电磁场与电磁波(第四版)谢处方 第五章习题解答.
- 格式:pdf
- 大小:452.65 KB
- 文档页数:10
《电磁场与电磁波》课后习题解答(第五章)————————————————————————————————作者:————————————————————————————————日期:习题及参考答案5.1 一个点电荷 Q 与无穷大导体平面相距为d ,如果把它移动到无穷远处,需要作多少功?解:用镜像法计算。
导体面上的感应电荷的影响用镜像电荷来代替,镜像电荷的大小为-Q ,位于和原电荷对称的位置。
当电荷Q 离导体板的距离为x 时,电荷Q 受到的静电力为2)2(042x Q F επ-=静电力为引力,要将其移动到无穷远处,必须加一个和静电力相反的外力2)2(042x Q f επ=在移动过程中,外力f 所作的功为d Q d dx dx Q dx f 016220162επεπ=⎰∞⎰∞= 当用外力将电荷Q 移动到无穷远处时,同时也要将镜像电荷移动到无穷远处,所以,在整个过程中,外力作的总功为dq8/2επ。
也可以用静电能计算。
在移动以前,系统的静电能等于两个点电荷之间的相互作用能:d Q d Q Q d Q Q q q W 082)2(04)(21)2(042122211121επεπεπϕϕ-=-+-=+=移动点电荷Q 到无穷远处以后,系统的静电能为零。
因此,在这个过程中,外力作功等于系统静电能的增量,即外力作功为dq8/2επ。
5.2 一个点电荷放在直角导体内部(如图5-1),求出所有镜像电荷的位置和大小。
解:需要加三个镜像电荷代替 导体面上的感应电荷。
在(-a ,d )处,镜像电荷为-q ,在(错误!链接无效。
)处, 镜像电荷为q ,在(a ,-d )处,镜像电荷为-q 。
图5-1 5.3 证明:一个点电荷q 和一个带有电 荷Q 、半径为R 的导体球之间的作用力为]2)22(2[04R D DRq D D qR Q q F --+=επ其中D 是q 到球心的距离(D >R )。
证明:使用镜像法分析。
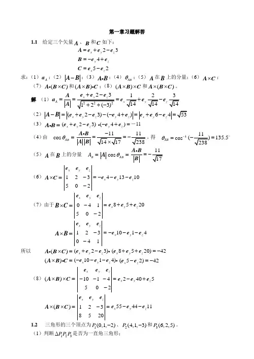
电磁场 与电磁波(第四版) 课后答案第一章 习 题 解答1.1 给定三个矢量A 、B 和C 如下: 23x y z =+-A e e e4y z =-+B e e 52x z =-C e e求:(1)A a ;(2)-A B ;(3)A B ;(4)AB θ;(5)A 在B 上的 分量;(6)⨯A C ;(7)()⨯A B C 和()⨯A B C ;(8)()⨯⨯A B C 和()⨯⨯A B C 。
解 (1)23A x y z +-===+-e e e A a e e e A (2)-=A B (23)(4)x y z y z +---+=e e e ee 64x y z +-=e e e (3)=A B (23)x y z +-e e e (4)y z -+=e e -11 (4)由c o sAB θ=11238=A B A B ,得1c o s AB θ-=(135.5= (5)A 在B 上的分 量 B A =A c o s AB θ==A B B (6)⨯=A C 123502xyz-=-e e e 41310x y z ---e e e (7)由于⨯=B C 041502xyz-=-e e e 8520x y z ++e e e⨯=A B 123041xyz-=-e e e 1014x y z ---e e e所以 ()⨯=A B C (23)x y z +-e e e (8520)4x y z ++=-e e e ()⨯=A B C (1014)x y z ---e e e (52)42x z -=-e e (8)()⨯⨯=A B C 1014502xyz---=-e e e 2405x y z -+e e e()⨯⨯=A B C 1238520x y z -=e e e 554411x y z --e e e1.2 三角形的三个顶点 为1(0,1,2)P -、2(4,1,3)P -和3(6,2,5)P 。
第一章习题解答给定三个矢量A 、B 和C 如下: 23x y z =+-A e e e4y z =-+B e e52x z =-C e e求:(1)A a ;(2)-A B ;(3)A B ;(4)AB θ;(5)A 在B 上的分量;(6)⨯A C ;(7)()⨯A B C 和()⨯A B C ;(8)()⨯⨯A B C 和()⨯⨯A B C 。
