽣的视线不受阻碍。
缺点是:很多家长通过各种关系要求孩⼦到前⾯坐。
⽼师很为难。
尤其是往后⾯调学⽣。
容易出现不公平现象。
2、按考试成绩编排座位按照考试成绩由前往后排,考⼀次试更换⼀次座位。
优点是:⽐较公平,通过竞争能促进学⽣学习。
避免出现⼈情座,不会有家长讨好⽼师从⽽换座位的情况出现。
缺点是:学习差的聚集在后⾯,课堂纪律差,容易相互影响,形成懒散不思进取等不良风⽓。
⽼师上课的注意⼒主要在前⾯那些成绩好的学⽣,忽视差⽣。
3、男⼥交叉编排座位每个男、⼥的四⾯都是异性。
⾼年级⽐较实⽤。
优点:根据⾼年级学⽣的青春期⼼理需要。
他们在这个年龄段,对异性有好奇⼼,让他们接触。
能减轻他们的躁动的⼼理。
男⼥搭配,学习有动⼒。
缺点:容易给学⽣造成恋爱的机会。
要注意适当的调整。
4、⼀帮⼀的⽅式编排座位根据成绩,班级的前⼗名和班级的后⼗名⾃愿结成⼀帮⼀互助对⼦。
根据两个⼈的成绩的名次决定座次。
优点:学⽣之间互相帮助,共同进步。
每学期进⾏总结,对帮扶有成绩的学⽣进⾏表扬。
增进了学⽣之间的友谊。
缺点:增加了学习成绩优异者的负担。
对于那些成绩处于中游的学⽣安排⽐较困难。
有的成绩较差的同学可能会影响到成绩好的同学。
⼆、初中⽣的⼼理特点初中阶段是⼀个特殊的年龄阶段,在编排座位时也应该考虑到其特殊性。
初中⽣的⽣理发育⼗分迅速,在2⾄3年内就能完成⾝体各⽅⾯的⽣长发育任务并达到成熟⽔平。
但其⼼理发展的速度则相对缓慢,⼼理⽔平尚处于从幼稚向成熟发展的过渡时期,这样,初中⽣的⾝⼼就处在⼀种⾮平衡状态,引起种种⼼理发展上的⽭盾。
初中⽣的⼼理特点主要表现在⽣理变化对⼼理活动的冲击,⼼理上成⼈感与幼稚性的⽭盾两个⽅⾯。
(⼀)⽣理变化对⼼理活动的冲击由于初中⽣⾝体外形的变化,使他们产⽣了成⼈感,因此,在⼼理上他们也希望能尽快进⼊成⼈世界,希望尽快摆脱童年时的⼀切,寻找到⼀种全新的⾏为准则,扮演⼀个全新的社会⾓⾊,获得⼀种全新的社会评价,重新体会⼈⽣的意义。
庆贺老师节主题活动方案〔精选7篇〕庆贺老师节主题活动方案〔精选7篇〕【篇一】为了喜迎第xxxx个老师节的到来,让广阔老师渡过一个愉快而又难忘的节日,根据中心团委的文件精神,结合我校实际,特制定本施行方案。
一、指导思想进一步推进师德建立,在全校营造尊师重教的气氛,弘扬尊师重教的良好风气,鼓励广阔老师热爱教育事业,积极进取,开拓创新,推动学校各项事业的全面开展。
庆贺活动要本着“隆重、热烈、务实、简朴“的原那么,开展系列活动,变单纯的庆贺活动为一段时间的主题活动,使活动内容更为丰富;力求活动形式创新,更好的突出活动主题和内容,增强活动的感染力和影响力。
二、活动时间9月7日—11日三、活动安排1、各年级开展“我是小能手”等角色体验教育活动,组织学生亲手为老师做一份有纪念意义的礼物。
号召学生可以自己动手、自己动脑,为老师做一份小礼物,以此表达对老师的亲爱之情。
2、开展建立“师生知心”信箱。
各年级开展给老师写慰问信活动,让广阔学生把自己内心要对老师所讲的心里话以慰问信的形式写下来在老师节到来之际,把祝福送给亲爱的老师,表达一份尊敬之情,架起广阔师生之间情感的桥梁。
