高中数学选修2-1圆锥曲线基本知识点与典型题举例(后附答案)
- 格式:doc
- 大小:1.99 MB
- 文档页数:30
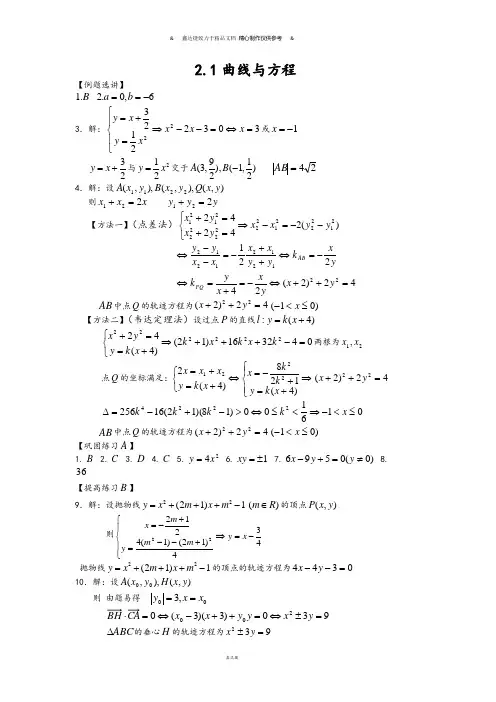
2.1曲线与方程【例题选讲】B .1 6,0.2-==b a3.解:3032212322=⇔=--⇒⎪⎩⎪⎨⎧=+=x x x x y x y 或1-=x 32y x =+与212y x =交于)21,1(),29,3(-B A 24=AB4.解:设),(),,(),,(2211y x Q y x B y x A 则x x x 221=+ y y y 221=+【方法一】(点差法)⎩⎨⎧=+=+424222222121y x y x )(221222122y y x x --=-⇒ yxk y y x x x x y y AB 22112121212-=⇔++-=--⇔42)2(2422=++⇔-=+=⇔y x y xx y k PQ AB 中点Q 的轨迹方程为42)2(22=++y x )01(≤<-x 【方法二】(韦达定理法)设过点P 的直线)4(:+=x k y l043216)12()4(42222222=-+++⇒⎩⎨⎧+==+k x k x k x k y y x 两根为21,x x点Q 的坐标满足:⇒⎪⎩⎪⎨⎧+=+-=⇔⎩⎨⎧+=+=)4(128)4(22221x k y k k x x k y x x x 42)2(22=++y x 016100)18)(12(162562224≤<-⇒<≤⇔>-+-=∆x k k k kAB 中点Q 的轨迹方程为42)2(22=++y x )01(≤<-x 【巩固练习A 】1.B2.C3.D4.C5.24x y = 6.1±=xy 7.)0(0596≠=+-y y x 8. 36【提高练习B 】9.解:设抛物线22(21)1y x m x m =+++-()m R ∈的顶点),(y x P则434)12()1(421222-=⇒⎪⎩⎪⎨⎧+--=+-=x y m m y m x 抛物线22(21)1y x m x m =+++-的顶点的轨迹方程为0344=--y x10.解:设),(),,(00y x H y x A 则 由题易得 00,3x x y ==930)3)(3(0200=±⇔=++-⇔=⋅y x y y x x CA BH ABC ∆的垂心H 的轨迹方程为932=±y x11.解:设所求直线l 与曲线1422=-y x 交于),(),,(2211y x B y x A 则621=+x x 221-=+y y【方法一】(点差法))(444442122212222222121y y x x y x y x -=-⇒⎩⎨⎧=-=- 43)(412121212-=⇔++=--⇔AB k y y x x x x y y 直线l 的方程为0543=-+y x 【方法二】(韦达定理法)设过点M 的直线)3(1:-=+x k y l 0)23(12)13(8)41(44)13(22222=+-++-⇒⎩⎨⎧=-+-=k k x k k x k y x k kx y 两根为21,x x 621=+x x 43614)13(82-=⇔=-+⇔k k k k 直线l 的方程为0543=-+y x12.解:直线2+=kx y 与曲线212y x =交于),(),,(2211y x B y x A则04221222=--⇒⎪⎩⎪⎨⎧=+=kx x x y kx y 两根为21,x x ⎩⎨⎧-==+⇒422121x x k x x 16)4)(1(4]4))[(1())(1(2221211221222≥++=-++=-+=k k x x x x k x x k AB 当且仅当0=k 时,4min =AB ,此时方程0422=--kx x 有两个不相等的根2.2椭圆的标准方程【例题选讲】1.D 2. (1)4 (2)4≥a 3.解:设n PF m PF ==21,则:5220,62=≤-≤==+c n m a n m]9,4[]36,16[)()(422∈⇔∈--+=mm n m n m mn 21PF PF ⋅的最大值为9,最小值为44.解:设(m PF =P 是椭圆13422=+y x 上任一点)及数列}{F P n 是公差为d 则点P 到椭圆的另一焦点的距离为m m a -=-42 311222)4(≤≤⇔≤-⇔=≤--m m c m m由题意得 213)1(1=-≤-=-d n PF PF n1001>d Θ 20121001<⇔<-n n ∴n 的最大值为200 【巩固练习A 】1.A 2。
选修2-1数学第2章圆锥曲线与方程单元练习题含答案学校:__________ 班级:__________ 姓名:__________ 考号:__________1. 某几何体是由直三棱柱与圆锥的组合体,起直观图和三视图如图所示,正视图为正方形,其中俯视图中椭圆的离心率为()A.√2B.12C.√24D.√222. 如图,已知双曲线E:x2a2−y2b2=1(a>0,b>0),长方形ABCD的顶点A,B分别为双曲线E的左、右焦点,且点C,D在双曲线E上,若|AB|=6,|BC|=52,则此双曲线的离心率为()A.√2B.32C.52D.√53. 设椭圆x2a2+y2b2=1(a>b>0)的左、右焦点分别为F1,F2,上顶点为B.若|BF2|=|F1F2|=2,则该椭圆的标准方程为()A.x24+y23=1 B.x23+y2=1 C.x22+y2=1 D.x24+y2=14. 已知双曲线C:x2a2−y2b2=1(a>0,b>0)的顶点和焦点到C的同一条渐近线的距离之比为12,则双曲线C的离心率是()A.√2B.2C.√3D.35. 已知点A(0,1),抛物线C:y2=ax(a>0)的焦点为F,射线FA与抛物线相交于M,与其准线相交于点N,若|FM|:|MN|=2:√5,则a=()A.2B.4C.6D.86. 焦点为(0,2)的抛物线的标准方程是()A.x2=8yB.x2=4yC.y2=4xD.y2=8x7. 椭圆x2+4y2=1的离心率为()A.√32B.34C.√22D.238. 若双曲线x24−m +y2m−2=1的渐近线方程为y=±13x,则m的值为()A.1B.74C.114D.59. 抛物线y=2x2的通径长为( )A.2B.1C.12D.1410. 已知双曲线C:x24−y2=1,则C的渐近线方程为 ( )A.y=±14x B.y=±13x C.y=±12x D.y=±x11. 椭圆x24+y25=1的离心率是()A.3 5B.√55C.25D.1512. 已知双曲线C:x2a2−y2b2=1(a>0,b>0)的右焦点为F,过F作直线l与两条渐近线交于A,B两点.若△OAB为等腰直角三角形(O为坐标原点)则△OAB的面积为( )A.a2B.2a3C.2a2或a2D.2a2或12a213. 已知椭圆x29+y25=1的左焦点为F,点P在椭圆上且在x轴的上方,若线段PF的中点在以原点O为圆心,|OF|为半径的圆上,则直线PF的斜率是________.14. 若直线y=x+b与曲线x=√1−y2恰有一个公共点,则b的取值范围是________.15. 与椭圆x25+y23=1共焦点的等轴双曲线的方程为________.16. 已知双曲线x2−y28=1上有三个点A,B,C,且AB,BC,AC的中点分别为D,E,F,用字母k表示斜率,若k OD+k OE+k OF=−8(点O为坐标原点,且k OD,k OE,k OF均不为零),则1k AB +1k BC+1k AC=________.17. 设命题p:方程x2a+6+y2a−7=1表示中心在原点,焦点在坐标轴上的双曲线;命题q:存在x∈R,使得x2−4x+a<0.若“p∧(¬q)”为真,求实数a的取值范围.18. 回答下列问题:(1)求过点(2,−2)且与双曲线x 22−y2=1有公共渐近线的双曲线的方程;(2)求双曲线x 24−y25=1的焦点到其渐近线的距离.19. 如图,已知椭圆C:x2a2+y2b2=1(a>b>0)的左、右焦点分别为F1,F2,点A为椭圆C上任意一点,A关于原点O的对称点为B,有|AF1|+|BF1|=4,且∠F1AF2的最大值为π3.(1)求椭圆C的标准方程;(2)若A′是A关于x轴的对称点,设点N(4,0),连接NA与椭圆C相交于点E,问直线A′E与x轴是否交于一定点,如果是,求出该定点坐标;如果不是,说明理由.20. 已知椭圆的焦点在α轴上,一个顶点为(0,1),离心率为e=√5,过椭圆的右焦点F的直线1与坐标轴不垂直,且交椭圆于A,B两点.(1)求椭圆的方程.(2)设点C是点A关于x轴的对称点,在α轴上是否存在一个定点N,使得C,B,N三点共线?若存在,求出定点N的坐标;若不存在,说明理由.21. 已知直线l:x−y+1=0与焦点为F的抛物线C:y2=2px(p>0)相切.(1)求抛物线C的方程;(2)过点F的直线m与抛物线C交于A,B两点,求A,B两点到直线l的距离之和的最小值.22. 已知椭圆C:x2a2+y2b2=1(a>b>0)的左、右顶点分别为A,B,离心率为12,点P(1, 32)为椭圆上一点.(Ⅰ)求椭圆C的标准方程;(Ⅱ)如图,过点C(0, 1)且斜率大于1的直线l与椭圆交于M,N两点,记直线AM,BN的斜率分别为k1,k2,若k1=2k2,求直线l斜率的值.参考答案与试题解析选修2-1数学第2章 圆锥曲线与方程单元练习题含答案一、 选择题 (本题共计 12 小题 ,每题 5 分 ,共计60分 ) 1.【答案】 D【考点】 椭圆的定义 【解析】根据三视图的性质得到俯视图中椭圆的短轴长和长周长,再根据椭圆的性质a 2−b 2=c 2,和离心率公式e =ca ,计算即可.【解答】解:设正视图正方形的边长为2,根据正视图与俯视图的长相等,得到俯视图中椭圆的短轴长2b =2,俯视图的宽就是圆锥底面圆的直径2√2,得到俯视图中椭圆的长轴长2a =2√2, 则椭圆的半焦距c =√a 2−b 2=1, 根据离心率公式得,e =c a =√2=√22; 故选D . 2. 【答案】 B【考点】双曲线的标准方程 【解析】本题主要考查双曲线的几何性质. 【解答】解:因为2c =|AB|=6,所以c =3. 因为b 2a =|BC|=52,所以5a =2b 2. 又c 2=a 2+b 2,所以9=a 2+5a 2,解得a =2或a =−92(舍去),故该双曲线的离心率e =c a=32.故选B . 3. 【答案】 A【考点】椭圆的标准方程 【解析】由|BF 2|=|F 1F 2|=2,可得a =2c =2,即可求出a ,b ,从而可得椭圆的方程. 【解答】解:∵ |BF 2|=|F 1F 2|=2,∴a=2c=2,∴a=2,c=1,∴b=√3,∴椭圆的方程为x24+y23=1.故选A.4.【答案】B【考点】双曲线的离心率【解析】【解答】解:∵双曲线C的顶点和焦点到同一条渐近线的距离之比为12,由三角形相似得ac =12,∴e=ca=2.故选B.5.【答案】D【考点】斜率的计算公式抛物线的性质【解析】无【解答】解:依题意F点的坐标为(a4,0),作MK垂直于准线,垂足为K,由抛物线的定义知|MF|=|MK|,因为|FM|:|MN|=2:√5,则|KN|:|KM|=1:2.k FN =0−1a4−0=−4a ,k FN =−|KN||KM|=−12,所以−4a =−12,求得a =8. 故选D . 6. 【答案】 A【考点】抛物线的标准方程 【解析】 此题暂无解析 【解答】解:由题意得,抛物线的焦点为(0,2), 可得p =4.又抛物线的焦点在y 轴的正半轴, 所以抛物线的标准方程为x 2=8y . 故选A. 7. 【答案】 A【考点】 椭圆的离心率 【解析】 此题暂无解析 【解答】 此题暂无解答 8.【答案】 B【考点】 双曲线的定义 【解析】 此题暂无解析 【解答】 此题暂无解答 9.【答案】 C【考点】 抛物线的定义 抛物线的性质 【解析】抛物线y =−2x 2,即x 2=−12y ,可得2p .解:抛物线y=2x2,化为标准方程为x2=12y,可得2p=12,因此通径长为12.故选C.10.【答案】C【考点】双曲线的渐近线【解析】根据双曲线的方程求出双曲线的渐近线即可. 【解答】解:由题意可得,a=2,b=1,则双曲线的渐近线方程为y=±ba x=±12x.故选C.11.【答案】B【考点】椭圆的离心率椭圆的标准方程【解析】根据椭圆的标准方程求出a,b的值,根据椭圆中c2=a2−b2就可求出c,再利用离心率e=ca得到离心率.【解答】解:由椭圆方程为x 24+y25=1可知,a2=5,b2=4,∴c2=a2−b2=1,a=√5,∴c=1,∴椭圆的离心率e=ca =√55.故选B.12.【答案】D【考点】双曲线的简单几何性质双曲线中的平面几何问题本题主要考查双曲线的性质以及直线和双曲线的关系,联立方程组,求出点的坐标,再求出面积即可.【解答】解:①若∠AOB=90∘,则∠AOF=45∘,∴ba=1故c=√a2+b2=√2a,∴S△OAB=12⋅2c⋅c=c2=2a2;②若∠BAO=90∘,则l与y=bax垂直且过F点,垂足为A,∴ l的斜率为−ab,则直线l的方程为y=−ab(x−c),联立{y=−ab⋅(x−c),y=bax,解得x=a 2c ,y=abc,则点A为(a 2c ,ab c)∴ △OAB为等腰直角三角形,OB为斜边,∴ OA=AB,OA2=(a2c )2+(abc)2=a2,∴S△OAB=12OA⋅AB=12OA2=12a2.综上所述S△OAB=2a2或12a2.故选D.二、填空题(本题共计 4 小题,每题 5 分,共计20分)13.【答案】√15【考点】与椭圆有关的中点弦及弦长问题【解析】此题暂无解析【解答】解:由椭圆方程可知a=3,c=2,∴F(−2, 0),根据题意,画出图形:设线段PF中点为M,椭圆右焦点为F1,∵M在以O为圆心,|OF|为半径的圆上,∴F1也在圆上,连接OM, PF1, MF1,则∠FMF1=90∘,OM是△FPF1的中位线,∴|PF1|=2|OM|=2|OF|=2×2=4,由椭圆定义|PF|+|PF1|=2a=6,得|PF|=2,|MF|=|PF|2=1,又∵∠FMF1为直角,|MF1|2=|FF1|2−|MF|2=15,∴tan∠MFF1=|MF1||MF|=√151=√15,∴直线PF的斜率是√15.故答案为:√15.14.【答案】(−1,1]∪{−√2}【考点】曲线与方程直线与圆的位置关系【解析】此题暂无解析【解答】x=√1−y2⇔x2+y2=1(x≥0)方程x2+y2=1(x≥0)所表示的曲线为半圆(如图)当直线与圆相切时或在l2与l3之间时,适合题意.此时−1<b≤1或b=−√2,所以b的取值范围是(−1,1]∪{−√2}.15.【答案】x2−y2=1【考点】双曲线的标准方程圆锥曲线的共同特征【解析】利用椭圆的三参数的关系求出双曲线的焦点坐标;利用等轴双曲线的定义设出双曲线的方程,据双曲线中三参数的关系求出双曲线的方程.【解答】解:对于x 25+y23=1知半焦距为c=√5−3=√2所以双曲线的焦点为(±√2,0)设等轴双曲线的方程为x 2a2−y2a2=1据双曲线的三参数的关系得到2a2=2所以a2=1所以双曲线的方程为x2−y2=1.