高二数学选修4-4练习题(人教版)
- 格式:doc
- 大小:734.50 KB
- 文档页数:7
第二讲 参数方程一、曲线的参数方程第2课时 圆的参数方程A 级 基础巩固一、选择题1.已知圆P :⎩⎪⎨⎪⎧x =1+10cos θ,y =-3+10sin θ(θ为参数),则圆心P 及半径r 分别是( ) A .P(1,3),r =10B .P(1,3),r =10C .P(1,-3),r =10D .P(1,-3),r =10解析:由圆P 的参数方程可知圆心(1,-3),半径r =10.答案:C2.圆x 2+y 2+4x -6y -3=0的参数方程为( )A.⎩⎨⎧x =2+4cos θ,y =-3+4sin θ(θ为参数) B.⎩⎨⎧x =-2+4cos θ,y =3+4sin θ(θ为参数) C.⎩⎨⎧x =2-4cos θ,y =3-4sin θ(θ为参数) D.⎩⎨⎧x =-2-4cos θ,y =3-4sin θ(θ为参数) 解析:圆的方程配方为:(x +2)2+(y -3)2=16,所以圆的圆心为(-2,3),半径为4,故参数方程为B 选项.答案:B3.已知圆O 的参数方程是⎩⎨⎧x =2+4cos θ,y =-3+4sin θ(0≤θ<2π),圆上点A 的坐标是(4,-33),则参数θ=( )A.7π6B.4π3C.11π6D.5π3解析:由题意⎩⎨⎧4=2+4cos θ,-33=-3+4sin θ(0≤θ<2π), 所以⎩⎪⎨⎪⎧cos θ=12,sin θ=-32(0≤θ<2π),解得θ=5π3. 答案:D4.若P(x ,y)是圆⎩⎨⎧x =2+cos α,y =sin α(α为参数)上任意一点,则(x -5)2+(y +4)2的最大值为( )A .36B .6C .26D .25解析:依题意P(2+cos α,sin α),所以(x -5)2+(y +4)2=(cos α-3)2+(sin α+4)2=26-6cos α+8sin α=26+10sin(α-φ)⎝⎛⎭⎪⎫其中cos φ=45,sin φ=35, 所以当sin(α-φ)=1,即α=2k π+π2+φ(k ∈Z)时,有最大值为36. 答案:A5.直线:3x -4y -9=0与圆:⎩⎨⎧x =2cos θ,y =2sin θ(θ为参数)的位置关系是( ) A .相切B .相离C .直线过圆心D .相交但直线不过圆心 解析:圆心坐标为(0,0),半径为2,显然直线不过圆心,又圆心到直线距离d =95<2. 所以直线与圆相交,但不过圆心.答案:D二、填空题6.已知圆的方程为x 2+y 2=2x ,则它的一个参数方程是______.解析:将x 2+y 2=2x 化为(x -1)2+y 2=1知圆心坐标为(1,0),半径r =1,所以它的一个参数方程为⎩⎨⎧x =1+cos θ,y =sin θ(θ为参数). 答案:⎩⎨⎧x =1+cos θ,y =sin θ(θ为参数) 7.已知曲线方程⎩⎨⎧x =1+cos θ,y =sin θ(θ为参数),则该曲线上的点与定点(-1,-2)的距离的最小值为________. 解析:设曲线上动点为P(x ,y),定点为A ,则|PA|=(1+cos θ+1)2+(sin θ+2)2= 9+42sin ⎝ ⎛⎭⎪⎫θ+π4, 故|PA|min =9-42=22-1.答案:22-18.曲线C :⎩⎨⎧x =cos θ,y =-1+sin θ(θ为参数)的普通方程为__________.如果曲线C 与直线x +y +a =0有公共点,那么a 的取值范围是________.解析:⎩⎨⎧x =cos θ,y =-1+sin θ(θ为参数)消参可得 x 2+(y +1)2=1,利用圆心到直线的距离d ≤r 得|-1+a|2≤1, 解得1-2≤a ≤1+ 2. 答案:x 2+(y +1)2=1 [1-2,1+2]三、解答题9.已知曲线C 的极坐标方程是ρ=2cos θ,以极点为平面直角坐标系的原点,极轴为x 轴的正半轴,建立平面直角坐标系,直线l 的参数方程是⎩⎪⎨⎪⎧x =32t +m ,y =12t(t 为参数). (1)求曲线C 的直角坐标方程和直线l 普通方程;。
人教版高中数学选修-练习题及参考答案(附参考答案)一、选择题1.命题“如果x≥a2+b2,那么x≥2ab”的逆否命题是( ) A.如果x<a2+b2,那么x<2abB.如果x≥2ab,那么x≥a2+b2C.如果x<2ab,那么x<a2+b2D.如果x≥a2+b2,那么x<2ab2.三角形全等是三角形面积相等的( )A.充分但不必要条件B.必要但不充分条件C.充要条件D.既不充分又不必要条件3.下列四个命题中,真命题是( )A.是偶数且是无理数B.8≥10C.有些梯形内接于圆D.xR,x2x+1≠04.命题“所有奇数的立方是奇数”的否定是( )A.所有奇数的立方不是奇数B.不存在一个奇数,它的立方是偶数C.存在一个奇数,它的立方是偶数D.不存在一个奇数,它的立方是奇数二、填空题5.命题“若a=1,则a2=1”的逆否命题是______________________.?? 6.b=0是函数f(x)=ax2+bx+c为偶函数的______________________.7.全称命题“aZ,a有一个正因数”的否定是________________________.??8.特称命题“有些三角形的三条中线相等”的否定是______________________.条件.的______ ___,则非p是非q9.设p:|5x1|>4;?三、解答题10.求证:a+2b=0是直线ax+2y+3=0和直线x+by+2=0互相垂直的充要条件.11.已知集合A={x|x23x+2=0},B={x|x2mx+2=0},若A是B的必要不充分条件,求实数m范围.??12.给定两个命题,:对任意实数都有恒成立;:关于的方程有实数根;如果与中求实数的取值范围.有且仅有一个为真命题,常用逻辑用语答案14 CACC?5.如果a2≠1,那么a≠1 6.充分必要条件7.a0Z,a0没有正因数???8.每个三角形的三条中线不相等9.即不充分也不必要10.充分性:当b=0时,则a=0,此时两直线分别垂直坐标轴,显然垂直;当b≠0时,两直线的斜率分别是k1=,k2=,由a+2b=0,k1k2=()()=1,两直线互相垂直.??????必要性:如果两直线互相垂直且斜率存在,则k1k2=()()=1,∴a+2b=0;如果两直线中有直线的斜率不存在,且互相垂直,则b=0,且a=0,∴a+2b=0.????11、A={1,2},A是B的必要不充分条件,即BA.所以B=、B={1}或{2},?,∴.=m28<0B=φ时,△当?无解.综上所述.时,,m当B={1}或{2}a<4;≤a=0或012.解:P真:对任意实数都有恒成立??≤;0a14a≥q真:关于的方程有实数根???如果P正确,且Q不正确,有0≤a<4,且a>,∴<a<4;如果Q正确,且P不正确,有a<0或a≥4,且a≤,∴a<0.所以(,0)∪(,4).???常用逻辑用语答案14 CACC?5.如果a2≠1,那么a≠1 6.充分必要条件7.a0Z,a0没有正因数???8.每个三角形的三条中线不相等9.即不充分也不必要10.充分性:当b=0时,则a=0,此时两直线分别垂直坐标轴,显然垂直;当b≠0时,两直线的斜率分别是k1=,k2=,由a+2b=0,k1k2=()()=1,两直线互相垂直.??????必要性:如果两直线互相垂直且斜率存在,则k1k2=()()=1,∴a+2b=0;如果两直线中有直线的斜率不存在,且互相垂直,则b=0,且a=0,∴a+2b=0.????11、A={1,2},A是B的必要不充分条件,即BA.所以B=、B={1}或{2},?,∴.=m28<0B=φ时,△当?无解.综上所述.时,,m当B={1}或{2}a<4;≤或0.解:12P真:对任意实数都有恒成立a=0??≤;0a14a≥q真:关于的方程有实数根???如果P正确,且Q不正确,有0≤a<4,且a>,∴<a<4;如果Q正确,且P不正确,有a<0或a≥4,且a≤,∴a<0.所以(,0)∪(,4).???圆锥曲线练习题一.选择题若椭圆经过原点,且焦点分别为,则其离心率为() 1.1A.B. C. D.4y2=4x的焦点作直线l,交抛物线于A,过抛物线B两点,若线段AB中点的横坐标2.为3,则|AB|等于()A.10B.8C.6D.4若双曲线+=1的离心率,则k的取值范围是() 3.A. B. C. D.与y轴相切且和半圆x2+y2=4(0≤x≤2)内切的动圆圆心的轨迹方程是()4. B. A. C. D.过点M(2,0)的直线L与椭圆交于两点,设线段的中点为P,若直线l的斜率为,5.的斜率为,则等于()直线OP?1-A. B. C. D.2.如果方程+=1表示双曲线,那么下列椭圆中,与这个双曲线共焦点的是()6. A. B. C. D.二.填空题椭圆+=1的焦点分别是,点P在椭圆上,如果线段的中点在y轴上,那么是的7.倍.椭圆+=1的焦点分别是,过原点O做直线与椭圆交于A,B两点,若ABF2的面积8.是20,则直线AB的方程是.?与双曲线有共同的渐近线,并且经过点的双曲线方程是9.已知直线y=kx+2与双曲线x2y2=6的右支相交于不同的两点,则k的取值范围10.是.三.解答题?抛物线y=-x2与过点M(0,1)的直线L相交于A,B两点,O为原点,若OA和OB11.的斜率之和为1,求直线L的方程.?已知中心在原点,一焦点为F(0,)的椭圆被直线截得的弦的中点横坐标为,求此12.椭圆的方程.13.是椭圆+=1的两个焦点,为椭圆上一点,且AF1F2=45,求的面积.???圆锥曲线练习题答案一.选择题:CBCADD二.填空题:7. 7倍8.y=x 9. -=1 10.-,3)<k<-1?三.解答题解:斜率不存在不合题意,设直线代入抛物线得11.有kR 设点则+=1,?由根与系数关系,解得直线方程.=50,则1解:设所求的椭圆为+=12.椭圆与直线联立有,由已知=,.1a2=75,b2=25.所以所求椭圆方程为+=根与系数关系带入得解得.解:13.圆锥曲线练习题答案CBCADD 一.选择题:二.填空题:1,3)<k<--=7. 7倍8.y=x 9. 1 10.-?三.解答题解:斜率不存在不合题意,设直线代入抛物线得13.有kR 设点则+=1,?由根与系数关系,解得直线方程.=50,则解:设所求的椭圆为+=114.椭圆与直线联立有,由已知=,.1a2=75,b2=25.所以所求椭圆方程为+=根与系数关系带入得解得.解:13.空间向量练习题一.选择题1.直棱柱ABCA1B1C1中,若=,=,=,则=( )?→→+++D.+B.+C.A.b?c????2.已知A,B,C三点不共线,对平面ABC外的任意一点O,下列条件中能确定点M与A,B,C一定共面的是( )→→→A.=++C.=2OA?OB?OC1→C.=++D.=++OC 33.若向量同时垂直向量和,向量=+(,R, ,≠0),则()???????A.∥B.C.与不平行也不垂直D.以上均有可能?4.以下四个命题中,正确的是( )A.若=+,则P,A,B三点共线B.若{,,}为空间一个基底,则{+,+,+}构成空间的另一个基底C.|()|=||||||???D.ABC为直角三角形的充要条件是=0??5.已知=(+1,0,2),=(6,21,2),∥,则和的值分别为( )??????A.,B.5,2C.,D.5,2????二.填空题6.若=(2,3,1),=(2,0,3),=(0,2,2),则(+)=________.??7.已知G是ABC的重心,O是空间任一点,若++=,则的值为_______.??? 8.已知||=1,||=2,<,>=60,则|(+2)|=________.??三.解答题9.若向量(+3)(75),(4)(72),求与的夹角.?????10.设,试求实数,使成立.求与侧面所成的角.正三棱柱的底面边长为,11.侧棱长为,小大的角面二,时值何于等问,动移上棱在点,,,中体方长在.12.为.空间向量练习题答案 DDBBA一.选择题6.3 83 7.二.填空题6.5三.解答题9.由已知向量垂直列方程,解得2=2=2,∴cos<,>=,∴与夹角为60.?? 10.由成立,可建立方程组,解得.11.以A为原点,分别以,,为x,y,z轴建立空间直角坐标系,则A(0,0,0),B(0,a,0),A1(0,0,a),C1(,2)a,a,a),由于=(1,0,0)是面的法向量,??计算得cos<,>=,∴<,>=60.故与侧面所成的角为30.??12.设,以为原点,分别以,,为轴建立空间直角坐标系,.依题意.=(2x,1,2)可求得平面的法向量为?..(舍去)空间向量练习题答案 DDBBA一.选择题6.3 8二.填空题6.3 7.5三.解答题9.由已知向量垂直列方程,解得2=2=2,∴cos<,>=,∴与夹角为60.?? 10.由成立,可建立方程组,解得.11.以A为原点,分别以,,为x,y,z轴建立空间直角坐标系,则A(0,0,0),B(0,a,0),A1(0,0,a),C1(,2)a,a,a),由于=(1,0,0)是面的法向量,??计算得cos<,>=,∴<,>=60.故与侧面所成的角为30.??12.设,以为原点,分别以,,为轴建立空间直角坐标系,.依题意.可求得平面的法向量为=(2x,1,2)?..(舍去)。
模块综合评价(时间:120分钟 满分:150分)一、选择题(本大题共12小题,每小题5分,共60分.在每小题给出的四个选项中,只有一项是符合题目要求的)1.点M 的直角坐标是(-1,3),则点M 的极坐标为( )A.⎝ ⎛⎭⎪⎫2,π3 B.⎝ ⎛⎭⎪⎫2,-π3 C.⎝ ⎛⎭⎪⎫2,2π3 D.⎝ ⎛⎭⎪⎫2,2k π+π3(k ∈Z) 解析:点M 的极径是2,点M 在第二象限,故点M 的极坐标是⎝⎛⎭⎪⎫2,2π3.答案:C2.极坐标方程cos θ=32(ρ∈R)表示的曲线是( )A .两条相交直线B .两条射线C .一条直线D .一条射线解析:由cos θ=32,解得θ=π6或θ=116π,又ρ∈R ,故为两条过极点的直线.答案:A3.曲线ρcos θ+1=0关于直线θ=π4对称的曲线的方程是( )A .ρsin θ+1=0B .ρcos θ+1=0C .ρsin θ=2D .ρcos θ=2解析:因为M (ρ,θ)关于直线θ=π4的对称点是N ⎝ ⎛⎭⎪⎫ρ,π2-θ,从而所求曲线方程为ρcos ⎝ ⎛⎭⎪⎫π2-θ+1=0,即ρsin θ+1=0. 答案:A4.直线⎩⎨⎧x =1+12t ,y =-33+32t (t 为参数)和圆x 2+y 2=16交于A ,B 两点,则AB 的中点坐标为( )A .(3,-3)B .(-3,3)C .(3,-3)D .(3,-3)解析:将x =1+t2,y =-33+32t 代入圆方程,得⎝ ⎛⎭⎪⎫1+t 22+⎝ ⎛⎭⎪⎫-33+32t 2=16, 所以t 2-8t +12=0,则t 1=2,t 2=6, 因此AB 的中点M 对应参数t =t 1+t 22=4,所以x =1+12×4=3,y =-33+32×4=-3,故AB 中点M 的坐标为(3,-3). 答案:D5.化极坐标方程ρ2cos θ-ρ=0为直角坐标方程为( ) A .x 2+y 2=0或y =1 B .x =1 C .x 2+y 2=0或x =1 D .y =1解析:ρ(ρcos θ-1)=0,ρ=x 2+y 2=0或ρcos θ=x =1. 答案:C6.极坐标方程分别是ρ=2cos θ和ρ=4sin θ的两个圆的圆心距是( )A .2 B.2 C .5 D. 5解析:ρ=2cos θ是圆心为(1,0),半径为1的圆;ρ=4sin θ是圆心为()0,2,半径为2的圆,所以两圆的圆心距是 5.答案:D7.已知圆M :x 2+y 2-2x -4y =10,则圆心M 到直线⎩⎪⎨⎪⎧x =4t +3,y =3t +1(t 为参数)的距离为( )A .1B .2C .3D .4解析:由题意易知圆的圆心M (1,2),由直线的参数方程化为一般方程为3x -4y -5=0,所以圆心到直线的距离为d =|3×1-4×2-5|32+42=2.答案:B8.点M ⎝ ⎛⎭⎪⎫1,7π6关于直线θ=π4(ρ∈R)的对称点的极坐标为( ) A.⎝ ⎛⎭⎪⎫1,4π3B.⎝ ⎛⎭⎪⎫1,2π3 C.⎝⎛⎭⎪⎫1,π3D.⎝⎛⎭⎪⎫1,-7π6解析:点M ⎝ ⎛⎭⎪⎫1,7π6的直角坐标为⎝⎛⎭⎪⎫cos 7π6,sin 7π6=⎝ ⎛⎭⎪⎫-32,-12,直线θ=π4(ρ∈R),即直线y =x ,点⎝ ⎛⎭⎪⎫-32,-12关于直线y =x 的对称点为⎝ ⎛⎭⎪⎫-12,-32,再化为极坐标为⎝⎛⎭⎪⎫1,4π3. 答案:A9.极坐标方程(ρ-1)(θ-π)=0(ρ≥0)和参数方程⎩⎨⎧x =tan θ,y =2cos θ(θ为参数)所表示的图形分别是( )A .直线、射线和圆B .圆、射线和双曲线C .两直线和椭圆D .圆和抛物线解析:因为(ρ-1)(θ-π)=0,所以ρ=1或θ=π(ρ≥0),ρ=1表示圆,θ=π(ρ≥0)表示一条射线,参数方程⎩⎨⎧x =tan θ,y =2cos θ(θ为参数)化为普通方程为y 24-x 2=1,表示双曲线.答案:B10.已知直线l 的参数方程为⎩⎪⎨⎪⎧x =at ,y =a 2t -1(t 为参数),椭圆C 的参数方程为⎩⎪⎨⎪⎧x =1+cos θ,y =2sin θ(θ为参数),且它们总有公共点.则a 的取值范围是( )A.⎣⎢⎡⎭⎪⎫-32,0∪(0,+∞) B .(1,+∞)C.⎣⎢⎡⎭⎪⎫-32,+∞D.⎣⎢⎡⎭⎪⎫-32,4 解析:由已知得⎩⎪⎨⎪⎧at =1+cos θ,a 2t -1=2sin θ,则4(at -1)2+(a 2t -1)2=4, 即a 2(a 2+4)t 2-2a (a +4)t +1=0,Δ=4a 2(a +4)2-4a 2(a 2+4)=16a 2(2a +3). 直线l 与椭圆总有公共点的充要条件是Δ≥0, 即a ≥-32.答案:C11.已知圆锥曲线⎩⎪⎨⎪⎧x =2cos θ,y =3sin θ(θ是参数)和定点A (0,3),F 1、F 2是圆锥曲线的左、右焦点,以坐标原点为极点,x 轴的正半轴为极轴建立极坐标系,则直线AF 2的极坐标方程为( )A .ρcos θ+3ρsin θ= 3B .ρcos θ-3ρsin θ= 3 C.3ρcos θ+ρsin θ= 3 D.3ρcos θ-ρsin θ= 3解析:圆锥曲线为椭圆,c =1,故F 2的坐标为(1,0),直线AF 2的直角坐标方程是x +y3=1,即3x +y =3,化为极坐标方程就是3ρcos θ+ρsin θ= 3.答案:C12.已知曲线C 的极坐标方程为ρ=6sin θ,以极点为平面直角坐标系的原点,极轴为x 轴正半轴,直线l 的参数方程为⎩⎨⎧x =2t -1,y =22t(t 为参数),则直线l 与曲线C 相交所得弦长为( )A .1B .2C .3D .4解析:曲线C 的直角坐标方程为x 2+y 2-6y =0, 即x 2+(y -3)2=9,直线⎩⎨⎧x =2t -1,y =22t的直角坐标方程为x -2y +1=0, 因为圆心C 到直线l 的距离d =|0-2×3+1|12+(-2)2=5,所以直线l 与圆C 相交所得弦长为2r 2-d 2= 29-5=4. 