大学英语应用写作期末考试试题
- 格式:docx
- 大小:236.27 KB
- 文档页数:8
成人大专、本科《应用写作》期末考试真题试卷应用写作是一门实用性很强的学科,它不仅要求学生掌握基本的写作技巧,还要求学生能够运用所学知识解决实际问题。
在成人大专、本科《应用写作》课程中,期末考试是非常重要的一环,通过考试可以检验学生的学习成果和实际应用能力。
一、选择题1.下列选项中,属于应用写作范畴的是()。
A.小说 B.诗歌 C.议论文 D.新闻报道答案:D2.下列文种中,属于上行文的是()。
A.公告 B.批复 C.意见 D.决定答案:B3.下列词语中,属于公文常用词汇的是()。
A.敬礼 B.致谢 C.兹将D.经查答案:C4.在应用写作中,下列选项中属于说明文的是()。
A.通知 B.请示 C.说明书 D.会议纪要答案:C5.下列选项中,不属于行政公文的是()。
A.命令 B.通告 C.公告 D.批复答案:A二、判断题1.应用文的主题需要明确,语言要简洁明了。
()答案:对2.在应用写作中,语言使用要得体,符合特定的场合和情境。
()答案:对3.在撰写合同的时候,不用考虑语言的规范性,只要把主要内容表达清楚即可。
()答案:错4.行政公文的格式是固定的,不能随意更改。
()答案:对5.在写求职信的时候,可以夸大其词,以引起招聘者的注意。
()答案:错三、简答题1.简述应用写作的基本要求。
答案:应用写作的基本要求包括主题明确、结构严谨、语言得体、表达准确、格式规范等。
其中,主题明确是应用写作的核心要求,结构严谨则能够让文章更有条理,语言得体则能够更好地传递信息,表达准确则是应用写作的基本要求,格式规范则能够让文章更加规范和专业。
2.简述通知和通告的区别。
答案:通知和通告都是行政公文中的文种,但是它们的使用范围和内容有所不同。
通知主要是告知有关单位或个人某件事情,其内容一般比较具体,适用于广泛的群体;而通告则是告知社会公众某件事情,其内容比较广泛,适用于比较大的范围。
3.简述合同的基本要素。
答案:合同的基本要素包括合同双方的身份和资质、合同标的、合同价格、合同履行期限和方式、违约责任等。
英语应用文考试题目及答案一、选择题(每题2分,共10分)1. Which of the following is the correct way to address a formal letter in English?A. Dear Mr. SmithB. Hello JohnC. Hi thereD. Hey buddy答案:A2. The phrase "I am writing to inform you..." is typically used in which type of letter?A. A complaint letterB. A resignation letterC. A cover letterD. A request letter答案:D3. In English, what is the polite way to ask for someone's attention to a matter?A. I demand your attention to this issue.B. Could you please look into this matter?C. You must resolve this problem immediately.D. I need you to fix this right now.答案:B4. Which of the following is not a suitable closing for a formal business email?A. Yours sincerelyB. Best regardsC. Kind regardsD. See you soon答案:D5. When writing an apology letter, which of the following is the most appropriate opening sentence?A. I am sorry for the inconvenience caused.B. I hope you are having a good day.C. I wanted to talk about our last meeting.D. I am writing to discuss the project.答案:A二、填空题(每题2分,共10分)6. In a business proposal, the section that outlines the benefits of your product or service is called the _______.答案:Executive Summary7. When writing a thank-you letter, it is important to express your _______ for the help or gift received.答案:gratitude8. The phrase "_______" is used to introduce the main purpose of the letter.答案:I am writing to...9. In English, the word "enclosed" is used when you are sending additional documents with your letter, such as "Please find _______ the required documents."答案:enclosed10. When ending a formal letter, it is customary to use a complimentary close followed by your name and title, for example, "Yours sincerely, _______."答案:[Your Name], [Your Title]三、简答题(每题5分,共20分)11. What are the three main parts of a business report?答案:The three main parts of a business report are the introduction, body, and conclusion.12. How can you make your resume stand out to potential employers?答案:To make your resume stand out, highlight your relevant skills, achievements, and experiences that match the job requirements. Use clear headings, bullet points, and a professional layout.13. What is the purpose of a cover letter when applying for a job?答案:The purpose of a cover letter is to introduce yourself, express your interest in the position, and provide additional information that supports your suitability for the job.14. How should you handle a situation where you need to writea letter of complaint?答案:When writing a letter of complaint, remain polite and professional. Clearly state the issue, explain how it has affected you, and provide specific details. Offer a solution and request a response or resolution.四、写作题(共60分)15. Write a formal business proposal to introduce a newproduct to a potential client. (30 points)答案:[Your response should include an introduction, adetailed description of the product, its benefits, and a call to action.]16. Compose a letter of resignation to your current employer, providing a month's notice. (30 points)答案:[Your response should include a formal salutation, a statement of your intention to resign, the reason for leaving, a brief expression of gratitude for the opportunity, and a professional closing.]。
安徽师范大学大学英语写作课期末考试试题一、1. Translation(20%)A. Translate the following Chinese into English (10%)1.开立信用证 [填空题] *_________________________________答案解析:to establish an L/C2. 催开信用证 [填空题] *_________________________________3.装运单据 [填空题] *_________________________________4.开证行 [填空题] *_________________________________5. 截止期 [填空题] *_________________________________B. Translate the following English into Chinese. (10%)1. port of loading [填空题] *_________________________________2. port of unloading [填空题] *_________________________________3. container vessels [填空题] *_________________________________4. Packing list [填空题] *_________________________________5. Commercial Invoice [填空题] *_________________________________二.Choose the proper word or phrase to fill the following sentences (10%)1.hearing from,2.establish business relationships,3.products,4.upon receipt,5.general idea about,6.display,mercial Counselor’s Office,8. enquiry,9. quote, 10. delivery1. We want to with your company. [填空题] *_________________________________2.To give you a our products, we enclose relevant catalogues. [填空题] *_________________________________3.We have your name and address from the of the Chinese embassy in Ghana. [填空题] * _________________________________4. We are looking forward to you soon. [填空题] *_________________________________5. Quotations and samples will be sent to you of your enquiries. [填空题] *_________________________________6. One may write an if he or she wants to buy goods from a seller. [填空题] *_________________________________7. It is our custom in the last three years to buy directly from Chinese suppliers. [填空题] *_________________________________8. Please your lowest price CIF Aqaba. [填空题] *_________________________________9. We should require within 4 weeks of placing an order. [填空题] *_________________________________10. We visited your stand at the Paris Trade Exhibition last month and we were very interested in your of ladies’ shoes. [填空题] *_________________________________三、Choose the best answer (20%)1. We _____ your terms satisfactory and now send you our order for 2 sets of Electric Motors.() [单选题] *A. find(正确答案)B. believeC. thinkD. trust2. We thank you for your letter of May 27 and the _____ illustrated catalogue.() [单选题] *A. sentB. enclosed(正确答案)C. givenD. presented3. This price is ____ of your 5% commission.() [单选题] *A. includesB. coveringC. inclusive(正确答案)D. including4. We will do our best to _____ shipment to meet your requirements in time.() [单选题] *A. complyB. makeC. expedite(正确答案)D. arrange5. We _____ you of our readiness to serve you in this end all future business.() [单选题] *A. ensureB. assure(正确答案)C. make sureD. see to6. It is only in view of our long friendly business relations that we ____ you this accommodation.() [单选题] *A. extend(正确答案)B. extantC. increaseD. promote7. Your L/C No.111 for £2000 issued by the Bank Ltd, Liverpool, has____.() [单选题] *A. be arrivingB. been arrivingC. arrived(正确答案)D. thanked8. Your full cooperation in this respect will be highly____.() [单选题] *A. appreciatingB. appreciated(正确答案)C. thankingD. thanked9. We acknowledged the receipt of your letter dated 26th September _____ connection ______ the above subject.() [单选题] *A. for, withB. for, toC. in, with(正确答案)D. in, to10. We regret ______ unable to agree to the buyer's request as stated in the L/C stipulations for insurance to be covered up to the inland city.() [单选题] *A. to beB. being(正确答案)C. to have beenD. been11. We are pleased to _____ you that 6000 dozen of shirts under Sales Confirmation No.C123, L/C No.5678 have gone off on S.S. "Dongfeng"() [单选题] *A. askB. inform(正确答案)C. speakD. talk12. ______ you accept our offer, please cable us for our confirmation.() [单选题] *A. UntilB. UnlessC. If(正确答案)D. As13. We thank you _____ for you cooperation.() [单选题] *A. in advance(正确答案)B. in beforehandC. in progressD. in proceed14. We desire to establish _____ beneficial business relations.() [单选题] *A. mutual(正确答案)B. mutuallyC. equalD. equally15. The term CFR should be followed by _____.() [单选题] *A. port of shipmentB. port of originC. port of loadingD. port of destination(正确答案)16.By joint efforts we can _____ both friendship and business.() [单选题] *A. increaseB. promote(正确答案)C. expandD. extend17. This offer is firm, subject to your immediate reply _____ should reach us not later than the end of this month.() [单选题] *A. itB. theyC. whatD. which(正确答案)18. ____ you like other items, kindly let us know and we shall be only too pleased to make you offers direct.() [单选题] *A. In case(正确答案)B. In the caseC. In this caseD. In that case19. Should your L/C____ us at the beginning of May , we shall be able to ship your order.() [单选题] *A. arriveB. reach(正确答案)C. comeD. get20. In reply, we have the pleasure of informing you that an L/C has been opened amounting ____$2,000.() [单选题] *A. atB. to(正确答案)C. upD. for四、Translate the following sentences into English (20%)1. The extra expenses arising from transshipment will be borne with us. [填空题] *_________________________________2、We are pleased to inform you that the goods under your Order No. 1134 has now been shipped and taken on board s. s. Eastwind which, we are informed, will be sailing tomorrow. [填空题] *_________________________________3、Please check and confirm the relevant shipping documents attached. [填空题] *_________________________________4、We may entertain your order if you allow us a 3% discount. [填空题] *_________________________________5、It s a pity that we are unable to make a further reduction. [填空题] *_________________________________五、Try to find the mistakes in the following sentences and correct them in the blankets. (10%)1.From the enclosed invoiced you see the price. ______2.We look forward to receive your news soon. ________3.It is impossible for us on extend L/C No.1. ______4.Please let us had your shipping advice without delay. ______5.The buyers want to catch the demand in the start of the season. ______6.We hope this are agreeable to you. ______7.We are in receive of your letter of July 1. ______8.Your fountain pens are not satisfied to us. ______9.We are regret that your woolen piece goods are not of good price. ______10.This has been confirm by the manufacturer. ______ [填空题] *空1答案:Invoices空2答案:to receiving空3答案:to extend空4答案:have空5答案:at the start of空6答案:this is空7答案:in receipt空8答案:satisfactory空9答案:regretting空10答案:confirmed六. Write a letter of complaint according to the notes given below(20%)收到8月12日发运的20箱汽车部件,但开箱后发现货物与同日开具的发票不符。
英语应用文试题及答案一、选择题(每题2分,共10分)1. 根据题目所给的英语应用文材料,下列哪项不是正确的写作目的?A. 传递信息B. 表达情感C. 推销产品D. 娱乐读者2. 在英语应用文中,以下哪个选项是正确的写作策略?A. 忽略读者的背景和需求B. 使用复杂难懂的词汇C. 保持内容的清晰和逻辑性D. 避免使用具体例子3. 英语应用文的写作过程中,以下哪个步骤是不必要的?A. 明确写作目的B. 收集相关信息C. 随意选择主题D. 组织和安排材料4. 在英语应用文中,以下哪种语言风格是不合适的?A. 正式B. 非正式C. 幽默D. 专业5. 英语应用文的结尾部分,以下哪个选项不是常见的写作方式?A. 总结全文B. 表达感谢C. 提出建议D. 引入新话题答案:1-5 D C C D D二、填空题(每空1分,共10分)根据题目所给的英语应用文材料,完成下列句子。
1. 英语应用文的写作应该以______为出发点。
2. 在写作过程中,作者需要考虑______的背景和需求。
3. 英语应用文的语言风格应该根据______和______来确定。
4. 英语应用文的结尾部分应该______,同时也可以______。
5. 英语应用文的写作过程中,作者应该避免使用______的语言。
答案:1. 读者2. 读者3. 写作目的,读者4. 总结全文,提出建议5. 过于复杂或专业三、简答题(每题5分,共10分)1. 请简述英语应用文写作的三个主要步骤。
答案:英语应用文写作的三个主要步骤包括:首先,明确写作目的和目标读者;其次,收集和组织相关的信息和材料;最后,根据写作目的和读者的需求,选择合适的语言风格和结构,完成写作。
2. 英语应用文写作中,为什么需要避免使用过于复杂或专业的语言?答案:在英语应用文写作中,需要避免使用过于复杂或专业的语言,因为这样的语言可能会使读者难以理解,从而影响信息的有效传递。
