(完整版)内燃机原理课后习题与答案
- 格式:doc
- 大小:26.16 KB
- 文档页数:10
内燃机原理与构造习题解答第一章发动机的工作原理和总体构造1、汽车发动机通常是由哪些机构与系统组成?它们各有什么功用?向气缸供给由汽油与空气混合的混合气。
2、柴油机与汽油机在可燃混合气形成方式与点火方式上有何不同?它们所用的压缩比为何不一样?可燃混合气的形成及发火方式:汽油机:汽油粘度小,蒸发性好,自燃温度高于380ºC。
在气缸外部的化油器处形成混合气,由进气管进入气缸,在压缩接近上止点时由火花塞发火点燃混合气。
即外火源点燃。
柴油机:柴油粘度大,蒸发性差,自燃度为250ºC左右。
在气缸内部形成混合气,即在压缩接近终了由喷油泵提供雾状柴油,通过喷油器喷入气缸与压缩后的高温空气混合,自行发火燃烧。
即压缩自燃。
柴油机靠压缩自燃,因此,压缩比设计得较大。
3、四冲程汽油机与柴油机在总体构造上有何异同?汽油机由以上两大机构和五大系统组成,即由曲柄连杆机构,配气机构、燃料供给系、润滑系、冷却系、点火系和起动系组成;柴油机由以上两大机构和四大系统组成,即由曲柄连杆机构、配气机构、燃料供给系、润滑系、冷却系和起动系组成,柴油机是压燃的,不需要点火系。
汽油机与柴油机的燃料供给系有区别:汽油机:由化油器向气缸供给由汽油与空气混合的混合气。
柴油机:由喷油泵提供雾状柴油,通过喷油器喷入气缸。
第二章曲柄连杆机构1、发动机镶入缸套有何优点?什么是干缸套?什么是湿缸套?采用湿缸套如何防止漏水?气缸套采用耐磨的优质材料制成,气缸体可用价格较低的一般材料制造,从而降低了制造成本。
同时,气缸套可以从气缸体中取出,因而便于修理和更换,并可大大延长气缸体的使用寿命。
气缸套有干式气缸套和湿式气缸套两种。
干式气缸套的特点:气缸套装入气缸体后,其外壁不直接与冷却水接触,而和气缸体的壁面直接接触,壁厚较薄,一般为1~3mm。
它具有整体式气缸体的优点,强度和刚度都较好,但加工比较复杂,内、外表面都需要进行精加工,拆装不方便,散热不良。
内燃机构造习题及答案(可编辑)【完整版】(文档可以直接使用,也可根据实际需要修订后使用,可编辑放心下载)内燃机构造习题及答案汽车构造习题及答案目录习题集 (1)总论 (1)第一章汽车发动机总体构造和工作原理 (4)第二章曲柄连杆机构 (8)第三章配气机构 (12)第四章汽油机燃料供应系 (15)第五章柴油机燃料供应系 (19)第六章润滑系 (28)第七章冷却系 (31)习题集答案 (58)第一章汽车发动机总体构造和工作原理一、填空题1.往复活塞式点燃发动机一般由、、、、、和组成。
2.四冲程发动机曲轴转二周,活塞在气缸里往复行程次,进、排气门各开闭次,气缸3.二冲程发动机曲轴转周,活塞在气缸里往复行程次,完成工作循环。
4.发动机的动力性指标主要有、等;经济性指标主要是。
5.发动机的有效功率与指示功率之比称。
1.由于柴油机的压缩比大于汽油机的压缩比,因此在压缩终了时的压力及燃烧后产生的〔〕2.多缸发动机各气缸的总容积之和,称为发动机排量。
〔〕3.发动机的燃油消耗越小,经济性越好。
〔〕4.发动机总容积越大,它的功率也就越大。
〔〕5.活塞行程是曲柄旋转半径的2倍。
〔〕6.经济车速是指很慢的行驶速度。
〔〕7.通常,汽油机的经济性比柴油机差,从外特性中的曲线比拟,汽油机曲线比柴油曲线平缓。
〔〕8.发动机转速过高过低,气缸内充气量都将减少。
〔〕9.发动机转速增高,其单位时间的耗油量也增高。
〔〕10.发动机最经济的燃油消耗率对应〔〕11.同一发动机的标定功率值可能会不同。
〔〕12.在测功机上测定发动机功率时,是在不带空气滤清器、风扇、消声器、发电机等条件下四、选择题 1.发动机的有效转矩与曲轴角速度的乘积称之为〔〕。
A、指示功率B、有效功率C、最大转矩 D最大功率2.发动机在某一转速发出的功率与同一转速下所可能发出的最大功率之比称之为〔〕。
A发动机工况 B有效功率 C、工作效率 D发动机负荷3.燃油消耗率最低的负荷是〔〕。
《内燃机学》课后习题答案(第4版)第一章概论1-1.内燃机发明对工业进程的影响。
①内燃机的发明,既给传统的动力机械创造了新的动力源,又推动了一大批新兴工业产业(例如交通运输、发电、工程机械等)落地生根,在一定程度解放了生产力,促进了人类工业文明的发展。
②内燃机的发明,带动了包括石油炼制、钢铁、汽车等一大批上下游企业的产生与发展,给国民经济发展创造了新支柱,并推动很多国家走上了工业化道路。
1-2.内燃机燃料和润滑油对内燃机技术进步的影响。
①内燃机的燃料众多,常见的有汽油、柴油、煤油、气体燃料等,不同的燃料物理化学性质不同,对内燃机的要求也不同,根据内燃机的实际工作情况合理选择不同的燃料,不仅可以提高内燃机的动力性、经济性,降低排放,还能带动内燃机新型燃烧技术的发展与完善。
②内燃机内部的摩擦副众多,工作时的摩擦损失不仅会降低内燃机的机械效率,还会加剧零部件的摩擦,降低内燃机寿命。
采用润滑油对关键零部件进行润滑,对于提高内燃机效率、延长寿命极为重要。
1-3.内燃机引进技术消化和吸收存在的问题。
国外内燃机于1901年开始进入中国市场,随后中国的一些工厂开始借鉴仿制,经历了由单缸到双缸,由低速到高速的过程。
新中国成立后,我国通过自主研发、仿制和接受援建,成立了一大批内燃机骨干企业,内燃机工业初具规模。
20世纪60年代,我国的内燃机由仿制转为自主研制生产,由小批量生产转为大批量生产,功率大大提高,并逐渐在农业、发电、船舶等领域得以应用。
20世纪80年代后,内燃机行业进行了一系列调整和改革,技术水平有所提高,很多合资企业出现,新型内燃机的研制受到重视,并逐渐融入了世界内燃机工业体系。
1-4.车用内燃机发展技术分析。
内燃机作为一种热动力装置,发明之初人们更倾向于它的动力性能与热效率,前期的一系列改进与创新也主要围绕效率和动力性能展开,并逐渐对其他方面的性能进行优化。
经历了一个半世纪的发展,在燃烧理论的指导下,通过材料、机械加工、燃料、电控等技术的发展与完善,其动力性、经济性、耐久性等技术指标的强化程度不断提高,满足了绝大部分固定和移动用途的要求,取得了广泛的应用。
内燃机原理课后习题与答案1.简述发动机的实际工作循环过程。
1)进气过程:为了使发动机连续运转,必须不断吸入新鲜工质,即是进气过程。
