人教版八年级下册数学试题及答案
- 格式:doc
- 大小:172.00 KB
- 文档页数:12
一、选择题(每小题3分,共30分)1. 下列四个数中,最小的数是()A. -2B. 0C. 2D. -4答案:D. -42. 已知集合M={x|x>2},N={x|x≤3},则M∩N={x|x()A. >3B. ≥3C. <2D. ≤2答案:B. ≥33. 下列说法正确的是()A. 任何一个正数都是负数B. 任何一个负数都是正数C. 0是正数D. 0是负数答案:C. 0是正数4. 下列四个数中,最大的数是()A. -2B. 0C. 2D. -4答案:C. 25. 下列说法正确的是()A. 任何一个负数都是正数B. 任何一个正数都是负数C. 0是正数D. 0是负数答案:C. 0是正数6. 已知集合M={x|x>2},N={x|x≤3},则M∪N={x|x()A. >3B. ≥3C. <2D. ≤2答案:B. ≥37. 下列四个数中,最小的数是()A. -2B. 0C. 2D. -4答案:D. -48. 下列说法正确的是()A. 任何一个正数都是负数B. 任何一个负数都是正数C. 0是正数D. 0是负数答案:C. 0是正数二、填空题(每小题3分,共30分)9. 已知集合A={x|x>2},B={x|x≤3},则A∪B={x|x≥ ____}答案:210. 已知集合A={x|x>2},B={x|x≤3},则A∩B={x|x≤ ____}答案:3另一个数是 ____答案:-212. 两个数的差为2,其中一个数是3,则另一个数是 ____答案:513. 两个数的乘积为-12,其中一个数是-2,则另一个数是 ____答案:6另一个数是 ____答案:2三、解答题(每小题5分,共50分)15. 已知集合A={x|x>2},B={x|x≤3},求A∩B的补集。
解:A∩B={x|2<x≤3},则A∩B的补集为:A∩B的补集={x|x≤2或x>3}16. 已知集合A={x|x>2},B={x|x≤3},求A∪B的补集。
人教版初中数学八年级下册期末测试题一、选择题(本大题共小题,每小题分,共分)在每小题给出的四个选项中,只有一项是正确的,每小题选对得分,选错、不选或多选均得零分.)A B C D 如图,O A B 为直角三角形,O A =,A B =,则点A 的坐标为()A()B ()C ()D ()如图,矩形A B C D 的对角线A C =,B O C Ð=°,则A B 的长为()A B C D 一次函数()y kx k =-¹的函数值y 随x 的增大而减小,它的图象不经过的象限是()A 第一象限B 第二象限C 第三象限D 第四象限如图,直线y x =和y k x b =+相交于点()P ,则不等式x k x b £+的解集为()A.x ³B.x £C.x ³D.x £一组数据:n a a a ×××的平均数为P ,众数为Z ,中位数为W ,则以下判断正确的是()A P 一定出现在n a a a ×××中B Z 一定出现在n a a a ×××中C W 一定出现在n a a a ×××中D P ,Z ,W 都不会出现在n a a a ×××中二、填空题(本大题共小题,每小题分,共分)将函数y x =的图象向下平移个单位,所得图象的函数解析式为______如图,点P 是正方形A B C D 内位于对角线A C 下方的一点,已知:P C A P B C Ð=Ð,则B P C Ð的度数为______.南吕是国家历史文化名城,其名源于“昌大南疆,南方昌盛”之意,市内的滕王阁、八一起义纪念馆、海昏候遗址、绳金塔、八大山人纪念馆等都有深厚的文化底蕴.某班同学分小组到以上五个地方进行研学,人数分别为:,,,,(单位:人),这组数据的中位数是______.一组数据,,,x 的众数只有一个,则x 的值不能为______.如图,在A B C 中,已知:A C B Ð=°,c m A B =,c m A C =,动点P 从点B 出发,沿射线B C 以c m s 的速度运动,设运动的时间为t 秒,连接P A ,当A B P △为等腰三角形时,t 的值为______.三、解答题(本大题共小题,每小题分,共分)()计算:+-()求x =.如图,点C为线段A B上一点且不与A,B两点重合,分别以A C,B C为边向A B的同侧做锐角为°的菱形.请仅用无刻度的直尺分别按下列要求作图.(保留作图痕迹)=,作出线段D F的中点M;()在图中,连接D F,若A C B C()在图中,连接D F,若A C B C¹,作出线段D F的中点N.《九章算术》是古代东方数学代表作,书中记载:今有开门去阃(读kǔn,门槛的意思)一尺,不合二寸,问门广几何?题目大意是:如图、(图为图的平面示意图),推开双门,双门间隙C D的距离为寸,点C和点D距离门槛A B都为尺(尺寸),则A B 的长是多少?某种子站销售一种玉米种子,单价为元千克,为惠民促销,推出以下销售方案:付款金额y(元)与购买种子数量x(千克)之间的函数关系如图所示.()当x³时,求y与x之间的的函数关系式:()徐大爷付款元能购买这种玉米种子多少千克?已知:①,,,,的平均数是,方差是;②,,,,的平均数是,方差是;③,,,,的平均数是,方差是;④,,,,的平均数是,方差是;请按要求填空:()n,n+,n+,n+,n+的平均数是,方差是;()n,n+,n+,n+,n+的平均数是,方差是;()n,n,n,n,n的平均数是,方差是.四、解答题(本大题共小题,每小题分,共分)下表是某公司员工月收入的资料.职位总经理财务总监部门经理技术人员前台保安保洁人数月收入元()这家公司员工月收入的平均数是元,中位数是和众数是;()在()中的平均数,中位数和众数哪些统计量能反映该公司全体员工收入水平?说明理由;()为了避免技术人员流失,该公司决定给他们每人每月加薪x元至公司员工月收入的平均数,求x的值.已知:一次函数()()y m x m m =+-¹与x 轴、y 轴交于A点,B 点()当m =时,求O A B 的面积;()请选择你喜欢的两个不同的()m m ¹的值,求得到的两个一次函数的交点坐标;()m 为何值时,O A B 是等腰直角三角形?如图,若D E 是A B C 的中位线,则A B C A D E S S =△△,解答下列问题:()如图,点P 是B C 边上一点,连接P D 、P E ①若P D E S =△,则A B CS=;②若P D B S =△,P C E S =△,连接A P ,则A P DS =,A P E S =△,A B CS=.()如图,点P 是A B C 外一点,连接P D 、P E ,已知:P D BS=,P C E S =△,P D E S =△,求A B CS的值;()如图,点P 是正六边形F G H I J K 内一点,连接P G 、P F 、P K ,已知:P G F S =△,P K J S =△,P F K S =△,求F G H I J K S 六边形的值.五、综合题(本大题共小题,共分)已知直线y x =-+分别与x 轴、y 轴交于A 点,B 点,点()n n Q x y 为这条直线上的点,Q P x ^轴于点P ,Q R y ^轴于点R .()①将下表中的空格填写完整:nn x --ny --n nx y +②根据表格中的数据,下列判断正确的是.A .x y =,B .x yS S =,C .x y S +=.()当点Q 在第一象限时,解答下列问题:①求证:矩形O P Q R 的周长是一个定值,并求这个定值;②设矩形O P Q R 的面积为S ,求证:S £.()当点Q 在第四象限时,直接写出Q P ,Q R 满足的等式关系.参考答案B C B A D By x﹣°或或()解:()原式(=+-=(=,∴x-=,∴x=解:()如图点M为D F的中点()如图点N为D F的中点解:取A B的中点O,过D作D E⊥A B于E,如图所示:由题意得:O A O B A D B C,设O A O B A D B C r寸,则A B r(寸),D E寸,O E C D寸,∴A E(r-)寸,在R t△A D E中,A E D E A D,即(r-)r,解得:r,∴r(寸),∴A B寸.解:()当x³时,设y与x之间的的函数关系式为y k x b=+,将点(),()带入解析式得k b k b+=ìí+=î解得k b=ìí=î∴y x=+.()将y=时,带入y x=+中解得x=千克.答:徐大爷付款元能购买这种玉米种子千克.解:()∵数据n,n+,n+,n+,n+是在数据,,,,的基础上每个数据均加上(n E)所得,∴数据n,n+,n+,n+,n+的平均数+n E=n+,方差依然是,()∵数据n,n+,n+,n+,n+是在数据,,,,的基础上每个数据均加上(n E)所得,∴n,n+,n+,n+,n+的平均数是+n E=n+,方差依然是,()数据n,n,n,n,n是将,,,,分别乘以n所得,∴数据n,n,n,n,n的平均数为n,方差为n,解:()∵一共有++++++=(人),∴这组数据的中位数是第、个数据的平均数,而第、个数据分别为、,∴中位数是+=(元),∵数据出现次数最多,∴这组数据的众数为元,故答案为:元,元;()中位数和众数能反映该公司全体员工收入水平,该公司员工月收入的平均数为,在这名员工中只有名员工的收入在元以上,有名员工的收入在元以下,因此用平均数不能反映所有员工的收入水平,中位数和众数为元能反映多数员工的收入水平.()由题意列方程:x x +=+,解得x =元∴技术人员需要加薪元.解:()当m =时,y x =-,当x =时,y =-,∴()B -,∴O B =当y =时,x =,∴A æöç÷èø,∴O A =,O A B S O A O B =×=△;()取m =,y x =+,取m =,y x=,∴y x y x =+ìí=î解得x y=ìí=î∴两个一次函数的交点坐标为()()当x =时,y m =-,∴O B m =-;当y =时,m x m-=,∴m O A m -=,∵O A B 是等腰直角三角形,∴O A O B =,即m m m--=;∵m -¹,∴m =±.解:()如图,连接B E ,∵D E 是△A B C 的中位线,∴D E ∥B C ,A E =E C ,A D =B D ,∴S △P D E =S △B D E =,∴S △A B E =,∴S △A B C =,②∵D E 是△A B C 的中位线,∴D E ∥B C ,A E =E C ,A D =B D ,∴S △P B D =S △A P D =,S △A P E =S △P E C =,∴S △A B C =;()如图,连接A P ,∵D E 是△A B C 的中位线,∴D E ∥B C ,A E =E C ,A D =B D ,S △A B C =S △A D E ,∴S △P B D =S △A P D =,S △A P E =S △P E C =,∴S △A D E =S △A P D S △A P E ﹣S △P D E =,∴S △A B C =S △A D E =;()如图,延长G F ,J K 交于点N ,连接G J ,连接P N ,∵六边形F G H I J K 是正六边形,∴F G =F K =K J ,∠G F K =∠J K F =°,S 六边形F G H I J K =S 四边形F G J K ,∴∠N F K =∠N K F =°,∴△N F K 是等边三角形,∴N F =N K =F K =F G =K J ,∴S △P G F =S △P F N =,S △P K J =S △P K N =,F K 是△N G J 的中位线,∴S △N F K =S △P F N S △P K N ﹣S △P F K =,∵F K 是△N G J 的中位线,∴S △N G J =S △N F K =;∴S 四边形F G J K =﹣=,∴S 六边形F G H I J K =.()①填表如下:n n x --n y --n nx y +②x y ==´--+++++++,故A 正确;[]x S =--+--+-+-+-+-+-+-+-=[]y S =--+--+-+-+-+-+-+-+-=∴x y S S =,故B 正确;∵x y +=∴x y S +=故C 正确;故答案为:A 、B 、C()①设()Q x x -+,∵点Q 在第一象限,∴O P x =,P Q x =-+,∴()O P Q R C O P P Q ==矩形+,∴矩形O P Q R 的周长是一个定值,周长为;②∵()()S x x x x x -=--+=+-=-³∴S £.()设点Q 的坐标为()xx -+,∵点Q 在第四象限,∴Q R x =,Q P x =-,∴Q R Q P -=.。
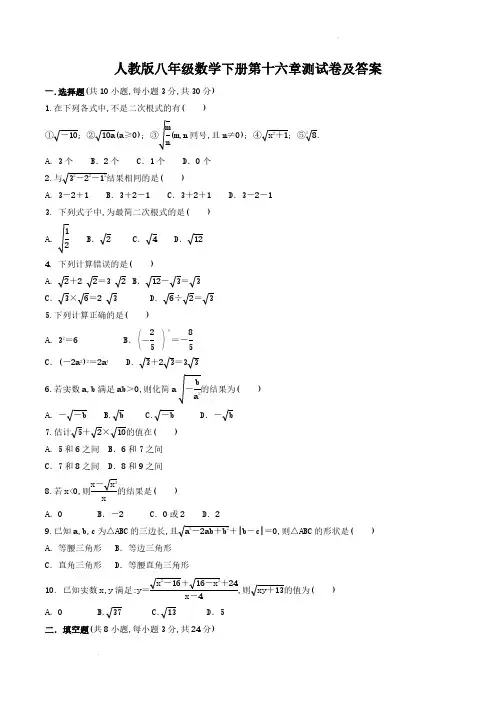
人教版八年级数学下册单元测试题全套(含答案)(含期中期末试题,共7套)第十六章达标检测卷(100分 90分钟)一、判断题:(每小题1分,共5分)1…………………( )222.( )3=2.…( )413…( )5都不是最简二次根式.( ) 二、填空题:(每小题2分,共20分)6.当78.a 9.当101112131415.x 16(A )17.若x<y<0………………………()(A)2x(B)2y(C)-2x(D)-2y18.若0<x<1………………………()(A)2x(B)-2x(C)-2x(D)2x19(a<0)得………………………………………………………………()(A(B(C(D20.当a<0,b<0时,-a+b可变形为………………………………………()(A)2(B)-2(C)2(D)2四、计算题:(每小题6分,共24分)21.;2223)÷)(a≠b).24五、求值:25.已知x26.当x=六、解答题:(共20分)+…).27.(8分)计算(+1)28参考答案(一)判断题:(每小题1分,共5分)1、|-2|=2.【答案】×.2、2).【答案】×.3、=|x -1|,2=x -1(x ≥1).两式相等,必须x ≥1.但等式左边x 可取任何数.【答案】×.4、【提示】13【答案】√.5是最简二次根式.【答案】×. (二)填空题:(每小题2分,共20分)6、7、89、x -410、11、12、13、(7-14、【答案】40.0时,x+1=0,y-3=0.15、【提示】∵34,∴_______<8__________.[4,5].由于84与5之间,则其整数部分x=?小数部分y=?[x=4,y=4【答案】5.【点评】求二次根式的整数部分和小数部分时,先要对无理数进行估算.在明确了二次根式的取值范围后,其整数部分和小数部分就不难确定了.(三)选择题:(每小题3分,共15分)16、【答案】D.【点评】本题考查积的算术平方根性质成立的条件,(A)、(C)不正确是因为只考虑了其中一个算术平方根的意义.17、【提示】∵x<y<0,∴x-y<0,x+y<0.∴|x-y|=y-x.18、19、20、21、【解】原式=2-2=5-3-2=6- 22、【提示】先分别分母有理化,再合并同类二次根式.=431.23、【提示】先将除法转化为乘法,再用乘法分配律展开,最后合并同类二次根式.【解】原式=(a abmnm ·221a b=21b 1mab+22n ma b =21b -1ab +221a b=2221a ab a b -+. 24、【提示】本题应先将两个括号内的分式分别通分,然后分解因式并约分.25、26、∴ x 2=1x.当x=1=-1【点评】本题如果将前两个“分式”分拆成两个“分式”=-1)x1x.六、解答题:(共22分)27、(8分)28、(14分)又∵∴ 原式=x y y x +-y x x y +=2x y 当x =14,y =12时, 原式=21412=2.【点评】解本题的关键是利用二次根式的意义求出x 的值,进而求出y 的值.第十七章达标检测卷(120分 120分钟)一、选择题(每小题3分,共30分)1. 已知一个直角三角形的两边长分别为3和4,则第三边长的平方是( ) A .25B .14C .7D .7或252.直角三角形的一条直角边长是另一条直角边长的13,斜边长为10,则它的面积为( ) A.10 B.15 C.20 D.303. 如图,已知正方形B 的面积为144,正方形C 的面积为169,那么正方形A 的面积是( ) A.313 B.144 C.169 D.254、下列说法中正确的是( )A.已知c b a ,,是三角形的三边,则222c b a =+ B.在直角三角形中,两边的平方和等于第三边的平方C.在Rt △ABC 中,90C ︒∠=,所以222c b a =+ D.在Rt △ABC 中,90B ︒∠=,所以222c b a =+5.如果将长为6 cm,宽为5 cm 的长方形纸片折叠一次,那么这条折痕的长不可能是( ) A.8 cm B.52cm C.5.5 cm D.1 cm6.在Rt △ABC 中,∠C=90°,AC=9,BC=12,则点C 到AB 的距离是( )ABC第3题图A.365B.1225 C.94D.3347. 如图,在△ABC 中,∠C=90°,AC=2,点D 在BC 上, ∠ADC=2∠B ,AD=5,则BC 的长为( ) A.3-1 B.3+1 C.5-1 D.5+18. 如图,一圆柱高8 cm ,底面半径为π6cm ,一只蚂蚁从点爬到点处吃食,要爬行的最短路程是( )cm.A.6B.8C.10D.129.三角形三边长分别是6,8,10,则它的最短边上的高为( ) A.6 B.14C.2D.810.如图,将长方形纸片ABCD 折叠,使边DC 落在对角线AC 上,折痕为CE,且D 点落在对角线上D'处.若AB=3,AD=4,则ED 的长为( )A. B.3 C.1 D. 二、填空题(每题4分,共20分) 11. 在△中,cm ,cm ,⊥于点,则_______.12.在△中,若三边长分别为9、12、15,则以两个这样的三角形拼成的长方形的面积为__________.13.如果一梯子底端离建筑物9 m 远,那么15 m 长的梯子可达到建筑物的高度是_______m.14.三角形一边长为10,另两边长是方程x 2-14x+48=0的两实根,则这是一个________三角形,面积为________. 15. 如图,从点A(0,2)发出的一束光,经x 轴反射,过点B(4,3),则这束光从点A 到点B 所经过路径的长为__________.三、解答题(共7题,共70分)16. (6分)如图,台风过后,一希望小学的旗杆在某处断裂,旗杆顶部落在离旗杆底部8米处,已知旗杆原长16米,你能求出旗杆在离底部多少米的位置断裂吗?17.(8分)一副直角三角板如图放置,点C在FD的延长线上,AB∥CF,∠F=∠ACB=90°,∠E=45°,∠A=60°,AC=10,试求CD的长.18.(8分)如图,小丽想知道自家门前小河的宽度,于是她按以下办法测出了如下数据:小丽在河岸边选取点A,在点A的对岸选取一个参照点C,测得∠CAD=30°;小丽沿河岸向前走30 m选取点B,并测得∠CBD=60°.请根据以上数据,用你所学的数学知识,帮小丽计算小河的宽度.19.(10分)如图,折叠长方形的一边,使点落在边上的点处,cm,cm,求:(1)的长;(2)的长.20.(12分)如图,将竖直放置的长方形砖块ABCD推倒至长方形A'B'C'D'的位置,长方形ABCD的长和宽分别为a,b,AC的长为c.(1)你能用只含a,b的代数式表示S△ABC,S△C'A'D'和S直角梯形A'D'BA吗?能用只含c的代数式表示S△ACA'吗?(2)利用(1)的结论,你能验证勾股定理吗?21.(12分)如图,要在木里县某林场东西方向的两地之间修一条公路MN,已知点C周围200 m范围内为原始森林保护区,在MN上的点A处测得C在A的北偏东45°方向上,从A向东走600 m到达B处,测得C在点B的北偏西60°方向上.(1)MN是否穿过原始森林保护区?为什么?(参考数据:≈1.732)(2)若修路工程顺利进行,要使修路工程比原计划提前5天完成,需将原定的工作效率提高25%,则原计划完成这项工程需要多少天?22.(14分)如图,将长方形OABC置于平面直角坐标系中,点A的坐标为(0,4),点C的坐标为(m,0)(m>0),点D(m,1)在BC上,将长方形OABC沿AD折叠压平,使点B落在坐标平面内,设点B的对应点为点E.(1)当m=3时,点B的坐标为_________,点E的坐标为_________;(2)随着m的变化,试探索:点E能否恰好落在x轴上?若能,请求出m的值;若不能,请说明理由.参考答案一、1.C2.B3.A4.A5.A6.C7.C8.D9.D10.A二、11.37012.直角;24 分析:解方程得x 1=6,x 2=8.∵2212x x =36+64=100=102,∴这个三角形为直角三角形,从而求出面积.13.43 cm 分析:过点A 作AE ⊥BC 于点E,AF ⊥CD 交CD 的延长线于点F.易得△ABE ≌△ADF,所以AE=AF,进一步证明四边形AECF 是正方形,且正方形AECF 与四边形ABCD 的面积相等,则AE=24=26(cm),所以AC=2AE=2×26=43(cm).14.