此外,过于复杂的语言也可能让读者感到疏远,不利于建立作者与读者之间的良好沟通。
大学英语应用写作期末考试试题(doc-9页)(完美版)《大学英语应用写作》期末试题第一套Part I Writing Basics (30%)Directions: There are 30 incomplete statements in this part. For each statement there are four choices marked a, b, c and d. Choose the best ONE to complete the statement. Then mark the corresponding letter on the Answer Sheet with a single line through the centre. (1x 30=30)1. While collecting raw materials before writing, we usually usetechniques of __________.1) brainstorming 2) freewriting 3) clustering 4) listinga. 1), 2) and 4)b. 1), 3) and 4)c. 2), 3) and 4)d. 1), 2), 3) and 4)2. __________ does not contain in the principles of “choice of words”.a. Exactnessb. Arbitrarinessc. Appropriatenessd. Conciseness3. According to the rules of capitalization, “__________”is correct.a. the Southern part of Pennsylvaniab. the fourth of Julyc. The Last of the Mohicansd. the war of Independence4. __________ is one rule of the usage of comma.a. Being used to separate itemsb. Being used in a direct speechc. Being used at the end of a sentenced. Being used to show feeling5. While making a good sentence, the principles do not contain __________.a. varietyb. coherencec. unityd. duality6. “__________” i s a compound sentence.a. Her mother would remind her.b. The rain fell for a week; therefore, every street in the city was flooded.c. Because the rain fell for a week, every street in the city was flooded.d. She wanted to make sure that her mother wasn’t watching.7. Which of the following sentences have a dangling modifier __________a. Saying is easy, but doing is difficult.b. After driving for more than 500 miles, John felt very tired.c. Without saying goodbye, the train took her away.d. All of them.8. __________ is the core sentence of a paragraph.a. Topic sentenceb. The first sentencec. Supporting sentenced. Concluding sentence9. Which one below is not the coordinate conjunction __________a. butb. soc. andd. so that10. In the sentence “After the plane took off, Jessica still stood there crying.”, what is the function of the underlined part __________a. It’s a prepositional phrase, functioning as an adverb.b. It’s not a phrase, but an adverbial clause.c. It’s not a phrase, but an ind ependent clause.d. It’s a prepositional phrase, functioning as the subject.11. In order to keep a paragraph coherent, we often use the organizational patterns: __________.1) time order 2) space order 3) order of importance4)order of generalitya. 1), 2), and 3)b. 1), 2), and 4)c. 2), 3), and 4)d. 1), 2), 3), and 4)12. Which one is not used as a transition word to give examples __________a. for instanceb. such asc. likewised. namely13. Which statement below is not true __________a. A thesis is an announcement of the topic.b. A thesis is a statement, not a phrase.c. A thesis is a judgment, not a fact.d. A thesis must be clear and precise.14. An introductory paragraph should arouse the reader’s interest and __________ the main idea of the essay.a. ignoreb. introducec. developd. emphasize15. What kind of writing method is used in the sentence “Fighting a teenager, like fighting a tide, is bound to fail.” __________a. Metaphorb. Definitionc. Similed. Explanation16. Which sentence below is used in a letter of congratulations __________a. I’m writing to say sorry that I can’t meet you at the airport on time.b. I can’t tell you how sorry I was to learn of your accident.c. All of us at the office send you our heartiest congratulations.d. Welcome to ABC Bank, the biggest commercial bank in this city.17. Which of the following sentences contains a dangling modifier__________a. To raise a good dog, patience is useful.b. Moving slowly, Bowie stalked the rabbits.c. After eating the catfood, Bowie belched.d. None of the above.18. Which choice can best describe this: “Although he had been an often decorated solider during World War II and had fought many battles for the losing cause of liberalism in Congress.” __________a. There is nothing wrong with the structure of this sentence.b. Run-on: put a comma after World War II.c. Run-on: put a semicolon after World War II.d. Fragment: put a comma after Congress and add a main clause.19. To catch the reader’s eyes, an introduction par agraph should __________.a. give detailed information as much as possible.b. start in an interesting way by offering some related informationbut not too much.c. avoid using anything difficult to understandd. always tell the reader a joke20. Which of the following would not be an effective technique to be usedin a concluding paragraph __________a. Calling on action.b. Predicting an outcome.c. Questioning different perspective.d. Offering a warning.21. When any non-human organ is transplanted into a person, the bodyimmediately recognizes it as __________.a. novelb. remotec. distantd. foreign22. Because of its intimacy, radio is usually more than just a medium;it is __________.a. firmb. companyc. corporationd. enterprise23. Greatly agitated, I rushed to the apartment and tried the door,__________ to find it locked.a. onlyb. justc. henced. thus24. Anyone with half an eye on the unemployment figures knew that theassertion about economic recovery __________ just around the corner was untrue.a. would beb. to bec. wasd. being25. These proposals sought to place greater restrictions on the use andcopying of digital information than __________ in traditional media.a. existsb. existingc. existd. to exist26. These causes produced the great change in the country that modernizedthe __________ of higher education from the mid-1860’s to the mid-1880’s.a. branchb. domainc. categoryd. scope27. The judge ruled that the evidence was inadmissible on the grounds thatit was __________ to the issue at hand.a. irrationalb. unreasonablec. invalidd. irrelevant28. As I’ll be away for at least a year, I’d appreciate __________ fromyou now and then telling me how everyone is getting along.a. hearingb. to hearc. to be hearingd. having heard29. __________ to some parts of South America is still difficult, becauseparts of the continent are still covered with thick forests.a. Orientationb. Accessc. Processiond. Voyage30. One difficulty in translation lies in obtaining a concept match.__________ this is meant that a concept in one language is lost or changed in meaning in translation.a. Inb. Forc. Byd. WithPart II Transitions (10%)Directions:Read the following passages and choose an appropriate transition word or phrase in the numbered blanks. Mark the corresponding letter on the Answer Sheet with a single line through the centre. (1 x10=10)Passage one:Thirty years ago, most teenagers had bicycles, but now they are comparatively rare, and even those boys and girls who have them do not use them as often. On the contrary, motor scooters are much more common.31 , this may seem a sign of progress but in fact the change is not necessarily for the better. It is easy to see why young people prefer scooters. At first, they are much faster and do not require much physical effort; 32 , you can take a passenger with you onthe pillion seat behind; above all, they give young people a feeling of independence,。
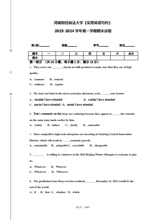
河南财经政法大学《实用英语写作》2023-2024学年第一学期期末试卷院(系)_______ 班级_______ 学号_______ 姓名_______1、They carry out ________ checks on milk products to make sure that they are of high quality.A.common B.naturalC.ordinary D.regular2、My sister met him in the street yesterday afternoon, so he ______ your lecture. A.shouldn’t have attended B.couldn’t have attendedC.mustn’t have attended D.needn’t have attended3、Tom’s comments on this i ssue are confusing because they appear to ______the remarks on the same issue made earlier by him.A.violate B.induce C.clarify D.contradict4、More competitive high-tech enterprises are investing in Nantong Central Innovation District, which will result in _____ economic growth.A.sustainable B.adaptable C.recyclable D.changeable5、________ is willing to volunteer in the 2022 Beijing Winter Olympics is welcome to join us.A.Whatever B.WhoeverC.Whenever D.Wherever6、The prediction from Maya worries residents _______ December 21, 2012 would be the end of the world.A.if B.that C.whether D.which7、—________! Somebody has left the lab door open.—Don’t look at me.A.Hi, there B.Dear meC.Thank goodness D.Come on8、To his delight, Tom quickly earned the trust of his boss and then of his colleagues.A.one B.onesC.that D.those9、At one time, she is fine, ________ at another, she is abnormal.A.and B.or C.but D.so10、Everyone had a form in his hand, but no one knew which office____.A.to send it to B.to sent it C.to be sent to D.to have it sent第二部分阅读理解(满分20分)阅读下列短文,从每题所给的A、B、C、D 四个选项中,选出最佳选项。
大学英语期末作文试题热点作文1. 1)现在很多年轻人每个月都把自己赚的钱花光,他们被称作“月光族”2)有人认为这是一种时尚的消费观念,但很多人反对这样消费3)我对此的看法是……【思路点拨】本题属于提纲式文字命题。
提纲第1点指出一种现象,提纲第2点针对该现象提出两种不同的观点,提纲第3点要求表明“我”的看法,由此可判断本文应为对比选择型作文。
根据所给提纲,本文应包含以下内容:描述“月光族”现象,引出对这一现象的不同看法;对比阐述两种看法各自的理由;表明“我”对“月光族”的看法并说明理由。
【参考范文】The Moonlight ClanNowadays, more and more people, especially the young are joining in the army of “the moonlight clan”. These people exhaust their earnings every month without any savings. Many people think this is a fashionable life style, while other people object to this kind of consumption style.Those who support “the moonlight clan” think that “the moonlight clan” knows how to enjoy life and have a higher life quality. However, other people criticize “the moonlight clan”. They say that the consumption habit of “the moonlight clan” is unhealthy and sometimes wasteful. In addition, no savings will place “the moonlight clan” in a difficult position in case of unexpected expenses.Weighing these two arguments, I prefer the latter one. In my eyes, though “the moonlight clan” may acquire temporary satisfaction from their consumption, in the long term, it is unfavorable to their family and career. Just as a proverb says, one should always prepare for a rainy day..热点作文2. 1)近来,许多经典名著被改写成各种版本以供大众娱乐2)这种现象产生的原因3)改写经典名著可能产生的问题【思路点拨】本题属于提纲式文字命题。
成人大专、本科《应用写作》期末考试真题试卷在应用写作中,通常使用哪种类型的语言?()下列哪个选项不属于应用写作的常见文体?()C.报告文学D.经济活动分析报告E.社会调查报告F.新闻报导G.评论H.建议书I.请示J.通知K.公函L.合同M.声明N.条例O.章程P.规定Q.办法R.会议记录S.简报T.电报U.来往信函V.开幕词W.欢迎词X.主持词Y.闭幕词Z.演讲稿abnormal等。
正确答案是:ABCD。
单片机中的程序一般存储在以下哪种类型的存储器中?单片机是一种集成______、______、______和______的微型计算机。
单片机的程序存储器主要用于存储______和______。
单片机的数据存储器分为______和______两类。
其中,______用于存储运行时变化的数据,而______用于存储固定不变的数据。
单片机的基本工作条件包括______、______和______。
在单片机中,常见的三种编程语言是______、______和______。
单片机可以用于实现数字信号的输入和输出。
()单片机的程序存储器只能用于存储程序代码。
()单片机的数据存储器可以用于存储运行时变化的数据。
()简述单片机的主要特点和用途。
在计算机系统中,操作系统扮演着什么样的角色?B.任务完成后,系统将自动切换到下一个任务C.任务完成后,用户需要手动切换到下一个任务答案:B.任务完成后,系统将自动切换到下一个任务操作系统是计算机系统的(),负责管理和控制计算机的硬件和软件资源。
答案:操作系统是计算机系统的(核心系统软件),负责管理和控制计算机的硬件和软件资源。
()是操作系统中最基本的概念之一,它表示在计算机系统中可以被调用的最小单位。
答案:(进程)是操作系统中最基本的概念之一,它表示在计算机系统中可以被调用的最小单位。
()是一种特殊的文件,用于存储程序和程序所使用的数据。
答案:(程序)是一种特殊的文件,用于存储程序和程序所使用的数据。