此时进气门开启,排气门关闭,活塞由上止点向下止点移动。
2)压缩过程:此时进排气门关闭,活塞由下止点向上止点移动,缸内工质受到压缩、温度。
压力不断上升,工质受压缩的程度用压缩比表示。
3)燃烧过程:期间进排气门关闭,活塞在上止点前后。
作用是将燃料的化学能转化为热能,使工质的压力和温度升高,燃烧放热多,靠近上止点,热效率越高。
4)膨胀过程:此时,进排气门均关闭,高温高压的工质推动活塞,由上止点向下至点移动而膨胀做功,气体的压力、温度也随之迅速下降。
(5)排气过程:当膨胀过程接近终了时,排气门打开,废气开始靠自身压力自由排气,膨胀过程结束时,活塞由下止点返回上止点,将气缸内废气移除。
3.提高发动机实际工作循环热效率的基本途径是什么?可采取哪些基本措施?提高实际循环热效率的基本途径是:减小工质传热损失、燃烧损失、换气损失、不完全燃烧损失、工质流动损失、工质泄漏损失。
提高工质的绝热指数κ可采取的基本措施是:⑴减小燃烧室面积,缩短后燃期能减小传热损失。
⑵. 采用最佳的点火提前角和供油提前角能减小提前燃烧损失或后燃损失。
⑶采用多气门、最佳配气相位和最优的进排气系统能减小换气损失。
⑷加强燃烧室气流运动,改善混合气均匀性,优化混合气浓度能减少不完全燃烧损失。
⑸优化燃烧室结构减少缸内流动损失。
⑹采用合理的配缸间隙,提高各密封面的密封性减少工质泄漏损失。
4.什么是发动机的指示指标?主要有哪些?答:以工质对活塞所作之功为计算基准的指标称为指示性能指标。
它主要有:指示功和平均指示压力.指示功率.指示热效率和指示燃油消耗率。
5.什么是发动机的有效指标?主要有哪些?答:以曲轴输出功为计算基准的指标称为有效性能指标。
主要有:1)发动机动力性指标,包括有效功和有效功率.有效转矩.平均有效压力.转速n和活塞平均速度;2)发动机经济性指标,包括有效热效率.有效燃油消耗率;3)发动机强化指标,包括升功率PL.比质量me。
智慧树知到答案内燃机原理课后作业答案问:使时间有意义的因素是()。
答:行动问:下列方法中不适合大学生有效学习的是()。
答:考前背重点问:以下哪种情况可以利用搜索快速解决问题?()答:以上都是问:不属于有效管理时间的行为是()。
答:集中时间处理琐碎的事情问:除了百度等搜索引擎,()也可以视作是搜索平台。
答:以上都是问:儒家不讲命。
()答:×问:应付考试首先是学习技巧而不是愚公移山的方法。
答:×问:古希腊文"atom"的含义是什么?()答:不可分的问:根据张首晟的观点,在进行研究时要提出的不是与初始条件有关的问题,而是本真的问题。
()答:√问:人在月球上走路的速度会变快是可以根据量纲分析得出的。
()答:×问:导游员在带团时,可以根据自己的兴趣和爱好来安排穿着打扮和佩戴饰物。
答:错问:大学生村官是各省党委组织部门有计划地从高等院校选调品学兼优的应届大学本科及其以上毕业生到基层工作,作为党政领导干部后备人选和县级以上党政机关高素质的工作人选进行重点培养群体的简称。
()答:错问:()是指外太空领域的安全,主要是指一个国家航天器及其运行空间的不受侵害的威胁。
答:天域安全问:除了物资短缺、产品供不应求的情况之外,某种具有良好市场前景的产品,因生产成本很高,必须通过提高生产率、降低成本来扩大市场时,也会导致公司奉行生产观念。
()答:正确问:与领导沟通的最终目标是什么?答:使行动问:先赋角色在资源分配中扮演更重要的角色的社会是一个更为开放的社会。
()答:错误问:农民工生产体制中拆分型劳动力再生产制度强调实质上农民工的赡养父母、养育子女等安排交由他们所在乡村地区的老家去完成,而教育、医疗、住宅等则是由城镇和工厂负担。
()(1.0分)答:错误问:当时的博物学要成为一门学问,需要做哪些事情?()答:建立分类体系统一术语和名称进化论取得胜利问:佛教开始全面走向中国化的朝代是()答:第一空:唐玄宗问:下列关于火星的说法中,()是错误的答:每三年两个月接近地球一次问:在Word文档中有一个占用3页篇幅的表格,如需将这个表格的标题行都出现在各页面首行,最优的操作方法是()。
内燃机学课后习题标准答案2-4 平均有效压⼒和升功率在作为评定发动机的动⼒性能⽅⾯有何区别?答平均有效压⼒是⼀个假想不变的压⼒,其作⽤在活塞顶上使活塞移动⼀个⾏程所做的功等于每循环所做的有效功,升功率是在标定的⼯况下,发动机每升⽓缸⼯作容积所发出的有效功率。
区别:前者只反应输出转矩的⼤⼩,后者是从发动机有效功率的⾓度对其⽓缸容积的利⽤率作出的总评价,它与 Pme 和 n 的乘积成正⽐。
(Pl=Pme·n/30T)2-6提升途径:1)采⽤增压技术,2)合理组织燃烧过程,提⾼循环指⽰效率,3)改善换⽓过程,提⾼⽓缸的充量系数,4)提⾼发动机的转速,5)提⾼内燃机的机械效率,6)采⽤⼆冲程提⾼升功率,7)增加排量2-9 内燃机的机械损失由哪些部分组成?详细分析内燃机机械损失的测定⽅法,其优缺点及适⽤场合。
答(1)机械损失组成:1 活塞与活塞环的摩擦损失。
2 轴承与⽓门机构的摩擦损失。
3.驱动附属机构的功率消耗。
4 风阻损失。
5 驱动扫⽓泵及增压器的损失。
(2)机械损失的测定:1 ⽰功图法:由⽰功图测出指⽰功率 Pi,从测功器和转速计读数中测出有效功率 Pe,从⽽求得Pm,pm 及ηm 的值。
优:在发动机真实⼯作情况下进⾏,理论上完全符合机械损失定义。
缺:⽰功图上活塞上⽌点位置不易正确确定,多缸发动机中各缸存在⼀定的不均匀性。
应⽤:上⽌点位置能精确标定的场合。
2 倒拖法:发动机以给定⼯况稳定运⾏到冷却⽔,机油温度达正常值时,切断对发动机供油,将电⼒测功器转换为电动机,以给定转速倒拖发动机,并且维持冷却⽔和机油温度不变。
这样测得的倒拖功率即为发动机在该⼯况下的机械损失功率。
缺点:1 倒拖⼯况与实际运⾏情况相⽐有差别2 求出的摩擦功率中含有不该有的 Pp 这⼀项。
3 在膨胀,压缩⾏程中,p-v 图上膨胀线与压缩线不重合。
4 上述因素导致测量值偏⾼。
应⽤:汽油机机械损失的测定。
3 灭缸法:在内燃机给定⼯况下测出有效功率 Pe,然后逐个停⽌向某⼀缸供油或点⽕,并⽤减少制动⼒矩的办法恢复其转速。
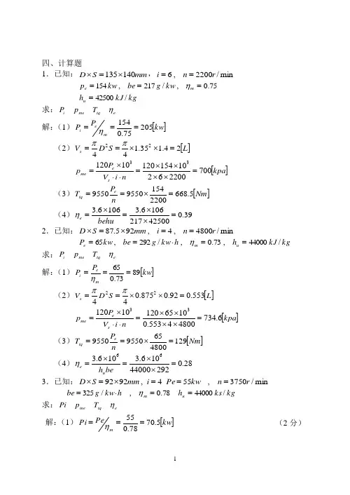
第一章 发动机工作循环及性能指标[1]说明提高压缩比可以提高发动机热效率和功率的原因。