略15. 分析:如图,设这一束光与x 轴交于点C,作点B 关于x 轴的对称点B',过B'作B'D ⊥y 轴于点D,连接B'C.易知A,C,B'这三点在同一条直线上,再由轴对称的性质知B'C=BC,则AC+CB=AC+CB'=AB'.由题意得AD=5,B'D=4,由勾股定理,得AB'=.所以AC+CB=.三、16.解:如图,过点A作AD⊥BC于点D.在Rt△ABD中,由勾股定理得AD2=AB2-BD2.在Rt△ACD中,由勾股定理得AD2=AC2-CD2.所以AB2-BD2=AC2-CD2.设BD=x,则82-x2=62-(7-x)2,解得x=5.5,即BD=5.5.所以AD==≈5.8.所以S△ABC=·BC·AD≈×7×5.8=20.3≈20.17.解:如图,过B点作BM⊥FD于点M.在△ACB中,∵∠ACB=90°,∠A=60°,∴∠ABC=30°,∴AB=2AC=20,∴BC===10 .∵AB∥CF,∴∠BCM=∠ABC=30°,∴BM=BC=5,∴CM===15.在△EFD中,∵∠F=90°,∠E=45°,∴∠EDF=45°,∴MD=BM=5,∴CD=CM-MD=15-5.18.解:过点C作CE⊥AD于点E,由题意得AB=30m,∠CAD=30°,∠CBD=60°,故可得∠ACB=∠CAB=∠BCE=30°,即可得AB=BC=30 m,∴BE=15 m.在Rt△BCE中,根据勾股定理可得CE===15(m).答:小丽自家门前小河的宽度为15m.19.略20.解:(1)易知△ABC,△C'A'D'和△ACA'都是直角三角形,所以S△ABC=ab,S△C'A'D'=ab,S直角梯形A'D'BA=(a+b)(a+b)= (a+b)2,S△ACA'=c2.(2)由题意可知S△ACA'=S直角梯形-S△ABC-S△C'A'D'=(a+b)2-ab-ab=(a2+b2),而S△ACA'=c2.所以A'D'BAa2+b2=c2.21.解:(1)MN不会穿过原始森林保护区.理由如下:过点C作CH⊥AB于点H.设CH=x m.由题意知∠EAC=45°,∠FBC=60°,则∠CAH=45°,∠CBA=30°.在Rt△ACH中,AH=CH=x m,在Rt△HBC中,BC=2x m.由勾股定理,得HB==x m.∵AH+HB=AB=600 m,∴x+x=600.解得x=≈220>200.∴MN不会穿过原始森林保护区.(2)设原计划完成这项工程需要y天,则实际完成这项工程需要(y-5)天.根据题意,得=(1+25%)×.解得y=25.经检验,y=25是原方程的根.∴原计划完成这项工程需要25天.22.解:(1)(3,4);(0,1)(2)点E能恰好落在x轴上.理由如下:∵四边形OABC为长方形,∴BC=OA=4,∠AOC=∠DCE=90°,由折叠的性质可得DE=BD=BC-CD=4-1=3,AE=AB=OC=m.如图,假设点E恰好落在x轴上.在Rt△CDE中,由勾股定理可得EC===2,则有OE=OC-CE=m-2.在Rt△AOE中,OA2+OE2=AE2,即42+(m-2)2=m2,解得m=3.第十八章达标检测卷(120分120分钟)一、选择题(每题4分,共40分)1.不能判定四边形ABCD为平行四边形的题设是()(A)AB平行且等于CD (B)∠A=∠C,∠B=∠D(C)AB=AD,BC=CD (D)AB=CD,AD=BC2.正方形具有而菱形不一定具有的性质是()(A)四条边相等(B)对角线互相垂直平分(C)对角线平分一组对角(D)对角线相等3、顺次连结任意四边形四边中点所得的四边形一定是()A、平行四边形B、矩形C、菱形D、正方形4.正多边形的一个内角是120°,则这个正多边形的边数为()A.4B.8C.6D.125.如图,□ABCD中,∠C=108°,BE平分∠ABC,则∠ABE等于( )A.18°B.36°C.72°D.108°6.下列命题中,真命题是()A、有两边相等的平行四边形是菱形B、对角线垂直的四边形是菱形C、四个角相等的菱形是正方形D、两条对角线相等的四边形是矩形7.从一个n边形的同一个顶点出发,分别连接这个顶点与其余各顶点,若把这个多边形分割成6个三角形,则n 的值是()A.6B.7C.8D.98.菱形的周长是它的高的倍,则菱形中较大的一个角是()A.100°B.120°C.135°D.150°9.如图,菱形ABCD中,AB=5,∠BCD=120°,则对角线AC的长是()A.20B.15C.10D.510.如图,梯形ABCD中,AB∥CD,点E,F,G分别是BD,AC,DC的中点.已知两底之差是6,两腰之和是12,则△EFG 的周长是()A.8B.9C.10D.12二、填空题(每题4分,共24分)11、菱形ABCD的周长为36,其相邻两内角的度数比为1:5,则此菱形的面积为_________。
人教版数学八年级下册期末考试试卷一、选择题(本大题10小题,每小题3分,共30分),每小题只有一个正确答案。
1.下列各式是最简二次根式的是( )A.B.C.D.2.要使式子有意义,则x的取值范围是( )A.x>0B.x≥﹣3C.x≥3D.x≤33.数据2,4,3,4,5,3,4的众数是( )A.5B.4C.3D.24.一次函数y=﹣2x+1的图象不经过下列哪个象限( )A.第一象限B.第二象限C.第三象限D.第四象限5.如图,在菱形ABCD中,对角线AC,BD相交于点O,下列结论中不一定成立的是( )A.AB∥DC B.AC=BD C.AC⊥BD D.OA=OC6.如图,把矩形ABCD沿EF翻折,点B恰好落在AD边的B′处,若AE=2,DE=6,∠EFB′=60°,则矩形ABCD的面积是( )A.12B.24C.12D.167.如图,在△ABC中,AB=8,∠C=90°,∠A=30°,DE是中位线,则DE的长为( )A.2B.3C.4D.28.由线段a,b,c组成的三角形不是直角三角形的是( )A.a=3,b=4,c=5B.a=12,b=13,c=5C.a=15,b=8,c=17D.a=13,b=14,c=159.已知直角三角形的两条边长分别是3和5,那么这个三角形的第三条边的长为( )A.4B.16C.D.4或10.已知点(﹣4,y1),(2,y2)都在直线y=﹣x+2上,则y1,y2大小关系是( )A.y1>y2B.y1=y2C.y1<y2D.不能比较二、填空题(本大题6小题,每小题4分,共24分)。
11.求值:= .12.某招聘考试分笔试和面试两种.其中笔试按60%、面试按40%计算加权平均数作为总成绩.小明笔试成绩为90分.面试成绩为85分,那么小明的总成绩为 分.13.将直线y=2x向上平移1个单位后所得的图象对应的函数解析式为 .14.如图,字母A所代表的正方形面积为 .15.函数y=kx与y=6﹣x的图象如图所示,则k= .16.已知,如图,正方形ABCD的边长是8,M在DC上,且DM=2,N是AC边上的一动点,则DN+MN的最小值是 .三、解答题(一)(本大题3小题,每小题6分,共18分)17.计算:÷+×﹣.18.如图,在Rt△ABC中,∠ACB=90°,CD⊥AB,BC=2,AC=2,求AB、CD的长.19.如图,在▱ABCD中,点E、F分别是AD、BC的中点,求证:AF=CE.四、解答题(二)(本大题3小题,每小题7分,共21分)20.先化简,再求值:﹣,其中x=1+2,y=1﹣2.21.已知一次函数图象经过(3,5)和(﹣4,﹣9)两点(1)求此一次函数的解析式;(2)若点(m,2)在函数图象上,求m的值.22.国家规定“中小学生每天在校体育活动时间不低于1h”,为此,某市就“每天在校体育活动”时间的问题随机调查了辖区内320名初中学生,根据调查结果绘制成的统计图(部分)如图所示,其中分组情况是:A组:t<0.5h;B组:0.5h≤t<1h;C组:1h≤t<1.5h;D组:t≥1.5h请根据上述信息解答下列问题:(1)C组的人数是 ;(2)本次调查数据的中位数落在 组内;(3)若该市辖区内约有32000名初中学生,请你估计其中达国家规定体育活动时间的人约有多少?五、解答题(三)(本大题3小题,每小题9分,共27分)23.小红星期天从家里出发骑车去舅舅家做客,当她骑了一段路时,想起要买个礼物送给表弟,于是又折回到刚经过的一家商店,买好礼物后又继续骑车去舅舅家,以下是她本次去舅舅家所用的时间与路程的关系式示意图.根据图中提供的信息回答下列问题:(1)小红家到舅舅家的路程是 米,小红在商店停留了 分钟;(2)在整个去舅舅家的途中哪个时间段小红骑车速度最快,最快的速度是多少米/分?(3)本次去舅舅家的行程中,小红一共行驶了多少米?一共用了多少分钟?24.在△ABC中,∠C=90°,AC=6,BC=8,D、E分别是斜边AB和直角边CB上的点,把△ABC 沿着直线DE折叠,顶点B的对应点是B′.(1)如图(1),如果点B′和顶点A重合,求CE的长;(2)如图(2),如果点B′和落在AC的中点上,求CE的长.25.如图,在△ABC中,点O是AC边上一个动点,过点O作直线MN∥BC,设MN交∠BCA的平分线于点E,交△BCA的外角平分线于点F.(1)求证:OE=OF;(2)若CE=12,CF=5,求OC的长;(3)当点O在AC运动到什么位置,四边形AECF是矩形,请说明理由.参考答案与试题解析一、选择题(本大题10小题,每小题3分,共30分)在每小题列出的四个选项中,只有一项是符合题目要求的,请把答题卡上对应题目所选的选项涂黑1.【分析】根据最简二次根式的定义对各选项分析判断利用排除法求解.【解答】解:A、不是最简二次根式,错误;B、不是最简二次根式,错误;C、是最简二次根式,正确;D、不是最简二次根式,错误;故选:C.【点评】本题考查最简二次根式的定义,最简二次根式必须满足两个条件:(1)被开方数不含分母;(2)被开方数不含能开得尽方的因数或因式.2.【分析】根据被开方数是非负数,可得答案.【解答】解:由题意,得3﹣x≥0,解得x≤3,故选:D.【点评】本题考查了二次根式有意义的条件,利用被开方数是非负数得出不等式是解题关键.3.【分析】根据众数的定义:一组数据中出现次数最多的数据求解即可.【解答】解:这组数据的众数为:4.故选:B.【点评】本题考查了众数的知识,属于基础题,解答本题的关键是掌握一组数据中出现次数最多的数据叫做众数.4.【分析】先根据一次函数的解析式判断出k、b的符号,再根据一次函数的性质进行解答即可.【解答】解:∵解析式y=﹣2x+1中,k=﹣2<0,b=1>0,∴图象过第一、二、四象限,∴图象不经过第三象限.故选:C.【点评】本题考查的是一次函数的性质,即一次函数y=kx+b(k≠0)中,当k<0时,函数图象经过第二、四象限,当b>0时,函数图象与y轴相交于正半轴.5.【分析】直接利用菱形的性质对边互相平行、对角线互相垂直且平分进而分析即可.【解答】解:∵四边形ABCD是菱形,∴AB∥DC,故选项A正确,不合题意;无法得出AC=BD,故选项B错误,符合题意;AC⊥BD,故选项C正确,不合题意;OA=OC,故选项D正确,不合题意;故选:B.【点评】此题主要考查了菱形的性质,正确把握菱形对角线之间关系是解题关键.6.【分析】由折叠可得AE=A'E=2,∠EFB=∠EFB'=60°,根据平行线性质可得∠A'EF=120°,∠B'EF=60°,解直角三角形A'E'B'可得A'B'的长度,则可求矩形ABCD面积.【解答】解:∵折叠∴∠BFE=∠EFB'=60°,AB=A'B'∠A=∠A'=90°,AE=A'E=2∵ABCD是矩形∴AD∥BC∴∠DEF=∠EFB=60°∵A'E∥B'F∴∠A'EF+∠EFB'=180°∴∠A'EF=120°∴∠A'EB'=60°且∠A'=90°∴∠A'B'E=30°,且A'E=2∴B'E=4,A'B'=2=AB∵AE=2,DE=6∴AD=8∴S矩形ABCD=AB×AD=2×8=16故选:D.【点评】本题考查了折叠问题,等边三角形的性质,矩形的性质,关键灵活运用折叠的性质解决问题.7.【分析】先由含30°角的直角三角形的性质,得出BC的长,再由三角形的中位线定理得出DE的长即可.【解答】解:∵∠C=90°,∠A=30°,∴BC=AB=4,又∵DE是中位线,∴DE=BC=2.故选:A.【点评】本题考查了三角形的中位线定理,解答本题的关键是掌握含30°角的直角三角形的性质及三角形的中位线定理.8.【分析】根据判断三条线段是否能构成直角三角形的三边,需验证两小边的平方和是否等于最长边的平方,分别对每一项进行分析,即可得出答案.【解答】解:A、32+42=52,符合勾股定理的逆定理,是直角三角形;B、52+122=132,符合勾股定理的逆定理,是直角三角形;C、152+82=172,符合勾股定理的逆定理,是直角三角形;D、132+142≠152,不符合勾股定理的逆定理,不是直角三角形.故选:D.【点评】本题主要考查了勾股定理的逆定理:用到的知识点是已知△ABC的三边满足a2+b2=c2,则△ABC是直角三角形.9.【分析】此题要分两种情况:当3和5都是直角边时;当5是斜边长时;分别利用勾股定理计算出第三边长即可.【解答】解:当3和5都是直角边时,第三边长为:=;当5是斜边长时,第三边长为:=4.故选:D.【点评】此题主要考查了利用勾股定理,当已知条件中没有明确哪是斜边时,要注意讨论,一些学生往往忽略这一点,造成丢解.10.【分析】先根据一次函数的解析式判断出函数的增减性,再根据两点横坐标的大小即可得出结论.【解答】解:∵k=﹣<0,∴y随x的增大而减小.∵﹣4<2,∴y1>y2.故选:A.【点评】本题考查的是一次函数图象上点的坐标特点,先根据题意判断出一次函数的增减性是解答此题的关键.二、填空题(本大题6小题,每小题4分,共24分)请将下列各题正确答案填写在答题卷相应的位置上11.【分析】根据二次根式的性质,求出算术平方根即可.【解答】解:原式=.故答案为:.【点评】此题主要考查了算术平方根的定义,算术平方根的概念易与平方根的概念混淆而导致错误.12.【分析】根据笔试和面试所占的权重以及笔试成绩和面试成绩,列出算式,进行计算即可.【解答】解:∵笔试按60%、面试按40%,∴总成绩是(90×60%+85×40%)=88(分);故答案为:88.【点评】此题考查了加权平均数,关键是根据加权平均数的计算公式列出算式,用到的知识点是加权平均数.13.【分析】根据“上加下减”的原则进行解答即可.【解答】解:由“上加下减”的原则可知,将函数y=2x的图象向上平移1个单位所得函数的解析式为y=2x+1.故答案为:y=2x+1.【点评】本题考查的是一次函数的图象与几何变换,熟知“上加下减”的原则是解答此题的关键.14.【分析】根据正方形的面积等于边长的平方,由正方形PQED的面积和正方形PRQF的面积分别表示出PR的平方及PQ的平方,又三角形PQR为直角三角形,根据勾股定理求出QR的平方,即为所求正方形的面积.【解答】解:∵正方形PQED的面积等于225,∴即PQ2=225,∵正方形PRGF的面积为289,∴PR2=289,又△PQR为直角三角形,根据勾股定理得:PR2=PQ2+QR2,∴QR2=PR2﹣PQ2=289﹣225=64,则正方形QMNR的面积为64.故答案为:64.【点评】此题考查了勾股定理以及正方形的面积公式.勾股定理最大的贡献就是沟通“数”与“形”的关系,它的验证和利用都体现了数形结合的思想,即把图形的性质问题转化为数量关系的问题来解决.能否由实际的问题,联想到用勾股定理的知识来求解是本题的关键.15.【分析】首先根据一次函数y=6﹣x与y=kx图象的交点横坐标为2,代入一次函数y=6﹣x求得交点坐标为(2,4),然后代入y=kx求得k值即可.【解答】解:∵一次函数y=6﹣x与y=kx图象的交点横坐标为2,∴4=6﹣2,解得:y=4,∴交点坐标为(2,4),代入y=kx,2k=4,解得k=2.故答案为:2【点评】本题考查了两条直线平行或相交问题,解题的关键是交点坐标适合y=6﹣x与y=kx两个解析式.16.【分析】要求DN+MN的最小值,DN,MN不能直接求,可考虑通过作辅助线转化DN,MN的值,从而找出其最小值求解.【解答】解:∵正方形是轴对称图形,点B与点D是关于直线AC为对称轴的对称点,∴连接BNBD,则直线AC即为BD的垂直平分线,∴BN=ND∴DN+MN=BN+MN连接BM交AC于点P,∵点N为AC上的动点,由三角形两边和大于第三边,知当点N运动到点P时,BN+MN=BP+PM=BM,BN+MN的最小值为BM的长度,∵四边形ABCD为正方形,∴BC=CD=8,CM=8﹣2=6,BCM=90°,∴BM==10,∴DN+MN的最小值是10.故答案为10.【点评】考查正方形的性质和轴对称及勾股定理等知识的综合应用.三、解答题(一)(本大题3小题,每小题6分,共18分)17.【分析】直接利用二次根式混合运算法则计算得出答案.【解答】解:原式=+﹣2=4+﹣2=4﹣.【点评】此题主要考查了二次根式的混合运算,正确化简二次根式是解题关键.18.【分析】根据勾股定理可求出AB的长度,然后利用三角形的面积即可求出CD的长度.【解答】解:在Rt△ABC中,∠ACB=90°根据勾股定理,得AB2=AC2+BC2=16,∴AB=4,又CD⊥AB∴AB•CD=AC•BC∴4CD=2×2即CD=【点评】本题考查勾股定理,解题的关键是熟练运用勾股定理,本题属于基础题型.19.【分析】根据“平行四边形ABCD的对边平行且相等的性质”证得四边形AECF为平行四边形,然后由“平行四边形的对边相等”的性质证得结论.【解答】证明:∵四边形ABCD是平行四边形,∴AD∥BC,AD=BC;又∵点E、F分别是AD、BC的中点,∴AE∥CF,AE=AD,CF=BC,∴AE=CF,∴四边形AECF为平行四边形(对边平行且相等的四边形为平行四边形),∴AF=CE(平行四边形的对边相等).【点评】本题考查了平行四边形的判定与性质.平行四边形的判定方法共有五种,应用时要认真领会它们之间的联系与区别,同时要根据条件合理、灵活地选择方法.四、解答题(二)(本大题3小题,每小题7分,共21分)20.【分析】根据分式的减法可以化简题目中的式子,然后将x、y的值代入化简后的式子即可解答本题.【解答】解:﹣===x+y,当x=1+2,y=1﹣2时,原式=1+2+1﹣2=2.【点评】本题考查分式的化简求值,解答本题的关键是明确分式化简求值的方法.21.【分析】(1)设一次函数解析式为y=kx+b(k≠0),再把点(3,5)和(﹣4,﹣9)代入即可求出k,b的值,进而得出一次函数的解析式;(2)把点(m,2)代入一次函数的解析式,求出m的值即可.【解答】解:(1)设一次函数的解析式为y=kx+b,则有,解得:,∴一次函数的解析式为y=2x﹣1;(2)∵点(m,2)在一次函数y=2x﹣1图象上∴2m﹣1=2,∴m=.【点评】本题考查的是用待定系数法求正比例函数的解析式,此类题目需灵活运用待定系数法建立函数解析式,然后将点的坐标代入解析式,利用方程解决问题.22.【分析】(1)根据直方图可得总人数以及各小组的已知人数,进而根据其间的关系可计算C组的人数;(2)根据中位数的概念,中位数应是第160、161人时间的平均数,分析可得答案;(3)首先计算样本中达国家规定体育活动时间的频率,再进一步估计总体达国家规定体育活动时间的人数.【解答】解:(1)根据题意有:C组的人数为320﹣20﹣100﹣60=140;(2)根据中位数的概念,中位数应是第160、161人时间的平均数,分析可得其均在C组,故调查数据的中位数落在C组;(3)达国家规定体育活动时间的人数约占×100%=62.5%.所以,达国家规定体育活动时间的人约有32000×62.5%=20000(人).【点评】本题考查读频数分布直方图的能力和利用统计图获取信息的能力.同时考查中位数的求法:给定n个数据,按从小到大排序,如果n为奇数,位于中间的那个数就是中位数;如果n为偶数,位于中间两个数的平均数就是中位数.五、解答题(三)(本大题3小题,每小题9分,共27分)23.【分析】(1)根据图象,路程的最大值即为小红家到舅舅家的路程;读图,对应题意找到其在商店停留的时间段,进而可得其在书店停留的时间;(2)分析图象,找函数变化最快的一段,可得小明骑车速度最快的时间段,进而可得其速度;(3)分开始行驶的路程,折回商店行驶的路程以及从商店到舅舅家行驶的路程三段相加即可求得小红一共行驶路程;读图即可求得本次去舅舅家的行程中,小红一共用的时间.【解答】解:(1)根据图象舅舅家纵坐标为1500,小红家的纵坐标为0,故小红家到舅舅家的路程是1500米;据题意,小红在商店停留的时间为从8分到12分,故小红在商店停留了4分钟.故答案为:1500,4;(2)根据图象,12≤x≤14时,直线最陡,故小红在12﹣14分钟最快,速度为=450米/分.(3)读图可得:小红共行驶了1200+600+900=2700米,共用了14分钟.【点评】本题考查利用函数的图象解决实际问题,正确理解函数图象横纵坐标表示的意义,理解问题的过程,就能够通过图象得到函数问题的相应解决.需注意计算单位的统一.24.【分析】(1)如图(1),设CE=x,则BE=8﹣x;根据勾股定理列出关于x的方程,解方程即可解决问题.(2)如图(2),首先求出CB′=3;类比(1)中的解法,设出未知数,列出方程即可解决问题.【解答】解:(1)如图(1),设CE=x,则BE=8﹣x;由题意得:AE=BE=8﹣x,由勾股定理得:x2+62=(8﹣x)2,解得:x=,即CE的长为:.(2)如图(2),∵点B′落在AC的中点,∴CB′=AC=3;设CE=x,类比(1)中的解法,可列出方程:x2+32=(8﹣x)2解得:x=.即CE的长为:.【点评】该题主要考查了翻折变换的性质及其应用问题;解题的关键是灵活运用翻折变换的性质,找出图形中隐含的等量关系;借助勾股定理等几何知识点来分析、判断、推理或解答.25.【分析】(1)由题意可证OE=OC,OF=OC,即可得OE=OF;(2)根据三角形内角和定理可求∠ECF=90°,根据勾股定理可求EF的长,根据直角三角形斜边上中线等于斜边的一半,可得OC的长;(3)当点O在AC的中点时,且OE=OF可证四边形AECF是平行四边形,再根据∠ECF=90°,可证四边形AECF是矩形.【解答】证明:(1)∵CF平分∠ACD,且MN∥BD∴∠ACF=∠FCD=∠CFO∴OF=OC同理可证:OC=OE∴OE=OF(2)由(1)知:OF=OC=OE∴∠OCF=∠OFC,∠OCE=∠OEC∴∠OCF+∠OCE=∠OFC+∠OEC而∠OCF+∠OCE+∠OFC+∠OEC=180°∴∠ECF=∠OCF+∠OCE=90°∴∴(3)当点O移动到AC中点时,四边形AECF为矩形理由如下:∵当点O移动到AC中点时∴OA=OC且OE=OF∴四边形AECF为平行四边形又∵∠ECF=90°∴四边形AECF为矩形【点评】本题考查了矩形的性质判定,等腰三角形的性质和判定,勾股定理,熟练运用这些性质解决问题是本题的关键.。