答案:D二、填空题(本大题共4小题,每小题5分,共20分.把答案填在题中横线上)13.在极坐标系中,点⎝⎛⎭⎪⎫2,π2关于直线ρcos θ=1的对称点的极坐标为________.解析:结合图形不难知道点⎝ ⎛⎭⎪⎫2,π2关于直线ρcos θ=1的对称点的极坐标为⎝⎛⎭⎪⎫22,π4. 答案:⎝⎛⎭⎪⎫22,π414.已知圆的渐开线的参数方程⎩⎪⎨⎪⎧x =3cos φ+3φsin φ,y =3sin φ-3φcos φ(φ为参数),当φ=π4时,对应的曲线上的点的坐标为________.解析:当φ=π4时,代入渐开线的参数方程,得⎩⎪⎨⎪⎧x =3cos π4+3·π4·sin π4,y =3sin π4-3·π4·cos π4,x =322+32π8,y =322-32π8,所以当φ=π4时,对应的曲线上的点的坐标为⎝ ⎛⎭⎪⎫322+32π8,322-32π8. 答案:⎝ ⎛⎭⎪⎫322+32π8,322-32π8 15.若直线l 的极坐标方程为ρcos ⎝⎛⎭⎪⎫θ-π4=32,曲线C :ρ=1上的点到直线l 的距离为d ,则d 的最大值为________.解析:直线的直角坐标方程为x +y -6=0,曲线C 的方程为x 2+y 2=1,为圆;d 的最大值为圆心到直线的距离加半径,即为d max =|0+0-6|2+1=32+1. 答案:32+116.在直角坐标系Oxy 中,椭圆C 的参数方程为⎩⎪⎨⎪⎧x =a cos θ,y =b sin θ(θ为参数,a >b >0).在极坐标系中,直线l 的极坐标方程为ρcos ⎝⎛⎭⎪⎫θ+π3=32,若直线l 与x 轴、y 轴的交点分别是椭圆C 的右焦点、短轴端点,则a =________.解析:椭圆C 的普通方程为x 2a 2+y 2b 2=1(a >b >0),直线l 的直角坐标方程为x -3y -3=0,令x =0,则y =-1,令y =0,则x =3,所以c =3,b =1,所以a 2=3+1=4,所以a =2. 答案:2三、解答题(本大题共6小题,共70分.解答应写出文字说明、证明过程或演算步骤)17.(本小题满分10分)在平面直角坐标系xOy 中,直线l 的参数方程为⎩⎪⎨⎪⎧x =t +1,y =2t (t 为参数),曲线C 的参数方程为⎩⎪⎨⎪⎧x =2tan 2θ,y =2tan θ(θ为参数).试求直线l 和曲线C 的普通方程,并求出它们的公共点的坐标.解:因为直线l 的参数方程为⎩⎪⎨⎪⎧x =t +1,y =2t (t 为参数),由x =t +1,得t =x -1,代入y =2t ,得到直线l 的普通方程为2x -y -2=0.同理得到曲线C 的普通方程为y 2=2x .联立方程组⎩⎪⎨⎪⎧y =2(x -1),y 2=2x ,解得公共点的坐标为(2,2),⎝ ⎛⎭⎪⎫12,-1. 18.(本小题满分12分)在极坐标系下,已知圆O :ρ=cos θ+sinθ和直线l :ρsin ⎝⎛⎭⎪⎫θ-π4=22.(1)求圆O 和直线l 的直角坐标方程;(2)当θ∈(0,π)时,求直线l 与圆O 公共点的一个极坐标. 解:(1)由ρ=cos θ+sin θ,可得ρ2=ρcos θ+ρsin θ,⎩⎪⎨⎪⎧ρ2=x 2+y 2,ρcos θ=x ,ρsin θ=y ,代入得⊙O :x 2+y 2-x -y =0, 由l :ρsin ⎝⎛⎭⎪⎫θ-π4=22,得:22ρsin θ-22ρcos θ=22,ρsin θ-ρcos θ=1,又⎩⎪⎨⎪⎧ρcos θ=x ,ρsin θ=y ,代入得:x -y +1=0.(2)由⎩⎪⎨⎪⎧x -y +1=0,x 2+y 2-x -y =0,解得⎩⎪⎨⎪⎧x =0,y =1,又⎩⎨⎧ρ2=x 2+y 2,tan θ=y x ,得ρ=1,tan θ不存在, 又因为θ∈(0,π),则θ=π2,故直线l 与圆O 公共点的一个极坐标为⎝⎛⎭⎪⎫1,π2.19.(本小题满分12分)已知曲线C 的极坐标方程是ρ=2cos θ,以极点为平面直角坐标系的原点,极轴为x 轴的正半轴,建立平面直角坐标系,直线l 的参数方程是⎩⎨⎧x =32t +m ,y =12t (t 为参数).(1)求曲线C 的直角坐标方程和直线l 的普通方程;(2)当m =2时,直线l 与曲线C 交于A 、B 两点,求|AB |的值. 解:(1)由ρ=2cos θ,得:ρ2=2ρcos θ,所以x 2+y 2=2x ,即(x -1)2+y 2=1, 所以曲线C 的直角坐标方程为(x -1)2+y 2=1. 由⎩⎨⎧x =32t +m ,y =12t 得x =3y +m ,即x -3y -m =0,所以直线l 的普通方程为x -3y -m =0. (2)设圆心到直线l 的距离为d , 由(1)可知直线l :x -3y -2=0, 曲线C :(x -1)2+y 2=1,圆C 的圆心坐标为(1,0),半径1, 则圆心到直线l 的距离为d =|1-3×0-2|1+(3)2=12. 所以|AB |=21-⎝ ⎛⎭⎪⎫122= 3.因此|AB |的值为 3.20.(本小题满分12分)在平面直角坐标系中,以坐标原点为极点,x 轴的非负半轴为极轴建立极坐标系.已知点A 的极坐标为⎝ ⎛⎭⎪⎫2,π4,直线l 的极坐标方程为ρcos ⎝⎛⎭⎪⎫θ-π4=a ,且点A 在直线l 上.(1)求a 的值及直线l 的直角坐标方程;(2)圆C 的参数方程为⎩⎪⎨⎪⎧x =1+cos α,y =sin α(α为参数),试判断直线l与圆C 的位置关系.解:(1)由点A ⎝ ⎛⎭⎪⎫2,π4在直线ρcos ⎝⎛⎭⎪⎫θ-π4=a 上,可得a =2,所以直线l 的方程可化为ρcos θ+ρsin θ=2, 从而直线l 的直角坐标方程为x +y -2=0.(2)由已知得圆C 的直角坐标方程为(x -1)2+y 2=1, 所以圆C 的圆心为(1,0),半径r =1. 因为圆心C 到直线l 的距离d =12=22<1,所以直线l 与圆C 相交.21.(本小题满分12分)在直角坐标系xOy 中,以O 为极点,x 轴正半轴为极轴建立极坐标系,圆C 的极坐标方程为ρ=22cos ⎝ ⎛⎭⎪⎫θ+π4,直线l 的参数方程为⎩⎪⎨⎪⎧x =t ,y =-1+22t (t 为参数),直线l 与圆C 交于A ,B 两点,P 是圆C 上不同于A ,B 的任意一点.(1)求圆心的极坐标;(2)求△PAB 面积的最大值.解:(1)圆C 的直角坐标方程为x 2+y 2-2x +2y =0, 即(x -1)2+(y +1)2=2.所以圆心坐标为(1,-1),圆心极坐标为⎝ ⎛⎭⎪⎫2,7π4. (2)直线l 的普通方程为22x -y -1=0,圆心到直线l 的距离d =|22+1-1|3=223, 所以|AB |=22-89=2103, 点P 到直线AB 距离的最大值为2+223=523,故最大面积S max =12×2103×523=1059. 22.(本小题满分12分)在直角坐标系xOy 中,曲线C 1的参数方程为⎩⎪⎨⎪⎧x =a cos t ,y =1+a sin t (t 为参数,a >0).在以坐标原点为极点、x 轴正半轴为极轴的极坐标系中,曲线C 2:ρ=4cos θ.(1)说明C 1是哪一种曲线,并将C 1的方程化为极坐标方程;(2)直线C 3的极坐标方程为θ=α0,其中α0满足tan α0=2,若曲线C 1与C 2的公共点都在C 3上,求a .解:(1)消去参数t 得到C 1的普通方程为x 2+(y -1)2=a 2,则C 1是以(0,1)为圆心,a 为半径的圆.将x =ρcos θ,y =ρsin θ代入C 1的普通方程中,得到C 1的极坐标方程为ρ2-2ρsin θ+1-a 2=0.(2)曲线C 1,C 2的公共点的极坐标满足方程组⎩⎪⎨⎪⎧ρ2-2ρsin θ+1-a 2=0,ρ=4cos θ.若ρ≠0,由方程组得16cos 2θ-8sin θcos θ+1-a 2=0, 由已知tan θ=2,得16cos 2θ-8sin θcos θ=0, 从而1-a 2=0,解得a =-1(舍去)或a =1.当a =1时,极点也为C 1,C 2的公共点,且在C 3上. 所以a =1.。
统考作业题目——4-46.21.在平面直角坐标系xOy 中,直线l 的参数方程为12,(2x t t y t =+⎧⎨=-⎩为参数),以原点O 为极点,以x 轴非负半轴为极轴建立极坐标系,两坐标系取相同的长度单位。
曲线C 的极坐标方程为 22cos 4sin 40ρρθρθ+++=. (1)求l 的普通方程和C 的直角坐标方程;(2)已知点M 是曲线C 上任一点,求点M 到直线l 距离的最大值.2.已知极坐标的极点在平面直角坐标系的原点处,极轴与轴的正半轴重合,且长度单位相同。
直线的极坐标方程为:,点,参数.(I )求点轨迹的直角坐标方程; (Ⅱ)求点到直线距离的最大值.1、【详解】(1)12,2x t y t=+⎧⎨=-⎩10x y ∴+-= 因为222,cos ,sin x y x y ρρθρθ=+==,所以222440x y x y ++++=,即22(1)(2)1x y +++= (2)因为圆心(1,2)--到直线10x y +-=距离为222=, 所以点M 到直线l 距离的最大值为2222 1.r +=+ 2、解:(Ⅰ)设,则,且参数,消参得:所以点的轨迹方程为(Ⅱ)因为所以所以,所以直线的直角坐标方程为法一:由(Ⅰ)点的轨迹方程为圆心为(0,2),半径为2.,点到直线距离的最大值等于圆心到直线距离与圆的半径之和, 所以点到直线距离的最大值.法二:当时,,即点到直线距离的最大值为.6.33.在平面直角坐标系xOy 中,已知曲线的参数方程为(为参数),曲线的参数方程为(,t 为参数).(1)求曲线的普通方程和曲线的极坐标方程;(2)设P 为曲线上的动点,求点P 到上点的距离的最小值,并求此时点P 的坐标.4.在直角坐标系xOy 中曲线1C 的参数方程为cos 3x y αα=⎧⎪⎨=⎪⎩ (α为参数,以坐标原点为极点,以x 轴的正半轴为极轴,建立极坐标系,曲线2C 的极坐标方程为sin 224πρθ⎛⎫+= ⎪⎝⎭(1)写出1C 的普通方程和2C 的直角坐标方程;(2)设点P 在1C 上,点Q 在2C 上,求||PQ 的最小值及此时P 的直角坐标.3、【详解】 (1)对曲线:,,∴曲线的普通方程为.对曲线消去参数可得且∴曲线的直角坐标方程为.又,从而曲线的极坐标方程为。
选修4-4 第1节[知能演练]一、选择题1.点M (ρ,θ)关于极点对称的点的坐标为( )A .(-ρ,-θ)B .(ρ,π+θ)C .(ρ,π-θ)D .(ρ,-θ)答案:B2.将曲线y =12sin3x 变为y =sin x 的伸缩变换是( )A.⎩⎪⎨⎪⎧x =3x ′y =12y ′B.⎩⎪⎨⎪⎧x ′=3x y ′=12y C.⎩⎪⎨⎪⎧x =3x ′y =2y ′D.⎩⎪⎨⎪⎧x ′=3x y ′=2y 答案:D3.设点M 的直角坐标为(-1,-3,3),则它的柱坐标是( )A .(2,π3,3)B .(2,2π3,3)C .(2,4π3,3)D .(2,5π3,3)解析:ρ=(-1)2+(-3)2=2, tan θ=3,∴θ=4π3,z =3,∴选C.答案:C4.在极坐标系中,与圆ρ=4sin θ相切的一条直线方程为( )A .ρsin θ=2B .ρcos θ=2C .ρcos θ=4D .ρcos θ=-4解析:圆ρ=4sin θ的圆心为(2,π2),半径r =2,对于选项A ,方程ρsin θ=2对应的直线(y =2)与圆相交;对于选项B ,方程ρcos θ=2对应的直线(x =2)与圆相切;选项C ,D 对应的直线与圆都相离.答案:B 二、填空题5.已知点M 的极坐标为(6,11π6),则点M 关于y 轴对称的点的直角坐标为________. 解析:∵点M 的极坐标为(6,11π6),∴x =6cos 11π6=6cos π6=6×32=33,y =6sin 11π6=6sin(-π6)=-6×12=-3,∴点M 的直角坐标为(33,-3),∴点M 关于y 轴对称的点的直角坐标为(-33,-3). 答案:(-33,-3)6.在极坐标系中,点P (2,3π2)到直线l :3ρcos θ-4ρsin θ=3的距离为________.解析:在相应直角坐标系中,P (0,-2),直线l 方程:3x -4y -3=0,所以P 到l 的距离:d =|3×0-4×(-2)-3|32+42=1.答案:1 三、解答题7.说出由曲线y =tan x 得到曲线y =3tan2x 的变换过程,并求满足其图形变换的伸缩变换.解:y =tan x 的纵坐标不变,横坐标缩短为原来的12,得到y =tan2x ,再将其纵坐标伸长为原来的3倍,横坐标不变,得到曲线y =3tan2x .设y ′=3tan2x ′,变换为⎩⎪⎨⎪⎧x ′=λ·x λ>0y ′=μ·y μ>0,将其代入y ′=3tan2x ′,得μy =3tan2λx与y =tan x 比较,可得⎩⎪⎨⎪⎧ μ=3λ=12,∴⎩⎪⎨⎪⎧x ′=12xy ′=3y.8.从极点O 作直线与另一直线l :ρcos θ=4相交于点M ,在OM 上取一点P ,使OM ·OP =12.(1)求点P 的轨迹方程;(2)设R 为l 上的任意一点,试求RP 的最小值. 解:(1)设动点P 的坐标为(ρ,θ), M 的坐标为(ρ0,θ),则ρρ0=12,∵ρ0cos θ=4,∴ρ=3cos θ即为所求的轨迹方程.(2)由(1)知P 的轨迹是以(32,0)为圆心,半径为32的圆,易得RP 的最小值为1.[高考·模拟·预测]1.极坐标方程ρ=cos θ化为直角坐标方程为( )A .(x +12)2+y 2=14B .x 2+(y +12)2=14C .x 2+(y -12)2=14D .(x -12)2+y 2=14解析:由ρ=cos θ得ρ2=ρcos θ,∴x 2+y 2=x .选D. 答案:D2.在极坐标系中,直线ρsin(θ+π4)=2被圆ρ=4截得的弦长为________.解析:直线ρsin(θ+π4)=2可化为x +y -22=0,圆ρ=4可化为x 2+y 2=16,由圆中的弦长公式得2r 2-d 2=242-(222)2=4 3.答案:4 33.在极坐标系中,点(1,0)到直线ρ(cos θ+sin θ)=2的距离为________.解析:直线ρ(cos θ+sin θ)=2可化为x +y -2=0,故点(1,0)到直线距离d =|1+0-2|2=22.答案:224.两直线ρsin(θ+π4)=2008,ρsin(θ-π4)=2009的位置关系是________.(判断垂直或平行或斜交)解析:两直线方程可化为x +y =20082,y -x = 20092,故两直线垂直. 答案:垂直5.圆O 1和圆O 2的极坐标方程分别为ρ=4cos θ,ρ=-sin θ. (1)把圆O 1和圆O 2的极坐标方程化为直角坐标方程. (2)求经过圆O 1,圆O 2两个交点的直线的直角坐标方程.解:以极点为原点,极轴为x 轴正半轴,建立平面直角坐标系,两坐标系中取相同的长度单位.(1)x =ρcos θ,y =ρsin θ,由ρ=4cos θ得ρ2=4ρcos θ.所以x 2+y 2=4x .即x 2+y 2-4x =0为圆O 1的直角坐标方程. 同理,x 2+y 2+y =0为圆O 2的直角坐标方程.(2)由⎩⎪⎨⎪⎧x 2+y 2-4x =0,x 2+y 2+y =0,相减得过交点的直线的直角坐标方程为4x +y =0.6.求经过极点O (0,0),A (6,π2),B (62,9π4)三点的圆的极坐标方程.解:将点的极坐标化为直角坐标,点O ,A ,B 的直角坐标分别为(0,0),(0,6),(6,6),故△OAB 是以OB 为斜边的等腰直角三角形,圆心为(3,3),半径为32,圆的直角坐标方程为(x -3)2+(y -3)2=18,即x 2+y 2-6x -6y =0,将x =ρcos θ,y =ρsin θ代入上述方程,得ρ2-6ρ(cos θ+sin θ)=0,即ρ=62cos(θ-π4).。
第一讲 测试题①一、选择题1.将点的直角坐标(-2,23)化成极坐标得( ).A .(4,32π)B .(-4,32π)C .(-4,3π)D .(4,3π) 2.极坐标方程 ρ cos θ=sin2θ( ρ≥0)表示的曲线是( ). A .一个圆 B .两条射线或一个圆C .两条直线D .一条射线或一个圆3.极坐标方程θρcos +12= 化为普通方程是( ).A .y 2=4(x -1)B .y 2=4(1-x )C .y 2=2(x -1)D .y 2=2(1-x )4.点P 在曲线 ρcos θ +2ρ sin θ =3上,其中0≤θ ≤4π,ρ>0,则点P 的轨迹是( ).A .直线x +2y -3=0B .以(3,0)为端点的射线C .圆(x -2)2+y =1D .以(1,1),(3,0)为端点的线段5.设点P 在曲线 ρ sin θ =2上,点Q 在曲线 ρ=-2cos θ上,则|PQ |的最小值为A .2B .1C .3D .06.在满足极坐标和直角坐标互的化条件下,极坐标方程θθρ222sin 4+ cos 312=经过直角坐标系下的伸缩变换⎪⎩⎪⎨⎧''y =y x = x 3321后,得到的曲线是( ). A .直线 B .椭圆 C . 双曲线D . 圆7.在极坐标系中,直线2= 4π+ sin )(θρ,被圆 ρ=3截得的弦长为( ). A .22B .2C .52D .328.ρ=2(cos θ -sin θ )(ρ>0)的圆心极坐标为( ). A .(-1,4π3) B .(1,4π7) C .(2,4π)D .(1,4π5) 9.极坐标方程为lg ρ=1+lg cos θ,则曲线上的点(ρ,θ)的轨迹是( ). A .以点(5,0)为圆心,5为半径的圆B .以点(5,0)为圆心,5为半径的圆,除去极点C .以点(5,0)为圆心,5为半径的上半圆D .以点(5,0)为圆心,5为半径的右半圆10.方程θθρsin + cos 11= -表示的曲线是( ).A . 圆B .椭圆C .双曲线D . 抛物线二、填空题11.在极坐标系中,以(a ,2π)为圆心,以a 为半径的圆的极坐标方程为 .12.极坐标方程 ρ2cos θ-ρ=0表示的图形是 . 13.过点(2,4π)且与极轴平行的直线的极坐标方程是 . 14.曲线 ρ=8sin θ 和 ρ=-8cos θ(ρ>0)的交点的极坐标是 .15.已知曲线C 1,C 2的极坐标方程分别为ρ cos θ =3,ρ=4cos θ (其中0≤θ<2π),则C 1,C 2交点的极坐标为 . 16.P 是圆 ρ=2R cos θ上的动点,延长OP 到Q ,使|PQ |=2|OP |,则Q 点的轨迹方程是 .第一讲 测试题②一.选择题1.已知⎪⎭⎫ ⎝⎛-3,5πM ,下列所给出的不能表示点M 的坐标的是( )A .⎪⎭⎫ ⎝⎛-3,5πB .⎪⎭⎫ ⎝⎛34,5πC .⎪⎭⎫ ⎝⎛-32,5πD .⎪⎭⎫ ⎝⎛--35,5π2.点()3,1-P ,则它的极坐标是( )A .⎪⎭⎫⎝⎛3,2π B .⎪⎭⎫ ⎝⎛34,2π C .⎪⎭⎫ ⎝⎛-3,2π D .⎪⎭⎫ ⎝⎛-34,2π3.极坐标方程⎪⎭⎫⎝⎛-=θπρ4cos 表示的曲线是( )A .双曲线B .椭圆C .抛物线D .圆 4.圆)sin (cos 2θθρ+=的圆心坐标是A .⎪⎭⎫ ⎝⎛4,1πB .⎪⎭⎫ ⎝⎛4,21πC .⎪⎭⎫ ⎝⎛4,2πD .⎪⎭⎫⎝⎛4,2π5.在极坐标系中,与圆θρsin 4=相切的一条直线方程为A .2sin =θρB .2cos =θρC .4cos =θρD .4cos -=θρ6、 已知点()0,0,43,2,2,2O B A ⎪⎭⎫ ⎝⎛⎪⎭⎫ ⎝⎛--ππ则ABO ∆为A 、正三角形B 、直角三角形C 、锐角等腰三角形D 、直角等腰三角形 7、)0(4≤=ρπθ表示的图形是A .一条射线B .一条直线C .一条线段D .圆8、直线αθ=与1)cos(=-αθρ的位置关系是 A 、平行 B 、垂直 C 、相交不垂直 D 、与有关,不确定 9.两圆θρcos 2=,θρsin 2=的公共部分面积是 A.214-πB.2-πC.12-πD.2π10.极坐标方程cos 2sin 2ρθθ=表示的曲线为( )A .一条射线和一个圆B .两条直线C .一条直线和一个圆D .一个圆二.填空题(每题5分共25分)11、曲线的θθρcos 3sin -=直角坐标方程为_ 12.极坐标方程52sin 42=θρ化为直角坐标方程是13.圆心为⎪⎭⎫⎝⎛6,3πC ,半径为3的圆的极坐标方程为14.已知直线的极坐标方程为22)4sin(=+πθρ,则极点到直线的距离是 15、在极坐标系中,点P ⎪⎭⎫⎝⎛611,2π到直线1)6sin(=-πθρ的距离等于____________。