答:由混合加热循环热效率公式: 知提高压缩比可以提高发动机热效率。
[2] 为什么汽油机的压缩比不宜过高?答:汽油机压缩比的增加受到结构强度、机械效率和燃烧条件的限制。
1ε增高将Pz 使急剧上升,对承载零件的强度要求更高,增加发动机的质量,降低发动机的使用寿命和可靠性 2ε增高导致运动摩擦副之间的摩擦力增加,及运动件惯性力的增大,从而导致机械效率下降 3ε增高导致压缩终点的压力和温度升高,易使汽油机产生不正常燃烧即爆震[3]做出四冲程非增压柴油机理想循环和实际循环p-V 图,并标明各项损失。
(见书第9页 图1-2)[4]何为指示指标?何为有效指标?答:指示指标:以工质在气缸内对活塞做功为基础,评价工作循环的质量。
有效指标:以曲轴上得到的净功率为基础,评价整机性能。
[5] 发动机机械损失有哪几部分组成?答: 发动机机械损由摩擦损失、驱动附件损失、泵气损失组成。
[6] 写出机械效率的定义式,并分析影响机械效率的因素。
影响机械效率的因素:1、转速ηm 与n 似呈二次方关系,随n 增大而迅速下降2、负荷 负荷↓时,发动机燃烧剧烈程度↓,平均指示压力↓;而由于转速不变,平均机械损失压力基本保持不变。
则由 ,机械效率下降 当发动机怠速运转时 ,机械效率=03、润滑油品质和冷却水温度 冷却水、润滑油温度通过润滑油粘度间接影响润滑效果。
[7] 试述机械损失的测定方法。
机械损失的测试方法只有通过实际内燃机的试验来测定。
常用的方法有:倒拖法灭缸法、油耗线法和示功图法。
(1)倒拖法步骤:1.让内燃机在给定工况下稳定运转,是冷却水和机油温度达到给定值;2.切断燃油供应或停止点火,同时将电力测功器转换为电动机,以原给定速度倒拖内燃机空转,并尽可能使冷却水、机油温度保持不变。
此方法规定优先采用,且不能用于增压发动机。
(2)灭缸法此方法仅适用于多缸内燃机(非增压柴油机)步骤:1.将内燃机调整到给定工矿稳定运转,测出其有效功率Pe 。
四、计算题1.已知:mm S D 140135⨯=⨯,min /2200,6r n i == 75.0,/217,154===m e kw g be kw p η kg kJ h u /42500= 求:e tqmeiT p P η解:(1)[]kw P P mei 20575.0154===η (2)[]L S D V s 24.135.14422=⨯⨯==ππ[]k p a n i V P p s e me 700220062101541201012033=⨯⨯⨯⨯=⋅⋅⨯=(3)[]Nm n P T e tq 5.668220015495509550=⨯== (4)39.0425002171066.31066.3=⨯⨯=⨯=behu e η2.已知:min /4800,4,925.87r n i mm S D ==⨯=⨯kg kJ h h kw g be kw P u m e /44000,73.0,/292,65==⋅==η求:e tq me i T p P η解:(1)[]kw P P mei 8973.065===η (2)[]L S D V s 553.092.0875.04422=⨯⨯==ππ[]k p an i V P p s e me 6.73448004553.010651201012033=⨯⨯⨯⨯=⋅⋅⨯= (3)[]Nm n P T e tq 12948006595509550=⨯== (4)28.029244000106.3106.366=⨯⨯=⨯=be h u e η3.已知:min /3750,554,9292r n kw Pe i mm S D ===⨯=⨯kg ks h h kw g be u m /4400078.0,/325==⋅=η求:e tq me T p Pi η解:(1)[]kw Pe Pi m 5.7078.055===η(2分)(2)[]L S D Vs 611.092.092.04422=⨯⨯==ππ(2分) []kpa n i Vs Pe p me 72037504611.0101101201012033=⨯⨯⨯⨯=⋅⋅⨯=(2分) (3)[]Nm n Pe T tq 14037505595509550=⨯==(2分) (4)25.044000325106.3106.366=⨯⨯=⨯=u e h be η(2分)4.已知:min /2900,1106,120110r n kw Pe i mm S D ===⨯=⨯kg ks h h kw g be u m /4250075.0,/260==⋅=η 求:e tqmeT p Piη解:(1)[]kw PePi m7.14675.0110===η (2分) (2)[]L S D Vs 1398.12.11.14422=⨯⨯=⨯⨯=ππ(2分) []kpa n i Vs Pe p me 6.665290061398.110110*********3=⨯⨯⨯⨯=⋅⋅⨯=(2分) (3)[]Nm n Pe T tq 362290011095509550=⨯==(2分) (4)3.042500260106.3106.366=⨯⨯=⨯=u e n be η(2分)5.已知:kwPe r n i mm S D 99min /30006,3.1142.101===⨯=⨯kg ks h h kw g be u m /4400078.0,/337==⋅=η 求:e tqmeT p Piη 解:(1)[]kw Pe Pi m 9.12678.099===η (2分) (2)[]L S D Vs 9189.0143.1012.14422=⨯⨯==ππ(2分) []kpa n i Vs Pe p me 718300069189.010991201012033=⨯⨯⨯⨯=⋅⋅⨯=(2分) (3)[]Nm n Pe T tq 15.31530009995509550=⨯==(2分)(4)24.044000337106.3106.366=⨯⨯=⨯=u e n be η(2分)6.