2023年人教版八年级数学(下册)期末试题及答案(下载) 班级: 姓名: 一、选择题(本大题共10小题,每题3分,共30分)1.若关于x 的不等式组324x a x a <+⎧⎨>-⎩无解,则a 的取值范围是( ) A .a ≤﹣3 B .a <﹣3 C .a >3 D .a ≥32.若正多边形的内角和是540︒,则该正多边形的一个外角为( )A .45︒B .60︒C .72︒D .90︒3.语句“x 的18与x 的和不超过5”可以表示为( ) A .58x x +≤ B .58x x +≥ C .855x ≤+ D .58x x += 4.若6-13的整数部分为x ,小数部分为y ,则(2x +13)y 的值是( )A .5-313B .3C .313-5D .-35.若关于x 的一元二次方程(k -1)x 2+4x +1=0有两个不相等的实数根,则k 的取值范围是( )A .k<5B .k<5,且k ≠1C .k ≤5,且k ≠1D .k>56.关于x 的不等式组314(1){x x x m->-<的解集为x <3,那么m 的取值范围为( )A .m=3B .m >3C .m <3D .m ≥37.在平面直角坐标中,点M(-2,3)在( )A .第一象限B .第二象限C .第三象限D .第四象限8.如图,在△ABC 中,AB =AC ,D 是BC 的中点,AC 的垂直平分线交AC ,AD ,AB 于点E ,O ,F ,则图中全等三角形的对数是( )A .1对B .2对C .3对D .4对9.如图,菱形ABCD 的周长为28,对角线AC ,BD 交于点O ,E 为AD 的中点,则OE 的长等于( )A .2B .3.5C .7D .1410.如图,已知在△ABC ,AB =AC .若以点B 为圆心,BC 长为半径画弧,交腰AC 于点E ,则下列结论一定正确的是( )A .AE =ECB .AE =BEC .∠EBC =∠BACD .∠EBC =∠ABE二、填空题(本大题共6小题,每小题3分,共18分)1.已知a ,b ,c 是△ABC 的三边长,a ,b 满足|a ﹣7|+(b ﹣1)2=0,c 为奇数,则c=________.2.当m =____________时,解分式方程533x m x x-=--会出现增根. 3.一个正数的平方根分别是1x +和5x -,则x =________. 4.如图,直线y=x+b 与直线y=kx+6交于点P (3,5),则关于x 的不等式x+b >kx+6的解集是_________.5.如图,Rt △ABC 中,∠ACB=90°,AB=6,D 是AB 的中点,则CD=_____.6.如图,AD ∥BC ,∠D=100°,CA 平分∠BCD ,则∠DAC=________度.三、解答题(本大题共6小题,共72分)1.解方程23111x x x -=--.2.先化简,再求值:822224x x x x x +⎛⎫-+÷ ⎪--⎝⎭,其中12x =-.3.已知关于x 的一元二次方程()22x 2k 1x k k 0-+++=(1)求证:方程有两个不相等的实数根;(2)若△ABC 的两边AB 、AC 的长是方程的两个实数根,第三边BC 的长为5.当△ABC 是等腰三角形时,求k 的值4.如图,在四边形ABCD 中,∠ABC=90°,AC=AD ,M ,N 分别为AC ,CD 的中点,连接BM ,MN ,BN .(1)求证:BM=MN ;(2)∠BAD=60°,AC 平分∠BAD ,AC=2,求BN 的长.5.如图,正比例函数y =2x 的图象与一次函数y =kx +b 的图象交于点A (m ,2),一次函数图象经过点B(﹣2,﹣1),与y轴的交点为C,与x轴的交点为D.(1)求一次函数解析式;(2)求C点的坐标;(3)求△AOD的面积.6.去冬今春,我市部分地区遭受了罕见的旱灾,“旱灾无情人有情”.某单位给某乡中小学捐献一批饮用水和蔬菜共320件,其中饮用水比蔬菜多80件.(1)求饮用水和蔬菜各有多少件?(2)现计划租用甲、乙两种货车共8辆,一次性将这批饮用水和蔬菜全部运往该乡中小学.已知每辆甲种货车最多可装饮用水40件和蔬菜10件,每辆乙种货车最多可装饮用水和蔬菜各20件.则运输部门安排甲、乙两种货车时有几种方案?请你帮助设计出来;(3)在(2)的条件下,如果甲种货车每辆需付运费400元,乙种货车每辆需付运费360元.运输部门应选择哪种方案可使运费最少?最少运费是多少元?参考答案一、选择题(本大题共10小题,每题3分,共30分)1、A2、C3、A4、B5、B6、D7、B8、D9、B10、C二、填空题(本大题共6小题,每小题3分,共18分) 1、72、23、2.4、x >3.5、36、40°三、解答题(本大题共6小题,共72分)1、2x =2、3.3、(1)详见解析(2)k 4=或k 5=4、(1)略;(25、(1)y=x+1;(2)C (0,1);(3)16、(1)饮用水和蔬菜分别为200件和120件(2)设计方案分别为:①甲车2辆,乙车6辆;②甲车3辆,乙车5辆; ③甲车4辆,乙车4辆(3)运输部门应选择甲车2辆,乙车6辆,可使运费最少,最少运费是2960元。
人教版八年级数学下册期末测试卷含答案人教版八年级数学下册期末测试卷02一、选择题(每小题3分,共30分)1.在函数y=(x+2)/(x-1)中,自变量x的取值范围是()A。
x≥-2且x≠1B。
x≤2且x≠1C。
x≠1D。
x≤-22.下列各组二次根式中,可以进行合并的一组是()A。
12与72B。
63与78C。
8√3与22√xD。
18与63.下列命题中,正确的是()A。
梯形的对角线相等B。
菱形的对角线不相等C。
矩形的对角线不能互相垂直D。
平行四边形的对角线可以互相垂直4.如图,菱形ABCD中,AC=8,BD=6,则菱形的周长为()A。
20B。
24C。
28D。
405.如图,平行四边形ABCD中,E,F是对角线BD上的两点,如果添加一个条件使△ABE≌△CDF,则添加的条件不能是()A。
AE=CFB。
BE=FDC。
BF=DED。
∠1=∠26.已知一次函数y=kx+b(k≠0)的图象经过两点,则它不经过(2,-1)的象限是()A。
第一象限B。
第二象限C。
第三象限D。
第四象限7.五名学生投篮球,规定每人投20次,统计他们每人投中的次数,得到五个数据。
若这五个数据的中位数是6,唯一众数是7,则他们投中次数的总和可能是()A。
20B。
28C。
30D。
318.园林队在某公园进行绿化,中间休息了一段时间已知绿化面积S(单位:平方米)与工作时间t(单位:小时)的函数关系的图象如图所示,则休息后园林队每小时绿化面积为()A。
40平方米B。
50平方米C。
80平方米D。
100平方米9.如图,在△ABC中,AC=BC,D、E分别是边AB、AC 的中点,△ADE≌△CFE,则四边形ADCF一定是()A。
矩形B。
菱形C。
正方形D。
梯形10.XXX骑自行车上学,开始以正常速度匀速行驶,但行至中途时,自行车出了故障,只好停下来修车,车修好后,因怕耽误上课,他比修车前加快了速度继续匀速行驶,下面是行驶路程s(m)关于时间t(min)的函数图象,那么符合XXX行驶情况的大致图象是()无法提供图象)二、填空题(每小题3分,共30分)11.计算:(48-327)÷3=_________.12.一次函数y = (m+2)x + 1,若y随x的增大而增大,则m的取值范围为什么?答案:m。
新人教版八年级数学下册期末考试题(及参考答案) 班级: 姓名: 一、选择题(本大题共10小题,每题3分,共30分)1.2-的相反数是( )A .2-B .2C .12D .12- 2.下列各数中,313.14159 8 0.131131113 25 7π-⋅⋅⋅--,,,,,,无理数的个数有( )A .1个B .2个C .3个D .4个3.按如图所示的运算程序,能使输出y 值为1的是( )A .11m n ==,B .10m n ==,C .12m n ==,D .21m n ==,4.在△ABC 中,AB=10,AC=210,BC 边上的高AD=6,则另一边BC 等于( )A .10B .8C .6或10D .8或105.实数a ,b 在数轴上对应点的位置如图所示,化简|a|+2()a b +的结果是( )A .﹣2a-bB .2a ﹣bC .﹣bD .b6.如图,直线y=ax+b 过点A (0,2)和点B (﹣3,0),则方程ax+b=0的解是( )A .x=2B .x=0C .x=﹣1D .x=﹣37.下列图形中,是轴对称图形的是()A.B. C.D.8.如图,在平行四边形ABCD中,∠DBC=45°,DE⊥BC于E,BF⊥CD于F,DE,BF相交于H,BF与AD的延长线相交于点G,下面给出四个结论:①2BD BE=;②∠A=∠BHE;③AB=BH;④△BCF≌△DCE,其中正确的结论是()A.①②③B.①②④C.②③④D.①②③④9.如图,菱形ABCD的周长为28,对角线AC,BD交于点O,E为AD的中点,则OE的长等于()A.2 B.3.5 C.7 D.1410.如图,已知∠ABC=∠DCB,下列所给条件不能证明△ABC≌△DCB的是()A.∠A=∠D B.AB=DC C.∠ACB=∠DBC D.AC=BD二、填空题(本大题共6小题,每小题3分,共18分)1.若a-b=1,则222a b b--的值为____________.2.已知x,y满足方程组x2y5x2y3-=⎧+=-⎨⎩,则22x4y-的值为__________.3x2-x的取值范围是________.4.如图,将周长为8的△ABC沿BC方向向右平移1个单位得到△DEF,则四边形ABFD 的周长为_____________.5.如图,在矩形ABCD 中,对角线AC 、BD 相交于点O ,点E 、F 分别是AO 、AD 的中点,若AB=6cm ,BC=8cm ,则AEF 的周长=______cm .6.如图,ABCD 的周长为36,对角线AC ,BD 相交于点O .点E 是CD 的中点,BD=12,则△DOE 的周长为________.三、解答题(本大题共6小题,共72分)1.解方程:(1)12111x x x -=-- (2)31523162x x -=--2.先化简,再求值:(x +2)(x -2)+x(4-x),其中x =14.3.已知关于x 的一元二次方程2(4)240x m x m -+++=.(1)求证:该一元二次方程总有两个实数根;(2)若12,x x 为方程的两个根,且22124n x x =+-,判断动点(,)P m n 所形成的数图象是否经过点(5,9)A -,并说明理由.4.如图,直线y =kx +b 经过点A (-5,0),B (-1,4)(1)求直线AB 的表达式;(2)求直线CE:y=-2x-4与直线AB及y轴围成图形的面积;(3)根据图象,直接写出关于x的不等式kx+b>-2x-4的解集.5.已知平行四边形ABCD,对角线AC、BD交于点O,线段EF过点O交AD于点E,交BC于点F.求证:OE=OF.6.为加强中小学生安全和禁毒教育,某校组织了“防溺水、交通安全、禁毒”知识竞赛,为奖励在竞赛中表现优异的班级,学校准备从体育用品商场一次性购买若干个足球和篮球(每个足球的价格相同,每个篮球的价格相同),购买1个足球和1个篮球共需159元;足球单价是篮球单价的2倍少9元.(1)求足球和篮球的单价各是多少元?(2)根据学校实际情况,需一次性购买足球和篮球共20个,但要求购买足球和篮球的总费用不超过1550元,学校最多可以购买多少个足球?参考答案一、选择题(本大题共10小题,每题3分,共30分)1、B2、B3、D4、C5、A6、D7、B8、A9、B10、D二、填空题(本大题共6小题,每小题3分,共18分)1、12、-153、x2≥4、10.5、96、15.三、解答题(本大题共6小题,共72分)1、(1)2x3=;(2)10x9=.2、-3.3、(1)见解析;(2)经过,理由见解析4、(1)y=x+5;(2)272;(3)x>-3.5、略.6、(1)一个足球的单价103元、一个篮球的单价56元;(2)学校最多可以买9个足球.。
人教版八年级数学下册第十六章测试卷及答案一.选择题(共10小题,每小题3分,共30分)1.在下列各式中,不是二次根式的有( )同号,且A.3个 B.2个 C.1个 D.0个2.( )A.3-2+1 B.3+2-1 C.3+2+1 D.3-2-13. 下列式子中,为最简二次根式的是( )A4. 下列计算错误的是( )A BC D5.下列计算正确的是( )A.32=6 B.(-25)3=-85C.(-2a2)2=2a4 D6.若实数a,b满足ab>0,则化简( )A7.( )A.5和6之间 B.6和7之间C.7和8之间 D.8和9之间8.若x<0,( )A.0 B.-2 C.0或2 D.29.已知a,b,c为△ABC的三边长,|b-c|=0,则△ABC的形状是( ) A.等腰三角形B.等边三角形C.直角三角形D.等腰直角三角形10. 已知实数x,y满足:y( )A..5二.填空题(共8小题,每小题3分,共24分)11.计算_______.12. 已知a <2,_________.13.如图是一个简单的数值运算程序,当输入x ,则输出的值为________.输入x →→输出14.在△ABC 中,a,b,c 为三角形的三边长,化简2|c -a -b|=________.15.x 的取值范围是________.16.实数a,b 在数轴上对应点的位置如图所示,______.17.某动物园利用杠杆原理称象:如图,在点P 处挂一根质地均匀且足够长的钢梁(呈水平状态),将装有大象的铁笼和弹簧秤(秤的重力忽略不计)分别悬挂在钢梁的点A,B 处,当钢梁保持水平时,弹簧秤读数为k(N).若铁笼固定不动,移动弹簧秤使BP 扩大到原来的n(n >1)倍,且钢梁保持水平,则弹簧秤读数为________(N)(用含n,k 的代数式表示).18.已知三角形的三边长分别为a,b,c,求其面积问题,中外数学家曾经进行过深入研究,古希腊的几何学家海伦给出求其面积的海伦公式S 其中p =a +b +c 2;我国南宋时期数学家秦九韶曾提出利用三角形的三边求其面积的秦九韶公式S 若一个三角形的三边长分别为2,3,4,则其面积是________.三.解答题(共7小题, 66分)19.(8分) 计算下列各式:;20.(8分) 先化简,再求值:a 2-b 2a ÷(a -2ab -b 2a ),其中a 2,b 2.21.(8分) 已知x 2,求(9+2-2)x +4的值.22.(8分) 已知实数a,b 满足(4a -b +11)20,求1的值.23.(10分)如图,用两个边长均为的小正方形拼成一个大的正方形.(1)求大正方形的边长;(2)沿此大正方形边的方向能否剪出一张长.宽之比为4∶3,且面积为720 cm 2的长方形纸片?若能,试求出剪出的长方形纸片的长与宽;若不能,试说明理由.24.(10分) 先阅读材料,再回答问题:已知x1,求x2+2x-1的值.计算此题时,若将x1直接代入,则运算非常麻烦.仔细观察代数式,发现由x1,得x+1所以(x+1)2=3.整理,得x2+2x=2.再代入求值会非常简便.解答过程如下:解:由x1,得x+1∴(x+1)2=3.整理,得x2+2x=2,∴x2+2x-1=2-1=1.请仿照上述方法解答下面的题目:已知x2,求6-2x2+8x的值.25.(14分) (1)用"="">""<"填空:4++16________2+5________2(2)由(1)中各式猜想m+n与,并说明理由.(3)请利用上述结论解决下面问题:某园林设计师要对园林的一个区域进行设计改造,将该区域用篱笆围成长方形的花圃,如图所示,花圃恰好可以借用一段墙体,为了围成面积为200 m2的花圃,所用的篱笆至少为多少米?参考答案1-5BABCD 6-10ABDBD12. 2-a14. -a -3b +3c15. x>216. -2a 17.k n19. 解:(1)原式=2=5;(2)原式=20.解:原式=(a +b)(a -b)a ÷a 2-2ab +b 2a =(a +b)(a -b)a ·a(a -b)2=a +b a -b .当a 2,b 2时,21. 解:原式=(9+2)2-2)+4=(9+--1+4=81-80-1+4=422. 解:由题意得{4a -b +11=013b -4a -3=0解得{a =14b =12.则1==14×14×223. 解:(1)30(cm)(2)不能,理由如下:设长方形纸片的长为4x cm,宽为3x cm,则4x·3x =720,解得x =∴4x =30,∴不能剪出符合要求的长方形纸片24. 解:由x 2,得x -2∴(x -2)2=5.整理,得x 2-4x =1,∴6-2x 2+8x =6-2(x 2-4x)=6-2×1=4.25. 解:(1)>;>;=(2)m 理由如下:当m≥0,n≥0时2≥0,∴2-2≥0.∴m -∴m (3)设花圃平行于墙的一边长为a m,垂直于墙的一边长为b m,则a >0,b >0,ab =200.根据(2)中的结论可得a 2×20=40,∴所用的篱笆至少为40 m.。