解 (1)2222314141412(3)A x y z+-===-++-e e e A a e e e A (2)-=A B (23)(4)x y z y z +---+=e e e e e 6453x y z +-=e e e (3)=A B (23)x y z +-e e e (4)y z -+=e e -11(4)由 cos AB θ=1417238==⨯A B A B ,得 1cos AB θ-=(135.5238= (5)A 在B 上的分量 B A =A cos AB θ=17=-A B B (6)⨯=A C 123502xy z-=-e e e 41310x y z ---e e e (7)由于⨯=B C 041502x yz-=-e e e 8520x y z ++e e e ⨯=A B 123041xyz-=-e e e 1014x y z ---e e e所以 ()⨯=A B C (23)x y z +-e e e (8520)42x y z ++=-e e e ()⨯=A B C (1014)x y z ---e e e (52)42x z -=-e e(8)()⨯⨯=A B C 1014502x y z---=-e e e 2405x y z -+e e e()⨯⨯=A B C 1238520x y z -=e e e 554411x y z --e e e三角形的三个顶点为1(0,1,2)P -、2(4,1,3)P -和3(6,2,5)P 。
电磁场与电磁波(第4版)第5章部分习题参考解答GG5.1 在自由空间中,已知电场E(z,t)=ey103sin(ωt?βz)V/m,试求磁场强度G H(z,t)。
解:以余弦为基准,重新写出已知的电场表示式GπGE(z,t)=ey103cos(ωt?βz?V/m 2这是一个沿+z方向传播的均匀平面波的电场,其初相角为?90D。
与之相伴的磁场为G1GG1GGπH(z,t)=ez×E(z,t)=ez×ey103cos(ωt?βz?η0η023πG10G=?excos(ωt?βz?)=?ex2.65sin(ωt?βz) A/m120π25.2 理想介质(参数为μ=μ0、ε=εrε0、ζ=0)中有一均匀平面波沿x方向传播,已知其电场瞬时值表达式为GGE(x,t)=ey377cos(109t?5x) V/m GG试求:(1) 该理想介质的相对介电常数;(2) 与E(x,t)相伴的磁场H(x,t);(3) 该平面波的平均功率密度。
G解:(1) 理想介质中的均匀平面波的电场E应满足波动方程G2G?E?2E?με2=0 ?tG据此即可求出欲使给定的E满足方程所需的媒质参数。
方程中2G?EyGGG229et?5x) ?E=ey?Ey=ey=?y9425cos(102?xG22?EG?EyG18937710cos(10eet?5x) ==?×yy22 ?t?x 故得?9425cos(109t?5x)+με*377×1018cos(109t?5x)+=0即9425με==25×10?18 18377×10故25×10?18εr==25×10?18×(3×108)2=2.25 μ0ε0其实,观察题目给定的电场表达式,可知它表征一个沿+x方向传播的均匀平面ω109波,其相速为vp===2×108m/s k5而vp====3×108 3故εr=()2=2.25 2GGGGG(2) 与电场E相伴的磁场H可由?×E=?jωμ0H求得。
第一章习题解答1.1 给定三个矢量A 、B 和C 如下: 23x y z =+-A e e e4y z =-+B e e52x z =-C e e求:(1)A a ;(2)-A B ;(3)A B g ;(4)AB θ;(5)A 在B 上的分量;(6)⨯A C ; (7)()⨯A B C g 和()⨯A B C g ;(8)()⨯⨯A B C 和()⨯⨯A B C 。