已知:n kg B r n i mm S mm D /79.1min/11004105,85=====kg kj h kpa p u mi m /425005003.0===η求:e tq be T Pe η 解:(1)[]L S D Vs 5955.005.185.04422=⨯⨯==ππ(1分) []kpa p p m mi me1503.0500=⨯==η(1分)[]kw n i Vs P Pe me 27.310120110045955.01501043033=⨯⨯⨯⨯=⨯⨯⋅⋅⋅=--(2分) (2)[]Nm n Pe T tq 4.28110027.395509550=⨯== (2分) (3)[]h kw g Pe B be ⋅=⨯=⨯=/5471027.379.11033(2分) (4)155.042500547106.3106.366=⨯⨯=⨯=u e n be η(2分)7.已知:kg kj h m g g u T H c /44000114145.0855.0====求:()1='αQmix L O解:(1)⎪⎭⎫ ⎝⎛+='H C O g g L 83823.01[]kg kg /96.14145.08855.03823.01=⎪⎭⎫ ⎝⎛⨯+⨯⨯= (4分)(2)⎪⎭⎫⎝⎛+=41221.01H c O g g L[]O k kmol /5119.04145.012855.021.01=⎪⎭⎫ ⎝⎛+= (3分)当1=α时[]3/37724.2211415119.0440004.221m kJ m L h Q T O u mix =⨯⎪⎭⎫ ⎝⎛+=⨯⎪⎪⎭⎫ ⎝⎛+= (3分)8.已知:kg kJ h m g g g u T O H c /42500170004.0126.087.0=====求:()1='αQmix L O解:(1)⎪⎭⎫ ⎝⎛-+='O H C O g g g L 83823.01[]kg kg /45.14004.0126.0887.03823.01=⎪⎭⎫ ⎝⎛-⨯+⨯⨯= (4分)(2)⎪⎭⎫⎝⎛-+=3241221.01O H c O g g g L[]O k kmol /4946.032004.04126.01287.021.01=⎪⎭⎫ ⎝⎛-+= (3分)当1=α时[]3/37904.2217014946.0425004.221m kJ m L h Q T O u mix =⨯⎪⎭⎫ ⎝⎛+=⨯⎪⎪⎭⎫ ⎝⎛+= (3分)9.已知:kg kJ h m g g u T H c /500501625.075.0====求:()1='αQmix L O解:(1)⎪⎭⎫ ⎝⎛+='H C O g g L 83823.01[]kg kg /39.1725.0875.03823.01=⎪⎭⎫ ⎝⎛⨯+⨯⨯= (4分) (2)⎪⎭⎫⎝⎛+=41221.01H c O g g L[]O k kmol /5952.0425.01275.021.01=⎪⎭⎫ ⎝⎛+= (3分) 当1=α时[]3/33974.221615952.0500504.221m kJ m L h Q T O u mix =⨯⎪⎭⎫ ⎝⎛+=⨯⎪⎪⎭⎫ ⎝⎛+= (3分)10.已知:kg kJ h m g g u T H c /4639044182.0818.0====求:()1='αQmix L O解:(1)⎪⎭⎫ ⎝⎛+='H C O g g L 83823.01[]kg kg /8.15182.08818.03823.01=⎪⎭⎫ ⎝⎛⨯+⨯⨯= (4分) (2)⎪⎭⎫⎝⎛+=41221.01H c O g g L[]O k kmol /54127.04182.012818.021.01=⎪⎭⎫ ⎝⎛+= (3分) 当1=α时[]3/36724.2244154127.0463904.221m kJ m L h Q T O u mix =⨯⎪⎭⎫ ⎝⎛+=⨯⎪⎪⎭⎫ ⎝⎛+=(3分)11.已知:kg kJ h m g g g u T O H c /20260325.0125.0375.0=====求:()1='αQmix L O解:(1)⎪⎭⎫ ⎝⎛-+='O H C O g g g L 83823.01[]kg kg /52.65.0125.08375.03823.01=⎪⎭⎫ ⎝⎛-⨯+⨯⨯= (4分) (2)⎪⎭⎫⎝⎛-+=3241221.01O H c O g g g L[]O k kmol /2232.0325.04125.012375.021.01=⎪⎭⎫ ⎝⎛-+= (3分) 当1=α时[]3/35544.223212232.0202604.221m kJ m L h Q T O u mix =⨯⎪⎭⎫ ⎝⎛+=⨯⎪⎪⎭⎫ ⎝⎛+= (3分)12.11.已知:kg kJ h m g g g u T O H c /2700046348.013.0522.0=====求:()1='αQmix L O解:(1)⎪⎭⎫ ⎝⎛-+='O H C O g g g L 83823.01[]kg kg /06.9348.013.08522.03823.01=⎪⎭⎫ ⎝⎛-⨯+⨯⨯= (4分)(2)⎪⎭⎫⎝⎛-+=3241221.01O H c O g g g L[]O k kmol /310.032348.0413.012522.021.01=⎪⎭⎫ ⎝⎛-+= (3分)当1=α时[]3/36334.22461310.0270004.221m kJ m L h Q T O u mix =⨯⎪⎭⎫ ⎝⎛+=⨯⎪⎪⎭⎫ ⎝⎛+=(3分)五、简答题 1、内燃机有哪三种基本空气标准循环,汽油机简化为何种基本循环为什么?解:根据加热方式不同,发动机有三种基本空气标准循环,即定容加热循环,定压加热循环和混合加热循环。
《内燃机学》课后习题答案(第4版)第一章概论1-1.内燃机发明对工业进程的影响。
①内燃机的发明,既给传统的动力机械创造了新的动力源,又推动了一大批新兴工业产业(例如交通运输、发电、工程机械等)落地生根,在一定程度解放了生产力,促进了人类工业文明的发展。
②内燃机的发明,带动了包括石油炼制、钢铁、汽车等一大批上下游企业的产生与发展,给国民经济发展创造了新支柱,并推动很多国家走上了工业化道路。
1-2.内燃机燃料和润滑油对内燃机技术进步的影响。
①内燃机的燃料众多,常见的有汽油、柴油、煤油、气体燃料等,不同的燃料物理化学性质不同,对内燃机的要求也不同,根据内燃机的实际工作情况合理选择不同的燃料,不仅可以提高内燃机的动力性、经济性,降低排放,还能带动内燃机新型燃烧技术的发展与完善。