故答案为:x2−y2=116.【答案】−1【考点】斜率的计算公式中点坐标公式与双曲线有关的中点弦及弦长问题【解析】【解答】解:设A(x1,y1),B(x2,y2),D(x0,y0),则x1+x2=2x0,y1+y2=2y0,x12−y128=1,x22−y228=1,两式相减得(x1−x2)(x1+x2)=(y1+y2)(y1−y2)8,整理可得x1−x2y1−y2=y08x0,即1k AB=k OD8,同理得1k BC =k OE8,1k AC=k OF8.因为k OD+k OE+k OF=−8,所以1k AB +1k BC+1k AC=−1.故答案为:−1.三、解答题(本题共计 6 小题,每题 11 分,共计66分)17.【答案】解:命题p :(a +6)(a −7)<0,解得−6<a <7; 命题q :Δ=(−4)2−4a >0,解得a <4. ∴ ¬q :a ≥4.∵ “p ∧(¬q)”为真, ∴ p 为真且¬q 为真, ∴ 4≤a <7. 【考点】逻辑联结词“或”“且”“非” 双曲线的标准方程 一元二次不等式的解法【解析】 此题暂无解析 【解答】解:命题p :(a +6)(a −7)<0,解得−6<a <7; 命题q :Δ=(−4)2−4a >0,解得a <4. ∴ ¬q :a ≥4.∵ “p ∧(¬q)”为真, ∴ p 为真且¬q 为真, ∴ 4≤a <7. 18. 【答案】解:(1)因为所求双曲线与双曲线x 22−y 2=1有公共渐近线, 所以可设所求双曲线的方程为x 22−y 2=λ(λ≠0).因为所求双曲线过点(2,−2), 所以222−(−2)2=λ,得λ=−2,所以所求双曲线的方程为y 22−x 24=1. (2)因为双曲线的方程为x 24−y 25=1,所以双曲线的一条渐近线方程为y =√52x , 即√5x −2y =0.因为双曲线的左、右焦点到渐近线的距离相等, 且(3,0)为双曲线的一个焦点, 所以双曲线x 24−y 25=1的焦点到其渐近线的距离为|3√5−0|3=√5.【考点】双曲线的离心率 【解析】 此题暂无解析 【解答】解:(1)因为所求双曲线与双曲线x 22−y 2=1有公共渐近线,所以可设所求双曲线的方程为x 22−y 2=λ(λ≠0).因为所求双曲线过点(2,−2), 所以222−(−2)2=λ,得λ=−2, 所以所求双曲线的方程为y 22−x 24=1. (2)因为双曲线的方程为x 24−y 25=1,所以双曲线的一条渐近线方程为y =√52x , 即√5x −2y =0.因为双曲线的左、右焦点到渐近线的距离相等, 且(3,0)为双曲线的一个焦点, 所以双曲线x 24−y 25=1的焦点到其渐近线的距离为|3√5−0|3=√5.19.【答案】解:(1)点A 为椭圆C 上任意一点, A 关于原点O 的对称点为B , 由|AF 1|+|BF 1|=4知 2a =4, 得a =2.又∠F 1AF 2的最大值为π3,知当A 为上顶点时,∠F 1AF 2最大, 所以a =2c , 得c =1,所以b 2=a 2−c 2=3. 所以椭圆C 的标准方程为x 24+y 23=1.(2)由题知NA 的斜率存在,设NA 方程为 y =k(x −4),与椭圆联立,得(4k 2+3)x 2−32k 2x +64k 2−12=0.① 设点A (x 1,y 1),E (x 2,y 2), 则A ′(x 1,−y 1).直线A ′E 方程为y −y 2=y 2+y1x 2−x 1(x −x 2).令y =0得x =x 2+y 2(x 1−x 2)y 1+y 2,将y1=k(x1−4),y2=k(x2−4)代入,整理得,x=2x1x2−4(x1+x2)x1+x2−8.②x1+x2=32k24k2+3,x1x2=64k2−124k2+3.代入②整理,得x=1.所以直线A′E与x轴交于定点Q(1,0). 【考点】圆锥曲线中的定点与定值问题与直线关于点、直线对称的直线方程直线与椭圆结合的最值问题椭圆的标准方程椭圆的定义【解析】此题暂无解析【解答】解:(1)点A为椭圆C上任意一点,A关于原点O的对称点为B,由|AF1|+|BF1|=4知2a=4,得a=2.又∠F1AF2的最大值为π3,知当A为上顶点时,∠F1AF2最大,所以a=2c,得c=1,所以b2=a2−c2=3.所以椭圆C的标准方程为x 24+y23=1.(2)由题知NA的斜率存在,设NA方程为y=k(x−4),与椭圆联立,得(4k2+3)x2−32k2x+64k2−12=0.①设点A(x1,y1),E(x2,y2),则A′(x1,−y1).直线A′E方程为y−y2=y2+y1x2−x1(x−x2).令y =0得x =x 2+y 2(x 1−x 2)y 1+y 2,将y 1=k (x 1−4),y 2=k (x 2−4)代入, 整理得,x =2x 1x 2−4(x 1+x 2)x 1+x 2−8.②x 1+x 2=32k 24k 2+3, x 1x 2=64k 2−124k 2+3.代入②整理,得x =1.所以直线A ′E 与x 轴交于定点Q(1,0). 20. 【答案】(1)椭圆C 的标准方程为x 25+y 2=1.(2)存在定点N (52,0),使得C .B .N 三点共线. 【考点】直线与椭圆结合的最值问题 椭圆的标准方程【解析】 此题暂无解析 【解答】 解:(1)由椭圆的焦点在x 轴上, 设椭圆C 的方程为x 2a2+y 2b 2=1(ab >0),椭圆C 的一个顶点为(0,1),即b =1, 由e =ac √1−b 2a 2=√5解得a 2=5,∴ 椭圆C 的标准方程为x 25+y 2=1.(2)由得F (2,0),设A (x 1,y 1),B (x 2,y 2)设直线l 的方程为y =k (x −2)(k ≠0),代入椭圆方程,消去y 可得 (5k 2+1)x 2−20k 2x +20k 2−5=0, 则x 1+x 2=20k 25k 2+1,x 1x 2=20k 2−55k 2+1.∵ 点C 与点A 关于x 轴对称, ∴ C (x 1,−y 1) .假设存在N (t,0),使得C ,B ,N 三点共线, 则BN →=(t −x 2,−y 2),CN →=(t −x 1,y 1). ∵ C ,B ,N 三点共线,∴ BN →//CN →,∴ (t −x 2)y 1+(t −x 1)y 2=0, 即(y 1+y 2)t =x 2y 1+x 1y 2 ∴ t =k (x 1−2)x 2+k (x 2−2)x 1k (x 1−2)+k (x 2−2) =2⋅20k 2−55k 2+1−2⋅20k 25k 2+120k 25k 2+1−4=52∴ 存在定点N (52,0),使得C .B .N 三点共线.21.【答案】解:(1)∵ 直线l :x −y +1=0与抛物线C 相切. 由{x −y +1=0,y 2=2px ,得y 2−2py +2p =0,从而Δ=4p 2−8p =0, 解得p =2.∴ 抛物线C 的方程为y 2=4x . (2)由于直线m 的斜率不为0,所以可设直线m 的方程为ty =x −1,A(x 1,y 1),B(x 2,y 2), 由{ty =x −1,y 2=4x ,消去x 得y 2−4ty −4=0,∴ y 1+y 2=4t ,从而x 1+x 2=4t 2+2, ∴ 线段AB 的中点M 的坐标为(2t 2+1,2t). 设点A 到直线l 的距离为d A , 点B 到直线l 的距离为d B , 点M 到直线l 的距离为d , 则d A +d B =2d =2⋅2√2=2√2|t 2−t +1| =2√2|(t −12)2+34|,∴ 当t =12时,A ,B 两点到直线l 的距离之和最小,最小值为3√22. 【考点】直线与抛物线结合的最值问题 二次函数在闭区间上的最值 抛物线的标准方程 直线与圆的位置关系【解析】 此题暂无解析 【解答】解:(1)∵ 直线l :x −y +1=0与抛物线C 相切. 由{x −y +1=0,y 2=2px ,得y 2−2py +2p =0,从而Δ=4p 2−8p =0, 解得p =2.∴ 抛物线C 的方程为y 2=4x . (2)由于直线m 的斜率不为0,所以可设直线m 的方程为ty =x −1,A(x 1,y 1),B(x 2,y 2), 由{ty =x −1,y 2=4x ,消去x 得y 2−4ty −4=0,∴ y 1+y 2=4t ,从而x 1+x 2=4t 2+2, ∴ 线段AB 的中点M 的坐标为(2t 2+1,2t). 设点A 到直线l 的距离为d A , 点B 到直线l 的距离为d B , 点M 到直线l 的距离为d , 则d A +d B =2d =2⋅2√2=2√2|t 2−t +1| =2√2|(t −12)2+34|,∴ 当t =12时,A ,B 两点到直线l 的距离之和最小,最小值为3√22. 22. 【答案】(1)根据题意,椭圆的离心率为12,即e =ca =2,则a =2c . 又∵ a 2=b 2+c 2,∴ b =√3c . ∴ 椭圆的标准方程为:x 24c 2+y 23c 2=1. 又∵ 点P(1, 32)为椭圆上一点,∴ 14c 2+943c 2=1,解得:c =1.∴ 椭圆的标准方程为:x 24+y 23=1.(2)由椭圆的对称性可知直线l 的斜率一定存在,设其方程为y =kx +1. 设M(x 1, y 1),N(x 2, y 2).联列方程组:{x 24+y 23=1y =kx +1 ,消去y 可得:(3+4k 2)x 2+8kx −8=0. ∴ 由韦达定理可知:x 1+x 2=−8k 3+4k2,x 1x 2=−83+4k 2.∵ k 1=y 1x 1+2,k 2=y 2x 1−2,且k 1=2k 2,∴y 1x 1+2=2y 2x 2−2,即y 12(x 1+2)2=4y 22(x 2−2)2.①又∵ M(x 1, y 1),N(x 2, y 2)在椭圆上, ∴ y 12=34(4−x 12),y 22=34(4−x 22).② 将②代入①可得:2−x 12+x 1=4(2+x 2)2−x 2,即3x 1x 2+10(x 1+x 2)+12=0.∴ 3(−83+4k 2)+10(−8k3+4k 2)+12=0,即12k 2−20k +3=0. 解得:k =16或k =32. 又由k >1,则k =32. 【考点】 椭圆的离心率 【解析】(1)根据题意,由椭圆离心率可得a =2c ,进而可得b =√3c ,则椭圆的标准方程为x 24c 2+y 23c 2=1,将P 的坐标代入计算可得c 的值,即可得答案; (2)根据题意,设直线l 的方程为y =kx +1,设M(x 1, y 1),N(x 2, y 2),将直线的方程与椭圆联立,可得(3+4k 2)x 2+8kx −8=0,由根与系数的关系分析,:x 1+x 2=−8k 3+4k 2,x 1x 2=−83+4k 2,结合椭圆的方程与直线的斜率公式可得3(−83+4k 2)+10(−8k3+4k 2)+12=0,即12k 2−20k +3=0,解可得k 的值,即可得答案. 【解答】(1)根据题意,椭圆的离心率为12,即e =c a=2,则a =2c .又∵ a 2=b 2+c 2,∴ b =√3c . ∴ 椭圆的标准方程为:x 24c 2+y 23c 2=1. 又∵ 点P(1, 32)为椭圆上一点,∴ 14c 2+943c 2=1,解得:c =1.∴ 椭圆的标准方程为:x 24+y 23=1.(2)由椭圆的对称性可知直线l 的斜率一定存在,设其方程为y =kx +1. 设M(x 1, y 1),N(x 2, y 2).联列方程组:{x 24+y 23=1y =kx +1 ,消去y 可得:(3+4k 2)x 2+8kx −8=0.∴ 由韦达定理可知:x 1+x 2=−8k 3+4k 2,x 1x 2=−83+4k 2.∵ k 1=y 1x1+2,k 2=y 2x 1−2,且k 1=2k 2,∴ y 1x 1+2=2y 2x 2−2,即y 12(x 1+2)2=4y 22(x 2−2)2.①又∵ M(x 1, y 1),N(x 2, y 2)在椭圆上, ∴ y 12=34(4−x 12),y 22=34(4−x 22).② 将②代入①可得:2−x12+x 1=4(2+x 2)2−x 2,即3x 1x 2+10(x 1+x 2)+12=0.∴ 3(−83+4k 2)+10(−8k 3+4k 2)+12=0,即12k 2−20k +3=0.解得:k =16或k =32. 又由k >1,则k =32.。
知识点拨:解圆锥曲线问题常用方法(二)【学习要点】解圆锥曲线问题常用以下方法:4、数形结合法解析几何是代数与几何的一种统一,常要将代数的运算推理与几何的论证说明结合起来考虑问题,在解题时要充分利用代数运算的严密性与几何论证的直观性,尤其是将某些代数式子利用其结构特征,想象为某些图形的几何意义而构图,用图形的性质来说明代数性质。
如“2x+y”,令2x+y=b ,则b 表示斜率为-2的直线在y 轴上的截距;如“x 2+y 2”,令d y x =+22,则d 表示点P (x ,y )到原点的距离;又如“23+-x y ”,令23+-x y =k ,则k 表示点P (x 、y )与点A (-2,3)这两点连线的斜率……5、参数法(1)点参数利用点在某曲线上设点(常设“主动点”),以此点为参数,依次求出其他相关量,再列式求解。
如x 轴上一动点P ,常设P (t ,0);直线x-2y+1=0上一动点P 。
除设P (x 1,y 1)外,也可直接设P (2y,-1,y 1) (2)斜率为参数当直线过某一定点P(x 0,y 0)时,常设此直线为y-y 0=k(x-x 0),即以k 为参数,再按命题要求依次列式求解等。
(3)角参数当研究有关转动的问题时,常设某一个角为参数,尤其是圆与椭圆上的动点问题。
6、代入法这里所讲的“代入法”,主要是指条件的不同顺序的代入方法,如对于命题:“已知条件P 1,P 2求(或求证)目标Q”,方法1是将条件P 1代入条件P 2,方法2可将条件P 2代入条件P 1,方法3可将目标Q 以待定的形式进行假设,代入P 1,P 2,这就是待定法。
不同的代入方法常会影响解题的难易程度,因此要学会分析,选择简易的代入法。
【典型例题】例1:已知P(a,b)是直线x+2y-1=0上任一点,求S=136422+-++b a b a 的最小值。
分析:由此根式结构联想到距离公式,解:S=22)3()2(-++b a 设Q(-2,3),则S=|PQ|,它的最小值即Q 到此直线的距离 ∴S min5535|1322|=-⨯+-点评:此题也可用代入消元的方法转化为二次函数的最小值问题(注:可令根式内为t 消元后,它是一个一元二次函数)例2:已知点P(x,y)是圆x 2+y 2-6x-4y+12=0上一动点,求xy的最值。