2020-2021《英语写作》2期末课程考试试卷A适用专业: 考试时间:考试时间:120分钟 闭卷 试卷总分:100分(答案请写在答题纸上)Part I. Summary Writing (20 %):Directions: Read the following passage. Write a summary of about 80 words.The first thing that strikes the critical minority as it looks at the whole cultural picture, is that ours is a nation of new-rich people, well washed, well dressed up rather pathetically unsure just what it is dressed up and washed for; a nation convinced that a multitude of material goods, standardized, furiously and expensively advertised by appeals to greed and vanityWill in themselves make life worth the living. Because we are new- rich, we over value possessions. Almost any individual who makes a great deal of money very rapidly supposes that mere possession of wealth is evidence of worth. He also is apt to imagine that with his means he can buy happiness. These mistakes usually seem folly to the old- rich, to one who was born to poverty, whose father and mother were bred with it. Such a one knows that merely because he or his friends have it, it is no sign that they are worth it, but quite commonly the contrary. He has learned through experience that money is not in itself very valuable stuff. Happiness, which is what all men desire, can not be purchased; it is an illusive something not for sale. The old- rich know these things well enough, but the new-rich rarely discover them until they have grown accustomed to possessions. So itseems to be with our society.Part II. Essay Appreciation (35%)Directions: Read the following essay and answer the questions. Everyday CrueltyLast week, I found myself worrying less about problems of world politics and national crime and more about smaller evils. I came home one day with a bad taste in my mouth, the kind I get whenever I witness the little cruelties that people inflict on each other. On this particular day, I had seen too much of the cruelty of the world.Every day I walk from the bus stop to the office where I work. This walk is my first step away from the comforts of home and into the tensions of the city. For me, a landmark on the route is a tiny patch of ground that was once strewn with rubbish and broken glass. The city is trying to make a "pocket park" out of it by planting trees and flowers. Every day this spring, I watched the skinny saplings put out tiny leaves. When I walked past, I always noted how big the tulips were getting and made bets with myself on when they would bloom. To pass time as I walk, I oftenmake silly little bets with myself, such as predicting that the next man I see will be wearing a blue tie. But last Wednesday, as I reached the park, I felt sick. Someone had knocked the trees to the ground and trampled the budding tulips into the dirt. Someone had destroyed a bit of beauty for no reason.At lunchtime on Wednesday, I witnessed more meanness. Along with dozens of other hungry, hurried people, I was waiting in line at McDonald's. Also in line was a young mother with two tired, impatient children clinging to her legs. The mother was trying to calm the children, but it was obvious that their whining was about to give way to full-fledged tantrums. The lines barely moved, and the lunchtime tension was building. Then, one of the专业班级 姓名 学号装 订children began to cry and scream. As people stared angrily at the helpless mother, the little boy's bloodcurdling yellsresounded through the restaurant. Finally, one man turned to her and said, "Lady, you shouldn't bring your kids to a public place if you can't control them." A young woman chimed in with another piece of cruel criticism. The mother was exhausted and hungry. Someone in line could have helped her by kneeling down to interact on eye level with one of the kids. Instead, even though many of the customers in the restaurant were parents themselves, they treated her like a criminal.The worst incident of mean-spiritedness that I saw that day happened after I left work. As I walked to the bus stop, I approached an old woman huddled in a doorway. She was wrapped in a dirty blanket and clutched a cheap vinyl bag packed with her belongings. She was one of the "street people" our society leaves to fend for themselves. Approaching the woman from the opposite direction were three teenagers who were laughing and talking in loud voices. When they saw the old woman, they began to shout crude remarks at her. Then, they did even more cruel things to torment her. The woman stared helplessly at them, like a wounded animal surrounded by hunters. Then, having had their fun, the teenagers went on their way.I had seen enough of the world's coldness that day and wanted to leave it all behind. At home, I huddled in the warmth of my family. I wondered why we all contribute to the supply of petty cruelty. There's enough of it already.1.Which sentence in paragraph 2 should be omitted in the interest of paragraph unity?(Write the opening words)(5')2.Which sentence in paragraph 4 needs to be followed by more supporting details?(Write the opening words)(5')3.In paragraph 3, which four time signals does the author begin sentences with? (Write the four signals here)(5')4.Which sentence is the thesis?(Write the opening words)(5')5.Which method of organization does the writer use in this essay?(5')A.TimeB.Emphatic6.The ____ supporting paragraph of this essay lacks a top sentence. Write the topic sentence in your own words.(10')Part III. Writing (45%)Directions: Write an example essay of about 250 words on the following topic.Better Education for Higher Salary?You are to write in three parts.In the first part, state specifically what your thesis is.In the second part, support your thesis with three points.In the last part, bring what you have written to a natural conclusion or a summary.Marks will be awarded for content, organization, grammar and appropriateness. Failure to follow the instructions may result in a loss of marks.2020-2021《英语写作》2期末课程考试试卷A答案Part IOurs is a nation of new-rich people. The peoplethink that a lot of material goods will make thelife worth living. Only the new-rich peoplebelieve that riches can buy happiness. The old-rich by their experience know better. Born inriches they do not believe that riches make themworthy. So the new-rich make the mistake ofbelieving possessions make the worth of theowner and they rarely discover them until theyhave grown accustomed to possessions.Part II1.To pass time2.Then they did even3.At lunchtime then as finally4.On this particular day5.A6.First ,The first small cruelty I saw occurred on my way to work.”Part III(略)英文写作成绩的判定主要从以下三个方面:内容(Content);(focus on ideas)语言(Language);(focus on verb tenses, diction, spelling)写作技巧(Skills);(Writing skills)1.扣分显示也主要表现在以下四个方面:语言(L):35%写作技巧(S):40%内容(C):25 %2.批阅统一标识:错误一律用线标出,较严重的语言错误用波浪线标出,每条波浪线表示扣1分;一般性的语言错误用直线标出,每条直线表示扣0.5分。
大学英语写作期末考试试题### 大学英语写作期末考试试题#### 一、写作基础(共40分)##### 1. 词汇运用(共10分)根据所给的词汇,完成下列句子。
请确保使用恰当的词汇形式。
- The innovation of the new technology has revolutionized the industry.- Despite the economic downturn, the company managed to sustain its growth.- The archaeological findings have provided valuable insights into ancient civilizations.##### 2. 语法结构(共10分)请改写下列句子,使其更加正式和准确。
- 原句:We should do something to help the poor.改写:It is imperative that we take measures to assist individuals in poverty.- 原句:I think the movie was good.改写:In my opinion, the film was of high quality.- 原句:She is very beautiful.改写:She possesses exceptional beauty.##### 3. 句型转换(共10分)将下列简单句转换为复合句。
- 简单句:The weather was terrible. We decided to stay at home.复合句:Despite the terrible weather, we decided to stay at home.- 简单句:He is a doctor. He is also a researcher.复合句:Not only is he a doctor, but he is also a researcher.- 简单句:She finished her homework. Then she went to the library.复合句:Having finished her homework, she proceeded to the library.#### 4. 段落写作(共10分)请根据以下提示,写一个段落,描述你对未来科技的看法。
大学英语写作试题及答案一、写作题目请根据以下题目要求,写一篇不少于150词的英语短文。
1. 描述你最近参加的一次社交活动,并分享你的感受。
2. 阐述你认为社交媒体对人际关系的影响。
3. 讨论你对未来教育的看法。
二、写作要求- 请确保你的文章结构清晰,观点明确。
- 使用恰当的词汇和语法结构。
- 避免使用非正式或口语化的表达。
- 请在答题纸上清楚地书写或打印你的文章。
三、范文及答案Recently, I attended a charity event organized by my university, which was a memorable experience. The event aimed to raise funds for children in need, and it was heartwarming to see so many people coming together for a good cause. I volunteered at the registration desk, where I had the opportunity to interact with a diverse group of attendees, including students, faculty members, and local community members. The atmosphere was lively and positive, with everyone eager to contribute in their own way. This experience reinforced my belief in the power of community andthe importance of giving back.Social media has undeniably transformed the way we communicate and maintain relationships. On one hand, it has made it easier to stay connected with friends and family, regardless of geographical distance. We can share updates, photos, and thoughts instantly, keeping each other informed about our lives. However, on the other hand, the constant stream of information can sometimes lead to superficial interactions and a lack of genuine connection. It is crucial to strike a balance between online and offline interactions to foster meaningful relationships.As for the future of education, I envision a system that leverages technology to provide personalized learning experiences. With the help of artificial intelligence and data analytics, educators can tailor their teaching methods to meet the individual needs of each student. This approach would not only enhance learning outcomes but also encourage students to take ownership of their education. Additionally, I believe that fostering a global perspective and promoting cultural understanding should be integral parts of the curriculum, preparing students to thrive in an increasingly interconnected world.四、评分标准- 内容完整性:文章是否覆盖了所有题目要求的要点。
一I have finished my homework on time, mom. A.Excuse me. B.Surely. C.Why not? D.How could I?-________,but your room price doesn't cover it.A.No hurry B.No wonder C.No offence D.No problem8、---Can you help me with my English homework? You're a genius.---__________, but I'll try to help you. What's your problem?A.Far from it B.Sounds goodC.By all means D.It's out of question9、We were scared to death when the fire______. Fortunately, it was put out before it caused much damage.A.broke out B.came outC.gave out D.turned out10、The Chinese people are hopeful for ________ 2019 will bring for their families and the country.A.how B.whichC.what D.that第二部分阅读理解(满分20分)阅读下列短文,从每题所给的A、B、C、D四个选项中,选出最佳选项。