②内燃机内部的摩擦副众多,工作时的摩擦损失不仅会降低内燃机的机械效率,还会加剧零部件的摩擦,降低内燃机寿命。
采用润滑油对关键零部件进行润滑,对于提高内燃机效率、延长寿命极为重要。
1-3.内燃机引进技术消化和吸收存在的问题。
国外内燃机于1901年开始进入中国市场,随后中国的一些工厂开始借鉴仿制,经历了由单缸到双缸,由低速到高速的过程。
新中国成立后,我国通过自主研发、仿制和接受援建,成立了一大批内燃机骨干企业,内燃机工业初具规模。
20世纪60年代,我国的内燃机由仿制转为自主研制生产,由小批量生产转为大批量生产,功率大大提高,并逐渐在农业、发电、船舶等领域得以应用。
20世纪80年代后,内燃机行业进行了一系列调整和改革,技术水平有所提高,很多合资企业出现,新型内燃机的研制受到重视,并逐渐融入了世界内燃机工业体系。
1-4.车用内燃机发展技术分析。
内燃机作为一种热动力装置,发明之初人们更倾向于它的动力性能与热效率,前期的一系列改进与创新也主要围绕效率和动力性能展开,并逐渐对其他方面的性能进行优化。
经历了一个半世纪的发展,在燃烧理论的指导下,通过材料、机械加工、燃料、电控等技术的发展与完善,其动力性、经济性、耐久性等技术指标的强化程度不断提高,满足了绝大部分固定和移动用途的要求,取得了广泛的应用。
(完整版)内燃机原理课后习题与答案第一章发动机的性能1. 简述发动机的实际工作循环过程。
1)进气过程:为了使发动机连续运转,必须不断吸入新鲜工质,即是进气过程。
此时进气门开启,排气门关闭,活塞由上止点向下止点移动。
2)压缩过程:此时进排气门关闭,活塞由下止点向上止点移动,缸内工质受到压缩、温度。
压力不断上升,工质受压缩的程度用压缩比表示。
3)燃烧过程:期间进排气门关闭,活塞在上止点前后。
作用是将燃料的化学能转化为热能,使工质的压力和温度升高,燃烧放热多,靠近上止点,热效率越高。
4)膨胀过程:此时,进排气门均关闭,高温高压的工质推动活塞,由上止点向下至点移动而膨胀做功,气体的压力、温度也随之迅速下降。
(5 )排气过程:当膨胀过程接近终了时,排气门打开,废气开始靠自身压力自由排气,膨胀过程结束时,活塞由下止点返回上止点,将气缸内废气移除。
3. 提高发动机实际工作循环热效率的基本途径是什么?可采取哪些基本措施?提高实际循环热效率的基本途径是:减小工质传热损失、燃烧损失、换气损失、不完全燃烧损失、工质流动损失、工质泄漏损失。
提高工质的绝热指数K可采取的基本措施是:⑴减小燃烧室面积,缩短后燃期能减小传热损失。
⑵?采用最佳的点火提前角和供油提前角能减小提前燃烧损失或后燃损失。
⑶采用多气门、最佳配气相位和最优的进排气系统能减小换气损失。
⑷加强燃烧室气流运动,改善混合气均匀性,优化混合气浓度能减少不完全燃烧损失。
⑸优化燃烧室结构减少缸内流动损失。
⑹采用合理的配缸间隙,提高各密封面的密封性减少工质泄漏损失。
4. 什么是发动机的指示指标?主要有哪些?它主要有:指示功和平均答:以工质对活塞所作之功为计算基准的指标称为指示性能指标。
指示压力.指示功率.指示热效率和指示燃油消耗率。
5. 什么是发动机的有效指标?主要有哪些?答:以曲轴输出功为计算基准的指标称为有效性能指标。
主要有:1)发动机动力性指标,包括有效功和有效功率.有效转矩.平均有效压力.转速n 和活塞平均速度;2)发动机经济性指标,包括有效热效率?有效燃油消耗率;3)发动机强化指标,包括升功率PL.比质量me。
2-4 平均有效压力与升功率在作为评定发动机得动力性能方面有何区别?答平均有效压力就是一个假想不变得压力,其作用在活塞顶上使活塞移动一个行程所做得功等于每循环所做得有效功,升功率就是在标定得工况下,发动机每升气缸工作容积所发出得有效功率。
区别:前者只反应输出转矩得大小,后者就是从发动机有效功率得角度对其气缸容积得利用率作出得总评价,它与 Pme 与 n 得乘积成正比。
(Pl=Pme·n/30T)2-6提升途径:1)采用增压技术,2)合理组织燃烧过程,提高循环指示效率,3)改善换气过程,提高气缸得充量系数,4)提高发动机得转速,5)提高内燃机得机械效率,6)采用二冲程提高升功率,7)增加排量2-9 内燃机得机械损失由哪些部分组成?详细分析内燃机机械损失得测定方法,其优缺点及适用场合。
答(1)机械损失组成:1 活塞与活塞环得摩擦损失。
2 轴承与气门机构得摩擦损失。
3、驱动附属机构得功率消耗。
4 风阻损失。
5 驱动扫气泵及增压器得损失。
(2)机械损失得测定:1 示功图法:由示功图测出指示功率 Pi,从测功器与转速计读数中测出有效功率 Pe,从而求得 Pm,pm 及ηm 得值。
优:在发动机真实工作情况下进行,理论上完全符合机械损失定义。
缺:示功图上活塞上止点位置不易正确确定,多缸发动机中各缸存在一定得不均匀性。
应用:上止点位置能精确标定得场合。
2 倒拖法:发动机以给定工况稳定运行到冷却水,机油温度达正常值时,切断对发动机供油,将电力测功器转换为电动机,以给定转速倒拖发动机,并且维持冷却水与机油温度不变。
这样测得得倒拖功率即为发动机在该工况下得机械损失功率。
缺点:1 倒拖工况与实际运行情况相比有差别 2 求出得摩擦功率中含有不该有得 Pp 这一项。
3 在膨胀,压缩行程中,p-v 图上膨胀线与压缩线不重合。
4 上述因素导致测量值偏高。
应用:汽油机机械损失得测定。
3 灭缸法:在内燃机给定工况下测出有效功率 Pe,然后逐个停止向某一缸供油或点火,并用减少制动力矩得办法恢复其转速。
高等内燃机原理答案整理-CAL-FENGHAI-(2020YEAR-YICAI)_JINGBIAN第一章第二章思考题1.分析上止点误差对内燃机工作过程分析的影响,有几种确定上止点的方法,倒拖示功图法为什么要考虑热力损失角的影响。
给出一种确定上止点方法的步骤。
P9~13步骤按照1.静态测定法的步骤NO3.直喷式柴油机以动力性、经济性为优化目标和以动力性、经济性、排放x和噪声综合性能为优化目标组织燃烧有什么不同,试分析之。
P24~25 图6.采用稳流气道实验台能进行哪些零部件性能试验试验中测量哪些参数,简介测量方法,用哪些量来评价系统的进气性能进、排气管,气缸盖,消声器等;测量方法:等压差法,等流量法(分别简述)P35~36试验中测量的参数:气门升程、气道流动压力降△P1、气体的体积流量Q、风速仪转速n D,流动气体温度t评价参数:P368.汽油机和直喷柴油机采用四气门后,试从影响性能的诸方面探讨与两气门相比有何优点和存在的缺点。
