伯努利不等式证明
- 格式:doc
- 大小:26.00 KB
- 文档页数:2
伯努利不等式离散伯努利不等式是数学中的一条重要不等式,它在离散情形下也有着广泛的应用。
本文将以伯努利不等式在离散数学中的应用为中心展开阐述。
首先,我们来回顾一下伯努利不等式的定义。
伯努利不等式是由瑞士数学家雅各布·伯努利在17世纪提出的。
它描述了一个重要的数学性质:在某些条件下,幂函数的次数越高,其值就越大。
具体地说,对于任意实数$x>-1$和任意正整数$n$,伯努利不等式可以表示为:$$(1+x)^n\geq1+nx$$这个不等式在离散数学中有着广泛的应用。
下面我们将通过几个具体的例子来展示它的应用。
首先,我们考虑一个经典的例子:证明$n$个正实数的算术平均值不小于它们的几何平均值。
设这$n$个正实数分别为$x_1,x_2,\dots,x_n$,它们的算术平均值和几何平均值分别为$A=\frac{1}{n}\sum_{i=1}^{n}x_i$和$G=\sqrt[n]{\prod_{i=1}^{n}x_i}$。
由伯努利不等式可知,对于任意正整数$n$和任意正实数$x_i$,有$(1+x_i)^n\geq1+nx_i$。
将这个不等式应用到每一个$1+x_i$上,我们可以得到:$$(1+x_1)(1+x_2)\dots(1+x_n)\geq1+n(x_1+x_2+\dots+x_n)$$注意到左边是$G^n$,右边是$1+nA$,我们可以得到:$$G^n\geq1+nA$$进一步整理可得:$$G\geq\sqrt[n]{1+nA}$$因此,我们证明了算术平均值不小于几何平均值的结论。
接下来,我们考虑一个更加具体的例子:证明$n$个正实数的和不小于它们的最大值乘以$n$。
设这$n$个正实数分别为$x_1,x_2,\dots,x_n$,它们的和和最大值分别为$S=x_1+x_2+\dots+x_n$和$M=\max(x_1,x_2,\dots,x_n)$。
由伯努利不等式可知,对于任意正整数$n$和任意正实数$x_i$,有$(1+x_i)^n\geq1+nx_i$。
伯努利不等式证明伯努利不等式是数学中的一条重要不等式,它是由瑞士数学家伯努利在17世纪提出的。
这个不等式在数学中有着广泛的应用,尤其在概率论、统计学、微积分和物理学等领域中,都有着重要的地位。
本文将从伯努利不等式的定义、证明和应用三个方面进行介绍。
一、伯努利不等式的定义伯努利不等式是指:对于任意实数a和b,以及任意正整数n,都有以下不等式成立:(1+a)^n ≥ 1+na(1+b)^n ≥ 1+nb其中,a和b可以是任意实数,n是正整数。
这个不等式的意义在于,当a和b大于0时,(1+a)^n和(1+b)^n 都大于1,即它们的指数n次方大于1,而且它们的值都比1+na和1+nb要大。
这个不等式告诉我们,在相同的指数n下,(1+a)和(1+b)的n次方比a和b的n次方大,这是一种数学上的比较关系。
二、伯努利不等式的证明伯努利不等式的证明可以采用数学归纳法的方法。
假设对于正整数k,伯努利不等式成立,即:(1+a)^k ≥ 1+ka(1+b)^k ≥ 1+kb现在考虑n=k+1的情况,即证明:(1+a)^(k+1) ≥ 1+(k+1)a(1+b)^(k+1) ≥ 1+(k+1)b首先,我们可以将(1+a)^(k+1)展开,得到:(1+a)^(k+1) = (1+a)^k * (1+a)由于我们已经有了(1+a)^k ≥ 1+ka,所以可以将它代入上式,得到:(1+a)^(k+1) ≥ (1+ka) * (1+a)展开后,化简得:(1+a)^(k+1) ≥ 1+(k+1)a+a^2*k由于a^2*k≥0,所以上式可以改写成:(1+a)^(k+1) ≥ 1+(k+1)a这就证明了伯努利不等式在a的情况下成立。
同样的,我们可以证明伯努利不等式在b的情况下也成立。
