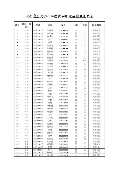
2016届毕业生生源信息库
- 格式:xls
- 大小:841.50 KB
- 文档页数:10
★2016届毕业生就业信息网账号登录使用说明★1、2016届毕业生就业信息网登陆账号已经开通!!包括本校本专科及研究生,研究生仅供登陆访问招聘信息使用。
2、就业招聘信息下属各栏目需要登陆后方可查看,其他栏目信息不需要登陆。
3、如有毕业生不能登陆等其他问题,请到就业办咨询,请务必互相转告登陆本人账号测试;一、请在就业信息网主页右上方点选毕业生,并输入用户名和密码:用户名为学号,默认密码为学号后6位加出生日期后两位加@imust。
例如:学号:12345678,出生日期为1990年6月7日,则密码为34567807@imust 例如:学号:12345678,出生日期为1990年6月17日,则密码为34567817@imust 所有密码均为二次加密存储,后台管理员无法看到,如本人不能登录或修改密码后遗忘,可联系就业办老师进行密码重置,恢复默认密码。
二、点击进入信息平台后主要用于查询本人基本信息和派遣档案信息等。
1、基本信息:请登录后尽快在线填写完善个人基本信息,包括联系电话、QQ 号、生源所在地、联系地址等。
方便我们在办理就业手续时联系。
2、档案信息管理:请毕业生与单位签约后认真阅读下方的红字并认真填写,关注各人的档案信息,我们将根据填写的内容寄发档案。
此项内容在毕业前5-6月份由管理员导入详细信息与毕业生核对。
3、派遣信息管理:部分内容可填写,未审核过的可填写相关信息后持协议书到就业办进行审核,已交过协议书或已经在就业办登记盖章的不能修改相关信息,其中单位名称为简写。
此项内容在毕业前5-6月份由管理员导入详细信息与毕业生核对。
当协议书状态为签约完成时,可以到就业办领取就业协议书。
4、生源信息管理:请登录后尽快在线填写完善个人基本信息,包括民族、政治面貌、生源所在地等,否则影响后期生源审核及毕业手续办理。
5、生源信息核对与派遣信息核对是指在每年10月份左右与第二年5月份左右集中核对自己的生源信息及签约转档信息。
东北师范大学在培养大批优秀传统师范类毕业生的基础上,精心培育经济学、法学、管理学、理学、工学、艺术学等应用性优长学科,这些学科历经20余年发展,在各自领域取得良好声誉,学生在国内外大型比赛中屡获佳绩,毕业生以素质全面、专业知识扎实、能力强、后劲足等鲜明特点受到了社会各界和用人单位的普遍赞誉,学生就业率一直保持在98%以上。
一、信息科学与软件工程类
二、金融类
三、艺术类
四、传媒类
五、法律与公共服务类
六、其他非师范类专业一览表。
2016届《高等学校毕业生登记表》填写具体说明(填写示范,可从学工处网页查看)各班务必向同学们强调,每一个同学填表务必注意如下事项:一、先看《高等学校毕业生登记表》中的“填表说明”,对照要求;再详看各栏目的填写说明、要求。
必须认真填写,不能马虎、潦草;凡不合格的,一律重新填写。
二、此表不能下载打印、随意粘贴(因是永久档案,须用印刷厂统一印制的表格);此表只能手写、不能打印。
三、贴最近一寸正面半身免冠照片(黑白、彩色照片均可)。
四、时间填写:按表中各栏注定的时间填写(不要更改)。
五、上交“登记表”的时间要求:个人于2016年3月10日前填写完毕上交,班集体于3月30日前填写完毕上交,班主任于4月20日前填写完毕上交,二级学院于4月30日前填写完毕转交学工处。
六、须严格按规范填写各二级学院、各专业的名称(不准更改):(一)二级学院:经济管理学院、人文学院、资源与环境学院、建筑工程学院、理学院、电子与信息工程学院、陶瓷与设计学院、教育学院、体育教学部、思想政治理论课教学部、海洋学院、海运学院、石油与化工学院、食品工程学院、机械与船舶海洋工程学院。