2023年人教版八年级数学下册期末考试题及答案【完美版】 班级: 姓名:一、选择题(本大题共10小题,每题3分,共30分)1.已知31416181279a b c ===,,,则a b c 、、的大小关系是( )A .a b c >>B .a c b >>C .a b c <<D .b c a >>2.已知平行四边形ABCD ,下列条件中,不能判定这个平行四边形为矩形的是( )A .∠A=∠B B .∠A=∠C C .AC=BD D .AB ⊥BC3.一个正多边形的内角和为540°,则这个正多边形的每一个外角等于( )A .108°B .90°C .72°D .60°4. 20位同学在植树节这天共种了52棵树苗,其中男生每人种3棵,女生每人种2棵,设男生有x 人,女生有y 人,根据题意,列方程组正确的是( )A .523220x y x y +=⎧⎨+=⎩B .522320x y x y +=⎧⎨+=⎩C .202352x y x y +=⎧⎨+=⎩D .203252x y x y +=⎧⎨+=⎩5.已知直角三角形的两条边长分别是3和5,那么这个三角形的第三条边的长( )A .4B .16C .34D .4或346.如图,AB ∥CD ,点E 在线段BC 上,若∠1=40°,∠2=30°,则∠3的度数是( )A .70°B .60°C .55°D .50°7.如下图,下列条件中:①∠B+∠BCD=180°;②∠1=∠2;③∠3=∠4;④∠B=∠5,能判定AB ∥CD 的条件为( )A .①②③④B .①②④C .①③④D .①②③8.已知直线a ∥b ,将一块含45°角的直角三角板(∠C=90°)按如图所示的位置摆放,若∠1=55°,则∠2的度数为( )A .80°B .70°C .85°D .75°9.李大爷要围成一个矩形菜园,菜园的一边利用足够长的墙,用篱笆围成的另外三边总长应恰好为24米.要围成的菜园是如图所示的矩形ABCD .设BC 边的长为x 米,AB 边的长为y 米,则y 与x 之间的函数关系式是( )A .y=-2x+24(0<x<12)B .y=-x +12(0<x<24)C .y=2x -24(0<x<12)D .y=x -12(0<x<24)10.如图,直线,a b 被,c d 所截,且//a b ,则下列结论中正确的是( )A .12∠=∠B .34∠=∠C .24180∠+∠=D .14180∠+∠=二、填空题(本大题共6小题,每小题3分,共18分)1.如图,数轴上点A表示的数为a,化简:a244a a+-+=________.2.已知三角形ABC的三边长为a,b,c满足a+b=10,ab=18,c=8,则此三角形为__________三角形.3.分解因式6xy2-9x2y-y3 = _____________.4.如图是一个三级台阶,它的每一级的长、宽和高分别为20 dm,3 dm,2 dm ,A和B是这个台阶两个相对的端点,A点有一只蚂蚁,想到B点去吃可口的食物,则蚂蚁沿着台阶面爬到B点的最短路程是__________dm.5.如图,圆柱形玻璃杯高为14cm,底面周长为32cm,在杯内壁离杯底5cm的点B 处有一滴蜂蜜,此时一只蚂蚁正好在杯外壁,离杯上沿3cm与蜂蜜相对的点A处,则蚂蚁从外壁A处到内壁B处的最短距离为___________cm(杯壁厚度不计).6.如图,DE为△ABC的中位线,点F在DE上,且∠AFB=90°,若AB=6,BC =8,则EF的长为______.三、解答题(本大题共6小题,共72分)2.解方程组(1)43524x yx y+=⎧⎨-=⎩(2)12163213x yx y--⎧-=⎪⎨⎪+=⎩2.先化简,后求值:(a+5)(a ﹣5)﹣a(a﹣2),其中a=12+2.3.解不等式组20{5121123xx x->+-+≥①②,并把解集在数轴上表示出来.4.如图,A(4,3)是反比例函数y=kx在第一象限图象上一点,连接OA,过A作AB∥x轴,截取AB=OA(B在A右侧),连接OB,交反比例函数y=kx的图象于点P.(1)求反比例函数y=kx的表达式;(2)求点B的坐标;(3)求△OAP的面积.5.甲、乙两车分别从A、B两地同时出发,甲车匀速前往B地,到达B地立即以另一速度按原路匀速返回到A地;乙车匀速前往A地,设甲、乙两车距A地的路程为y(千米),甲车行驶的时间为x(时),y与x之间的函数图象如图所示(1)求甲车从A地到达B地的行驶时间;(2)求甲车返回时y与x之间的函数关系式,并写出自变量x的取值范围;(3)求乙车到达A地时甲车距A地的路程.6.某商店销售A型和B型两种电脑,其中A型电脑每台的利润为400元,B型电脑每台的利润为500元.该商店计划再一次性购进两种型号的电脑共100台,其中B型电脑的进货量不超过A型电脑的2倍,设购进A型电脑x台,这100台电脑的销售总利润为y元.(1)求y关于x的函数关系式;(2)该商店购进A型、B型电脑各多少台,才能使销售总利润最大,最大利润是多少?(3)实际进货时,厂家对A型电脑出厂价下调a(0<a<200)元,且限定商店最多购进A型电脑60台,若商店保持同种电脑的售价不变,请你根据以上信息,设计出使这100台电脑销售总利润最大的进货方案.参考答案一、选择题(本大题共10小题,每题3分,共30分)1、A2、B3、C4、D5、D6、A7、C8、A9、B10、B二、填空题(本大题共6小题,每小题3分,共18分)1、2.2、直角3、-y(3x-y)24、255、206、1三、解答题(本大题共6小题,共72分)1、(1)21xy=⎧⎨=-⎩;(2)53xy=⎧⎨=⎩.2、224-3、﹣1≤x<2.4、(1)反比例函数解析式为y=12x;(2)点B的坐标为(9,3);(3)△OAP的面积=5.5、(1)2.5小时;(2)y=﹣100x+550;(3)175千米.6、(1) =﹣100x+50000;(2) 该商店购进A型34台、B型电脑66台,才能使销售总利润最大,最大利润是46600元;(3)略.。
明.)20。
如图,在四边形ABCD 中,AB =AD ,CB =CD ,E 为AB 的中点,在AC 上求作点P ,使EP +BP 的值最小。
(1)画出点P 的位置(保留作图痕迹,不写画法);(2)若AD =6,∠DAC =30°,求EP+BP 的最小值。
21.,办场时买来的80头小羊经过精心饲养,七个月就可以出售了。
下表数据是这些羊出售时的体重:(1)求这些“大耳羊"在出售时平均体重是多少? (2)“大耳羊”购进时每只成本平均为420元,饲养时每只成本平均为1060元,若按每千克32元的价格可以全部售完,在不计其它成本的情况下,求该农民合作组织饲养这批“大耳羊”可以获得多少利润(利润=总售价-购羊成本-饲养成本).22.某车间计划生产100件产品,由于采用新技术,每天可多生产4件,这样实际生产148件产品的时间与计划生产100件产品所需要的时间相等,求计划生产100件产品所需要的时间是多少天?23。
如图,反比例函数的图象经过边长为3正方形OABC 的顶点B ,点P (m ,n )为该函数图象上的一动点,过点P 分别作x 轴、y 轴的垂线,垂足分别为E 、F ,设矩形OEPF 和正方形OABC 不重合部分的面积为S (即图中阴影部分的面积). (1)求k 的值;(2)当m =4时,求n 和S 的值; (3)求S 关于m 的函数解析式.24.如图,四边形ABCD 是直角梯形,∠B =90°,AB =8cm,AD =24cm,BC =26cm 。
点P 从A 出发,以1cm/s 的速度向点D 运动;点Q 从点C 出发,以3cm/s 的速度向B 运动,若它们同时出发,运动时间为t 秒,并且当其中一个动点到达端点时,另一动点也随之停止运动,运动时间为t 秒.(1)当t =3时,求出P 、Q 两点运动的路程分别是多少?(3)四边形PQCD 有可能为菱形吗?试说明理由。
八年级(初二)数学参考答案与评分建议一、选择题(本大题共8小题,每小题3分,共24分.)1. B ; 2.C ; 3.A ; 4.A ; 5.C ; 6.D ; 7.B; 8.C .二、填空题(本大题共8小题,每小题3分,共24分.)9.; 10.; 11.6; 12. 1;13。
第十八章平行四边形单元测试题第一卷选择题一、选择题(每小题3分,共24分)1.在平行四边形ABCD中,∠B=60°,那么下列各式中,不能成立的是( C )A.∠D=60° B.∠A=120° C.∠C+∠D=180°D.∠C+∠A=180°2.矩形,菱形,正方形都具有的性质是( B )A.对角线相等 B.对角线互相平分 C.对角线平分一组对角 D.对角线互相垂直3.如图,▱ABCD的周长是28cm,△ABC的周长是22cm,则AC的长为( B )A. 6cm B. 12cm C. 4cm D. 8cm第3题第4题第5题第7题4.如图所示,平行四边形ABCD中,对角线AC和BD相交于点O,如果AC=12,BD=10,AB=m,则m的取值范围是()A.10<m<12 B.2<m<22 C. 1<m<11 D.5<m<65.如图,如果平行四边形ABCD的对角线AC和BD相交于点O,那么图中的全等三角形共有()A. 1对B. 2对C. 3对D. 4对6.已知菱形的边长为6cm,一个内角为60°,则菱形较短的对角线长是()A. 6cm B.cm C. 3cm D.cm7.如图,在菱形ABCD中,∠BAD=80°,AB的垂直平分线交对角线AC于点F,点E为垂足,连接DF,则∠CDF为()A.80°B.70°C.65°D.60°8.菱形的周长为20cm,两邻角的比为.1:2,则较长的对角线长为()A. 4.5cm B. 4cm C. 5cm D. 4cm9.矩形的四个内角平分线围成的四边形()A.一定是正方形 B.是矩形 C.菱形 D.只能是平行四边形10.在△ABC中,AB=12,AC=10,BC=9,AD是BC边上的高.将△ABC按如图所示的方式折叠,使点A与点D重合,折痕为EF,则△DEF的周长为()A. 9.5 B.10.5 C. 11 D. 15.5第二卷非选择题二、填空题(每小题3分,共24分)11.已知正方形的一条对角线长为4cm,则它的面积是cm2.12.菱形的两条对角线分别是6cm,8cm,则菱形的边长为cm,面积为cm2.13.如图,菱形ABCD的对角线AC和BD相交于点O,过点O的直线分别交AB和CD于点E、F,BD=6,AC=4,则图中阴影部分的面积和为.14.如图:菱形ABCD中,AB=2,∠B=120°,E是AB的中点,P是对角线AC上的一个动点,则PE+PB的最小值是.bnnnn第13题第14题第15题第16题15.如图,在△ABC中,点D、E、F分别是AB、AC、BC的中点,若△ABC的周长为12cm,则△DEF的周长是cm.16.如图,过矩形ABCD的对角线BD上一点K分别作矩形两边的平行线MN与PQ,那么图中矩形AMKP的面积S1与矩形QCNK的面积S2的大小关系是S1S2;(填“>”或“<”或“=”)17.已知Rt△ABC的周长是4+4,斜边上的中线长是2,则S△ABC= .18.将七个边长都为1的正方形如图所示摆放,点A1、A2、A3、A4、A5、A6分别是六个正方形的中心,则这七个正方形重叠形成的重叠部分的面积是.第19题图第20题图三、解答题(共7小题,共66分)19.如图,在△ABC中,D、E、F分别为边AB、BC、CA的中点.证明:四边形DECF是平行四边形.(6分)20.已知:如图,在△ABC中,中线BE,CD交于点O,F,G分别是OB,OC的中点.求证:四边形DFGE是平行四边形.(8分)21.已知:如图,在△ABC中,AB=AC,AD⊥BC,垂足为点D,AN是△ABC外角∠CAM 的平分线,CE⊥AN,垂足为点E,(8分)(1)求证:四边形ADCE为矩形;(2)当△ABC满足什么条件时,四边形ADCE是一个正方形?并给出证明.22.如图所示,已知AD是△ABC的角平分线,DE∥AC交AB于点E,DF∥AB交AC于点F,(10分)求证:AD⊥EF.23.已知:如图,在△ABC中,D是BC边上的一点,E是AD的中点,过点A作BC的平行线交于BE的延长线于点F,且AF=DC,连接CF.(10分)(1)求证:D是BC的中点;(2)如果AB=AC,试判断四边形ADCF的形状,并证明你的结论.24.如图,在四边形ABCD中,AB=BC,对角线BD平分∠ABC,P是BD上一点,过点P作PM⊥AD,PN⊥CD,垂足分别为M,N.(12分)(1)求证:∠ADB=∠CDB;(2)若∠ADC=90°,求证:四边形MPND是正方形.25.如图,△ABC中,MN∥BD交AC于P,∠ACB、∠ACD的平分线分别交MN于E、F.(12分)(1)求证:PE=PF;(2)当MN与AC的交点P在什么位置时,四边形AECF是矩形,说明理由;(3)当△ABC满足什么条件时,四边形AECF是正方形.(不需要证明)第十六章二次根式一、选择题(每小题3分,共24分)1.在下列各式中,不是二次根式的有( B )①-10;②10a(a≥0);③mn(m,n同号且n≠0);④x2+1;⑤38.A .3个B .2个C .1个D .0个2.若代数式x +1(x -3)2有意义,则实数x 的取值范围是( B )A .x ≥-1B .x ≥-1且x ≠3C .x >-1D .x >-1且x ≠33.下列计算:(1)( 2)2=2;(2) (-2)2=2;(3)(-2 3)2=12;(4)(2+3)(2- 3)=-1.其中结果正确的个数为( D ) A .1 B .2 C .3 D .44.下列式子中为最简二次根式的是( A ) A. 3 B. 4 C.8 D.125.若75n 是整数,则正整数n 的最小值是( B ) A .2 B .3 C .4 D .56.一个直角三角形的两条直角边长分别为2 3 cm ,3 6 cm ,那么这个直角三角形的面积是( C )A .8 2 cm 2B .7 2 cm 2C .9 2 cm 2 D. 2 cm 27.如果a -b =2 3,那么代数式(a 2+b 22a -b )·aa -b的值为( A )A. 3 B .2 3 C .3 3 D .4 3 8.甲、乙两人计算a +1-2a +a 2的值,当a =5的时候得到不同的答案,甲的解答是a +1-2a +a 2=a +(1-a )2=a +1-a =1;乙的解答是a +1-2a +a 2=a +(a -1)2=a +a -1=2a -1=9.下列判断正确的是( D )A .甲、乙都对B .甲、乙都错C .甲对,乙错D .甲错,乙对 二、填空题(每小题3分,共24分)9.已知a <2,则(a -2)2=____2-a____. 10.计算:27-613=___根号三_____. 11.在实数范围内分解因式:x 2-5=_____(x-根号五)(x+根号五)_______. 12.计算:18÷3×13=____根号二____. 13.化简:(1)13 2=____六分之根号二____;(2)112=___十二分之二倍的根号三_____;(3)102 5=____十分之五倍的根号二____;(4)23-1=____根号三加一____. 14.一个三角形的三边长分别为8 cm ,12 cm ,18 cm ,则它的周长是____五倍的根号二加二倍的根号三____ cm.15.已知a 是13的整数部分,b 是13的小数部分,则ab =____三倍的根号十三减九____.16.我国南宋著名数学家秦九韶在他的著作《数书九章》一书中,给出了著名的秦九韶公式,也叫三斜求积公式.即:如果一个三角形的三边长分别为a ,b ,c ,那么该三角形的面积为S =14[a 2b 2-(a 2+b 2-c 22)2].已知△ABC 的三边长分别为5,2,1,则△ABC 的面积为____1____.三、解答题(共52分) 17.(10分)计算:解(1)2(12+20)-3(3-5); =根号三加七倍的根号五(2)(3-2 5)(15+5)-(10-2)2. =负的五倍的根号三减三倍的根号五减十二18.(10分)已知a =7+2,b =7-2,求下列代数式的值:(1)a 2b +b 2a ;(2)a 2-b 2. (1)=六倍的根号七 (2)=八倍的根号七19.(10分)先化简,再求值:1x 2+2x +1·(1+3x -1)÷x +2x 2-1,其中x =2 5-1.十分之根号五20.(10分)王师傅有一根长45米的钢材,他想将它锯断后焊成三个面积分别为2平方米、18平方米、32平方米的正方形铁框,王师傅的钢材够用吗?请通过计算说明理由.四倍的根号二加四倍的根号十八加四倍的根号三十二等于四倍的根号二加十二倍的根号二加十六倍的根号二等于三十倍的根号二三十二倍的根号二大于四十五所以王师傅的钢材不够用21.(12分)阅读材料:小明在学习了二次根式后,发现一些含根号的式子可以写成另一个式子的平方的形式,如3+2 2=(1+2)2,善于思考的小明进行了以下探索:设a+b2=(m+n2)2(其中a,b,m,n均为正整数),则有a+b2=m2+2n2+2mn2,所以a=m2+2n2,b=2mn.这样小明就找到了一种把类似a+b2的式子化为平方式的方法.请你仿照小明的方法探索并解决下列问题:(1)当a,b,m,n均为正整数时,若a+b3=(m+n3)2,用含m,n的式子分别表示a,b,得a=___m的平方加三倍的n方_____,b=___2mn_____;(2)利用所探索的结论,找一组正整数a,b,m,n填空:___13___+___4___3=(____1__+__2____3)2;(3)若a+4 3=(m+n3)2,且a,m,n均为正整数,求a的值.A=13or勾股定理单元复习测试题一.选择题二.01.以下列各组数为边长,不能构成直角三角形的是()A.3,4,5 B.1,1,C.8,12,13 D.2.如图所示,△ABC的顶点A、B、C在边长为1的正方形网格的格点上,BD⊥AC于点D,则BD的长为()A.B.C.D.3.如图,字母B所代表的正方形的面积是()A.12 B.144 C.13 D.1944.如图,一个梯子AB长2.5米,顶端A靠在墙AC上,这时梯子下端B与墙角C距离为1.5米,梯子滑动后停在DE的位置上,测得BD长为0.5米,则梯子顶端A下落了()米.A.0.5 B.1 C.1.5 D.25.如图是我国古代数学家赵爽的《勾股圆方图》,它是由四个全等的直角三角形与中间的小正方形拼成的一个大正方形、如果大正方形的面积13,小正方形的面积是1,直角三角形的短直角边为a,较长的直角边为b,那么(a+b)2的值为()A.169 B.25 C.19 D.136.如图①所示,有一个由传感器A控制的灯,要装在门上方离地高4.5m的墙上,任何东西只要移至该灯5m及5m以内时,灯就会自动发光.请问一个身高1.5m的学生要走到离墙多远的地方灯刚好发光?()A.4米B.3米C.5米D.7米7.如图,在四个均由十六个小正方形组成的正方形网格中,各有一个三角形ABC,那么这四个三角形中,不是直角三角形的是()A.B.C.D.8.下列说法中,正确的个数有()①已知直角三角形的面积为2,两直角边的比为1:2,则斜边长为;②直角三角形的最大边长为,最短边长为1,则另一边长为;③在△ABC中,若∠A:∠B:∠C=1:5:6,则△ABC为直角三角形;④等腰三角形面积为12,底边上的高为4,则腰长为5.A.1个B.2个C.3个D.4个9.已知△ABC中,AB=17,AC=10,BC边上的高AD=8,则边BC的长为()A.21 B.15 C.6 D.以上答案都不对10.如图,在△ABC中,∠A=90°,P是BC上一点,且DB=DC,过BC上一点P,作PE ⊥AB于E,PF⊥DC于F,已知:AD:DB=1:3,BC=,则PE+PF的长是()A.B.6 C.D.二.填空题11.如图,在Rt△ABC中,∠C=90°,DE垂直平分AB,连结AD,若AC=6,BC=8,则CD的长为.12.已知:如图,四边形ABDC,AB=4,AC=3,CD=12,BD=13,∠BAC=90°.则四边形ABDC的面积是.13.如图,在四边形ABCD中,∠ADC=∠ABC=45°,CD=,BC=,连接AC、BD,若AC⊥AB,则BD的长度为.14.如图,一架15m长的梯子AB斜靠在一竖直的墙OA上,这时梯子的顶端A离地面距离OA为12m,如果梯子顶端A沿墙下滑3m至C点,那么梯子底端B向外移至D点,则BD的长为m.15.如图,某小区有一块直角三角形绿地,量得直角边AC=4m,BC=3m,考虑到这块绿地周围还有足够多的空余部分,于是打算将这块绿地扩充成等腰三角形,且扩充部分是以AC为一条直角边的直角三角形,则扩充的方案共有种.三.解答题16.已知:如下图,Rt△ABC中,CD⊥AB于D,AC=4,BC=3,DB=.(1)求DC的长;(2)求AD的长;(3)求AB的长.17.《勾股圆方图》是由四个全等的直角三角形与中间的小正方形拼成的一个大正方形(如图(1)).设每个直角三角形中较短直角边为a,较长直角边为b,斜边为c(1)利用图(1)面积的不同表示方法验证勾股定理.(2)实际上还有很多代数恒等式也可用这种方法说明其正确性.试写出图(2)所表示的代数恒等式:;(3)如果图(1)大正方形的面积是13,小正方形的面积是1,求(a+b)2的值.18.如图的一块地(图中阴影部分),∠ADC=90°,AD=12,CD=9,AB=25,BC=20.(1)求∠ACB的度数;(2)求阴影部分的面积.19.如图所示,永定路一侧有A、B两个送奶站,C为永定路上一供奶站,CA和CB为供奶路线,现已测得AC=8km,BC=15km,AC⊥BC,∠1=30°.(1)连接AB,求两个送奶站之间的距离;(2)有一人从点C处出发沿永定路边向右行走,速度为2.5km/h,多长时间后这个人距B 送奶站最近?并求出最近距离.20.如图,平面直角坐标系中的每个小正方形边长为1,△ABC的顶点在网格的格点上.(1)画线段AD∥BC,且使AD=BC,连接BD;此时D点的坐标是.(2)直接写出线段AC的长为,AD的长为,BD的长为.(3)直接写出△ABD为三角形,四边形ADBC面积是.21.如图,有一公路AB和一铁路CD在点A处交汇,且∠BAD=30°,在公路的点P处有一所学校(学校看作点P,点P与公路AB的距离忽略不计),AP=320米,火车行驶时,火车周围200米以内会受到噪音的影响,现有一列动车在铁路CD上沿AD方向行驶,该动车车身长200米,动车的速度为180千米/时,那么在该动车行驶过程中.(1)学校P是否会受到噪声的影响?说明理由;(2)如果受噪声影响,那么学校P受影响的时间为多少秒?,勾股定理参考答案一.选择题1.解:A、32+42=52,故是直角三角形,故此选项不符合题意;B、12+12=()2,故是直角三角形,故此选项不符合题意;C、82+122≠132,故不是直角三角形,故此选项符合题意;D、()2+()2=()2,故是直角三角形,故此选项不符合题意.故选:C.2.解:△ABC的面积=×BC×AE=2,由勾股定理得,AC==,则××BD=2,解得BD=,故选:A.3.