高三选修4-1,4-4,4-5单元练习题一、选择题(每小题4分,共32分)1.直线:l 02sin 20(5cos 20x t t y t ⎧=-+⎨=+⎩为参数)的倾斜角为( )A20B70C 0160D 01202.参数方程是2232(05)1x t t y t ⎧=+≤≤⎨=-⎩表示的曲线是( )A 线段B 双曲线C 圆弧D 射线 3.实数变量22.1,(,)m n m n m n m n +=+满足则坐标表示的点的轨迹是( )A 抛物线B 椭圆C 双曲线的一支D 抛物线的一部分4.圆心在(3,)π,半径为3的圆的极坐标方程是( ) A6sin ρθ= B6sin ρθ=- C6cos ρθ= D6cos ρθ=-5.极坐标方程sin 2cos ρθθ=+所表示的曲线是( )A 直线B 圆C 双曲线D 抛物线6.直线2360x y +-=向着x 轴伸缩,伸缩变换为14,则伸缩后的直线的斜率为( ) A83- B32-C23-D16-7.若,,p q m 是三个正数,且100q <,现把m 增加%p ,再把所得的结果减少%q ,这样所得的数仍大于m ,那么必须且只需( ) A100100q p q>- B100100q p q>+ C100q p q>- Dp q>8.设命题:p 函数()(0)a f x a x=>在区间(1,2)上单调递增;命题:q 不等式124x x a--+<对任意x R ∈都成立,若p q 是真命题,p q 是假命题,则实数a 的取值范围是( ) A143<<aB43>a C430<<a D41>a二、填空题(每小题4分,共24分)9.设点M 的直角坐标为(1,2)--,则它的球坐标为 ; 10.直线3x-4y+5=0经过变换⎩⎨⎧='='yy xx 23后,坐标没变化的点为 ;11.把直角坐标方程222(0)y px p p =+>化为极坐标方程为 ; 12.已知直线⎩⎨⎧+=--=ty t x 4221(t 为参数)与曲线22(2)1y x --=相交于AB ,点M (-1,2)到弦AB 的中点的距离为 ; 13.对任意实数x ,不等式kxx >-1恒成立,则k 的取值范围是 ;14.已知,a b 是关于x 的方程230x m x m +++=的两个实根,则22a b +的最小值是 。
高中数学人教版选修4-4 经典测试题5.若直线的参数方程为x12t).y2(t为参数 ),则直线的斜率为(3t班级:姓名:A.2B.2C.3D.3 3322一、选择题( 5*12=60)6.已知过曲线x3cos为参数,0上一点 P,原点为 O,PO的倾y4sinx3t 斜角为,则 P 点坐标是()1.直线,( t 为参数)上与点P(3,4)的距离等于 2 的点的坐标是()4y4tA、(3,4)B 、32,2 2 C 、(-3 ,-4 ) D 、121 225,A.(4,3)B. ( 4,5)或 (0,1)5C.(2,5)D. ( 4,3) 或 ( 2,5)7.曲线x1cos(为参数)的对称中心()y2sin2.圆2(cos sin) 的圆心坐标是A、在直线 y=2x 上B、在直线 y=-2x 上A.1,B.1,C.2,D.2,C、在直线 y=x-1 上D、在直线 y=x+1 上424443.(0) 表示的图形是()8.直线的参数方程为x t sin 50 001(t 为参数 ) ,则直线的倾斜为4y t cos50A.一条射线B.一条直线 C .一条线段D.圆A.400B. 500C.1400D.13004.已知直线x2t(t 为参数)与曲线 C :24cos30 交于 A, B 两点,9.曲线的极坐标方程4sin化为直角坐标为()y1t则 AB()A.1 B .1C.2 D .2 A. x2( y2) 24 B.x 2( y 2) 24 22C. ( x2) 2y 24D.( x 2) 2y 2410.曲线的参数方程为x 3t 22(t 是参数 ) ,则曲线是( )y t 2 1A 、线段B 、直线C 、圆D 、射线11.在极坐标系中,定点 A 1, π,动点 B 在直线cossin0 上运动,当2线段 AB 最短时,动点B 的极坐标是2 π2 3π3 π3 3π A . (, )B . (, )C . ( , )D . (, )242 4 2 42412.在平面直角坐标系 xOy 中,圆 C 的参数方程为x a cos( 为参数) .y sin以坐标原点为极点, x 轴的非负半轴为极轴建立极坐标系, 直线 l 的极坐标方 程为 sin() 2. 若直线 l 与圆 C 相切,则实数 a 的取值个数为()42A .0二、填空题( 5*4=20)13.(坐标系与参数方程选做题) 极坐标系下,直线 cos()2 与圆2 4的公共点个数是 ________;14.在极坐标系中,点 A(2, ) 关于直线 l : cos1 的对称点的一个极坐标为2_____.15.已知圆 M :x 2+y 2-2x-4y+1=0 ,则圆心 M 到直线x4t 3,(t 为参数)的y 3t 1,距离为.16.(选修 4-4 :坐标系与参数方程)曲线 C :x 2 2cos(R ) ,极坐标系(与y 2sin直角坐标系 xOy 取相同的单位长度,以原点O 为极点, x 轴正半轴为极轴)中,直线(R ) 被曲线 C 截得的线段长为 .6三、解答题17.(本小题满分 10 分)已知在平面直角坐标系 xOy 中,直线 l 的参数方程是x2 t2( t 是参数),以原点 O 为极点, x 轴正半轴为极轴建立极坐标y2 2t 42系,曲线 C 的极坐标方程2cos() .4(Ⅰ)判断直线 l 与曲线 C 的位置关系;(Ⅱ)设 M 为曲线 C 上任意一点,求 x y 的取值范围.18.(本小题满分 12 分)在直角坐标系 xOy 中,以 O 为极点, x 轴正半轴为极轴建立极坐标系,曲线 C 1 的极坐标方程为 ρsin (θ+ )=2a ,曲线42C2的参数方程为x 1 cos(φ 为参数, 0≤φ≤π).y 1 sin(1)求 C1的直角坐标方程;(2)当 C1与 C2有两个不同公共点时,求实数 a 的取值范围.19.(本小题满分 12 分)已知曲线C :x2y21,直线l :x2t(t 为参数).49y22t(1)写出曲线 C 的参数方程,直线l的普通方程;(2)过曲线 C 上任意一点 P 作与l夹角为 30°的直线,交l于点 A,求 |PA|的最大值与最小值.20.(本小题满分 12 分)在直角坐标系xOy中,直线C1的参数方程为x1ty2(tt 为参数),以该直角坐标系的原点O 为极点, x 轴的正半轴为极轴的极坐标系下,圆 C 2的方程为 2 cos 2 3 sin.与曲线 C1交于(不包括极点O)三点A, B, C(1)求证:OB OC 2 OA ;(2)当时,,C两点在曲线 C 2上,求 m 与的值B1222.(本小题满分 12 分)在平面直角坐标系x y 中,直线l的x 3 2 t2( t 为参数).在以原点为极点,x轴正半轴为极轴的极坐y5 2 t2圆 C 的方程为 2 5sin.(1)写出直线l的普通方程和圆C的直角坐标方程;(2)若点坐标为3, 5,圆C与直线l交于,求的值.(Ⅰ)求直线 C1的普通方程和圆 C 2的圆心的极坐标;(Ⅱ)设直线 C1和圆 C 2的交点为 A 、 B ,求弦AB的长.21.(本小题满分 12 分)极坐标系与直角坐标系xoy有相同的长度单位,以原点为极点,以 x 轴正半轴为极轴,曲线 C的极坐标方程为4cos,曲线C21的参数方程为x m t cos( t 为参数, 0),射线,,4y t sin4参考答案1.D【解析】x 3t试题分析:设直线,(t为参数)上与点P(3,4)的距离等于2y 4t的点的坐标是(3 t,4 t) ,则有(3 t 3)2(4 t 4)2 2 即t21t 1 ,所以所求点的坐标为( 4,3) 或(2,5) .故选 D.考点:两点间的距离公式及直线的参数方程.2.A【解析】试题分析:2(cos sin )2 2 (cos sin ) x2y2 2 x 2 yx2y22x2y 0 ,圆心为 2 ,2,化为极坐标为 1,224考点: 1.直角坐标与极坐标的转化;2.圆的方程3.A【解析】试题分析:,表示一和三象限的角平分线y x ,0 表示第三4象限的角平分线.y x, x0考点:极坐标与直角坐标的互化4.D【解析】试题分析:将直线化为普通方程为x y 1 0 ,将曲线C化为直角坐标方程为 x2y22y2 1 ,所以曲线C为以2,0为圆心, 4x 3 0 ,即 x 2半径 r 1的圆.圆心根据2,0 到直线x201 2 .y 1 0 的距离d212122d2AB2 , 解得AB 2 .故D正确.r2考点: 1 参数方程 , 极坐标方程与直角坐标方程间的互化 ;2 直线与圆的相交弦.5.B【解析】试题分析:由直线的参数方程知直线过定点(1,2 ),取 t=1 得直线过2(3,-1 ),由斜率公式得直线的斜率为 3 ,选B考点:直线的参数方程与直线的斜率公式.6.D【解析】试题分析:直线 PO 的倾斜角为,则可设 P(x0 , y0 ) ,4x 3 cos为参数,x2y 21y 4 sin0916代入点 P可求得结果,选B。
极坐标(填空题:较易)1、(坐标系与参数方程选做题)在极坐标系中,直线被圆截得的弦长为 .2、在极坐标系中,设曲线和直线交于、两点,则__________.3、在平面直角坐标系中,点在角的终边上,且,则点的坐标为__________.4、将点的极坐标化为直角坐标为___________.5、极坐标系中,两点与间的距离为________.6、一直曲线C的参数方程为(t为参数)C在点(1,1)处的切线为l,以坐标原点为极点,x 轴的正半轴为极轴建立极坐标系,则l的极坐标方程为_________。
7、在极坐标系中,点在圆上,点的坐标为,则的最大值为__________.8、在极坐标系中,直线与圆的公共点的个数为___________.9、在极坐标系中,点关于直线ρcos θ=1的对称点的极坐标为________.10、点的直角坐标为,则点的极坐标为__________________.11、在极坐标系中,以为圆心,为半径的圆的极坐标方程为 .12、直角坐标的极坐标为.13、在极坐标系中,曲线的点到点的最小距离等于.14、在极坐标系中,圆心在()且过极点的圆的方程为.15、在极坐标系中,圆心在()且过极点的圆的方程为.16、点的极坐标化成直角坐标的结果是 .17、在极坐标系中,点,动点满足,则动点轨迹的极坐标方程为.18、已知圆的直角坐标方程为,则圆的极坐标方程为____________.19、在极坐标系中,经过点且与极轴垂直的直线的极坐标方程为.20、(坐标系与参数方程选做题)极坐标系下,直线与圆的公共点个数是________;21、在极坐标系中,点关于直线的对称点的一个极坐标为_____.22、已知圆C的参数方程为为参数),直线的极坐标方程为,则直线与圆C的交点的直角坐标为.23、极坐标系中,两点的距离AB= .24、(5分)(2015•广东)已知直线l的极坐标方程为2ρsin(θ﹣)=,点A的极坐标为A(2,),则点A到直线l的距离为.25、已知直线l的极坐标方程为,则直线l的斜率是___________.26、(选修4-4:坐标系与参数方程)已知直线与曲线(为参数),有且仅有一个公共点,则正实数的值为.27、(坐标系与参数方程选做题)在极坐标系中,圆的圆心到直线的距离是 .28、在极坐标系中,点,在以极点为坐标原点,极轴所在直线为轴的平面直角坐标系中,点的坐标为__________.29、在极坐标系中,点到直线的距离是.30、在极坐标系中,直线的方程为,则点到直线的距离为 .31、在极坐标系中,直线的方程为,则点到直线的距离为 .32、在极坐标系中,圆C的方程为ρ=1,直线l的方程为ρsin(θ+)=,则圆心C到直线l的距离为_________.33、极坐标系中,圆:的圆心到直线的距离是_______________.34、在极坐标系中,点到直线的距离是35、点P的极坐标为()与其对应的直角坐标是_________.36、在极坐标系中,点关于直线的对称点的极坐标为 .37、已知在平面直角坐标系中圆的参数方程为:,(为参数),以为极轴建立极坐标系,直线极坐标方程为:,则圆截直线所得弦长为 .38、(坐标系与参数方程选做题)在极坐标系中,圆的圆心到直线的距离是 .39、把极坐标系中的方程化为直角坐标形式下的方程为40、①在极坐标系中,点A(2,)到直线:的距离为②(不等式选讲选做题) 设函数f(x)=|x-2|+x,g(x)=|x+1|,则g(x)<f(x)成立时x的取值范围41、在直角坐标系中,圆的参数方程为(为参数);在极坐标系(与直角坐标系xoy取相同的长度单位,且以原点为极点,以轴的正半轴为极轴)中,圆的方程为,则与的位置关系是______(在“相交、相离、内切、外切、内含”中选择一个你认为正确的填上).42、.已知两直线的极坐标方程和,则两直线交点的极坐标为________.43、(坐标系与参数方程选做题)设点的极坐标为,直线过点且与极轴所成的角为,则直线的极坐标方程为.44、在平面直角坐标系xoy中,已知点P是函数的图象上的动点,该图象在P处的切线交y轴于点M,过点P作的垂线交y轴于点N,设线段MN的中点的纵坐标为t,则t的最大值是_____________45、一动点M到x轴的距离比到点F(0,2)的距离小2,则此动点M的轨迹方程是46、把极坐标方程ρcos=1化为直角坐标方程是________47、在极坐标系中,点(1,0)到直线ρ(cos θ+sin θ)=2的距离为________48、(坐标系与参数方程选做题)在极坐标系中,若过点且与极轴垂直的直线交曲线于A、B两点,则______ _.49、把圆的普通方程x2+(y-2)2=4化为极坐标方程为____________.50、在极坐标系中,已知圆,则圆C的半径为。
最新人教版高中数学选修4-4测试题全套及答案第一章 测试题一、选择题(本大题共10小题,每小题5分,共50分,在每小题给出的四小选项中,只有一项是符合题目要求的).1.原点与极点重合,x 轴正半轴与极轴重合,则点(-2,-23)的极坐标是( ) A .⎝⎛⎭⎫4,π3 B .⎝⎛⎭⎫4,4π3 C .⎝⎛⎭⎫-4,-2π3 D .⎝⎛⎭⎫4,2π3 解析: 由直角坐标与极坐标互化公式: ρ2=x 2+y 2,tan θ=yx(x ≠0).把点(-2,-23)代入即可得ρ=4,tan θ=3, 因为点(-2,-23)在第三象限,所以θ=4π3.答案: B2.在极坐标系中有如下三个结论:①点P 在曲线C 上,则点P 的极坐标满足曲线C 的极坐标方程;②tan θ=1与θ=π4表示同一条曲线;③ρ=3与ρ=-3表示同一条曲线.在这三个结论中正确的是( )A .①③B .①C .②③D .③解析: 在直角坐标系内,曲线上每一点的坐标一定适合它的方程,但在极坐标系内,曲线上一点的所有坐标不一定都适合方程,故①是错误的;tan θ=1不仅表示θ=π4这条射线,还表示θ=5π4这条射线,故②亦不对;ρ=3与ρ=-3差别仅在于方向不同,但都表示一个半径为3的圆,故③正确.答案: D3.可以将椭圆x 210+y 28=1变为圆x 2+y 2=4的伸缩变换( )A .⎩⎨⎧5x ′=2x 2y ′=yB .⎩⎨⎧ 2x ′=5x y ′=2yC .⎩⎨⎧2x ′=x5y ′=2xD .⎩⎨⎧5x ′=2x2y ′=y解析: 方法一:将椭圆方程x 210+y 28=1化为2x 25+y 22=4,∴⎝ ⎛⎭⎪⎫2x 52+⎝⎛⎭⎫y 22=4, 令⎩⎪⎨⎪⎧x ′=25x ,y ′=y2,得x ′2+y ′2=4,即x 2+y 2=4,∴伸缩变换⎩⎨⎧5x ′=2x ,2y ′=y为所求.方法二:将x 2+y 2=4改写为x ′2+y ′2=4,设满足题意的伸缩变换为⎩⎪⎨⎪⎧x ′=λx (λ>0),y ′=μy (μ>0),代入x ′2+y ′2=4得λ2x 2+μ2y 2=4, 即λ2x 24+μ2y 24=1,与椭圆x 210+y 28=1比较系数得⎩⎨⎧ λ24=110,μ24=18,解得⎩⎪⎨⎪⎧ λ=25,μ=12,∴伸缩变换为⎩⎪⎨⎪⎧x ′=25x ,y ′=12y ,即⎩⎨⎧5x ′=2x ,2y ′=y .答案: D4.在极坐标方程中,曲线C 的方程是ρ=4sin θ,过点⎝⎛⎭⎫4,π6作曲线C 的切线,则切线长为( )A .4B .7C .22D .23解析: ρ=4sin θ化为普通方程为x 2+(y -2)2=4,点⎝⎛⎭⎫4,π6化为直角坐标为(23,2),切线长、圆心到定点的距离及半径构成直角三角形,由勾股定理:切线长为(23)2+(2-2)2-22=2 2.答案: C5.在极坐标中,与圆ρ=4sin θ相切的一条直线方程为( ) A .ρsin θ=2 B .ρcos θ=2 C .ρcos θ=4D .ρcos θ=-4解析: 圆ρ=4sin θ的圆心为⎝⎛⎭⎫2,π2,半径为r =2, 对于选项A ,方程ρsin θ=2对应的直线y =2,与圆相交; 对于选项B ,方程ρcos θ=2对应的直线x =2,与圆相切; 选项C ,D 对应的直线与圆相离. 答案: B6.圆ρ=2(cos θ+sin θ)的圆心坐标是( ) A .