因此,我们可以得出结论:对于任意实数a和b,以及任意正整数n,都有以下不等式成立:(1+a)^n ≥ 1+na(1+b)^n ≥ 1+nb三、伯努利不等式的应用伯努利不等式在概率论、统计学、微积分和物理学等领域中都有着广泛的应用。
伯努利不等式伯努利不等式,又称“伯努利-乔伊斯不等式”,是数学中一个重要的定理,由瑞典数学家西奥多伯努利(1851年)发现并证实了这一定理。
伯努利不等式是一个非常重要的不等式,它可以给出一种将“概率和期望”两个概念连接起来的方法。
它提供了在理论上访问概率的一种方法,并且是整个概率论的基础。
伯努利不等式广泛应用于运算数学、统计学、概率论、广义线性模型、信息论等领域。
伯努利不等式具体指:对于所有可能的试验T,及其对应的真值X(取值为真或假),满足P(T) = P(X),且其中p(t)为t试验成功的概率,此时有 P(X)≤E(X)(其中E(X)为X的期望值)。
伯努利不等式引出了贝尔曼不等式,它的出现使得概率和期望的关系可以用一组不等式来表示。
贝尔曼不等式指:对于任意变量X,满足X为真或假的条件,存在一组不等式,其中 E (X) 0,P (X) E (X),P (X) 0. P (X) E (X),其中P(X)为X试验成功的概率,而E(X)为X的期望值。
根据伯努利不等式,我们可以得出:P(X) E(X),这就是贝尔曼不等式,它与伯努利不等式有着非常密切的关系,相当于是伯努利不等式的另一种推导形式。
伯努利不等式的应用非常广泛,它已经成为数学研究中的“必要内容”,并在一些研究和领域中被广泛使用。
伯努利不等式除了在概率论中应用外,还被广泛用于信息论、机器学习、数值分析等领域。
伯努利不等式也被用于统计分析,它可以用来评估某个实验或研究的结果。
例如,研究员想要确定实验的结果是正面的还是负面的,可以使用伯努利不等式来评估实验结果的概率,以及实验结果是否可行。
此外,伯努利不等式也可以被用于稳健估计。
因为每一个变量都有一定概率事件发生,所以当研究人员想要稳健估计某个变量的值时,可以使用伯努利不等式进行估计。
它可以把变量X的值抽象成期望值,通过限制X的期望值来控制变量X的变化,从而获得变量X的稳健估计结果。
伯努利不等式的另一个原因在于,它可以用来估计概率分布的参数。
伯努利不等式二项式定理证明伯努利不等式和二项式定理是数学中非常重要的概念,在代数学、概率论、组合数学等领域应用广泛。
这篇文章将详细介绍这两个概念的定义和证明方法。
1. 伯努利不等式的定义伯努利不等式是指对于任意实数$x$和$y$以及任意正整数$n$,都有$(1+x)^n\geq1+nx$或$(1+y)^n\geq1+ny$。
即当$x$或$y$为正时,不等式成立。
2. 伯努利不等式的证明伯努利不等式的证明可以采用数学归纳法。
首先,当$n=1$时,$(1+x)^n=1+x\geq1+nx$,不等式成立。
其次,假设当$n=k$时,不等式成立,即$(1+x)^k\geq1+kx$。
那么,对于$n=k+1$时,$(1+x)^{k+1}=(1+x)^k(1+x)\geq(1+kx)(1+x)=1+(k+1)x+kx^2$。
因为$x$为正,所以$kx^2\geq0$,因此$(1+x)^{k+1}\geq1+(k+1)x$,不等式也成立。
3. 二项式定理的定义二项式定理是指$(a+b)^n=\sum\limits_{k=0}^nC_n^ka^kb^{n-k}$。
其中$C_n^k$表示$n$个不同元素中取$k$个的组合数。
4. 二项式定理的证明二项式定理的证明也可以采用数学归纳法。
首先,当$n=1$时,$(a+b)^n=a+b$,不等式成立。
其次,假设当$n=k$时,不等式成立,即$(a+b)^k=\sum\limits_{i=0}^kC_k^ia^ib^{k-i}$。
那么,对于$n=k+1$时,$(a+b)^{k+1}=(a+b)^k(a+b)=\sum\limits_{i=0}^kC_k^ia^ib^{k-i}+\sum\limits_{i=0}^kC_k^ia^{i+1}b^{k-i}=\sum\limits_{i=0}^kC_k^ia^ib^{k-i}+\sum\limits_{i=1}^{k+1}C_k^{i-1}a^ib^{k-i+1}$。