(二)专业名称(2016届毕业生所学专业):本科专业:国际经济与贸易、国际经济与贸易(保税港区经济方向)、国际经济与贸易(国际商务与报关方向)、旅游管理、旅游管理(涉外旅游管理方向)、旅游管理(酒店管理方向)、物流管理、物流管理(商贸物流方向)、物流管理(港口物流方向)、市场营销、市场营销(国际营销方向)、市场营销(网络营销方向)、对外汉语、汉语言文学(师范教育方向)、汉语言文学(文秘方向)、音乐表演、音乐学(舞台主持与表演方向)、音乐学(音乐教育方向)、英语、英语(师范教育方向)、地理科学(师范教育方向)、地理科学(地理信息系统方向)、地理科学(资源环境与城乡规划方向)、数学与应用数学(经济数学方向)、数学与应用数学(师范教育方向)、物理学(师范教育方向)、电子信息工程、电子信息工程(通信方向)、计算机科学与技术、计算机科学与技术(数字媒体方向)、计算机科学与技术(网络技术方向)、美术学(美术教育方向)、艺术设计、艺术设计(包装装潢设计方向)、艺术设计(广告设计方向)、艺术设计(环境艺术设计方向)、艺术设计(网络多媒体艺术方向)、艺术设计(现代陶艺与装饰雕塑设计方向)、教育学(教育管理方向)、教育学(小学教育文科方向)、教育学(小学教育理科方向)、学前教育、应用心理学、体育教育、思想政治教育、海洋科学、海洋科学(海洋生物制药方向)、水产养殖学、航海技术、轮机工程、化学工程与工艺、化学工程与工艺(石油化学工程方向)、油气储运工程、食品科学与工程、食品科学与工程(海产品储运与加工方向)、机械工程及自动化、机械工程及自动化(港口机械工程方向)、机械工程及自动化(机械设计与制造方向)、自动化、自动化(工业自动化方向)、自动化(过程控制自动化方向)。
目 录2016届毕业生专业、人数、部门联系电话一览表 (1)华东交通大学2016届毕业生需求信息登记表 (5)土木建筑学院专业介绍土木工程专业(建筑工程方向) (7)土木工程专业(道路与铁道工程方向) (7)土木工程专业(城市轨道工程方向) (7)土木工程专业(桥梁工程方向) (8)建筑学专业 (8)建筑环境与设备工程专业 (9)给水排水工程专业 (9)交通工程专业 (10)工程管理专业 (10)环境工程专业 (10)测绘工程专业 (11)机电工程学院专业介绍机械设计制造及其自动化专业(机械制造工艺及设备方向) (12)机械设计制造及其自动化专业(机械设计及制造方向) (12)机械设计制造及其自动化专业(卓越工程师) (12)机械电子工程专业 (13)物流管理专业 (13)工业工程专业 (14)材料成型及控制工程专业(模具设计与制造方向) (14)材料成型及控制工程专业(焊接工程方向) (14)测控技术与仪器专业 (15)热能与动力工程专业 (15)电气与电子工程学院专业介绍电气工程及其自动化专业(电力牵引与传动控制方向) (16)电气工程及其自动化专业(铁道电气化方向) (16)电气工程及其自动化专业(城市轨道交通动力与控制方向) (16)电气工程及其自动化专业(电力系统及其自动化方向) (17)自动化专业(工业自动化方向) (17)电子信息工程专业(应用电子技术方向) (18)建筑电气与智能化专业 (18)信息工程学院专业介绍通信工程专业 (19)信息工程专业 (19)计算机科学与技术专业 (20)物联网工程专业 (20)软件学院专业介绍软件工程专业(软件测试方向) (22)软件工程专业(网络工程方向) (22)软件工程专业+道路与铁道工程应用背景专业 (23)软件工程专业+桥梁工程应用背景专业 (23)软件工程专业+机械电子工程应用背景专业 (24)软件工程专业+电气工程及其自动化应用背景专业 (24)软件工程专业+交通设备信息工程应用背景专业 (25)软件工程专业+交通运输应用背景专业 (25)软件工程专业+会计学应用背景专业 (26)体育学院专业介绍体育教育专业 (27)运动训练专业 (27)理学院专业介绍信息与计算科学专业 (28)高分子材料与工程专业 (28)应用化学专业 (29)光电信息科学与技术专业 (29)外国语学院专业介绍英语专业(国际贸易方向) (30)英语专业(国际旅游方向) (30)英语专业(翻译方向) (30)艺术学院专业介绍艺术设计专业(环境艺术方向) (32)艺术设计专业(数字媒体方向) (32)工业设计专业 (33)音乐学专业 (33)表演专业(舞蹈方向) (33)经济管理学院专业介绍经济学专业(项目管理方向) (34)国际经济与贸易专业 (34)统计学专业 (34)会计学专业 (35)人力资源管理专业 (35)信息管理与信息系统专业 (35)市场营销专业 (36)工商管理专业 (36)金融学专业 (37)人文社会科学学院专业介绍法学专业 (38)对外汉语专业 (38)公共事业管理专业 (38)汉语言文学专业 (39)国际学院专业介绍会计学专业(国际会计方向) (40)会计学专业(ACCA方向) (40)财务管理专业(国际财务管理CIMA方向) (41)轨道交通学院专业介绍车辆工程专业 (42)交通运输专业 (42)交通设备信息工程专业 (42)铁道工程技术专业 (43)道路桥梁工程技术专业 (43)铁道机车车辆专业(电力机车方向) (43)铁道车辆专业 (44)铁道通信信号专业 (45)铁道交通运营管理专业 (45)双学位(双专业)教育情况简介 ...................................................................462016届毕业生修读双学位、双专业、双方向人数一览表 .............................46华东交通大学2016届本科毕业生各省(市)生源一览表 ............................47华东交通大学2016届高职(专科)毕业生各省(市)生源一览表 ..............521毕业生专业介绍EAST CHINA JIAOTONG UNIVERSITY团结严谨 求实勤奋2016届毕业生专业、人数、部门联系电话一览表学院名称专业名称专业方向层次毕业生人数学院总人数联系电话(区号0791)副书记办学工办土木学院土木工程建筑工程本科1136978704602687046032道路与铁道工程本科94城市轨道工程本科26桥梁工程本科84建筑学本科57建筑环境与设备工程本科47给水排水工程本科63交通工程本科61工程管理本科60环境工程本科48测绘工程本科44机电学院机械设计制造及其自动化机械设计及制造本科275618704612187046125机械制造工艺及设备本科105卓越工程师本科32机械电子工程本科121工业工程本科47物流管理本科58材料成型及控制工程模具设计与制造本科40焊接工程本科28测控技术与仪器本科44热能与动力工程本科60电气学院电气工程及其自动化电力牵引及传动控制本科1175228704618587046188铁道电气化本科131城市轨道交通动力控制本科24电力系统及其自动化本科47自动化本科65电子信息工程本科62建筑电气与智能化本科76信息学院通信工程本科942398704624387046248信息工程本科41计算机科学与技术本科54物联网工程本科50软件学院软件工程软件测试本科899028704506087045062软件工程网络工程本科111软件工程+道路与铁道工程本科123软件工程+桥梁工程本科90软件工程+机械电子工程本科101软件工程+电气工程及其自动化本科112软件工程+交通设备信息工程本科74软件工程+交通运输本科89软件工程+会计学本科113毕业生专业介绍EAST CHINA JIAOTONG UNIVERSITY团结严谨 求实勤奋2016届毕业生专业、人数、部门联系电话一览表学院名称专业名称专业方向层次毕业生人数学院总人数联系电话(区号0791)副书记办学工办体育学院体育教育本科801248704629287046300运动训练本科44理学院信息与计算科学本科551798704632387046328高分子材料与工程本科45应用化学本科38光信息科学与技术本科41外语学院英语国际贸易本科531538704637687046380国际旅游本科50翻译本科50艺术学院艺术设计环境艺术本科521878704644387046448数字媒体艺术本科30工业设计本科29音乐学本科57表演舞蹈本科19经济学院经济学项目管理本科455098704502687045028国际经济与贸易本科46统计学本科42会计学本科95人力资源管理本科51信息管理与信息系统本科60市场营销本科58工商管理本科48金融学本科64人文学院法学本科522148704541287045418对外汉语本科53公共事业管理本科56汉语言文学本科53国际学院会计学国际会计本科1382688704536087045366ACCA本科68财务管理财务管理本科62轨道交通学院车辆工程本科1018758704511987045126交通运输本科129交通设备信息工程本科84铁道工程技术高职96道路桥梁工程技术高职96铁道机车车辆电力机车高职79铁道车辆高职90铁道通信信号铁道信号高职83铁道交通运营管理高职11723毕业生专业介绍EAST