3、召开“和学生们谈心,向老师说心里话”为主题的队会,通过交流的形式,让广阔老师对学生心中所想有所理解,也让学生更加全面深化地理解老师、理解老师,以此增进师生之间的.友谊。
四、庆贺方式1、9月10日早晨,播放《每当我走过老师的窗前》等歌曲,营造庆贺老师节的气氛。
2、“老师节”的早晨,以各年级为单位,在教学楼前列队以年组特有的祝福方式欢送全体老师,庆贺老师节。
3、大队长带着全体大队委员整齐地排列在教学楼大门两侧和一楼大厅,见到每一位进校的老师,齐行队礼,齐说一声“老师节日快乐”,“老师,您辛苦了”祝福的话。
4、红领巾播送站从9月7日至9月11日播稿音主题为“师恩难忘”老师节专题内容,通过诗朗读“有一种东西”、“是谁”、“难忘老师的目光”、“九月属于老师”等文章,表达全体学生对老师的祝福。
1、礼物(笔筒、开心瓶、介绍信)2、黑板报(签名、头像)NO3、班会(唱歌、表达)NO4、笔记本(送祝福)NO“最”是一年教师节新学期开始了,当您还沉浸在开学的忙碌氛围之中,教师节飘然而至。
在这样一个特殊的日子,忙碌的你,回想起那些质朴而真诚、简单而独特的祝福时,心中会泛起怎么样的涟漪……在此,特辑录一束回忆的浪花,愿这一朵朵精致的回忆,能为您带来一份幸福与快乐;愿我们的关注与陪伴能为您的节日添上一份别致的温暖!最有启发意义的礼物心里总有一份感动在澎湃,那是源于孩子们最纯真的祝福。
四方形,银白色,精致典雅,这是学生送我的教师节礼物——笔筒。
这份礼物的意义,并不在于此,而是笔筒里放的那张字条。
上面写道:“老师,虽然我们宿舍有几个人爱上网吧,令你不满意,你还不如用真情和行动感化他们,就像这个笔筒一样,它可以放水笔、圆珠笔、小刀、涂改液等。
它不会对小刀的锋利、涂改液的味道而不满意。
”看完这番不太通顺,却颇有道理的话,我还真有些面红耳赤。
陈尧在中肯地提醒我,要改变学生,就要先改变自己,尤其要学会包容学生的错误。
(刘俊洄福建大田县第六中学)最艺术的风景没错,图片上最大的那个笑靥如花的女子就是俺,哦,不,准确地说,是俺学生心目里的俺,他们眼里永远青春靓丽的最美的风景线。
那年教师节,为了给老师们惊喜,18班的这帮孩子,在下午放学到第二天上午上课之间,争分夺秒出了这期让每个老师走进教室都忍不住惊喜赞叹的黑板报。
十分写意又适度美化的笔触,勾勒出每一位科任老师的漫画头像,准确地抓住了大家最具代表性的经典表情,熟识的人真可以“一目”即“了然”。
左手下方的是班主任程老师,伸出手指,慷慨陈词;挂钟下的是政治谢老师,哲学家的风范绝不是体现在口头上,看那大大的厚厚的镜片,是孩子们对老师的敬意;爽朗的笑、鼓励的眼神、不变的热情,是我——他们的语文老师,面对他们时最自然的表情,对着这帮可爱的上进努力的孩子,想不开怀都难。
(见封三①②)(秘爱丽广东实验中学)值得珍藏的惊喜我走进楼道,发现班里静悄悄的,心想孩子们肯定乖乖地在桌子上趴好了(我班有午休)。
学校组织教师节活动的方案(优秀8篇)学校组织教师节活动的方案篇1一、活动主题:我爱我师我爱我校二、活动目的:在第32个教师节来临之际,在校园中营造节日气氛,让每个学生从自己的角度了解教师、尊重教师,并通过实际行动表达对老师的敬意,体验到尊敬老师的愉悦感受。