⎝⎛⎭⎫1,π4 B .⎝⎛⎭⎫12,π4 C .⎝⎛⎭⎫2,π4 D .⎝⎛⎭⎫2,π4 解析: 将圆的极坐标方程化成直角坐标方程⎝⎛⎭⎫x -222+⎝⎛⎭⎫y -222=1, 圆心直角坐标为⎝⎛⎭⎫22,22,故其极坐标为⎝⎛⎭⎫1,π4. 答案: A7.极坐标系内曲线ρ=2cos θ上的动点P 与定点Q ⎝⎛⎭⎫1,π2的最近距离等于( ) A .2-1 B .5-1 C .1D .2解析: 将曲线ρ=2cos θ化成直角坐标方程为(x -1)2+y 2=1,点Q 的直角坐标为(0,1),则P 到Q 的最短距离为点Q 与圆心的距离减去半径,即2-1.答案: A8.已知点P 的坐标为(1,π),则过点P 且垂直极轴的直线方程是( ) A .ρ=1 B .ρ=cos θ C .ρ=-1cos θD .ρ=1cos θ解析: 由点P 的坐标可知,过点P 且垂直极轴的直线方程在直角坐标系中为x =-1,即ρcos θ=-1,故选C .答案: C9.圆ρ=r 与圆ρ=-2r sin ⎝⎛⎭⎫θ+π4(r >0)的公共弦所在直线的方程为( ) A .2ρ(sin θ+cos θ)=rB .2ρ(sin θ+cos θ)=-rC .2ρ(sin θ+cos θ)=rD .2ρ(sin θ+cos θ)=-r解析: 圆ρ=r 的直角坐标方程为x 2+y 2=r 2① 圆ρ=-2r sin ⎝⎛⎭⎫θ+π4 =-2r ⎝⎛⎭⎫sin θcos π4+cos θsin π4=-2r (sin θ+cos θ). 两边同乘以ρ得ρ2=-2r (ρsin θ+ρcos θ), ∵x =ρcos θ,y =ρsin θ,ρ2=x 2+y 2, ∴x 2+y 2+2rx +2ry =0②①-②整理得2(x +y )=-r ,即为两圆公共弦所在直线的普通方程.再将直线2(x +y )=-r 化为极坐标方程为2ρ(cos θ+sin θ)=-r .答案: D10.已知曲线C 1,C 2的极坐标方程分别为ρcos θ=3,ρ=4cos θ(ρ≥0,0≤θ<π2),则曲线C 1与C 2交点的极坐标为( )A .⎝⎛⎭⎫23,56π B .⎝⎛⎭⎫23,π6 C .⎝⎛⎭⎫23,7π6 D .⎝⎛⎭⎫23,116π 解析: ∵⎩⎪⎨⎪⎧ρcos θ=3(①),ρ=4cos θ(②),∴4cos 2 θ=3.∴cos θ=±32. ∵0≤θ<π2,∴cos θ=32,∴θ=π6.将θ=π6代入②,得ρ=23,∴C 1与C 2交点的极坐标为⎝⎛⎭⎫23,π6. 答案: B二、填空题(每小题5分,共20分.把正确答案填在题中的横线上)11.在极坐标系中,直线l 的方程为ρsin θ=3,则点⎝⎛⎭⎫2,π6到直线l 的距离为________. 解析: 直线l 的极坐标方程为ρsin θ=3,化为直线方程得y =3; 点⎝⎛⎭⎫2,π6化为直角坐标即为(3,1),于是点⎝⎛⎭⎫2,π6到直线l 的距离为2.答案: 212.在极坐标系中,由三条直线θ=0,θ=π3,ρcos θ+ρsin θ=1围成图形的面积是________.解析: 三条直线在直角坐标系下的方程依次为y =0,y =3x ,x +y =1.如图可知,S △POQ =12×|OQ |×|y p |=12×1×33+1=3-34. 答案:3-3413.已知极坐标系中,极点为O ,将点A ⎝⎛⎭⎫4,π6绕极点逆时针旋转π4得到点B ,且|OA |=|OB |,则点B 的直角坐标________.解析: 依题意,点B 的极坐标为⎝⎛⎭⎫4,5π12, ∵cos5π12=cos ⎝⎛⎭⎫π4+π6 =cos π4cos π6-sin π4sin π6=22×32-22×12 =6-24, sin5π12=sin ⎝⎛⎭⎫π4+π6 =sin π4cos π6+cos π4sin π6=22×32+22×12=6+24, ∴x =ρcos θ=4×6-24=6-2, y =ρsin θ=4×6+24=6+ 2. ∴点B 的直角坐标为(6-2,6+2). 答案: (6-2,6+2)14.从极点作圆ρ=2a cos θ的弦,则各条弦中点的轨迹方程为________.解析: 数形结合,易知所求轨迹是以⎝⎛⎭⎫a 2,0为圆心,a2为半径的圆.求得方程是ρ=a cos θ⎝⎛⎭⎫-π2≤θ≤π2. 答案: ρ=a cos θ⎝⎛⎭⎫-π2≤θ≤π2 三、解答题(本大题共4小题,共50分,解答应写出文字说明、证明过程或演算步骤) 15.(12分)设极点O 到直线l 的距离为d ,由点O 向直线l 作垂线,由极轴到垂线OA 的角度为α(如图所示).求直线l 的极坐标方程.解析: 在直线l 上任取一点M (ρ,θ). 在直角三角形OMA 中, 由三角知识得ρcos(α-θ)=d ,即ρ=dcos (α-θ).这就是直线l 的极坐标方程.16.(12分)已知⊙C :ρ=cos θ+sin θ,直线l :ρ=22cos ⎝⎛⎭⎫θ+π4.求⊙C 上点到直线l 距离的最小值.解析: ⊙C 的直角坐标方程是x 2+y 2-x -y =0, 即⎝⎛⎭⎫x -122+⎝⎛⎭⎫y -122=12. 又直线l 的极坐标方程为ρ(cos θ-sin θ)=4, 所以直线l 的直角坐标方程为x -y -4=0.设M ⎝⎛⎭⎫12+22cos θ,12+22sin θ为⊙C 上任意一点,M 点到直线l 的距离d =⎪⎪⎪⎪12+22cos θ-⎝⎛⎭⎫12+22sin θ-42=4-cos ⎝⎛⎭⎫θ+π42,当θ=7π4时,d min =32=322.17.(12分)在直角坐标系xOy 中,以O 为极点,x 轴正半轴为极轴建立极坐标系.曲线C 的极坐标方程为ρcos ⎝⎛⎭⎫θ-π3=1,M ,N 分别为C 与x 轴,y 轴的交点. (1)写出C 的直角坐标方程,并求M ,N 的极坐标; (2)设MN 的中点为P ,求直线OP 的极坐标方程. 解析: (1)由ρcos ⎝⎛⎭⎫θ-π3=1,得ρ⎝⎛⎭⎫12cos θ+32sin θ=1.从而C 的直角坐标方程为12x +32y =1,即x +3y =2.当θ=0时,ρ=2,得M (2,0); 当θ=π2时,ρ=233,得N ⎝⎛⎭⎫233,π2.(2)M 点的直角坐标为(2,0),N 点的直角坐标为⎝⎛⎭⎫0,233.所以P 点的直角坐标为⎝⎛⎭⎫1,33, 则P 点的极坐标为⎝⎛⎭⎫233,π6.所以直线OP 的极坐标方程为θ=π6,ρ∈R .18.(14分)△ABC 底边BC =10,∠A =12∠B ,以B 为极点,BC 为极轴,求顶点A 的轨迹的极坐标方程.解析: 如图:令A (ρ,θ), △ABC 内,设∠B =θ,∠A =θ2,又|BC |=10,|AB |=ρ. 于是由正弦定理, 得ρsin ⎝⎛⎭⎫π-3θ2=10sin θ2, 化简,得A 点轨迹的极坐标方程为 ρ=10+20cos θ.第二章 测试题一、选择题(本大题共10小题,每小题5分,共50分,在每小题给出的四个选项中,只有一项是符合题目要求的)1.极坐标方程ρ=cos θ和参数方程⎩⎪⎨⎪⎧x =-1-ty =2+3t (t 为参数)所表示的图形分别是( )A .圆、直线B .直线、圆C .圆、圆D .直线、直线解析: ∵ρ=cos θ, ∴x 2+y 2=x ,∴表示一个圆.由⎩⎪⎨⎪⎧x =-1-ty =2+3t得到直线3x +y =-1. 答案: A2.直线⎩⎪⎨⎪⎧x =-2+t ,y =1-t (t 为参数)被圆(x -3)2+(y +1)2=25所截得的弦长为( )A .72B .4014D .93+43解析: ⎩⎪⎨⎪⎧x =-2+t ,y =1-t⇒⎩⎨⎧x =-2+22·2t ,y =1-22·2t ,令t ′=2t ,把⎩⎨⎧x =-2+22t ′,y =1-22t ′代入(x -3)2+(y +1)2=25. 整理,得t ′2-72t ′+4=0,|t ′1-t ′2|=(t ′1+t ′2)2-4t ′1t ′2=82. 答案: C3.点集M =⎩⎨⎧⎭⎬⎫(x ,y )|⎩⎪⎨⎪⎧x =3cos θy =3sin θ(θ是参数,0<θ<π),N ={(x ,y )|y =x +b },若M ∩N ≠∅,则b 满足( )A .-32≤b ≤32B .-3<b <32C .0≤b ≤32D .-3<b ≤32解析: 用数形结合法解. 答案: D4.参数方程⎩⎨⎧x =1t,y =1tt 2-1(t 为参数)所表示的曲线是( )解析: 由y =1t t 2-1,得t 2y 2=t 2-1,把t =1x 代入,得x 2+y 2=1.由于t 2-1≥0,得t ≥1或t ≤-1.当t ≥1时,得0<x ≤1且y ≥0; 当t ≤-1时,得-1≤x <0且y <0. 答案: D5.设r >0,那么直线x cos θ+y sin θ=r (θ为参数)与圆⎩⎪⎨⎪⎧x =r cos φ,y =r sin φ(φ是参数)的位置关系是( )A .相交B .相切C .相离D .由r 的大小而定解析: 圆心到直线的距离 d =|0+0-r |cos 2θ+sin 2θ=|r |=r ,故相切.答案: B6.参数方程⎩⎪⎨⎪⎧x =t +1t y =-2(t 为参数)与⎩⎪⎨⎪⎧x =2cos θy =2sin θ所表示图形的公共点有( )A .0个B .1个C .2个D .以上都不对解析: ⎩⎪⎨⎪⎧x =2cos θy =2sin θ表示图形为方程是x 2+y 2=4的圆.⎩⎪⎨⎪⎧x =t +1ty =-2表示的图形与圆无交点.故选A. 答案: A7.已知圆的渐开线⎩⎪⎨⎪⎧x =r (cos φ+φsin φ)y =r (sin φ-φcos φ)(φ为参数)上有一点的坐标为(3,0),则渐开线对应的基圆的面积为( )A .πB .3πC .4πD .9π解析: 把已知点(3,0)代入参数方程得⎩⎪⎨⎪⎧3=r (cos φ+φsin φ), ①0=r (sin φ-φcos φ). ②①×cos φ+②×sin φ得r =3,所以基圆的面积为9π. 答案: D8.已知直线l :⎩⎨⎧x =3t ,y =2-t(t 为参数),抛物线C 的方程y 2=2x ,l 与C 交于P 1,P 2,则点A (0,2)到P 1,P 2两点距离之和是( )A .4+3B .2(2+3)C .4(2+3)D .8+3解析: 把直线参数方程化为⎩⎨⎧x =-32t ′,y =2+12t ′(t ′为参数),代入y 2=2x ,求得t ′1+t ′2=-4(2+3),t ′1t ′2=16>0,知在l 上两点P 1,P 2都在A (0,2)的下方, 则|AP 1|+|AP 2|=|t ′1|+|t ′2|=|t ′1+t ′2|=4(2+3). 答案: C9.过抛物线⎩⎨⎧x =2t 2,y =3t (t 为参数)的焦点的弦长为2,则弦长所在直线的倾斜角为( )B .π3或2π3D .π6或5π6解析: 将抛物线的参数方程化成普通方程为y 2=32x ,它的焦点为⎝⎛⎭⎫38,0.设弦所在直线的方程为y =k ⎝⎛⎭⎫x -38,由⎩⎨⎧y 2=32x ,y =k ⎝⎛⎭⎫x -38,消去y ,得64k 2x 2-48(k 2+2)x +9k 2=0, 设弦的两端点坐标为(x 1,y 1),(x 2,y 2), 则|x 1-x 2|=(x 1+x 2)2-4x 1x 2 =⎝⎛⎭⎫34·k 2+2k 22-916=2解得k =± 3.故倾斜角为π3或2π3答案: B10.已知直线⎩⎪⎨⎪⎧x =x 0+t cos αy =y 0+t sin α(t 为参数)上的两点A 、B 所对应的参数分别为t 1、t 2,且AP →=λPB →(λ≠-1),则点P 所对应的参数为( )B .t 1+t 21+λD .t 2+λt 11+λ 答案: C二、填空题(本大题共4小题,每小题5分,共20分,把答案填在题中横线上)11.在直角坐标系xOy 中,已知曲线C 的参数方程是⎩⎪⎨⎪⎧y =sin θ+1,x =cos θ(θ是参数),若以O 为极点,x 轴的正半轴为极轴,则曲线C 的极坐标方程可写为________.解析: 由题意知,曲线C :x 2+(y -1)2=1,即x 2+y 2-2y =0,所以(ρcos θ)2+(ρsin θ)2-2ρsin θ=0,化简得ρ=2sin θ.答案: ρ=2sin θ12.如图所示,齿轮的廓线AB 为圆的渐开线的一段弧.已知此渐开线的基圆的直径为225 mm ,则此渐开线的参数方程为________.答案: ⎩⎨⎧ x =2252(cos t +t sin t )y =2252(sin t -t cos t )(t 为参数)13.点M (x ,y )在椭圆x 212+y 24=1上,则点M 到直线x +y -4=0的距离的最大值为________,此时点M 的坐标是________.解析: 椭圆的参数方程为⎩⎨⎧x =23cos θ,y =2sin θ(θ为参数), 则点M (23cos θ,2sin θ)到直线x +y -4=0的距离d =|23cos θ+2sin θ-4|2=⎪⎪⎪⎪4sin ⎝⎛⎭⎫θ+π3-42.当θ+π3=32π时,d max =42,此时M (-3,-1). 答案: 42 (-3,-1)14.若曲线y 2=4x 与直线⎩⎪⎨⎪⎧x =2+2t cos αy =-4+t cos β(t 为参数)相切,则cos αcos β=________. 解析: ∵⎩⎪⎨⎪⎧x =2+2t cos αy =-4+t cos β, ∴x -2y +4=2cos αcos β=2m , 其中m =cos αcos β, ∴x =2+2my +8m ,代入y 2=4x ,得y 2=4(2+2my +8m ),y 2-8my -8-32m =0.∵直线与曲线相切,∴Δ=(-8m )2-4×(-8-32m )=64m 2+4×8(1+4m )=0,2m 2+4m +1=0,∴(m +1)2=12,m =-1±22, ∴cos αcos β=-1±22. 答案: -1±22 三、解答题(本大题共4题,共50分,解答应写出文字说明、证明过程或演算步骤)15.(12分)已知曲线C 的极坐标方程是ρ=4cos θ.以极点为平面直角坐标系的原点,极轴为x 轴的非负半轴,建立平面直角坐标系,直线l 的参数方程是 ⎩⎨⎧ x =22t +my =22t (t 是参数).(1)将曲线C 的极坐标方程和直线l 的参数方程转化为普通方程;(2)若直线l 与曲线C 相交于A 、B 两点,且|AB |=14,试求实数m 的值.解析: (1)曲线C 的直角坐标方程为x 2+y 2-4x =0,直线l 的直角坐标方程为y =x -m(2)m =1或m =316.(12分)已知曲线C 的极坐标方程为ρ2=364cos 2θ+9sin 2θ; (1)若以极点为原点,极轴所在的直线为x 轴,求曲线C 的直角坐标方程;(2)若P (x ,y )是曲线C 上的一个动点,求x +2y 的最大值.解析: (1)曲线的极坐标方程ρ2=364cos 2θ+9sin 2θ, 即4ρ2cos 2θ+9ρ2sin 2θ=36,∴4x 2+9y 2=36,∴x 29+y 24=1. (2)设P (3cos θ,2sin θ),则x +2y =3cos θ+4sin θ=5sin(θ+φ),∵θ∈R ,∴当sin(θ+φ)=1时,x +2y 的最大值为5.17.(12分)极坐标的极点是直角坐标系的原点,极轴为x 轴的正半轴,直线l 的参数方程为⎩⎨⎧x =x 0+12t ,y =32t(t 为参数).⊙O 的极坐标方程为ρ=2,若直线l 与⊙O 相切,求实数x 0的值. 解析: 由直线l 的参数方程消参后可得直线l 的普通方程为y =3(x -x 0). ⊙O 的直角坐标方程为x 2+y 2=4.∵直线l 与⊙O 相切,∴圆心O (0,0)到直线l :3x -y -3x 0=0的距离为2. 即|3x 0|2=2,解得x 0=±433. 18.(14分)已知椭圆C 的极坐标方程为ρ2=123cos 2θ+4sin 2θ,点F 1,F 2为其左,右焦点,直线l 的参数方程为⎩⎨⎧ x =2+22t ,y =22t (t 为参数,t ∈R ).(1)求直线l 和曲线C 的普通方程;(2)求点F 1,F 2到直线l 的距离之和.解析: (1)直线l 的普通方程为y =x -2;曲线C 的普通方程为x 24+y 23=1. (2)∵F 1(-1,0),F 2(1,0), ∴点F 1到直线l 的距离d 1=|-1-0-2|2=322. 点F 2到直线l 的距离 d 2=|1-0-2|2=22, ∴d 1+d 2=2 2.。