AC.Three. D.Four.BArtificial Intelligence (AI) is making it possible for companies to monitor wo rkers’ behavior ingreat detail and in real time. Start to slack off (懈怠), and AI could talk to your boss. Array One company offering such services is London-based start-up Status Today. Its AI platform relies on a regular supply of employee data, including everything from the files you access to when you use a key card. From this, it builds a picture of how employees normally function and signals any unusual performance. The idea is to spot when someone might become a security risk by doing something different f rom their usual behavioral patterns. “All of this gives us fingerprint of a user, so if we think the fingerprint doesn’t match, we raise a warning”, says Mircea Dumitrescu, the company’s chief technology officer.The system also aims to catch employee actions that could accidentally cause a security breach (漏洞), like opening malware (恶意软件).“We’re not monitoring if your computer has a virus.” says Dumitrescu. “We’re monitoring human behaviors.”But catching the security breach means monitoring everyone, and the AI can also be used to track employee productivity. “It seems like they are just using the reputation of AI to give an air of lawfulness to old-fashioned workplace surveillance (监视),” says Javier Ruiz Diaz of digital campaigning organization the Open R ights Group. “You have a right to privacy and you shouldn’t be expected to give that up at work.”Exactly how companies use the system will be up to them, but it’s hard to shake the picture of an AI constantly looking over employees’ shoulders. “It will bo ther people, and that could be counterproductive if it affects their behavior,” says Paul Bemal at the University of East Anglia.Phil Legg at the University of the West of England says it will never catch every security risk. “If people know they’re being monitored, they can change their behavior,” he says.1、According to the text, AI monitors employees by ________.A.taking pictures of them B.getting access to their dataC.signaling their usual performance D.catching their actions2、What’s Javier Ruiz Diaz’s attitude towards the system?A.Doubtful. B.Supportive.C.Uncaring. D.Negative.3、What does the underlined word “that” in paragraph 4 refer to?A.Security breach. B.Employees’ productivity.C.The right to privacy. D.Workplace surveillance.4、Phil Legg’s concern about the system suggests th at ________. Array A.it is too risky to be used at workB.it will affect employees’ emotionsC.it may not be so effective as expectedD.it will encourage employee, productivity第三部分语言知识运用(共两节)第一节(每小题1分,满分20分)阅读下面短文,从短文后各题所给的A、B、C和D四个选项中,选出可以填入空白处的最佳选项.My husband kissed me goodbye, stroke (轻抚) the baby’s cheek and then rushed out of the door, into his busy day. With the cold of the morning fading, I fed my baby and it fell fast asleep. Usually I would place it in bed and quickly have the house somewhat in 1 .However, this morning, I stayed seated, just 2 , with the baby in my arms. The thoughts ran into 3 of the mornings with my husband, a father rushing out of the door to meet the obligations of life. It was only a small jump to thoughts of my own 4 .My mother passed away when I was ten, and as I looked 5 , I could see how much of a family man my dad was. He went to work every morning and 6 to his family every evening. He 7 food, clothing, warmth, and protection. He was a faithful father.Setting the baby down, I dialed the 8 number. I had just realized the 9 of the ordinary -the daily life going on around us that we often took for granted, and that it needed to be 10 .“Hi, Dad.” I said, 11 back tears.“Hey, Bud. How are you?” 12 was in his voice.“Fine, I’m just calling to say…thank you.” I got it out before my throat 13 too much for me to speak.“What for?”“For getting up and going to work every morning of my life. Now that I have m y own 14 and I see my husband doing the same, I just wanted to thank you for being 15 .”There was 16 for a moment as my dad composed himself, and with a small 17 in his voice he said, “You’re welcome, Bud.”I don’t remember much of the rest of the call, 18 that moment of revelation (显露)about my father, I will never forget. There are those who are known for their heroic 19 , Array and also those who are known for their fortunes and fame, but it is the 20 everyday fathers w ho are the true heroes. I’m thankful that my father was one of them.1、A.use B.line C.order D.fashion2、A.thinking B.dreaming C.imagining D.praying3、A.conversations B.struggles C.incidents D.memories4、A.baby B.husband C.mother D.father5、A.out B.away C.back D.around6、A.moved B.returned C.escaped D.walked7、A.provided B.collected C.sought D.bought8、A.popular B.relative C.regular D.familiar9、A.difference B.significance C.balance D.absence10、A.recognized B.arranged C.reduced D.achieved11、A.sending B.pushing C.holding D.putting12、A.Sympathy B.Stress C.Doubt D.Concern13、A.cleared B.hurt C.ached D.tightened14、A.child B.duty C.life D.career15、A.inspiring B.faithful C.considerate D.admirable16、A.peace B.calm C.silence D.rest17、A.tremble B.hesitation C.passion D.sigh18、A.and B.but C.or D.nor19、A.ideas B.deeds C.remarks D.words20、A.outstanding B.patient C.ordinary D.honest第二节(每小题1.5分,满分15分)阅读下面材料,在空白处填入1个适当的单词或括号内单词的正确形式。
2020-2021《英语写作》2期末课程考试试卷B适用专业: 考试时间:考试时间:120分钟 闭卷 试卷总分:100分(答案请写在答题纸上)Part I. Summary Writing (20 %):Directions: Read the following passage. Write a summary of about 80 words.The “Hawthorne Effect ”, one of the best-known experiments in sociology was conducted before World War II at the Hawthorne plant of Western Electric. The management was eager to improve productivity and wanted to know what kind of incentives would encourage the workers to increase output. The researcher who investigated the problem, Elton Mayo, separated a group of women from the other workers and systematically varied lighting, coffee breaks, lunch hours, methods of payment, and so on. At first, Mayo and his associates were delighted: each new change increased levels of productivity. But when the researchers found that productivity rose no matter which variables were involved, they became suspicious. When the workers were finally returned to their original conditions, their productivity rose yet again! Something was seriously wrong with the researchers ’ theoretical assumptions. Whatever had caused the changes in the dependent variable —productivity —it was not the independent variables the experimenters had introduced, and from this point of view the experiment was a failure. But the reasons for the experiment ’s failure have taught sociologists a great deal. Production rose, it seems, because the women enjoyed all the attention they were getting: they became a tight-knit, cooperative group, they knew what effects the sociologists were trying to produce, and they did their best to please. This phenomenon —the contamination of the experiment by the subjects ’ assumptions about what the sociologist is trying to prove —is still known as the Hawthorne effect. (239 words)Part II. Essay Appreciation (35%)Directions: Read the following essay and answer the questions.The Hazards of MoviegoingI am a movie fanatic. My friends count on me to know movie trivia (who was the pigtailed little girl in E.T.: The Extra-Terrestrial? Drew Barrymore) and to remember every big Oscar awarded since I was in grade school (best picture 1994? Forrest Gump). My friends, though, have stopped asking me if I want to go out to the movies. While I love movies as much as ever, the inconvenience of going out, the temptations of the theatre, and the behavior of some patrons are reasons for me to wait and rent the video.To begin with, I just don ’t enjoy the general hassle of the evening. Since small local movie theaters are a thing of the past, I have to drive for fifteen minutes to get to the nearest multiplex.The parking lot is shared with several restaurants and a supermarket, so it ’s always jammed. I have to drive around at a snail ’s pace until I spot another driver backing out. Then it ’s time to stand in an endless line, with the constant threat that tickets for the show I want will sell out. If we do get tickets, the theater will be so crowded that I won ’t be able to sit with my friends, or we ’ll have to sit in a front row gaping up at a giant screen, I have to shell out a ridiculous amount of money —up to $8—for a ticket. That entitles me to sit while my shoes seal themselves to a sticky floor coated with spilled soda, bubble gum, and crushed Raisinets.Second, . Like most of us, I have to battle an expanding waistline. At home I do pretty well by simply not buying stuff that is bad for me. I can make do with snacks like celery and carrot sticks because there is no ice cream in the freezer. Going to the theater, however, is like spending my evening in a Seven-Eleven that ’s been equipped with a movie screen and comfortable seats. As I try to persuade myself to just have a diet Coke, the smell of fresh popcorn dripping with butter soon overcomes me. Chocolate bars the size of small automobiles seem to jump into my hands. I risk pulling out my fillings as I chew enormous mouthfuls of Milk Duds. By the time I leave the theater, I feel disgusted with myself.Many of the other patrons are even more of a problem than the concession stand. Little kids race up and down the aisles, usually in giggling packs. Teenagers try to impress their friends by talking back to the screen, whistling, and making what they consider to be hilarious noises. Adults act as if they were at home in their own living room. They comment loudly on the ages of the stars and reveal plot twists that are supposed to be a secret until the film ’s end. And people of all ages create distractions. They crinkle candy wrappers, stick gum on their seats, and drop popcorn tubs or cups of crushed ice and soda on the floor. They also cough and burp, squirm endlessly in their seats, file out for repeated trips to the rest rooms or concession stands, and elbow me out of the armrest on either side of my seat.After arriving home from the movies one night, I decided that I was not going to be amoviegoer anymore. Questions:1. What pattern of development does this essay belong to? (2’)A. DescriptionB. ExampleC. ProcessD. Cause and effect 2. In which sentence is the thesis of the essay presented? (2’)A. Second sentenceB. Third sentenceC. Fourth sentence 3. Which statement best describes the introduction of the essay? (2’)A. It starts with an idea that is the opposite of the one then developed.B. It explains the importance of the topic to its readers.C. It begins with a general statement of the topic and narrows it down to a thesis statement.D. It begins with an anecdote.4. Which method of organization does the essay “The Hazards of Moviegoing ” use? (2’)A. Time orderB. Emphatic order院系: 专业班级: 姓名: 学号:装 订 线5.Write the words in the thesis that announce the three major supporting points in the essay:the instructions may result in a loss of marks.(3’)a. b. c.6.The topic sentence for the first supporting paragraph is supported by the following details(filling the missing details): (4’)a.Have to drive fifteen minutesb.c. d.e. f. Sticky floor7.What is the topic sentence for the second supporting paragraph (filling the missing sentence)?(3’)8.The second topic sentence is supported by the following details: (3’)a.At home, only snacks are celery and carrot sticks.b.(1)fresh popcorn(2)(3)9.The third topic sentence is supported by the following details: (6’)a.b.c. Adults talk loudly and reveal plot twists.d.10. The ending paragraph of the essay has been eliminated except one sentence. Try to finish itwith about 60 words. (8’)Part III. Writing (45%)Directions: Write an example essay of about 250 words on the following topic.As a sophomore, you are asked to write an essay to the new students in which you make thepoint that college is more demanding than high school. Make vividly clear—for example, usingseveral hypothetical students as examples—just what the consequences of being unprepared forthose demands can be. Focus on three areas of college and the demands of each. Each of theareas you choose should be developed in a separate paragraph. Each paragraph should have itsown detailed examples.You are to write in five parts.In the first part, state specifically what your thesis is.In the second three parts, support your thesis with three points.In the last part, bring what you have written to a natural conclusion or a summary.Marks will be awarded for content, organization, grammar and appropriateness. Failure to follow2020-2021《英语写作》2期末课程考试试卷B答案Part I. Summary Writing (20 %):Main points1.The Hawthorne Effect phenomenon was first noted in an experiment conducted before World War II at the Hawthorne plant of Western Electric.2.Productivity increased significantly not because incentives were added but because attention was given to workers.3.The Hawthorne Effect is the contamination of the experiment because the subjects try to achieve whatever result the experimenters desire.Part II. Essay Appreciation (35%)1—4 d c a b5 a. the inconvenience of going out,b. the temptations of the theatre,c. the behavior of some patrons6. the jammed parking lotendless ticket linecrowded theatersticky floor7. the theater offers tempting snacks that I really don’t need8. theater is like a Seven-Eleven with seatsChocolate barsMilk Duds9. Little kids race up and down the aisles;Teenagers try to impress their friends by talking back to the screen, whistling, and making what they consider to be hilarious noises;People of all ages create distractions.10. I was tired of the problems involved in getting to the theater, resisting unhealthy snacks, and dealing with the patrons. The next day, I arranged to have premium movie channels installed as part of my cable TV service, and I also got a membership at my local video store. I may now see movies a bit later than other people, but I’ll be more relaxed watching box office hits in the comfort of my own living room.Part III. Writing (45%)英文写作成绩的判定主要从以下三个方面:内容(Content);(focus on ideas)语言(Language);(focus on verb tenses, diction, spelling)写作技巧(Skills);(Writing skills)1.扣分显示也主要表现在以下四个方面:语言(L):35%写作技巧(S):40%内容(C):25 %2.批阅统一标识:错误一律用线标出,较严重的语言错误用波浪线标出,每条波浪线表示扣1分;一般性的语言错误用直线标出,每条直线表示扣0.5分。