三、活动内容:1、征集教师节祝福语。
必须是出自自己的真心、真情、真意,杜绝网上下载。
每班征集5条,于9月-日前上交FTP少先队活动包。
2、请各班出一期有关教师节的黑板报,用同学们独特的创意,丰富的想象,炫丽的色彩,生动的内容,展现各班的庆祝特色,渲染节日气氛。
(第二周周三评比)3、“我最想对老师说的一句话”活动:说出你内心最想对老师说的话,还可以制作成“心心卡”亲自送给老师,让彼此的心灵不再遥远。
4、你和老师之间肯定发生过许多难忘的事情,希望你拿出手中的笔,记录下你们和老师的故事,让大家和你一起分享你们同老师之间的欢乐和小秘密。
5、开展主题队会,认真思考“什么才是送给老师的教师节礼物”、“如何回报老师的培育之恩”。
通过主题团、队活动,体会老师辛勤的汗水和殷切的期望,学会感恩和回报,并把尊师的意识根植于平时的一言一行中。
6、以班为单位开展“我当一日老师”主题活动,同时邀请本班老师观摩、指导并做出点评,增进老师和学生的相互理解。
学校组织教师节活动的方案篇2活动目标:在第-个教师节来临之际,开展主题活动,让学生回忆起每位老师为他们的成长所付出的心血和汗水,使学生深刻地理解老师的品质,抒发对老师的感激之情,从而激励学生更加热爱老师,把对老师的尊敬化为发奋学习的动力,以最好的成绩报答老师的培育之恩!活动形式:观看短片、讲述故事、朗诵诗歌、演唱歌曲、舞蹈表演、现场采访老师等活动地点:学校多功能教室活动准备:制作多媒体课件、排练节目、鲜花、服装、采访家长活动过程:一、整理队伍、报告人数二、宣布活动开始。
中队长:“我宣布希望小学六(4)中队‘谢谢您,老师’主题活动开始!”三、出旗。
国内座位排序的基本规则1.引言1.1 概述概述部分的内容:在日常生活中,座位排序问题是我们经常会遇到的一个问题。
无论是在教室、会议室,还是在观演场所,都需要有一定的座位排列规则。
座位排序的基本规则是为了保证场所的秩序和效率,让每个人都能够有一个合适的座位。
在国内,座位排序的基本规则已经被广泛接受和应用。
本文将介绍国内座位排序的基本规则,并探讨其背后的原理和作用。
座位排序的基本规则一般包括以下几个方面:距离、身份、先来后到、特殊需求等。
首先,距离是影响座位排序的重要因素之一。
在大多数情况下,离讲台或表演舞台近的座位通常被认为是更有利的位置,因为这样可以更清晰地观看演讲或表演的内容。
其次,身份也是一个决定座位排序的重要依据。
在一些场合,根据身份的高低来确定座位的排序,这既可以彰显身份的重要性,也可以维护场合的秩序。
此外,先来后到也是一个常见的座位排序规则。
按照这个规则,先到的人有优先选择座位的权利,后到的人只能选择剩余的位置。
最后,特殊需求是在座位排序中必须考虑的一个因素。
一些人由于身体上的特殊原因,需要特殊的座位来满足其需求。
国内座位排序的基本规则结合了以上几个方面的因素,旨在确保每个人都能够有一个合适的座位。
这些规则的制定和遵守有利于场所的秩序及活动的顺利进行。
同时,座位排序规则也反映了社会的尊重和关怀,体现了人们之间彼此的关爱和理解。
在未来,随着社会的不断发展和进步,座位排序的基本规则也可能会发生变化。
