《电磁场与电磁波》第4版(谢处方 编)课后习题答案 五章习题解答
- 格式:doc
- 大小:499.04 KB
- 文档页数:9
第一章习题解答【习题1.1解】222222222222222222222222222222222222cos cos cos cos cos cos 1xx x y z yx y z z x y z x y z x y z x y z x y z x y z x y z 矢径r 与轴正向的夹角为,则同理,矢径r 与y 轴正向的夹角为,则矢径r 与z 轴正向的夹角为,则可得从而得证a a b b g g a b g =++=++=++++=++++++++++==++ 【习题1.2解】924331329(243)54(9)(243)236335x y z x y z x y z x y z x y z x y z x y z x y z A B e e e e e e e e e A B e e e e e e e e e A B e e e e e e A B +=--+-+=-+=----+=---∙=--∙-+=+-=⨯()()-()(9)(243)19124331514x y z x y z x y z x y ze e e e e e e e e e e e =--⨯-+=---=--+【习题1.3解】已知,38,x y z x y z A e be ce B e e e =++=-++ (1)要使A B ⊥,则须散度 0A B =所以从 1380A B b c =-++=可得:381b c +=即只要满足3b+8c=1就可以使向量错误!未找到引用源。
和向量错误!未找到引用源。
垂直。
(2)要使A B ,则须旋度 0A B ⨯= 所以从1(83)(8)(3)0138xy zx y z e e e A B b c b c e c e b e ⨯==--+++=-可得 b=-3,c=-8 【习题1.4解】已知129x y z A e e e =++,x y B ae be =+,因为B A ⊥,所以应有0A B ∙= 即()()1291290xy z x y ee e ae be a b ++∙+=+= ⑴又因为 1B =; 所以221=; ⑵由⑴,⑵ 解得 34,55a b =±=【习题1.5解】由矢量积运算规则123233112()()()x y zx y z x x y y z ze e e A Ca a a a z a y e a x a z e a y a x e xyzB e B e B e B =?=-+-+-=++取一线元:x y z dl e dx e dy e dz =++则有xy z xyz e e e dlB B B dx dy dzB ?=则矢量线所满足的微分方程为 x y zd x d y d z B B B == 或写成233112()dx dy dzk a z a y a x a z a y a x==---=常数 求解上面三个微分方程:可以直接求解方程,也可以采用下列方法k xa a y a a z a d z a a x a a y a d y a a z a a x a d =-=-=-323132132231211)()()( (1)k x a y a z zdzz a x a y ydy y a z a x xdx =-=-=-)()()(211332 (2)由(1)(2)式可得)()(31211y a a x a a k x a d -=)()(21322z a a x a a k y a d -= (3))()(32313x a a y a a k z a d -= )(32xy a xz a k xdx -=)(13yz a xy a k ydy -= (4))(21xz a yz a k zdz -=对(3)(4)分别求和0)()()(321=++z a d y a d x a d 0)(321=++z a y a x a d0=++zdz ydy xdx 0)(222=++z y x d所以矢量线方程为1321k z a y a x a =++ 2222k z y x =++【习题1.6解】已知矢量场222()()(2)x y z A axz x e by xy e z z cxz xyz e =++++-+- 若 A 是一个无源场 ,则应有 div A =0即: div A =0y x zA A A A x y z∂∂∂∇⋅=++=∂∂∂ 因为 2x A axz x =+ 2y A by xy =+ 22z A z z cxz xyz =-+- 所以有div A =az+2x+b+2xy+1-2z+cx-2xy =x(2+c)+z(a-2)+b+1=0 得 a=2, b= -1, c= - 2 【习题1.7解】设矢径 r的方向与柱面垂直,并且矢径 