高中数学学习材料金戈铁骑整理制作数学选修4-4综合测试卷B(含答案)一、选择题:本大题共12小题,每小题5分,共60分,在每个小题给出的四个选项中,只有一项是符合题目要求的.1.曲线25()12x tty t=-+⎧⎨=-⎩为参数与坐标轴的交点是().A.21(0,)(,0)52、B.11(0,)(,0)52、C.(0,4)(8,0)-、D.5(0,)(8,0)9、2.把方程1xy=化为以t参数的参数方程是().A.1212x ty t-⎧=⎪⎨⎪=⎩B.sin1sinx tyt=⎧⎪⎨=⎪⎩C.cos1cosx tyt=⎧⎪⎨=⎪⎩D.tan1tanx tyt=⎧⎪⎨=⎪⎩3.若直线的参数方程为12()23x tty t=+⎧⎨=-⎩为参数,则直线的斜率为().A.23B.23-C.32D.32-4.点(1,2)在圆18cos8sinxyθθ=-+⎧⎨=⎩的().A.内部B.外部C.圆上D.与θ的值有关5.参数方程为1()2x ttty⎧=+⎪⎨⎪=⎩为参数表示的曲线是().A.一条直线B.两条直线C.一条射线D.两条射线6.两圆⎩⎨⎧+=+-=θθsin 24cos 23y x 与⎩⎨⎧==θθsin 3cos 3y x 的位置关系是( ).A .内切B .外切C .相离D .内含7.与参数方程为()21x tt y t⎧=⎪⎨=-⎪⎩为参数等价的普通方程为( ). A .2214y x += B .221(01)4y x x +=≤≤ C .221(02)4y x y +=≤≤ D .221(01,02)4y x x y +=≤≤≤≤ 8.曲线5cos ()5sin 3x y θπθπθ=⎧≤≤⎨=⎩的长度是( ).A .5πB .10πC .35π D .310π 9.点(,)P x y 是椭圆222312x y +=上的一个动点,则2x y +的最大值为( ).A .22B .23C .11D .2210.直线112()3332x t t y t ⎧=+⎪⎪⎨⎪=-+⎪⎩为参数和圆2216x y +=交于,A B 两点,则AB 的中点坐标为( ).A .(3,3)-B .(3,3)-C .(3,3)-D .(3,3)-11.若点(3,)P m 在以点F 为焦点的抛物线24()4x t t y t⎧=⎨=⎩为参数上,则||PF 等于( ).A .2B .3C .4D .5 12.直线2()1x tt y t=-+⎧⎨=-⎩为参数被圆22(3)(1)25x y -++=所截得的弦长为( ).A .98B .1404C .82D .9343+二、填空题:本大题共4小题,每小题5分,共20分,把答案填在题中横线上.13.参数方程()2()t tt tx e et y e e --⎧=+⎪⎨=-⎪⎩为参数的普通方程为__________________. 14.直线22()32x tt y t⎧=--⎪⎨=+⎪⎩为参数上与点(2,3)A -的距离等于2的点的坐标是_______. 15.直线cos sin x t y t θθ=⎧⎨=⎩与圆42cos 2sin x y αα=+⎧⎨=⎩相切,则θ=_______________.16.设()y tx t =为参数,则圆2240x y y +-=的参数方程为____________________.三、解答题:本大题共6小题,共70分,解答应写出文字说明,证明过程或演算步骤. 17.(本小题满分10分)求直线11:()53x tl t y t=+⎧⎪⎨=-+⎪⎩为参数和直线2:230l x y --=的交点P 的坐标,及点P与(1,5)Q -的距离.18.(本小题满分12分)过点10(,0)2P 作倾斜角为α的直线与曲线22121x y +=交于点,M N , 求||||PM PN ⋅的值及相应的α的值.19.(本小题满分12分)已知ABC ∆中,(2,0),(0,2),(cos ,1sin )A B C θθ--+(θ为变数),求ABC ∆面积的最大值.20.(本小题满分12分)已知直线l 经过点(1,1)P ,倾斜角6πα=,(1)写出直线l 的参数方程.(2)设l 与圆422=+y x 相交与两点,A B ,求点P 到,A B 两点的距离之积.21.(本小题满分12分)分别在下列两种情况下,把参数方程1()cos 21()sin 2t t t t x e e y e e θθ--⎧=+⎪⎪⎨⎪=-⎪⎩化为普通方程:(1)θ为参数,t 为常数;(2)t 为参数,θ为常数.22.(本小题满分12分)已知直线l 过定点3(3,)2P --与圆C :5cos ()5sin x y θθθ=⎧⎨=⎩为参数相交于A 、B 两点.求:(1)若||8AB =,求直线l 的方程;(2)若点3(3,)2P --为弦AB 的中点,求弦AB 的方程.参考答案1.B 当0x =时,25t =,而12y t =-,即15y =,得与y 轴的交点为1(0,)5; 当0y =时,12t =,而25x t =-+,即12x =,得与x 轴的交点为1(,0)2.2.D 1xy =,x 取非零实数,而A ,B ,C 中的x 的范围有各自的限制. 3.D 233122y t k x t --===--. 4.A ∵点(1,2)到圆心(1,0)-的距离为22(11)2228++=<(圆半径)∴点(1,2)在圆的内部.5.D 2y =表示一条平行于x 轴的直线,而2,2x x ≥≤-或,所以表示两条射线. 6.B 两圆的圆心距为22(30)(40)5--+-=,两圆半径的和也是5,因此两圆外切.7.D 22222,11,1,0,011,0244y y x t t x x t t y ==-=-+=≥≤-≤≤≤而得. 8.D 曲线是圆2225x y +=的一段圆弧,它所对圆心角为233πππ-=. 所以曲线的长度为310π. 9.D 椭圆为22164x y +=,设(6cos ,2sin )P θθ, 26cos 4sin 22sin()22x y θθθϕ+=+=+≤.10.D 2213(1)(33)1622t t ++-+=,得2880t t --=,12128,42t t t t ++==, 中点为11432333342x x y y ⎧=+⨯⎪=⎧⎪⎪⇒⎨⎨=-⎪⎩⎪=-+⨯⎪⎩. 11.C 抛物线为24y x =,准线为1x =-,||PF 为(3,)P m 到准线1x =-的距离,即为4.12.C 2222212122x t x t y t y t ⎧=-+⨯⎪=-+⎧⎪⇒⎨⎨=-⎩⎪=-⨯⎪⎩,把直线21x t y t =-+⎧⎨=-⎩代入22(3)(1)25x y -++=,得222(5)(2)25,720t t t t -++-=-+=,2121212||()441t t t t t t -=+-=,弦长为122||82t t -=.13.221,(2)416x y x -=≥ 22()()422222t t tt tty x e x e e y y x x y y e e x e ---⎧⎧+==+⎪⎪⎪⇒⇒+-=⎨⎨=-⎪⎪-=⎩⎪⎩. 14.(3,4)-,或(1,2)- 222212(2)(2)(2),,22t t t t -+===±. 15.6π,或56π 直线为tan y x θ=,圆为22(4)4x y -+=,作出图形,相切时,易知倾斜角为6π,或56π.16.2224141t x t t y t ⎧=⎪⎪+⎨⎪=⎪+⎩ 22()40x tx tx +-=,当0x =时,0y =,或241t x t =+; 而y tx =,即2241t y t =+,得2224141t x t t y t ⎧=⎪⎪+⎨⎪=⎪+⎩. 17.解:将153x ty t=+⎧⎪⎨=-+⎪⎩,代入230x y --=,得23t =,得(123,1)P +,而(1,5)Q -, 得22||(23)643PQ =+=.18.解:设直线为10cos ()2sin x t t y t αα⎧=+⎪⎨⎪=⎩为参数,代入曲线 并整理得223(1sin)(10cos )02t t αα+++=,则12232||||||1sin PM PN t t α⋅==+, 所以当2sin 1α=时,即2πα=,||||PM PN ⋅的最小值为34,此时2πα=. 19.解:设C 点的坐标为(,)x y ,则cos 1sin x y θθ=⎧⎨=-+⎩,即22(1)1x y ++=为以(0,1)-为圆心,以1为半径的圆. ∵(2,0),(0,2)A B -, ∴||4422AB =+=,且AB 的方程为122x y+=-, 即20x y -+=,则圆心(0,1)-到直线AB 的距离为22|(1)2|3221(1)--+=+-. ∴点C 到直线AB 的最大距离为3122+, ∴ABC S ∆的最大值是1322(12)3222⨯⨯+=+. 20.解:(1)直线的参数方程为1cos 61sin 6x t y t ππ⎧=+⎪⎪⎨⎪=+⎪⎩,即312112x t y t ⎧=+⎪⎪⎨⎪=+⎪⎩, (2)把直线312112x t y t ⎧=+⎪⎪⎨⎪=+⎪⎩,代入422=+y x , 得22231(1)(1)4,(31)2022t t t t +++=++-=, 122t t =-,则点P 到,A B 两点的距离之积为2.21.解:(1)当0t =时,0,cos y x θ==,即1,0x y ≤=且;当0t ≠时,cos ,sin 11()()22t t t t x y e e e e θθ--==+-,而221x y +=,即2222111()()44tt t t x y e e e e --+=+-;(2)当,k k Z θπ=∈时,0y =,1()2t tx e e -=±+,即1,0x y ≥=且; 当,2k k Z πθπ=+∈时,0x =,1()2t ty e e -=±-,即0x =;当,2k k Z πθ≠∈时,得2cos 2sin t tt t x e e ye e θθ--⎧+=⎪⎪⎨⎪-=⎪⎩, 即222cos sin 222cos sin tt x y e x y e θθθθ-⎧=+⎪⎪⎨⎪=-⎪⎩,得222222()()cos sin cos sin t t x y x y e e θθθθ-⋅=+-,即22221cos sin x y θθ-=. 22.解:(1)由圆C 的参数方程225cos 255sin x x y y θθ=⎧⇒+=⎨=⎩,设直线l 的参数方程为①3cos ()3sin 2x t t y t αα=-+⎧⎪⎨=-+⎪⎩为参数, 将参数方程①代入圆的方程2225x y += 得2412(2cos sin )550t t αα-+-=, ∴△216[9(2cos sin )55]0αα=++>, 所以方程有两相异实数根1t 、2t ,∴212||||9(2cos sin )558AB t t αα=-=++=, 化简有23cos 4sin cos 0ααα+=,解之cos 0α=或3tan 4α=-, 从而求出直线l 的方程为30x +=或34150x y ++=.(2)若P 为AB 的中点,所以120t t +=,由(1)知2cos sin 0αα+=,得tan 2α=-,故所求弦AB 的方程为2242150(25)x y x y ++=+≤.备用题:1.已知点00(,)P x y 在圆38cos 28sin x y θθ=+⎧⎨=-+⎩上,则0x 、0y 的取值范围是( ).A .0033,22x y -≤≤-≤≤B .0038,28x y ≤≤-≤≤C .00511,106x y -≤≤-≤≤D .以上都不对1.C 由正弦函数、余弦函数的值域知选C . 2.直线12()2x tt y t=+⎧⎨=+⎩为参数被圆229x y +=截得的弦长为( ).A .125 B .1255 C .955 D .91052.B 21512521155x t x t y t y t ⎧=+⨯⎪=+⎧⎪⇒⎨⎨=+⎩⎪=+⨯⎪⎩,把直线122x t y t =+⎧⎨=+⎩代入 229x y +=得222(12)(2)9,5840t t t t +++=+-=,2212121281612||()4()555t t t t t t -=+-=-+=,弦长为12125||55t t -=.3.已知曲线22()2x pt t p y pt⎧=⎨=⎩为参数,为正常数上的两点,M N 对应的参数分别为12,t t 和,120t t +=且,那么||MN =_______________.3.14||p t 显然线段MN 垂直于抛物线的对称轴,即x 轴,121||2||2|2|MN p t t p t =-=.4.参数方程cos (sin cos )()sin (sin cos )x y θθθθθθθ=+⎧⎨=+⎩为参数表示什么曲线?4.解:显然tan y xθ=,则222222111,cos cos 1y y x x θθ+==+,2222112tan cossin cos sin 2cos cos 221tan x θθθθθθθθ=+=+=⨯++, 即22222221112111y yx x x y y y x x x+=⨯+=+++,22(1)1y y x x x +=+, 得21y yx x x+=+, 即220x y x y +--=.5.已知点(,)P x y 是圆222x y y +=上的动点, (1)求2x y +的取值范围;(2)若0x y a ++≥恒成立,求实数a 的取值范围.5.解:(1)设圆的参数方程为cos 1sin x y θθ=⎧⎨=+⎩,22cos sin 15sin()1x y θθθϕ+=++=++,∴51251x y -+≤+≤+.(2)cos sin 10x y a a θθ++=+++≥, ∴(cos sin )12sin()14a πθθθ≥-+-=-+-恒成立,即21a ≥-.。
人教版高中数学选修4-4测试题全套及答案章末综合测评(一) 坐标系(时间120分钟,满分150分)一、选择题(本大题共12小题,每小题5分,共60分.在每小题给出四个选项中,只有一项是符合题目要求的)1.将曲线y =sin 2x 按照伸缩变换⎩⎨⎧x ′=2xy ′=3y 后得到曲线方程为( )A .y ′=3sin x ′B .y ′=3sin 2x ′C .y ′=3sin 12x ′D .y ′=13sin 2x ′【解析】 由伸缩变换,得x =x ′2,y =y ′3. 代入y =sin 2x ,有y ′3=sin x ′,即y ′=3sin x ′. 【答案】 A2.在极坐标系中,已知两点A ,B 的极坐标分别为⎝ ⎛⎭⎪⎫3,π3,⎝ ⎛⎭⎪⎫4,π6,则△AOB (其中O 为极点)的面积为( )A .1B .2C .3D .4【解析】 如图所示,OA =3,OB =4,∠AOB =π6,所以S △AOB =12×3×4×12=3.【答案】 C3.已知点P 的极坐标为(1,π),那么过点P 且垂直于极轴的直线的极坐标方程是( ) A .ρ=1 B .ρ=cos θ C .ρ=-1cos θ D .ρ=1cos θ【答案】 C4.在极坐标系中,点A ⎝ ⎛⎭⎪⎫2,π6与B ⎝ ⎛⎭⎪⎫2,-π6之间的距离为( )A .1B .2C .3D .4【解析】 由A ⎝ ⎛⎭⎪⎫2,π6与B ⎝ ⎛⎭⎪⎫2,-π6,知∠AOB =π3,∴△AOB 为等边三角形,因此|AB |=2. 【答案】 B5.极坐标方程4ρ·sin 2θ2=5表示的曲线是( ) A .圆B .椭圆C .双曲线的一支D .抛物线【解析】 由4ρ·sin 2θ2=4ρ·1-cos θ2=2ρ-2ρcos θ=5,得方程为2x 2+y 2-2x =5,化简得y 2=5x +254,∴该方程表示抛物线. 【答案】 D6.直线ρcos θ+2ρsin θ=1不经过( ) A .第一象限 B .第二象限 C .第三象限D .第四象限【解析】 由ρcos θ+2ρsin θ=1,得x +2y =1, ∴直线x +2y =1不过第三象限. 【答案】 C7.点M 的直角坐标为(3,1,-2),则它的球坐标为( ) A.⎝ ⎛⎭⎪⎫22,3π4,π6 B.⎝ ⎛⎭⎪⎫22,π4,π6 C.⎝ ⎛⎭⎪⎫22,π4,π3 D.⎝ ⎛⎭⎪⎫22,3π4,π3 【解析】 设M 的球坐标为(r ,φ,θ),则⎩⎨⎧3=r sin φcos θ,1=r sin φsin θ,-2=r cos φ,解得⎩⎪⎨⎪⎧r =22,φ=3π4,θ=π6.【答案】 A8.在极坐标系中,直线θ=π6(ρ∈R )截圆ρ=2cos ⎝ ⎛⎭⎪⎫θ-π6所得弦长是( )A .1B .2C .3D .4【解析】 化圆的极坐标方程ρ=2cos ⎝ ⎛⎭⎪⎫θ-π6为直角坐标方程得⎝⎛⎭⎪⎫x -322+⎝ ⎛⎭⎪⎫y -122=1,圆心坐标为⎝ ⎛⎭⎪⎫32,12,半径长为1,化直线θ=π6(ρ∈R )的直角坐标方程为x -3y =0,由于32-3×12=0,即直线x -3y =0过圆⎝⎛⎭⎪⎫x -322+⎝ ⎛⎭⎪⎫y -122=1的圆心,故直线θ=π6(ρ∈R )截圆ρ=2cos ⎝ ⎛⎭⎪⎫θ-π6所得弦长为2.【答案】 B9.若点P 的柱坐标为⎝ ⎛⎭⎪⎫2,π6,3,则P 到直线Oy 的距离为( ) A .1 B .2C. 3【解析】 由于点P 的柱坐标为(ρ,⎭⎪⎫,π6,3,故点P 在平面xOy 内的射影Q 到直线Oy 的距离为ρcos π6=3,可得P 到直线Oy 的距离为 6.【答案】 D10.设正弦曲线C 按伸缩变换⎩⎪⎨⎪⎧x ′=12xy ′=3y 后得到曲线方程为y ′=sin x ′,则正弦曲线C 的周期为( )A.π2 B .π C .2πD .4π【解析】 由伸缩变换知3y =sin 12x , ∴y =13sin 12x ,∴T =2π12=4π.【答案】 D11.已知点A 是曲线ρ=2cos θ上任意一点,则点A 到直线ρsin ⎝ ⎛⎭⎪⎫θ+π6=4的距离的最小值是( )A .1 B.32 C.52 D.72【解析】 曲线ρ=2cos θ即(x -1)2+y 2=1,表示圆心为(1,0),半径等于1的圆,直线ρsin ⎝ ⎛⎭⎪⎫θ+π6=4,即x +3y -8=0,圆心(1,0)到直线的距离等于|1+0-8|2=72,所以点A 到直线ρsin ⎝ ⎛⎭⎪⎫θ+π6=4的距离的最小值是72-1=52.【答案】 C12.极坐标方程ρ=2sin ⎝ ⎛⎭⎪⎫θ+π4的图形是( )【解析】 法一 圆ρ=2sin ⎝ ⎛⎭⎪⎫θ+π4是把圆ρ=2sin θ绕极点按顺时针方向旋转π4而得,圆心的极坐标为⎝ ⎛⎭⎪⎫1,π4,故选C.法二 圆ρ=2sin ⎝ ⎛⎭⎪⎫θ+π4的直角坐标方程为⎝ ⎛⎭⎪⎫x -222+⎝ ⎛⎭⎪⎫y -222=1,圆心为⎝ ⎛⎭⎪⎫22,22,半径为1,故选C.【答案】 C二、填空题(本大题共4小题,每小题5分,共20分,请把正确答案填在题中横线上) 13.在极坐标系中,经过点⎝ ⎛⎭⎪⎫22,π4作圆ρ=4sin θ的切线,则切线的极坐标方程为________.【解析】 圆ρ=4sin θ的直角坐标方程为x 2+y 2=4y ,化成标准方程得x 2+(y -2)2=4,表示以点(0,2)为圆心,以2为半径长的圆,点⎝ ⎛⎭⎪⎫22,π4的直角坐标为(2,2),由于22+(2-2)2=4,即点(2,2)在圆上,故过点且与圆相切的直线的方程为x =2,其极坐标方程为ρcos θ=2.【答案】 ρcos θ=214.已知圆的极坐标方程为ρ=4cos θ,圆心为C ,点P 的极坐标为⎝ ⎛⎭⎪⎫4,π3,则|CP |=________.【解析】 由ρ=4cos θ可得x 2+y 2=4x ,即(x -2)2+y 2=4,因此圆心C 的直角坐标为(2,0).又点P 的直角坐标为(2,23),因此|CP |=2 3.【答案】 2315.在极坐标系中,曲线C 1:ρ(2cos θ+sin θ)=1与曲线C 2:ρ=a (a >0)的一个交点在极轴上,则a =________.【解析】 ρ(2cos θ+sin θ)=1,即2ρcos θ+ρsin θ=1对应的直角坐标方程为2x +y -1=0,ρ=a (a >0)对应的普通方程为x 2+y 2=a 2.在2x +y -1=0中,令y =0,得x =22.将⎝ ⎛⎭⎪⎫22,0代入x 2+y 2=a 2得a =22.【答案】 2216.直线2ρcos θ=1与圆ρ=2cos θ相交的弦长为________.【解析】 直线2ρcos θ=1可化为2x =1,即x =12,圆ρ=2cos θ两边同乘ρ得ρ2=2ρcos θ,化为直角坐标方程是x 2+y 2=2x ,即(x -1)2+y 2=1,其圆心为(1,0),半径为1, ∴弦长为2× 12-⎝ ⎛⎭⎪⎫122= 3.【答案】3三、解答题(本大题共6小题,共70分.解答应写出文字说明、证明过程或演算步骤) 17.(本小题满分10分)已知⊙C :ρ=cos θ+sin θ, 直线l :ρ=22cos ⎝ ⎛⎭⎪⎫θ+π4.求⊙C 上点到直线l 距离的最小值.【解】 ⊙C 的直角坐标方程是x 2+y 2-x -y =0,即⎝ ⎛⎭⎪⎫x -122+⎝ ⎛⎭⎪⎫y -122=12. 又直线l 的极坐标方程为ρ(cos θ-sin θ)=4,所以直线l 的直角坐标方程为x -y -4=0.设M ⎝ ⎛⎭⎪⎫12+22cos θ,12+22sin θ为⊙C 上任意一点,M 点到直线l 的距离d =⎪⎪⎪⎪⎪⎪12+22cos θ-⎝ ⎛⎭⎪⎫12+22sin θ-42=4-cos ⎝ ⎛⎭⎪⎫θ+π42,当θ=7π4时,d min =32=322.18.(本小题满分12分)已知直线的极坐标方程ρsin ⎝ ⎛⎭⎪⎫θ+π4=22,求极点到直线的距离. 