解 (1)23A x y z+-===-e e e A a e e e A (2)-=A B (23)(4)x y z y z +---+=e e e ee 64x y z +-e e e (3)=A B g (23)x y z +-e e e (4)y z -+=e e g -11 (4)由cos AB θ===A B A B g ,得1cos ABθ-=(135.5=o (5)A 在B 上的分量 B A =A cos AB θ==A B B g (6)⨯=A C 123502xy z-=-e e e 41310x y z ---e e e (7)由于⨯=B C 041502x yz-=-e e e 8520x y z ++e e e ⨯=A B 123041xyz-=-e e e 1014x y z ---e e e所以 ()⨯=A B C g (23)x y z +-e e e g (8520)42x y z ++=-e e e ()⨯=A B C g (1014)x y z ---e e e g (52)42x z -=-e e(8)()⨯⨯=A B C 1014502x y z---=-e e e 2405x y z -+e e e()⨯⨯=A B C 1238520x y z -=e e e 554411x y z --e e e1.2 三角形的三个顶点为1(0,1,2)P -、2(4,1,3)P -和3(6,2,5)P 。
一章习题解答1.1给定三个矢量A 、B 和C 如下: 求:(1)A a ;(2)-A B ;(3)A B ;(4)AB θ;(5)A 在B 上的分量;(6)⨯A C ; (7)()⨯A B C 和()⨯A B C ;(8)()⨯⨯A B C 和()⨯⨯A B C 。
解(1)23A x y z +-===+e e e A a e e e A (2)-=A B (23)(4)x y z y z +---+=e e e ee 64x y z +-=e e e(3)=A B (23)x y z +-e e e (4)y z -+=e e -11(4)由cos AB θ=14==⨯A B AB ,得1cos AB θ-=(135.5= (5)A 在B 上的分量B A =A cos AB θ=17=-A B B (6)⨯=A C 123502x y z-=-e e e 41310x y z ---e e e(7)由于⨯=B C 041502x yz-=-e e e 8520x y z ++e e e所以()⨯=A B C (23)x y z +-e e e (8520)42x y z ++=-e e e(8)()⨯⨯=A B C 1014502x yz---=-e e e 2405x y z -+e e e1.2三角形的三个顶点为1(0,1,2)P -、2(4,1,3)P -和3(6,2,5)P 。
(1)判断123PP P ∆是否为一直角三角形; (2)求三角形的面积。
解(1)三个顶点1(0,1,2)P -、2(4,1,3)P -和3(6,2,5)P 的位置矢量分别为 12y z =-r e e ,243x y z =+-r e e e ,3625x y z =++r e e e 则12214x z =-=-R r r e e ,233228x y z =-=++R r r e e e , 由此可见 故123PP P ∆为一直角三角形。
第一章习题解答1.1 给定三个矢量A 、B 和C 如下: 23x y z =+-A e e e4y z =-+B e e52x z =-C e e求:(1)A a ;(2)-A B ;(3)A B ;(4)AB θ;(5)A 在B 上的分量;(6)⨯A C ;(7)()⨯A BC 和()⨯A BC ;(8)()⨯⨯AB C 和()⨯⨯A B C 。
解 (1)23A x y z+-===-e e e A a ee e A (2)-=A B (23)(4)x y z y z +---+=e e e e e 64x y z +-=e e e (3)=A B (23)x y z +-e e e (4)y z -+=e e -11(4)由 cos AB θ=14==⨯A B A B ,得 1cos AB θ-=(135.5= (5)A 在B 上的分量 B A =A cos AB θ=17=-A B B (6)⨯=A C 123502xy z-=-e e e 41310x y z ---e e e (7)由于⨯=B C 041502x yz-=-e e e 8520x y z ++e e e ⨯=A B 123041xyz-=-e e e 1014x y z ---e e e所以 ()⨯=A B C (23)x y z +-e e e (8520)42x y z ++=-e e e ()⨯=A B C (1014)x y z ---e e e (52)42x z -=-e e(8)()⨯⨯=A B C 1014502x y z---=-e e e 2405x y z -+e e e()⨯⨯=A B C 1238520xy z -=e e e 554411x y z --e e e1.2 三角形的三个顶点为1(0,1,2)P -、2(4,1,3)P -和3(6,2,5)P 。