r到柱面的距离相等(r =a ) 所以,2sssr ds rds a ds a ah πΦ===⎰⎰⎰=22a h π=【习题1.8解】已知23x y φ=,223y z A x yze xy e =+而 A A A A rot⨯∇+⨯∇=⨯∇=φφφφ)()(2222(6)3203xy zx y ze e e A xy x y e y e xyze x y z x yz xy ∂∂∂∇⨯==--+∂∂∂ 2223[(6)32]x y z A x y xy x y e y e xyze φ∴∇⨯=--+又y x z y x e x e xy ze y e x e 236+=∂∂+∂∂+∂∂=∇φφφφ 232233222630918603xy z x y z e e e A xyx x y e x y e x y ze x yz xy φ∇⨯==-+所以222()3[(6)32]x y z rot A A A x y xy x y e y e xyze φφφ=∇⨯+∇⨯=--+ +z y x e z y x e y x e y x 2332236189+-=]49)9[(3222z y x e xz e y e x x y x+--【习题1.9解】已知 222(2)(2)(22)x y zA y x z e x y z e x z y z e =++-+-+ 所以()()1144(22)0xyzyy x x z z x y z x yzx y z A A A A A A rot A A x y z y z z x x y A A A xz xz y y e e ee e e e e e ∂∂⎛⎫⎛⎫∂∂∂∂∂∂∂⎛⎫=∇⨯==-+-+- ⎪ ⎪ ⎪∂∂∂∂∂∂∂∂∂⎝⎭⎝⎭⎝⎭-++-+-=由于场A 的旋度处处等于0,所以矢量场A 为无旋场。
2.1点电荷的严格定义是什么? 点电荷是电荷分布的一种极限情况,可将它看做一个体积很小而电荷密度很的带电小球的极限。
当带电体的尺寸远小于观察点至带电体的距离时,带电体的形状及其在的电荷分布已无关紧要。
就可将带电体所带电荷看成集中在带电体的中心上。
即将带电体抽离为一个几何点模型,称为点电荷。
2.2 研究宏观电磁场时,常用到哪几种电荷的分布模型?有哪几种电流分布模型?他们是如何定义的? 常用的电荷分布模型有体电荷、面电荷、线电荷和点电荷;常用的电流分布模型有体电流模型、面电流模型和线电流模型,他们是根据电荷和电流的密度分布来定义的。
2,3点电荷的电场强度随距离变化的规律是什么?电偶极子的电场强度又如何呢?点电荷的电场强度与距离r 的平方成反比;电偶极子的电场强度与距离r 的立方成反比。
2.4简述 和 所表征的静电场特性表明空间任意一点电场强度的散度与该处的电荷密度有关,静电荷是静电场的通量源。
表明静电场是无旋场。
2.5 表述高斯定律,并说明在什么条件下可应用高斯定律求解给定电荷分布的电场强度。
高斯定律:通过一个任意闭合曲面的电通量等于该面所包围的所有电量的代数和除以 与闭合面外的电荷无布的电场强度。
2.6简述 和 所表征的静电场特性。
表明穿过任意闭合面的磁感应强度的通量等于0,磁力线是无关尾的闭合线, 表明恒定磁场是有旋场,恒定电流是产生恒定磁场的漩涡源 2.7表述安培环路定理,并说明在什么条件下可用该定律求解给定的电流分布的磁感应强度。
安培环路定理:磁感应强度沿任何闭合回路的线积分等于穿过这个环路所有电流的代数和 倍,即 2.8简述电场与电介质相互作用后发生的现象。
在电场的作用下出现电介质的极化现象,而极化电荷又产生附加电场2.9极化强度的如何定义的?极化电荷密度与极化强度又什么关系? 单位体积的点偶极矩的矢量和称为极化强度,P 与极化电荷密度的关系为 极化强度P 与极化电荷面的密度 2.10电位移矢量是如何定义的?在国际单位制中它的单位是什么 电位移矢量定义为 其单位是库伦/平方米 (C/m 2) 2.11 简述磁场与磁介质相互作用的物理现象? ερ/=•∇E 0=⨯∇E ερ/=•∇E 0=⨯∇E VS 0 0=⋅∇BJ B 0μ=⨯∇0=⋅∇B J B0μ=⨯∇0μC P•∇=-p ρnsp e •=P ρE P EDεε=+=0在磁场与磁介质相互作用时,外磁场使磁介质中的分子磁矩沿外磁场取向,磁介质被磁化,被磁化的介质要产生附加磁场,从而使原来的磁场分布发生变化,磁介质中的磁感应强度B 可看做真空中传导电流产生的磁感应强度B 0 和磁化电流产生的磁感应强度B ’ 的叠加,即 2.12 磁化强度是如何定义的?磁化电流密度与磁化强度又什么关系? 单位体积内分子磁矩的矢量和称为磁化强度;磁化电流体密度与磁化强度: 磁化电流面密度与磁化强度: 2.13 磁场强度是如何定义的?在国际单位制中它的单位是什么?2,14 你理解均匀媒质与非均匀媒质,线性媒质与非线性媒质,各向同性与各向异性媒质的含义么? 均匀媒质是指介电常数 或磁介质磁导率 处处相等,不是空间坐标的函数。