【解】 ∵ρsin ⎝ ⎛⎭⎪⎫θ+π4=22,∴ρsin θ+ρcos θ=1,即直角坐标方程为x +y =1. 又极点的直角坐标为(0,0), ∴极点到直线的距离d =|0+0-1|2=22. 19.(本小题满分12分)(1)在极坐标系中,求以点(1,1)为圆心,半径为1的圆C 的方程; (2)将上述圆C 绕极点逆时针旋转π2得到圆D ,求圆D 的方程. 【解】 (1)设M (ρ,θ)为圆上任意一点,如图,圆C 过极点O ,∠COM=θ-1,作CK ⊥OM 于K ,则ρ=|OM |=2|OK |=2cos(θ-1), ∴圆C 的极坐标方程为ρ=2cos(θ-1).(2)将圆C :ρ=2cos(θ-1)按逆时针方向旋转π2得到圆D :ρ=2cos ⎝ ⎛⎭⎪⎫θ-1-π2,即ρ=-2sin(1-θ).20.(本小题满分12分)如图1,正方体OABC D ′A ′B ′C ′中,|OA |=3,A ′C ′与B ′D ′相交于点P ,分别写出点C 、B ′、P 的柱坐标.图1【解】 设点C 的柱坐标为(ρ1,θ1,z 1), 则ρ1=|OC |=3,θ1=∠COA =π2,z 1=0, ∴C 的柱坐标为⎝ ⎛⎭⎪⎫3,π2,0;设点B ′的柱坐标为(ρ2,θ2,z 2),则ρ2=|OB |=|OA |2+|AB |2=32+32=32, θ2=∠BOA =π4,z 2=3, ∴B ′的柱坐标为⎝ ⎛⎭⎪⎫32,π4,3;如图,取OB 的中点E ,连接PE ,设点P 的柱坐标为(ρ3,θ3,z 3),则ρ3=|OE |=12|OB |=322,θ3=∠AOE =π4,z 3=3, 点P 的柱坐标为⎝ ⎛⎭⎪⎫322,π4,3.21.(本小题满分12分)已知曲线C 1的极坐标方程为ρcos ⎝ ⎛⎭⎪⎫θ-π3=-1,曲线C 2的极坐标方程为ρ=22cos ⎝ ⎛⎭⎪⎫θ-π4,判断两曲线的位置关系.【解】 将曲线C 1,C 2化为直角坐标方程得: C 1:x +3y +2=0,C 2:x 2+y 2-2x -2y =0,即C 2:(x -1)2+(y -1)2=2, 圆心到直线的距离d =|1+3+2|12+(3)2=3+32>2,∴曲线C 1与C 2相离.22.(本小题满分12分)在极坐标系中,极点为O ,已知曲线C 1:ρ=2与曲线C 2:ρsin ⎝ ⎛⎭⎪⎫θ-π4=2交于不同的两点A ,B .(1)求|AB |的值;(2)求过点C (1,0)且与直线AB 平行的直线l 的极坐标方程.【解】 (1)∵ρ=2,∴x 2+y 2=4. 又∵ρsin ⎝ ⎛⎭⎪⎫θ-π4=2,∴y =x +2,∴|AB |=2r 2-d 2=24-⎝ ⎛⎭⎪⎫222=2 2. (2)∵曲线C 2的斜率为1,∴过点(1,0)且与曲线C 2平行的直线l 的直角坐标方程为y =x -1,∴直线l 的极坐标为ρsin θ=ρcos θ-1, 即ρcos ⎝ ⎛⎭⎪⎫θ+π4=22.章末综合测评(二) 参数方程(时间120分钟,满分150分)一、选择题(本大题共12小题,每小题5分,共60分.在每小题给出的四个选项中,只有一项是符合题目要求的)1.下列点不在直线⎩⎪⎨⎪⎧x =-1-22ty =2+22t (t 为参数)上的是( )A .(-1,2)B .(2,-1)C .(3,-2)D .(-3,2)【解析】 直线l 的普通方程为x +y -1=0, 因此点(-3,2)的坐标不适合方程x +y -1=0. 【答案】 D2.圆的参数方程为⎩⎨⎧x =4cos θ,y =4sin θ(θ为参数,0≤θ<2π),若Q (-2,23)是圆上一点,则对应的参数θ的值是( )A.π3B.23πC.43πD.53π 【解析】 ∵点Q (-2,23)在圆上, ∴⎩⎨⎧-2=4cos θ,23=4sin θ且0≤θ<2π,∴θ=23π.【答案】 B3.直线⎩⎨⎧x =3+t ,y =2-2t (t 为参数)斜率为( )A .2B .-2 C.32D .-32【解析】 直线的普通方程为2x +y -8=0, ∴斜率k =-2. 【答案】 B4.已知O 为原点,当θ=-π6时,参数方程⎩⎨⎧x =3cos θ,y =9sin θ(θ为参数)上的点为A ,则直线OA 倾斜角为( ) A.π6 B.π3 C.2π3 D.5π6【解析】 当θ=-π6时,x =332,y =-92, ∴k OA =tan α=yx =-3,且0≤α<π, 因此α=2π3. 【答案】 C5.已知A (4sin θ,6cos θ),B (-4cos θ,6sin θ),当θ为一切实数时,线段AB 的中点轨迹为( )A .直线B .圆C .椭圆D .双曲线【解析】 设线段AB 的中点为M (x ,y ), 则⎩⎨⎧ x =2sin θ-2cos θ,y =3sin θ+3cos θ(θ为参数), ∴⎩⎨⎧3x +2y =12sin θ,3x -2y =-12cos θ. ∴(3x +2y )2+(3x -2y )2=144, 整理得x 28+y 218=1,表示椭圆. 【答案】 C6.椭圆⎩⎨⎧x =3cos θ,y =4sin θ(θ为参数)的离心率是( )A.74 B.73 C.72D.75【解析】 椭圆⎩⎨⎧x =3cos θ,y =4sin θ的标准方程为x 29+y 216=1,∴e =74.故选A.【答案】 A7.已知圆M :x 2+y 2-2x -4y =10,则圆心M 到直线⎩⎨⎧x =4t +3,y =3t +1(t 为参数)的距离为( )A .1B .2C .3D .4【解析】 由题意易知圆的圆心M (1,2),由直线的参数方程化为一般方程为3x -4y -5=0,所以圆心到直线的距离为d2.【答案】 B8.若直线⎩⎨⎧ x =t cos α,y =t sin α(t 为参数)与圆⎩⎨⎧x =4+2cos φ,y =2sin φ(φ为参数)相切,那么直线的倾斜角为( ) A.π6或5π6 B.π4或3π4 C.π3或2π3D .-π6或-5π6 【解析】 直线的普通方程为y =tan α·x ,圆的普通方程为(x -4)2+y 2=4,由于直线与圆相切,则|4tan α|tan 2x +1=2.∴tan α=±33,∴α=π6或5π6.故选A. 【答案】 A9.若直线y =x -b 与曲线⎩⎨⎧x =2+cos θ,y =sin θθ∈[0,2π)有两个不同的公共点,则实数b 的取值范围是( )A .(2-2,1)B .[2-2,2+2]C .(-∞,2-2)∪(2+2,+∞)D .(2-2,2+2)【解析】 由⎩⎨⎧x =2+cos θ,y =sin θ消去θ,得(x -2)2+y 2=1.(*)将y =x -b 代入(*),化简得 2x 2-(4+2b )x +b 2+3=0,依题意,Δ=[-(4+2b )]2-4×2(b 2+3)>0, 解得2-2<b <2+ 2. 【答案】 D10.实数x ,y 满足3x 2+2y 2=6x ,则x 2+y 2的最大值是( ) A .2 B .4 C.92D .5【解析】 由3x 2+2y 2=6x ,得3(x -1)2+2y 2=3, 令x =1+cos θ,y =62sin θ,代入x 2+y 2,得x 2+y 2=(1+cos θ)2+32sin 2θ=-12(cos θ-2)2+92,∴当cos θ=1时,(x 2+y 2)max =4. 【答案】 B11.参数方程⎩⎪⎨⎪⎧x =1+sin θy =cos 2⎝ ⎛⎭⎪⎫π4-θ2(θ为参数,0≤θ<2π)所表示的曲线是( )A .椭圆的一部分B .双曲线的一部分C .抛物线的一部分,且过点⎝ ⎛⎭⎪⎫-1,12 D .抛物线的一部分,且过点⎝ ⎛⎭⎪⎫1,12【解析】 由y =cos 2⎝ ⎛⎭⎪⎫π4-θ2=1+cos ⎝ ⎛⎭⎪⎫π2-θ2=1+sin θ2,可得sin θ=2y -1,由x =1+sin θ 得x 2-1=sin θ, ∴参数方程可化为普通方程x 2=2y . 又x =1+sin θ∈[0,2],故选D. 【答案】 D12.已知直线l :⎩⎨⎧x =3t ,y =2-t (t 为参数),抛物线C 的方程y 2=2x ,l 与C 交于P 1,P 2,则点A (0,2)到P 1,P 2两点距离之和是( )A .4+3B .2(2+3)C .4(2+3)D .8+3【解析】将直线l 参数方程化为⎩⎪⎨⎪⎧x =-32t ′y(t ′为参数),代入y 2=2x ,得t ′2+4(2+3)t ′+16=0,设其两根为t 1′、t 2′+t 2′=-4(2+3),t 1′t 2′=16>0.由此知在l 上两点P 1,P 2都在A (0,2)的下方,则|AP 1|+|AP 2|=|t 1′|+|t 2′|=|t 1′+t 2′|=4(2+3).【答案】 C二、填空题(本大题共4小题,每小题5分,共20分,把正确答案填在题中横线上) 13.双曲线⎩⎨⎧x =tan φ,y =sec φ(φ是参数)的渐近线方程为________.【解析】 化参数方程为普通方程,得y 2-x 2=1.故其渐近线为y =±x ,即x ±y =0. 【答案】 x ±y =014.在极坐标系中,直线过点(1,0)且与直线θ=π3(ρ∈R )垂直,则直线极坐标方程为________.【解析】 由题意可知在直角坐标系中,直线θ=π3的斜率是3,所求直线是过点(1,0),且斜率是-13,所以直线方程为y =-13(x -1),化为极坐标方程ρsin θ=-13(ρcos θ-1),化简得2ρsin ⎝ ⎛⎭⎪⎫θ+π6=1.【答案】 2ρsin ⎝ ⎛⎭⎪⎫θ+π6=1或2ρcos ⎝ ⎛⎭⎪⎫θ-π3=1或ρcos θ+3ρsin θ=115.在直角坐标系xOy 中,以原点O 为极点,x 轴的正半轴为极轴建立极坐标系.已知射线θ=π4与曲线⎩⎨⎧x =t +1,y =(t -1)2(t 为参数)相交于A ,B 两点,则线段AB 的中点的直角坐标为________.【解析】 曲线⎩⎨⎧x =t +1,y =(t -1)2可化为y =(x -2)2,射线θ=π4可化为y =x (x ≥0),联立这两个方程得:x 2-5x +4=0,点A ,B 的横坐标就是此方程的根,线段AB 的中点的直角坐标为⎝ ⎛⎭⎪⎫52,52. 【答案】 ⎝ ⎛⎭⎪⎫52,5216.在直角坐标系xOy 中,椭圆C 的参数方程为⎩⎨⎧x =a cos φ,y =b sin φ(φ为参数,a >b >0).在极坐标系(与直角坐标系xOy 取相同的长度单位,且以原点O 为极点,以x 轴正半轴为极轴)中,直线l 与圆O 的极坐标方程分别为ρsin ⎝ ⎛⎭⎪⎫θ+π4=22m (m 为非零常数)与ρ=b .若直线l 经过椭圆C 的焦点,且与圆O 相切,则椭圆C 的离心率为________.【解析】 由已知可得椭圆标准方程为x 2a 2+y 2b 2=1(a >b >0).由ρsin ⎝ ⎛⎭⎪⎫θ+π4=22m 可得ρsin θ+ρcos θ=m ,即直线的普通方程为x +y =m .又圆的普通方程为x 2+y 2=b 2,不妨设直线l 经过椭圆C 右焦点(c,0),则得c =m .又因为直线l 与圆O 相切,所以|m |2=b ,因此c =2b ,即c 2=2(a 2-c 2).整理,得c 2a 2=23,故椭圆C 离心率为e =63.【答案】 63三、解答题(本大题共6小题,共70分.解答应写出文字说明、证明过程或演算步骤) 17.(本小题满分10分)已知圆O 的参数方程为⎩⎨⎧x =2cos θy =2sin θ(θ为参数,0≤θ<2π).(1)求圆心和半径;(2)若圆O 上点M 对应的参数θ=5π3,求点M 的坐标. 【解】 (1)由⎩⎨⎧x =2cos θy =2sin θ(0≤θ<2π),平方得x 2+y 2=4, ∴圆心O (0,0),半径r =2.(2)当θ=5π3时,x =2cos θ=1,y =2sin θ=-3, ∴点M 的坐标为(1,-3).18.(本小题满分12分)已知曲线C :⎩⎨⎧x =4cos φ,y =3sin φ(φ为参数).(1)将C 的方程化为普通方程;(2)若点P (x ,y )是曲线C 上的动点,求2x +y 的取值范围. 【解】 (1)由曲线C :⎩⎨⎧x =4cos φ,y =3sin φ,得⎝ ⎛⎭⎪⎫x 42+⎝ ⎛⎭⎪⎫y 32=1即x 216+y 29=1.(2)2x +y =8cos φ+3sin φ=73sin(φ+θ), ⎝ ⎛⎭⎪⎫θ由tan θ=83确定, ∴2x +y ∈[-73,73],∴2x +y 的取值范围是[-73,73].19.(本小题满分12分)已知直线l 的参数方程为⎩⎪⎨⎪⎧x =3+12t ,y =2+32t (t 为参数),曲线C 的参数方程为⎩⎨⎧x =4cos θ,y =4sin θ(θ为参数).(1)将曲线C 的参数方程化为普通方程;(2)若直线l 与曲线C 交于A ,B 两点,求线段AB 的长. 【解】 (1)由曲线C :⎩⎨⎧x =4cos θ,y =4sin θ得x 2+y 2=16,∴曲线C 的普通方程为x 2+y 2=16. (2)将⎩⎪⎨⎪⎧x =3+12t ,y =2+32t代入x 2+y 2=16,整理,得t 2+33t -9=0. 设A ,B 对应的参数为t 1,t 2,则 t 1+t 2=-33,t 1t 2=-9.|AB |=|t 1-t 2|=(t 1+t 2)2-4t 1t 2=37.20.(本小题满分12分)已知动点P 、Q 都在曲线C :⎩⎨⎧x =2cos t ,y =2sin t (t 为参数)上,对应参数分别为t =α与t =2α(0<α<2π),M 为PQ 的中点.(1)求M 的轨迹的参数方程;(2)将M 到坐标原点的距离d 表示为α的函数,并判断M 的轨迹是否过坐标原点. 【解】 (1)依题意有P (2cos α,2sin α), Q (2cos 2α,2sin 2α),因此M (cos α+cos 2α,sin α+sin 2α).M 的轨迹的参数方程为⎩⎨⎧x =cos α+cos 2α,y =sin α+sin 2α(α为参数,0<α<2π).(2)M 点到坐标原点的距离d =x 2+y 2=2+2cos α(0<α<2π). 当α=π时,d =0,故M 的轨迹过坐标原点.21.(本小题满分12分)在直角坐标系xOy 中,l 是过定点P (4,2)且倾斜角为α的直线;在极坐标系(以坐标原点O 为极点,以x 轴非负半轴为极轴,取相同单位长度)中,曲线C 的极坐标方程为ρ=4cos θ.(1)写出直线l 的参数方程,并将曲线C 的方程化为直角坐标方程; (2)若曲线C 与直线相交于不同的两点M ,N ,求|PM |+|PN |的取值范围. 【解】 (1)直线l 的参数方程为⎩⎨⎧x =4+t cos αy =2+t sin α(t 为参数).∵ρ=4cos θ,∴ρ2=4ρcos θ,所以C :x 2+y 2=4x .(2)直线l 的参数方程为⎩⎨⎧x =4+t cos αy =2+t sin α(t 为参数),代入C :x 2+y 2=4x ,得t 2+4(sin α+cos α)t +4=0,则有⎩⎨⎧Δ=16(sin α+cos α)2-16>0,t 1+t 2=-4(sin α+cos α),t 1·t 2=4,∴sin α·cos α>0,又α∈[0,π), 所以α∈⎝ ⎛⎭⎪⎫0,π2,t 1<0,t 2<0. 而|PM |+|PN |=(4+t 1cos α-4)2+(2+t 1sin α-2)2+ (4+t 2cos α-4)2+(2+t 2sin α-2)2=|t 1|+|t 2| =-t 1-t 2=4(sin α+cos α)=42sin ⎝ ⎛⎭⎪⎫α+π4.∵α∈⎝ ⎛⎭⎪⎫0,π2,∴α+π4∈⎝ ⎛⎭⎪⎫π4,3π4, ∴22<sin ⎝ ⎛⎭⎪⎫α+π4≤1,所以|PM |+|PN |的取值范围为(4,42].22.(本小题满分12分)在平面直角坐标系xOy 中,曲线C 1的参数方程为⎩⎨⎧x =cos φy =sin φ(φ为参数),曲线C 2的参数方程为⎩⎨⎧x =a cos φy =b sin φ(a >b >0,φ为参数).在以O 为极点,x 轴的正半轴为极轴的极坐标系中,射线l :θ=α与C 1,C 2各有一个交点.当α=0时,这两个交点间的距离为2,当α=π2时,这两个交点重合.(1)分别说明C 1,C 2是什么曲线,并求出a 与b 的值;(2)设当α=π4时,l 与C 1,C 2的交点分别为A 1,B 1,当α=-π4时,l 与C 1,C 2的交点分别为A 2,B 2,求四边形A 1A 2B 2 B 1的面积.【解】 (1)C 1是圆,C 2是椭圆.当α=0时,射线l 与C 1,C 2交点的直角坐标分别为(1,0),(a,0),因为这两点间的距离为2,所以a =3.当α=π2时,射线l与C1,C2交点的直角坐标分别为(0,1),(0,b),因为这两点重合,所以b=1.(2)C1,C2的普通方程分别为x2+y2=1和x29+y2=1.当α=π4时,射线l与C1交点A1的横坐标为x=22,与C2交点B1的横坐标为x′=31010.当α=-π4时,射线l与C1,C2的两个交点A2,B2分别与A1,B1关于x轴对称,因此四边形A1A2B2B1为梯形.故四边形A1A2B2B1的面积为(2x′+2x)(x′-x)2=25.模块综合测评(时间120分钟,满分150分)一、选择题(本大题共12小题,每小题5分,共60分.在每小题给出的四个选项中,只有一项是符合题目要求的)1.极坐标方程cos θ=32(ρ∈R)表示的曲线是()A.两条相交直线B.两条射线C.一条直线D.一条射线【解析】由cos θ=32,解得θ=π6或θ=116π,又ρ∈R,故为两条过极点直线.【答案】A2.极坐标系中,过点P(1,π)且倾斜角为π4直线方程为() A.ρ=sin θ+cos θB.ρ=sin θ-cos θC.ρ=1sin θ+cos θD.ρ=1sin θ-cos θ【解析】设M(ρ,θ) 为直线上任意一点,则在△OPM 中,由正弦定理得ρsin π4=1sin ⎝ ⎛⎭⎪⎫θ-π4, ∴ρ=1sin θ-cos θ.【答案】 D3.已知参数方程⎩⎨⎧x =at +λcos θy =bt +λsin θ(a 、b 、λ均不为零,0≤θ≤2π),分别取①t 为参数;②λ为参数;③θ为参数,则下列结论中成立的是( )A .①、②、③均是直线B .只有②是直线C .①、②是直线,③是圆D .②是直线,①③是圆【解析】 ①t 为参数,原方程可化为:y -λsin θ=ba (x -λcos θ),②λ为参数,原方程可化为:y -bt =(x -at )·tan θ,③θ为参数,原方程可化为: (x -at )2+(y -bt )2=λ2,即①、②是直线,③是圆. 【答案】 C4.将曲线x 23+y 22=1按φ:⎩⎪⎨⎪⎧x ′=13x ,y ′=12y 变换后的曲线的参数方程为( )A.⎩⎨⎧x =3cos θy =2sin θ B.⎩⎨⎧x =3cos θy =2sin θ C.⎩⎪⎨⎪⎧x =13cos θy =12sin θD.