解:如图,根据勾股定理我们可以得出:a2+b2=c2a2=25,c2=169,b2=169﹣25=144,因此B的面积是144.故选:B.4.解:在Rt△ABC中,AB=2.5米,BC=1.5米,故AC===2米,在Rt△ECD中,AB=DE=2.5米,CD=(1.5+0.5)米,故EC===1.5米,故AE=AC﹣CE=2﹣1.5=0.5米.故选:A.5.解:∵大正方形的面积13,小正方形的面积是1,∴四个直角三角形的面积和是13﹣1=12,即4×ab=12,即2ab=12,a2+b2=13,∴(a+b)2=13+12=25.故选:B.6.解:由题意可知.BE=CD=1.5m,AE=AB﹣BE=4.5﹣1.5=3m,AC=5m 由勾股定理得CE==4m故离门4米远的地方,灯刚好打开,故选:A.7.解:A、∵AC2=22+42=20,BC2=12+22=5,AB2=32+42=25,∴△ABC是直角三角形,故本选项错误;B、∵AC2=22+32=13,BC2=12+12=2,AB2=22+32=13,∴△ABC不是直角三角形,故本选项正确;C、∵AB2=12+32=10,AC2=22+22=8,BC2=12+12=2,∴△ABC是直角三角形,故本选项错误;D、∵AC2=22+42=20,BC2=22=4,AB2=42=16,∴△ABC是直角三角形,故本选项错误.故选:B.8.解:①、设较短的一个直角边为M,则另一个直角边为2M,所以M×2M=2,解得M =,2M=2.根据勾股定理解得斜边为.所以此项正确;②、根据勾股定理解得,另一边==,所以此项正确;③、设∠A=x,则∠B=5x,∠C=6x.因为x+5x+6x=180°解得x=15°,从而得到三个角分别为15°、75°、90°.即△ABC为直角三角形,所以此项正确;④、已知面积和高则可以得到底边为6,又因为是等腰三角形,则底边上的高也是底边上的中线,则可以得到底边的一半为3.此时再利用勾股定理求得腰长为=5.所以此项正确.所以正确的有四个.故选:D.9.解:在直角三角形ABD中,根据勾股定理,得BD=15;在直角三角形ACD中,根据勾股定理,得CD=6.当AD在三角形的内部时,BC=15+6=21;当AD在三角形的外部时,BC=15﹣6=9.则BC的长是21或9.故选:D.10.【解答】解:(1)作PM⊥AC于点M,可得矩形AEPM∴PE=AM,利用DB=DC得到∠B=∠DCB∵PM∥AB.∴∠B=∠MPC∴∠DCB=∠MPC又∵PC=PC.∠PFC=∠PMC=90°∴△PFC≌△CMP∴PF=CM∴PE+PF=AC∵AD:DB=1:3∴可设AD=x,DB=3x,那么CD=3x,AC=2x,BC=2x∵BC=∴x=2∴PE+PF=AC=2×2=4.(2)连接PD,PD把△BCD分成两个三角形△PBD,△PCD,S=BD•PE,△PBDS=DC•PF,△PCDS=BD•AC,△BCD所以PE+PF=AC=2×2=4.故选:C.二.填空题(共5小题)11.解:∵DE是AB的中垂线,∴DA=DB,设AD=x,则DB=x,CD=BC﹣BD=8﹣x,在Rt△ACD中,∵AC2+CD2=AD2,∴62+(8﹣x)2=x2,解得x=,∴CD=8﹣x=,故答案为:.12.解:连接BC,∵∠A=90°,AB=4,AC=3∴BC=5,∵BC=5,BD=13,CD=12∴BC2+CD2=BD2∴△BCD是直角三角形∴S四边形ABCD=S△BCD+S△ABC=×4×3+×5×12=36,故答案为:3613.解:过A作AE⊥AD,使AE=AD,连接CE,DE,过C作CF⊥AD于F,则△ADE是等腰直角三角形,∵∠ADC=45°,∴△CDF是等腰直角三角形,∴CF=DF=CD=1,∵AC⊥AB,∠ABC=45°,∴△ABC是等腰直角三角形,∴AC=BC=,∴AF==2,∴AD=3,∴DE=AD=3,∵∠BAC=∠DAE=90°,∴∠BAD=∠CAE,在△BAD与△CAE中,,∴△BAD≌△CAE,(SAS),∴CE=BD,∵∠ADE=∠ADC=45°,∴∠CDE=90°,∴CE==2,∴BD=CE=2.故答案为:2.14.解:在Rt△ABO中,∵AB=15m,AO=12m,∴OB===9m.同理,在Rt△COD中,DO===12m,∴BD=OD﹣OB=12﹣9=3(m).故答案是:3.15.解:如图所示:故答案是:3.三.解答题(共6小题)16.解:(1)在Rt△DCB中,DC2+DB2=BC2,∴DC2=9﹣,∴DC=;(2)在Rt△ACD中,AD2+CD2=AC2,∴AD2=16﹣,∴AD=;(3)AB=AD+DB=+=5.17.解:(1)图(1)中的大正方形的面积可以表示为c2,也可表示为(b﹣a)2+4×ab ∴(b﹣a)2+4×ab=c2化简得b2﹣2ab+b2+2ab=c2∴当∠C=90°时,a2+b2=c2;(2)(x+y)(x+2y)=x2+3xy+2y2故填:(x+y)(x+2y)=x2+3xy+2y2(3)依题意得则2ab=12∴(a+b)2=a2+b2+2ab=13+12=25,即(a+b)2=25.18.解:在Rt△ADC中,∵AD=12,CD=9,∴AC2=AD2+CD2=122+92=225,∴AC=15(取正值).在△ABC中,∵AC2+BC2=152+202=625,AB2=252=625.∴AC2+BC2=AB2,∴△ACB为直角三角形,∠A CB=90°.(2)S阴影=AC×BC﹣AD×CD=×15×20﹣×12×9=96.答:阴影部分的面积为96.19.解:(1)∵AC=8km,BC=15km,AC⊥BC,∴A C2+BC2=AB2,AB=km,(2)过B作BD⊥永定路于D,∵△ABC是直角三角形,且∠ACB=90°,∵∠1=30°,∴∠BCD=180°﹣90°﹣30°=60°,在Rt△BCD中,∵∠BCD=60°,∴∠CBD=30°,∴CD=BC==7.5(km),∵7.5÷2.5=3(h),∴3小时后这人距离B送奶站最近.最近距离为km.20.解:(1)如图所示:D点的坐标是(0,﹣4);(2)线段AC的长为=,AD的长为=2,BD的长为=.(3)∵AB==5,AD=2,BD=,(2)2+()2=(5)2,∴△ABD为直角三角形,四边形ADBC面积是2×=20.故答案为:(0,﹣4);,2,;直角,20.21.解:(1)如图作PH⊥CD于H.在Rt△APH中,∵∠PAH=30°,PA=320m,∴PH=PA=160m,∵160<200,∴学校P会受到噪声的影响.(2)当PE=PF=200时,动车在线段EF上时,受噪声影响,∵EF=2FH==240m,180千米/时=50米/秒∵=8.8秒,答:学校P受影响的时间为8.8秒.二次根式详解详析1.B [解析] ①的被开方数是负数,不是二次根式.②符合二次根式的定义,是二次根式.③m,n同号,且n≠0,则被开方数是非负数,是二次根式.④因为x2≥0,所以x2+1>0,被开方数是正数,是二次根式.⑤的根指数不是2,所以不是二次根式.2.B [解析] 由题意得⎩⎪⎨⎪⎧x +1≥0,(x -3)2≠0, 解得x ≥-1且x ≠3.3.D [解析] (1)根据“( a )2=a (a ≥0)”可知( 2)2=2成立;(2)根据“ a 2=||a ”可知 (-2)2=2成立;(3)根据“(ab )2=a 2b 2”可知,计算(-2 3)2,可将-2和 3分别平方后,再相乘,所以这个结论正确;(4)根据“(a +b )(a -b )=a 2-b 2”,( 2+3)( 2- 3)=( 2)2-( 3)2=2-3=-1.4.A5.B [解析] ∵75=25×3,∴使75n 是整数的正整数n 的最小值是3.故选B. 6.C7.A [解析] 原式=(a -b )22a ·a a -b =a -b 2,把a -b =2 3代入,原式=2 32=3,故选A.8.D [解析] ∵a =5,∴(1-a )2=|1-a |=a -1.9.2-a 10. 311.(x +5)(x -5) 12. 2 13.(1)26 (2)36 (3)22(4)3+1 14.(5 2+2 3) [解析] 8+12+18=2 2+2 3+3 2=(5 2+23)cm.15.3 13-9 [解析] 根据题意,得a =3,b =13-3,所以ab =3()13-3= 3 13-9.16.1 [解析] 把5,2,1代入三角形的面积公式得S =14[5×4-(5+4-12)2]=14(20-16)=1,故填1. 17.解:(1)原式=2(2 3+2 5)-3 3+3 5 =4 3+4 5-3 3+3 5 =3+7 5. (2)原式=3×15+ 5 3- 25×15-10 `5-[](10)2-2×10×2+(2)2=3 5+5 3-10 3-10 5-10+4 5-2=-3 5-5 3-12.18.解:(1)原式=ab (a +b ).当a =7+2,b =7-2时,原式=6 7. (2)原式=(a +b )(a -b ).当a =7+2,b =7-2时,原式=8 7.19.解:原式=1(x +1)2·x +2x -1·(x +1)(x -1)x +2=1x +1. 当x =2 5-1时, 原式=12 5-1+1=510.20.解:不够用.理由如下: 焊成三个面积分别为2平方米、18平方米、32平方米的正方形铁框所需的钢材的总长是4(2+18+32)=4(2+3 2+4 2)=32 2(米),(32 2)2=2048,452=2025. ∵2048>2025,∴王师傅的钢材不够用.21.解:(1)m 2+3n 22mn(2)答案不唯一,如:4 2 1 1(3)根据题意,得⎩⎪⎨⎪⎧a =m 2+3n 2,4=2mn .∵2mn =4,且m ,n 为正整数,∴m =2,n =1或m =1,n =2, ∴a =7或a =13.平行四边形答案:所以D 是错误的.故选D .2、解:菱形对角线不相等,矩形对角线不垂直,也不平分一组对角,故答案应为对角线互相平分,故选B .3、解:∵▱ABCD 的周长是28cm ,∴AB+BC=14cm,∵AB+BC+AC=22cm,∴AC=22﹣14=8 cm.故选D.4、解:∵平行四边形ABCD∴OA=OC=6,OB=OD=5∵在△OAB中:OA﹣OB<AB<OA+OB∴1<m<11.故选C.5、解:∵ABCD是平行四边形∴AD=BC,AB=CD,AO=CO,BO=DO∵∠AOB=∠COD,∠AOD=∠COB∴△ABO≌△CDO,△ADO≌△CBO(ASA)∵BD=BD,AC=AC∴△ABD≌△CDB,△ACD≌△CAB(SAS)∴共有四对.故选D.6、解:根据菱形的性质可得较短的对角线与菱形的两边组成一个等边三故选D.8、解:由已知可得,菱形的边长为5cm,两邻角分别为60°,120°.又菱形的对角线互相垂直平分,且每一条对角线平分一组对角,可得30°的角,所对边为2.5cm,则此条对角线长5cm.根据勾股定理可得,另一对角线长的一半为cm,则较长的对角线长为5cm.故本题选C.9、解:矩形的四个角平分线将矩形的四个角分成8个45°的角,因此形成的四边形每个角是90°.又知两条角平分线与矩形的一边构成等腰直角三角形,所以这个四边形邻边相等,根据有一组邻边相等的矩形是正方形,得到该四边形是正方形,故选A.∴△DEF的周长为△EAF的周长,即AE+EF+AF=(AB+BC+AC)=(12+10+9)=15.5.故选D.第二卷非选择题二、填空题(每小题3分,共24分)11、解:设这个正方形的边长为xcm,则根据正方形的性质可知:x2+x2=42=16,解可得x=2cm;则它的面积是x2=8cm2,故答案为8cm2.12、解:菱形的两条对角线分别是6cm,8cm,得到两条对角线相交所构成的直角三角形的两直角边是×6=3cm和×8=4cm,那么它的斜边即菱形的边长=5cm,面积为6×8×=24cm2.故答案为5,24.∴∠CAB=30°∴PA=2EP∵AB=2,E是AB的中点∴AE=1在Rt△APE中,PA2﹣PE2=1∴PE=,PA=∴PE+PB=PE+PA=.故答案为.所以S1=S2.故答案为S1=S2.17、解:∵Rt△ABC的周长是4+4,斜边上的中线长是2,∴斜边长为4,设两个直角边的长为x,y,则x+y=4,x2+y2=16,解得:xy=8,∴S△ABC=xy=4.18、解:连接BD和AA2,∵四边形ABA2D和四边形A1EFC都是正方形,∴DA1=A1A2,∠A1DN=∠A1A2M=45°,∠DA1A2=∠NA1M=90°,∴∠DA1N=∠A2A1M,∵在△DA1N和△A2A1M中∠A1DN=∠A1A2M,DA1=A1A2,∠DA1N=∠A2A1M,∴△DA1N≌△A2A1M,即四边形MA1NA2的面积等于△DA1A2的面积,也等于正方形ABA2D的面积的,同理得出,其余的阴影部分的面积都等于正方形面积的,则这七个正方形重叠形成的重叠部分的面积是6××12=,故答案为:.三、解答题(共7小题,共66分)∴∠BAD=∠DAC,∵AN是△ABC外角∠CAM的平分线,∴∠MAE=∠CAE,∵四边形ADCE为矩形,∴矩形ADCE是正方形.∴当∠BAC=90°时,四边形ADCE是一个正方形.22、证明:∵DE∥AC,DF∥AB,∴四边形AEDF为平行四边形.又∵∠1=∠2,而∠2=∠3,∴∠1=∠3,∴AE=DE.∴▱AEDF为菱形.∴AD⊥EF.23、(1)证明:∵E是AD的中点,∴AE=DE.∵AF∥BC,∴∠FAE=∠BDE,∠AFE=∠DBE.∴△AFE≌△DBE.∴AF=BD.∵AF=DC,∴BD=DC.即:D是BC的中点.(4分)(2)解:四边形ADCF是矩形;∴∠ADB=∠CDB;(2)∵PM⊥AD,PN⊥CD,∠ADB=∠CDB,∴∠PMD=∠PND=90°,PM=PN,∵∠ADC=90°,∴四边形MPND是矩形,∵PM=PN,∴四边形MPND是正方形.25、证明:(1)∵CE平分∠ACB,∴∠ACE=∠BCE.∵MN∥BC,∴∠PEC=∠BCE.∴∠ACE=∠PEC,PE=PC.同理:PF=PC.∴PE=PF.。
人教版八年级数学下册期末测试卷(二)一.选择题(共10小题,满分30分,每小题3分)1.(3分)已知|a|=5,=7,且|a+b|=a+b,则a﹣b的值为()A.2或12B.2或﹣12C.﹣2或12D.﹣2或﹣12 2.(3分)一组数据3、2、1、2的方差是()A.0.25B.0.5C.1D.23.(3分)已知在四边形ABCD中,AB∥CD,添加下列一个条件后,一定能判定四边形ABCD 是平行四边形的是()A.AD=BC B.AC=BD C.∠A=∠C D.∠A=∠B 4.(3分)已知关于x的一次函数y=(k2+1)x﹣2图象经过点A(3,m)、B(﹣1,n),则m,n的大小关系为()A.m≥n B.m>n C.m≤n D.m<n5.(3分)一水池放水,先用一台抽水机工作一段时间后停止,然后再调来一台同型号抽水机,两台抽水机同时工作直到抽干.设从开始工作的时间为t,剩下的水量为s.下面能反映s与t之间的关系的大致图象是()A.B.C.D.6.(3分)函数y=+(x﹣5)﹣2中自变量x的取值范围是()A.x≥3且x≠5B.x>3且x≠5C.x<3且x≠5D.x≤3且x≠5 7.(3分)在光明中学组织的全校师生迎“五四”诗词大赛中,来自不同年级的25名参赛同学的得分情况如图所示.这些成绩的中位数和众数分别是()A.96分、98分B.97分、98分C.98分、96分D.97分、96分8.(3分)下列各组线段中,不能构成直角三角形的是()A.1、、B.、、C.2、、D.1、2、9.(3分)如图,在矩形ABCD中,点M从点B出发沿BC向点C运动,点E、F分别是AM、MC的中点,则EF的长随着M点的运动()A.不变B.变长C.变短D.先变短再变长10.(3分)如图,在直角三角形ABC中,∠ACB=90°,AC=3,BC=4,点M是边AB 上一点(不与点A,B重合),作ME⊥AC于点E,MF⊥BC于点F,若点P是EF的中点,则CP的最小值是()A.1.2B.1.5C.2.4D.2.5二.填空题(共6小题,满分18分,每小题3分)11.(3分)计算(+2)2的结果等于.12.(3分)如图,把一张平行四边形纸片ABDC沿BC对折,使点D落在E处,BE与AC 相交于点O,若∠DBC=15°,则∠BOC=度.13.(3分)李刚师范大学毕业后参加了某市教育局组织的教师招聘考试,这次考试包括笔试、面试两项,其笔试、面试成绩按3:7的比例确定各人的最终成绩.考试结束后他笔试、面试的成绩分别为90分、96分,那么李刚参加这次招聘考试的最终成绩为分.14.(3分)已知直线y=kx+b在y轴上的截距为3,且经过点(1,4),那么这条直线的表达式为.15.(3分)如图,E,F,M分别是正方形ABCD三边的中点,CE与DF交于N,连接AM,AN,MN对于下列四个结论:①AM∥CE;②DF⊥CE;③AN=BC;④∠AND=∠CMN.其中正确的是.(填序号)16.(3分)如图,在边长为6的等边△ABC中,D为AC上一点,AD=2,P为BD上一点,连接CP,以CP为边,在PC的右侧作等边△CPQ,连接AQ交BD延长线于E,当△CPQ面积最小时,QE=.三.解答题(共8小题,满分72分)17.(8分)计算:(1)﹣﹣;(2)×÷;(3)(﹣3)÷2.18.(8分)元旦期间,小黄自驾游去了离家156千米的黄石矿博园,右图是小黄离家的距离y(千米)与汽车行驶时间x(小时)之间的函数图象.(1)求小黄出发0.5小时时,离家的距离;(2)求出AB段的图象的函数解析式;(3)小黄出发1.5小时时,离目的地还有多少千米?19.(8分)如图,一次函数y1=﹣x+m的图象与x轴和y轴分别交于点A和点B,与正比例函数y2=﹣x图象交于点C(﹣2,n).(1)求m和n的值;(2)求△OAC的面积;(3)问:在y轴上,是否存在一点P,使得S△BCP=S△OAC?若存在,直接写出点P的坐标;若不存在,请说明理由.20.(10分)如图,在▱ABCD中,∠BAD,∠ADC的平分线AF,DE分别与线段BC交于点F,E,AF与DE交于点G.(1)求证:AF⊥DE,BF=CE.(2)若AD=10,AB=6,AF=8,求DE的长度.21.(8分)某工厂生产某种产品,3月份的产量为6000件,4月份的产量为9000件.用简单随机抽样的方法分别抽取这两个月生产的该产品若干件进行检测,并将检测结果分别绘制成如图所示的扇形统计图和频数直方图(每组不含前一个边界值,含后一个边界值).已知检测综合得分大于70分的产品为合格产品.(1)4月份随机抽取的若干件产品中位数在组;(2)4月份生产的该产品抽样检测的合格率是;(3)在3月份和4月份生产的产品中,估计哪个月的不合格件数多?为什么?22.(8分)如图,在△ABC中,AB=AC,∠ABC的角平分线交AC于点D,过点A作AE ∥BC交BD的延长线于点E.(1)若∠BAC=50°,求∠E的度数.(2)若F是DE上的一点,且AD=AF,求证:BF=DE.23.(10分)(1)观察猜想:如图1,在△ABC中,tan B=1,AB=AC=3,AD是∠BAC的平分线,以CD为一边作正方形CDEF,点E与点A重合,则=.(2)类比探究:在(1)的条件下,如果正方形CDEF绕点C旋转,连接BE、CE、AF,(1)中的结论是否成立?请按图2加以证明.(3)问题解决:当正方形CDEF旋转到B、E、F三点共线时,请直接写出线段AF的长.24.(12分)如图,平面直角坐标系xOy中,直线y=﹣x+3交x轴于点A,交y轴于点B,点P是线段OA上一动点(不与点A重合),过点P作PC⊥AB于点C.(1)当点P是OA中点时,求△APC的面积;(2)连接BP,若BP平分∠ABO,求此时点P的坐标;(3)设点D是x轴上方的坐标平面内一点,若以点O,B,C,D为顶点的四边形是菱形,求点D的坐标及此时OP的长.2021年人教版八年级数学下册期末测试卷(二)参考答案与试题解析一.选择题(共10小题,满分30分,每小题3分)1.(3分)已知|a|=5,=7,且|a+b|=a+b,则a﹣b的值为()A.2或12B.2或﹣12C.﹣2或12D.﹣2或﹣12【分析】首先分别根据绝对值的和算术平方根的定义可求出a,b的值,然后把a,b的值代入|a+b|=a+b中,最终确定a,b的值,然后求解.【解答】解:∵|a|=5,∴a=±5,∵=7,∴b=±7,∵|a+b|=a+b,∴a+b>0,所以当a=5时,b=7时,a﹣b=5﹣7=﹣2,当a=﹣5时,b=7时,a﹣b=﹣5﹣7=﹣12,所以a﹣b的值为﹣2或﹣12.故选:D.【点评】此题主要考查了绝对值的意义:即正数的绝对值是它本身,负数的绝对值是它的相反数,0的绝对值还是0.也利用了算术平方根的定义.2.(3分)一组数据3、2、1、2的方差是()A.0.25B.0.5C.1D.2【分析】先求出这组数据的平均数,然后代入方差公式求出即可.【解答】解:这组数据的平均数为:(3+2+1+2)÷4=2;则方差为:S2==,故选:B.【点评】此题主要考查了方差的有关知识,正确的求出平均数,并正确代入方差公式是解决问题的关键.3.