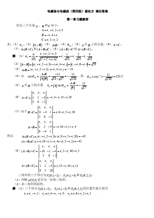
电磁场 与电磁波(第四版) 课后答案第一章 习 题 解答1.1 给定三个矢量A 、B 和C 如下: 23x y z =+-A e e e4y z =-+B e e 52x z =-C e e求:(1)A a ;(2)-A B ;(3)A B ;(4)AB θ;(5)A 在B 上的 分量;(6)⨯A C ;(7)()⨯A B C 和()⨯A B C ;(8)()⨯⨯A B C 和()⨯⨯A B C 。
解 (1)23A x y z +-===+-e e e A a e e e A (2)-=A B (23)(4)x y z y z +---+=e e e ee 64x y z +-=e e e (3)=A B (23)x y z +-e e e (4)y z -+=e e -11 (4)由c o sAB θ=11238=A B A B ,得1c o s AB θ-=(135.5= (5)A 在B 上的分 量 B A =A c o s AB θ==A B B (6)⨯=A C 123502xyz-=-e e e 41310x y z ---e e e (7)由于⨯=B C 041502xyz-=-e e e 8520x y z ++e e e⨯=A B 123041xyz-=-e e e 1014x y z ---e e e所以 ()⨯=A B C (23)x y z +-e e e (8520)4x y z ++=-e e e ()⨯=A B C (1014)x y z ---e e e (52)42x z -=-e e (8)()⨯⨯=A B C 1014502xyz---=-e e e 2405x y z -+e e e()⨯⨯=A B C 1238520x y z -=e e e 554411x y z --e e e1.2 三角形的三个顶点 为1(0,1,2)P -、2(4,1,3)P -和3(6,2,5)P 。
点电荷是电荷分布的一种极限情况,可将它看做一个体积很小而电荷密度很的带电小球的极限。
当带电体的尺寸远小于观察点至带电体的距离时,带电体的形状及其在的电荷分布已无关紧要。
就可将带电体所带电荷看成集中在带电体的中心上。
即将带电体抽离为一个几何点模型,称为点电荷。
2.2 研究宏观电磁场时,常用到哪几种电荷的分布模型?有哪几种电流分布模型?他们是如何定义的?常用的电荷分布模型有体电荷、面电荷、线电荷和点电荷;常用的电流分布模型有体电流模型、面电流模型和线电流模型,他们是根据电荷和电流的密度分布来定义的。
2,3点电荷的电场强度随距离变化的规律是什么?电偶极子的电场强度又如何呢?点电荷的电场强度与距离r 的平方成反比;电偶极子的电场强度与距离r 的立方成反比。
2.4简述 和 所表征的静电场特性表明空间任意一点电场强度的散度与该处的电荷密度有关,静电荷是静电场的通量源。
表明静电场是无旋场。
2.5 表述高斯定律,并说明在什么条件下可应用高斯定律求解给定电荷分布的电场强度。
高斯定律:通过一个任意闭合曲面的电通量等于该面所包围的所有电量的代数和除以 与闭合面外的电荷无关,即 在电场(电荷)分布具有某些对称性时,可应用高斯定律求解给定电荷分布的电场强度。
表明穿过任意闭合面的磁感应强度的通量等于0,磁力线是无关尾的闭合线,表明恒定磁场是有旋场,恒定电流是产生恒定磁场的漩涡源 2.7表述安培环路定理,并说明在什么条件下可用该定律求解给定的电流分布的磁感应强度。
安培环路定理:磁感应强度沿任何闭合回路的线积分等于穿过这个环路所有电流的代数和 倍,即如果电路分布存在某种对称性,则可用该定理求解给定电流分布的磁感应强度。
2.8简述电场与电介质相互作用后发生的现象。
2.9极化强度的如何定义的?极化电荷密度与极化强度又什么关系?单位体积的点偶极矩的矢量和称为极化强度,P 与极化电荷密度的关系为 极化强度P 与极化电荷面的密度2.10电位移矢量是如何定义的?在国际单位制中它的单位是什么 电位移矢量定义为 其单位是库伦/平方米 (C/m 2)2.11 简述磁场与磁介质相互作用的物理现象? 在磁场与磁介质相互作用时,外磁场使磁介质中的分子磁矩沿外磁场取向,磁介质被磁化,被磁化的介质要产生附加磁场,从而使原来的磁场分布发生变化,磁介质中的磁感应强度B 可看做真空中传导电流产生的磁感应强度B 0 和磁化电流产生的磁感应强度B ’ 的叠加,即2.12 磁化强度是如何定义的?磁化电流密度与磁化强度又什么关系?ερ/=•∇E 0=⨯∇E ερ/=•∇E 0=⨯∇E 1 0=⋅∇B J B 0μ=⨯∇0=⋅∇B J B 0μ=⨯∇0μ P •∇=-p ρn sp e•=P ρE P E D εε=+=0B B B 0'+= MJ M⨯∇=单位体积内分子磁矩的矢量和称为磁化强度;磁化电流体密度与磁化强度: 磁化电流面密度与磁化强度:磁场强度定义为: 国际单位之中,单位是安培/米(A/m)2,14 你理解均匀媒质与非均匀媒质,线性媒质与非线性媒质,各向同性与各向异性媒质的含义么?均匀媒质是指介电常数 或磁介质磁导率 处处相等,不是空间坐标的函数。