随着科技的进步和人们对个性化需求的不断提高,座位排序规则可能会更加灵活和差异化。
总之,座位排序的基本规则在国内已经得到了广泛认可和应用,它既体现了管理的需要,也体现了社会秩序与个体尊重的平衡。
希望本文能够为大家对国内座位排序的基本规则有一个更深入的了解提供一些参考。
1.2文章结构文章结构:本文主要讨论国内座位排序的基本规则。
文章分为引言、正文和结论三个主要部分。
引言部分首先概述了国内座位排序的重要性,以及影响座位排序的因素。
新学期排座位的妙法让每个座位都成为“C位”每学期,班主任都会收到一些家长的调座要求,调座的理由很多,目标却是一致的:希望自家孩子坐在前排的中间位置,前后左右都坐着公认的“好学生”,这样的座位在很多家长眼里是“C位”。
学生的差异、家长的诉求、班级管理的繁杂使排座位成为班主任头疼的事情。
我认为,让每个座位都成为“C位”,问题就能迎刃而解。
1.给家长树立正确的“座位观”一些家长认为班主任是按分数高低来排座位的,这种错误观念使他们格外关注座位,进而干扰班级管理,也会在无形中给孩子带来很大的学习压力。
班主任要引导家长理性看待座位问题,树立正确的“座位观”:一方面,引导家长相信学校,尊重教师的安排,多从班级整体考量;另一方面,让家长明白,每个孩子成长的节奏不同,不要以自己孩子的成长标准看待班级的其他同学,座位和同桌不是影响孩子成绩的主要因素。
另外,班主任要和家长保持良性沟通,面对一些特殊情况,可以和家长详细说明,安抚家长的同时也避免将负面情绪传递到班级。
2.坚持动态管理的原则有经验的班主任会定期调整座位,这种动态管理的原则,对学生的身心发展大有裨益。
以下是我在调整座位时用到的几个小策略。
其一,契合学科,灵活把控。
座位安排要根据学科的特点、教师的课堂教学需求灵活变化。
如科学课采用“马蹄形”座位布局,教师可以在教室中间进行实验展示和讲解,以便同学们观察和交流。
再如音乐课上,孩子面向教师围圈而坐,宽敞的空间更能让孩子们释放心灵,大声歌唱。
另外,学生在不同学科的课堂上表现不同,有的在语文课上比较乖巧,在数学课上却爱做小动作。
班主任只有多与科任教师沟通,“放权”让科任教师调整座位,课堂教学效果才能最大化。
其二,创建小组,分工搭配。
以小组为单位安排座位可以调动学生学习的积极性,形成互帮互学的良好氛围。
分配之初,要告诉学生组建学习合作小组的原则,选择综合能力较强的学生担任小组长,将能力不同、性格互补的学生搭配在一起,同时强调,每隔几周更换小组成员。
2024年教师节节日系列活动方案(通用15篇)教师节节日系列活动方案篇1一、活动主题花满校园语成蹊二、活动设计指导思想20__年的9月10日,我们迎来了第__个教师节。
今年的9月10日是全国教育工作会议召开教育规划纲要发布以后的第x个教师节,组织好今年教师节的活动对于学习贯彻全国教育工作会议的精神,贯彻落实教育规划纲要,推动教育事业科学发展具有十分重要的意义。
这个教师节也是__幼儿园创园后迎来的第x个教师节,有着特殊的意义。
今年教师节的主题是:贯彻全国教育工作会议,推进教育事业科学发展。