高中数学选修2--1圆锥曲线基本知识点与典型题举例一、椭圆1.椭圆的定义:第一定义:平面内到两个定点F1、F2的距离之和等于定值2a(2a>|F1F2|)的点的轨迹叫做椭圆,这两个定点叫做椭圆的焦点,两焦点的距离叫做椭圆的焦距.第二定义: 平面内到定点F与到定直线l的距离之比是常数e(0<e<1)的点的轨迹是椭圆,定点叫做椭圆的焦点,定直线l叫做椭圆的准线,常数e叫做椭圆的离心率.121212迹方程是( )(A)椭圆 (B)直线 (C)圆 (D)线段例 2. 已知ABC ∆的周长是16,)0,3(-A ,B )0,3(, 则动点的轨迹方程是( )(A)1162522=+y x (B))0(1162522≠=+y y x (C)1251622=+y x (D))0(1251622≠=+y y x例3. 若F (c ,0)是椭圆22221x y a b+=的右焦点,F 与椭圆上点的距离的最大值为M ,最小值为m ,则椭圆上与F 点的距离等于2M m+的点的坐标是( ) (A)(c ,2b a±) 2()(,)b B c a -± (C)(0,±b ) (D)不存在例4 设F 1(-c ,0)、F 2(c ,0)是椭圆22x a +22y b=1(a >b >0)的两个焦点,P 是以F 1F 2为直径的圆与椭圆的一个交点,若∠PF 1F 2=5∠PF 2F 1,则椭圆的离心率为( )(A)2 (B)32 (D)3例5. P 点在椭圆1204522=+y x 上,F 1、F 2是两个焦点,若21PF PF ⊥,则P 点的坐标是 .例6. 写出满足下列条件的椭圆的标准方程:(1)长轴与短轴的和为18,焦距为6; . (2)焦点坐标为)0,3(-,)0,3(,并且经过点(2,1); . (3)椭圆的两个顶点坐标分别为)0,3(-,)0,3(,且短轴是长轴的31; ____.(4)离心率为23,经过点(2,0); .例7. 12F F 、是椭圆2214x y +=的左、右焦点,点P 在椭圆上运动,则12||||PF PF ⋅的最大值是 .二、双曲线1.双曲线的定义:第一定义:平面内到两个定点F 1、F 2的距离之差的绝对值等于定值2a (0<2a <|F 1F 2|)的点的轨迹叫做双曲线,这两个定点叫做双曲线的焦点,两焦点的距离叫做双曲线的焦距.第二定义: 平面内到定点F 与到定直线l 的距离之比是常数e (e >1)的点的轨迹是双曲线,定点叫做双曲线的焦点,定直线l 叫做双曲线的准线,常数e 叫做双曲线的离心率例8 .命题甲:动点P 到两定点A 、B 的距离之差的绝对值等于2a (a >0);命题乙: 点P 的轨迹是双曲线。
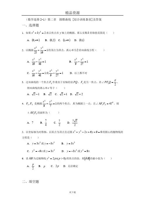
(数学选修2-1)第二章 圆锥曲线 [综合训练B 组]及答案一、选择题1.如果222=+ky x 表示焦点在y 轴上的椭圆,那么实数k 的取值范围是( )A .()+∞,0B .()2,0C .()+∞,1D .()1,02.以椭圆1162522=+y x 的顶点为顶点,离心率为2的双曲线方程( ) A .1481622=-y x B .127922=-y x C .1481622=-y x 或127922=-y x D .以上都不对 3.过双曲线的一个焦点2F 作垂直于实轴的弦PQ ,1F 是另一焦点,若∠21π=Q PF ,则双曲线的离心率e 等于( )A .12-B .2C .12+D .22+4.21,F F 是椭圆17922=+y x 的两个焦点,A 为椭圆上一点,且∠02145=F AF ,则 Δ12AF F 的面积为( ) A .7 B .47 C .27 D .257 5.以坐标轴为对称轴,以原点为顶点且过圆096222=++-+y x y x 的圆心的抛物线的方程是( )A .23x y =或23x y -= B .23x y =C .x y 92-=或23x y = D .23x y -=或x y 92=6.设AB 为过抛物线)0(22>=p px y 的焦点的弦,则AB 的最小值为( )A .2pB .pC .p 2D .无法确定二、填空题1.椭圆22189x y k +=+的离心率为12,则k 的值为______________。
2.双曲线2288kx ky -=的一个焦点为(0,3),则k 的值为______________。
3.若直线2=-y x 与抛物线x y 42=交于A 、B 两点,则线段AB 的中点坐标是______。
4.对于抛物线24y x =上任意一点Q ,点(,0)P a 都满足PQ a ≥,则a 的取值范围是____。
5.若双曲线1422=-m y x 的渐近线方程为x y 23±=,则双曲线的焦点坐标是_________. 6.设AB 是椭圆22221x y a b+=的不垂直于对称轴的弦,M 为AB 的中点,O 为坐标原点,则AB OM k k ⋅=____________。
第二章圆锥曲线与方程1、平面内与两个定点F i , F2的距离之和等于常数(大于| F,F2| )的点的轨迹称为椭圆.这两个定点称为椭圆的焦点,两焦点的距离称为椭圆的焦距.2、椭圆的几何性质:3、设是椭圆上任一点,点到F,对应准线的距离为d,,点到F2对应准线的距离为d2,则丄丄d i d24、平面内与两个定点F i , F2的距离之差的绝对值等于常数(小于|F i F2 )的点的轨迹称为双曲线.这两个定点称为双曲线的焦点,两焦点的距离称为双曲线的焦距.5、双曲线的几何性质:b 6实轴和虚轴等长的双曲线称为等轴双曲线.7、设 是双曲线上任一点,点 到F i 对应准线的距离为d i ,点 到F 2对应准线的距离为8、平面内与一个定点F 和一条定直线丨的距离相等的点的轨迹称为抛物线.定点 F 称为抛物线的焦点,定直线I 称为抛物线的准线. 9、 过抛物线的焦点作垂直于对称轴且交抛物线于 、两点的线段,称为抛物线的“通径”即|| 2p .10、 焦半径公式: 若点 x °,y 。
在抛物线 2y 2px p 0上,焦点为F ,则 Fx 卫 X 。
27若点 x °,y ° 在抛物线 2y2px p 0上,焦点为F ,贝H Fp 7;若点 x °,y 。
在抛物线 2X 2py p 0上,焦点为F ,则 F y0号若点 X o ,y o 在抛物线 2X2py p0上,焦点为F ,贝 JI Fy 。
p2 .11、抛物线的几何性质:d 2,则F iF2d 1d 2圆锥曲线测试题一、选择题:1 •已知动点M的坐标满足方程13「x2—y2|12x 5y 12|,则动点M的轨迹是()A.抛物线B. 双曲线C. 椭圆D. 以上都不对2 22•设P是双曲线笃L 1上一点,双曲线的一条渐近线方程为3x 2y 0, R、F2分别a 9是双曲线的左、右焦点,若IPFJ 5,则|PF2 | ()A. 1 或5B. 1 或9C. 1D. 93. 设椭圆的两个焦点分别为只、、F2,过F2作椭圆长轴的垂线交椭圆于点巳若厶F1PF2为等腰直角三角形,则椭圆的离心率是()•A. B. 辽1C. 2 ,2 D. .2 12 24. 过点(2,-1)引直线与抛物线y x2只有一个公共点,这样的直线共有()条A. 1 C. 35. 已知点A( 2,0)、B(3,0),动点P(x,y)满足PA PB y2,则点P的轨迹是()A.圆 B .椭圆 C.双曲线 D.抛物线2 26. 如果椭圆——1的弦被点(4,2)平分,则这条弦所在的直线方程是()36 9A x 2y 0B x 2y 4 0C ■ 2x 3y 12 0D x 2y 8 0214x7、无论 为何值,方程x 2 2sin y 21所表示的曲线必不是( )二、填空题:22 2 29、 对于椭圆— ' 1和双曲线— ' 1有下列命题:16979①椭圆的焦点恰好是双曲线的顶点;②双曲线的焦点恰好是椭圆的顶点; ③双曲线与椭圆共焦点; ④椭圆与双曲线有两个顶点相同•其中正确命题的序号是10、 若直线(1 a)x y 1 0与圆x 2 y 2 2x 0相切,贝U a 的值为 _______________________ 11、 抛物线y x 2上的点到直线4x 3y 8 0的距离的最小值是 _______________12、 抛物线 C: y 2=4x 上一点Q 到点B(4,1)与到焦点 F 的距离和最小,则点Q 的坐 标 。
§2.1圆锥曲线学习目标 1.了解当一个平面截一个圆锥面时,所截得的图形的各种情况.2.初步掌握椭圆、双曲线、抛物线的定义及其几何特征.3.通过平面截圆锥面的实验和对有关天体运动轨道的了解,知道圆锥曲线在我们身边广泛存在.知识点一椭圆的定义观察图形,思考下列问题:思考1如图,把细绳两端拉开一段距离,分别固定在图板上的两点F1,F2处,套上铅笔,拉紧绳子,移动笔尖,画出的轨迹是什么图形?答案椭圆思考2图中移动的笔尖始终满足怎样的几何条件?答案PF1+PF2是常数(大于F1F2).梳理平面内到两个定点F1,F2的距离的和等于常数(大于F1F2)的点的轨迹叫做椭圆,两个定点F1,F2叫做椭圆的焦点,两焦点间的距离叫做椭圆的焦距.知识点二双曲线的定义观察图示,若固定拉链上一点F1或F2,拉开或闭拢拉链,拉链头M经过的点可画出一条曲线,思考下列问题:思考1图中动点M的几何性质是什么?答案|MF1-MF2|为一个正常数.思考2若MF1-MF2=F1F2,则动点M的轨迹是什么?答案以F2为端点,向F2右边延伸的射线.梳理平面内到两个定点F1,F2的距离的差的绝对值等于常数(小于F1F2的正数)的点的轨迹叫做双曲线,两个定点F1,F2叫做双曲线的焦点,两焦点间的距离叫做双曲线的焦距.知识点三抛物线的定义观察图形,思考下列问题:思考如图,定点C和定直线EF,用三角板画出到定点的距离等于到定直线的距离的动点D的轨迹.则动点D的轨迹是什么?其满足什么条件?答案抛物线,动点D到定点C和定直线EF距离相等,且C不在EF上.梳理平面内到一个定点F和一条定直线l(F不在l上)的距离相等的点的轨迹叫做抛物线,定点F叫做抛物线的焦点,定直线l叫做抛物线的准线.椭圆、双曲线、抛物线统称为圆锥曲线.1.平面内到两定点的距离之和为常数的点的轨迹是椭圆.(×)2.平面内到两定点的距离之差的绝对值为常数的点的轨迹是双曲线.(×)3.抛物线上的点到焦点的距离与到准线的距离相等.(√)类型一 圆锥曲线定义的理解例 1 平面内动点 M 到两点 F 1(-3,0),F 2(3,0)的距离之和为 3m ,问 m 取何值时 M 的轨迹 是椭圆?解 ∵MF 1+MF 2=3m ,∴M 到两定点的距离之和为常数,当 3m 大于 F 1F 2 时,由椭圆定义知,M 的轨迹为椭圆, ∴3m >F 1F 2=3-(-3)=6,∴m >2,∴当 m >2 时,M 的轨迹是椭圆.反思与感悟 在深刻理解圆锥曲线的定义的过程中,一定要注意定义中的约束条件(1)在椭圆中,和为定值且大于 F 1F 2.(2)在双曲线中,差的绝对值为定值且小于 F 1F 2. (3)在抛物线中,点 F 不在定直线上.跟踪训练 1 (1)命题甲:动点 P 到两定点 A ,B 的距离之和 P A +PB =2a (a >0,a 为常数);命题乙:P 点轨迹是椭圆,则命题甲是命题乙的________条件.(2)动点 P 到两个定点 A (-2,0),B(2,0)构成的三角形的周长是 10,则点 P 的轨迹是________. 答案 (1)必要不充分 (2)椭圆解析 (1)若 P 点轨迹是椭圆,则 PA +PB =2a (a >0,且为常数),∴甲是乙的必要条件.反之,若 P A +PB =2a (a >0,且是常数),不能推出 P 点轨迹是椭圆.因为仅当 2a >AB 时,P 点轨迹才是椭圆;而当 2a =AB 时,P 点轨迹是线段 AB ;当 2a <AB时,P 点无轨迹,∴甲不是乙的充分条件.综上,甲是乙的必要不充分条件.(2)由题意知 P A +PB +AB =10,又 AB =4,∴PA +PB =6>4.∴点 P 的轨迹是椭圆.类型二 圆锥曲线轨迹的探究例 2 如图,已知动圆 C 与圆 F 1,F 2 均外切(圆 F 1 与圆 F 2 相离),试问:动点 C 的轨迹是什 么曲线?解 设动圆 C 的半径为 R ,圆 F 1,F 2 的半径分别为 r 1,r 2,则 CF 1=R +r 1,CF 2=R +r 2. 所以 CF 1-CF 2=r 1-r 2.跟踪训练 3 在△ABC 中,BC 固定,顶点 A 移动.设 BC =m ,且|sin C -sin B |= sin A ,则解 因为|sin C -sin B |= sin A ,由正弦定理可得|AB -AC |= BC = m ,且 m <BC ,又 CF 1-CF 2=r 1-r 2<F 1F 2,故动圆圆心 C 的轨迹是以 F 1,F 2 为焦点的双曲线靠近 F 2 的一支. 引申探究若把原题中“外切”换成“内切”再求解,结论如何?解 动点 C 的轨迹是以 F 1,F 2 为焦点的双曲线靠近 F 1 的一支.反思与感悟 紧扣圆锥曲线的定义,写出动点满足的条件,然后得到相应的轨迹.跟踪训练 2 已知动点 P 到点 A (-3,0)的距离比它到直线 x =1 的距离大 2,试判断动点 P 的轨迹.解 因点 P 到 A 的距离比它到直线 x =1 的距离大 2,所以点 P 到点 A 的距离等于它到直线 x =3 的距离.因为点 A 不在直线 x =3 上,所以点 P 的轨迹是抛物线.类型三 圆锥曲线定义的应用例 3 在△ABC 中,B (-6,0),C (0,8),且 sin B ,sin A ,sin C 成等差数列.(1)顶点 A 的轨迹是什么? (2)指出轨迹的焦点和焦距.解 (1)由 sin B ,sin A ,sin C 成等差数列,得 sin B +sin C =2sin A .由正弦定理可得 AB +AC=2BC .又 BC =10,所以 AB +AC =20,且 20>BC ,所以点 A 的轨迹是椭圆(除去直线 BC 与椭圆的交点).(2)椭圆的焦点为 B ,C ,焦距为 10.反思与感悟 利用圆锥曲线的定义可以判定动点的轨迹,在判定时要注意定义本身的限制条件,如得到 MF 1+MF 2=2a (a 为大于零的常数)时,还需要看 2a 与 F 1F 2 的大小,只有 2a >F 1F 2 时,所求轨迹才是椭圆.若得到MF 1-MF 2=2a (0<2a <F 1F 2),轨迹仅为双曲线的一支.除了 圆锥曲线定义本身的限制条件外,还要注意题目中的隐含条件.12顶点 A 的轨迹是什么?121 1 12 2 2所以点 A 的轨迹是双曲线(除去双曲线与 BC 的两交点).F FF1.设F1,2是两个定点,1F2=6,动点M满足MF1+MF2=10,则动点M的轨迹是________.答案椭圆解析因MF1+MF2=10>F1F2=6,由椭圆的定义得动点的轨迹是椭圆.2.若F1,2是两个定点且动点P1满足PF1-PF2=1,又F1F2=3,则动点P的轨迹是________.答案双曲线靠近点F2的一支解析因PF1-PF2=1<F1F2=3,故由双曲线定义判断,动点P的轨迹是双曲线靠近点F2的一支.3.到定点(1,0)和定直线x=-1距离相等的点的轨迹是________.答案抛物线解析依据抛物线定义可得.4.到两定点F1(-3,0),F2(3,0)的距离之差的绝对值等于6的点M的轨迹是________.答案两条射线解析据题|MF1-MF2|=F1F2,得动点M的轨迹是两条射线.5.如图,在正方体ABCD-A1B1C1D1中,P是侧面BB1C1C内一动点,若点P到直线BC与直线C1D1的距离相等,则动点P的轨迹是________.