电磁场与电磁波(第4版)第5章部分习题参考解答GG5.1 在自由空间中,已知电场E(z,t)=ey103sin(ωt?βz)V/m,试求磁场强度G H(z,t)。
解:以余弦为基准,重新写出已知的电场表示式GπGE(z,t)=ey103cos(ωt?βz?V/m 2这是一个沿+z方向传播的均匀平面波的电场,其初相角为?90D。
与之相伴的磁场为G1GG1GGπH(z,t)=ez×E(z,t)=ez×ey103cos(ωt?βz?η0η023πG10G=?excos(ωt?βz?)=?ex2.65sin(ωt?βz) A/m120π25.2 理想介质(参数为μ=μ0、ε=εrε0、ζ=0)中有一均匀平面波沿x方向传播,已知其电场瞬时值表达式为GGE(x,t)=ey377cos(109t?5x) V/m GG试求:(1) 该理想介质的相对介电常数;(2) 与E(x,t)相伴的磁场H(x,t);(3) 该平面波的平均功率密度。
G解:(1) 理想介质中的均匀平面波的电场E应满足波动方程G2G?E?2E?με2=0 ?tG据此即可求出欲使给定的E满足方程所需的媒质参数。
方程中2G?EyGGG229et?5x) ?E=ey?Ey=ey=?y9425cos(102?xG22?EG?EyG18937710cos(10eet?5x) ==?×yy22 ?t?x 故得?9425cos(109t?5x)+με*377×1018cos(109t?5x)+=0即9425με==25×10?18 18377×10故25×10?18εr==25×10?18×(3×108)2=2.25 μ0ε0其实,观察题目给定的电场表达式,可知它表征一个沿+x方向传播的均匀平面ω109波,其相速为vp===2×108m/s k5而vp====3×108 3故εr=()2=2.25 2GGGGG(2) 与电场E相伴的磁场H可由?×E=?jωμ0H求得。
第一章习题解答1.1 给定三个矢量A 、B 和C 如下: 23x y z =+-A e e e4y z =-+B e e52x z =-C e e求:(1)A a ;(2)-A B ;(3)A B g ;(4)AB θ;(5)A 在B 上的分量;(6)⨯A C ; (7)()⨯A B C g 和()⨯A B C g ;(8)()⨯⨯A B C 和()⨯⨯A B C 。
解 (1)23A x y z+-===-e e e A a e e e A (2)-=A B (23)(4)x y z y z +---+=e e e ee 64x y z +-e e e (3)=A B g (23)x y z +-e e e (4)y z -+=e e g -11 (4)由cos AB θ===A B A B g ,得1cos ABθ-=(135.5=o (5)A 在B 上的分量 B A =A cos AB θ==A B B g (6)⨯=A C 123502xy z-=-e e e 41310x y z ---e e e (7)由于⨯=B C 041502x yz-=-e e e 8520x y z ++e e e ⨯=A B 123041xyz-=-e e e 1014x y z ---e e e所以 ()⨯=A B C g (23)x y z +-e e e g (8520)42x y z ++=-e e e ()⨯=A B C g (1014)x y z ---e e e g (52)42x z -=-e e(8)()⨯⨯=A B C 1014502x y z---=-e e e 2405x y z -+e e e()⨯⨯=A B C 1238520x y z -=e e e 554411x y z --e e e1.2 三角形的三个顶点为1(0,1,2)P -、2(4,1,3)P -和3(6,2,5)P 。
电磁场与电磁波(第四版)谢处方 课后答案第一章习题解答给定三个矢量A 、B 和C 如下: 23x y z =+-A e e e4y z =-+B e e 52x z =-C e e求:(1)A a ;(2)-A B ;(3)A B g ;(4)AB θ;(5)A 在B 上的分量;(6)⨯A C ;(7)()⨯A B C g 和()⨯A B C g ;(8)()⨯⨯A B C 和()⨯⨯A B C 。