修改名词:伯努利不等式的基本概念和应用引言伯努利不等式是数学中的一个重要概念,广泛应用于各个领域。
本文将介绍伯努利不等式的基本概念以及其在实际应用中的具体场景。
伯努利不等式的基本概念伯努利不等式是数学不等式中的一种,它描述了实数幂函数的不等关系。
伯努利不等式的一般形式如下:设实数a>1,整数n≥1,则对于任意实数x,有如下不等式成立:(1+x)^n ≥ 1+nx其中,(1+x)^n表示x+1的n次幂。
伯努利不等式的应用伯努利不等式在实际应用中有着广泛的应用场景,以下是一些例子:1. 金融领域在金融领域中,利息的计算经常会涉及到伯努利不等式。
例如,假设有一笔本金为P的投资,年利率为r,投资期限为t年。
根据伯努利不等式,我们可以得出以下结论:投资t年后的本金B满足不等式B ≥ P(1+r)^t。
这个不等式可以帮助我们评估投资的增长情况。
2. 物理学领域在物理学中,伯努利不等式被广泛应用于气体动力学和流体力学的分析。
伯努利不等式可以描述流体在静态和动态环境中的运动情况。
应用伯努利不等式可以帮助我们理解流体的压力变化、速度变化等。
3. 经济学领域在经济学中,伯努利不等式可以应用于风险评估和决策分析。
伯努利不等式的基本原理可以帮助我们评估不同决策所带来的不同结果的概率,从而做出合理的决策。
结论伯努利不等式是数学中的一个重要概念,其基本概念以及应用场景都值得深入研究和探索。
具备对伯努利不等式的理解,可以帮助我们在各个领域的实际问题中做出更准确的判断和决策。
以上是对伯努利不等式的基本概念和应用的简要介绍。
希望本文能对您有所帮助。
伯努利不等式证明过程伯努利不等式是由瑞士数学家雅各布·伯努利在17世纪提出的,它提供了一种关于幂函数的不等式关系。
伯努利不等式的数学表述如下:对于任意实数$x>-1$和正实数$n$,有$(1+x)^n ""geq 1+nx$。
下面是伯努利不等式的证明过程:1. 首先我们可以先证明当$n$为正整数时,伯努利不等式成立。
当$n=1$时,显然有$(1+x)^1=1+x$,不等式成立。
假设当$n=k$时不等式成立,即$(1+x)^k ""geq 1+kx$。
那么当$n=k+1$时,我们需要证明$(1+x)^{k+1} ""geq 1+(k+1)x$。
2. 我们可以将$(1+x)^{k+1}$展开成$(1+x)^k(1+x)$的形式。
$(1+x)^k(1+x) = (1+x)^k + (1+x)^kx$3. 根据假设的不等式$(1+x)^k ""geq 1+kx$,我们可以得到$(1+x)^k + (1+x)^kx ""geq 1+kx + (1+x)^kx$4. 将不等式中的$kx$分解成$kx+x^2$,得到$(1+x)^k + (1+x)^kx ""geq 1+kx + kx + x^2$5. 化简得$(1+x)^k + (1+x)^kx ""geq 1+2kx + x^2$6. 由于$x>-1$,所以$x^2>-x$,可得$(1+x)^k + (1+x)^kx ""geq 1+2kx - x$7. 继续化简,得$(1+x)^k + (1+x)^kx ""geq 1+(k+1)x$8. 由于不等式$(1+x)^k ""geq 1+kx$成立,所以$(1+x)^{k+1} ""geq 1+(k+1)x$也成立。
伯努利不等式
伯努利不等式是数学历史上最重要的不等式之一,其基本概念以及应用范围至今仍受到学者们的广泛关注。
它的发明者Jacques Bernoulli,曾被誉为“数学大师”,其伯努利不等式为现代数学的发展做出了杰出的贡献。
伯努利不等式是由法国数学家Jacques Bernoulli发明的,1700年左右,他在一本书中提出了这一重要的不等式:“如果x是一个正数,则x的[ABSOLUTE VALUE OF (x)]平方大于等于2x的平方根”。