答案抛物线解析由正方体的性质可知,点P到C1D1的距离为PC1,故动点P到定点C1和到定直线BC的距离相等,且点C1不在直线BC上,符合抛物线的定义,所以动点P的轨迹是抛物线.1.若MF1+MF2=2a(2a>F1F2),则动点M的轨迹是椭圆.若点M在椭圆上,则MF1+MF2=2a.2.若|MF1-MF2|=2a(0<2a<F1F2),则动点M的轨迹为双曲线.若动点M在双曲线上,则|MF1-MF2|=2a.3.抛物线定义中包含三个定值,分别为一个定点,一条定直线及一个确定的比值.2”一、填空题1.平面内到两定点F1(-3,0),F2(3,0)的距离的和等于6的点P的轨迹是________.答案线段F1F2解析依题意得PF1+PF2=6=F1F2,故动点P的轨迹是线段F1F2.2.到定点(0,7)和到定直线y=7的距离相等的点的轨迹是________.答案直线解析因定点(0,7)在定直线y=7上,故符合条件的点的轨迹是直线.3.已知定点F1(-2,0),F2(2,0),在满足下列条件的平面内,动点P的轨迹为双曲线的是________.(填序号)①|PF1-PF2|=3;②|PF1-PF2|=4;③|PF1-PF2|=5;④PF1-PF2=±4.答案①解析根据双曲线定义知P到F1,F2的距离之差的绝对值要小于F1F2.4.到定点A(2,0)和B(4,0)的距离之差为2的点的轨迹是________.答案一条射线解析要注意两点:一是“差”而不是“差的绝对值;二是“常数”等于两定点间的距离.5.已知△ABC的顶点A(-5,0),B(5,0),△ABC的内切圆圆心在直线x=3上,则顶点C的轨迹是____________.答案以A,B为焦点的双曲线的右支(除去点(3,0))解析如图,AD=AE=8.BF=BE=2,CD=CF,所以CA-CB=8-2=6<AB=10.根据双曲线定义,所求轨迹是以A,B为焦点的双曲线的右支(除去点(3,0)).6.已知点M(x,y)的坐标满足(x-1)2+(y-1)2-(x+3)2+(y+3)2=±4,则动点M的轨迹是________.答案双曲线解析点(x,y)到(1,1)点及到(-3,-3)点的距离之差的绝对值为4,而(1,1)与(-3,-3)距3 10.已知点 A (-1,0),B (1,0).曲线 C 上任意一点 P 满足P A 2-PB 2=4(|P A |-|PB |)≠0.则曲线解析 由P A 2-PB 2=4(|P A |-|PB |)≠0,得|P A |+|PB |=4,且 4>AB .| 离为 4 2,由定义知动点 M 的轨迹是双曲线.7.下列说法中正确的有________.(填序号)①已知 F 1(-6,0),F 2(6,0),到 F 1,F 2 两点的距离之和等于 12 的点的轨迹是椭圆; ②已知 F 1(-6,0),F 2(6,0),到 F 1,F 2 两点的距离之和等于 8 的点的轨迹是椭圆;③到点 F 1(-6,0),F 2(6,0)两点的距离之和等于点 M (10,0)到 F 1,F 2 的距离之和的点的轨迹 是椭圆;④到点 F 1(-6,0),F 2(6,0)距离相等的点的轨迹是椭圆. 答案 ③解析 椭圆是到两个定点 F 1,F 2 的距离之和等于常数(大于 F 1F 2)的点的轨迹,应特别注意 椭圆的定义的应用.①中 F 1F 2=12,故到 F 1,F 2 两点的距离之和为常数 12 的点的轨迹是线段 F 1F 2. ②中点到 F 1,F 2 两点的距离之和 8 小于 F 1F 2,故这样的点不存在.③中点 M (10,0)到 F 1,F 2 两点的距离之和为 (10+6)2+02+ (10-6)2+02=20>F 1F 2=12, 故③中点的轨迹是椭圆.④中点的轨迹是线段 F 1F 2 的垂直平分线. 故正确的是③.8.若动点 P 到定点 F (1,1)和到直线 l :x +y -4=0 的距离相等,则动点 P 的轨迹是________. 答案 直线解析设动点 P 的坐标为(x ,y ),则 (x -1)2+(y -1)2=|3x +y -4|.整理,得 x -3y +2=0,10所以动点 P 的轨迹为直线.9.平面内有两个定点 F 1,F 2 及动点 P ,设命题甲:PF 1-PF 2|是非零常数,命题乙:动点P 的轨迹是以 F 1,F 2 为焦点的双曲线,则甲是乙的________条件.(“充分不必要”“必要不 充分”“充要”“既不充分又不必要”)答案 必要不充分解析 由双曲线的定义可知,若动点 P 的轨迹是以 F 1,F 2 为焦点的双曲线,则|PF 1-PF 2| 是非零常数,反之则不成立.→ → → →C 的轨迹是______.答案 椭圆→ → → →→ →故曲线 C 的轨迹是椭圆.(解析把轨迹方程5x2+y2=|3x+4y-12|写成x2+y2=,∴动点M到原点的=BD,MC=CE,于是MB+MC=BD+CE=(BD+CE)=×39=26>24=BC. 11.已知动圆M过定点A(-3,0),并且在定圆B:(x-3)2+y2=64的内部与其相内切,则动圆圆心M的轨迹为________.答案椭圆解析设动圆M的半径为r.因为动圆M与定圆B内切,所以MB=8-r.又动圆M过定点A,MA=r,所以MA+MB=8>AB=6,故动圆圆心M的轨迹是椭圆.二、解答题12.点M到点F(0,-2)的距离比它到直线l:y-3=0的距离小1,试确定点M的轨迹.解由题意得点M与点F的距离等于它到直线y-2=0的距离,且点F不在直线l上,所以点M的轨迹是抛物线.13.如图所示,已知点P为圆R:x+c)2+y2=4a2上一动点,Q(c,0)为定点(c>a>0,为常数),O为坐标原点,求线段PQ的垂直平分线与直线RP的交点M的轨迹.解由题意,得MP=MQ,RP=2a.MR-MQ=MR-MP=RP=2a<RQ=2c.∴点M的轨迹是以R,Q为两焦点,2a为实轴长的双曲线的右支.三、探究与拓展14.已知动点M的坐标满足方程5x2+y2=|3x+4y-12|,则动点M的轨迹是__________.答案抛物线|3x+4y-12|5距离与到直线3x+4y-12=0的距离相等.∵原点不在直线3x+4y-12=0上,∴点M的轨迹是以原点为焦点,直线3x+4y-12=0为准线的抛物线.△15.在ABC中,BC=24,AC,AB边上的中线长之和等于△39,求ABC的重心的轨迹.解如图所示,以BC的中点O为坐标原点,线段BC所在直线为x轴,线段BC的中垂线为y轴建立平面直角坐标系xOy.设M为△ABC的重心,BD是AC边上的中线,CE是AB边上的中线,由重心的性质知M B 222222333333根据椭圆的定义知,点M的轨迹是以B,C为两焦点,26为实轴长的椭圆去掉点(-13,0),(13,0).。
选修2-1第二章 圆锥曲线与方程 附答案一、选择题1.若平面内一条直线l 与曲线C 有且仅有一个公共点,则下列命题:(1)若C 是圆,则l 与C 一定相切;(2)若C 是抛物线,则l 与C 一定相切;(3)若C 是椭圆,则l 与C 一定相切;(4)若C 是双曲线,则l 与C 一定相切.其中正确的有( ).A .1 个B .2个C .3个D .4个2.过抛物线x 2=4y 的焦点且与其对称轴垂直的弦AB 的长度是( ). A .1B .2C .4D .83.双曲线1 = 4-922y x 与直线m x -y + 32=(m ∈R )的公共点的个数为( ).A .0B .1C .0或1D .0或1或24.在直角坐标平面内,已知点F 1(-4,0),F 2(4,0),动点M 满足条件:|MF 1|+|MF 2|=8,则点M 的轨迹方程是( ).A .1 = 9+1622y xB .x =0C .y =0(-4≤x ≤4)D .1= 16+1622 y x 5.已知经过椭圆1 = +522y x 的焦点且与其对称轴成45º的直线与椭圆交于A ,B 两点,则|AB |=( ).A .352 B .310C .25D .106.已知点A (3,0)、B (-3,0),|AC |-|BC |=4,则点C 轨迹方程是( ). A .1 = 5422y -xB .1 = 5422y -x (x <0)C .1 = 5422y -x (x >0)D .0 = 5422y -x (x <0)7.方程mx 2+(m +1)y 2=m (m +1),m ∈R 表示的曲线不可能是( ). A .直线B .椭圆C .双曲线D .抛物线8.若椭圆1 =9+ 1622x y 上的点到直线y =x +m 的最短距离是2,则m 最小值为( ).A .-1B .3-C . 7-D .19.直线y =x -k 与抛物线x 2=y 相交于A ,B 两点,若线段AB 中点的纵坐标为1,则k 的值为( ).A .-21 B .21C .-41D .-110.设椭圆22+10y x =1和双曲线22-8y x =1的公共焦点分别为F 1,F 2,P 是这两曲线的交点,则△PF 1F 2的外接圆半径为( ).A .1B .2C .22D .3二、填空题11.直线m y 2 = 与曲线 222218= + 9m y x m (m ∈R ,m ≠0)有 个公共点. 12.到点(-4,0)与到直线x =-425的距离之比为54的动点的轨迹方程是 .13.与14922=-y x 有相同渐近线且实轴长为10的双曲线方程是 . 14.已知△ABC 的两个顶点为A (0,0)、B (6,0),顶点C 在曲线1 = 91622y -x 上运动,则△ABC 的重心的轨迹方程是 .15.若点P ,Q 在抛物线y 2=4x 上,O 是坐标原点,且OP ·=0,则直线PQ 恒过的定点的坐标是 .16.已知正三角形ABC ,若M ,N 分别是AB ,AC 的中点,则以B ,C 为焦点,且过M ,N 的椭圆与双曲线的离心率之积为 .三、解答题 17.若过椭圆1 = +2222by ax (a >b >0)左焦点的直线与它的两个交点及其右焦点构成周长为16的三角形,此椭圆的离心率为0.5,求这个椭圆方程.18.已知直线1+ =x y k 与双曲线x 2-y 2=1的左支相交于不同的两点A ,B ,线段AB 的中点为点M ,定点C (-2,0).(1)求实数k 的取值范围;(2)求直线MC 在y 轴上的截距的取值范围.19.若点P 在抛物线y 2=2x 上,A (a ,0), (1)请你完成下表:(2)若a ∈R ,求||PA 的最小值及相应的点P 坐标20.若点P 在以F 为焦点的抛物线y 2=2px (p >0)上,且PF ⊥FO ,|PF |=2,O 为原点.(1)求抛物线的方程;(2)若直线x -2y =1与此抛物线相交于A ,B 两点,点N 是抛物线弧AOB 上的动点,求△ABN 面积的最大值.参考答案一、选择题 1.B 2.C3.C解析:双曲线1 = 4-922y x 的渐近线方程为y =±32x 与已知直线平行或重合,而当m =0时,重合;此时,公共点个数为0;m ≠0时,公共点个数为1.4.C 5.A 6. B 7.D 8.C 9.A10.D解析:由椭圆与双曲线的定义可得1||PF 与2||PF 的方程组,进一步可知△PF 1F 2为直角三角形.二、填空题 11.2.12.1 = 9+2522y x .13.1 = 9-2522y x 或1 = 4225-2522x y . 14.1 = 162 922y --x )((y ≠0). 15.(4,0). 16.2. 三、解答题 17.1 = 12+1622y x .解:如图,由椭圆定义可知|BF 1|+|BF 2|=2a ,|AF 1|+|AF 2|=2a .△ABF 2的周长=|AB |+|BF 2|+|AF 2|=|AF 1|+|AF 2|+|BF 1|+|BF 2|=4a =16.∴a =4, 又∵ e =ac=0.5,(第17题)∴ c =2,∴ b =3= 222-c a . 椭圆方程为1 = 12+1622y x .18.(1)1<k <2.解:把直线y =k x +1代入双曲线x 2-y 2=1整理有 (1-k 2)x 2-2k x -2=0,∵设A (x 1,y 1),B (x 2,y 2), 由韦达定理可知x 1+x 2=2-12k k <0, ① x 1·x 2=2-12k->0. ②且 ∆=(-2k )2-4(1-k 2)·(-2)=4k 2-8 k 2+8>0得 -2<k <2.③ ∴ 1<k <2.(2)∵ M ⎪⎭⎫ ⎝⎛2+ 2+2121y y ,x x , M ⎪⎪⎭⎫ ⎝⎛1+-1 -1222k k k k ,,即M ⎪⎭⎫ ⎝⎛22-11 -1k k k ,. ∴MC :y =2++212k k -x +2++222k k -.在y 轴线截距为y m =2++222k k -,当k ∈(1,2),有y m >2或y m <-2-2. 19.(1)(2)当a ≤1时,|P A |的最小值=|a |,相应的点P (0,0);当a >1时,|P A |的最小值=12-a ,相应的点P (a -1,±22-a ). 20.(1)x y 4=2;(第18题)O解:由PF ⊥FO ,|PF |=2可知当x =2p时,y =2. 即2p ·2p=4,∴ p =2. ∴抛物线方程为y 2=4x . (2)510.解:由(1)可知,直线AB 过焦点F (1,0). 把直线x -2y =1代入抛物线y 2=4x . 有x 2-18 x +1=0. 设A (x 1,y 1),B (x 2,y 2). |AB |=21-41+1x x =2058 25=-4+ 41+ 121221= ·)( ·x x x x . 设N (x 0,20x ),点N 到AB 的距离h =51400-x -x .S △ABN =21·|AB |·h =21·20·51400-x -x .当0x =2时,S △ABN 取得最大值,此时S △ABN =105.(第20题)。