(1)判断123PP P ∆是否为一直角三角形;(2)求三角形的面积。
电磁场与电磁波(第四版)谢处方 课后答案第一章习题解答给定三个矢量A 、B 和C 如下: 23x y z =+-A e e e4y z =-+B e e 52x z =-C e e求:(1)A a ;(2)-A B ;(3)A B g ;(4)AB θ;(5)A 在B 上的分量;(6)⨯A C ;(7)()⨯A B C g 和()⨯A B C g ;(8)()⨯⨯A B C 和()⨯⨯A B C 。
解 (1)23A x y z+-===+e e e A a e e e A (2)-=A B (23)(4)x y z y z +---+=e e e ee 64x y z +-=e e e (3)=A B g (23)x y z +-e e e (4)y z -+=e e g -11(4)由 cos AB θ===A B A B g ,得 1cos AB θ-=(135.5=o(5)A 在B 上的分量 B A =A cos AB θ==A B B g (6)⨯=A C 123502x y z-=-e e e 41310x y z ---e e e (7)由于⨯=B C 041502xyz-=-e e e 8520x y z ++e e e⨯=A B 123041xyz-=-e e e 1014x y z ---e e e所以 ()⨯=A B C g (23)x y z +-e e e g (8520)42x y z ++=-e e e ()⨯=A B C g (1014)x y z ---e e e g (52)42x z -=-e e(8)()⨯⨯=A B C 1014502xyz---=-e e e 2405x y z -+e e e()⨯⨯=A B C 1238520xy z -=e e e 554411x y z --e e e三角形的三个顶点为1(0,1,2)P -、2(4,1,3)P -和3(6,2,5)P 。
电磁场与电磁波第四版课后思考题答案第四版全-谢处方饶克谨-高等教育出版社.2.1点电荷的严格定义是什么?点电荷是电荷分布的一种极限情况,可将它看做一个体积很小而电荷密度很的带电小球的极限。
当带电体的尺寸远小于观察点至带电体的距离时,带电体的形状及其在的电荷分布已无关紧要。
就可将带电体所带电荷看成集中在带电体的中心上。
即将带电体抽离为一个几何点模型,称为点电荷。
2.2 研究宏观电磁场时,常用到哪几种电荷的分布模型?有哪几种电流分布模型?他们是如何定义的?常用的电荷分布模型有体电荷、面电荷、线电荷和点电荷;常用的电流分布模型有体电流模型、面电流模型和线电流模型,他们是根据电荷和电流的密度分布来定义的。
2,3点电荷的电场强度随距离变化的规律是什么?电偶极子的电场强度又如何呢?点电荷的电场强度与距离r 的平方成反比;电偶极子的电场强度与距离r 的立方成反比。
2.4简述和所表征的静电场特性表明空间任意一点电场强度的散度与该处的电荷密度有关,静电荷是静电场的通量源。
表明静电场是无旋场。
2.5 表述高斯定律,并说明在什么条件下可应用高斯定律求解给定电荷分布的电场强度。
高斯定律:通过一个任意闭合曲面的电通量等于该面所包围的所有电量的代数和除以与闭合面外的电荷无关,即在电场(电荷)分布具有某些对称性时,可应用高斯定律求解给定电荷分布的电场强度。
2.6简述和所表征的静电场特性。
表明穿过任意闭合面的磁感应强度的通量等于0,磁力线是无关尾的闭合线,表明恒定磁场是有旋场,恒定电流是产生恒定磁场的漩涡源2.7表述安培环路定理,并说明在什么条件下可用该定律求解给定的电流分布的磁感应强度。
安培环路定理:磁感应强度沿任何闭合回路的线积分等于穿过这个环路所有电流的代数和倍,即如果电路分布存在某种对称性,则可用该定理求解给定电流分布的磁感应强度。