活动本着全园师生家长共同参与的原则,营造一个温馨、感恩、细腻的活动氛围,更好的突出活动主题和内容,增强活动的感染力和影响力。
三、活动目标1、幼儿通过参加活动知道9月10日是老师的节日。
2、幼儿在活动中感受到幼儿园的温暖、老师的`亲切。
3、幼儿能够在老师的指导下制作爱心卡片、绘画等形式表示对老师的尊敬。
四、活动时间9月x日——9月__日五、活动地点__幼儿园六、活动内容1、第一阶段(9月x日--9月x日):以小班年级组为主要承办体,设计教师节活动内容,设计教师节主题墙饰,安排各年级段主要活动内容。
2、第二阶段(9月x日):各年级段安排教学活动,托班与教师留影纪念,小班与家长合作制作爱心卡,中班制作教师节礼物,大班绘画活动《我心目的老师》,布置主题墙饰板块。
3、第三阶段(9月__日--9月__日):教师节主题展牌展示,让孩子懂得尊师重教,常怀感恩之心。
4、x月x日班队课举行“谢师恩”主题班会。
5、培训主持人两名。
七、教师节前一天活动流程1、清晨,校园插上彩旗。
2、课间操时间,全体师生集合操场,广播播放《每当我走过老师窗前》学生大合唱。
小主持人上台主持,全体学生唱歌。
3、请学生把贺卡和征文送给老师。
4、上午由大队部组织在“__毕业”的一年级部分新生,到母校感恩教师,献上鲜花祝福,对幼年启蒙教师辛勤的培育表示感谢。
八、相关工作人员安排1、活动总负责:__。
中小学学生座位编排方法大全(总有一款式适合你)01排座位的7准则和换座位的3原则在排座位和调整座位的问题上,班主任常常会遇到各种困扰。
为了解决这些问题,我们可以制定一些规则,让全班同学共同遵守。
以下是排座位的7准则:1.不考虑视力问题,因为现在大部分同学都近视;2.身高是重要考虑因素,尽量不让前面的人挡住后面的人的视线;3.不考虑需要和同座位上课讨论问题的理由,研究上的问题可以在课后讨论;4.男生和女生可以是同座位,不存在男女界限;5.试着和不同性格的同学相处,一般一个学期可以调整一次;6.不以成绩好坏作为排座位的依据;7.好的位置和相对差的位置需要轮流坐,好座位不是终生的。
同时,我们也需要遵守换座位的3原则:1.如果你坐在一个公认的好位置上,请珍惜。
如果你上课不专心听讲,对周围同学造成不良影响,那么请你将你的座位让出来;2.如果你认为你的座位不理想,想换一个好位置,请在现有的座位上好好表现,调换座位时才会优先考虑;3.在座位问题上表现出大度、谦让、顾全大局的同学在调整座位时将优先考虑,或在其他荣誉问题上补偿。
除了以上规则外,我们也可以让学生自己选择同座位的伙伴。
班主任可以让每个人拿出一张纸,写下自己最想和谁成为同桌,选择三个人作为备选。
这三个人一定是自己中意的,根据意愿,也分成首选、次选、备选,就像填第一、第二、第三志愿一样。
然后,班主任可以根据学生的选择制定座次表。
当然,有人可能会担心自己选择好朋友做同桌会导致课堂纪律混乱。
但是,我们可以相信大家选择同座位的动机是良好的,是为了有个好心情更好地上课,还可以互帮互助。
同时,我们也可以让所有座位试坐一个星期,根据试坐情况调整。
这样,就可以让学生们在一个舒适的环境中研究。
这种座位方式是我最近几年的尝试,它采用了“梳子式”的排列方式。