⎩⎪⎨⎪⎧x =33cos θy =22sin θ【解析】 x 23+y 22=1→(3x ′)23+(2y ′)22=1→(3x ′)2+(2y ′)2=1→⎩⎨⎧3x ′=cos θ,2y ′=sin θ→⎩⎪⎨⎪⎧ x ′=33cos θ,y ′=22sin θ,即⎩⎪⎨⎪⎧x =33cos θ,y =22sin θ,故选D.【答案】 D5.化极坐标方程ρ2cos θ-ρ=0为直角坐标方程为( ) A .x 2+y 2=0或y =1 B .x =1 C .x 2+y 2=0或x =1D .y =1【解析】 由ρ2cos θ-ρ=0,得ρ(ρcos θ-1)=0, 又ρ=x 2+y 2,x =ρcos θ, ∴x 2+y 2=0或x =1. 【答案】 C6.柱坐标⎝ ⎛⎭⎪⎫2,π3,1对应的点的直角坐标是( )A .(3,-1,1)B .(3,1,1)C .(1,3,1)D .(-1,3,1)【解析】由直角坐标与柱坐标之间的变换公式⎩⎨⎧x =ρcos θ,y =ρsin θz =z,可得⎩⎨⎧x =1,y =3,z =1,故应选C.【答案】 C7.直线l :3x +4y -12=0与圆C :⎩⎨⎧x =-1+2cos θy =2+2sin θ(θ为参数)的公共点个数为( )A .0个B .1个C .2个D .无法确定【解析】 圆C 的直角坐标方程为(x +1)2+(y -2)2=4, ∴圆心C (-1,2),半径r =2. 圆心C 到直线l 的距离d =|3×(-1)+4×2-12|32+42=75,因此d <r ,直线与圆C 相交于两点. 【答案】 C8.双曲线⎩⎨⎧x =4sec θy =2tan θ(θ为参数)上,当θ=2π3时对应的点为P ,O 为原点,则OP 的斜率为( )A.34B.32C.3D .2【解析】 ∵x =4sec θ=4cos 2π3=-8, y =2tan θ=2tan 2π3=-23, ∴k OP =y x =34. 【答案】 A9.已知曲线C 的极坐标方程为ρ=6sin θ,以极点为平面直角坐标系的原点,极轴为x轴正半轴,直线l 的参数方程为⎩⎨⎧x =2t -1,y =22t(t 为参数),则直线l 与曲线C 相交所得弦长为( )A .1B .2C .3D .4【解析】 曲线C 的直角坐标方程为x 2+y 2-6y =0,即x 2+(y -3)2=9,直线⎩⎨⎧x =2t -1,y =22t的直角坐标方程为x -2y +1=0,∵圆心C 到直线l 的距离 d =|0-2×3+1|12+(-2)2=5,∴直线l 与圆C 相交所得弦长为 2r 2-d 2=29-5=4.【答案】 D10.直线⎩⎨⎧x =-2-4t ,y =1+3t (t 为参数)与圆ρ=2cos θ的位置关系为( )A .相离B .相切C .相交D .无法确定【解析】 直线⎩⎨⎧x =-2-4t ,y =1+3t (t 为参数)的普通方程为3x +4y +2=0,圆ρ=2cos θ的普通方程为x 2+y 2-2x =0,即(x -1)2+y 2=1,圆心到直线3x +4y +2=0的距离d =1=r ,所以直线与圆的位置关系为相切.故选B.【答案】 B11.已知曲线的参数方程是⎩⎪⎨⎪⎧x =cos 2α2,y =12sin α(α为参数),若以此曲线所在的直角坐标系的原点为极点,x 轴的正半轴为极轴建立极坐标系,则曲线的极坐标方程为( )A .ρ=sin θB .ρ=2sin θC .ρ=2cos θD .ρ=cos θ【解析】由⎩⎪⎨⎪⎧x =cos 2α2=12+12cos α,y =12sin α(α为参数)得普通方程为⎝ ⎛⎭⎪⎫x -122+y 2=14,故圆心为C ⎝ ⎛⎭⎪⎫12,0,半径r =12,所以极坐标方程为ρ=cos θ. 【答案】 D12.若动点(x ,y )在曲线x 24+y 2b 2=1(b >0)上变化,则x 2+2y 的最大值为( ) A.⎩⎪⎨⎪⎧ b 24+4 (0<b ≤4)2b (b >4) B.⎩⎪⎨⎪⎧b 24+4 (0<b <2)2b (b ≥2)C.b 24+4D .2b【解析】 设动点的坐标为(2cos θ,b sin θ), 代入x 2+2y =4cos 2θ+2b sin θ =-⎝ ⎛⎭⎪⎫2sin θ-b 22+4+b 24,当0<b ≤4时,(x 2+2y )max =b 24+4;当b >4时,(x 2+2y )max =-⎝ ⎛⎭⎪⎫2-b 22+4+b 24=2b .【答案】 A二、填空题(本大题共4小题,每小题5分,共20分,把正确答案填在题中横线上) 13.在直角坐标系xOy 中,以原点O 为极点,x 轴的正半轴为极轴建立极坐标系.已知射线θ=π4与曲线⎩⎨⎧x =t +1,y =(t -1)2(t 为参数)相交于A ,B 两点,则线段AB 的中点的直角坐标为________.【解析】 射线θ=π4的普通方程为y =x (x ≥0),代入⎩⎨⎧x =t +1,y =(t -1)2,得t 2-3t =0,解得t =0或t =3.当t =0时,x =1,y =1,即A (1,1); 当t =3时,x =4,y =4,即B (4,4). 所以AB 的中点坐标为⎝ ⎛⎭⎪⎫52,52.【答案】 ⎝ ⎛⎭⎪⎫52,5214.极坐标系中,曲线ρ=-4cos θ上的点到直线ρ()cos θ+3sin θ=8的距离的最大值是________.【解析】 曲线方程化为:ρ2=-4ρcos θ,即x 2+y 2+4x =0,化为:(x +2)2+y 2=4,圆心坐标为(-2,0),半径为r =2,直线方程化为:x +3y -8=0,圆心到直线距离为:d =|-2-8|2=5,所以最大距离为:5+2=7.【答案】 715.直线⎩⎨⎧ x =2+t y =-1-t (t 为参数)与曲线⎩⎨⎧x =3cos αy =3sin α(α为参数)交点个数为________.【解析】 直线与曲线的普通方程分别为 x +y -1=0, ① x 2+y 2=9, ②②表示圆心为O (0,0),半径为3的圆, 设O 到直线的距离为d ,则d =|-1|2=22,∵22<3,∴直线与圆有2个交点. 【答案】 216.已知曲线C 的参数方程为⎩⎨⎧x =2cos t ,y =2sin t (t 为参数),C 在点(1,1)处的切线为l .以坐标原点为极点,x 轴的正半轴为极轴建立极坐标系,则l 的极坐标方程为________.【解析】 由sin 2t +cos 2t =1得曲线C 的普通方程为x 2+y 2=2,过原点O 及切点(1,1)的直线的斜率为1,故切线l 的斜率为-1,所以切线l 的方程为y -1=-(x -1),即x +y -2=0.把x =ρcos θ,y =ρsin θ代入直线l 的方程可得ρcos θ+ρsin θ-2=0,即2ρsin ⎝ ⎛⎭⎪⎫θ+π4-2=0,化简得ρsin ⎝ ⎛⎭⎪⎫θ+π4= 2.【答案】 ρsin ⎝ ⎛⎭⎪⎫θ+π4=2三、解答题(本大题共6小题,共70分.解答时应写出文字说明、证明过程或演算步骤) 17.(本小题满分10分)在平面直角坐标系xOy 中,求过椭圆⎩⎨⎧x =5cos φ,y =3sin φ(φ为参数)的右焦点,且与直线⎩⎨⎧x =4-2t ,y =3-t (t 为参数)平行的直线的普通方程.【解】 由题设知,椭圆的长半轴长a =5,短半轴长b =3,从而c =a 2-b 2=4,所以右焦点为(4,0).将已知直线的参数方程化为普通方程x -2y +2=0.故所求直线的斜率为12,因此其方程为y =12(x -4),即x -2y -4=0.18.(本小题满分12分)在平面直角坐标系中, 以坐标原点为极点,x 轴的非负半轴为极轴建立极坐标系.已知点A 的极坐标为⎝ ⎛⎭⎪⎫2,π4,直线l 的极坐标方程为ρcos ⎝ ⎛⎭⎪⎫θ-π4=a ,且点A 在直线l 上.(1)求a 的值及直线l 的直角坐标方程;(2)圆C 的参数方程为⎩⎨⎧x =1+cos α,y =sin α(α为参数),试判断直线l 与圆C 的位置关系.【解】 (1)由点A ⎝ ⎛⎭⎪⎫2,π4在直线ρcos ⎝ ⎛⎭⎪⎫θ-π4=a 上,可得a =2,所以直线l 的方程可化为ρcos θ+ρsin θ=2, 从而直线l 的直角坐标方程为x +y -2=0.(2)由已知得圆C 的直角坐标方程为(x -1)2+y 2=1, 所以圆C 的圆心为(1,0),半径r =1. 因为圆心C 到直线l 的距离d =12=22<1, 所以直线l 与圆C 相交.19.(本小题满分12分)已知曲线C 1的参数方程为⎩⎨⎧x =4+5cos t ,y =5+5sin t (t 为参数),以坐标原点为极点,x 轴的正半轴为极轴建立极坐标系,曲线C 2的极坐标方程为ρ=2sin θ.(1)把C 1的参数方程化为极坐标方程; (2)求C 1与C 2交点的极坐标(ρ≥0,0≤θ<.【解】 (1)将⎩⎨⎧x =4+5cos t ,y =5+5sin t 消去参数t ,化为普通方程(x -4)2+(y -5)2=25,即C 1:x 2+y 2-8x -10y +16=0.将⎩⎨⎧x =ρcos θ,y =ρsin θ代入x 2+y 2-8x -10y +16=0得 ρ2-8ρcos θ-10ρsin θ+16=0,所以C 1的极坐标方程为ρ2-8ρcos θ-10ρsin θ+16=0. (2)C 2的普通方程为x 2+y 2-2y =0. 由⎩⎨⎧x 2+y 2-8x -10y +16=0,x 2+y 2-2y =0, 解得⎩⎨⎧ x =1,y =1或⎩⎨⎧x =0,y =2.所以C 1与C 2交点的极坐标分别为⎝ ⎛⎭⎪⎫2,π4,⎝ ⎛⎭⎪⎫2,π2.20.(本小题满分12分)在直角坐标系xOy 中,圆C 1:x 2+y 2=4,圆C 2:(x -2)2+y 2=4. (1)在以O 为极点,x 轴正半轴为极轴的极坐标系中,分别写出圆C 1,C 2的极坐标方程,并求出圆C 1,C 2的交点坐标(用极坐标表示);(2)求圆C 1与C 2的公共弦的参数方程.【解】 (1)圆C 1的极坐标方程为ρ=2,圆C 2的极坐标方程为ρ=4cos θ. 解⎩⎨⎧ρ=2,ρ=4cos θ,得ρ=2,θ=±π3. 故圆C 1与圆C 2交点的坐标为 ⎝ ⎛⎭⎪⎫2,-π3或⎝ ⎛⎭⎪⎫2,π3. 注:极坐标系下点的表示不惟一.(2)法一 将x =1代入⎩⎨⎧x =ρcos θ,y =ρsin θ,得ρcos θ=1,从而ρ=1cos θ.于是圆C 1与C 2的公共弦的参数方程为⎩⎨⎧x =1,y =tan θ,⎝⎛⎭⎪⎫-π3≤θ≤π3. 法二 由⎩⎨⎧x =ρcos θ,y =ρsin θ,得圆C 1与圆C 2交点的直角坐标分别为(1,-3)或(1,3).故圆C 1与C 2公共弦的参数方程为 ⎩⎨⎧x =1,y =t ,(-3≤t ≤3). 21.(本小题满分12分)在直角坐标系中,以原点为极点,x 轴的正半轴为极轴建立坐标系,已知曲线C :ρsin 2θ=2a cos θ(a >0),已知过点P (-2,-4)的直线l 的参数方程为⎩⎪⎨⎪⎧x =-2+22t y =-4+22t (t 为参数),直线l 与曲线C 分别交于M ,N 两点.(1)写出曲线C 和直线l 的普通方程;(2)若|PM |,|MN |,|PN |成等比数列,求a 的值. 【解】 (1)曲线C :y 2=2ax ,直线l :x -y -2=0. (2)将直线的参数表达式代入抛物线得 12t 2-(42+2a )t +16+4a =0,所以t 1+t 2=82+22a ,t 1t 2=32+8a . 因为|PM |=|t 1|,|PN |=|t 2|,|MN |=|t 1-t 2|, 由题意知,|t 1-t 2|2=|t 1t 2|⇒(t 1+t 2)2=5t 1t 2, 代入得a =1.22.(本小题满分12分)如图1,已知抛物线y 2=2px (p >0)的焦点为F ,过F 的直线交抛物线于A ,B 两点.图1(1)求证:1|F A |+1|FB |为定值; (2)求AB 的中点M 的轨迹方程.【解】 设直线AB 的方程为⎩⎪⎨⎪⎧x =p 2+t cos α,y =t sin α(t 为参数,α≠0),代入y 2=2px 整理,得t 2sin 2α-2pt cos α-p 2=0.设A 、B 两点对应的参数分别为t 1、t 2, 则由根与系数的关系,得 t 1+t 2=2p cos αsin 2α,t 1t 2=-p 2sin 2α. (1)1|F A |+1|FB |=1|t 1|+1|t 2|=|t 1|+|t 2||t 1t 2|=|t 1-t 2||t 1t 2|=(t 1+t 2)2-4t 1t 2|t 1t 2|=⎝ ⎛⎭⎪⎫2p cos αsin 2α2+4p 2sin 2α⎪⎪⎪⎪⎪⎪-p 2sin 2α=2p (定值).(2)设AB 的中点M (x ,y ),则M 对应参数为t =t 1+t 22=p cos αsin 2α,∴⎩⎪⎨⎪⎧x =p 2+p cos 2αsin 2α,y =p cos αsin α(α为参数),消去α,得y 2=p ⎝ ⎛⎭⎪⎫x -p 2为所求轨迹方程.。
高二数学(文科)选修4-4单元测试题(二)班级______________姓名______________1.在直角坐标系xOy 中,曲线C 的参数方程为⎩⎨⎧+==ααsin 1cos y x (α为参数),以O 为极点,x 轴的正半轴为极轴建立极坐标系,则曲线C 的极坐标方程为 .2.在平面直角坐标系中,已知直线l 与曲线C 的参数方程分别为l :1,1x s y s=+⎧⎨=-⎩(s 为参数)和C :22,x t y t =+⎧⎨=⎩(t 为参数),若l 与C 相交于A 、B 两点,则AB = .3.在直角坐标系xoy 中, 以坐标原点为极点, x 轴正半轴为极轴建立极坐标系,则直线2()1x t t y t=-+⎧⎨=-⎩为参数截圆22cos 30ρρθ+-=的弦长等于__________.4.化参数方程⎪⎩⎪⎨⎧==ty tx 22sin cos ,0(∈t ,]2π为普通方程为 .5.直线2()1x tt y t=-+⎧⎨=-⎩为参数被圆35cos 15sin x y θθ=+⎧⎨=-+⎩ ()θθπ∈为参数,[0,2)所截得的 弦长为 .6.已知直线l :40x y -+=与圆C :12cos 12sin x y θθ=+⎧⎨=+⎩(θ为参数),则C 上各点到l 的距离的最小值为___________.7.已知直线112:2x tl y kt=-⎧⎨=+⎩(t 为参数),2,:12.x s l y s =⎧⎨=-⎩(s 为参数),若1l //2l ,则k = ;若12l l ⊥,则k = .8.直线3470x y +-=截曲线cos ,1sin x y αα=⎧⎨=+⎩(α为参数)的弦长为___________.9.已知两曲线参数方程分别为()πθθθ<≤⎩⎨⎧==0sin cos 5y x 和 ⎪⎩⎪⎨⎧==ty tx 245(t R ∈),它们的交点坐标为 .10.已知直线314x aty t=+⎧⎨=-+⎩(t 为参数),则该直线恒过定点__________.11.两直线2)4sin(=+πθρ与1)4sin(=-πθρ的位置关系是 .12. 球坐标(2,,)63ππ对应的点的直角坐标是 ___,对应点的柱坐标是 _ __.13.自极点O 向直线l 作垂线,垂足为(2,)3H π,则直线l 的极坐标方程是 .14.极坐标方程 24sin 3θ= 化为直角坐标方程是 ;它表示的图形是 .15.在极坐标系中,曲线4sin ρθ=-和cos 1ρθ=相交于点,A B 两点,则线段AB 的长度 为 .16.在直角坐标系中圆C 的参数方程为⎩⎨⎧+==θθsin 22cos 2y x (θ为参数),则圆C 的普通方程为 __ __,以原点O 为极点,以x 轴正半轴为极轴建立极坐标系,则 圆C 的圆心极坐标为 __ _.17.参数方程⎩⎨⎧-==αα2cos 2cos 2y x (α是参数)表示的曲线的普通方程是_________________.18.参数方程sin cos sin 2x y θθθ=-⎧⎨=⎩(θ为参数)化为普通方程是 .19.若直线340x y m ++=与圆⎩⎨⎧+-=+=θθsin 2cos 1y x (θ为参数)相切,则实数m 的值是 .20.已知曲线sin (11cos 222y x θθθ=⎧⎪⎨=-⎪⎩为参数)与直线x a =有两个不同的公共点,则实数a 的取值范围是_________________.21.已知圆C 的参数方程为cos 1sin x y θθ=+⎧⎨=⎩(θ为参数), 则点()4,4P 与圆C 上的点的最远距离是 .22.在直角坐标系中,曲线1C 的参数方程为],0[sin ,cos πθθθ∈⎩⎨⎧==y x ,以x 轴的正半轴为极轴建立极坐标系,曲线2C 在极坐标系中的方程为θθρcos sin -=b.若曲线1C 与2C 有两个不同的交点,则实数b 的取值范围是 .23.已知圆锥曲线2cos x y θθ=⎧⎪⎨=⎪⎩(θ是参数)和定点A(0),F 1、F 2是圆锥曲线的左、右焦点,以坐标原点为极点,x 轴的正半轴为极轴建立极坐标系,则直线AF 2的极坐标方程为__________________________.24.若直线⎩⎨⎧+=-=,32,21t y t x (t 为参数)与直线14=+ky x 垂直,则常数k =__ __.25.已知椭圆:C cos ,()2sin x y θθθ=⎧∈⎨=⎩R 经过点1(,)2m ,则m =______,离心率e =______.26. (2012深圳二模文)在极坐标系中,直线:cos l t ρθ=(常数0)t >)与曲线:2sin C ρθ=相切,则t = .27. (2012深圳二模理)在极坐标系中,已知直线l :(sin cos )a ρθθ-=把曲线C :2cos ρθ= 所围成的区域分成面积相等的两部分,则常数a 的值是 .28. (2012广州二模文、理)在极坐标系中,若等边三角形ABC (顶点A ,B ,C 按 顺时针方向排列)的顶点A ,B 的极坐标分别为(2,6π),(2,76π),则顶点C 的极 坐标为 .参考答案1.θρsin 2=2 3.44.1=+y x (10≤≤x )56.2 7.4;1- 8.1659.(1,510.(3,1)- 11.垂直12.1(2;(1,3π13.cos()23πρθ-=14.x y 3±=(或223x y =) ; 两条直线(或两条相交直线) 15.3216.22(2)4x y +-=; )2,2(π17.322+-=x y (2||≤x )18.21,x y x ⎡=-∈⎣19.10或0 20.01a <≤ 21.622.1b ≤<23.sin cos ρθθ=24.-625.415±,226.1 27.1-28.2)3π;或))(232,32(Z k k ∈+ππ。