这一不等式描述的是一种解决问题的有效方法,如此将x的平方与其平方根比较,可以得到某种有用的结果。
伯努利不等式应用范围十分广泛,它可用于解决各种数学问题,尤其是几何问题。
例如,它可以用来证明直角三角形的勾股定理,即“只要有一条直角,就一定有两条斜边满足勾股定理”。
它也可以用来解决几何界的某些问题,如空间的曲率问题,一般的有限维的空间等。
此外,伯努利不等式也可以用来研究贝叶斯公式,以及解决统计学分析中的问题,如卡方检验,二项概率的检验,以及频率分布等。
这些方法都是基于伯努利不等式,从而解决了一些统计学问题。
此外,伯努利不等式也是微积分和概率论中最重要的方法之一,通过伯努利不等式,可以对概率分布函数进行无穷积分,并且可以在习题中用到。
总结起来,伯努利不等式是数学历史上的一个重要发明,它的应
用范围十分广泛,并且深受学者们的青睐。
它可以用来解决几何学、微积分以及概率论中的一些问题,可以说是现代数学科学发展史上的一件宝物。
高中数学基本不等式证明高中数学中,基本不等式是指一些常见的不等式或不等式组,它们的成立非常重要,经常被用于证明其他不等式或解决实际问题。
下面,我将为您详细介绍几个常见的高中数学基本不等式以及它们的证明。
1. 平均不等式:对于任意正数a1,a2,...,an,有(a1+a2+...+an)/n ≥ (a1*a2*...*an)^(1/n)。
证明:我们可以利用数学归纳法进行证明。
首先,当n=2时,不等式成立,即(a1+a2)/2≥(a1*a2)^(1/2),这是平均值不等式的特殊情况。
假设当n=k时,不等式成立,即(a1+a2+...+ak)/k ≥(a1*a2*...*ak)^(1/k)。
当n=k+1时,考虑(a1+a2+...+ak+ak+1)/(k+1)与(a1*a2*...*ak*ak+1)^(1/(k+1))的大小关系。
由于(a1+a2+...+ak)/k ≥ (a1*a2*...*ak)^(1/k)(根据假设,这是成立的)。
我们可以将(a1+a2+...+ak+ak+1)分解为(k*(a1+a2+...+ak))/k+ak+1,利用不等式的性质,得到:(k*(a1+a2+...+ak))/k+ak+1 ≥k*(a1*a2*...*ak)^(1/k)*(ak+1)^(1/k+1)。
经过简单的变形,我们可以得到要证明的不等式,即(a1+a2+...+ak+ak+1)/(k+1) ≥ (a1*a2*...*ak*ak+1)^(1/k+1)。
根据数学归纳法的原理,平均不等式得证。
2.伯努利不等式:对于任意实数x>-1和正整数n,有(1+x)^n ≥ 1+nx。
证明:我们可以利用数学归纳法来证明伯努利不等式。
首先,当n=1时,左边为(1+x),右边为1+x,显然成立。
假设当n=k时,不等式成立,即(1+x)^k ≥ 1+kx。
当n=k+1时,考虑(1+x)^(k+1)和(1+(k+1)x)之间的大小关系。
伯努利不等式、幂平均不等式、赫尔德不等式、杨氏不等式、闵可夫斯基不等式、权方和不等式
1. 伯努利不等式:如果一个随机变量X的期望存在,则有
$E[X]\geqslant 0$。
2. 幂平均不等式:对任意n>1和正实数r<1,遵从二项分布的随机
变量X满足$\left(\dfrac{\sum_{i=1}^n
x_i^r}{n}\right)^{\frac{1}{r}}\leqslant\left(\dfrac{\sum_{i=1}^n x_i}{n}\right)$。
3. 赫尔德不等式:设X和Y是取值实数的随机变量,则有$E[|X-
Y|]\leqslant E[|X|]+E[|Y|]$,其中$E[|X|]$为X绝对值的数学期望。
4. 杨氏不等式:设X为随机变量,则有$E[X^2]\geqslant(E[X])^2$。
5. 闵可夫斯基不等式:若X为定义在[0,1]上的随机变量,则有