第2章圆锥曲线与方程取一条定长的无弹性的细绳,把它的两端分别固定在图板的两点F1、F2处,套上铅笔,拉紧绳子,移动笔尖.问题1:若绳长等于两点F1、F2的距离,画出的轨迹是什么曲线?提示:线段F1F2.问题2:若绳长L大于两点F1、F2的距离.移动笔尖(动点M)满足的几何条件是什么?提示:MF1+MF2=L.平面内与两个定点F1,F2的距离的和等于常数(大于F1F2)的点的轨迹叫做椭圆.(1)焦点:两个定点F1,F2叫做椭圆的焦点.(2)焦距:两个焦点间的距离叫做椭圆的焦距.2013年11月30日,中国海军第16批护航编队“盐城”导弹护卫舰,“洛阳”号导弹护卫舰在亚丁湾东部海域商船集结点附近正式会合,共同护航,某时,“洛阳”舰哨兵监听到附近海域有快艇的马达声,与“洛阳”舰哨兵相距1 600 m的“盐城”舰,3 s后也监听到了马达声(声速340 m/s),用A、B分别表示“洛阳”舰和“盐城”舰所在的位置,点M 表示快艇的位置.问题1:“盐城”舰比“洛阳”舰距离快艇远多少米?提示:MB-MA=340×3=1 020(m).问题2:把快艇作为一个动点,它的轨迹是双曲线吗?提示:不是.平面内与两个定点F1,F2的距离的差的绝对值等于常数(小于F1F2的正数)的点的轨迹叫做双曲线.(1)焦点:两个定点F1,F2叫做双曲线的焦点.(2)焦距:两焦点间的距离叫做双曲线的焦距.如图,我们在黑板上画一条直线EF,然后取一个三角板,将一条拉链AB固定在三角板的一条直角边上,并将拉链下边一半的一端固定在C点,将三角板的另一条直角边贴在直线EF上,在拉锁D处放置一支粉笔,上下拖动三角板,粉笔会画出一条曲线.问题1:画出的曲线是什么形状?提示:抛物线.问题2:DA是点D到直线EF的距离吗?为什么?提示:是.AB是Rt△的一条直角边.问题3:点D在移动过程中,满足什么条件?提示:DA=DC.1.一般地,平面内到一个定点F和一条定直线l(F不在l上)的距离相等的点的轨迹叫做抛物线,定点F叫做抛物线的焦点,定直线l叫做抛物线的准线.2.椭圆、双曲线、抛物线统称为圆锥曲线.1.圆锥曲线定义用集合语言可描述为:(1)椭圆P={M|MF1+MF2=2a,2a>F1F2};(2)双曲线P={M||MF1-MF2|=2a,2a<F1F2};(3)抛物线P={M|MF=d,d为M到直线l的距离}.2.在椭圆定义中,当2a=F1F2时,M的轨迹为线段F1F2,在双曲线定义中,当2a=F1F2时,M的轨迹为两条射线.3.过抛物线焦点向准线作垂线,垂足为N,则FN的中点为抛物线顶点,FN所在直线为抛物线对称轴.4.对于椭圆、双曲线,两焦点的中点是它们的对称中心,两焦点所在直线及线段F1F2的垂直平分线是它们的对称轴.[例1]平面内动点M到两点F1(-3,0),F2(3,0)的距离之和为3m,问m取何值时M的轨迹是椭圆?[思路点拨]若M的轨迹是椭圆,则MF1+MF2为常数,但要注意这个常数大于F1F2.[精解详析]∵MF1+MF2=3m,∴M到两定点的距离之和为常数,当3m大于F1F2时,由椭圆定义知,M的轨迹为椭圆,∴3m>F1F2=(3+3)2+(0-0)2=6,∴m>2,∴当m>2时,M的轨迹是椭圆.[一点通]深刻理解圆锥曲线的定义是解决此类问题的前提,一定要注意定义中的约束条件:(1)在椭圆中,和为定值且大于F1F2;(2)在双曲线中,差的绝对值为定值且小于F1F2;(3)在抛物线中,点F不在定直线上.1.命题甲:动点P到两定点A、B的距离之和P A+PB=2a(a>0,a为常数);命题乙:P点轨迹是椭圆,则命题甲是命题乙的________条件.解析:若P点轨迹是椭圆,则P A+PB=2a(a>0,常数),∴甲是乙的必要条件.反过来,若P A+PB=2a(a>0,常数)是不能推出P点轨迹是椭圆的.这是因为:仅当2a>AB时,P点轨迹才是椭圆;而当2a=AB时,P点轨迹是线段AB;当2a<AB时,P点无轨迹,∴甲不是乙的充分条件.综上,甲是乙的必要而不充分条件.答案:必要不充分2.动点P到两个定点A(-2,0),B(2,0)构成的三角形的周长是10,则点P的轨迹是________.解析:由题意知:P A+PB+AB=10,又AB=4,∴P A+PB=6>4.∴点P的轨迹是椭圆.答案:椭圆[例2] 设F 1,F 2是双曲线的两个焦点,Q 是双曲线上任一点,从某一焦点引∠F 1QF 2的平分线的垂线,垂足是P ,那么点P 的轨迹是什么曲线?[思路点拨] 利用双曲线的定义,结合平面图形的性质判断.[精解详析] 如图所示,点Q 在双曲线的右支上,有QF 1-QF 2=2a .①延长F 1P 、QF 2交于L .∵∠F 1QP =∠LQP ,QP ⊥F 1P , ∴F 1Q =QL ,代入①, 则QL -QF 2=2a ,即F 2L =2a .取线段F 1F 2中点O ,则由P 是F 1L 中点有 PO =12F 2L =12·2a =a .∴P 的轨迹是以O 为圆心,以a 为半径的圆.[一点通] 当点在圆锥曲线上时,点一定满足圆锥曲线的定义,如本题中,点Q 在双曲线上,则有QF 1-QF 2=2a ,这是定义的要求.另外利用平面图形的性质解题是解析几何中很常见的解题思想.3.平面内到两定点F 1(-1,0)和F 2(1,0)的距离的和为3的点的轨迹是________. 解析:F 1F 2=2<3,∴点P 的轨迹是椭圆. 答案:椭圆4.已知圆C 1:(x +3)2+y 2=1和圆C 2:(x -3)2+y 2=9,动圆M 同时与圆C 1和圆C 2相外切,试判断动圆圆心M 的轨迹.解:设圆M 的半径为r ,由题意,得MC 1=1+r , MC 2=3+r .∵MC 2-MC 1=2<C 1C 2,∴圆心M 的轨迹是以C 1,C 2为焦点的双曲线的左支.5.已知定点P (0,3)和定直线l :y +3=0,动圆M 过P 点且与直线l 相切.求证:圆心M 的轨迹是一条抛物线.解:∵直线y +3=0与圆相切,∴圆心M 到直线y +3=0的距离为圆的半径r . 又圆过点P (0,3),∴r =MP ,∴动点M 到点P (0,3)的距离等于到定直线y +3=0的距离,∴动点M 的轨迹是以点P (0,3)为焦点,以直线y +3=0为准线的抛物线.椭圆定义中常数为动点到两焦点的距离之和,由三角形中两边之和大于第三边知,应要求常数大于焦距.双曲线定义中常数为动点到两焦点的距离之差的绝对值,由三角形中两边之差小于第三边知,应要求常数小于焦距.课时达标训练(六)1.平面内到一定点F 和到一定直线l (F 在l 上)的距离相等的点的轨迹是______________.答案:过点F 且垂直于l 的直线2.设F 1、F 2为定点,PF 1-PF 2=5,F 1F 2=8,则动点P 的轨迹是________. 解析:∵5<8,满足双曲线的定义,∴轨迹是双曲线. 答案:双曲线3.以F 1、F 2为焦点作椭圆,椭圆上一点P 1到F 1、F 2的距离之和为10,椭圆上另一点P 2满足P 2F 1=P 2F 2,则P 2F 1=________.解析:∵P 2在椭圆上,∴P 2F 1+P 2F 2=10, 又∵P 2F 1=P 2F 2,∴P 2F 1=5. 答案:54.平面内动点P 到两定点F 1(-2,0),F 2(2,0)的距离之差为m ,若动点P 的轨迹是双曲线,则m 的取值范围是________.解析:由题意可知,|m |<4,且m ≠0,∴-4<m <4,且m ≠0. 答案:(-4,0)∪(0,4)5.已知椭圆上一点P 到两焦点F 1、F 2的距离之和为20,则PF 1·PF 2的最大值为________. 解析:∵PF 1+PF 2=20,∴PF 1·PF 2≤(PF 1+PF 22)2=(202)2=100.答案:1006.已知抛物线的焦点为F ,准线为l ,过F 作直线与抛物线相交于A 、B 两点,试判断以AB 为直径的圆与l 的位置关系.解: 如图,取AB 的中点O 2,过A 、B 、O 2分别作AA 1⊥l ,BB 1⊥l ,O 2O 1⊥l ,根据抛物线的定义,知AA 1=AF ,BB 1=BF ,∴O 2O 1=AA 1+BB 12=AF +BF 2=AB2=R (R 为圆的半径),∴以AB 为直径的圆与l 相切.7.动点P (x ,y )的坐标满足(x -2)2+y 2+(x +2)2+y 2=8.试确定点P 的轨迹. 解:设A (2,0),B (-2,0), 则(x -2)2+y 2表示P A ,(x +2)2+y 2表示PB ,又AB =4, ∴P A +PB =8>4,∴点P 的轨迹是以A 、B 为焦点的椭圆.8.在相距1 600 m 的两个哨所A ,B ,听远处传来的炮弹爆炸声,已知当时的声速是340 m/s ,在A 哨所听到爆炸声的时间比在B 哨所听到时间早3 s .试判断爆炸点在怎样的曲线上?解:由题意可知点P 离B 比离A 远, 且PB -P A =340×3=1 020 m ,而AB =1 600 m >1 020 m ,满足双曲线的定义, ∴爆炸点应在以A ,B 为焦点的双曲线的靠近A 的一支上.。
(完整版)圆锥曲线知识点+例题+练习含答案(整理).docx圆锥曲线⼀、椭圆:( 1)椭圆的定义:平⾯内与两个定点F1 , F2的距离的和等于常数(⼤于| F1 F2 |)的点的轨迹。
其中:两个定点叫做椭圆的焦点,焦点间的距离叫做焦距。
注意: 2a | F1F2 | 表⽰椭圆;2a | F1F2|表⽰线段F1F2; 2a| F1F 2 |没有轨迹;(2)椭圆的标准⽅程、图象及⼏何性质:中⼼在原点,焦点在x 轴上中⼼在原点,焦点在y 轴上标准⽅程图形x2y2y2x2a2b 21( a b 0)a 2b21(ab 0)yB 2yB 2P F2 PA 1 A 2x A 1xA 2OF1O F21B 1FB 1顶点对称轴焦点焦距离⼼率通径2b2aA1 (a,0), A2 (a,0)A1( b,0), A2 (b,0)B1 (0, b), B2(0, b)B1( 0,a), B2 (0, a) x 轴,y轴;短轴为2b,长轴为2aF1 (c,0), F2(c,0)F1 ( 0,c), F2 (0,c)| F1 F2 | 2c(c 0)c2 a 2 b 2(0 e 1) (离⼼率越⼤,椭圆越扁)a(过焦点且垂直于对称轴的直线夹在椭圆内的线段)3.常⽤结论:(1)椭圆x2y21(a b 0) 的两个焦点为F1, F2,过F1的直线交椭圆于A, B两a2 b 2点,则ABF 2的周长=(2)设椭圆x2y2221( a b 0)左、右两个焦点为 F1, F2,过 F1且垂直于对称轴的直线a b交椭圆于 P, Q 两点,则 P, Q 的坐标分别是| PQ |⼆、双曲线:( 1)双曲线的定义:平⾯内与两个定点F1 , F2的距离的差的绝对值等于常数(⼩于| F1F2 | )的点的轨迹。
其中:两个定点叫做双曲线的焦点,焦点间的距离叫做焦距。
注意: | PF1 || PF2 | 2a 与 | PF2 | | PF1 |2a ( 2a| F1F2 | )表⽰双曲线的⼀⽀。
2.1圆锥曲线圆锥曲线(1)用平面截圆锥面能得到的曲线图形是两条相交直线、圆、椭圆、双曲线、抛物线.(2)设P为圆锥曲线上任意一点,常数为2a(a>0).思考:(1)椭圆定义中将“大于|F 1F 2|”改为“等于|F 1F 2|”的常数,其他条件不变,点的轨迹是什么?(2)椭圆定义中将“大于|F 1F 2|”改为“小于|F 1F 2|”的常数,其他条件不变,动点的轨迹是什么?[提示] (1)点的轨迹是线段F 1F 2.(2)当距离之和小于|F 1F 2|时,动点的轨迹不存在.1.已知F 1(-1,0),F 2(1,0),动点P 满足|PF 1|+|PF 2|=3,则点P 的轨迹为( )A .椭圆B .双曲线C .抛物线D .圆A [∵|PF 1|+|PF 2|=3>|F 1F 2|,∴点P 的轨迹是以F 1、F 2为焦点的椭圆.]2.已知F 1(-1,0),F 2(1,0),动点P 满足|PF 1|-|PF 2|=1,则点P 的轨迹为( )A .椭圆B .双曲线C .抛物线D .双曲线的一支D [∵|PF 1|-|PF 2|<|F 1F 2|,∴轨迹为双曲线的一支.]3.已知抛物线上一点P 到焦点F 的距离为32,则点P 到抛物线准线的距离为________.32 [根据抛物线的定义,抛物线上的点到焦点的距离与它到准线的距离相等,故点P 到准线的距离为32.]4.已知F 1(-5,0),F 2(5,0),动点P 满足|PF 1|-|PF 2|=10,则点P 的轨迹是________.一条射线(F 1F 2的延长线) [∵|F 1F 2|=10,∴|PF 1|-|PF 2|=|F 1F 2|.则点P 的轨迹是一条射线(F 1F 2的延长线).]【例1】16,试确定顶点C的轨迹;(2)已知F1,F2为椭圆的两焦点,直线AB过点F1,交椭圆于A,B两点,若椭圆上任一点P满足PF1+PF2=5,求△ABF2的周长.[思路探究](1)由△ABC的周长为16,AB=6得CA+CB=10,根据椭圆的定义知,点C在椭圆上;(2)利用椭圆的定义,把△ABF2的周长分解为点A和点B到焦点的距离之和.[解](1)由A(0,-3),B(0,3)得AB=6,又△ABC的周长为16,所以CA+CB =16-6=10>6,由椭圆的定义可知,点C在以A、B为焦点的椭圆上,又因为A、B、C为三角形的顶点,所以A、B、C三点不共线,所以点C的轨迹是以A,B为焦点的椭圆(除去与A、B所在同一直线的两个点).(2)由椭圆的定义可知,AF1+AF2=BF1+BF2=PF1+PF2=5,所以△ABF2的周长为AB+AF2+BF2=(AF1+AF2)+(BF1+BF2)=5+5=10.椭圆定义的应用方法1.判定动点P的轨迹为椭圆,关键分析两点:①点P到两定点的距离之和是否为常数,②该常数是否大于两定点之间的距离.2.判定点的轨迹时,应注意对个别点进行检验,如本例(1)中,因为△ABC三顶点不共线,所以应去掉直线AB与椭圆的两个交点.3.当条件中同时出现椭圆的两个焦点及椭圆上一点时,可考虑应用椭圆的定义进行求解.1.命题甲:动点P到两定点A,B的距离之和P A+PB=2a(a>0,a为常数);命题乙:P点轨迹是椭圆,则命题甲是命题乙的________条件.必要不充分[根据椭圆的定义,应填必要不充分.]【例2】P的轨迹是什么图形?(1)|(x+5)2+y2-(x-5)2+y2|=6;(2)(x+4)2+y2-(x-4)2+y2=6.[思路探究]把代数方程转化为几何问题解决,严格扣准双曲线的定义.[解](1)∵|(x+5)2+y2-(x-5)2+y2|表示点P(x,y)到两定点F1(-5,0),F2(5,0)的距离之差的绝对值,|F1F2|=10,∴||PF1|-|PF2||=6<|F1F2|,故点P的轨迹是双曲线.(2)∵(x+4)2+y2-(x-4)2+y2表示点P(x,y)到两定点F1(-4,0),F2(4,0)的距离之差,|F1F2|=8,∴|PF1|-|PF2|=6<|F1F2|,故点P的轨迹是双曲线的右支.双曲线定义中的关键点在双曲线的定义中,注意三个关键点:①在平面内;②差的绝对值;③定值且定值小于两定点间距.在这三个条件中,缺少一个条件,其动点轨迹也不是双曲线.2.已知A(0,-5),B(0,5),若|P A|-|PB|=6,则P点的轨迹为________,若|P A|-|PB|=10,则P点的轨迹为________.双曲线的一支一条射线[∵|P A|-|PB|=6<10时,∴P的轨迹为双曲线的一支.又∵|P A|-|PB|=10且|AB|=10,∴P的轨迹为射线,是以B为端点向上的一条射线.]点M的轨迹.[思路探究]把条件式化为点M到点(1,2)与点M到直线3x+4y+1=0的距离相等,利用抛物线的定义求解.[解]选定直线l:3x+4y+1=0,定点F(1,2),则M到l的距离为d=|3x+4y+1|,MF=(x-1)2+(y-2)2.由题意知d=MF,且F∉l,由抛物线定义知,5M的轨迹是以F为焦点,l为准线的抛物线.抛物线定义的应用方法1.涉及点线距、两点间距离的轨迹问题,要充分联想抛物线的定义,判别动点的轨迹.2.应用抛物线的定义判定动点的轨迹,关键是看动点到定点与到定直线的距离是否相等,并且注意定点不在定直线上.3.若已知某点在抛物线上,则该点到抛物线焦点的距离与该点到抛物线准线的距离相等.3.点P到点F(4,0)的距离比它到直线l:x=-6的距离小2,则点P的轨迹为________.抛物线[由题意可知,点P到F(4,0)的距离与到直线x=-4的距离相等.根据抛物线的定义知,点P的轨迹为抛物线.][1.已知F1(-2,0),F2(2,0),若PF1+PF2=6时,点P的轨迹是什么?