(结合第2、3、5等章内容综述)P42、待完善第三章第四章思考题φ特性场)会取得怎样的汽油2.使用理想的空燃比特性场(或过量空气系数a机性能P62对汽油机而言过浓或过稀混合气....1.1~1.3之间(性能);按负荷、转φ的较理想的特性场?(它是综合考虑动力性、经济速变化分析图3-6为什么说是a性、排放性能得出的,当在小负荷,低转速时,为了保证怠速稳定性及起动和加速,应适当加浓混合气0.8~0.9;当汽油机在部分负荷范围内运行时,应供给较稀的混合气1.05~1.15,当发动机在大负荷、高转速运转时,也需要较浓的混合气α模式0.85~0.95)电喷汽油机为什么不采用图3-6模式,而在大部分工况用闭环1≈控制(内燃机学99或高等内燃机原理P62)11.简述汽油机电控喷油的喷油量控制的实现方法?电控器根据发动机转速和表示发动机负荷的空气流量决定喷油脉宽的基本值,冷却液温度、进气温度等都是用来对喷油脉宽修正的条件参数。
第一章内燃机的工作原理和总体构造1、汽油机和柴油机在结构上有哪些主要不同?汽油机与柴油机在结构上:主要不同之处是燃油供给系统和点火装臵。
2、画出二冲程、四冲程汽油机和四冲程非增压和增压柴油机的示功图。
指出四种示功图的不同点。
四冲程汽油机示功图3、解释型号170F柴油机、6135Z柴油机、6135C-1柴油机、12V135Z柴油机和4110Q汽油机的含义。
170F柴油机——单缸、四冲程、缸径70mm、风冷柴油机6135Z柴油机——6缸、四冲程、缸径135mm、水冷、增压柴油机6135C-1柴油机——6缸、四冲程、缸径135mm、水冷、船用、第一种变型柴油机12V135Z柴油机——12缸、V型排列、四冲程、缸径135mm、水冷、增压柴油机4110Q汽油机——4缸、四冲程、缸径110mm、水冷、汽车用汽油机4、解释名词:上止点、下止点、活塞行程、气缸工作容积、燃烧室容积、气缸最大容积、内燃机排量和压缩比上止点下止点活塞行程、气缸工作容积燃烧室容积气缸最大容积内燃机排量压缩比5、四冲程内燃机的工作间隔角是多少?通常六缸机的工作顺序是什么?内燃机的工作间隔曲柄转角φ:四冲程为φ=720º/i= 180º(i为气缸数)二冲程为φ=360º/i= 180º通常四缸机的工作顺序:1-3-4-2-1通常六缸机的工作顺序:1-5-3-6-2-4-16、内燃机通常由哪些零件、机构和系统组成?机构和系统又包括哪些零件和附件?内燃机通常由下列零件、机构和系统组成:机体——各种零件、机构和系统都装在机体上。
气缸体、曲轴箱、油底壳等气缸盖——与活塞顶共同组成燃烧室,配气机构和气道布臵在上面。
机构和系统又包括哪些零件和附件曲柄连杆机构——主要运动件、活塞组、连杆组、曲轴组等组成。
供给系(燃料供给系、进排气系统)-----燃料供给系:化油器、燃料喷射系统进排气系统:空气滤清器、进、排气管、消声器配气机构——定时开启和关闭进、排气门、驱动组、传动组、气门组点火系(蓄电池点火系、磁电机点火系)——火花塞、点火线圈、断电器、分电器冷却系(水冷和风冷)——水冷:水泵、散热器、风扇、冷却水套等风冷:风扇、导风罩、散热片等润滑系(压力润滑、飞溅润滑、油雾润滑)——润滑油泵、润滑油滤清器、润滑油冷却器等起动装臵——手摇起动、电起动、压缩空气起动附件及其它特殊装臵——传感器等第二章曲柄连杆机构1、曲柄连杆机构包括哪几部分?每部分的运动规律是什么?每部分又包括哪些零件?曲柄连杆机构包括活塞组(往复运功):活塞、活塞环、活塞销等零件连杆组(变速摆动):连杆、连杆螺栓和连杆轴承曲轴(旋转运动):曲轴前端、曲拐、曲轴后端及平衡重(曲拐:主轴颈、曲柄臂和曲柄销) 2、曲柄连杆机构是怎样把热能转化成机械能的?3、惯性力包括哪两种?特点如何?怎么平衡?惯性力包括:往复惯性力和离心惯性力单缸内燃机的平衡往复惯性力的平衡:单轴平衡法、双轴平衡法离心惯性力的平衡:在曲柄臂的延长部位配臵适当的平衡重多缸内燃机的平衡往复惯性力的平衡:单轴平衡、双轴平衡。
教科九上2.2、内燃机(含答案)教科九上2.2、内燃机(共18题)一、选择题(共10题)单缸四冲程汽油机完成一个工作循环,曲轴转过A.B.C.D.如图为汽油机工作过程中某一冲程的示意图,此冲程的名称及能量转化是A.吸气冲程,内能转化为机械能B.压缩冲程,机械能转化为内能C.做功冲程,内能转化为机械能D.排气冲程,机械能转化为内能如图所示是四冲程汽油机的一个工作循环示意图,其中属于利用机械能转化内能冲程的是A.B.C.D.如图为汽油机工作过程中某个冲程的示意图,该冲程是A.吸气冲程B.排气冲程C.做功冲程D.压缩冲程如图表示的是某种热机的某个冲程,该热机的铭牌上标有,则下列说法正确的是A.此热机是柴油机B.此冲程是压缩冲程C.每秒钟活塞往复运动次D.每秒钟此热机对外做功次下面关于汽油机与柴油机的说法中,不正确的是A.汽油机与柴油机使用的燃料不同B.柴油机汽缸顶部有个喷油嘴,汽油机汽缸顶部有个火花塞C.柴油机与汽油机除使用的燃料不同外,在构造上完全相同D.柴油机采用压燃式点火,汽油机采用点燃式点火如图所示的是四冲程汽油机的工作示意图,其中属于做功冲程的是A.B.C.D.关于如图所示的热学实验,下列叙述中正确的是A.甲图中,抽去玻璃隔板后,两瓶中的气体逐渐混合,这说明上面瓶中的空气密度较大B.乙图中,压紧的两铅块,下面悬挂钩码而不分开,这是由于大气压强的作用C.丙图中,试管内的水沸腾后,水蒸气会将软木塞推出,软木塞的内能转化为它的机械能D.丁图中,汽油机这个工作过程是机械能转化成内能的过程如图是内燃机工作循环中的一个冲程,气门都关闭,活塞下行。
该冲程是A.吸气冲程B.压缩冲程C.做功冲程D.排气冲程如图是汽油机一个工作循环的四个冲程,不是靠飞轮惯性完成的冲程是A.B.C.D.二、填空题(共4题)某四冲程汽油机在压缩冲程中把能转化成能;若汽油机飞轮转动的速度是,则汽油机每秒完成了个冲程,对外做功次。
四冲程汽油机工作的一个循环中,除做功冲程外,其余三个冲程都是靠飞轮完成的。
内燃机设计课后习题答案内燃机设计课后习题答案在学习内燃机设计的过程中,课后习题是巩固知识和提高技能的重要方式。