(3分)已知在四边形ABCD中,AB∥CD,添加下列一个条件后,一定能判定四边形ABCD 是平行四边形的是()A.AD=BC B.AC=BD C.∠A=∠C D.∠A=∠B【分析】利用平行线的判定与性质结合平行四边形的判定得出即可.【解答】解:如图所示:∵AB∥CD,∴∠B+∠C=180°,当∠A=∠C时,则∠A+∠B=180°,故AD∥BC,则四边形ABCD是平行四边形.故选:C.【点评】此题主要考查了平行线的判定与性质以及平行四边形的判定,得出AD∥BC是解题关键.4.(3分)已知关于x的一次函数y=(k2+1)x﹣2图象经过点A(3,m)、B(﹣1,n),则m,n的大小关系为()A.m≥n B.m>n C.m≤n D.m<n【分析】由偶次方非负可得出k2+1>0,利用一次函数的性质可得出y值随x值的增大而增大,再结合3>﹣1可得出m>n,此题得解.【解答】解:∵k2≥0,∴k2+1>0,∴y值随x值的增大而增大.又∵3>﹣1,∴m>n.故选:B.【点评】本题考查了一次函数的性质,牢记“k>0,y随x的增大而增大;k<0,y随x 的增大而减小”是解题的关键.5.(3分)一水池放水,先用一台抽水机工作一段时间后停止,然后再调来一台同型号抽水机,两台抽水机同时工作直到抽干.设从开始工作的时间为t,剩下的水量为s.下面能反映s与t之间的关系的大致图象是()A.B.C.D.【分析】根据抽水时间的增加,剩下的水量逐渐减少;停止时剩下的水量不变,两台抽水机同时工作抽水速度增大,剩下的水量迅速减少,可得答案.【解答】解:由题意,随着抽水时间的增加,剩下的水量逐渐减少;停止时剩下的水量不变,两台抽水机同时工作抽水速度增大,剩下的水量迅速减少,可得答案.故选:D.【点评】本题考查了函数图象,利用抽水时间确定剩下的水量是解题关键,注意两台抽水机同时工作的剩余水量迅速减少.6.(3分)函数y=+(x﹣5)﹣2中自变量x的取值范围是()A.x≥3且x≠5B.x>3且x≠5C.x<3且x≠5D.x≤3且x≠5【分析】根据二次根式的性质和分式的意义,被开方数大于或等于0,分母不等于0,可以求出x的范围.【解答】解:依题意有x﹣3>0且x﹣5≠0,解得:x>3且x≠5.故选:B.【点评】本题考查了函数自变量的取值范围,函数自变量的范围一般从三个方面考虑:当函数表达式是整式时,自变量可取全体实数;当函数表达式是分式时,考虑分式的分母不能为0;当函数表达式是二次根式时,被开方数非负.7.(3分)在光明中学组织的全校师生迎“五四”诗词大赛中,来自不同年级的25名参赛同学的得分情况如图所示.这些成绩的中位数和众数分别是()A.96分、98分B.97分、98分C.98分、96分D.97分、96分【分析】利用众数和中位数的定义求解.【解答】解:98出现了9次,出现次数最多,所以数据的众数为98分;共有25个数,最中间的数为第13数,是96,所以数据的中位数为96分.故选:A.【点评】本题考查了众数:一组数据中出现次数最多的数据叫做众数.也考查了中位数.8.(3分)下列各组线段中,不能构成直角三角形的是()A.1、、B.、、C.2、、D.1、2、【分析】由勾股定理的逆定理,只要验证两小边的平方和等于最长边的平方即可.【解答】解:A、12+()2=()2,故能构成直角三角形;B、()2+()2=()2,故能构成直角三角形;C、22+()2≠()2,故不能构成直角三角形;D、12+()2=22,故能构成直角三角形.故选:C.【点评】本题考查勾股定理的逆定理的应用.判断三角形是否为直角三角形,已知三角形三边的长,只要利用勾股定理的逆定理加以判断即可.9.(3分)如图,在矩形ABCD中,点M从点B出发沿BC向点C运动,点E、F分别是AM、MC的中点,则EF的长随着M点的运动()A.不变B.变长C.变短D.先变短再变长【分析】证明EF为三角形AMC的中位线,那么EF长恒等于定值AC的一半.【解答】解:连接AC,如图所示:∵E,F分别是AM,MC的中点,∴EF=AC,∵C是定点,∴AC是定长,∴无论M运动到哪个位置EF的长不变,故选:A.【点评】此题考查的是进行的性质、三角形中位线的性质,即三角形的中位线平行于第三边且等于第三边的一半.10.(3分)如图,在直角三角形ABC中,∠ACB=90°,AC=3,BC=4,点M是边AB 上一点(不与点A,B重合),作ME⊥AC于点E,MF⊥BC于点F,若点P是EF的中点,则CP的最小值是()A.1.2B.1.5C.2.4D.2.5【分析】先由勾股定理求出AB=5,再证四边形CEMF是矩形,得EF=CM,当CM⊥AB时,CM最短,此时EF也最小,则CP最小,然后由三角形面积求出CM=2.4,即可得出答案.【解答】解:连接CM,如图所示:∵∠ACB=90°,AC=3,BC=4,∴AB===5,∵ME⊥AC,MF⊥BC,∠ACB=90°,∴四边形CEMF是矩形,∴EF=CM,∵点P是EF的中点,∴CP=EF,当CM⊥AB时,CM最短,此时EF也最小,则CP最小,∵△ABC的面积=AB×CM=AC×BC,∴CM===2.4,∴CP=EF=CM=1.2,故选:A.【点评】本题考查了矩形的判定与性质、勾股定理、三角形面积以及最小值等知识;熟练掌握矩形的判定与性质是解题的关键.二.填空题(共6小题,满分18分,每小题3分)11.(3分)计算(+2)2的结果等于7+4.【分析】根据完全平方公式可以解答本题.【解答】解:(+2)2=3+4+4=7+4,故答案为:7+4.【点评】本题考查二次根式的混合运算,解答本题的关键是明确二次根式的混合运算的计算方法.12.(3分)如图,把一张平行四边形纸片ABDC沿BC对折,使点D落在E处,BE与AC 相交于点O,若∠DBC=15°,则∠BOC=150度.【分析】由折叠易得∠OCB=∠DBC=15°,由平行四边形对边平行易得∠ACB=∠DBC =15°,利用三角形内角和即可求得所求的角的度数.【解答】解:∵△BEC是△BDC翻折变换的三角形,∴△BEC≌△BDC,∠EBC=∠DBC=15°,∵AC∥BD,∴∠OCB=∠DBC=15°,∴∠BOC=180°﹣∠OCB﹣∠EBC=180°﹣15°﹣15°=150°.故答案为150.【点评】本题考查的是经过翻折变换后的图形与原图形全等的性质,及平行四边形的性质.13.(3分)李刚师范大学毕业后参加了某市教育局组织的教师招聘考试,这次考试包括笔试、面试两项,其笔试、面试成绩按3:7的比例确定各人的最终成绩.考试结束后他笔试、面试的成绩分别为90分、96分,那么李刚参加这次招聘考试的最终成绩为94.2分.【分析】根据笔试和面试所占的权重以及笔试成绩和面试成绩,列出算式,进行计算即可.【解答】解:李刚参加这次招聘考试的最终成绩为=94.2(分).故答案为:94.2.【点评】此题考查了加权平均数,关键是根据加权平均数的计算公式列出算式,用到的知识点是加权平均数.14.(3分)已知直线y=kx+b在y轴上的截距为3,且经过点(1,4),那么这条直线的表达式为y=x+3.【分析】根据“在y轴上的截距为3”计算求出b值,然后代入点(1,4)即可得解.【解答】解:∵直线y=kx+b在y轴上的截距为3,∴b=3,∴y=kx+3,∵经过点(1,4),∴4=k+3,∴k=1,∴这条直线的解析式是y=x+3.故答案是:y=x+3.【点评】本题考查了待定系数法求一次函数解析式,一次函数图象上点的坐标特征,熟练掌握待定系数法是解题的关键.15.(3分)如图,E,F,M分别是正方形ABCD三边的中点,CE与DF交于N,连接AM,AN,MN对于下列四个结论:①AM∥CE;②DF⊥CE;③AN=BC;④∠AND=∠CMN.其中正确的是①②③.(填序号)【分析】①通过证明四边形AMCE是平行四边形,可得AM∥CE;②由“SAS”可证△DCF≌△CBE,可得∠BCE=∠CDF,由直角三角形的性质可求∠CND=90°;③由直角三角形的性质可得DM=MN,由等腰三角形的性质可得AM垂直平分DN,可得AN=AD=BC;④由等腰三角形的性质和余角的性质可得∠ADN=∠DCN=∠AND=∠CNM,即可求解.【解答】解:∵E,F,M分别是正方形ABCD三边的中点,∴AE=BE=BF=CF=DM=CM,CD∥AB,∴四边形AMCE是平行四边形,∴AM∥CE,故①正确;在△DCF和△CBE中,,∴△DCF≌△CBE(SAS),∴∠BCE=∠CDF,∵∠DCE+∠BCE=90°,∴∠CDF+∠DCN=90°,∴∠CND=90°,∴DF⊥CE,故②正确;∵DF⊥CE,DM=CM,∴DM=MN=CM,∵AM∥CE,∴AM⊥DN,∴AM垂直平分DN,∴AD=AN,∴AN=BC,故③正确;∵AN=BC,∴∠ADN=∠AND,∵DM=MN=CM,∴∠DNM=∠NDM,∠MCN=∠MNC,∵∠ADN+∠CDN=90°,∠CDN+∠DCN=90°,∴∠ADN=∠DCN=∠AND=∠CNM,故④错误,故答案为:①②③.【点评】本题考查了正方形的性质,全等三角形的判定与性质,等腰三角形的性质以及垂直平分线的性质等知识.此题综合性很强,难度较大,解题的关键是注意数形结合思想的应用.16.(3分)如图,在边长为6的等边△ABC中,D为AC上一点,AD=2,P为BD上一点,连接CP,以CP为边,在PC的右侧作等边△CPQ,连接AQ交BD延长线于E,当△CPQ面积最小时,QE=.【分析】如图,过点D作DF⊥BC于F,由“SAS”可证△ACQ≌△BCP,可得AQ=BP,∠CAQ=∠CBP,由直角三角形的性质和勾股定理可求BD的长,由锐角三角函数可求BP的长,由相似三角形的性质可求AE的长,即可求解.【解答】解:如图,过点D作DF⊥BC于F,∵△ABC,△PQC是等边三角形,∴BC=AC,PC=CQ,∠BCA=∠PCQ=60°,∴∠BCP=∠ACQ,且AC=BC,CQ=PC,∴△ACQ≌△BCP(SAS)∴AQ=BP,∠CAQ=∠CBP,∵AC=6,AD=2,∴CD=4,∵∠ACB=60°,DF⊥BC,∴∠CDF=30°,∴CF=CD=2,DF=CF=2,∴BF=4,∴BD===2,∵△CPQ是等边三角形,∴S△CPQ=CP2,∴当CP⊥BD时,△CPQ面积最小,∴cos∠CBD=,∴,∴BP=,∴AQ=BP=,∵∠CAQ=∠CBP,∠ADE=∠BDC,∴△ADE∽△BDC,∴,∴,∴AE=,∴QE=AQ﹣AE=.【点评】本题考查了全等三角形的判定和性质,等边三角形的性质,锐角三角函数,相似三角形的判定和性质,直角三角形的性质,勾股定理等知识,求出BP的长是本题的关键.三.解答题(共8小题,满分72分)17.(8分)计算:(1)﹣﹣;(2)×÷;(3)(﹣3)÷2.【分析】(1)先化简二次根式,再合并同类二次根式;(2)按二次根式的乘除法法则计算求值即可;(3)先算括号里面的,再除法运算.【解答】解:(1)原式=3﹣×3﹣2=﹣;(2)原式===;(3)原式=(4﹣9)÷2==﹣.【点评】本题考查了二次根式的混合运算,掌握二次根式的运算法则是解决本题的关键.18.(8分)元旦期间,小黄自驾游去了离家156千米的黄石矿博园,右图是小黄离家的距离y(千米)与汽车行驶时间x(小时)之间的函数图象.(1)求小黄出发0.5小时时,离家的距离;(2)求出AB段的图象的函数解析式;(3)小黄出发1.5小时时,离目的地还有多少千米?【分析】(1)先运用待定系数法求出OA的解析式,再将x=0.5代入,求出y的值即可;(2)设AB段图象的函数表达式为y=k′x+b,将A、B两点的坐标代入,运用待定系数法即可求解;(3)先将x=1.5代入AB段图象的函数表达式,求出对应的y值,再用156减去y即可求解.【解答】解:(1)设OA段图象的函数表达式为y=kx.∵当x=0.8时,y=48,∴0.8k=48,∴k=60.∴y=60x(0≤x≤0.8),∴当x=0.5时,y=60×0.5=30.故小黄出发0.5小时时,离家30千米;(2)设AB段图象的函数表达式为y=k′x+b.∵A(0.8,48),B(2,156)在AB上,,解得,∴y=90x﹣24(0.8≤x≤2);(3)∵当x=1.5时,y=90×1.5﹣24=111,∴156﹣111=45.故小黄出发1.5小时时,离目的地还有45千米.【点评】本题考查了一次函数的应用及一次函数解析式的确定,解题的关键是通过仔细观察图象,从中整理出解题时所需的相关信息,本题较简单.19.(8分)如图,一次函数y1=﹣x+m的图象与x轴和y轴分别交于点A和点B,与正比例函数y2=﹣x图象交于点C(﹣2,n).(1)求m和n的值;(2)求△OAC的面积;(3)问:在y轴上,是否存在一点P,使得S△BCP=S△OAC?若存在,直接写出点P的坐标;若不存在,请说明理由.【分析】(1)直接利用待定系数法可先确定n的值,然后再把C的坐标代入一次函数y =﹣x+m可得m的值;(2)首先确定A点坐标,进而可得AO的长,再集合C点坐标可得△OAC的面积;(3)根据题意可得S△BCP=PB•|x C|=S△OAC=6,解出PB的值,进而可得P点的坐标.【解答】解:(1)∵点C(﹣2,n)在正比例函数y2=﹣x图象上,∴n=﹣×(﹣2)=3,∴点C的坐标为(﹣2,3).∵点C(﹣2,3)在一次函数y=﹣x+m的图象上,∴3=﹣(﹣2)+m,解得:m=2,∴一次函数解析式为y=﹣x+2.∴m的值为2,n的值为3.(2)当y=0时,0=﹣x+2,解得x=4,∴点a的坐标为(4,0),∴S△OAC=OA•y C=×4×3=6.(3)存在.当x=0时,y=﹣x+2=2,∴B(0,2),∵S△BCP=PB•|x C|=S△OAC=6,∴PB•2=6,∴PB=6,∴点P的坐标为(0,8)或(0,﹣4).【点评】此题主要考查了两直线相交问题,关键是掌握待定系数法求函数解析式,掌握凡是函数图象经过的点必能满足解析式.20.(10分)如图,在▱ABCD中,∠BAD,∠ADC的平分线AF,DE分别与线段BC交于点F,E,AF与DE交于点G.(1)求证:AF⊥DE,BF=CE.(2)若AD=10,AB=6,AF=8,求DE的长度.【分析】(1)根据平行四边形的性质和平行线的性质得到∠BAD+∠ADC=180°;然后根据角平分线的性质推知∠DAE+∠ADF=∠BAD+∠ADC=90°,即∠AGD=90°.证得∠BAF=∠AFB,由等腰三角形的判定可得出AB=BF,同理可得CD=CE,则可得出结论;(2)过点C作CK∥AF交AD于K,交DE于点I,证明四边形AFCK是平行四边形,∠AGD=∠KID=90°,得出AF=CK=8,由勾股定理求出DI,则可得出答案.【解答】(1)证明:在平行四边形ABCD中,AB∥DC,∴∠BAD+∠ADC=180°.∵AE,DF分别是∠BAD,∠ADC的平分线,∴∠DAE=∠BAE=∠BAD,∠ADF=∠CDF=∠ADC.∴∠DAE+∠ADF=∠BAD+∠ADC=90°.∴∠AGD=90°.∴AE⊥DF.∵四边形ABCD是平行四边形,∴AD∥BC,AB=CD,∴∠DAF=∠AFB,又∵∠DAF=∠BAF,∴∠BAF=∠AFB,∴AB=BF,同理可得CD=CE,∴BF=CE;(2)解:过点C作CK∥AF交AD于K,交DE于点I,∵AK∥FC,AF∥CK,∴四边形AFCK是平行四边形,∠AGD=∠KID=90°,∴AF=CK=8,∵∠KDI+∠DKI=90°,∠DIC+∠DCI=90°,∠IDK=∠IDC,∴∠DKI=∠DCI,∴DK=DC=6,∴KI=CI=4,∵AD∥BC,∴∠ADE=∠DEC=∠CDE,∴CE=CD,∵CI⊥DE,∴EI=DI,∵DI===2,∴DE=2DI=4.【点评】本题考查了平行四边形的判定与性质,平行线的性质,等腰三角形的判定与性质,勾股定理,熟练掌握平行四边形的判定与性质是解题的关键.21.(8分)某工厂生产某种产品,3月份的产量为6000件,4月份的产量为9000件.用简单随机抽样的方法分别抽取这两个月生产的该产品若干件进行检测,并将检测结果分别绘制成如图所示的扇形统计图和频数直方图(每组不含前一个边界值,含后一个边界值).已知检测综合得分大于70分的产品为合格产品.(1)4月份随机抽取的若干件产品中位数在80<x≤90组;(2)4月份生产的该产品抽样检测的合格率是98.4%;(3)在3月份和4月份生产的产品中,估计哪个月的不合格件数多?为什么?【分析】(1)根据频数分布直方图中的数据,可以得到4月份随机抽取的若干件产品中位数在哪一组;(2)根据频数分布直方图中的数据,可以得到4月份生产的该产品抽样检测的合格率;(3)根据统计图中的数据,可以分别计算出3月和4月不合格的件数,然后比较大小即可解答本题.【解答】解:(1)4月份随机抽取的产品数为:8+132+160+200=500,则4月份随机抽取的若干件产品中位数在80<x≤90这一组,故答案为:80<x≤90;(2)4月份生产的该产品抽样检测的合格率为:×100%=98.4%,故答案为:98.4%;(3)4月的不合格件数多,理由:由题意可得,3月的不合格件数为:6000×2%=120,4月的不合格件数为:9000×(1﹣98.4%)=144,∵144>120,∴4月的不合格件数多.【点评】本题考查频数分布直方图、扇形统计图、用样本估计总体,解答本题的关键是明确题意,利用数形结合的思想解答.22.(8分)如图,在△ABC中,AB=AC,∠ABC的角平分线交AC于点D,过点A作AE ∥BC交BD的延长线于点E.(1)若∠BAC=50°,求∠E的度数.(2)若F是DE上的一点,且AD=AF,求证:BF=DE.【分析】(1)根据等腰三角形两底角相等,已知顶角,可以求出底角,再根据角平分线的定义求出∠CBD的度数,最后根据两直线平行,内错角相等求出;(2)根据AAS先证明△ABD≌△AEF,根据全等三角形的对应边相等得出BD=EF,再根据等式的基本性质证出BF=DE.【解答】解:(1)∵AB=AC,∴∠ABC=∠ACB,∵∠BAC=50°,∴∠ABC=(180°﹣∠BAC)=65°,∵BD平分∠ABC,∴∠CBD=∠ABC=32.5°,∵AE∥BC,∴∠E=∠CBD=32.5°.(2)∵BD平分∠ABC,∴∠ABD=∠CBD,∵AE∥BC,∴∠AEF=∠CBD,∴∠ABD=∠AEF,∵AD=AF,∴∠ADF=∠AFD,∵∠ADB=180°﹣∠ADF,∠AFE=180°﹣∠AFD,∴∠ADB=∠AFE,在△ABD与△AEF中,,∴△ABD≌△AEF(AAS),∴BD=EF,∴BD+DF=EF+DF,∴BF=DE.【点评】本题考查了等腰三角形的性质,平行线的性质,角平分线的定义,三角形全等,考核学生的推理能力,证明三角形全等是解题的关键.23.(10分)(1)观察猜想:如图1,在△ABC中,tan B=1,AB=AC=3,AD是∠BAC的平分线,以CD为一边作正方形CDEF,点E与点A重合,则=.(2)类比探究:在(1)的条件下,如果正方形CDEF绕点C旋转,连接BE、CE、AF,(1)中的结论是否成立?请按图2加以证明.(3)问题解决:当正方形CDEF旋转到B、E、F三点共线时,请直接写出线段AF的长.【分析】(1)先判断出△ABD为等腰直角三角形,进而得出AB=AD,即可得出结论;(2)先利用三角函数得出,证明夹角相等即可得出△ACF∽△BCE,进而得出结论;(3)分两种情况计算,当点E在线段BF上时,如图3,先利用勾股定理求出EF=CF =CD=,BF=,即可得出BE的长,借助(2)得出的结论,当点E在线段BF的延长线上,同前一种情况一样即可得出结论.【解答】解:(1)=,理由是:在Rt△ABC中,AB=AC,根据勾股定理得,BC=AB,又∵点D为BC的中点,∴AD⊥BC,∴AB=AD,∵四边形CDEF是正方形,∴AF=EF=AD,∴AB=AF,即=,故答案为:;(2)(1)中的结论成立.证明:∵tan B=1,∴∠ABC=45°,∵AB=AC=3,∴∠ABC=∠ACB=45°,∴∠BAC=90°,∴sin45°=,∴,∵四边形CDEF是正方形,∴∠FEC=45°,∴sin45°==,∴,∵∠FCA=∠ECB,∴△ACF∽△BCE,∴;(3)或.如图2,当点E在线段BF上时,由(1)知CF=EF=CD=,∵在Rt△BCF中,CF=,CB=3,∴BF==,∴BE=BF﹣EF==.由(2)知,∴BE=AF,∴=AF,∴AF=,如图3,当点E在线段BF的延长线上时,同理可得BE=BF+EF=,∴,∴AF=,综上所述,当正方形CDEF旋转到B,E,F三点共线时,线段AF的长为或.【点评】此题是四边形综合题,主要考查了等腰直角三角形的性质,正方形的性质,旋转的性质,相似三角形的判定和性质,熟练掌握正方形的性质及相似三角形的性质是解题的关键.24.(12分)如图,平面直角坐标系xOy中,直线y=﹣x+3交x轴于点A,交y轴于点B,点P是线段OA上一动点(不与点A重合),过点P作PC⊥AB于点C.(1)当点P是OA中点时,求△APC的面积;(2)连接BP,若BP平分∠ABO,求此时点P的坐标;(3)设点D是x轴上方的坐标平面内一点,若以点O,B,C,D为顶点的四边形是菱形,求点D的坐标及此时OP的长.【分析】(1)连接BP,先求出点A(4,0),点B(0,3),可得AO=4,OB=3,由勾股定理可求AB的长,由面积法可求PC的长,由勾股定理可求AC的长,即可求解;(2)由“AAS”可证△BOP≌△BCP,可得BO=BC=3,OP=CP,由勾股定理可求OP 的值,即可求点P坐标;(3)分OB为边和OB为对角线两种情况讨论,利用菱形的性质两点距离公式先求出点C坐标,再求出CP解析式,即可求解.【解答】解:(1)如图,连接BP,∵直线y=﹣x+3交x轴于点A,交y轴于点B,∴点A(4,0),点B(0,3),∴AO=4,OB=3,∴AB===5,∵点P是OA中点,∴AP=OP=2,∵S△ABP=×AP×OB=×AB×CP,∴CP=,∴AC===,∴S△APC=×AC×PC=;(2)∵BP平分∠ABO,∴∠OBP=∠CBP,又∵BP=BP,∠BOP=∠BCP=90°,∴△BOP≌△BCP(AAS),∴BO=BC=3,OP=CP,∴AC=AB﹣BC=5﹣3=2,∵AP2=PC2+AC2,∴(4﹣OP)2=OP2+4,∴OP=,∴点P(,0);(3)若OB为边,如图2,设点C(a,﹣a+3),连接OD,∵四边形OCDB是菱形,∴OC=CD=BD=OB=3,BO∥CD,OD⊥BC,∴(a﹣0)2+(﹣a+3﹣0)2=9,∴a1=0(不合题意舍去),a2=,∴点C(,),∵BO∥CD,OB=CD=3,∴点D(,),∴直线OD解析式为:y=x,∵PC∥OD,∴设直线PC解析式为y=x+b,∴=×+b,∴b=﹣3,∴直线PC解析式为y=x﹣3,∴当y=0时,x=,∴点P(,0),∴OP=;若OB为对角线,如图3,设点C(a,﹣a+3),连接CD,∵四边形OCBD是菱形,∴OB与CD互相垂直平分,∴点C在OB的垂直平分线上,∴=﹣a+3,∴a=2,∴点C(2,),∵BO垂直CD,∴点D(﹣2,),设直线PC解析式为y=x+b,∴=×2+b,∴b=﹣,∴设直线PC解析式为y=x﹣,当y=0时,x=,∴点P(,0),∴OP=;综上所述:当OP=时,点D(﹣2,)或当OP=时,点D(,).【点评】本题是一次函数综合题,考查了待定系数法求解析式,全等三角形的判定和性质,勾股定理,菱形的性质等知识,利用分类讨论思想解决问题是本题的关键.。