CHINA JIAOTONG UNIVERSITY团结严谨 求实勤奋2016届毕业生专业、人数、部门联系电话一览表学院名称专业名称专业方向层次毕业生人数学院总人数联系电话(区号0791)副书记办学工办研究生学院政治经济学学术型35898704655187046785金融学学术型7产业经济学学术型3劳动经济学学术型8统计学学术型3法学学术型14科学社会主义与国际共产主义运动学术型3马克思主义基本原理学术型3思想政治教育学术型7体育学学术型13中国古代文学学术型7数学学术型11化学学术型6工程力学学术型1机械工程学术型25仪器科学与技术学术型5材料科学与工程学术型7材料物理与化学学术型3电气工程学术型21信息与通信工程学术型14控制科学与工程学术型16计算机软件与理论学术型4计算机应用技术学术型13岩土工程学术型4结构工程学术型11市政工程学术型7供热、供燃气、通风及空调工程学术型4桥梁与隧道工程学术型6应用化学学术型2道路与铁道工程学术型12交通信息工程及控制学术型9交通运输规划与管理学术型5载运工具运用工程学术型6环境科学与工程学术型1管理科学与工程学术型8管理科学与工程学术型6会计学学术型5企业管理学术型9应用统计硕士专业学位5毕业生专业介绍EAST CHINA JIAOTONG UNIVERSITY团结严谨 求实勤奋2016届毕业生专业、人数、部门联系电话一览表学院名称专业名称专业方向层次毕业生人数学院总人数联系电话(区号0791)副书记办学工办研究生学院机械工程硕士专业学位195898704655187046785电气工程硕士专业学位19控制工程硕士专业学位6计算机技术硕士专业学位19软件工程硕士专业学位13建筑与土木工程硕士专业学位34化学工程硕士专业学位10交通运输工程硕士专业学位11环境工程硕士专业学位3工业工程硕士专业学位4物流工程硕士专业学位9工商管理硕士专业学位65会计硕士专业学位80高职合计561本科合计4869硕士合计589总计6019华东交通大学招生就业处联系方式康..艺..158********..0791-********朱智奇..130********..0791-********段戈宏..139********..0791-********..传真:.0791-********..0791-********Email:2040125215@(朱老师)./.kangyiaa@(康老师).......(发送邮件后请电话确认)地址:江西省南昌市经济技术开发区双港东大街808号..华东交通大学就业科..邮编:33001345毕业生专业介绍EAST CHINA JIAOTONG UNIVERSITY团结严谨 求实勤奋华东交通大学2016届毕业生需求信息登记表企业名称联系人联系电话传真Email 通信地址行业(填入相应编号) 1.农、林、牧、渔业,2.采矿业,3.制造业,4.电力、热力、燃气及水的生产和供应业,5.建筑业,6.批发和零售业,7.交通运输、仓储和邮政业,8.住宿和餐饮业,9.信息运输、软件和信息技术服务业,10.金融业,11.房地产业,12.租赁和商务服务业,13.科学研究和技术服务业,14.水利、环境和公共设施管理业,15.居民服务、修理和其他服务业,16.教育,17.卫生和社会工作,18.文化、体育和娱乐业,19.公共管理、社会保障和社会组织,20.国际组织;企业性质(填入相应编号)1.国有企业,2.集体所有制企业,3.外资企业,4.合资企业,5.私营企业,6.其他;招聘需求(可另附表)招聘岗位所需专业学历要求招聘人数备注注:1、贵单位填写此表后,可通过传真、email、邮寄等方式,通知我办,以便我们做好接待.......工作以及应聘学生的组织工作。
关于2016届毕业生填写生源报表的情况说明各学院:生源汇总、上报、审核是学生就业工作中的一个极其重要的工作内容,生源信息的准确与否直接影响到毕业生能否正常派遣,因此,各学院要严格按照生源审核规定的方法和步骤,认真做好毕业生生源资格的初审工作,报送有关材料。
生源信息要准确无误,不得缺项、漏报、错报。
如若出现漏报、错报问题,学校将在对学院的就业工作考评中实行一票否决。
生源审核结束后,原则上不再追加新的毕业生生源信息。