《大学英语应用写作》期末试卷答案第一套题客观题部分Part I-III1–5 ABACD6–10 BDCBB11–15 BCDCC16-20 ABCAD21-25 BACAC26-30 BDDAD31-35 AACCB36-40 CBAAC41-45 BADBC46-50 BDACC客观题部分Part IV:(1 x 10 =10)51. A further investigation assured us if his innocence.52. Animals can adapt themselves to changes in situation.53. The window pane was cracked.54. He put forward his principal view points at the monthly meeting.55. He inherited all the money, and the house as well/too.56. The monther looked lovingly at her sleeping child.57. Solving the problem by Wednesday is impossible.58. Watching movies at home is cheap and economical.59. Looking from the top of the building, we can see the beautiful campus.60. Amy is too excited to say a word./Amy is so excited that she can’t say a word.主观题部分Part V: (30%)Section A: (10%)June 23, 2010Dear David,I’m very glad to learn that you’re going to visit me during the week-long holiday. My parents will also be happy to see you again. I am sure you will enjoy every minute here.I have arranged our schedule for the holiday as follows. On the first day you arrive, I’ll show you around our campus. On the second day, we’ll visit the art gallery and the music hall. Next day, we’ll climb a hill in the northeastern part of the city. On the top of the hill, we can have a wonderful bird’s eye view of the city. During thenext three days, we’ll make some short trips to some places of interest nearby, such as the Swan Cave, the Golden Lake, etc. On the last day, I’ll see you off at the railway station.Please remember to call and tell me your train number and time of arrival so that I can meet you at the railway station. By the way, it’s very hot here and we have a lot of sunshine, so don’t forget to wear you sunglasses.I’m looking forward to seeing you soon.Yours,Ling Ming Section B: (20%)Social Practice in EducationIt is a common weak point among today’s college students that the majority of them have little knowledge of social reality. Social practice is a bridge between their theory and reality. Timely participation in social practice will benfit them all through their life.Social practice must become an organic component of the nation’s higher education. Students must learn more than their textbooks teach. Their participation in social practice and knowledge of society and national conditions might strength their sense if responsibility; their close contact with the working people might help them to apply their knowledge to the solution of the practical problems.In recent years, may college students have been sent to the grass-roots unit to keep in touch with workers and farmers. The process has proved effective in enriching their knowledge of reality.。
《大学英语应用写作》期末试题第一套Part I Writing Basics (30%)Directions:There are 30 incomplete statements in this part. For each statement there are four choices marked a, b, c and d. Choose the best ONE to complete the statement. Then mark the corresponding letter on the Answer Sheet with a single line through the centre. (1x 30=30)1. While collecting raw materials before writing, we usually use techniques of__________.1) brainstorming 2) freewriting 3) clustering 4) listinga. 1), 2) and 4)b. 1), 3) and 4)c. 2), 3) and 4)d. 1), 2), 3) and 4)2. __________ does not contain in the principles of “choice of words”.a. Exactnessb. Arbitrarinessc. Appropriatenessd. Conciseness3. According to the rules of capitalization, “__________” is correct.a. the Southern part of Pennsylvaniab. the fourth of Julyc. The Last of the Mohicansd. the war of Independence4. __________ is one rule of the usage of comma.a. Being used to separate itemsb. Being used in a direct speechc. Being used at the end of a sentenced. Being used to show feeling5. While making a good sentence, the principles do not contain __________.a. varietyb. coherencec. unityd. duality6. “__________” is a compound sentence.a. Her mother would remind her.b. The rain fell for a week; therefore, every street in the city was flooded.c. Because the rain fell for a week, every street in the city was flooded.d. She wanted to make sure that her mother wasn’t watching.7. Which of the following sentences have a dangling modifier? __________a. Saying is easy, but doing is difficult.b. After driving for more than 500 miles, John felt very tired.c. Without saying goodbye, the train took her away.d. All of them.8. __________ is the core sentence of a paragraph.a. Topic sentenceb. The first sentencec. Supporting sentenced. Concluding sentence9. Which one below is not the coordinate conjunction? __________a. butb. soc. andd. so that10. In the sentence “After the plane took off, Jessica still stood there crying.”, what is----------专业最好文档,专业为你服务,急你所急,供你所需-------------the function of the underlined part? __________a. It’s a prepositional phrase, functioning as an adverb.b. It’s not a phrase, but an adverbial clause.c. It’s not a phrase, but an independent clause.d. It’s a prepositional phrase, functioning as the subject.11. In order to keep a paragraph coherent, we often use the organizational patterns: __________.1) time order 2) space order 3) order of importance 4)order of generalitya. 1), 2), and 3)b. 1), 2), and 4)c. 2), 3), and 4)d. 1), 2), 3), and 4)12. Which one is not used as a transition word to give examples? __________a. for instanceb. such asc. likewised. namely13. Which statement below is not true? __________a. A thesis is an announcement of the topic.b. A thesis is a statement, not a phrase.c. A thesis is a judgment, not a fact.d. A thesis must be clear and precise.14. An introductory paragraph should arouse the reader’s interest and __________ the main idea of the essay.a. ignoreb. introducec. developd. emphasize15. What kind of writing method is used in the sentence “Fighting a teenager, like fighting a tide, is bound to fail.”? __________a. Metaphorb. Definitionc. Similed. Explanation16. Which sentence below is used in a letter of congratulations? __________a. I’m writing to say sorry that I can’t meet you at the airport on time.b. I can’t tell you how sorry I was to learn of your accident.c. All of us at the office send you our heartiest congratulations.d. Welcome to ABC Bank, the biggest commercial bank in this city.17. Which of the following sentences contains a dangling modifier? __________a. To raise a good dog, patience is useful.b. Moving slowly, Bowie stalked the rabbits.c. After eating the catfood, Bowie belched.d. None of the above.18. Which choice can best describe this: “Although he had been an often decorated solider during World War II and had fought many battles for the losing cause of liberalism in Congress.”? __________a. There is nothing wrong with the structure of this sentence.b. Run-on: put a comma after World War II.c. Run-on: put a semicolon after World War II.d. Fragment: put a comma after Congress and add a main clause.----------专业最好文档,专业为你服务,急你所急,供你所需-------------19. To catch the reader’s eyes, an introduction paragraph should __________.a. give detailed information as much as possible.b. start in an interesting way by offering some related information but not toomuch.c. avoid using anything difficult to understandd. always tell the reader a joke20. Which of the following would not be an effective technique to be used in aconcluding paragraph? __________a. Calling on action.b. Predicting an outcome.c. Questioning different perspective.d. Offering a warning.21. When any non-human organ is transplanted into a person, the body immediatelyrecognizes it as __________.a. novelb. remotec. distantd. foreign22. Because of its intimacy, radio is usually more than just a medium; it is__________.a. firmb. companyc. corporationd. enterprise23. Greatly agitated, I rushed to the apartment and tried the door, __________ to findit locked.a. onlyb. justc. henced. thus24. Anyone with half an eye on the unemployment figures knew that the assertionabout economic recovery __________ just around the corner was untrue.a. would beb. to bec. wasd. being25. These proposals sought to place greater restrictions on the use and copying ofdigital information than __________ in traditional media.a. existsb. existingc. existd. to exist26. These causes produced the great change in the country that modernized the__________ of higher education from the mid-1860’s to the mid-1880’s.a. branchb. domainc. categoryd. scope27. The judge ruled that the evidence was inadmissible on the grounds that it was__________ to the issue at hand.a. irrationalb. unreasonablec. invalidd. irrelevant28. As I’ll be away for at least a year, I’d appreciate __________ from you now andthen telling me how everyone is getting along.a. hearingb. to hearc. to be hearingd. having heard29. __________ to some parts of South America is still difficult, because parts of the----------专业最好文档,专业为你服务,急你所急,供你所需-------------continent are still covered with thick forests.a. Orientationb. Accessc. Processiond. V oyage30. One difficulty in translation lies in obtaining a concept match. __________ this ismeant that a concept in one language is lost or changed in meaning in translation.a. Inb. Forc. Byd. WithPart II Transitions (10%)Directions: Read the following passages and choose an appropriate transition word or phrase in the numbered blanks. Mark the corresponding letter on the Answer Sheet with a single line through the centre. (1 x 10=10)Passage one:Thirty years ago, most teenagers had bicycles, but now they are comparatively rare, and even those boys and girls who have them do not use them as often. On the contrary, motor scooters are much more common. 31 , this may seem a sign of progress but in fact the change is not necessarily for the better. It is easy to see why young people prefer scooters. At first, they are much faster and do not require much physical effort; 32 , you can take a passenger with you on the pillion seat behind; above all, they give young people a feeling of independence, because they can travel further and impress their friends. 