下面将为大家提供一些内燃机设计课后习题的答案,希望能对大家的学习有所帮助。
1. 内燃机的工作循环是什么?请简要描述其各个阶段。
答案:内燃机的工作循环是指内燃机在一个完整的工作周期内,从进气到排气的全部过程。
一般分为四个阶段:进气、压缩、燃烧和排气。
进气阶段:活塞下行,气门开启,进气门打开,气缸内气体通过进气道进入气缸。
压缩阶段:活塞上行,气门关闭,缸内气体被压缩,温度和压力升高。
燃烧阶段:活塞上行,气门关闭,点火器点火,燃烧混合气体,产生高温高压气体。
排气阶段:活塞下行,气门开启,废气通过排气道排出气缸,准备进行下一个工作循环。
2. 内燃机的热效率如何计算?请列出计算公式并简要解释。
答案:内燃机的热效率可以通过以下公式计算:热效率 = (有效功输出 / 燃料能量输入)* 100%其中,有效功输出指的是内燃机在一个工作循环内所产生的有用功,燃料能量输入指的是燃料在一个工作循环内所释放的能量。
热效率是衡量内燃机能量利用效率的重要指标,其数值越高表示内燃机能够更有效地将燃料的能量转化为有用功。
3. 内燃机的排气系统有哪些主要组成部分?请简要描述其功能。
答案:内燃机的排气系统主要包括排气门、排气道和排气管。
排气门:控制废气进出气缸的气门,通过开启和关闭排气门来控制气缸内废气的排出。
排气道:将气缸内的废气引导到排气管的通道,通过排气道的设计可以影响废气的流动速度和压力。
排气管:将气缸内的废气从排气道中排出,同时还能起到降低噪音和排放废气的作用。
排气系统的主要功能是将燃烧产生的废气及时排出气缸,保证下一个工作循环的正常进行,并且减少废气对环境的污染。
4. 内燃机的点火系统有哪些主要组成部分?请简要描述其功能。
答案:内燃机的点火系统主要包括点火器、点火线圈和火花塞。
点火器:产生高压电流的装置,用于点燃燃烧室中的混合气体。
第一章发动机的性能1.简述发动机的实际工作循环过程。
1)进气过程:为了使发动机连续运转,必须不断吸入新鲜工质,即是进气过程。
此时进气门开启,排气门关闭,活塞由上止点向下止点移动。
2)压缩过程:此时进排气门关闭,活塞由下止点向上止点移动,缸内工质受到压缩、温度。
压力不断上升,工质受压缩的程度用压缩比表示。
3)燃烧过程:期间进排气门关闭,活塞在上止点前后。
作用是将燃料的化学能转化为热能,使工质的压力和温度升高,燃烧放热多,靠近上止点,热效率越高。
4)膨胀过程:此时,进排气门均关闭,高温高压的工质推动活塞,由上止点向下至点移动而膨胀做功,气体的压力、温度也随之迅速下降。
(5)排气过程:当膨胀过程接近终了时,排气门打开,废气开始靠自身压力自由排气,膨胀过程结束时,活塞由下止点返回上止点,将气缸内废气移除。
3.提高发动机实际工作循环热效率的基本途径是什么?可采取哪些基本措施?提高实际循环热效率的基本途径是:减小工质传热损失、燃烧损失、换气损失、不完全燃烧损失、工质流动损失、工质泄漏损失。
提高工质的绝热指数κ可采取的基本措施是:⑴减小燃烧室面积,缩短后燃期能减小传热损失。
⑵. 采用最佳的点火提前角和供油提前角能减小提前燃烧损失或后燃损失。
⑶采用多气门、最佳配气相位和最优的进排气系统能减小换气损失。
⑷加强燃烧室气流运动,改善混合气均匀性,优化混合气浓度能减少不完全燃烧损失。
⑸优化燃烧室结构减少缸内流动损失。
⑹采用合理的配缸间隙,提高各密封面的密封性减少工质泄漏损失。
4.什么是发动机的指示指标?主要有哪些?答:以工质对活塞所作之功为计算基准的指标称为指示性能指标。
它主要有:指示功和平均指示压力.指示功率.指示热效率和指示燃油消耗率。
5.什么是发动机的有效指标?主要有哪些?答:以曲轴输出功为计算基准的指标称为有效性能指标。
主要有:1)发动机动力性指标,包括有效功和有效功率.有效转矩.平均有效压力.转速n和活塞平均速度;2)发动机经济性指标,包括有效热效率.有效燃油消耗率;3)发动机强化指标,包括升功率PL.比质量me。
强化系数PmeCm.6.总结提高发动机动力性能和经济性能的基本途径。
①增大气缸直径,增加气缸数②增压技术③合理组织燃烧过程④提高充量系数⑤提高转速⑥提高机械效率⑦用二冲程提高升功率。
7.什么是发动机的平均有效压力、油耗率、有效热效率?各有什么意义?平均有效压力是指发动机单位气缸工作容积所作的有效功。
平均有效压力是从最终发动机实际输出转矩的角度来评定气缸工作容积的利用率,是衡量发动机动力性能方面的一个很重要的指标。
有效燃油消耗率是单位有效功的耗油量,通常以每千瓦小时有效功消耗的燃料量来表示。
有效热效率是实际循环有效功与所消耗的燃料热量之比值。
有效热效率和有效燃油消耗率是衡量发动机经济性的重要指标。
8.发动机的机械损失主要包括哪些?摩擦损失,驱动各种附件损失,带动机械增压器损失,泵气损失9.什么是机械效率?受哪些因素影响?有何意义?机械效率是有效功率与指示功率的比值。
影响因素:①转速和活塞平均速度②负荷③润滑油温度和冷却水温度,意义:比较机械损失所占比例的大小。
10.如何测定机械效率?适用于汽油机的是哪种方法?为什么?通过发动机试验测定,常用方法有示功图法、倒拖法、灭缸法、油耗线法。
倒拖法适用于汽油机。
11.简述汽油机和柴油机工作循环的区别汽油机和柴油机的工作循环同样有进气,压缩,燃烧(工作),排气四个过程。
它们的不同的点;1)汽油机在进气道,进入汽缸内的气体是有一定比例的汽油和空气(称做可燃混合气);柴油机在进气道,进入汽缸内的气体是纯净的空气。
2)在压缩的过程。
汽油机与柴油机是没有区别的,只是被压缩的气体,成分不同。
3)燃烧过程,汽油机与柴油机的区别较大。
汽油本身物质燃点较低,经压缩后给一个高压的电火花就将其点燃了,而且燃烧的速度比柴油快;柴油本身物质密度较大,要在高温和高压的条件下才能自行燃烧,经压缩后的纯净空气正好满足了这个条件,这时即刻向汽缸喷入高压油使其燃烧。
柴油的热值比汽油高产生的动力比汽油机大。
4)排气过程基本是一样的。
废弃物都是二氧化碳和水,但是由于汽油的燃烧速度太快需要加入抗爆剂,因此排放不如柴油机清洁13.为什么柴油机的热效率要显著高于汽油机?1).柴油机的压缩比高,作功时膨胀得更厉害。
2).柴油机油气混合时空燃比远大于1,是富氧燃烧,燃料可以充分燃烧。