若|PF1-PF2|=2时,点P的轨迹是什么?[提示]若PF1+PF2=6>4,则P的轨迹为椭圆;若|PF1-PF2|=2<4,则P的轨迹为双曲线.理解椭圆关注几个词:“和”“定值”“大于焦距”;理解双曲线关注几个词:“差”“绝对值”“定值”“小于焦距”.2.抛物线的定义应注意什么?定点为F(2,0),定直线为x=-2时,动点P到F的距离与到直线x=-2的距离相等,动点P的轨迹是什么?[提示]在抛物线定义中,要特别注意:①在平面内;②到定点距离等于到定直线距离;③定点不在定直线上.因为(2,0)不在直线x=-2上,所以点P的轨迹为抛物线.【例4】已知圆C1:(x+2)2+y2=1和圆C2:(x-2)2+y2=9,动圆M同时与圆C1及圆C2相外切,求动圆圆心M的轨迹.[思路探究]根据M到C1,C2的距离的关系,扣住圆锥曲线的定义.[解]由已知得,圆C1的圆心C1(-2,0),半径r1=1,圆C2的圆心C2(2,0),半径r2=3.设动圆M的半径为r,因为动圆M与圆C1相外切,所以MC1=r+1. ①又因为动圆M与圆C2相外切,所以MC2=r+3. ②②-①得MC2-MC1=2,且2<C1C2=4.所以动圆圆心M的轨迹为双曲线的左支,且除去点(-1,0).设动圆半径为r,利用动圆M同时与圆C1及圆C2相外切得两个等式,相减后消去r,得到点M的关系式.注意到MC2-MC1=2中没有绝对值,所以轨迹是双曲线的一支,又因为圆C1与圆C2相切于点(-1,0),所以M的轨迹不过点(-1,0).4.已知圆A:(x+3)2+y2=100,圆A内有一定点B(3,0),动圆M过B点且与圆A内切,求证:圆心M的轨迹是椭圆.[证明]设MB=r.∵圆M与圆A内切,圆A的半径为10,∴两圆的圆心距MA=10-r,即MA+MB=10(大于AB),∴圆心M的轨迹是以A,B两点为焦点的椭圆.1.平面内到两定点F1,F2的距离之和为常数,即|MF1|+|MF2|=2a,当2a>|F1F2|时,轨迹是椭圆;当2a=|F1F2|时,轨迹是一条线段F1F2;当2a<|F1F2|时,轨迹不存在.2.双曲线定义中|PF1-PF2|=2a(2a<|F1F2|)不要漏了绝对值符号,当2a=|F1F2|时表示两条射线.3.抛物线的定义中不要忽略条件:点F不在直线l上.1.判断(正确的打“√”,错误的打“×”)(1)平面内到两定点F1(-5,0),F2(5,0)的距离之和为10的动点的轨迹是椭圆.()(2)在双曲线定义中,若去掉“绝对值”,其轨迹不是双曲线.()(3)在抛物线定义中,“F不在l上”可以省略.()(4)在椭圆、双曲线、抛物线的定义中“平面内”这一条件都不能丢掉,否则动点的轨迹就是空间图形.()[解析](1)×.因为|F1F2|=10,所以动点轨迹是线段F1F2,不是椭圆,故不正确.(2)√.双曲线定义中,若去掉“绝对值”,其轨迹是双曲线的一支,不是双曲线,故正确.(3)×.抛物线定义中,“F不在l上”不能省略,因为F在l上时,轨迹是一条直线,故不正确.(4)√.圆锥曲线是平面图形,因此是正确的.[答案](1)×(2)√(3)×(4)√2.以F1,F2为焦点作椭圆,椭圆上一点P1到F1,F2的距离之和为10,椭圆上另一点P2满足P2F1=P2F2,则P2F1=()A.3B.4C.5D.6C[由椭圆的定义可知P2F1+P2F2=10.又∵P2F1=P2F2,∴P2F1=5.]3.已知M(-2,0),N(2,0),PM-PN=3,则动点P的轨迹为________.双曲线的右支[∵MN=4,PM-PN=3<4,∴动点P的轨迹为双曲线的右支.]4.动点P(x,y)的坐标满足(x-5)2+y2-(x+5)2+y2=4,试确定点P的轨迹.[解](x-5)2+y2的几何意义是点P到定点A(5,0)的距离,(x+5)2+y2的几何意义是点P到定点B(-5,0)的距离,因此原式可化为P A-PB=4<AB=10,故点P的轨迹是以A,B为焦点靠近点B的双曲线的一支.。
第二章 圆锥曲线与方程1、平面内与两个定点1F ,2F 的距离之和等于常数(大于12F F )的点的轨迹称为椭圆.这两个定点称为椭圆的焦点,两焦点的距离称为椭圆的焦距.3、设M 是椭圆上任一点,点M 到1F 对应准线的距离为1d ,点M 到2F 对应准线的距离为2d ,则1212F F e d d M M ==.4、平面内与两个定点1F ,2F 的距离之差的绝对值等于常数(小于12F F )的点的轨迹称为双曲线.这两个定点称为双曲线的焦点,两焦点的距离称为双曲线的焦距.7、设M 是双曲线上任一点,点M 到1F 对应准线的距离为1d ,点M 到2F 对应准线的距离为2d ,则1212F F e d d M M ==.8、平面内与一个定点F 和一条定直线l 的距离相等的点的轨迹称为抛物线.定点F 称为抛物线的焦点,定直线l 称为抛物线的准线. 9、过抛物线的焦点作垂直于对称轴且交抛物线于A 、B 两点的线段AB ,称为抛物线的“通径”,即2p AB =. 10、焦半径公式:若点()00,x y P 在抛物线()220y px p =>上,焦点为F ,则02pF x P =+; 若点()00,x y P 在抛物线()220y px p =->上,焦点为F ,则02pF x P =-+;若点()00,x y P 在抛物线()220x py p =>上,焦点为F ,则02pF y P =+;若点()00,x y P 在抛物线()220x py p =->上,焦点为F ,则02pF y P =-+.圆锥曲线测试题一、选择题:1.已知动点M 的坐标满足方程|12512|1322-+=+y x y x ,则动点M 的轨迹是( ) A. 抛物线 B.双曲线C. 椭圆D.以上都不对2.设P 是双曲线19222=-y ax 上一点,双曲线的一条渐近线方程为1,023F y x =-、F 2分别是双曲线的左、右焦点,若5||1=PF ,则=||2PF ( ) A. 1或5 B. 1或9C. 1D. 93、设椭圆的两个焦点分别为F 1、、F 2,过F 2作椭圆长轴的垂线交椭圆于点P ,若△F 1PF 2为等腰直角三角形,则椭圆的离心率是( ).C. 21 4.过点(2,-1)引直线与抛物线2x y =只有一个公共点,这样的直线共有( )条A. 1B.2C. 3D.45.已知点)0,2(-A 、)0,3(B ,动点2),(y y x P =⋅满足,则点P 的轨迹是 ( ) A .圆 B .椭圆C .双曲线D .抛物线6.如果椭圆193622=+y x 的弦被点(4,2)平分,则这条弦所在的直线方程是( ) 02=-y x 042=-+y x C 01232=-+y x D 082=-+y x 7、无论θ为何值,方程1sin 222=⋅+y x θ所表示的曲线必不是( )A. 双曲线B.抛物线C. 椭圆D.以上都不对8.方程02=+ny mx 与)02>n mx 的曲线在同一坐标系中的示意图应是(二、填空题:9.对于椭圆191622=+y x 和双曲线19722=-y x 有下列命题: ① 椭圆的焦点恰好是双曲线的顶点; ②双曲线的焦点恰好是椭圆的顶点; ③ 双曲线与椭圆共焦点; ④椭圆与双曲线有两个顶点相同. 其中正确命题的序号是 .10.若直线01)1(=+++y x a 与圆0222=-+x y x 相切,则a 的值为 11、抛物线2x y -=上的点到直线0834=-+y x 的距离的最小值是 12、抛物线C: y 2=4x 上一点Q 到点B(4,1)与到焦点F 的距离和最小,则点Q 的坐标 。
2019 年编·人教版高中数学章末总结知识点一 圆锥曲线的定义和性质对于圆锥曲线的有关问题,要有运用圆锥曲线定义解题的意识,“回归定义”是一种重 要的解题策略;应用圆锥曲线的性质时,要注意与数形结合思想、方程思想结合起来.总 之,圆锥曲线的定义、性质在解题中有重要作用,要注意灵活运用.例 1 已知双曲线的焦点在 x 轴上,离心率为 2,F 1,F 2 为左、右焦点,P 为双曲线上 一点,且∠F 1PF 2=60°,S △PF 1F 2=12 3,求双曲线的标准方程.知识点二 直线与圆锥曲线的位置关系直线与圆锥曲线一般有三种位置关系:相交、相切、相离.在直线与双曲线、抛物线的位置关系中有一种情况,即直线与其交于一点和切于一点, 二者在几何意义上是截然不同的,反映在代数方程上也是完全不同的,这在解题中既是 一个难点也是一个十分容易被忽视的地方.圆锥曲线的切线是圆锥曲线的割线与圆锥曲 线的两个交点无限靠近时的极限情况,反映在消元后的方程上,就是一元二次方程有两个相等的实数根,即判别式等于零;而与圆锥曲线有一个交点的直线,是一种特殊的情况(抛物线中与对称轴平行,双曲线中与渐近线平行 ),反映在消元后的方程上,该方程 是一次的.例 2如图所示,O 为坐标原点,过点 P(2,0)且斜率为 k 的直线 l 交抛物线 y 2=2x 于 M(x 1, y 1),N(x 2,y 2)两点. (1)求 x 1x 2 与 y 1y 2 的值; (2)求证:OM ⊥ON.知识点三 轨迹问题轨迹是解析几何的基本问题,求解的方法有以下几种:(1)直接法:建立适当的坐标系,设动点为(x ,y),根据几何条件直接寻求 x 、y 之间的关 系式.(2)代入法:利用所求曲线上的动点与某一已知曲线上的动点的关系,把所求动点转换为 已知动点.具体地说,就是用所求动点的坐标 x 、y 来表示已知动点的坐标并代入已知动 点满足的曲线的方程,由此即可求得所求动点坐标 x 、y 之间的关系式.(3)定义法:如果所给几何条件正好符合圆、椭圆、双曲线、抛物线等曲线的定义,则可 直接利用这些已知曲线的方程写出动点的轨迹方程.(4)参数法:当很难找到形成曲线的动点 P(x ,y)的坐标 x ,y 所满足的关系式时,借助第 三个变量 t ,建立 t 和 x ,t 和 y 的关系式 x =φ(t),y =Φ(t),再通过一些条件消掉 t 就间 接地找到了 x 和 y 所满足的方程,从而求出动点 P(x ,y)所形成的曲线的普通方程. 例 3 设点 A 、B 是抛物线 y 2=4px (p>0)上除原点 O 以外的两个动点,已知 OA ⊥OB , OM ⊥AB ,垂足为 M ,求点 M 的轨迹方程,并说明它表示什么曲线?知识点四 圆锥曲线中的定点、定值问题圆锥曲线中的定点、定值问题是高考命题的一个热点,也是圆锥曲线问题中的一个难点, 解决这个难点没有常规的方法,但解决这个难点的基本思想是明确的,定点、定值问题 必然是在变化中所表现出来的不变的量,那么就可以用变化的量表示问题的直线方程、 数量积、比例关系等,这些直线方程、数量积、比例关系不受变化的量所影响的某个点例 4 若直线 l :y =kx +m 与椭圆 + =1 相交于 A 、B 两点(A 、B 不是左、右顶点), 例 5 已知 A(4,0),B(2,2)是椭圆 + =1 内的两定点,点 M 是椭圆上的动点,求|MA| 或值,就是要求的定点、定值.化解这类问题难点的关键就是引进变化的参数表示直线方程、数量积、比例关系等,根据等式的恒成立、数式变换等寻找不受参数影响的量.x 2 y 2 4 3A 2 为椭圆的右顶点且 AA 2⊥BA 2,求证:直线 l 过定点.知识点五 圆锥曲线中的最值、范围问题圆锥曲线中的最值、范围问题,是高考热点,主要有以下两种求解策略:(1)平面几何法平面几何法求最值问题,主要是运用圆锥曲线的定义和平面几何知识求解.(2)目标函数法建立目标函数解与圆锥曲线有关的最值问题,是常规方法,其关键是选取适当的变量建 立目标函数,然后运用求函数最值的方法确定最值.x 2 y 2 25 9+|MB|的最值.y 2 例 6 已知 F 1、F 2 为椭圆 x 2+ 2 =1 的上、下两个焦点,AB 是过焦点 F 1 的一条动弦, 求△ABF 2 面积的最大值.∵e = =2,∴c =2a.∴所求的双曲线方程为 - =1.1 在),则直线 OB 的方程为 y =- ,进而可求 A ⎝ k2 , k ⎭、k章末总结重点解读例 1 解x 2y 2如图所示,设双曲线方程为a 2-b 2=1 (a>0,b>0).c a 由双曲线的定义,得||PF 1|-|PF 2||=2a =c ,在 △PF 1F2 中,由余弦定理,得:|F 1F 2|2=|PF 1|2+|PF2|2-2|PF 1||PF2|cos 60°=(|PF 1|-|PF2|)2+2|PF 1||PF 2|(1-cos 60°),即 4c 2=c 2+|PF 1||PF 2|.①又 S △PF 1F 2=12 3,1 ∴2|PF 1||PF 2|sin 60°=12 3,即|PF 1||PF 2|=48.②由①②,得 c 2=16,c =4,则 a =2,b 2=c 2-a 2=12,x 2 y 24 12 例 2 (1)解 过点 P(2,0)且斜率为 k 的直线方程为:y =k(x -2).把 y =k(x -2)代入 y 2=2x ,消去 y 得 k 2x 2-(4k 2+2)x +4k 2=0,由于直线与抛物线交于不同两点,故 k 2≠0 且 Δ=(4k 2+2)2-16k 4=16k 2+4>0,2x 1x 2=4,x 1+x 2=4+k 2,∵M 、N两点在抛物线上,∴y 2· y 2=4x 1· x 2=16,而 y 1·y 2<0,∴y 1y 2=-4.例 3 解 设直线 OA 的方程为 y =kx (k ≠±1,因为当 k =±1 时,直线 AB 的斜率不存x ⎛4p 4p ⎫1-k 2从而 k OM = k ∴直线 OM 的方程为 y = x ,① ⎧Δ=64m k -16(3+4k )(m -3)>0, -1 ⎩x x =4(m -3). ⎧3+4k -m >0, ⎩x x =4(m -3). +4k +4k 3+4k 2 3+4k 2 3+4k 2 3+4k 2B(4pk 2,-4pk).于是直线 AB 的斜率为 k AB =k , k 2-1 , k 2-1 k-k 直线 AB 的方程为 y +4pk =k 2 (x -4pk 2).②将①②相乘,得 y 2+4pky =-x(x -4pk 2),即 x 2+y 2=-4pky +4pk 2x =4p(k 2x -ky),③又 k 2x -ky =x ,代入③式并化简,得(x -2p)2+y 2=4p 2.当 k =±1 时,易求得直线 AB 的方程为 x =4p.故此时点 M 的坐标为(4p,0),也在(x -2p)2+y 2=4p 2 (x ≠0)上.∴点 M 的轨迹方程为(x -2p)2+y 2=4p 2 (x ≠0),∴其轨迹是以(2p,0)为圆心,半径为 2p 的圆,去掉坐标原点.例 4证明 设 A(x 1,y 1), B(x 2,y 2), ⎧⎪y =kx +m , 联立⎨x 2 y 2 ⎪⎩ 4 + 3 =1,得(3+4k 2)x 2+8mkx +4(m 2-3)=0,2 2 2 2 则即⎨x 1+x 2=-38mk 2, 2 1 2 3+4k 2 2 2 ⎨x 1+x 2=-38mk 2,2 1 2 3+4k 2 又 y 1y 2=(kx 1+m)(kx 2+m) =k 2x 1x 2+mk(x 1+x 2)+m 2 3(m 2-4k 2) = . ∵椭圆的右顶点为 A 2(2,0),AA 2⊥BA 2, ∴(x 1-2)(x 2-2)+y 1y 2=0. ∴y 1y 2+x 1x 2-2(x 1+x 2)+4=0. 3(m 2-4k 2) 4(m 2-3) 16mk ∴ + + +4=0.时,l 的方程为y =k ⎝x -7⎭,直线过定点⎝7,0⎭,+2 +2 k 2+2 =2 2× ≤2 2× =2. ∴7m 2+16km +4k 2=0,2k 解得 m 1=-2k ,m 2=- 7 ,且均满足 3+4k 2-m 2>0.当 m 1=-2k 时,l 的方程为 y =k(x -2),直线过定点(2,0),与已知矛盾.当 m 2=- 2k 7 ⎛ 2⎫ ⎛2 ⎫ ∴直线 l 过定点.例 5 解 因为 A(4,0)是椭圆的右焦点,设 A ′为椭圆的左焦点,则 A ′(-4,0),由椭圆定义知|MA|+|MA ′|=10.如图所示,则 |MA|+|MB|=|MA|+|MA ′|+|MB|-|MA ′|=10+|MB|-|MA ′|≤10+ |A ′B|.当点 M 在 BA ′的延长线上时取等号.所以当 M 为射线 BA ′与椭圆的交点时,(|MA|+|MB|)max =10+|A ′B|=10+2 10.又如图所示,|MA|+|MB|=|MA|+|MA ′|-|MA ′|+|MB|=10-(|MA ′|-|MB|)≥10-|A ′B|,当 M 在 A ′B 的延长线上时取等号.所以当 M 为射线 A ′B 与椭圆的交点时,(|MA|+|MB|)min =10-|A ′B|=10-210.例 6 解由题意,|F1F2|=2.设直线 AB 方程为 y =kx +1,代入椭圆方程 2x 2+y 2=2,得(k 2+2)x 2+2kx -1=0,2k 1则 x A +x B =-k 2 ,x A ·x B =-k 2 ,∴|x A -x B |= 8(k 2+1).1 k 2+1S △ABF 2=2|F 1F 2|·|x A -x B |=2 2× k 2+21 1 12 k 2+1+ k 2+1当 k 2+1= 1 ,即 k =0 时,k 2+1S △ABF 2有最大面积为 2.。