解 (1)23A x y z+-===+e e e A a e e e A (2)-=A B (23)(4)x y z y z +---+=e e e ee 64x y z +-=e e e (3)=A B g (23)x y z +-e e e (4)y z -+=e e g -11(4)由 cos AB θ===A B A B g ,得 1cos AB θ-=(135.5=o(5)A 在B 上的分量 B A =A cos AB θ==A B B g (6)⨯=A C 123502x y z-=-e e e 41310x y z ---e e e (7)由于⨯=B C 041502xyz-=-e e e 8520x y z ++e e e⨯=A B 123041xyz-=-e e e 1014x y z ---e e e所以 ()⨯=A B C g (23)x y z +-e e e g (8520)42x y z ++=-e e e ()⨯=A B C g (1014)x y z ---e e e g (52)42x z -=-e e(8)()⨯⨯=A B C 1014502xyz---=-e e e 2405x y z -+e e e()⨯⨯=A B C 1238520xy z -=e e e 554411x y z --e e e三角形的三个顶点为1(0,1,2)P -、2(4,1,3)P -和3(6,2,5)P 。
电磁场与电磁波(第四版)课后答案第一章习题解答1.1 给定三个矢量A 、B 和C 如下: 23x y z =+-A e e e4y z =-+B e e52x z =-C e e求:(1)A a ;(2)-A B ;(3)A B ;(4)AB θ;(5)A 在B 上的分量;(6)⨯A C ;(7)()⨯A B C 和()⨯A B C ;(8)()⨯⨯A B C 和()⨯⨯A B C。
解 (1)23A x y z+-===+-e e e A a e e e A (2)-=A B (23)(4)x y z y z +---+=e e e e e 64x y z +-e e e (3)=A B (23)x y z +-e e e (4)y z -+=e e -11 (4)由c o s AB θ=11238=A B A B ,得1c o sAB θ-=(135.5= (5)A 在B 上的分量 B A=A c o s AB θ==A B B (6)⨯=A C 123502xyz-=-e e e 41310x y z ---e e e (7)由于⨯=B C 041502x y z-=-e e e 8520x y z ++e e e⨯=A B 123041xyz-=-e e e 1014x y z ---e e e所以 ()⨯=A B C (23)x y z +-e e e (8520)42x y z ++=-e e e ()⨯=A B C (1014)x y z ---e e e (52)42x z -=-e e (8)()⨯⨯=A B C 1014502xyz---=-e e e 2405x y z -+e e e()⨯⨯=A B C 1238520x y z -=e e e 554411x y z --e e e1.2 三角形的三个顶点为1(0,1,2)P -、2(4,1,3)P -和3(6,2,5)P 。
《电磁场与电磁波》第4版(谢处⽅编)课后习题答案五章习题解答五章习题解答5.1 真空中直线长电流I 的磁场中有⼀等边三⾓形回路,如题5.1图所⽰,求三⾓形回路内的磁通。
解根据安培环路定理,得到长直导线的电流I 产⽣的磁场02I rφµπ=B e 穿过三⾓形回路⾯积的磁通为d S ψ==?B Sg 0002[d ]d d 2d d z ddII zz x x x xµµππ=? 由题5.1图可知,()tan6z x d π=-=,故得到d d dx d x x ψ-==0[2I b µπ5.2 通过电流密度为J 的均匀电流的长圆柱导体中有⼀平⾏的圆柱形空腔,如题5.2图所⽰。
计算各部分的磁感应强度B ,并证明腔内的磁场是均匀的。
解将空腔中视为同时存在J 和J -的两种电流密度,这样可将原来的电流分布分解为两个均匀的电流分布:⼀个电流密度为J 、均匀分布在半径为b 的圆柱内,另⼀个电流密度为J -、均匀分布在半径为a 的圆柱内。
由安培环路定律,分别求出两个均匀分布电流的磁场,然后进⾏叠加即可得到圆柱内外的磁场。
由安培环路定律d CI µ?=?B l ?,可得到电流密度为J 、均匀分布在半径为b 的圆柱内的电流产⽣的磁场为 020222b b b b b b r b b r b r J r B J r µµ 电流密度为J -、均匀分布在半径为a 的圆柱内的电流产⽣的磁场为 020222a a a a a a r a a r a r J r B J r µµ?- 这⾥a r 和b r 分别是点a o 和b o 到场点P 的位置⽮量。