高二数学期末试题∑∑=-=--∧---=ni i ni i ix x y y x xb 121)())((=1221ni ii nii x y nx yxnx==--∑∑, ˆay b x ∧=-. 随机量变))()()(()(22d b c a d c b a bc ad n K ++++-= (其中d c b a n +++=)临界值表一、选择题:本大题共12小题,每小题5分;共60分,在每小题给出的四个选项中,只有一项是符合题目要求的.1.复数212ii+-的共轭复数是(A )35i - (B )35i (C )i - (D )i2.10⎰(e 2+2x )dx 等于A.1B.e-1C.eD.e+1 3.已知ξ的分布列如下:并且23ηξ=+,则方差D η=( ) A.17936B.14336C.29972D.227724. 在极坐标系中,点 (,)π23到圆2cos ρθ= 的圆心的距离为(A )2 (B) (5. 若函数32()1f x x x mx =+++是R 上的单调函数,则实数m 的取值范围是 A. 1(,)3+∞ B. 1(,)3-∞ C. 1[,)3+∞ D. 1(,]3-∞6.在6⎫⎝的二项展开式中,2x 的系数为 A.154- B .154C .38-D .387.有3个兴趣小组,甲、乙两位同学各自参加其中一个小组,每位同学参加各个小组的可能性相同,则这两位同学参加同一个兴趣小组的概率为 (A )13 (B )12 (C )23 (D)348.已知随机变量ξ服从正态分布()22N ,a ,且P(ξ<4)=0.8,则P(0<ξ<2)=A.0.6 B.0.4 C.0.3 D.0.29.如图,用K 、1A 、2A 三类不同的元件连接成一个系统。
当K 正常工作且1A 、2A 至少有一个正常工作时,系统正常工作,已知K 、1A 、2A 正常工作的概率依次是0.9、0.8、0.8,则系统正常工作的概率为A .0.960 B.0.864 C.0.720 D.0.576(10)某产品的广告费用x 与销售额y 的统计数据如下表根据上表可得回归方程ˆˆˆybx a =+中的ˆb 为9.4,据此模型预报广告费用为6万元时销售额为 (A )63.6万元 (B )65.5万元 (C )67.7万元 (D )72.0万元 11.由曲线y =2y x =-及y 轴所围成的图形的面积为(A )103 (B )4 (C )163(D )6 12.若曲线22=ρ上有n个点到曲线2)4cos(=+πθρ的距离等于2,则n =( )A .1B .2C .3D .4 二、填空题:本大题共4小题,每小题5分。
选修4-4 第1节[知能演练]一、选择题1.点M (ρ,θ)关于极点对称的点的坐标为( )A .(-ρ,-θ)B .(ρ,π+θ)C .(ρ,π-θ)D .(ρ,-θ)答案:B2.将曲线y =12sin3x 变为y =sin x 的伸缩变换是( )A.⎩⎪⎨⎪⎧x =3x ′y =12y ′B.⎩⎪⎨⎪⎧x ′=3x y ′=12y C.⎩⎪⎨⎪⎧x =3x ′y =2y ′D.⎩⎪⎨⎪⎧x ′=3x y ′=2y 答案:D3.设点M 的直角坐标为(-1,-3,3),则它的柱坐标是( )A .(2,π3,3)B .(2,2π3,3)C .(2,4π3,3)D .(2,5π3,3)解析:ρ=(-1)2+(-3)2=2, tan θ=3,∴θ=4π3,z =3,∴选C.答案:C4.在极坐标系中,与圆ρ=4sin θ相切的一条直线方程为( )A .ρsin θ=2B .ρcos θ=2C .ρcos θ=4D .ρcos θ=-4解析:圆ρ=4sin θ的圆心为(2,π2),半径r =2,对于选项A ,方程ρsin θ=2对应的直线(y =2)与圆相交;对于选项B ,方程ρcos θ=2对应的直线(x =2)与圆相切;选项C ,D 对应的直线与圆都相离.答案:B 二、填空题5.已知点M 的极坐标为(6,11π6),则点M 关于y 轴对称的点的直角坐标为________. 解析:∵点M 的极坐标为(6,11π6),∴x =6cos 11π6=6cos π6=6×32=33,y =6sin 11π6=6sin(-π6)=-6×12=-3,∴点M 的直角坐标为(33,-3),∴点M 关于y 轴对称的点的直角坐标为(-33,-3). 答案:(-33,-3)6.在极坐标系中,点P (2,3π2)到直线l :3ρcos θ-4ρsin θ=3的距离为________.解析:在相应直角坐标系中,P (0,-2),直线l 方程:3x -4y -3=0,所以P 到l 的距离:d =|3×0-4×(-2)-3|32+42=1.答案:1 三、解答题7.说出由曲线y =tan x 得到曲线y =3tan2x 的变换过程,并求满足其图形变换的伸缩变换.解:y =tan x 的纵坐标不变,横坐标缩短为原来的12,得到y =tan2x ,再将其纵坐标伸长为原来的3倍,横坐标不变,得到曲线y =3tan2x .设y ′=3tan2x ′,变换为⎩⎪⎨⎪⎧x ′=λ·x λ>0y ′=μ·y μ>0,将其代入y ′=3tan2x ′,得μy =3tan2λx与y =tan x 比较,可得⎩⎪⎨⎪⎧ μ=3λ=12,∴⎩⎪⎨⎪⎧x ′=12xy ′=3y.8.从极点O 作直线与另一直线l :ρcos θ=4相交于点M ,在OM 上取一点P ,使OM ·OP =12.(1)求点P 的轨迹方程;(2)设R 为l 上的任意一点,试求RP 的最小值. 解:(1)设动点P 的坐标为(ρ,θ), M 的坐标为(ρ0,θ),则ρρ0=12,∵ρ0cos θ=4,∴ρ=3cos θ即为所求的轨迹方程.(2)由(1)知P 的轨迹是以(32,0)为圆心,半径为32的圆,易得RP 的最小值为1.[高考·模拟·预测]1.极坐标方程ρ=cos θ化为直角坐标方程为( )A .(x +12)2+y 2=14B .x 2+(y +12)2=14C .x 2+(y -12)2=14D .(x -12)2+y 2=14解析:由ρ=cos θ得ρ2=ρcos θ,∴x 2+y 2=x .选D. 答案:D2.在极坐标系中,直线ρsin(θ+π4)=2被圆ρ=4截得的弦长为________.解析:直线ρsin(θ+π4)=2可化为x +y -22=0,圆ρ=4可化为x 2+y 2=16,由圆中的弦长公式得2r 2-d 2=242-(222)2=4 3.答案:4 33.在极坐标系中,点(1,0)到直线ρ(cos θ+sin θ)=2的距离为________.解析:直线ρ(cos θ+sin θ)=2可化为x +y -2=0,故点(1,0)到直线距离d =|1+0-2|2=22.答案:224.两直线ρsin(θ+π4)=2008,ρsin(θ-π4)=2009的位置关系是________.(判断垂直或平行或斜交)解析:两直线方程可化为x +y =20082,y -x = 20092,故两直线垂直. 答案:垂直5.圆O 1和圆O 2的极坐标方程分别为ρ=4cos θ,ρ=-sin θ. (1)把圆O 1和圆O 2的极坐标方程化为直角坐标方程. (2)求经过圆O 1,圆O 2两个交点的直线的直角坐标方程.解:以极点为原点,极轴为x 轴正半轴,建立平面直角坐标系,两坐标系中取相同的长度单位.(1)x =ρcos θ,y =ρsin θ,由ρ=4cos θ得ρ2=4ρcos θ.所以x 2+y 2=4x .即x 2+y 2-4x =0为圆O 1的直角坐标方程. 同理,x 2+y 2+y =0为圆O 2的直角坐标方程.(2)由⎩⎪⎨⎪⎧x 2+y 2-4x =0,x 2+y 2+y =0,相减得过交点的直线的直角坐标方程为4x +y =0.6.求经过极点O (0,0),A (6,π2),B (62,9π4)三点的圆的极坐标方程.解:将点的极坐标化为直角坐标,点O ,A ,B 的直角坐标分别为(0,0),(0,6),(6,6),故△OAB 是以OB 为斜边的等腰直角三角形,圆心为(3,3),半径为32,圆的直角坐标方程为(x -3)2+(y -3)2=18,即x 2+y 2-6x -6y =0,将x =ρcos θ,y =ρsin θ代入上述方程,得ρ2-6ρ(cos θ+sin θ)=0,即ρ=62cos(θ-π4).。
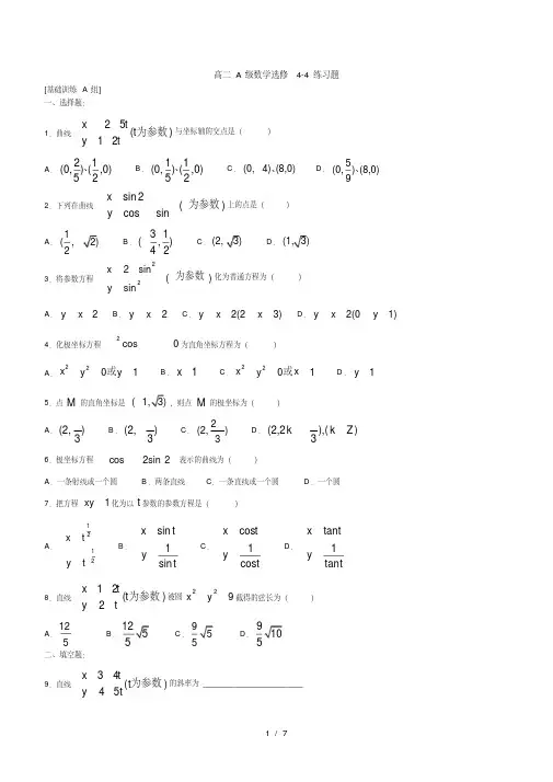
高二A 级数学选修4-4练习题[基础训练A 组] 一、选择题: 1.曲线25()12x tt y t =-+⎧⎨=-⎩为参数与坐标轴的交点是( )A .21(0,)(,0)52、 B .11(0,)(,0)52、 C .(0,4)(8,0)-、D .5(0,)(8,0)9、 2.下列在曲线sin 2()cos sin x y θθθθ=⎧⎨=+⎩为参数上的点是( )A.1(,2 B .31(,)42- C. D. 3.将参数方程222sin ()sin x y θθθ⎧=+⎪⎨=⎪⎩为参数化为普通方程为( ) A .2y x =- B .2y x =+ C .2(23)y x x =-≤≤ D .2(01)y x y =+≤≤4.化极坐标方程2cos 0ρθρ-=为直角坐标方程为( )A .201y y +==2x或 B .1x = C .201y +==2x 或x D .1y =5.点M的直角坐标是(-,则点M 的极坐标为( )A .(2,)3πB .(2,)3π-C .2(2,)3πD .(2,2),()3k k Z ππ+∈6.极坐标方程cos 2sin 2ρθθ=表示的曲线为( )A .一条射线或一个圆B .两条直线C .一条直线或一个圆D .一个圆 7.把方程1xy=化为以t 参数的参数方程是( )A .1212x t y t -⎧=⎪⎨⎪=⎩B .sin 1sin x t y t =⎧⎪⎨=⎪⎩C .cos 1cos x t y t =⎧⎪⎨=⎪⎩D .tan 1tan x t y t =⎧⎪⎨=⎪⎩ 8.直线12()2x tt y t=+⎧⎨=+⎩为参数被圆229x y +=截得的弦长为( )A .125 BCD二、填空题: 9.直线34()45x tt y t=+⎧⎨=-⎩为参数的斜率为________________________10.参数方程()2()t tt tx e et y e e --⎧=+⎪⎨=-⎪⎩为参数的普通方程为__________________________11.已知直线113:()24x tl t y t=+⎧⎨=-⎩为参数与直线2:245l x y -=相交于点B ,又点(1,2)A ,则AB =________________________12.直线cos sin 0x y αα+=的极坐标方程为__________________________13.已知曲线22()2x pt t p y pt⎧=⎨=⎩为参数,为正常数上的两点,M N 对应的参数分别为12,t t 和,120t t +=且,那么MN=____________________14.直线2()3x t y ⎧=-⎪⎨=+⎪⎩为参数上与点(2,3)A -_________ 三、解答题:15.已知点(,)P x y 是圆222x y y +=上的动点.(1)求2x y +的取值范围; (2)若0x y a ++≥恒成立,求实数a 的取值范围.16.求直线11:()5x tl t y =+⎧⎪⎨=-⎪⎩为参数和直线2:0l x y --=的交点P 的坐标,及点P 与(1,5)Q -的距离.[综合训练B 组]一、选择题:1.直线l 的参数方程为()x a tt y b t=+⎧⎨=+⎩为参数,l 上的点1P 对应的参数是1t ,则点1P 与(,)P a b 之间的距离是(A .1t B .12t C1D12.参数方程为1()2x t t t y ⎧=+⎪⎨⎪=⎩为参数表示的曲线是( )A .一条直线B .两条直线C .一条射线D .两条射线3.直线112()2x t t y t ⎧=+⎪⎪⎨⎪=-⎪⎩为参数和圆2216x y +=交于,A B 两点,则AB 的中点坐标为( )A .(3,3)- B.( C.3)- D.(3,4.圆5cos ρθθ=-的圆心坐标是( )A .4(5,)3π--B .(5,)3π-C .(5,)3πD .5(5,)3π- 5.与参数方程为)x t y ⎧=⎪⎨=⎪⎩为参数等价的普通方程为( ) A .214y +=2x B .21(01)4y x +=≤≤2x C .21(02)4y y +=≤≤2x D .21(01,02)4y x y +=≤≤≤≤2x 6.直线2()1x tt y t=-+⎧⎨=-⎩为参数被圆22(3)(1)25x y -++=所截得的弦长为( )AB .1404CD7.极坐标方程cos 20ρθ=表示的曲线为( )A .极点B .极轴C .一条直线D .两条相交直线 8.在极坐标系中与圆4sin ρθ=相切的一条直线的方程为( )A .cos 2ρθ= B .sin 2ρθ= C .4sin()3πρθ=+ D .4sin()3πρθ=-二、填空题:9.曲线的参数方程是211()1x t t y t ⎧=-⎪≠⎨⎪=-⎩为参数,t 0,则它的普通方程为________________10.直线3()14x att y t=+⎧⎨=-+⎩为参数过定点______________________11.点P(x,y)是椭圆222312xy +=上的一个动点,则2x y +的最大值为_____________12.曲线的极坐标方程为1tan cos ρθθ=⋅,则曲线的直角坐标方程为________________13.设()y tx t =为参数则圆2240x y y +-=的参数方程为_______________________14.极坐标方程分别为cos ρθ=与sin ρθ=的两个圆的圆心距为__________________三、解答题:15.点P 在椭圆221169x y +=上,求点P 到直线3424x y -=的最大距离和最小距离.16.过点P 作倾斜角为α的直线与曲线22121xy +=交于点,M N ,求PM PN ⋅的最小值及相应的α的值.高二A 级数学选修4-4练习题-答案[基础训练A 组]一、选择题:BBCC CCDB1.B 当0x=时,25t =,而12y t =-,即15y =,得与y 轴的交点为1(0,)5;当0y =时,12t =,而25x t =-+,即12x =,得与x 轴的交点为1(,0)22.B 转化为普通方程:21y x =+,当34x =-时,12y =3.C 转化为普通方程:2y x =-,但是[2,3],[0,1]x y ∈∈4.C (cos 1)0,0,cos 1x ρρθρρθ-=====或 5.C 2(2,2),()3k k Z ππ+∈都是极坐标 6.C2cos 4sin cos ,cos 0,4sin ,4sin ρθθθθρθρρθ====或即则,2k πθπ=+或224x y y +=7.D1xy =,x 取非零实数,而A ,B ,C 中的x 的范围有各自的限制8.B11221x x t y t y ⎧=+⎪=+⎧⎪⇒⎨⎨=+⎩⎪=⎪⎩,把直线122x t y t =+⎧⎨=+⎩代入 229x y +=得222(12)(2)9,5840t t t t +++=+-=12125t t -===12t -=二、填空题: 9.54-455344y t k x t --===-- 10.221,(2)416x y x -=≥ 22()()422222tt t t tty x e x e e y y x x y y e e x e ---⎧⎧+==+⎪⎪⎪⇒⇒+-=⎨⎨=-⎪⎪-=⎩⎪⎩ 11.52 将1324x t y t=+⎧⎨=-⎩代入245x y -=得12t =,则5(,0)2B ,而(1,2)A ,得52AB =12.2πθα=+ cos cos sin sin 0,cos()0ρθαρθαθα+=-=,取2πθα-=13.14pt 显然线段MN 垂直于抛物线的对称轴。
即x 轴,121222MN p t t p t =-=14.(3,4)-,或(1,2)-22221()),,2t t +===三、解答题:15.解:(1)设圆的参数方程为cos 1sin x y θθ=⎧⎨=+⎩, (2)cos sin 10x y a a θθ++=+++≥22cos sin 1)1x y θθθϕ+=++=++(cos sin )1)14a πθθθ∴≥-+-=+-121x y ≤+≤.1a ∴≥16.解:将15x ty =+⎧⎪⎨=-+⎪⎩代入0x y --=得t =得(1P +,而(1,5)Q -,得PQ ==[综合训练B 组]一、选择题:CDDA DCDA 1.C1=2.D2y =表示一条平行于x 轴的直线,而2,2x x ≥≤-或,所以表示两条射线 3.D221(1)()162t ++-=,得2880t t --=,12128,42t t t t ++==中点为114324x x y y ⎧=+⨯⎪=⎧⎪⎪⇒⎨⎨=⎪⎩⎪=-⎪⎩4.A圆心为5(,2 5.D 22222,11,1,0,011,0244y y x t t x x t t y ==-=-+=≥≤-≤≤≤而得 6.C222112x x t y t y ⎧=-⨯⎪=-+⎧⎪⇒⎨⎨=-⎩⎪=⨯⎪⎩,把直线21x ty t=-+⎧⎨=-⎩代入22(3)(1)25x y -++=得222(5)(2)25,720t t t t -++-=-+=12t t -==12t -=7.D cos 20,cos 20,4k πρθθθπ===±,为两条相交直线8.A4sin ρθ=的普通方程为22(2)4x y +-=,cos 2ρθ=的普通方程为2x =圆22(2)4xy +-=与直线2x =显然相切二、填空题: 9.2(2)(1)(1)x x y x x -=≠- 111,,1x t t x-==-221(2)1()(1)1(1)x x y x x x -∴=-=≠-- 10.(3,1)-143y x a+=-,(1)4120y a x -++-=对于任何a 都成立,则3,1x y ==-且 11椭圆为22164x y +=,设,2sin )P θθ,24sin )x y θθθϕ+=+=+≤12.2xy = 22221sin tan ,cos sin ,cos sin ,cos cos θρθρθθρθρθθθ=⋅===即2x y = 13.2224141t x t t y t ⎧=⎪⎪+⎨⎪=⎪+⎩22()40x tx tx +-=,当0x =时,0y =;当0x ≠时,241tx t =+; 而y tx =,即2241t y t =+14.2圆心分别为1(,0)2和1(0,)2三、解答题:15.解:设(4cos ,3sin )P θθ,则12cos 12sin 245d θθ--==当cos()14πθ+=-时,max 12(25d =;当cos()14πθ+=时,min 12(25d =. 16.解:设直线为cos ()2sin x t t y t αα⎧=+⎪⎨⎪=⎩为参数,代入曲线并整理得223(1sin ))02t t αα+++=, 则122321sin PM PN t t α⋅==+所以当2sin 1α=时,即2πα=,PM PN ⋅的最小值为34.。