每行座位交错排列,形成了梳子的形状,这样可以让同桌之间的距离更近,方便交流和合作。
同时,这种座位也能够有效地控制课堂纪律,因为同桌之间相互监督,不容易出现一些不良行为。
2024教师节活动方案(集锦15篇)教师节活动方案1设计意图:孩子们刚刚升入大班,已经是大班的孩子了,今年是他们在幼儿园的最后一个教师节,两年的幼儿园生活,孩子们和老师之间已经结下了深厚的感情。
为了让孩子们对自己的老师有更深的了解,激发孩子们尊敬老师、爱老师的情感,我设计了本次主题活动,让幼儿通过各种方式来表达对老师的爱。
活动目标:1、知道9月10日是教师节。
2、感受教师对自己的爱,能用恰当的方式表达对教师的爱。
活动准备:1、教师和孩子们一起活动的照片。
2、制作小礼物的材料:彩纸、彩带、水彩笔、各种废旧材料等。
3、幼儿画册《社会》活动重点:知道9月10日是教师节,萌发幼儿热爱教师的情感。
活动难点:制作小礼物送给老师。
活动过程:一、教师提问,请幼儿讨论,引起幼儿学习兴趣教师:小朋友你们知道6月1日是谁的节日吗?(是我们小朋友的节日),小朋友们过节日的时候快乐吗?是谁给你们过的节日?那么你们知道吗?其实老师也有节日,你们知道老师的节日是哪一天吗?(9月10日是老师的节日),老师很辛苦。
小朋友都认识哪些老师呢?小班是那几个老师教过你,中班是那几个老师教过你?二、组织幼儿回忆从小班升到大班以来的一些难忘的往事,以及和老师们发生的难忘的故事,以此来激发幼儿热爱老师的情感。
1、出示老师和幼儿一起活动的照片请幼儿欣赏。
2、提问:这是什么时候照的照片?小朋友们在干什么?老师在做什么?你们的心情是怎么样的?为什么又高兴有快乐?3、小朋友现在有了那些本领?这些本领是跟谁学来的?老师为小朋友做了哪些事情?4、除了班上的老师,幼儿园里还有哪些人关心照顾过你?三、讨论:老师把爱都给了小朋友们,小朋友们在老师的节日里应该给老师爱呢?1、幼儿阅读画册《给老师的爱》后根据教师的提示进行讨论(1)老师怎么了?为什么会咳嗽?(2)小朋友想出了什么办法帮助老师?老师会怎么想?(3)你平时是怎样对待老师的?四、制作小礼物表达对老师的爱并送上祝福的话语1、在教师节,我们应该怎样向老师表达爱呢?(说祝福的话,送给老师小礼物)2、幼儿制作小礼物,教师巡回指导并给予一定的帮助五、幼儿赠送礼物,并与教师一起演唱歌曲祝福教师节日快乐。
教师节开展活动活动方案(精选7篇)教师节开展活动活动方案篇1为认真贯彻落实党的精神,积极响应_区教育局关于开展教师节活动的号召,推进我校教育和谐发展,充分展示我校教职工的风采,丰富广大教职工的文化生活,进一步增强教师的责任感和使命感。
一、活动内容1.给老师写下祝福的话;或写一封表露感激之情的感谢信,并附上一份自己本学期的奋斗目标、贴在学校的展示栏上。
(x月x日之前贴上)2.由各团支部统一组织制作贺卡,让每位同学写上深情的问候和祝福的话语,献给每位教师。
(x月_日送达每位教师)3.组织团员帮助老师打扫办公室或一件美化校园的好人好事。
4.x月x日早上,各班团支部书记到校门口,迎接老师,见到老师时送上一声亲切的问候,并送上一支鲜花。