数学选修2-1圆锥曲线知识归纳一、复习总结:名称椭圆双曲线图象定义平面内到两定点21,FF的距离的和为常数(大于21FF )的动点的轨迹叫椭圆即aMFMF221=+当2a﹥2c时,轨迹是椭圆当2a=2c时,轨迹是一条线段21FF当2a﹤2c时,轨迹不存在平面内到两定点21,FF的距离的差的绝对值为常数(小于21FF)的动点的轨迹叫双曲线即aMFMF221=-当2a﹤2c时,轨迹是双曲线当2a=2c时,轨迹是两条射线当2a﹥2c时,轨迹不存在标准方程焦点在x轴上时:12222=+byax焦点在y轴上时:12222=+bxay注:是根据分母的大小来判断焦点在哪一坐标轴上焦点在x轴上时:12222=-byax焦点在y轴上时:12222=-bxay常数cba,,的关系222bac+=,渐近线焦点在x轴上时:焦点在y轴上时:抛物线:图形方程焦点 准线二、知识点:椭圆、双曲线、抛物线分别是满足某些条件的点的轨迹,由这些条件可以求出它们的标准方程,并通过分析标准方程研究这三种曲线的几何性质1.椭圆定义:在平面内,到两定点距离之和等于定长(定长大于两定点间的距离)的动点的轨迹2.椭圆的标准方程:12222=+b y a x ,12222=+b x a y (0>>b a )3.椭圆的性质:由椭圆方程12222=+by a x (0>>b a )(1)范围: a x a ≤≤-,b y b ≤≤-,椭圆落在b y a x ±=±=,组成的矩形中.(2)对称性:图象关于y 轴对称.图象关于x 轴对称.图象关于原点对称原点叫椭圆的对称中心,简称中心.x 轴、y 轴叫椭圆的对称轴.从椭圆的方程中直接可以看出它的范围,对称的截距.(3)顶点:椭圆和对称轴的交点叫做椭圆的顶点.椭圆共有四个顶点: )0,(),0,(2a A a A -,),0(),,0(2b B b B -加两焦)0,(),0,(21c F c F -共有六个特殊点 21A A 叫椭圆的长轴,21B B 叫椭圆的短轴.长分别为b a 2,2.b a ,分别为椭圆的长半轴长和短半轴长,椭圆的顶点即为椭圆与对称轴的交点.(4)离心率: 椭圆焦距与长轴长之比a c e =⇒2)(1abe -=10<<e 椭圆形状与e 的关系:0,0→→c e ,椭圆变圆,直至成为极限位置圆,此时也可认为圆为椭圆在0=e 时的特例 ,,1a c e →→椭圆变扁,直至成为极限位置线段21F F ,此时也可认为圆为椭圆在1=e 时的特例.(识记方法) 以下4-7点要求不高,或者不要求.4. 椭圆的第二定义:一动点到定点的距离和它到一条定直线的距离的比是一个)1,0(内常数e ,那么这个点的轨迹叫做椭圆 其中定点叫做焦点,定直线叫做准线,常数e 就是离心率5.椭圆的准线方程对于12222=+by a x ,左准线c a x l 21:-=;右准线c a x l 22:=对于12222=+bx a y ,下准线c a y l 21:-=;上准线c a y l 22:=6.椭圆的焦半径公式:椭圆22221(0)x y a b a b+=>>焦半径公式:21()a PF e x a ex c =+=+,22()a PF e x a exc =-=-其中e 是离心率 其中21,F F 分别是椭圆左右焦点.焦点在y 轴上的椭圆的焦半径公式: 其中e 是离心率 其中21,F F 分别是椭圆的下上焦点.焦半径公式的两种形式的区别只和焦点的左右有关,而与点在左在右无关 可以记为:左加右减,上减下加7椭圆的参数方程)(sin cos 为参数ϕϕϕ⎩⎨⎧==b y a x以下为椭圆重要结论:(要求记忆1、2、3条,了解4、5)1.准线到中心的距离为2a c,焦点到对应准线的距离(焦准距)c b c c a c c a p 2222=-=-= 过焦点且垂直于长轴的弦叫通经,其长度为:22b a.2. 椭圆22221(0)x y a b a b+=>>两焦半径与焦距构成三角形的面积:1221||tan2F PF P F PFS c y b ∆∠==. 3椭圆的光学性质:从椭圆的一个焦点出发的光线,经椭圆反射后,反射光线必经过椭圆的另一个焦点.例:今有一个水平放置的椭圆形台球盘,点A 、B 是它的两个焦点,长轴长为2a ,焦距为2c ,当静放在点A 的小球(小球的半径不计),从点A 沿直线l 击出,经椭圆壁反弹后再回到A ,若l 与椭圆长轴的夹角为锐角,则小球经过的路程是(???D )A.4b?????????????B.2(a-c)?????????? ?? ?C.2(a+c)????????????D.4a 4.椭圆的的内外部:(1)点00(,)P x y 在椭圆22221(0)x y a b a b +=>>的内部2200221x y a b ⇔+<.(2)点00(,)P x y 在椭圆22221(0)x y a b a b +=>>的外部2200221x y a b⇔+>.5.椭圆的切线方程:(1) 椭圆22221(0)x y a b a b +=>>上一点00(,)P x y 处的切线方程是00221x x y ya b +=.(2)过椭圆22221x y a b +=外一点00(,)P x y 所引两条切线的切点弦方程是00221x x y ya b +=.(3)椭圆22221(0)x y a b a b+=>>与直线0Ax By C ++=相切的条件是22222A a B b c +=.8.双曲线的定义:平面内到两定点21,F F 的距离的差的绝对值为常数(小于21F F )的动点的轨迹叫双曲线 即a MF MF 221=- 这两个定点叫做双曲线的焦点,两焦点间的距离叫做焦距在同样的差下,两定点间距离较长,则所画出的双曲线的开口较开阔(→两条平行线)两定点间距离较短(大于定差),则所画出的双曲线的开口较狭窄(→两条射线) 双曲线的形状与两定点间距离、定差有关9.双曲线的标准方程及特点:(1)双曲线的标准方程有焦点在x 轴上和焦点y 轴上两种:焦点在x 轴上时双曲线的标准方程为:12222=-b y a x (0>a ,0>b );焦点在y 轴上时双曲线的标准方程为:12222=-bx a y (0>a ,0>b )(2)c b a ,,有关系式222b a c +=成立,且0,0,0>>>c b a其中a 与b 的大小关系:可以为b a b a b a ><=,,10.焦点的位置:从椭圆的标准方程不难看出椭圆的焦点位置可由方程中含字母2x 、2y 项的分母的大小来确定,分母大的项对应的字母所在的轴就是焦点所在的轴 而双曲线是根据项的正负来判断焦点所在的位置,即2x 项的系数是正的,那么焦点在x 轴上;2y 项的系数是正的,那么焦点在y 轴上11.双曲线的几何性质: (1)范围、对称性由标准方程12222=-by a x ,从横的方向来看,直线x=-a ,x=a 之间没有图象,从纵的方向来看,随着x 的增大,y 的绝对值也无限增大,所以曲线在纵方向上可无限伸展,不像椭圆那样是封闭曲线 双曲线不封闭,但仍称其对称中心为双曲线的中心.(2)顶点顶点:()0,),0,(21a A a A -,特殊点:()b B b B -,0),,0(21实轴:21A A 长为a 2, a 叫做半实轴长 虚轴:21B B 长为b 2,b 叫做虚半轴长双曲线只有两个顶点,而椭圆则有四个顶点,这是两者的又一差异(3)渐近线过双曲线12222=-b y a x 的渐近线x a b y ±=(0=±bya x )(4)离心率双曲线的焦距与实轴长的比aca c e ==22,叫做双曲线的离心率 范围:1>e 双曲线形状与e 的关系:1122222-=-=-==e ac a a c a b k ,e 越大,即渐近线的斜率的绝对值就大,这是双曲线的形状就从扁狭逐渐变得开阔 由此可知,双曲线的离心率越大,它的开口就越阔12.等轴双曲线定义:实轴和虚轴等长的双曲线叫做等轴双曲线,这样的双曲线叫做等轴双曲线 等轴双曲线的性质:(1)渐近线方程为:x y ±=;(2)渐近线互相垂直;(3)离心率2=e13.共渐近线的双曲线系如果双曲线与12222=-b y a x 有公共渐近线,可设为λ=-2222b y a x以下14-17点要求不高,或者不要求. 14.双曲线的第二定义:到定点F 的距离与到定直线l 的距离之比为常数)0(>>=a c ace 的点的轨迹是双曲线 其中,定点叫做双曲线的焦点,定直线叫做双曲线的准线 常数e 是双曲线的离心率.15.双曲线的准线方程:对于12222=-b y a x 来说,相对于左焦点)0,(1c F -对应着左准线c a x l 21:-=,相对于右焦点)0,(2c F 对应着右准线ca x l 22:=;对于12222=-b x a y 来说,相对于上焦点),0(1c F -对应着上准线c a y l 21:-=;相对于下焦点),0(2c F 对应着下准线ca y l 22:=16.双曲线的焦半径(了解)定义:双曲线上任意一点M 与双曲线焦点21,F F 的连线段,叫做双曲线的焦半径焦点在x 轴上的双曲线的焦半径公式:⎩⎨⎧-=+=∴0201ex a MF ex a MF(21,F F 分别是左、右焦点) 焦点在y 轴上的双曲线的焦半径公式:⎩⎨⎧-=+=∴0201ey a MF ey a MF(21,F F 分别是下、上焦点) 17.双曲线的焦点弦:定义:过焦点的直线割双曲线所成的相交弦焦点弦公式:当双曲线焦点在x 轴上时,过左焦点与左支交于两点时: )(221x x e a AB +--=过右焦点与右支交于两点时:)(221x x e a AB ++-=当双曲线焦点在y 轴上时,过左焦点与左支交于两点时:)(221y y e a AB +--=过右焦点与右支交于两点时:)(221y y e a AB ++-=18.双曲线的重要结论:(识记(1)-(4)点,了解(5)点)(1)双曲线焦点到对应准线的距离(焦准距)2b p c=.(2)过焦点且垂直于实轴的弦叫通经,其长度为:22b a.(3)两焦半径与焦距构成三角形的面积1221cot 2F PF F PFS b ∆∠=.(4)焦点到渐近线的距离总是b . (5)双曲线的切线方程:(1)双曲线22221(0,0)x y a b a b -=>>上一点00(,)P x y 处的切线方程是00221x x y ya b -=.(2)过双曲线22221x y a b-=外一点00(,)P x y 所引两条切线的切点弦方程是00221x x y ya b-=. (3)双曲线22221x y a b-=与直线0Ax By C ++=相切的条件是22222A a B b c -=.19 抛物线定义:平面内与一个定点F 和一条定直线l 的距离相等的点的轨迹叫做抛物线 定点F 叫做抛物线的焦点,定直线l 叫做抛物线的准线20.抛物线的准线方程:(1))0(22>=p px y , 焦点:)0,2(p ,准线l :2p x -= (2))0(22>=p py x , 焦点:)2,0(p ,准线l :2p y -=(3))0(22>-=p px y , 焦点:)0,2(p -,准线l :2p x =(4) )0(22>-=p py x , 焦点:)2,0(p -,准线l :2p y =相同点:(1)抛物线都过原点;(2)对称轴为坐标轴;(3)准线都与对称轴垂直,垂足与焦点在对称轴上关于原点对称 它们到原点的距离都等于一次项系数绝对值的41,即242p p = 不同点:(1)图形关于X 轴对称时,X 为一次项,Y 为二次项,方程右端为px 2±、左端为2y ;图形关于Y 轴对称时,X 为二次项,Y 为一次项,方程右端为py 2±,左端为2x (2)开口方向在X 轴(或Y 轴)正向时,焦点在X 轴(或Y 轴)的正半轴上,方程右端取正号;开口在X 轴(或Y 轴)负向时,焦点在X 轴(或Y 轴)负半轴时,方程右端取负号21.抛物线的几何性质 (1)范围因为p >0,由方程()022>=p px y 可知,这条抛物线上的点M 的坐标(x ,y )满足不等式x≥0,所以这条抛物线在y 轴的右侧;当x 的值增大时,|y|也增大,这说明抛物线向右上方和右下方无限延伸. (2)对称性以-y 代y ,方程()022>=p px y 不变,所以这条抛物线关于x 轴对称,我们把抛物线的对称轴叫做抛物线的轴. (3)顶点抛物线和它的轴的交点叫做抛物线的顶点.在方程()022>=p px y 中,当y=0时,x=0,因此抛物线()022>=p px y 的顶点就是坐标原点.(4)离心率抛物线上的点M 与焦点的距离和它到准线的距离的比,叫做抛物线的离心率,用e 表示.由抛物线的定义可知,e=1.22抛物线的焦半径公式:(画图即可)抛物线)0(22>=p px y ,0022x pp x PF +=+= 抛物线)0(22>-=p px y ,0022x pp x PF -=-=抛物线)0(22>=p py x ,0022y pp y PF +=+= 抛物线)0(22>-=p py x ,0022y pp y PF -=-= 23.直线与抛物线: (1)位置关系:相交(两个公共点或一个公共点);相离(无公共点);相切(一个公共点)将b kx y l +=:代入0:22=++++F Ey Dx Cy Ax C ,消去y ,得到 关于x 的二次方程02=++c bx ax (*)若0>∆,相交;0=∆,相切;0<∆,相离综上,得: 联立⎩⎨⎧=+=pxy b kx y 22,得关于x 的方程02=++c bx ax 当0=a (二次项系数为零),唯一一个公共点(交点) 当0≠a ,则若0>∆,两个公共点(交点)0=∆,一个公共点(切点)0<∆,无公共点 (相离)(2)相交弦长: 弦长公式:21k ad +∆=, (3)焦点弦公式:抛物线)0(22>=p px y , )(21x x p AB ++=(识记)抛物线)0(22>-=p px y , )(21x x p AB +-=抛物线)0(22>=p py x , )(21y y p AB ++=抛物线)0(22>-=p py x ,)(21y y p AB +-=(4)通径:定义:过焦点且垂直于对称轴的相交弦 通径:p d 2=通径是所有焦点弦(经过焦点的弦简称焦点弦)中最短的弦. (5)若已知过焦点的直线倾斜角θ(识记这条结论)则⎪⎩⎪⎨⎧=-=px y p x k y 2)2(20222=--⇒p y k p y ⎪⎩⎪⎨⎧-==+⇒221212py y k p y y (6)常用结论:⎪⎩⎪⎨⎧=-=pxy p x k y 2)2(20222=--⇒p y k p y 和04)2(22222=++-p k x p p k x k 221.3p y y -=⇒结论和421px x =(7)若OA 、OB 是过抛物线22(0)y px p =>顶点O 的两条互相垂直的弦,则直线AB 恒经过定点(2,0)p(8)过抛物线px y 22=的焦点F 作一直线交抛物线于P 、Q 两点,则pFQ PF 211=+. 24.抛物线)0(22>=p px y 的参数方程:⎩⎨⎧== 222pt y pt x (t为参数)25.提示.处理椭圆、双曲线、抛物线的弦中点问题常用点差法:设为曲线上不同的两点,是的中点,则可得到弦中点与两点间关系:?????推导:。