人教版八年级数学下册试题及参考答案work Information Technology Company.2020YEAR人教版八年级(下册)数学学科试题(考试时间:90分钟 总分:120分)题 号 一 二 三 总分 得 分一、选择题(每小题3分,共36分)题号 1 2 3 4 5 6 7 8 9 10 11 12 答案1、如果分式x-11有意义,那么x 的取值范围是( ) A 、x >1 B 、x <1 C 、x ≠1 D 、x =12、己知反比例数xky =的图象过点(2,4),则下面也在反比例函数图象上的点是( ) A 、(2,-4) B 、(4,-2) C 、(-1,8) D 、(16,21)3、一直角三角形两边分别为3和5,则第三边为( )A 、4B 、34C 、4或34D 、24、用两个全等的等边三角形,可以拼成下列哪种图形( )A 、矩形B 、菱形C 、正方形D 、等腰梯形5、菱形的面积为2,其对角线分别为x 、y ,则y 与x 的图象大致为( )A B C D6、小明妈妈经营一家服装专卖店,为了合理利用资金,小明帮妈妈对上个月各种型号的服装销售数量进行了一次统计分析,决定在这个月的进货中多进某种型号服装,此时小明应重点参考( )A 、众数B 、平均数C 、加权平均数D 、中位数7、王英在荷塘边观看荷花,突然想测试池塘的水深,她把一株竖直的荷花(如右图)拉到岸边,花柄正好与水面成600夹角,测得AB 长60cm ,则荷花处水深OA 为( )A 、120cmB 、360cmC 、60cmD 、cm 320第7题图 第8题图 第9题图8、如图,□ABCD 的对角线AC 、BD 相交于O ,EF 过点O 与AD 、BC 分别相交于E 、F ,若AB=4,BC=5,OE=1.5,那么四边形EFCD 的周长为( )A 、16B 、14C 、12D 、109、如图,把菱形ABCD 沿AH 折叠,使B 点落在BC 上的E 点处,若∠B=700,则∠EDC 的大小为( )A 、100B 、150C 、200D 、30010、下列命题正确的是( )A 、同一边上两个角相等的梯形是等腰梯形;B 、一组对边平行,一组对边相等的四边形是平行四边形;C 、如果顺次连结一个四边形各边中点得到的是一个正方形,那么原四边形一定是正方形。
人教版八年级下册数学期末考试卷附详细答案解析(部分试题选自全国各地中考真题)一、选择题(每小题3分,共30分)1.下列计算正确的是( )。
A.×=4 B.+= C.÷=2 D.=-152.要使式子错误!未找到引用源。
有意义,则x 的取值范围是( )。
A.x>0B.x ≥-2C.x ≥2D.x ≤23.矩形具有而菱形不具有的性质是( )。
A.两组对边分别平行B.对角线相等C.对角线互相平分D.两组对角分别相等4.根据表中一次函数的自变量x 与函数y 的对应值,可得p 的值为( )。
A.1B.-1C.3D.-35.某公司10名职工的5月份工资统计如下,该公司10名职工5月份工资的众数和中位数分别是( )。
A.2400元、2400元B.2400元、2300元C.2200元、2200元D.2200元、2300元x -2 0 1 y 3 p 0 工资(元) 2 000 2 200 2 400 2 600 人数(人) 1 3 4 26.如右图,四边形ABCD中,对角线AC,BD相交于点O,下列条件不能判定这个四边形是平行四边形的是( )。
A.AB∥DC,AD∥BCB.AB=DC,AD=BCC.AO=CO,BO=DOD.AB∥DC,AD=BC7.如右图,菱形ABCD的两条对角线相交于O,若AC=6,BD=4,则菱形ABCD的周长是( )。
A.24B.16C.4错误!未找到引用源。
D.2错误!未找到引用源。
8.如右图,图,△ABC和△DCE都是边长为4的等边三角形,点B,C,E在同一条直线上,连接BD,则BD长( )A.错误!未找到引用源。
B.2错误!未找到引用源。
C.3错误!未找到引用源。
D.4错误!未找到引用源。
9.如图,正比例函数y=kx(k≠0)的函数值y随x的增大而增大,则一次函数y=x+k的图象大致是( )10.如图,函数y=2x和y=ax+4的图象相交于点A(m,3),则不等式2x<ax+4的解集为( )A.x<错误!未找到引用源。
人教版八年级下册数学期末考试试卷一、单选题1.下列选项中,属于最简二次根式的是()A B C D2x的取值范围是()A .4x >B .4x <C .4x ≥D .4x ≤3.一名射击爱好者5次射击的中靶环数如下:6,7,9,8,9.这5个数据的众数是()A .6B .7C .8D .94.在ABC 中,D ,E 分别是AB ,AC 的中点,若10BC =,12AB =,则DE 的长为()A .4B .5C .6D .75.如图,每个小正方形的边长都是1,A ,B ,C 分别在格点上,则ABC ∠的度数为()A .30°B .45︒C .50︒D .60︒6.甲、乙、丙三人进行射箭测试,每人10次射箭成绩的平均数均是8.9环,方差分别是20.55s =甲,20.65s =乙,20.50s =丙,则成绩最稳定的是()A .甲B .乙C .丙D .无法确定7.小明向东走80m 后,沿方向A 又走了60m ,再沿方向B 走了100m 回到原地,则方向A 是A .南向或北向B .东向或西向C .南向D .北向8.若函数3y x m =-+的图象如图所示,则函数1y mx =+的大致图象是()A .B .C .D .9.如图,将边长分别是4,8的矩形纸片ABCD 折叠,使点C 与点A 重合,则BF 的长是()A .2B .3CD .410.已知矩形的对角线为1,面积为m ,则矩形的周长为()A .212m -B .212m +C .D .二、填空题11.在ABCD 中,50A ∠=︒,则C ∠=______.12.若0a >,0b >,则0ab >.的逆命题为______(填“真”或“假”)命题.13.如图,在ABC 中,90ABC ∠=︒,AD DC =,4BD =,则AC =______.14.如图,已知直线111y k x b =+与直线222y k x b =+相交于点()1,2A ,若12y y <,则x 的取值范围为______.15.一组数据4,2,x ,6,3的平均数是4,则这组数据的中位数是______.16.观察311111122=+-=11111236=+-=,111113412=+-==_____;依此类推,按照每个等式反映的规律,第n 个二次根式的计算结果是______.17.计算:三、解答题18.在Rt ABC 中,90C ∠=︒,30A ∠=︒,3AC =,求AB 的长.19.如图,在ABCD 中,点E ,F 分别在AB ,DC 上,且AE CF =.求证:四边形DEBF 是平行四边形.20.某公司有15名员工,他们所在部门及相应每人所创年利润如表所示.部门人数每人所创年利润/万元A53B28C17D44E39(1)这个公司平均每人所创年利润是多少?(2)公司规定,个人所创年利润由高到低前40%的人可以获奖.试判断D部门的员工能否获奖,并说明理由.21.定义:有两个相邻内角互余的四边形称为邻余四边形,这两个角的夹边称为邻余线.(1)如图1,在△ABC中,AB=AC,AD是△ABC的中线,E,F分别是BD,AD上的点.求证:四边形ABEF是邻余四边形.(2)如图2,在5×4的方格纸中,A,B在格点上,请画出一个符合条件的邻余四边形ABEF,使AB为邻余线,E,F在格点上.22.A、B两家物流公司为了吸引顾客,推出不同的优惠方案,其中A公司原运费是5元/千克,现按8折计费.B公司原运费是6元/千克,优惠方案为:10千克以内不优惠,超过10千克部分按5折计费.(1)以x(单位:千克)表示商品重量,y(单位:元)表示运费,分别就两家公司的优惠方案写出y关于x的函数解析式;(2)在同一直角坐标系中画出(1)中两个函数的大致图象.23.如图,直线6y ax =+与直线2y x =相交于点(),4A m ,且与x 轴相交于点B .(1)求a 和m 值;(2)求AOB 的边AB 上的高.24.已知在平面直角坐标系中,直线28y x =-与x 轴交于点A ,与y 轴交于点B .(1)求A 、B 的坐标;(2)平移线段AB ,使得点A 、B 的对应点M ,N 分别落在直线1l :36y x =+和直线2l :4y x =+上,求M ,N 的坐标;(3)试证明直线()112y kx k =+-恒平分四边形ABNM 的面积,其中0k ≠.25.正方形ABCD 的CD 边长作等边△DCE,AC 和BE 相交于点F ,连接DF.求AFD 的度数.26.下图是交警在某个路口统计的某时段来往车辆的车速情况.(单位:千米/时)(1)车速的众数是多少?(2)计算这些车辆的平均数度;(3)车速的中位数是多少?参考答案1.A【解析】判定一个二次根式是不是最简二次根式的方法,就是逐个检查最简二次根式的两个条件是否同时满足,同时满足的就是最简二次根式,否则就不是.【详解】解:A,是最简二次根式,符合题意;B==C=能化简,不是最简二次根式,不符合题意;D=故选A.【点睛】本题考查了最简二次根式的定义,在判断最简二次根式的过程中要注意:(1)在二次根式的被开方数中,只要含有分数或小数,就不是最简二次根式;(2)在二次根式的被开方数中的每一个因式(或因数),如果幂的指数大于或等于2,也不是最简二次根式.2.C【解析】【分析】根据二次根式有意义的条件列出不等式,解不等式得到答案.【详解】由题意得,40x-≥,解得,4x≥,故选:C.【点睛】本题考查的是二次根式有意义的条件,掌握二次根式的被开方数是非负数是解题的关键.3.D【解析】【分析】根据众数的定义:一组数据中出现次数最多的数,进行求解即可.【详解】解:∵6,7,9,8,9这5个数中9出现了两次,出现的次数最多,∴这组数据的众数为9,故选D.【点睛】本题主要考查了众数的定义,解题的关键在于能够熟练掌握众数的定义.4.B【解析】【分析】由于DE分别是AB、AC的中点,根据中位线性质可知中位线是底边长度的一半.【详解】∵DE分别是AB、AC的中点∴DE为△ABC的中位线∴DE=12BC=1102⨯=5故选B【点睛】本题考查中位线的判定和性质,掌握这两点是解体的关键.5.B 【解析】【分析】利用勾股定理的逆定理证明△ACB 为等腰直角三角形即可得到∠ABC 的度数.【详解】解:连接AC ,由勾股定理得:AC =BC AB =∵AC 2+BC 2=AB 2=10,∴△ABC 为等腰直角三角形,∴∠ABC =45°,故选B .【点睛】本题考查了勾股定理的逆定理,解答本题的关键是根据正方形的性质求出边长,由勾股定理的逆定理判断出等腰直角三角形.6.C 【解析】【分析】根据方差是用来衡量一组数据波动大小的量,故由甲、乙、丙的方差可作出判断.【详解】解:由于222=0.50=0.55=0.65SS S <<甲乙丙,∴成绩较稳定的是丙.故选C .【点睛】本题考查方差的意义.方差是用来衡量一组数据波动大小的量,方差越大,表明这组数据偏离平均数越大,即波动越大,数据越不稳定;反之,方差越小,表明这组数据分布比较集中,各数据偏离平均数越小,即波动越小,数据越稳定.7.A 【解析】【分析】设小明一开始的位置为O ,向东走到的位置为C ,沿A 方向走到的位置为D ,由题意得OC =80m ,CD =60m ,OD =100m ,然后利用勾股定理的逆定理得到∠OCD =90°即可求解.【详解】解:设小明一开始的位置为O ,向东走到的位置为C ,沿A 方向走到的位置为D ,∴由题意得OC =80m ,CD =60m ,OD =100m ,∴2222226080100OC CD OD +=+==,∴∠OCD =90°,∵OC 的方向为东,∴CD 的方向为南或北,即A 的方向为南或北,故选A .【点睛】本题主要考查了勾股定理的逆定理,解题的关键在于能够熟练掌握相关知识进行求解.8.D 【解析】【分析】根据一次函数的图象的性质确定m 的符号,进而解答即可.【详解】解:由函数3y x m =-+的图象可得:0m <,所以函数1y mx =+的大致图象经过第一、二、四象限,故选:D .【点睛】本题考查了一次函数的图象和性质,关键是根据一次函数的图象的性质确定m 的符号.9.B 【解析】【分析】由折叠的性质可得出AF =CF ,设BF =m ,则AF =8−m ,在Rt △ABF 中,利用勾股定理可得出关于m 的方程,解之即可得出结论.【详解】解:由折叠的性质可知:AF =CF .设BF =m ,则AF =CF =8−m ,在Rt △ABF 中,∠ABF =90°,AB =4,BF =m ,AF =8−m ,∴222AF AB BF =+,即()22284m m -=+,∴m =3.故选:B .【点睛】本题考查了翻转变换、矩形的性质以及勾股定理,在Rt △ABF 中,利用勾股定理找出m (AF 的长)的方程是解题的关键.10.C 【解析】【分析】设矩形的长、宽分别为a 、b ,根据矩形的性质和面积、周长公式计算即可.【详解】解:设矩形的长、宽分别为a 、b ,∵矩形的对角线为1,面积为m ,∴221a b +=,ab m =,∴a b +=∴矩形的周长为()2a b +=故选:C .【点睛】本题考查矩形的性质,关键是用22a b +和ab 表示出a b +.11.50°【解析】【分析】利用平行四边形的对角相等,进而求出即可.【详解】解:∵四边形ABCD 是平行四边形,∴∠A =∠C =50°.故答案为:50°.【点睛】考查平行四边形的性质,掌握平行四边形的对角相等是解题的关键.12.假【解析】【分析】根据逆命题的定义:把原命题的结论作为命题的条件,把原命题的条件作为命题的结论,所组成的命题叫做原命题的逆命题,进行求解即可.【详解】解:若0a >,0b >,则0ab >的逆命题为:若0ab >,则0a >,0b >,这是一个假命题,故答案为:假.【点睛】本题主要考查了判定命题的真假和命题的逆命题,解题的关键在于能够熟练掌握逆命题的定义.13.8【解析】【分析】根据直角三角形斜边上的中线等于斜边的一半求解即可.【详解】解:∵∠ABC =90°,AD =DC ,BD =4,∴AC =2BD =8.故答案为:8.【点睛】本题主要考查了直角三角形斜边上的中线,解题的关键在于能够熟练掌握直角三角形斜边上的中线等于斜边的一半.14.1x <【解析】【分析】根据函数图像,写出直线111y k x b =+的图像在直线222y k x b =+的下方所对应的自变量的范围即可.【详解】由题意知,直线111y k x b =+与直线222y k x b =+相交于点()1,2A ,当12y y <时,1x <,故答案为:1x <.【点睛】本题考查了一次函数与一元一次不等式:从函数的角度看,就是寻求使一次函数y kx b =+的值大于(或小于)0的自变量x 的取值范围;从函数图象的角度看,就是确定直线y kx b =+在x 轴上(或下)方部分所有的点的横坐标所构成的集合.15.4【解析】【分析】根据平均数的定义可以先求出x 的值,再根据中位数的定义求出这组数的中位数即可.【详解】解:利用平均数的计算公式,得(4+2+x +6+3)=4×5,解得x =5,这组数据为2,3,4,5,6,中位数为4.故答案为:4.【点睛】本题考查了中位数、平均数,将数据从小到大依次排列是解题的关键.16.1120()211n nn n+++【解析】【分析】利用题中的等式可得第四个式子的结果为11145+-,第n个二次根式的结果为1111n n+-+,然后进行分式的加减运算即可.【详解】111111112122+-=+=⨯;111111123236+-=+=⨯;1111111343412+-=+=⨯;1111111454520=+-=+=⨯;第n()()()()2111111111n n n n n nn n n n n n+++-+++-==+++.故答案为1120;()211n nn n+++.【点睛】本题考查了二次根式的加减混合运算,列代数式.找出结果与序号之间的关系是解题的关键.17.【解析】【分析】根据实数的计算规则与顺序按步骤计算即可,注意结果能开出来的要开出来.【详解】解:原式===+故答案为4362+【点睛】本题考查实数的混合运算,掌握运算定律和顺序是解题关键.18.23【解析】【分析】由30°角的直角三角形的性质可得12BC AB =,再根据勾股定理可求解.【详解】解:∵90C ∠=︒,30A ∠=︒∴12BC AB =在Rt ABC 中,3AC =22222132AB BC AC AB ⎛⎫=+=+ ⎪⎝⎭解得23AB =【点睛】本题主要考查含30°角的直角三角形的性质,勾股定理,由含30度角的直角三角形的性质得12BC AB =是解题的关键.19.见解析【解析】【分析】根据一组对边平行且相等判断四边形DEBF 是平行四边形即可.【详解】解:∵四边形ABCD 是平行四边形,∴AB CD =,//EB DF .又AE CF =,∴AB AE CD CF-=-.即EB DF=.∴四边形DEBF是平行四边形.【点睛】本题主要考查了矩形的性质,平行四边形的判定,解题的关键在于能够熟练掌握平行四边形的判定定理进行求解.20.(1)5.4万元;(2)不能,理由见解析【解析】【分析】(1)利用加权平均数,即可求解;(2)算出能获奖的人数,然后个人所创年利润由高到低进行排列,进而即可求解.【详解】解:(1)公司平均每人所创年利润=532817443981 5.41515⨯+⨯+⨯+⨯+⨯==(万元)答:这个公司平均每人所创年利润是5.4万元;(2)D部门员工不能获奖,理由如下:获奖人数为:1540%6⨯=(人)个人所创年利润由高到低分别为E部门3人,B部门2人,C部门1人,共6人,所以D部门不能获奖.【点睛】本题主要考查加权平均数以及统计表,准确找出表格中的相关数据是解题的关键.21.(1)见解析;(2)见解析【解析】【分析】(1)由等腰三角形的“三线合一“性质可得AD⊥BC,则可得∠DAB与∠DBA互余,即∠FAB 与∠EBA互余,从而可得答案;(2)根据邻余四边形的概念画出图形即可.【详解】(1)证明:∵AB=AC AD是△ABC的中线∴AD⊥BC∴∠ADB=90°∴∠FAB+∠B =90°∴四边形ABEF 是邻余四边形(2)如图所示,即为所求.【点睛】本题考查了四边形的新定义,综合考查了等腰三角形的“三线合一“性质,读懂定义并明确相关性质及定理是解题的关键.22.(1)A 公司:4y x =(0x ≥),B 公司:()()601033010x x y x x ⎧≤≤⎪=⎨+>⎪⎩;(2)见解析【解析】【分析】(1)根据两个公式的优惠政策进行求解即可得到答案;(2)根据(1)求得的结果,在坐标系中描点连线画出函数图像即可【详解】解:(1)A 公司:4y x =(0x ≥),B 公司:()()601033010y x x y x x ⎧=≤≤⎪⎨=+>⎪⎩(2)如图所示,即为所求.