5.当老师走进教室时,能看到黑板上写的祝教师节快乐的话;6.以全班同学的名义,在讲台上放一支鲜花或倒上一杯茶。
7.教师节组织一次主题升旗仪式。
二、活动安排各团支部要认真组织,开创性地做好工作,活动结束后,要把活动的总结以书面形式报团委,团委将纳入对各班团支部的考核。
早上迎宾:_、_、_晨会对联活动人员安排:_、_、_横幅:_、_从教无私,桃李三千承雨露;感恩报师,建兰四季吐芬芳(兰园果硕)注意事项;拉对联与读对联的配合三、录音活动活动内容:由各班班长负责“录音活动”。
活动当天录下温馨或逗趣的话语,将所录的话语进行裁剪编辑及合成,并且可以配上背景音乐,要求录音时间在3分钟之内。
录音内容中包含唱歌部分:在老师(老师由班级同学挑选)上课前,全班合唱一首关于教师节的歌。
活动时间:从x月x日开始,在x月x日中午之前上交注意事项:录音的后期制作及效果四、送礼物活动活动内容:由各班团支书负责,将各班与任课老师的照片制作成杯子、T恤衫或是版画(任选其一)。
教师节开展活动活动方案篇2一、活动主题:畅想未来,放飞希望。
二、举办单位:--镇中心校三、演出单位:中心校及各小学校代表队四、演出时间、地点:2021年9月10日上午8∶00——13:00在--镇政府会议室五、具体要求:1、节目数量(按校型定节目数量)会发小学至少选送4个以上优秀节目。
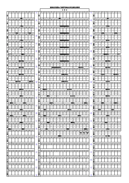
2009年教师节座位安排(广东实验中学)
时间:9月8日(星期二)下午6:30
地点:花园酒店一楼花园国际会议厅
第一席:领导嘉宾、郑炽钦
第二席:领导嘉宾、左春华、蔡洁莹
第三席:领导嘉宾、李夏萍、武雯
第四席:领导嘉宾、李子良、陈秀台
第五席:领导嘉宾、黄建伟、付爱民
第六席:领导嘉宾、姚训琪、刘春霞
第七席:领导嘉宾、杨锡齐、张培军
第八席:领导嘉宾、全汉炎、刘中礼
第九席:领导嘉宾、江秋明、刘忠毅
第十席:领导嘉宾、黄涛
第十一席:领导嘉宾、何梅
第十二席:领导嘉宾、戎振纲
第十三席:领导嘉宾、黄燕文
第十四席:领导嘉宾、周映平
第十五席:领导嘉宾、李鑫
第十六席:领导嘉宾、蔡骘
第十七席:领导嘉宾、潘礼祥
第十八席:领导嘉宾、柳宗庆
第十九席至第二十六席:学校离退休教师
第二十七席:张剑平、黄冬玲、谭达文、汪波、韩雪、Miss Tahsina Khan、Miss Alaina Smith、Miss Katharina Schneider、Mr. Samuel
Harding、Mr. Piers Hunday、Mr. Chris Morgan、Mr. Brendan
Blayney
第二十八席:胡金兰、郭冉冉、李珺、郭颖华、刘玉清、林有淑、沙晶、黄少云、蔡传业、易艳、司马术云
第二十九席:陈浩杰、谢辉志、李宏云、徐翠兰、周剑山、吴海波、罗卓君、郭俊彬、朱慧芳、夏嵩雪、刘秋婵、徐敏仪
第三十席:黎卓明、何颖祺、苏岚颖、邓鹂、刘佳、刘媛媛、李全、陈静洁、许绍群、杨娥、石振方、刁钧坚
第三十一席:李泽雄、汪丽、岑冠霖、李俊英、梁天仑、陈英妹、朱彩芳、黎慧、赖增隆、吴薇薇、林琳、曹隆坤
第三十二席:周云虹、曾静兰、何汝国、杨丹、黄俊武、潘叶琴、谢明晶、张小青、蓝师江、陈全方、郑咏诗、黎飞鸣