为全面掌握2016年全校研究生、本、专科毕业生生源状况和特困家庭毕业生情况,做好毕业生就业工作,现就毕业生生源审核工作的有关事项通知如下:一、毕业生基本信息审核要求1.姓名、性别、学号、学历、专业:以上信息与学信网、学籍、身份证统一。
考生号不用学生核对。
2.生源所在地(户籍地)代码:此项为今年新变化,生源地与户籍地一致,山东生源毕业生生源所在地具体到县(市、区),外省生源地也要具体到县(市、区)。
如果户口迁入学校,请写原籍即迁出前所在地。
请学生本人按照生源地代码库查找自己的户籍地代码,并与下发的核对表核对,有误的请用红色笔重新填写,修改字迹要清楚。
毕业前未落实工作的毕业生,报到证根据生源地信息生成,所以请毕业生一定核实好自己的生源信息。
3.身份证号:身份证号是毕业生使用信息网的重要信息,必须填写真实身份证号。
毕业生所确认的身份证号即为毕业生在“山东毕业生就业信息网”上的注册号。
4. 入学年份(电子版):毕业生核对或自己填写实际的入学年份(包括留级生)5.现户籍所在地乡镇街道办事处代码:根据实际情况在《现户籍所在地乡镇街道办事处代码库》中查找并自行填写,如果为新增街道办事处、村部或查询不到的,请按照就近原则填写;。
6. 户籍描述:户口在学校的地址填写山东省济南市历城区港沟派出所,其他以户口本地址为准,往年不毕业学生可以不填。
7.定向委培:入学时为委培定向生的。
8.父或母手机:父亲或母亲的手机号码。
2016届毕业生网上核实补充信息填写说明一、网上核实补充信息从即日起至10月9日,2016届毕业生通过学校就业信息中心(,学生初始帐号为学号、密码为身份证后6位)“就业信息管理系统”(以下简称“就业系统”)“信息收集”核实补充本人的基本信息(红色*星为必填项目)。
毕业生生源信息收集的时效性强,对毕业生领取就业资料、毕业生就业资格的认定及就业派遣具有重要作用,直接影响到毕业生的顺利就业,请各毕业生切勿轻视。
二、毕业生生源信息核实、补充可能涉及到出现的情况有以下几种:1、对象:此次收集对象为全日制普通高校2016届毕业生。
没有正式学籍的学生、旁听生、成人教育学生,港澳台学生(含国内学生在校期间持单程证赴港澳定居),外籍生源学生,已经确定不能在2016年毕业的学生均不在收集范围之内,如发现有上述学生,请及时联系学院辅导员老师。
2、姓名:请核实就业系统上的姓名与教务处、学信网是否一致。
如有不符,请提供派出所盖章的修改名字证明或修改后的户口簿复印件,若户口簿复印件中无法体现的须提供派出所证明;若名字中有生僻字的,须提供身份证复印件。
3、身份证号:请核实为最新身份证号,若因身份证换代等原因更改过身份证的(即高考时身份证与现身份证不一致),须提供户口簿复印件,若户口簿复印件中无法体现的须提供派出所证明。
4、生源地:生源地,一般为高考时本人户口所在地或父母户口所在地,与籍贯不同。
如已迁到学校,则以迁入学校前为准;高考时本人户口与父母户口不在同一地方的,如果本人户口高考后已迁到学校,无法迁回原户籍复户,可以以父母户口所在地作为生源地;但如果本人户口现仍在原地(没有迁户口到学校),则以现户口所在地为生源地。
若本人在校期间父母双方因工作调动等原因均将户口迁移到外地的,则需要由父母向其现户口所在地派出所申请户口指标,待派出所同意并出具相关证明后方可更改生源地。
更改生源地信息为区、县级市的变动的,可直接修改;更改生源信息为地级市、省份的,须提供户口簿复印件。
毕业生就业数据库填报规则(供参考)就业信息部分(一)签约单位信息1.单位名称如实填写,要与就业协议书上用人单位公章一致,不能多字少字,不能有错别字。
2.单位联系人如实填写,要与就业协议书上一致。
此处字段数为8,应填为某某某,否则提交后会返回空白。
3.单位地址如实填写,要与就业协议书上一致。
4.单位邮政编码如实填写。
5.单位电话如实填写, 要与就业协议书上一致,座机要加区号。
6.单位电子信箱如实填写。
7.签约单位所在地代码要使用下发的标准代码,“单位所在地代码”后四位不能为“0”。
“2016届全国地区代码和回生源地报到单位名称”已上传至群共享。
在协议书审核时,要在“2016届全国地区代码和回生源地报到单位名称”表中核对,确认无误后方可审核通过。
8.单位组织机构代码单位组织机构代码”要符合编码规则(不含“-”,9位,有字母的为大写。