33 , the disadvantages are equally obvious. To begin with, scooters are more expensive to buy and to maintain, and meanwhile those under 16 are not allowed to have them. 34 , greater freedom brings danger because speed encourages young people to take risks and as a result scooters are involved in more accidents, and the accidents are 35 more serious.31. a. At first sight b. In the beginning c. In the first place32. a. also b. as well c. secondly33. a. Although b. However c. In spite34. a. Apart from that b. As a result c. On the other hand35. a. as well b. generally c. howeverPassage two:A Robot is a mechanical device, so it can perform boring, dangerous, and difficult tasks. First of all, robots can perform repetitive tasks without becoming tired or bored;36 , they are used in automobile factories to weld and paint. Second, robots can also function in hostile environments; 37 , they are useful for exploring and the ocean bottom as well as deep outer space. Finally, robots can perform tasks requiring pinpoint accuracy. In the operating room, robotic equipment can assist the surgeon. For instance, a robot can kill a brain tumor; 38 , it can operate on a fetus with great precision.----------专业最好文档,专业为你服务,急你所急,供你所需-------------The field of artificial intelligence is giving robots a limited ability to think and to make decisions. However, robots cannot think conceptually, 39 they cannot function independently. Humans have to program them; 40 , they are useless. Therefore, humans should not worry that robots will take over the world—at least not yet.36. a. therefore b. however c. furthermore37. a. moreover b. hence c. also38. a. also b. consequently c. nevertheless39. a. for example b. at last c. and40. a. thus b. otherwise c. in additionPart III Reading for Better Writing (20%)Passage one: (2 x 5 = 10)Directions:The following sentences are numbered from A to I in a random order. Using what you have learned about the organization of body paragraphs, choose the best answer of each of the questions followed, then mark the corresponding letter on the Answer Sheet with a single line through the centre.A. Getting your thoughts down on paper is not the final stage of writing a goodparagraph or essay.B. There remains the rewriting of the first draft so as to shape your idea into acarefully style composition.C. Finally, for smoothness and balance, changes are made between sentences orparagraphs.D. A different word may be substituted for the original word because it is easier tounderstand, is more colorful, gives a more precise meaning, or provides variety.E. Ordinarily, editing involves changes at three points: in individual words, withinsentences, and between sentences.F. At the sentence level, phrases may be put in different order, structures ofmodification revised, different verb structures selected, or the length of phrases or whole sentences may be altered.G. At the word level, spelling and capitalization are checked, but more creatively,words are often changed.H. Such changes, designed to clarify relationships between ideas, are oftenaccomplished by punctuating more adequately, by introducing more effective transitional devices, or by restating or removing awkward phrases and sentences.I. Editing then—the self-conscious appraisal and revision of your own work—usually makes the difference between a merely acceptable and a truly superior piece of writing.41. Which is the topic sentence?a. Ib. Ec. Hd. G----------专业最好文档,专业为你服务,急你所急,供你所需-------------42.What are the supporting sentences?a. G, F, Cb. B, D, Gc. A, G, Id. A, E, G43.What are the detailed sentences?a. G, Bb. H, Fc. D, Hd. H, C44.Which is the concluding sentence?a. Cb. Ec. Hd. I45.Based on the above questions, arrange sentences A to I into a coherent paragraph.Which is the best logic order?a. A B E G D F C H Ib. B A E D G H I F Cc. E G D A B H I C Fd. G D F B A E C H IPassage two:Directions:You are going to read a list of headings and a text about new crimes. Choose the most suitable heading from the list a-d for each numbered paragraph 46-49 and complete 50. The first and last paragraphs of the text are not numbered. Mark your answers on the answer sheet. (2 x 5 = 10)[a] Computer vulnerability has been amply documented.[b] Theft of data has attracted the interest of organized criminal syndicated.[c] Politically motivated sabotage is on the increase.[d] What a competitor sabotages is a company’s computer system.New and bizarre crimes have come into being with the advent of computer technology. Organized crime too has been directly involved; the new technology offers it unlimited opportunities, such as data crimes, theft of services, property-related crimes, industrial sabotage, politically related sabotage, vandalism, crimes against the individual and financially related crimes…______46_______. This is usually the theft or copying of valuable computer program. An international market already exists for computerized data, and specialized fences are said to be playing a key role in this rapidly expanding criminal market. Buyers for stolen programs may range from a firm’s competitors to foreign nations.______47_______. This computer sabotage may also be tied to an attempt by affluent investors to acquire the victim firm. With the growing reliance by firms on computers for their recordkeeping and daily operations, sabotage of their computers can result in internal havoc, after which the group interested in acquiring the firm can easily but it at a substantially lower price. Criminal groups could also resort to sabotage if the company is a competitor of a business owned or controlled by organized crime.______48_______. Sophisticated computer technology arms these groups with awesome powers and opens technological advanced nations to their attack. Several attempts have already been made to destroy computer facility at an air force base. A university computer facility involved in national defense work suffered more than $ 2 million in damages as a result of a bombing.----------专业最好文档,专业为你服务,急你所急,供你所需-------------______49_______. One congressional study concluded that neither government nor private computer systems are adequately protected against sabotage. Organized criminal syndicates have shown their willingness to work with politically motivated groups. Investigators have uncovered evidence of cooperation between criminal groups and foreign governments in narcotics. Criminal groups have taken attempts in assassinating political leaders… Computers are used in hospital life-support system, in laboratories, and in major surgery. Criminals could easily turn these computers into tools of devastation. By sabotaging the computer of a life-support system, criminals could kill an individual as easily as they had used a gun. By manipulating a computer, they could guide awesome tools of terror against large urban centers. Cities and nations could become hostages.The computer opens areas of crime to organize criminal groups. It calls on them to pool their resources and increase their cooperative efforts, because many of these crimes are too complex for one group to handle, especially those requiring a vast network of fences. Although criminals have adapted to computer technology, law enforcement has not. Many still think in terms of traditional criminology.50.According to the passage, which statement is not true? __________a.The computer technology offers organized crime limited opportunities.ernment and private computer systems are not adequately protectedagainst sabotage.c.Buyers for stolen data are not only a firm’s competitors.d.Relevant laws have not adapted to the new crimes.Part IV Modifying Sentence (10%)Directions:The following sentences have some faults. Please modify them by providing the correct answers on Answer Sheet 2. (1 x 10 = 10)51.Professor Jonathon agreed to see us. To talk about our proposal.52.Reading her son’s letter, her tears dropped down.53.Either you will begin to study now or risk failing the exam.54.This bookstore has more books than that one.55.Do your best, we can succeed in the end.56.Judy leads a charmed life she never seems to have a serious accident.57.Running across the floor, the rug slipped and I lost my balance.58. He stood in line for four hours in the freezing cold. To get tickets for the footballmatch.59. It is highly necessary that a student buy a dictionary and uses it.60. Even though he is assumed wrong does not justify scolding him.Part V Writing (30%)----------专业最好文档,专业为你服务,急你所急,供你所需-----------------------专业最好文档,专业为你服务,急你所急,供你所需-------------Section A: (10%)Directions: You are preparing for an English test and are in need of some reference book. Write a letter to the sales department of a bookstore to ask for:1) detailed information about the books you want;2) methods of payment;3) time and way of delivery.You should write about 100 words on ANSWER SHEET 2. Do not sign your own name at the end of the letter. Use “Li Ming ” instead. You do not need to write the address.Section B: (20%)Directions: Write an essay in 160-200 words based on the following picture. In your essay you should:1) briefly describe the picture;2) explain its intended meaning, and3) give your commentWrite your essay neatly on Answer Sheet 2.。
Part I Multiple Choice(15%)Directions:There are 15 incomplete statements in this part. For each statement there are four choices marked A, B, C and D. Choosethe best ONE to complete the statement. (1’x 15=15’)1. According to the rules of writing a title, “__________” is correct.A. The Way To Improve Our English-Speaking AbilityB. My View on the Negative Effects of AdsC. the Myth of a Negro LiteratureD. the war of Independence2. Which of the following sentences has punctuation error?A. The alarm clock sounded, the students got up quickly.B. The alarm clock sounded; the students got up quick.C. The alarm clock sounded. The students got up quickly.D. When the alarm clock sounded, the students got up quickly.3. __________ does not contain in the principles of “choice of words”.A. AccuracyB. ArbitrarinessC. AppropriatenessD. Conciseness4. What kind of figures of speech(修辞格)is used in the sentence “This elephant is like a snake as anybody can see.”