2.8简述电场与电介质相互作用后发生的现象。
在电场的作用下出现电介质的极化现象,而极化电荷又产生附加电场2.9极化强度的如何定义的?极化电荷密度与极化强度又什么关系?单位体积的点偶极矩的矢量和称为极化强度,P 与极化电荷密度的关系为极化强度P 与极化电荷面的密度 2.10电位移矢量是如何定义的?在国际单位制中它的单位是什么电位移矢量定义为其单位是库伦/平方米(C/m 2) 2.11 简述磁场与磁介质相互作用的物理现象?ερ/=??E 0=??E ερ/=??E 0=E ??=?VS dVS d E ρε01 0=??BJ B 0μ=??0=??B J B0μ=??0μI l d B C 0μ?=P ??=-p ρnsp e ?=P ρE P ED εε=+=0在磁场与磁介质相互作用时,外磁场使磁介质中的分子磁矩沿外磁场取向,磁介质被磁化,被磁化的介质要产生附加磁场,从而使原来的磁场分布发生变化,磁介质中的磁感应强度B 可看做真空中传导电流产生的磁感应强度B 0 和磁化电流产生的磁感应强度B ’ 的叠加,即 2.12 磁化强度是如何定义的?磁化电流密度与磁化强度又什么关系?单位体积内分子磁矩的矢量和称为磁化强度;磁化电流体密度与磁化强度:磁化电流面密度与磁化强度: 2.13 磁场强度是如何定义的?在国际单位制中它的单位是什么?磁场强度定义为:国际单位之中,单位是安培/米(A/m) 2,14 你理解均匀媒质与非均匀媒质,线性媒质与非线性媒质,各向同性与各向异性媒质的含义么?均匀媒质是指介电常数或磁介质磁导率处处相等,不是空间坐标的函数。
《电磁场与电磁波》第4版(谢处⽅编)课后习题答案五章习题解答五章习题解答5.1 真空中直线长电流I 的磁场中有⼀等边三⾓形回路,如题5.1图所⽰,求三⾓形回路内的磁通。
解根据安培环路定理,得到长直导线的电流I 产⽣的磁场02I rφµπ=B e 穿过三⾓形回路⾯积的磁通为d S ψ==?B Sg 0002[d ]d d 2d d z ddII zz x x x xµµππ=? 由题5.1图可知,()tan6z x d π=-=,故得到d d dx d x x ψ-==0[2I b µπ5.2 通过电流密度为J 的均匀电流的长圆柱导体中有⼀平⾏的圆柱形空腔,如题5.2图所⽰。
计算各部分的磁感应强度B ,并证明腔内的磁场是均匀的。
解将空腔中视为同时存在J 和J -的两种电流密度,这样可将原来的电流分布分解为两个均匀的电流分布:⼀个电流密度为J 、均匀分布在半径为b 的圆柱内,另⼀个电流密度为J -、均匀分布在半径为a 的圆柱内。
由安培环路定律,分别求出两个均匀分布电流的磁场,然后进⾏叠加即可得到圆柱内外的磁场。
由安培环路定律d CI µ?=?B l ?,可得到电流密度为J 、均匀分布在半径为b 的圆柱内的电流产⽣的磁场为 020222b b b b b b r b b r b r J r B J r µµ 电流密度为J -、均匀分布在半径为a 的圆柱内的电流产⽣的磁场为 020222a a a a a a r a a r a r J r B J r µµ?- 这⾥a r 和b r 分别是点a o 和b o 到场点P 的位置⽮量。
将a B 和b B 叠加,可得到空间各区域的磁场为圆柱外:220222b a ba b a r r B J r r µ??=?- ()b r b >圆柱内的空腔外:2022b a a ar B J r r µ??=?- ??(,)b a r b r a <> 空腔内: ()0022b a B J r r J d µµ=?-=? ()a r a <I题 5.1 图题5.2图式中d 是点和b o 到点a o 的位置⽮量。