或15位的企业工商注册号)在协议书审核时,“单位组织机构代码”必须通过全国组织机构代码管理中心官网/查询,确认无误后方可审核通过。
如果个别机关、事业或部队单位无法查到组织机构代码,可以填写“无”,不能用其他代码代替。
9.单位行业如实勾选。
10.单位性质如实勾选。
例:企业就如实勾选为国有企业、三资企业或其他企业,不能勾选为其它、机关、科研设计单位等不符信息。
医院就勾选医疗卫生单位。
中小学幼儿园就勾选中初教育单位。
11.职位类别代码如实勾选,不能为空。
(二)派遣单位信息1.单位名称(1)去就业地报到且用人单位有用人自主权或有用人单位上级主管部门意见公章(无用人自主权的需当地人才交流中心或社保局加盖公章)的直接填写签约单位名称。
若单位有特殊要求,如要求学生此栏填写单位所在地人才中心或人社局,须出具相关证明材料。
(2)回生源地报到的参照“2016届全国地区代码和回生源地报到单位名称”表(已上传至群共享)正确填写,师范生和非师范生回生源地报到单位名称是有区别的,审核时要对照,确认无误后方可审核通过。
学生…2015‟51 号关于做好2016届毕业生信息采集工作的通知各二级学院:为了进一步做好2016届毕业生就业工作,现开展2016届毕业生信息采集工作,具体通知如下:1、毕业生个人信息维护(11月8日前):登录福建省毕业生就业公共网就业管理和监测系统,完成个人信息的填写和补充。
填写前请先阅读系统操作手册(详见附件1),确保信息填写正确。
2、院级审核(11月15日前):辅导员对毕业生填写的个人信息进行审核确认,确认无误后通过系统上报校就业指导中心,审核注意事项请详见附件2。
3、校级审核(11月20日前):校就业指导中心对上报信息进行审核,确保全校毕业生信息填写无误。
4、信息上报:(11月30日前):通过系统将毕业生信息上报省人社厅和教育部。
请各学院务做好信息填写指导工作,要求毕业生认真填写个人信息,系统内的信息将作为今后办理报到证、派送档案的重要依据,不得有误。
在信息维护过程中出现问题的请及时与就业指导中心联系。
附件:1、毕业生个人信息维护注意事项2、福建省毕业生就业公共网就业管理和监测系统操作手册学生处 2015年10月12日抄送:校领导,有关部处泉州师范学院学生处 2015年10月12日印发附件1:福建省毕业生就业公共网就业管理和监测系统操作手册(毕业生)1.1用户登录1.1.1登录页面用户在浏览器地址输入: 进行访问。
浏览器将自动打开系统首页,提供了用户登录窗口,如下图:1.1.2登录用户名和密码系统默认用户毕业年份+身份证号码系统默认密码000用户只需在用户名、密码输入框中输入自己的用户名、密码,点击登录即可登录到后台系统中。
1.1.3忘记用户名、密码输入身份证号码、姓名、毕业年份、学历可以重置密码为0001.2系统桌面介绍用户登录后,系统显示如下图所示的操作桌面。
桌面左边是系统功能菜单,右边为主操作区。
1.3毕业信息维护1.3.1基本信息维护对基本信息进行维护时,当生源信息填写不完整时,系统对信息不予保存。
仲恺农业工程学院2016届本科毕业生就业质量年度报告二〇一六年十二月目录学校概况 (3)一、毕业生就业基本情况 (5)(一)毕业生规模和结构 (5)1、毕业生的人数 (5)2、毕业生的结构 (5)(二)毕业生就业率 (7)1、毕业生的初次就业率 (7)2、各学科的初次就业率 (9)(三)就业流向 (9)1、就业去向分布 (9)2、毕业生的就业单位类型流向 (10)3、单位所属行业流向 (10)二、2016届毕业生就业创业工作主要措施与服务 (12)(一)领导重视,形成毕业生就业创业工作长效机制 (12)(二)加大开拓毕业生就业市场的力度,多途径为毕业生提供就业渠道 (12)(三)重视学生职业生涯规划教育,加强学生就业核心能力的培养 (13)(四)加大创新创业教育支持力度,支持学生自主创业 (13)三、毕业生就业质量相关分析 (14)(一)毕业生的就业质量特点 (14)1、毕业生攻读研究生情况 (14)2、毕业生签约情况 (15)3、毕业生的薪酬情况 (16)4、二级学院专业对口率 (16)5、就业现状满意度 (17)(二)用人单位对毕业生的使用评价 (18)四、毕业生就业趋势分析 (19)(一)我校近三年就业趋势分析 (19)(二)毕业生就业意向 (19)1、理想就业地区 (19)2、就业意愿 (20)3、自己对就业信心的满意度 (21)(三)毕业生就业形势预测分析 (21)(四)下一步就业创业工作的重心 (22)学校概况仲恺农业工程学院是一所以农学、工学和管理学学科为优势,农学、工学、理学、经济学、管理学、文学、艺术学和法学等多学科协调发展的省属本科大学。