汽油机燃烧的空燃比在1左右,因为没有足够的氧气,汽油不能完全燃烧。
14.柴油机工作循环为什么不采用等容加热循环?定容加热理想循环又称奥托循环,基于这种循环而制造的煤气机和汽油机是最早的活塞式内燃机。
由于煤气机、汽油机和柴油机燃料性质不同,机器的构造也不同,其燃烧过程接近于定容过程,不再有边燃烧边膨胀接近于定压的过程,故而在热力学分析中,奥托循环可以看作不存在定压加热过程的混合加热理想循环。
定容加热循环被压缩的是燃料和空气的混合物,要受混合气体自燃温度的限制,存在“爆燃”的问题,效率不会太高;定压加热循环压缩的仅仅是空气,不存在“爆燃”的问题,效率高,所以柴油机采用的是后者而不是前者第二章发动机的换气过程1.为什么发动机进气门迟后关闭、排气门提前开启。
提前与迟后的角度与哪些因素有关?答:(1)进气门迟后关闭是为了充分利用高速气流的动能,实现在下止点后继续充气,增加进气量。
排气门提前开启是由于配气机构惯性力的限制,若是活塞在下至点时才打开排气门,则在气门开启的初期,开度极小,废气不能通畅流出,缸内压力来不及下降,在活塞向上回行时形成较大的反压力,增加排气行程所消耗的功(2)提前与迟后的角度与哪些因素有关?(配气相位的合理选择要从哪几个方面衡量):①充气效率的变化是否符合动力性要求。
②换气损失尽可能的小。
③能否保证必要的燃烧室扫气作用。
④排放指标好。
2. 四冲程发动机换气过程包括哪几个阶段,这几个阶段时如何界定的?答:1)自由排气阶段:从排气门打开到气缸压力接近于排气管内压力的这个时期。
强制排气阶段:废气是由活塞上行强制推出的这个时期。
进气过程:进气门开启到关闭这段时期。
气门重叠和燃烧室扫气:由于排气门迟后关闭和进气门提前开启,所以进.排气门同时打开这段时期。
3 影响充量系数的主要因素有哪些?答:1.进气门关闭时缸内的压力。
2.进气门关闭时缸内气体温度。
3.残余废气量。
4.进排气相位角。
5.发动机压缩比。
6.进气状态。
第三章发动机废气涡轮增压3为什么增压后需要采用进气中冷技术?答:对增压器出口空气进行冷却,一方面可以进一步提高发动机进气管内空气密度,提高发动机的功率输出,另一方面可以降低发动机压缩始点的温度和整个循环的平均温度,从而降低发动机的排气温度、热负荷和NOx的排放。
5 车用发动机采用增压时应注意哪些问题?答:1)适当降低压缩比,加大过量空气系数。
2)对供油系统进行结构改造,增加每循环供油率。
3)合理改进配齐相位。
4)进排气系统设计要与增压系统的要求一致。
5)对增压器出口空气进行冷却。
7 汽油机增压的技术难点有哪些?限制汽油机增压的主要技术障碍时:爆燃、混合气的控制、热负荷和增压器的特殊要求等。
第四章燃料与燃烧化学1 我国的汽油和轻柴油时分别根据哪个指标来确定牌号的?答:汽油根据辛烷值来确定牌号;轻柴油按凝点来确定牌号。
2 蒸发性不好和太好的汽油,在使用中各有什么缺点和可能产生的问题?答:蒸发性过强的汽油在炎热夏季以及大气压力较低的高原和高山地区使用时,容易使发动机的供油系统产生“气阻”,甚至发生供油中断。
另外,在储存和运输过程中的蒸发损失也会增加;蒸发性若的汽油,难以形成良好的混合气,这样不仅会造成发动机启动困难,加速缓慢,而且未气化的悬浮油粒还会使发动机工作不稳定,油耗上升。
如果未燃尽的油粒附着在气缸壁上,还会破坏润滑油膜,甚至窜入曲轴箱稀释润滑油,从而使发动机润滑遭破坏,造成机件磨损增大。
3 试述汽油辛烷值和柴油十六烷值的意义。
答:辛烷值用来表示汽油的抗爆性,抗爆性时指汽油在发动机气缸内燃烧时抵抗爆燃的能力。
辛烷值是代表点燃式发动机燃料抗爆性的一个约定数值。
在规定条件下的标准发动机试验中通过和标准燃料进行比较来测定。
采用和被测定燃料具有相同的抗爆性的标准燃料中异辛烷的体积百分比来表示。
柴油十六烷值时用来评定柴油的自燃性。
将十六烷值规定为100的正十六烷和规定十六烷值为0的α-甲基萘按不同比列混合得出不同十六烷值的标准燃料,其十六烷值为该混合气中正十六烷的体积百分比。
如果某种柴油与某标准燃料的自燃性相同,则该标准燃料的十六烷值即为该柴油的十六烷值。
4什么是过量空气系数?它与混合气浓度有什么关系?答:发动机工作过程中,燃烧1kg燃油实际共给的空气量与理论空气量之比,称为过量空气系数。
过量空气系数大于1称为稀混合气,等于1称为标准混合气,小于1称为浓混合气。
8 发动机采用代用燃料的意义是什么?答:减缓石油消耗速度,改善发动机的动力性和燃油经济性,降低有害物质排放。
第五章柴油机混合气的形成与燃烧1.以柱塞式喷油泵为例简述柴油机燃料喷射过程柱塞式喷油泵一般由柴油机曲轴的定时齿轮驱动,固定在喷油泵体上的活塞式输油泵由喷油泵的凸轮轴驱动,当柴油机工作时,输油泵从油箱洗出柴油,经油水分离器除去柴油中的水分,再经燃油滤清器,滤清柴油中的杂质,然后送入喷油泵,在喷油泵内,柴油经过增压和计量之后,经高压油管供入喷油器,最后通过喷油器将柴油喷入燃烧室。
喷油泵前端装有喷油提前角调节器,后端与调速器组成一体,输油泵供给的多余柴油及喷油器顶部的回油均流回油管返回油箱3 什么时供油提前角和喷油提前角?解释两者的关系以及对柴油机性能的影响。
答:供油系统的理论供油始点到上止点为止,曲轴转过的角度叫供油提前角。
喷油器的针阀开始升起也就是喷油始点到上止点间曲轴转过的角度叫喷油提前角。
供油提前角的大小决定了喷油提前角,供油提前角越大,喷油提前角约到。
但两者并不同步增大,两者之差称为喷油延迟角。
影响:发动机转速越高,高压油管越长,喷油延迟角越大,它越大,在着火期间喷入的油越多,低压油喷入气缸的量增多,燃油雾化变差,燃烧不充分,易产生积碳堵塞喷油孔的现象,降低柴油机的性能。
5 柴油机有哪些异常喷射现象和他们可能出现的工况?简述二次喷射产生的原因和危害及消除方法。
答:柴油机有二次喷射、断续喷射、不规则喷射、隔次喷射和滴油这几种异常喷射现象。
二次喷射易发生在高速、大负荷工况下;断续喷射常发生于某一瞬间喷油泵的供油量小于喷油器喷出的油量和填充针阀上升空出空间的油量之和。
不规则喷射和隔次喷射易发生在柴油机怠速工况下。
二次喷射是在压力波动影响下针阀落座后再次升起造成的。
由于二次喷射是在燃油压力较低的情况下喷射的,导致这部分燃油雾化不良,燃烧不完全,碳烟增多,并易引起喷孔积炭堵塞。