$P(X\geqslant a)\geqslant(E[X])^2$。
6. 权方和不等式:设X和Y是定义在[0,1]上的随机变量,则有
$E[XY]\geqslant E[X]E[Y]$。
证明伯努利定理的方法
伯努利定理,又称二项式定理,是指在N个独立事件中,每个事件有
出现与不出现两种可能性,则出现一定可能性结果的总次数等于2^N。
证明方法:
(1)充分性:假设有N个独立事件,每个事件有出现和不出现两种
可能性,称他们分别为P1、P2……PN,易知存在2^N种不同的取值组合,而每一种取值组合也就是一种结果,则共有2^N种结果,即为伯努利定理
中出现一定可能性结果的总次数。
(2)必要性:假设出现一定可能性结果的总次数为2^N,则1∶2^0、2∶2^1、3∶2^2……N∶2^(N-1),这表明N个独立事件每个事件有出现和
不出现的两种可能性,故原命题成立。
由此可见,伯努利定理的证明完成。
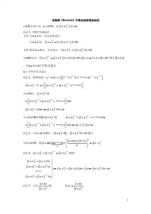
伯努利不等式:
设x>-1,且x≠0,n是不小于2的整数,则(1+x)n≥1+nx.证明:
先证明对所有正整数不等式成立。
用数学归纳法:当n=1,上个式子成立,
设对n-1,有:
(1+x)n-1≥1+(n-1)x成立,
则
(1+x)n
=(1+x)n-1(1+x)
≥[1+(n-1)x](1+x)
=1+(n-1)x+x+(n-1)x2=1+nx+nx2-x2
≥1+nx
就是对一切的自然数,当
x≥-1,有
(1+x)n≥1+nx
下面把伯努利不等式推广到实数幂形式:
若r ≤0或r ≥ 1,有(1+x)r ≥ 1 + rx
若0 ≤ r ≤ 1,有(1+x)r≤ 1 + rx
这个不等式可以直接通过微分进行证明,方法如下:如果r=0,1,则结论是显然的
如果r≠0,1,作辅助函数f(x)=(1+x)r-(1+rx), 那么
f'(x)=r*(1+x)r-1-r, 则f'(x)=0 ↔ x=0;
下面分情况讨论:
1. 0 < r < 1,则对于x > 0,f'(x) < 0;对于− 1 < x < 0,f'(x) > 0。
严格递增,因此f(x)在x = 0处取最大值0,故得(1+x)r≤ 1+rx。
2. r < 0或r > 1,则对于x > 0,f'(x) > 0;对于− 1 < x < 0,f'(x) < 0。
严格递减,因此f(x)在x = 0处取最小值0,故得(1+x)r ≥ 1+rx
命题得证。
伯努利不等式:
设x>-1,且x≠0,n是不小于2的整数,则(1+x)n≥1+nx.证明:
先证明对所有正整数不等式成立。
用数学归纳法:当n=1,上个式子成立,
设对n-1,有:
(1+x)n-1≥1+(n-1)x成立,
则
(1+x)n
=(1+x)n-1(1+x)
≥[1+(n-1)x](1+x)
=1+(n-1)x+x+(n-1)x2=1+nx+nx2-x2
≥1+nx
就是对一切的自然数,当
x≥-1,有
(1+x)n≥1+nx
下面把伯努利不等式推广到实数幂形式:
若r ≤0或r ≥ 1,有(1+x)r ≥ 1 + rx
若0 ≤ r ≤ 1,有(1+x)r≤ 1 + rx
这个不等式可以直接通过微分进行证明,方法如下:如果r=0,1,则结论是显然的
如果r≠0,1,作辅助函数f(x)=(1+x)r-(1+rx), 那么
f'(x)=r*(1+x)r-1-r, 则f'(x)=0 ↔ x=0;
下面分情况讨论:
1. 0 < r < 1,则对于x > 0,f'(x) < 0;对于− 1 < x < 0,f'(x) > 0。
严格递增,因此f(x)在x = 0处取最大值0,故得(1+x)r≤ 1+rx。
2. r < 0或r > 1,则对于x > 0,f'(x) > 0;对于− 1 < x < 0,f'(x) < 0。
严格递减,因此f(x)在x = 0处取最小值0,故得(1+x)r ≥ 1+rx
命题得证。