5.3设y=0为两种磁介质的分界面,y<0为媒质1,其磁导率为1μ,y>0为媒质2,其磁导率为2μ,分界面上有电流密度s x J 2a A/m =分布的面电流,已知媒质1中磁场强度为123/x y z H a a a A m =++ 求媒质2中磁场强度2H 解:mA a a a H a n J H H n z y x y S /52)(2121212++=-==-⨯μμ其中则由到媒质设电磁波由媒质5.6已知在空气中,电场强度矢量为90.1sin(10)cos(610)/y E a x t z V m ππβ=⨯-求磁场强度H 和相位常数β 解:3939,0.2310sin(10)cos(61054.41)0.1310cos(10)sin(61054.14)20/x z E jwB B HH a x t z a x t z rad mμππππηωμεωνπ--∇⨯=-==-⨯⨯--⨯⨯-==÷=由得相位常数:5.7自由空间中,已知电场强度矢量为4cos()3cos()x y E a t z a t z ωβωβ=-+-求(1)磁场强度的复数表达式(2)坡印廷矢量的瞬时表达式(3)平均坡印廷矢量 解: (1)m/4)e a 3a (120113e a e 4a zj -y x z-j y z -j x )(V B H B j E E z βββπμω-==-=⨯∇+=得由 (2)z)-t (cos 245a H E S z)-t 4)cos(a 3a (1201z)-t 3cos(a z)-t cos(4a 2z y x ),(y x )t ,(βωπβωπβωβω=⨯=-=+=所以t z z H E w/m 2(3)()[]ππ485)43()34(120121HE Re 21S av zy x y x a a a a a =-⨯+=⨯=*5.9 将下列复数形式的场矢量变换成瞬时表达式,或作用反的变换 (1)43j z j z x y Ea e a je ββ--=+()()2(,)4Re[]3Re[]4cos()3cos()24cos()3sin()j t z j t z z t x y x y x y E a ea ea t z a t z a t z a t z πωβωβπωβωβωβωβ-+-=+=-+-+=---(2)4sin()sin()cos()cos()x z Ea x t z a x t z a aππωβωβ=-+-(,)()()2()2()4sin()cos()cos()cos()24sin()Re[]cos()Re[]4sin()cos()4sin()cos()z t x z j t z j t z x z j z j zz x z j z j zx z E a x t z a x t z a a a x e a x e a aE a x ea x e aaa j x e a x e a aπωβωβπββββπππωβωβππππππ--------=--+-=+=+=-+(3)cos()2sin()x y E a t z a t z ωβωβ=-+-(,)()()2()cos()2cos()2Re[]2Re[]2z t x y j t z j t z x y j z j zz x y E a t z a t z a ea eE a e a je πωβωβββπωβωβ-----=-+--=+=-(4)sin 3cos(cos )jkz y x Ea j k e θθ-=(sin )2()(sin )2(,)3cos(cos )3cos(cos )Re[]3cos(cos )cos(sin )23cos(cos )sin(sin )j kz z y x j t kz z t y x y x y x E a k eE a k ea k t kz a k t kz πθπωθθθπθωθθωθ---+===-+=--(5)2sin()y Ea t z ωβϕ=-+(,)()()()2cos()22Re[]2z t y j t z y j z z y E a t z a j e E a je ωβφβφπωβφ-+-+=-+-=-=-5.12 对于线性,均匀和各向同性导电媒质,设媒质的介电常数为,磁导率为电导率为,试证明无源区域中时谐电磁场所满足的波动方程为2222E jw E k E H jw H k Hμσμσ∇=-∇=-式中22k w με=解:H k H j H HH j H H Hj H H H E HH H E j E H Ej E D j J H2222220)j ()()(j )()(-=∇-=∇∴=⋅∇-⋅+=∇-⋅∇∇-=⨯∇⨯∇⨯∇+∇=⋅∇∇+⨯∇=⨯∇⨯∇+=+=⨯∇ωμσμεωωμσωμωεσωμωεσωεσω即代入上式将E k E j E 22:-=∇ωμσ同理5.15设电场强度和磁场强度分别为cos()cos()o e o m E E t H H t ωφωφ=+=+求其平均坡印廷矢量。