学校前身为仲恺农工学校,是第一次国共合作时期,近代民主革命先驱何香凝先生等提议、国民党中央为纪念廖仲恺先生爱护农工的意愿而决定创办的。
学校于1927年招生,何香凝先生首任校长15年。
1984年,经教育部、农牧渔业部批准,学校升格为本科院校,定名"仲恺农业技术学院",国家副主席王震同志题写校名。
2016届本科优秀毕业生名单大气科学学院(142)刘小瑛朱汉辰陈婧炜李婧祎苏筱倩杨阳张晓瑞胡帅赵婕韡贵强蔡聪李焕杰李争辉谢欣汝窦慧敏廖晨菲王瑞付亮刘静孙思远伍丽泉李妍君杨栩赵潇璇聂会文廖丞蕊王行思孙小林孙颖姝闫丽朱李爽周春江虞帅潘蕙王蔚青田宇李春黎余秋润张思嘉顾益宁郭宏力郭楠楠唐玉黄穗黄昕薛奥运马骄马婷王君华冯宇轩刘赞陈碧莹陆婷婷沈旻昱杨静张金霞颜子翔王鼎宇乌日柴胡付士稳叶茂乔娜沈默骄沈小岑位立人吴筱雯郝晓珍姜蕾杉龚俊强黄英杰黎文懋孔琳琳田雨吴昌航林益同周晓晔徐行蔡安琪谭可欣李思绪季鹏程玉冰陈萌萌徐致真黎璐露吉璐莹王燕闫梓宇徐娟孙涛刘遇郭子悦王佳张俊徐鑫萍张萌萌保云涛杨占梅阮佳鑫赵寅童宣季悦王吉麟刘冠州许永芳周霖胡枫孙晓蕾容逸能张家榕贾春晖谢彤张瑜陈宇杨罗琪赵鹤高达李琪杨可心李斐斐张海鹏方珂朱嬿朱舒君李梅沈皓俊张丽蓉金爱浩林亮岳文胡伟伟赵阳莫亚楠黄昱董自臻蔡博施晓雯卢长浩叶飞沈子力马依依肖鹏飞应用气象学院(32)马美娟王豫卢逸群陈贝烨汪美华鱼潇崔娟王琳王亚戈王楠楠任晓宇林艺妹荆思佳程珊珊刘洋郑泽霞赵珍桂诗雨康潆文温银晓马莉冯晓宇刘二华刘凤凤陈俊杨世琼张婍徐金勤符聪颖黄文晶谢燕红路漫漫地理与遥感学院(46)刘祎刘臻琦任澄宇宋雨晴赵英杰赵宇铭黄涛毛竹毛加斌王琼石湘宇陈坤陈渠李威鹏吴悦媛钱翠梁琛彬管佳卜帆陈珊珊李思岚沈程程时敏杨越金鹏飞周洋赵杰郭倩夏晓丽黄筱灿甄伟军潘健马慧王天瑞冯晓阳孙渡向嘉敏许春节罗颖周洁贺亚茹宦建巍赵倩夏超徐爱荣慕旭大气物理学院(66)杨敏高思楠任航周方袁月戴丹琼马宁堃刘燕斐陈海琴李林蔚李兆东姜苏麟樊丝慧于田甜王超王怿萱闫文辉沈吉吴乐乐杨锐胡玥明艳艳易游王健捷孙萌萌白孟鑫王超王梦旖刘俊任欢陈亚芳辛雪琪杨晓玲林志桃周蔡敏赵晨龙徐阳马骁骐万治成刘雪成张翰林郑天雪周炫成顾佳莹唐雅丽曾凡辉王超颖王倩倩刘淑贤朱丽杨怡曼余小嘉周颖真赵敏于超王元朱俊陈美玲宋灿严殊祺张蕾郭瑞徐逸雯程越茗曾晨薛丹水文气象学院(11)叶晓晨刘梦洋廖玥孙恒劳晓璨李欣韵邵文妍周星阳赵亦童韩翠齐日道娜海洋科学学院(11)张英俊李兆鑫姚晨周韵毛颖李晨汪淋柴霞陶烨明梁文艺游铮信息与控制学院(54)尤佳莹孙汉萍陈林沈静位环环吴斌屈琦周思汇赵文秀曹慧葛玲玲于金陆王丽刘瀚洋刘琪琪吕奇奇孙燕陈梦颖韩婷婷姜陶然徐晨恺隋文洋蒋民樊佳庆言耀杨潇张妤张睿高丹丹钱琦黄昆王猛王宁王昕王佳豪王梦然陈嘉炜宋海吴斌郁振波周峰徐乐乔东东李仁张贤范蓉蓉周栋梁贲睿韩笑祁建荣朱宁朱新晨吴珂张晶晶电子与信息工程学院(64)吕瑶琪严越余博文苗善华徐金艳曹贤婧陈敏陈彭鑫吴华娟季梦黎卓齐刚徐凡冯超刘畅束星玮张晶张丹阳周婉赵东方徐婧徐江涛袁振国蒋文倩曾玉姗王晓羽张田田芮烨晨屠乔乔于步云王菲刘刚孙为国周铭张倩张方舟张文杰屈梦祥李义李重阳吴佳惠杨威周润之俞逸菲秦英徐伟曹永祥陈治宇林海郝一飞殷政龚雨辰巴为阳王一忠田昊宇叶蒙蒙陈婷婷张旭单立强林清泉周明宇周润华施文婧曹礼梅韩璞芳环境科学与工程学院(63)王珊华欣华哲超陈晓芳李景余艳周思洵姜新辉赵梓辰韩珣谢军魏莉陈子琳王静刘喆孙怡李琪李文婧宋永艳邹思佳郑倩周凯莉郭政徐树红王婷王思岚尹露卢梦孙菲许雅楠连鑫博欧阳蓝郭玉唐尹琴彭璐璐王倩齐佳慧朱靖陈爽沙桐吴明吴秀竹张奔奔张晨昕赵薇赵晨阳谈昌蓉徐晓齐卢钰陆雯雯吴婷范柏杰夏晶夏文君徐佳曹悦常钰缪晔戴文娟丁明嫣王康平刘嫣然曹建颖计算机与软件学院(108)王宇卢惠健卢文泉刘斌朱秋蓉陈磊岳苏昊吴语涵张全张文涛季姚尧周琳琳赵婷桂小渊殷超凡丁梦茹于思洋刘映利孙文孙瑜张光张顾培张俊杰胡叶夏莲徐芝蔚王莹杜一帆陆业凤沈敏周婷赵晓赵静茹赵伟伟黄晓鸣黄焱晶董伟靳远志一颜文青王晨王晓霞刘晓慧师会会朱宝佳周子馨贾琦谢静万能王璐李玲李烨李曼斐汪宜琼张伟周天祺赵曙光顾玲夏丽丽潘婷王颖石