高中数学选修2--1圆锥曲线基本知识点与典型题举例一、椭圆1.椭圆的定义:第一定义:平面内到两个定点F1、F2的距离之和等于定值2a(2a>|F1F2|)的点的轨迹叫做椭圆,这两个定点叫做椭圆的焦点,两焦点的距离叫做椭圆的焦距.第二定义: 平面内到定点F与到定直线l的距离之比是常数e(0<e<1)的点的轨迹是椭圆,定点叫做椭圆的焦点,定直线l叫做椭圆的准线,常数e叫做椭圆的离心率.2.椭圆的标准方程及其几何性质(如下表所示)图形顶点 (,0)a ±,(0,)b ± (0,)a ±,(,0)b ±对称轴x 轴,y 轴,长轴长为2a ,短轴长为2b焦点1(,0)F c -、2(,0)F c 1(0,)F c -、2(0,)F c焦距焦距为122(0),F F c c => 222c a b =-离心率e =ca(0<e <1)例1. F 1,F 2是定点,且|F 1F 2|=6,动点M 满足|MF 1|+|MF 2|=6,则M 点的轨迹方程是( )(A)椭圆 (B)直线 (C)圆 (D)线段例2. 已知ABC ∆的周长是16,)0,3(-A ,B )0,3(, 则动点的轨迹方程是( )(A)1162522=+y x (B))0(1162522≠=+y y x (C)1251622=+y x (D))0(1251622≠=+y y x例3. 若F (c ,0)是椭圆22221x y a b+=的右焦点,F 与椭圆上点的距离的最大值为M ,最小值为m ,则椭圆上与F 点的距离等于2M m+的点的坐标是( )(A)(c ,2b a±) 2()(,)b B c a -± (C)(0,±b ) (D)不存在例4 设F 1(-c ,0)、F 2(c ,0)是椭圆22x a+22y b =1(a >b >0)的两个焦点,P 是以F 1F 2为直径的圆与椭圆的一个交点,若∠PF 1F 2=5∠PF 2F 1,则椭圆的离心率为( )(A)2 (B)3 (C)2 (D)3例5. P点在椭圆1204522=+y x 上,F 1、F 2是两个焦点,若21PF PF ⊥,则P 点的坐标是 .例6. 写出满足下列条件的椭圆的标准方程:(1)长轴与短轴的和为18,焦距为6; . (2)焦点坐标为)0,3(-,)0,3(,并且经过点(2,1); .(3)椭圆的两个顶点坐标分别为)0,3(-,)0,3(,且短轴是长轴的31; ____.(4)离心率为23,经过点(2,0); .例7. 12F F 、是椭圆2214x y +=的左、右焦点,点P 在椭圆上运动,则12||||PF PF ⋅的最大值是 .二、双曲线 1.双曲线的定义:第一定义:平面内到两个定点F 1、F 2的距离之差的绝对值等于定值2a (0<2a <|F 1F 2|)的点的轨迹叫做双曲线,这两个定点叫做双曲线的焦点,两焦点的距离叫做双曲线的焦距.第二定义: 平面内到定点F 与到定直线l 的距离之比是常数e (e >1)的点的轨迹是双曲线,定点叫做双曲线的焦点,定直线l 叫做双曲线的准线,常数e 叫做双曲线的离心率例8 .命题甲:动点P 到两定点A 、B 的距离之差的绝对值等于2a (a >0);命题乙: 点P 的轨迹是双曲线。
则命题甲是命题乙的( )(A ) 充要条件 (B ) 必要不充分条件 (C) 充分不必要条件 (D) 不充分也不必要条件例9 到定点的距离与到定直线的距离之比等于log 23的点的轨迹是( )(A)圆 (B)椭圆 (C)双曲线 (D)抛物线例10. 过点(2,-2)且与双曲线1222=-y x 有相同渐近线的双曲线的方程是( )(A)12422=-y x (B)12422=-x y (C)14222=-y x (D)14222=-x y例11. 双曲线221(1)x y n n-=>的两焦点为12,,F F P 在双曲线上,且满足12PF PF +=,则12F PF 的面积为( )()1A 1()2B ()2C ()4D例12 设ABC ∆的顶点)0,4(-A ,)0,4(B ,且C B A sin 21sin sin =-,则第三个顶点C 的轨迹方程是________.例13. 根据下列条件,求双曲线方程:⑴与双曲线221916x y -=有共同渐近线,且过点(-3,32);⑵与双曲线221164x y -=有公共焦点,且过点(2).例14. 设双曲线2212y x -=上两点A 、B ,AB 中点M (1,2)求直线AB 方程;注:用两种方法求解(韦达定理法、点差法)三、.抛物线1.抛物线的定义:平面内到定点F和定直线l的距离相等的点的轨迹叫做抛物线(点F不在l上).定点F叫做抛物线的焦点, 定直线l叫做抛物线的准线.2.抛物线的标准方程及其几何性质(如下表所示)标准方程22(0)y px p=>22(0)y px p=->22(0)x py p=>22(0)x py p=->图形对称轴x轴x轴y轴y轴焦点(,0)2pF (,0)2pF -(0,)2p F(0,)2p F -顶点 原点(0,0)准线 2p x =-2p x =2p y =-2p y =离心率 e =1注: 通径为2p ,这是抛物线的过焦点的所有弦中最短的弦.例15. 顶点在原点,焦点是(0,2)-的抛物线方程是( ) (A )x 2=8y (B)x 2= 8y (C)y 2=8x(D)y 2=8x例16 抛物线24y x =上的一点M 到焦点的距离为1,则点M 的纵坐标是( )(A )1716(B)1516(C)78(D)0例17. 过点P(0,1)与抛物线y2=x有且只有一个交点的直线有( )(A)4条(B)3条(C)2条(D)1条例18. 过抛物线2y ax=(a>0)的焦点F作一直线交抛物线于P、Q 两点,若线段P F与FQ的长分别为p、q,则11+等于( )p q(A)2a(B)1(C)4a2a(D)4a例19 若点A的坐标为(3,2),F为抛物线y2=2x的焦点,点P 在抛物线上移动,为使|PA|+|PF|取最小值,P点的坐标为( )1,1)(A)(3,3) (B)(2,2) (C)(2(D)(0,0)例20 动圆M过点F(0,2)且与直线y=-2相切,则圆心M的轨迹方程是 .例21 过抛物线y2=2px的焦点的一条直线和抛物线交于两点,设这两点的纵坐标为y1、y2,则y1y2=_________.例22 以抛物线x y23=-的焦点为圆心,通径长为半径的圆的方程是_____________.例23. 过点(-1,0)的直线l 与抛物线y 2=6x 有公共点,则直线l 的斜率的范围是 .例24 设0p >是一常数,过点(2,0)p Q 的直线与抛物线22y px =交于相异两点A 、B ,以线段A B 为直经作圆H (H 为圆心)。
(Ⅰ)试证:抛物线顶点在圆H 的圆周上; (Ⅱ)求圆H 的面积最小时直线A B 的方程.四、求点的轨迹问题如何求曲线(点的轨迹)方程,它一般分为两类基本题型:一是已知轨迹类型求其方程,常用待定系数法,如求直线及圆的方程就是典型例题;二是未知轨迹类型,此时除了用代入法(相关点法)外,通常设法利用已知轨迹的定义解题,化归为求已知轨迹类型的轨迹方程。
因此在求动点轨迹方程的过程中,一是寻找与动点坐标有关的方程(等量关系),侧重于数的运算,一是寻找与动点有关的几何条件,侧重于形,重视图形几何性质的运用。
求轨迹方程的一般步骤:建、设、现(限)、代、化.例25. 已知两点M (-2,0),N (2,0),点P 满足PM PN ⋅=12,则点P 的轨迹方程为( )22()116x A y += 22()16B x y += 22()8C y x -=22()8D x y +=例26. ⊙O 1与⊙O 2的半径分别为1和2,|O 1O 2|=4,动圆与⊙O 1内切而与⊙O 2外切,则动圆圆心轨迹是( )(A)椭圆(B)抛物线(C)双曲线 (D)双曲线的一支例27. 动点P在抛物线y2=-6x上运动,定点A(0,1),线段PA中点的轨迹方程是( )(A)(2y+1)2=-12x(B)(2y+1)2=12x (C)(2y-1)2=-12x(D)(2y-1)2=12x例28.过点A(2,0)与圆162=2x相内切的圆的圆心P的轨+y迹是()(A)椭圆(B)双曲线(C)抛物线(D)圆例29. 已知ABC ∆的周长是16,)0,3(-A ,B )0,3(则动点的轨迹方程是( )(A)1162522=+y x (B))0(1162522≠=+y y x (C)1251622=+y x (D))0(1251622≠=+y y x例30. 椭圆13422=+y x 中斜率为34的平行弦中点的轨迹方程为 .例31. 已知动圆P 与定圆C: (x +2)2+y 2=1相外切,又与定直线l :x =1相切,那么动圆的圆心P 的轨迹方程是______________._.五、圆锥曲线综合问题 直线与圆锥曲线的位置关系⑴直线与圆锥曲线的位置关系和判定直线与圆锥曲线的位置关系有三种情况:相交、相切、相离. 直线方程是二元一次方程,圆锥曲线方程是二元二次方程,由它们组成的方程组,经过消元得到一个一元二次方程,直线和圆锥曲线相交、相切、相离的充分必要条件分别是0∆>、0∆=、0∆<.⑵直线与圆锥曲线相交所得的弦长直线具有斜率k ,直线与圆锥曲线的两个交点坐标分别为1122(,),(,)A x yB x y ,则它的弦长12AB x =-==注:实质上是由两点间距离公式推导出来的,只是用了交点坐标设而不求的技巧而已(因为1212()y y x x -=-k ,运用韦达定理来进行计算.当直线斜率不存在是,则12AB y y =-.注: 1.圆锥曲线,一要重视定义,这是学好圆锥曲线最重要的思想方法,二要数形结合,既熟练掌握方程组理论,又关注图形的几何性质,以简化运算。
2.当涉及到弦的中点时,通常有两种处理方法:一是韦达定理;二是点差法.3.圆锥曲线中参数取值范围问题通常从两个途径思考:一是建立函数,用求值域的方法求范围;二是建立不等式,通过解不等式求范围。
例32. AB 为过椭圆2222by a x +=1中心的弦,F (c ,0)为椭圆的右焦点,则△AFB 的面积最大值是( )(A)b 2(B)ab (C)ac (D)bc例33 若直线y =kx +2与双曲线622=-y x 的右支交于不同的两点,则k 的取值范围是( )()A 315(-,)315 ()B 0(,)315()C 315(-,)0 ()D 315(-,)1-例34. 若双曲线x 2-y 2=1右支上一点P(a , b )到直线y =x 的距,则a +b 的值是( ).1()2A - 1()2B 1()2C -或12(D)2或-2例35 抛物线y =x 2上的点到直线2x - y =4的距离最近的点的坐标是( )11()(,)24A ) (B)(1,1) (C) (49,23)(D) (2,4)例36 抛物线y 2=4x 截直线2y x k =+所得弦长为35,则k 的值是( )(A )2 (B)-2 (C)4 (D)-4例37 如果直线)1(-=x k y 与双曲线422=-y x 没有交点,则k 的取值范围是 .例38 已知抛物线22x y =上两点),(),,(2211y x B y x A 关于直线m x y +=对称,且2121-=x x ,那么m 的值为 .例39 双曲线3x 2-y 2=1上是否存在关于直线y=2x 对称的两点A 、B 若存在,试求出A 、B 两点的坐标;若不存在,说明理由.高中数学选修2--1圆锥曲线 基本知识点与典型题举例答案 一、椭圆 例1. D 例2. B例3. C 先考虑M+m =2a ,然后用验证法. 例4. B ∵1212||||||||22sin15sin 751sin15sin 75sin15cos15PF PF PF PF c a+====︒︒︒+︒︒+︒,∴22c e a = 例5 (3,±4) 或(-3, ±4)例6. (1)1162522=+y x 或1251622=+y x ; (2) 13622=+y x ;(3)1922=+y x 或181922=+y x ; (4) 1422=+y x 或116422=+y x .例7. 12||||PF PF ⋅≤2212||||()42PF PF a +==二、双曲线: 例8. B 例9. C 例10. D例11. A 假设12PF PF >,由双曲线定义12PF PF -=且12PF PF +=解得12PF PF而12F F =由勾股定理得1212112PF F SPF PF =⋅= [点评]考查双曲线定义和方程思想.例12 )2(112422-<=-x y x例13.⑴设双曲线方程为22916x y λ-=(λ≠0),∴ 22(3)916λ--=∴ 14λ=,∴ 双曲线方程为221944x y -=;⑵设双曲线方程为221164x y k k -=-+16040k k ->⎛⎫ ⎪+>⎝⎭∴2221164k k -=-+,解之得k =4,∴ 双曲线方程为221128x y -=评注:与双曲线22221x y a b -=共渐近线的双曲线方程为2222x y a bλ-=(λ≠0),当λ>0时,焦点在x 轴上;当λ<0时,焦点在y 轴上。