【点睛】本题主要考查了画一次函数图像,求函数关系式,解题的关键在于能够熟练掌握相关知识进行求解.23.(1)1a =-,2m =;(2)32【解析】【分析】(1)先把A 点坐标代入直线2y x =求出A 点的坐标,然后代入到6y ax =+求解即可;(2)过点A 作AC OB ⊥于点C ,然后求出B 点的坐标,即可得到AB 的长,设AOB 的边AB上的高为h ,根据1122AOB S OB AC AB h =⋅=⋅△求解即可.【详解】解:(1)把点(),4A m 代入2y x =得:42m =,∴2m =把点()2,4A 代入6y ax =+得426a =+,∴1a =-;(2)把1a =-代入6y ax =+得6y x =-+令0y =,得6x =∴()6,0B ,6OB =.过点A 作AC OB ⊥于点C ,∵()2,4A ∴4AC =,2OC =,4CB =在Rt ACB 中,224442AB =+=设AOB 的边AB 上的高为h ,∴1116412222AOB S OB AC AB h =⋅=⋅=⨯⨯=△116422h ⨯=⨯⨯,解得h =∴△AOB 的边AB 上的高为【点睛】本题主要考查了求一次函数解析式,两直线的交点问题,三角形的高,一次函数与坐标轴的交点问题,解题的关键在于能够熟练掌握相关知识进行求解.24.(1)()4,0A ,()0,8B -;(2)()1,9M ,()3,1N -;(3)见解析【解析】【分析】(1)与x 相交时,y =0;与y 轴相交时,x =0;据此解出第一问;(2)设其中一个变化后的点的坐标为未知数,再根据平移的数量关系和一次函数等量关系建立等式,解出未知数从而求出M 、N 坐标.(3)根据直线的解析式,求出直线恒过的点的坐标,再证明这个坐标就是平行四边形对角线的交点,从而证明该直线横平分平行四边形面积.【详解】解:(1)在直线28y x =-中,令0y =得280x -=,4x =,∴()4,0A 令0x =,∴8y =-,∴()0,8B -(2)点N 在直线2l 上,可设(),4N t t +,又线段MN 是由线段AB 平移得到,由()0,8B -移动到点(),4N t t +,则()4,0A 相应移动到点()4,48M t t +++把()4,48M t t +++代入直线1l ,得()12346t t +=++解得3t =-∴()1,9M ,()3,1N -另解:设()4,0A 移动到点(),M m n ,则()0,8B -相应移动到点()4,8N m n --,分别代入直线解析式中,得方程组36448m n m n +=⎧⎨-+=-⎩解得19m n =⎧⎨=⎩,∴()1,9M ,()3,1N -(3)∵()11111122222y kx k kx k k x ⎛⎫=+-=+-=-+ ⎪⎝⎭当12x =时,12y =∴直线过定点11,22⎛⎫ ⎪⎝⎭∵线段AB 平移得到线段MN∴四边形ABNM 是平行四边形∵()4,0A ,()3,1N -ABNM 的对角线的交点为4301,22-+⎛⎫ ⎝⎭,即11,22⎛⎫ ⎪⎝⎭∴直线()112y kx k =+-恒平分四边形ABNM 的面积,其中0k ≠.【点睛】本题考查平面直角坐标系中的平移问题,一次函数的表达式,平行四边形的性质,掌握基础知识是解题关键.25.60°【解析】【详解】根据正方形及等边三角形的性质求得∠ABF ,∠BAF 的度数,再根据外角的性质即可求得答案解:∵∠CBA=90°,∠ABE=60°,∴∠CBE=150°,∵四边形ABCD为正方形,三角形ABE为等边三角形,∴BC=BE,∴∠BEC=∠BCF=15°,在△CBF和△ABF中,BF=BF,∠CBF=∠ABF,BC=BA,,∴△CBF≌△ABF(SAS),∴∠BAF=∠BCE=15°,又∠ABF=45°,且∠AFD为△AFB的外角,∴∠AFD=∠ABF+∠FAB=15°+45°=60°“点睛”本题考查了正方形的性质、等边三角形的性质、全等三角形的判定与性质、等腰三角形的判定与性质;熟练掌握正方形的性质,并能进行推理论证是解决问题的关键. 26.(1)车速的众数是42千米/时;(2)这些车辆的平均数度是42.6千米/时;(3)车速的中位数是42.5千米/时.【解析】【详解】试题分析:(1)根据条形统计图所给出的数据求出出现的次数最多的数即可,(2)根据加权平均数的计算公式和条形统计图所给出的数据列出算式计算即可,(3)根据中位数的定义求出第10和11个数的平均数即可.解:(1)根据条形统计图所给出的数据得:42出现了6次,出现的次数最多,则车速的众数是42千米/时;(2)这些车辆的平均数度是:(40+41×3+42×6+43×5+44×3+45×2)÷20=42.6(千米/时),答:这些车辆的平均数度是42.6千米/时;(3)因为共有20辆车,中位数是第10和11个数的平均数,所以中位数是42和43的平均数,(42+43)÷2=42.5(千米/时),所以车速的中位数是42.5千米/时.考点:条形统计图;加权平均数;中位数;众数.21。
新人教版八年级数学下册期末考试及答案【完美版】班级:姓名:一、选择题(本大题共10小题,每题3分,共30分)1.已知25523y x x=-+--,则2xy的值为()A.15-B.15C.152-D.1522.已知多项式2x2+bx+c分解因式为2(x-3)(x+1),则b,c的值为().A.b=3,c=-1 B.b=-6,c=2C.b=-6,c=-4 D.b=-4,c=-63.按如图所示的运算程序,能使输出y值为1的是()A.11m n==,B.10m n==,C.12m n==,D.21m n==,4.如图,在四边形ABCD中,∠A=140°,∠D=90°,OB平分∠ABC,OC平分∠BCD,则∠BOC=()A.105°B.115°C.125°D.135°5.某旅店一共70个房间,大房间每间住8个人,小房间每间住6个人,一共480个学生刚好住满,设大房间有x个,小房间有y个.下列方程正确的是( )A.7086480x yx y+=⎧⎨+=⎩B.7068480x yx y+=⎧⎨+=⎩C.4806870x yx y+=⎧⎨+=⎩D.4808670x yx y+=⎧⎨+=⎩6.如图,点P是矩形ABCD的对角线AC上一点,过点P作EF∥BC,分别交AB,CD于E、F,连接PB、PD.若AE=2,PF=8.则图中阴影部分的面积为()A.10 B.12 C.16 D.187.若a=7+2、b=2﹣7,则a和b互为()A.倒数B.相反数C.负倒数D.有理化因式8.如图,已知点E在正方形ABCD内,满足∠AEB=90°,AE=6,BE=8,则阴影部分的面积是()A.48 B.60C.76 D.809.如图所示,下列推理及括号中所注明的推理依据错误的是()A.∵∠1=∠3,∴AB∥CD(内错角相等,两直线平行)B.∵AB∥CD,∴∠1=∠3(两直线平行,内错角相等)C.∵AD∥BC,∴∠BAD+∠ABC=180°(两直线平行,同旁内角互补)D.∵∠DAM=∠CBM,∴AB∥CD(两直线平行,同位角相等)10.如图,已知∠ABC=∠DCB,下列所给条件不能证明△ABC≌△DCB的是()A.∠A=∠D B.AB=DC C.∠ACB=∠DBC D.AC=BD二、填空题(本大题共6小题,每小题3分,共18分)1.如果表示a、b的实数的点在数轴上的位置如图所示,那么化简|a﹣b|+2()a b +的结果是________.2.方程22310x x +-=的两个根为1x 、2x ,则1211+x x 的值等于__________. 3.分解因式:3x -x=__________.4.在直线l 上依次摆放着七个正方形(如图所示).已知斜放置的三个正方形的面积分别是a ,b ,c ,正放置的四个正方形的面积依次是S 1,S 2,S 3,S 4,则S 1+S 2+S 3+S 4=________.5.如图,已知△ABC 是等边三角形,点B 、C 、D 、E 在同一直线上,且CG=CD ,DF=DE ,则∠E=________度.6.如图,AD ∥BC ,∠D=100°,CA 平分∠BCD ,则∠DAC=________度.三、解答题(本大题共6小题,共72分)1.解方程(1)2250x x --= (2)1421x x =-+2.先化简,再求值:24211326x x x x -+⎛⎫-÷ ⎪++⎝⎭,其中21x =.3.若方程组3133x y m x y m +=+⎧⎨+=-⎩的解满足x 为非负数,y 为负数. (1)请写出x y +=_____________;(2)求m 的取值范围;(3)已知4m n +=,且2n >-,求23m n -的取值范围.4.如图,在Rt △ABC 中,∠ACB =90°,过点C 的直线MN ∥AB ,D 为AB 边上一点,过点D 作DE ⊥BC ,交直线MN 于E ,垂足为F ,连接CD 、BE .(1)求证:CE =AD ;(2)当D 在AB 中点时,四边形BECD 是什么特殊四边形?说明你的理由;(3)若D 为AB 中点,则当∠A 的大小满足什么条件时,四边形BECD 是正方形?请说明你的理由.5.如图,矩形EFGH 的顶点E ,G 分别在菱形ABCD 的边AD ,BC 上,顶点F 、H 在菱形ABCD 的对角线BD 上.(1)求证:BG DE =;(2)若E 为AD 中点,2FH =,求菱形ABCD 的周长.6.班级组织同学乘大巴车前往“研学旅行”基地开展爱国教育活动,基地离学校有90公里,队伍8:00从学校出发.苏老师因有事情,8:30从学校自驾小车以大巴1.5倍的速度追赶,追上大巴后继续前行,结果比队伍提前15分钟到达基地.问:(1)大巴与小车的平均速度各是多少?(2)苏老师追上大巴的地点到基地的路程有多远?参考答案一、选择题(本大题共10小题,每题3分,共30分)1、A2、D3、D4、B5、A6、C7、D8、C9、D10、D二、填空题(本大题共6小题,每小题3分,共18分)1、﹣2b2、3.3、x (x+1)(x -1)4、a+c5、:略6、40°三、解答题(本大题共6小题,共72分)1、(1)1211x x ==(2)3x =是方程的解.2.3、(1)1;(2)m >2;(3)-2<2m -3n <184、(1)略;(2)四边形BECD 是菱形,理由略;(3)当∠A =45°时,四边形BECD 是正方形,理由略5、(1)略;(2)8.6、(1)大巴的平均速度为40公里/时,则小车的平均速度为60公里/时;(2)苏老师追上大巴的地点到基地的路程有30公里。
八年级数学下册期末试题(WL县统考)(时间:100分钟,满分:120分)一、选择题(1-8小题每小题3分,9-12小题每小题4分,满分40分)1.下列二次根式中,与√3是同类二次根式的是()A.√0.3B.√24C.√13D.√182.我县某初中学校举办“经典通读”比赛,13名学生进入决赛,他们所得分数互不相同,比赛共设7个获奖名额,某学生知道自己的分数后,要判断自己能否获奖,他应该关注的统计量是()A.众数B.中位数C.平均数D.方差3.下列条件中,不能判定四边形是平行四边形的是()A.两组对边分别平行B.一组对边平行,另一组对边相等C.两组对边分别相等D.一组对边平行且相等4.某班10名学生的校服尺寸与对应人数如表所示只寸(cm)尺寸(cm)160 165 170 175 180学生人数(人) 1 3 2 2 2则这10名学生校服尺寸的众数和中位数分别为()A. 165cm,165cmB. 170cm,165cmC.165cm,170cmD.170cm,170cm5.用a、b、c作三角形的三边,其中不能构成直角三角形的是()A.b2=(a+c)(a-c)B.a:b:c=1:2:√3C.a=32,b=42,c=52D.a=6,b=8,c=106.下列各式,计算正确的是()A.√2+√3=√5B.3√2+√2=3C.2√3×3√3=6√3D.(√8-√6)÷√2=2-√37.如图,菱形ABCD的边长为8,∠ABC=60°,点E、F分别为AO、AB的中点,则EF的长度为()A.2√3B.3C.√3D.48.若式子√a−2+(a−2)0有意义,则一次函数y=(a-2)x+2-a的图象可能是()9.如图所示,矩形ABCD 中,AB=3,AD=2,点M 在CD 上,若AM 平分∠DMB 则DM 的长是( ) A.√53 B.13C.√5−32D.3−√5 10.如图所示,一列快车从甲地驶往乙地,一列慢车从乙地驶往甲地,两车同时出发,设慢车行驶的时间为x(h),两车之间的距离为y(km),图中的折线表示y 与x 之间的函数关系,下列说法中错误的是( )A.B 点表示快车与慢车出发4小时两车相遇B.B-C-D 段表示慢车先加速,后减速,最后到达甲地C.快车的速度为200km/hD 慢车的速度为100km/h11.如图,正方形ABCD 的边长为5,AG=CH=4,BG=DH=3,连接GH ,则线段GH 的长为( )A.√2B.4√53C.85D.5−√2 12.如图所示,在平面直角坐标系中,点A 1,A 2,A 3都在x 轴上,点B 1,B 2, B 3都在直线y=x 上,△OA 1B 1,△B 1A 1A 2,△B 2B 1A 2,△B 2A 2A 3, △B 3B 2A 3…都是等腰直角三角形,且OA 1=2,则点B 2024的坐标是( )A.(22023,22023)B.(22024,22024)C.(22023,22024)D.(22024,22025)二、填空题(每小题4分,共16分)13.已知√a −1+|b+2|=0,则(a +b)2023=_______。
人教版八年级下册数学学科期末试题
(时间:90分钟 满分:120分)
亲爱的同学们,这份试卷将再次记录你的自信、沉着、智慧和收获. 请认真审题,看清要求,仔细答题,要相信自己能行。
题 号 一
二
三
四
五
总 分
核卷人
得 分
得分
评卷人
一、选择题(每小题3分,共30分)
1、一件工作,甲独做a 小时完成,乙独做b 小时完成,则甲、乙两人合作完成需要( )小时。
A 、
11a b + B 、1ab C 、
1a b + D 、ab
a b
+ 2、在三边分别为下列长度的三角形中,哪些不是直角三角形( )
A 、5,13,12
B 、2,3,
C 、4,7,5
D 、1,
3、在下列性质中,平行四边形不一定具有的是( )
A 、对边相等
B 、对边平行
C 、对角互补
D 、内角和为360° 4、能判定四边形是平行四边形的条件是( )
A 、一组对边平行,另一组对边相等
B 、一组对边相等,一组邻角相等
C 、一组对边平行,一组邻角相等
D 、一组对边平行,一组对角相等
题号 1
2 3 4 5 6 7 8 9 10 答案
5、反比例函数y=-x
k 2
(k ≠0)的图像的两个分支分别位于( )
A 、第一、三象限
B 第一、二象限
C 第二、四象限
D 第一、四象限
6、某煤厂原计划x 天生产120吨煤,由于采用新的技术,每天增加生产3吨,因此提前2天完成任务,列出方程为( )
A
31202120-=-x x B 32120120-+=x x C 31202120-=+x x D 32
120
120--=x x 7、函数y =
x
k 1
与y =k 2x 图像的交点是(-2,5),则它们的另一个交点是( ) A (2,-5) B (5,-2) C (-2,-5) D (2,5)
8、在函数y=x k
(k<0)的图像上有A(1,y 1)、B(-1,y 2)、C(-2,y 3)三个点,则下列各式中正确的是
( )
A y 1<y 2<y 3
B y 1<y 3<y 2
C y 3<y 2<y 1
D y 2<y 3<y 1
9、已知:E 、F 、G 、H 分别是四边形ABCD 四条边的中点,要使四边形EFGH 为矩形,四边形ABCD 应具备的条件是( ).
A 一组对边平行而另一组对边不平行
B 对角线相等
C 对角线互相垂直
D 对角线互相平分
10、当5个整数从小到大排列,则中位数是4,如果这5个数的唯一众数是6,则这5个整数可能的最大和是( )
A 、21
B 、22
C 、23
D 、24
得分
评卷人
二、填空题(每小题3分,共30分)
11、要使分式2
4
2+-x x 的值是0,则x 的值是 ;
12、0006140.-用科学记数法表示为 ;
13、分式方程31-x +9
4312
-=-x x 的解是 。
14、若□ABCD 中,AB=8,周长为26,则BC= ,CD= ,DA= 。
15、将40cm 长的木条截成四段,围成一个平行四边形,使其长边与短边的比为3:2,则较长的木条长 cm ,较短的木条长 cm 。
16、数据1,2,8,5,3,9,5,4,5,4的众数是_________;中位数是__________。
17、已知一个工人生产零件,计划30天完成,若每天多生产5个,则在26天完成且多生产15个。
求这个工人原计划每天生产多少个零件?如果设原计划每天生产x 个,根据题意可列出的方程为 。
18、若y 与x 成反比例,且图像经过点(-1,1),则y= 。
(用含x 的代数式表示)
19、如果一个三角形的三边a ,b ,c 满足,那么该三角形是
三角形。
20、已知,在△ABC 中,AB =1,AC =2,∠B=90°,那么△ABC 的面积是 。
得分
评卷人
三、计算题。
(21题,每小题5分)
21、(1)计算:2
30
120.125200412-⎛⎫-⨯++- ⎪⎝⎭
(2)化简:m
x m m m m -+-
--+-212322
(3)、计算:2424422x y x y x x y x y x y x y ⋅-÷-+-+(4)解方程222
7161
x x x x x +=+--
得分
评卷人
四、解答题
22、(5分)已知函数y=y 1+y 2,其中y 1与x 成正比例,y 2与x -2成反比例,
且当x=1时,y=-1;当x=3时,y=5,求出此函数的解析式。
23、(5分)如图,在正方形ABCD 中,E 为CD 边上一点,F 为BC 延长线上一点,
CE=CF ,∠FDC=30°,求∠BEF 的度数.
24、(6分)反比例函数x
y 8-=与一次函数2+-=x y 的图象交于A 、B 两点。
(1)求A、B两点的坐标;
(2)求△AOB的面积。
25、(6分)已知:如图,在□ABCD中,对角线AC交BD于点O,
四边形AODE是平行四边形。
求证:四边形ABOE、四边形DCOE都是平行四边形。
得分评卷人
五、应用题
26、(6分)某校师生到距学校20千米的公路旁植树,甲班师生骑自行车先走,45分钟后,
乙班师生乘汽车出发,结果两班师生同时到达,已知汽车的速度是自行车速度的2.5倍,求两种车的速度各是多少?
27.(6分)某公司销售部有营销人员15人,销售部为了制定某种商品的月销售定额,统计了这15人某月的销售量如下:
(1)求这15位营销人员该月销售量的平均数、中位数和众数;
(2)假设销售部负责人把每位营销员的月销售额定为320件,你认为是否合理,为什么?如不合理,请你制定一个较合理的销售定额,并说明理由.
28、(6分)一种盛饮料的圆柱形杯(如图),测得内部底面半径为2.5㎝,高为12㎝,吸管放进杯里,杯口外面至少要露出4.6㎝,问吸管至少要做多长?
参考答案
一、选择题
D C C D A D B B C A 二、填空题
11、 2. 12、-6.14×10∧-4. 13、 -1. 4、 5;8;5.
15、 12;8 16、5;4.5 17、526
15
30+=+x x (符合题意即可)
18、 y=-x 1 19、直角 20、2
1
三、计算题
21、(1)原式=4-8×0.125+1+1=5 (2)原式=
m x m m m m -+-----21
2322
= m x m m ---+242
(3)原式=2
22222y
x y
x y x xy ---=--y x xy + (4)解:方程两边同乘x (x+1)(x-1)
7(x-1)+(x+1)=6x
解得x=3.
检验,略。
X=3是原分式方程的解。
四、解答题
22、 解:设y 1=kx ,y 2=22-x k ,则y=kx+2
2-x k 将x=1时,y=-1代入 -1=k-
212-k 将x=3时,y=5代入5=k-
232-k
解得k=3, y=3x+2
2-x
23、解:由题意易得,
△CDF 全等于△CBE.
可得∠CBE=∠FDC=30°
在直角△CEF 中,∠FCE=45°
故∠BEF=45°
24、 A(-2,4) B(4,-2) 面积为:10
25. 证明:由题意易知,OA=OC,OB=OD.AE 平行且等于OD,OA 平行且等于DE 。
由判定可得结论。
五、应用题。
26. 自行车速度为每小时16:千米;汽车速度为每小时40千米。
27. ⑴平均数320;众数210;中位数210.
⑵不合理。
大多数销售人员达不到目标。
销售目标可以定为210.
28. 利用勾股定理求得杯内吸管长度为13厘米,总长度至少要17.6厘米。