?A. MetaphorB. PersonificationC. SimileD. Hyperbole5. During the TV interview, the singer announced that he was going to _____his new album soon.A.releaseB. renewC. relieveD. rehearse6. Greatly agitated, I rushed to the apartment and tried the door, __________ to find it locked.A. onlyB. justC. henceD. thus7. As I’ll be away for at least a year, I’d appreciate __________ from you now and then telling me how everyone is getting along.A. hearingB. to hearC. to be hearingD. having heard8. An introductory paragraph should arouse the reader’s interest and __________ the main idea of the essay.A. ignoreB. introduceC. developD. emphasize9. Which of the following sentences contains a dangling modifier?A. Coming up the hall, I heard the clock struck 10.B. While Wendy was driving on Greenwood Avenue yesterday afternoon,a tree began to fall toward her car.C. When I was ten, my grandfather died.D. None of the above.10. Which one is not used as a transition word to give examples?A. for instanceB. such asC. likewiseD. namely11. While making a good sentence, the principles do not contain __________.A. varietyB. coherenceC. unityD. duality12. “__________” is a compound sentence.A. Her mother would remind her.B. The rain fell for a week; therefore, every street in the city was flooded.C. Because the rain fell for a week, every street in the city was flooded.D. She wanted to make sure that her mother wasn’t watching.13. __________ is the core sentence of a paragraph.A. Topic sentenceB. The first sentenceC. Supporting sentenceD. Concluding sentence14. In the sentence “After the plane took off, Jessica still stood therecrying.”, what is the function of the underlined part?A. It’s a prepositional phrase, functioning as an adverb.B. It’s not a phrase, but an adverbial clause.C. It’s not a phrase, but an independent clause.D. It’s a prepositional phrase, functioning as the subject.15. In order to keep a paragraph coherent, we often use the organizationalpatterns: __________.1) time order 2) space order 3) order of importance 4)order ofgeneralityA. 1), 2), and 3)B. 1), 2), and 4)C. 2), 3), and 4)D. 1), 2), 3), and 4)Part II Correct Sentences (15%)Directions: The following sentences have some faults and correct them.(3’x 5 = 15’)1. There are many students study in the classroom everyday.2. Feeling hungry, I decided to walk to the village buy some food.3. A man is judged not only by what he says but also by his deeds.4. Every man, woman, and child are entitled to join in the group.5. Jane was trying to keep her balance but finally falls.Part III Transitions (10%)Directions:Read the following passage and choose an appropriate transition word or phrase in the box. Write the corresponding word or phrase in the blank. (2’x5=10’)Another difference among the world’s seas and oceans is that the salinity varies in different climate zones. , the Baltic Sea (波罗的海)in Northern Europe is only one-fourth as saline as the Red Sea in the Middle East. There are two reasons for this. , in warm climate zones, water evaporates rapidly: therefore, the concentration of salt is greater. Second, the surrounding land is dry and, , does not contribute much fresh water to dilute the salty sea water. In cold climate zones, , water evaporates slowly. , the run-off created by melting snow adds a considerable amount of fresh water to dilute the saline sea water.Part IV Reading for Better Writing (20%)Passage OneDirections:Read the following paragraph, find out the topic sentence and then identify the irrelevant sentences. Mark the corresponding number on the below. (5’)① Different people spend their weekends in different ways.② Some enjoy going to the mountains to hike, ski or just relax.③ Water skiing is much more difficult than snow skiing.④Others prefer going to the beach to enjoy the seashore activities and to get a suntan.⑤ Some of these people work very hard during the week;others have rather relaxing jobs.⑥ Still others like to relax by staying home and reading a good book.Topic Sentence:________Irrelevant Sentences:________________Passage TwoDirections: In the following paragraph the topic sentence is absent, read them and write an appropriate topic sentence in your own words on the underline. (5’)It can affect us physiologically. Exciting music can increase our heart rate, ourbreathing, and our blood pressure. Calming music can relax our muscles andeven lower our skin temperature. Music can affect us physically too. Everyone hasfound themselves tapping their feet or wanting to get up and dance to theirfavorite song. Music can definitely affect our mood and emotions. Music is slowand quiet makes us feel relaxed and less stressed, and stimulating music canenergize us and make us feel playful and alive.Passage ThreeDirections: Rearrange the following sentences so that they will read logically. Putthe letters in proper sequence in the boxes provided below.. (2’x5=10’)[A] Imitative words are words that sound like the thing or action they stand for.[B] The other one fifth is made up partly of borrowed words and partly of threeother kinds of words: words from the names of peoples and places; imitativewords; and invented words.[C] But there are probably more.[D] The old words which were born centuries ago in the Anglo-Saxon, Germanicand French languages make up four fifths of the English language.[E] Scholars guess that English has about 600, 000 words.[F] There is no need to say anything about these words, for they speak for themselves.[G] Ampere, volt and watt are all units of electricity, and they are named for themen who discovered them.[H] New words continue to come into the language at such a rate that nodictionary could possibly keep up with them.Part V Rewrite Sentences (15%)Directions: Rewrite the following sentences according to the requirements.(3’x 5 = 15’)1. (a) Xiaxi Town is not big but beautiful.(b) It has an area of about 80 square kilometers.(sentence with aprepositional phrase)2. (a) Mr. Smith will leave our school.(b) He is a teacher of history.(sentence with an appositive phrase)3. (a) The temple is visited by thousands of people every year.(b) It was built 1, 000 years ago. (sentence with a v-ed phrase)4.(a) I still remember the day .(b) I first came to Beijing on that day. (sentence with an attributive clause)5. (a) He suffered from cancer.(b) He had smoked too much.(sentence with an adverbial clause)Part VI Writing (25%)Directions: For this part, you are allowed to write an essay on the topicGetting to Know the World Outside of Campus. You should write about150 words according to the situation given below in Chinese(Note: pleasewrite the title of your essay): (25’)1.如今,很多大学生都会通过兼职工作了解校外的世界,这是很必要的;2.了解校外世界的途径;3.你了解校外世界的方法。
应用写作期末考试试卷一、选择题(每题2分,共20分)1. 应用写作中,以下哪个选项不是正式公文的组成部分?A. 标题B. 主送机关C. 正文D. 附件说明2. 应用文写作中,以下哪种语言风格最为恰当?A. 口语化B. 正式C. 幽默风趣D. 随意3. 在撰写商务信函时,以下哪个步骤是不必要的?A. 确定信函目的B. 收集相关信息C. 随意编写D. 审阅并修改4. 以下哪个选项不是应用文写作中常见的错误?A. 语法错误B. 逻辑混乱C. 格式规范D. 用词不当5. 在撰写报告时,以下哪个部分是必须包含的?A. 引言B. 结论C. 摘要D. 所有选项6. 以下哪个不是应用写作中常用的修辞手法?A. 比喻B. 排比C. 反问D. 记叙7. 在撰写通知时,以下哪个要素是必须包含的?A. 通知对象B. 通知内容C. 通知时间D. 所有选项8. 应用写作中,以下哪个选项不是撰写计划书时需要考虑的因素?A. 目标B. 资源C. 预算D. 个人情感9. 在撰写简历时,以下哪个信息是不必要的?A. 教育背景B. 工作经验C. 个人爱好D. 技能和证书10. 以下哪个不是应用写作中常见的文档类型?A. 报告B. 信函C. 小说D. 计划书二、填空题(每空1分,共20分)1. 在撰写正式公文时,标题应该位于页面的______位置,并且要居中。
2. 商务信函的结尾通常包含______和______,以表示礼貌和尊重。
3. 报告的正文部分应该包括______、______、______和______。
4. 在撰写通知时,应该明确指出______、______和______。
5. 简历中,个人信息应该包括姓名、联系方式、______等。
6. 应用写作中,使用图表可以增强______和______。
7. 计划书的撰写应该遵循______、______和______的原则。
8. 在撰写总结时,应该包括______、______和______。
《大学英语应用写作》期末试题第一套Part I Writing Basics (30%)Directions:There are 30 incomplete statements in this part. For each statement there are four choices marked a, b, c and d. Choose the best ONE to complete the statement. Then mark the corresponding letter on the Answer Sheet with a single line through the centre. (1x 30=30)1. While collecting raw materials before writing, we usually use techniques of__________.1) brainstorming 2) freewriting 3) clustering 4) listinga. 1), 2) and 4)b. 1), 3) and 4)c. 2), 3) and 4)d. 1), 2), 3) and 4)2. __________ does not contain in the principles of “choice of words”.a. Exactnessb. Arbitrarinessc. Appropriatenessd. Conciseness3. According to the rules of capitalization, “__________” is correct.a. the Southern part of Pennsylvaniab. the fourth of Julyc. The Last of the Mohicansd. the war of Independence4. __________ is one rule of the usage of comma.a. Being used to separate itemsb. Being used in a direct speechc. Being used at the end of a sentenced. Being used to show feeling5. While making a good sentence, the principles do not contain __________.a. varietyb. coherencec. unityd. duality6. “__________” is a compound sentence.a. Her mother would remind her.b. The rain fell for a week; therefore, every street in the city was flooded.c. Because the rain fell for a week, every street in the city was flooded.d. She wanted to make sure that her mother wasn’t watching.7. Which of the following sentences have a dangling modifier? __________a. Saying is easy, but doing is difficult.b. After driving for more than 500 miles, John felt very tired.c. Without saying goodbye, the train took her away.d. All of them.8. __________ is the core sentence of a paragraph.a. Topic sentenceb. The first sentencec. Supporting sentenced. Concluding sentence9. Which one below is not the coordinate conjunction? __________a. butb. soc. andd. so that10. In the sentence “After the plane took off, Jessica still stood there crying.”, what is the function of the underlined part? __________a. It’s a prepositional phrase, functioning as an adverb.b. It’s not a phrase, but an adverbial clause.c. It’s not a phrase, but an independent clause.d. It’s a prepositional phrase, functioning as the subject.11. In order to keep a paragraph coherent, we often use the organizational patterns: __________.1) time order 2) space order 3) order of importance 4)order of generalitya. 1), 2), and 3)b. 1), 2), and 4)c. 2), 3), and 4)d. 1), 2), 3), and 4)12. Which one is not used as a transition word to give examples? __________a. for instanceb. such asc. likewised. namely13. Which statement below is not true? __________a. A thesis is an announcement of the topic.b. A thesis is a statement, not a phrase.c. A thesis is a judgment, not a fact.d. A thesis must be clear and precise.14. An introductory paragraph should arouse the reader’s interest and __________ the main idea of the essay.a. ignoreb. introducec. developd. emphasize15. What kind of writing method is used in the sentence “Fighting a teenager, like fighting a tide, is bound to fail.”? __________a. Metaphorb. Definitionc. Similed. Explanation16. Which sentence below is used in a letter of congratulations? __________a. I’m writing to say sorry that I can’t meet you at the airport on time.b. I can’t tell you how sorry I was to learn of your accident.c. All of us at the office send you our heartiest congratulations.d. Welcome to ABC Bank, the biggest commercial bank in this city.17. Which of the following sentences contains a dangling modifier? __________a. To raise a good dog, patience is useful.b. Moving slowly, Bowie stalked the rabbits.c. After eating the catfood, Bowie belched.d. None of the above.18. Which choice can best describe this: “Although he had been an often decorated solider during World War II and had fought many battles for the losing cause ofliberalism in Congress.”