将a B 和b B 叠加,可得到空间各区域的磁场为圆柱外:220222b a ba b a r r B J r r µ??=?- ()b r b >圆柱内的空腔外:2022b a a ar B J r r µ??=?- ??(,)b a r b r a <> 空腔内: ()0022b a B J r r J d µµ=?-=? ()a r a <I题 5.1 图题5.2图式中d 是点和b o 到点a o 的位置⽮量。
电磁场与电磁波(第四版)谢处方 课后答案第一章习题解答1.1 给定三个矢量A 、B 和C 如下: 23x y z =+-A e e e4y z =-+B e e 52x z =-C e e求:(1)A a ;(2)-A B ;(3)A B g ;(4)AB θ;(5)A 在B 上的分量;(6)⨯A C ;(7)()⨯A B C g 和()⨯A B C g ;(8)()⨯⨯A B C 和()⨯⨯A B C 。
解 (1)23A x y z+-===-e e e A a e e e A (2)-=A B (23)(4)x y z y z +---+=e e e ee 64x y z +-=e e e (3)=A B g (23)x y z +-e e e (4)y z -+=e e g -11(4)由 cos AB θ===A B A B g ,得 1cos AB θ-=(135.5=o(5)A 在B 上的分量 B A =A cos AB θ==A B B g (6)⨯=A C 123502x y z-=-e e e 41310x y z ---e e e (7)由于⨯=B C 041502x y z-=-e e e 8520x y z ++e e e⨯=A B 123041xyz-=-e e e 1014x y z ---e e e所以 ()⨯=A B C g (23)x y z +-e e e g (8520)42x y z ++=-e e e ()⨯=A B C g (1014)x y z ---e e e g (52)42x z -=-e e(8)()⨯⨯=A B C 1014502xyz---=-e e e 2405x y z -+e e e()⨯⨯=A B C 1238520xy z -=e e e 554411x y z --e e e1.2 三角形的三个顶点为1(0,1,2)P -、2(4,1,3)P -和3(6,2,5)P 。
《电磁场与电磁波》课后习题解答(第五章)————————————————————————————————作者:————————————————————————————————日期:习题及参考答案5.1 一个点电荷 Q 与无穷大导体平面相距为d ,如果把它移动到无穷远处,需要作多少功?解:用镜像法计算。
导体面上的感应电荷的影响用镜像电荷来代替,镜像电荷的大小为-Q ,位于和原电荷对称的位置。
当电荷Q 离导体板的距离为x 时,电荷Q 受到的静电力为2)2(042x Q F επ-=静电力为引力,要将其移动到无穷远处,必须加一个和静电力相反的外力2)2(042x Q f επ=在移动过程中,外力f 所作的功为d Q d dx dx Q dx f 016220162επεπ=⎰∞⎰∞= 当用外力将电荷Q 移动到无穷远处时,同时也要将镜像电荷移动到无穷远处,所以,在整个过程中,外力作的总功为dq8/2επ。
也可以用静电能计算。
在移动以前,系统的静电能等于两个点电荷之间的相互作用能:d Q d Q Q d Q Q q q W 082)2(04)(21)2(042122211121επεπεπϕϕ-=-+-=+=移动点电荷Q 到无穷远处以后,系统的静电能为零。
因此,在这个过程中,外力作功等于系统静电能的增量,即外力作功为dq8/2επ。
5.2 一个点电荷放在直角导体内部(如图5-1),求出所有镜像电荷的位置和大小。
解:需要加三个镜像电荷代替 导体面上的感应电荷。
在(-a ,d )处,镜像电荷为-q ,在(错误!链接无效。
)处, 镜像电荷为q ,在(a ,-d )处,镜像电荷为-q 。
图5-1 5.3 证明:一个点电荷q 和一个带有电 荷Q 、半径为R 的导体球之间的作用力为]2)22(2[04R D DRq D D qR Q q F --+=επ其中D 是q 到球心的距离(D >R )。
证明:使用镜像法分析。
五章习题解答5.1 真空中直线长电流I 的磁场中有一等边三角形回路,如题5.1图所示,求三角形回路内的磁通。