第三十三席:李蓓蓓、肖英君、陈凤军、陈秀君、陈芝珩、何文娟、张捷、黄小冰、蔡心怡、邝政章、陈丽丽、张红卫
第三十四席:黄晓雯、廖其光、黄绍玲、唐静、徐永生、钟民、刘继东、许超、陈嘉、杨姗(艺)、马丽丽、李宝璇
第三十五席:李云、石晓芸、丁之境、楚云、张关荣、杨勤、邹梅朵、陈
铿、张淑华、戴应超、陈勇胜、张兴华
第三十六席:翁文、梁幸、黎欢、邱艳文、卢颖、陈秀娟、王冬青、周静、丁友根、黄慧、杨少敏、杨壮宇
第三十七席:眭苏奇、朱宝新、费劼、张智林、张晓帆、迟妍、曾晞、黄竞、马悦怡、古景春、彭文静、张志扬
第三十八席:蓝敏、宋晓霞、张静仪、黄欣、黎小敏、汪维丁、彭吉思、莫莉、范筠桦、梁悦明、孙洪云、许瑞蓉
第三十九席:程建华、吴捍强、杨庆元、叶晓靖、卢冠廷、陆鸿雁、陈欣欣、孙蓉蓉、李福健、麦钢、黄溪宁、翁晓君
第四十席:陈镜辉、李娟、艾锦云、王正涛、陈佳、龙联丰、李成该、左英、沈妙婷、夏群、刘彩燕、成山
第四十一席:王小兵、程宝云、陈玲、曾静雯、姚静、李瑾、丁成东、刘朝晖、曲凤、李素丽、廖洁、胡正勇
第四十二席:蔡文俊、刘健、姚文霖、杨义、程凯、王军、余智恒、陈义虎、符开广、郭彥瑞、刘效国、余海波
第四十三席:程力生、朱万喜、杨芳、谢家祭、田士军、刘绮筠、申青山、陈莉、肖敏仪、郭卫东、龚寸章、伍毅东
第四十四席:谢锦辉、梁万峰、黄为、周若鸿、先开萍、杨淑苹、乔冬梅、曾幼芬、王涛、李少琼、丁辉、胡金梅
第四十五席:徐卉、李艳、黄卓琳、金畅、洪代英、胡志坚、艾永中、彭德毅、吕黎洁、何晶、张小丹、杨昌
第四十六席:柳先美、林加明、程俊、韩世瑞、刘雪英、马晋闽、程华胜、
张玲娟、杨慧、唐远、倪尚明、胡桂玉
第四十七席:陈成、方向阳、施美彬、张铁牛、黄秀军、陈健、梁晓敏、周嘉、熊禄金、廖宇彬、董享禹、王友准
第四十八席:卢植、刘庆、王明、洪建亮、侯士群、谭军、陈岸春、阳珂、陈式华、温琳、罗易、邓翅跃
第四十九席:倪晓龙、徐梅娟、李宇佳、李翠红、杨鲜亮、杨鲜亮、严小鸣、肖勇钢、方敏、陈森林、刘军凤、吴建华
第五十席:孟冬宏、徐妮、徐佑玲、黄湘、潘颖媚、刘庆生、戴进、左月娟、徐君婷、莫影春、詹凤琴、曾斌
第五十一席:余耿华、谢春、蔡辉、刘芙蓉、刘立雄、吴玲、杜细龙、王颖、傅岚、丘小红、石乐义、杨晓园
第五十二席:张岭峰、黄志坤、林小莹、彭宪莲、郑秋荣、杨旭生、区嘉俊、邵慧芳、郑大成、李杨栈、曹雁、郭爱娣
第五十三席:谢行、陈国雄、陈蔓惠、王剑、钟燕、朱伯东、邝乃文、谭颖群、周奇乐、幸斌、郑省坚、赵岩
第五十四席:柳欢、郭守衡、林新燕、白志萍、谭汉华、张婉婷、李春会、余凌军、张伟城、张明明、崔畅、刘国强
第五十五席:黄柏树、严旭章、陈卫平、罗玉花、宣泽宵、赵粤欣、徐家连、黎佩健、梁建舒、谢湘平、赵明贵
第五十六席:刘宇翔、李燕明、周绍鹏、曾广梅、周志华、刘亚芬、黄丰毅、冯国利、李绍裘、唐伟明、余庭湛
第五十七席:周凯、领导的秘书
第五十八席:梁星得、丘唐练、领导司机
第五十九席:机动
因工作安排未能赴宴的老师:翁之英、刘军涛、徐建峰、杨晋鹏、秘爱丽、杨姗(语)、刘江宁、闻熠、陈胜方、夏巧凤、张广。
学校办公室
学校工会
2009年9月3日。