? __________a. There is nothing wrong with the structure of this sentence.b. Run-on: put a comma after World War II.c. Run-on: put a semicolon after World War II.d. Fragment: put a comma after Congress and add a main clause.19. To catch the reader’s eyes, an introduction paragraph should __________.a. give detailed information as much as possible.b. start in an interesting way by offering some related information but not toomuch.c. avoid using anything difficult to understandd. always tell the reader a joke20. Which of the following would not be an effective technique to be used in aconcluding paragraph? __________a. Calling on action.b. Predicting an outcome.c. Questioning different perspective.d. Offering a warning.21. When any non-human organ is transplanted into a person, the body immediatelyrecognizes it as __________.a. novelb. remotec. distantd. foreign22. Because of its intimacy, radio is usually more than just a medium; it is__________.a. firmb. companyc. corporationd. enterprise23. Greatly agitated, I rushed to the apartment and tried the door, __________ to find itlocked.a. onlyb. justc. henced. thus24. Anyone with half an eye on the unemployment figures knew that the assertionabout economic recovery __________ just around the corner was untrue.a. would beb. to bec. wasd. being25. These proposals sought to place greater restrictions on the use and copying ofdigital information than __________ in traditional media.a. existsb. existingc. existd. to exist26. These causes produced the great change in the country that modernized the__________ of higher education from the mid-1860’s to the mid-1880’s.a. branchb. domainc. categoryd. scope27. The judge ruled that the evidence was inadmissible on the grounds that it was__________ to the issue at hand.a. irrationalb. unreasonablec. invalidd. irrelevant28. As I’ll be away for at least a year, I’d appreciate __________ from you now andthen telling me how everyone is getting along.a. hearingb. to hearc. to be hearingd. having heard29. __________ to some parts of South America is still difficult, because parts of thecontinent are still covered with thick forests.a. Orientationb. Accessc. Processiond. V oyage30. One difficulty in translation lies in obtaining a concept match. __________ this ismeant that a concept in one language is lost or changed in meaning in translation.a. Inb. Forc. Byd. WithPart II Transitions (10%)Directions: Read the following passages and choose an appropriate transition word or phrase in the numbered blanks. Mark the corresponding letter on the Answer Sheet with a single line through the centre. (1 x 10=10)Passage one:Thirty years ago, most teenagers had bicycles, but now they are comparatively rare, and even those boys and girls who have them do not use them as often. On the contrary, motor scooters are much more common. 31 , this may seem a sign of progress but in fact the change is not necessarily for the better. It is easy to see why young people prefer scooters. At first, they are much faster and do not require much physical effort; 32 , you can take a passenger with you on the pillion seat behind; above all, they give young people a feeling of independence, because they can travel further and impress their friends. 33 , the disadvantages are equally obvious. To begin with, scooters are more expensive to buy and to maintain, and meanwhile those under 16 are not allowed to have them. 34 , greater freedom brings danger because speed encourages young people to take risks and as a result scooters are involved in more accidents, and the accidents are 35 more serious.31. a. At first sight b. In the beginning c. In the first place32. a. also b. as well c. secondly33. a. Although b. However c. In spite34. a. Apart from that b. As a result c. On the other hand35. a. as well b. generally c. howeverPassage two:A Robot is a mechanical device, so it can perform boring, dangerous, and difficult tasks. First of all, robots can perform repetitive tasks without becoming tired or bored; 36 , they are used in automobile factories to weld and paint. Second, robots can also function in hostile environments; 37 , they are useful for exploring and the ocean bottom as well as deep outer space. Finally, robots canperform tasks requiring pinpoint accuracy. In the operating room, robotic equipment can assist the surgeon. For instance, a robot can kill a brain tumor; 38 , it can operate on a fetus with great precision.The field of artificial intelligence is giving robots a limited ability to think and to make decisions. However, robots cannot think conceptually, 39 they cannot function independently. Humans have to program them; 40 , they are useless. Therefore, humans should not worry that robots will take over the world—at least not yet.36. a. therefore b. however c. furthermore37. a. moreover b. hence c. also38. a. also b. consequently c. nevertheless39. a. for example b. at last c. and40. a. thus b. otherwise c. in additionPart III Reading for Better Writing (20%)Passage one: (2 x 5 = 10)Directions: The following sentences are numbered from A to I in a random order. Using what you have learned about the organization of body paragraphs, choose the best answer of each of the questions followed, then mark the corresponding letter on the Answer Sheet with a single line through the centre.A. Getting your thoughts down on paper is not the final stage of writing a goodparagraph or essay.B. There remains the rewriting of the first draft so as to shape your idea into acarefully style composition.C. Finally, for smoothness and balance, changes are made between sentences orparagraphs.D. A different word may be substituted for the original word because it is easier tounderstand, is more colorful, gives a more precise meaning, or provides variety.E. Ordinarily, editing involves changes at three points: in individual words, withinsentences, and between sentences.F. At the sentence level, phrases may be put in different order, structures ofmodification revised, different verb structures selected, or the length of phrases or whole sentences may be altered.G. At the word level, spelling and capitalization are checked, but more creatively,words are often changed.H. Such changes, designed to clarify relationships between ideas, are oftenaccomplished by punctuating more adequately, by introducing more effectivetransitional devices, or by restating or removing awkward phrases and sentences.I. Editing then—the self-conscious appraisal and revision of your own work—usually makes the difference between a merely acceptable and a truly superior piece of writing.41. Which is the topic sentence?a. Ib. Ec. Hd. G42.What are the supporting sentences?a. G, F, Cb. B, D, Gc. A, G, Id. A, E, G43.What are the detailed sentences?a. G, Bb. H, Fc. D, Hd. H, C44.Which is the concluding sentence?a. Cb. Ec. Hd. I45.Based on the above questions, arrange sentences A to I into a coherent paragraph.Which is the best logic order?a. A B E G D F C H Ib. B A E D G H I F Cc. E G D A B H I C Fd. G D F B A E C H IPassage two:Directions: You are going to read a list of headings and a text about new crimes. Choose the most suitable heading from the list a-d for each numbered paragraph46-49 and complete 50. The first and last paragraphs of the text are not numbered. Mark your answers on the answer sheet. (2 x 5 = 10)[a] Computer vulnerability has been amply documented.[b] Theft of data has attracted the interest of organized criminal syndicated.[c] Politically motivated sabotage is on the increase.[d] What a competitor sabotages is a company’s computer system.New and bizarre crimes have come into being with the advent of computer technology. Organized crime too has been directly involved; the new technology offers it unlimited opportunities, such as data crimes, theft of services,property-related crimes, industrial sabotage, politically related sabotage, vandalism, crimes against the individual and financially related crimes…______46_______. This is usually the theft or copying of valuable computer program. An international market already exists for computerized data, and specialized fences are said to be playing a key role in this rapidly expanding criminal market. Buyers for stolen programs may range from a firm’s competitors to foreign nations.______47_______. This computer sabotage may also be tied to an attempt by affluent investors to acquire the victim firm. With the growing reliance by firms on computers for their recordkeeping and daily operations, sabotage of their computers can result in internal havoc, after which the group interested in acquiring the firm can easily but it at a substantially lower price. Criminal groups could also resort to sabotage if the company is a competitor of a business owned or controlled by organized crime.______48_______. Sophisticated computer technology arms these groups with awesome powers and opens technological advanced nations to their attack. Several attempts have already been made to destroy computer facility at an air force base. Auniversity computer facility involved in national defense work suffered more than $ 2 million in damages as a result of a bombing.______49_______. One congressional study concluded that neither government nor private computer systems are adequately protected against sabotage. Organized criminal syndicates have shown their willingness to work with politically motivated groups. Investigators have uncovered evidence of cooperation between criminal groups and foreign governments in narcotics. Criminal groups have taken attempts in assassinating political leaders… Computers are used in hospital life-support system, in laboratories, and in major surgery. Criminals could easily turn these computers into tools of devastation. By sabotaging the computer of a life-support system, criminals could kill an individual as easily as they had used a gun. By manipulating a computer, they could guide awesome tools of terror against large urban centers. Cities and nations could become hostages.The computer opens areas of crime to organize criminal groups. It calls on them to pool their resources and increase their cooperative efforts, because many of these crimes are too complex for one group to handle, especially those requiring a vast network of fences. Although criminals have adapted to computer technology, law enforcement has not. Many still think in terms of traditional criminology.50.According to the passage, which statement is not true? __________a.The computer technology offers organized crime limited opportunities.ernment and private computer systems are not adequately protectedagainst sabotage.c.Buyers for stolen data are not only a firm’s competitors.d.Relevant laws have not adapted to the new crimes.Part IV Modifying Sentence (10%)Directions: The following sentences have some faults. Please modify them by providing the correct answers on Answer Sheet 2. (1 x 10 = 10)51.Professor Jonathon agreed to see us. To talk about our proposal.52.Reading her son’s letter, her tears dropped down.53.Either you will begin to study now or risk failing the exam.54.This bookstore has more books than that one.55.Do your best, we can succeed in the end.56.Judy leads a charmed life she never seems to have a serious accident.57.Running across the floor, the rug slipped and I lost my balance.58. He stood in line for four hours in the freezing cold. To get tickets for the footballmatch.59. It is highly necessary that a student buy a dictionary and uses it.60. Even though he is assumed wrong does not justify scolding him.Part V Writing (30%)Section A: (10%)Directions: You are preparing for an English test and are in need of some reference book. Write a letter to the sales department of a bookstore to ask for:1)detailed information about the books you want;2)methods of payment;3)time and way of delivery.You should write about 100 words on ANSWER SHEET 2. Do not sign your own name at the end of the letter. Use “Li Ming” instead. You do not need to write the address.Section B: (20%)Directions: Write an essay in 160-200 words based on the following picture. In your essay you should:1)briefly describe the picture;2)explain its intended meaning, and3)give your commentWrite your essay neatly on Answer Sheet 2.。