解 根据安培环路定理,得到长直导线的电流I 产生的磁场02I rφμπ=B e 穿过三角形回路面积的磁通为d S ψ==⎰B Sg 0002[d ]d d 2d d z ddII zz x x x xμμππ=⎰ 由题5.1图可知,()tan6z x d π=-=,故得到d d dx d x x ψ-==0[2I b μπ5.2 通过电流密度为J 的均匀电流的长圆柱导体中有一平行的圆柱形空腔,如题5.2图所示。
计算各部分的磁感应强度B ,并证明腔内的磁场是均匀的。
解 将空腔中视为同时存在J 和J -的两种电流密度,这样可将原来的电流分布分解为两个均匀的电流分布:一个电流密度为J 、均匀分布在半径为b 的圆柱内,另一个电流密度为J -、均匀分布在半径为a 的圆柱内。
由安培环路定律,分别求出两个均匀分布电流的磁场,然后进行叠加即可得到圆柱内外的磁场。
由安培环路定律d CI μ⋅=⎰B l Ñ,可得到电流密度为J 、均匀分布在半径为b 的圆柱内的电流产生的磁场为 020222b b b b b b r b b r b r J r B J r μμ⎧⨯<⎪⎪=⎨⨯⎪>⎪⎩ 电流密度为J -、均匀分布在半径为a 的圆柱内的电流产生的磁场为 020222a a a a a a r a a r a r J r B J r μμ⎧-⨯<⎪⎪=⎨⨯⎪->⎪⎩ 这里a r 和b r 分别是点a o 和b o 到场点P 的位置矢量。
将a B 和b B 叠加,可得到空间各区域的磁场为圆柱外:220222b a ba b a r r B J r r μ⎛⎫=⨯- ⎪⎝⎭ ()b r b >圆柱内的空腔外:2022b a a ar B J r r μ⎛⎫=⨯- ⎪⎝⎭ (,)b a r b r a <> 空腔内: ()0022b a B J r r J d μμ=⨯-=⨯ ()a r a <I题 5.1 图题5.2图式中d 是点和b o 到点a o 的位置矢量。
由此可见,空腔内的磁场是均匀的。
5.3 下面的矢量函数中哪些可能是磁场?如果是,求其源变量J 。
(1) 0,r ar H e B H μ== (圆柱坐标)(2) 0(),x y ay ax H e e B H μ=-+= (3) 0,x y ax ay H e e B H μ=-= (4) 0,ar H e B H φμ==(球坐标系)解 根据恒定磁场的基本性质,满足0B ∇⋅=的矢量函数才可能是磁场的场矢量,否则,不是磁场的场矢量。
若是磁场的场矢量,则可由J H =∇⨯求出源分布。
(1)在圆柱坐标中 211()()20r rB ar a r r r rB ∂∂∇⋅===≠∂∂ 该矢量不是磁场的场矢量。
(2) ()()0ay ax x yB ∂∂∇⋅=-+=∂∂ 该矢量是磁场的矢量,其源分布为 20xy zz a x y z ayaxe e e J H e ∂∂∂=∇⨯==∂∂∂- (3) ()()0ax ay x yB ∂∂∇⋅=+-=∂∂ 该矢量是磁场的场矢量,其源分布为 00x y zx y z ax ay e e e J H ∂∂∂=∇⨯==∂∂∂-(4) 在球坐标系中 11()0sin sin B ar r r B φθφθφ∂∂∇⋅===∂∂该矢量是磁场的场矢量,其源分布为22sin 1ctag 2sin 00sin rr r r a a r r ar e e e J H e e θφθθθθθφθ∂∂∂=∇⨯==-∂∂∂ 5.4 由矢量位的表示式()()d 4Rτμτπ''=⎰J r A r 证明磁感应强度的积分公式 03()()d 4Rτμτπ'⨯'=⎰J r RB r 并证明0B ∇⋅=解: 0()()()d 4R τμτπ''=∇⨯=∇⨯=⎰J r B r A r 0()d 4R τμτπ''∇⨯=⎰J r 01()()d 4R τμτπ''-⨯∇=⎰J r03()()d 4R τμτπ''-⨯-=⎰R J r 03()d 4Rτμτπ'⨯'⎰J r R[()]0∇⋅=∇⋅∇⨯=B A r5.5 有一电流分布0()()z rJ r a J r e =≤,求矢量位()A r 和磁感应强度()B r 。
解 由于电流只有z e 分量,且仅为r 的函数,故()A r 也只有z e 分量,且仅为r 的函数,即()()z z A r A r e =。
在圆柱坐标系中,由)(r A z 满足的一维微分方程和边界条件,即可求解出)(r A ,然后由()()r B A r =∇⨯可求出()B r 。
记a r ≤和a r ≥的矢量位分别为1()A r 和2()A r 。