岭峰华圆刘木沐李丽苑肖楠杨求龙张玉洁邹艳芸赵逸峰顾宇琳徐思颖葛妍娇方旭琪王晨王安喜王璐玥刘琴杨雨周露顾虹钱玉潇马捷成方佩刘莎庞奉仪俞卓玮顾诗凡倪涵夏伟童许金泉庄重陈琦陈嘉璐李炳辰杨家力李一凡沈新锋张含张君茹张祥龙张兆宇闵露庞佳婷周宏豪赵美萍高艺曹燚薛瑶环数学与统计学院(70)王晨石婧陈冬琴李剑李贤佩吴春燕张睿宇高晓烨高雪姣聂文静王宁申凡任璐邵珂沈寿波杨青青张雯张晗霄赵若辰郭思瑶浦仁松徐静静管正雄刁海涛尹张婷卢晶晶汤友花朱琳陈鹏李娟沈宝华张莹张婧怡金鑫程亚楠王赛花陈倩陈蓉蓉陈雨路苏云云杨歆雨郭利珍徐铭玮徐晓倩戴爽王妍石健刘晓萍陈丽媛李梦李欣罗正阳郭梦梦陶盈春蔡贵蔡煜雷蓓于华东王艺王政钟刘亚东朱秦峰陈希玥沈天汉林怡罗美珊罗钰婧周程晨龚子怡蔡倩雯物理与光电工程学院(52)白雨鑫刘伟任洲宏陈超陈猛郑成林胡鼎潘皓谦马宁木留华刘瑞英孙孟吴寒杨一博罗煜东赵雨薇黄嘉磊王槐亮张梦玮张跃文赵静曹燕子黄杰雷霆裴李娜潘康潘子云王萌萌王亚丽韦晨曦卢希许钐杉朱万祺邵诚卓张黎张冉罗礼海柏宇郝萌蒙姚胜男栾瑾瑜梅步青鲍烨何仲福李凌昊吴坡杨启迪张英张敏明张绪江邹秀娟黄鹂嘤嘤公共管理学院(35)王继承阳梦朱玉霞张云婷贺晓鑫袁玥堵婷婷商宏彬景莹喻旎马婷婷王晨洋王星怡刘建锋陈艺璐杜颖佳李璇邱莺鹦苏慧杨娇张佳希季娅南周宇顾晓菲霍亦吕婧许天娇陈彩霞杨浩范辰晨殷文君蒋莹莹鲁静文彭亚金濮婧经济管理学院(192)王娜王淋淋刘铮张宁张莉莉卓方媛鲍方云臧婕牟颖凤朱赪琳宋履安杨帆杨柳余彩云张帅唐玮颜青青丁怡清王弘淳李思凡周菲徐丽盛金花蔡芸卜子成邓捷史翠史悦君田野刘培朱敏张欣荣孟彤珠唐雨丹蒋琰洁王筠涵成伟刘娟刘禹乔许心仪陈倩倩张晶张庆贺单晓敏郑逸凡胡小萌赵佳璐钱嘉燕黄博文章雯傅宇薛雨清于明扬王颖王艺霏孙慧芹朱怡嘉花沁陆笑笑沈晖张婧郑炎胡娇娇曹诗文谢钰婷向莎莎朱晓蓉陈倩陈佳丽李博雅李俊俊邱红吴天竺杨宇娄曼秦静蒋佳宇缪颖妲潘琦彬卜乙倬丁林霞万蕊尤琳昀池咏许香玉陈玲杨莉张莹张妍金丽苗奕周琪胡艳董品蔡红蕾樊月筱潘虹朱慧锦何钰婷高毓蔓钱虹余雷雨晴黎阳阳王祺王春妮刘丽刘潇扬孙慧雅邱琳施贝贝高颖菲曹铭詹琳戴磊丁伟伟朱澄沙佳燕邹佳丽范圣妮周颖徐秋尘马翔宇刘一舟陈晨陈嫣如李梦雅沈宇丹汪文洁吴丹凤张雪梅周群周阳洪亦纯柳怡秋蒋纯熠成晓菲许彧杨静张芸查颖段雄钱淼淼徐圆圆靳晓伟马佩文万益于海宝王萍王雨中王怡婷刘凯菲刘钟曲许卉李婧琦陆倩倩张友菊张志燕张婧颖林月云赵明明屠羽景晶毛烨陈玉凤吴镇宇杨珊珊邰雨苗学斌徐雯雯蔡益梅陈俭俭苏浩南苏晓阳夏莹洁袁一宁程晗韩帝利王思卉王瑾秋许萌李欣陆静芮梦圆芮玉娟周薇宗鑫胡家莹姜珊唐怡蒋敏蒋梦姣景凡语言文化学院(59)纪超峰张莹莹张怡雯郭紫薇冀琳张凌张娴闵敏郑莉丽施怡倩姚中芹蔡潇潇孙令双朱凤梅闫星宇李星辰金花相婷婷徐可馨褚佳飞毛宇娇王辛未陈曼莉姜园园徐文蕾殷婷王旭王丽丽何雅倩李佳蕾苏美盆张晓洁童飞燕姚月秋王萌萌冯蕾陈思宇佟天竹翁子乔刘萍宋飘吴慧林吴津津党政佳徐梦远徐倩雯韩秀宏马成于文申小玲杜敏苗慧赵迪顾玥程雪梅何小田李豪袁振林海纳川传媒与艺术学院(39)王建男牟永涛孙冬梅杨奉张晓悦祖智丽徐青梅黄琪韩诗雨戴成方榕姁毛靖宇李信融李颖洁杨志慧林正涛周蔷白梦寒申雪刘欢周佳琳毛金蓉朱曼宁朱美婷何思颖何宋雯时玲燕孟令阳曹姜雪傅一培蒋贵源薛宁陈梦雅宋小晗杨逸菲单玲利莫子珩翁文羽黄新昱。
院系名称考生号身份证号姓名性别代码性别民族代码民族政治面貌代码学历代码红色字部分必须填写正确,大多可以直接选择,后面还有毕业生家庭联系电话,毕业生QQ号等内容
学历专业代码专业培养方式代码生源所在地生源所在地代码
1非定向
城乡生源学制入学时间毕业时间困难生类别代码师范生类别代码所在系院所在班级
学号出生日期档案是否转入学校户口是否转入学校毕业去向代码单位组织机构代码
单位名称单位性质代码单位行业代码单位所在地代码单位所在地工作职位类别代码
报到证签发类别代码报到证签往单位名称报到证签往单位所在地代码报到证签往单位所在地城乡居民低保家庭类别代码
毕业生家庭联系电话毕业生QQ号毕业生手机号毕业生电子信箱家庭地址家庭邮编
生源类别担任最高学生干部类型获得的最高表彰获得的最高奖学金获得的最高竞赛奖就业理想单位类型就业理想地区
就业薪资期望最想得到的就业服务工作与专业是否对口单位承诺的起薪单位规模就业城市类型求职成功渠道
你最满意的求职服务求职成本实习对求职的帮助对母校的满意度读研的理由备注。