由于在a r ≥时电流为零,所以211001()()z z A A r r J r r r r μ∂∂∇==-∂∂ (a r ≤)2221()()0z z A A r r r r r ∂∂∇==∂∂ (a r ≥)由此可解得3100111()ln 9z A r J r C r D μ=-++222ln )(D r C r A z +=)(1r A z 和)(2r A z 满足的边界条件为 ① 0→r 时,)(1r A z 为有限值② a r =时,)()(21a A a A z z =,ar z a r z rA r A ==∂∂=∂∂21 由条件①、②,有 01=C ,300221ln 9J a C a D μ-=+,2002113J a C a μ-= 由此可解得 320013C J a μ=-,320011(ln )33D J a a μ=-- 故310011()9z A r J r D μ=-+ (a r ≤)3320000111()ln (ln )333z A r J a r J a a μμ=--- (a r ≥)式中常数1D 由参考点确定,若令0=r 时,0)(1=r A z ,则有01=D 。
空间的磁感应强度为211001()()3r r J r φμ=∇⨯=B A e (r a <) 30022()()3J a r r rφμ=∇⨯=B A e (r a >) 5.6 如题5.6图所示,边长分别为a 和b 、载有电流I 的小矩形回路。
(1)求远处的任一点),,(z y x P 的矢量位()A r ,并证明它可以写成 03()4m rp r A r μπ⨯=。
其中m z Iab p e =;题5.6图(2)由A 求磁感应强度B ,并证明B 可以写成0()4I B d μΩπ=-∇ 式中2z r ab r e e d Ω⋅=场点对小电流回路所张的立体角。
解 (1)电流回路的矢量位为 01()d 4CI R μπ'=⎰A r l Ñ 式中:2221[()()]R x x y y z ''=-+-+=22212[2sin (cos sin )]r r x y x y θφφ''''-+++ 根据矢量积分公式d d C S l S ψψ=⨯∇⎰⎰Ñ,有11d d ()C SR R '''=⨯∇⎰⎰l S Ñ 而 11()()RR'∇=-∇ 所以 01()d ()4S I Rμπ'=-⨯∇⎰A r S 对于远区场,y r x r '>>'>>,,所以r R ≈,故01()d ()4S I r μπ'=-⨯∇=⎰A r S 01[d ]()4S I r μπ'-⨯∇=⎰S 01()()4z Iab rμπ-⨯∇=e 03()4m r μπ-⨯-=rp 034m rp r μπ⨯ (2)由于 03()()4m z r p r r A e μπ=-⨯-02sin 4m p r e φμθπ= 故 11(sin )()sin r A rA r r rB A e e φθφθθθ∂∂=∇⨯=-=∂∂03(2cos sin )4m r p r e e θμθθπ+ 又由于 3322cos 2cos sin ()()z r r r r r re e e e θθθθ⋅+=-∇=-∇ 故 00022()()(d )444m z r z r p I I ab r r e e e e B μμμΩπππ⋅⋅=-∇=-∇=-∇ 5.7 半径为a 磁介质球,具有磁化强度为2()z Az B M e =+其中A 和B 为常数,求磁化电流和等效磁荷。
解 磁介质球内的磁化电流体密度为 2()20m z z z Az B Az =∇⨯=-⨯∇+=-⨯=J M e e e等效磁荷体密度为 2()2m Az B Az zρ∂=-∇⋅=-+=-∂M 磁介质球表面的磁化电流面密度为22(cos )mS r az r Aa B θ==⨯=⨯+=J M ne e22(cos )sin Aa B φθθ+e等效磁荷面密度为22(cos )m r ar z Aa B σθ==⋅=⋅+=n Me e22(cos )cos Aa B θθ+5.8 如题5.8所示图,无限长直线电流I 垂直于磁导率分别为1μ和2μ的两种磁介质的分界面,试求:(1)两种磁介质中的磁感10μμ= 2μμ=Ixz题5.8图应强度1B 和2B ;(2)磁化电流分布。
解 (1)由安培环路定理,可得 2I rφπ=H e所以得到 0102I r φμμπ==B H e 22I rφμμπ==B H e(2)磁介质在的磁化强度 0200()12Irφμμμπμ-=-=M B H e则磁化电流体密度 00()1d 1d 1()()0d 2d m zz I rM r r r r rφμμπμ-=∇⨯==⋅=J M e e 在0=r 处,2B 具有奇异性,所以在磁介质中0=r 处存在磁化线电流m I 。
以z 轴为中心、r 为半径作一个圆形回路C ,由安培环路定理,有 01d m CI I μ+=⋅=⎰B l Ñ0Iμμ 故得到 =m I 0(1)I μμ- 在磁介质的表面上,磁化电流面密度为mS zz ==?J M e 00()2rIre μμπμ-5.9 已知一个平面电流回路在真空中产生的磁场强度为0H ,若此平面电流回路位于磁导率分别为1μ和2μ的两种均匀磁介质的分界平面上,试求两种磁介质中的磁场强度1H 和2H 。