食物成分表(全表)2009-12-11
- 格式:xls
- 大小:1.23 MB
- 文档页数:53
表1 各种食物中蛋白质、脂肪及碳水化合物含量食物名称食部(%)水分(g)蛋白质(g)脂肪(g)碳水化合物(g)热量(千焦耳)热量(千卡)馒头(蒸,标准粉)100 40.5 7.8 1.0 48.3 976 233 馒头(蒸,富强粉)100 47.3 6.2 1.2 43.2 871 208 面筋100 74.2 18.4 2.8 3.8 477 114 面筋泡(炸)100 8.2 26.5 43.2 20.1 2407 575 小米100 11.2 9.2 3.2 73.3 1503 359 小米粥100 89.3 1.4 0.7 8.4 193 46 玉米(白,干)100 12.0 9.0 3.1 67.5 1398 334 玉米(红,干)100 13.3 9.1 4.2 66.2 1419 339 玉米(黄,干)100 13.4 9.6 3.6 64.8 1382 330 玉米(鲜,黄)100 81.1 3.8 0.6 11.1 272 65 玉米渣(黄)100 10.9 8.3 2.5 76.2 1507 360 玉米糁(黄)100 14.9 7.8 4.7 68.4 1453 347 玉米面(黄)100 12.1 9.2 3.7 66.1 1398 334 稻米(籼米)100 12.2 9.3 0.8 75.9 1457 348 稻米(粳米)100 13.2 8.0 0.6 77.6 1457 348续表食物名称食部(%)水分(g)蛋白质(g)脂肪(g)碳水化合物(g)热量(千焦耳)热量(千卡)米饭(蒸,籼米)100 71.1 2.5 0.2 26.6 495 118 米饭(蒸,粳米)100 70.6 2.6 0.3 26.0 490 117 大米粥(粳米)100 88.6 1.1 0.3 9.8 193 46 小麦粉(标准粉)100 12.5 11.8 1.3 71.8 1449 346 小麦粉(精白粉)100 12.1 7.4 1.3 77.3 1465 350 小麦粉(富强粉)100 12.8 9.5 1.1 75.8 1470 351 挂面(标准粉)100 15.1 8.9 1.0 71.9 1390 332 挂面(富强粉)100 14.1 10.6 0.5 73.8 1432 342 挂面(强化赖氨酸)100 10.8 10.5 0.5 76.6 1478 353 方便面(海鲜)100 4.0 11.4 21.6 52.7 1888 451 面条(富强粉)100 29.2 9.3 1.1 59.5 1193 285 面条(标准粉)100 29.7 8.5 1.6 58.0 1172 280 烙饼(标准粉)100 36.4 7.5 2.3 51.0 1068 255 油饼100 24.8 7.9 22.9 40.4 1671 399 牛乳100 89.3 3.0 2.9 4.1 226 54续表食物名称食部(%)水分(g)蛋白质(g)脂肪(g)碳水化合物(g)热量(千焦耳)热量(千卡)牛乳(强化维生素A、D)100 88.8 2.8 6.2 1.5 306 73牛乳(罐头,甜)100 27.3 8.2 9.3 53.4 1382 330 牛乳粉(全)100 1.9 20.3 20.9 52.2 2001 478 乳酪100 46.2 26.4 19.0 4.4 1231 294 酸牛乳100 79.9 3.1 4.6 11.7 423 101 酸牛乳(果料)100 80.2 2.5 2.3 14.4 368 88酸牛乳(脱脂)100 82.2 4.0 0.3 12.6 289 69 鸡蛋85 75.6 12.9 9.1 1.5 586 140鸭蛋89 71.8 10.7 14.8 1.7 766 183 鹌鹑蛋65 73.9 11.7 12.4 1.0 678 162 鲳鱼69 70.3 20.4 7.4 0.7 632 151 草鱼60 77.1 16.1 5.9 0.2 490 117 鲢鱼60 75.2 174 2.6 3.7 452 108 鲤鱼62 73.1 18.3 7.5 0 590 141 鲫鱼48 78.0 17.4 1.3 2.5 381 91续表食物名称食部(%)水分(g)蛋白质(g)脂肪(g)碳水化合物(g)热量(千焦耳)热量(千卡)鳜鱼52 77.5 18.2 3.2 0 427 102 鲮鱼64 74.2 19.6 2.6 2.4 465 11 黄鳝44 75.0 16.8 3.3 3.0 465 109 鲍鱼(干)100 18.3 54.1 5.6 13.7 1348 322 鲜贝100 81.6 14.2 0.3 3.0 301 72 干贝100 23.3 62.0 3.8 2.4 1223 292 淡菜100 18.7 57.7 13.2 2.3 1503 359 鱿鱼(干)100 21.6 57.0 5.9 9.3 1331 318 芝麻油100 0.1 0 99.9 0 3764 899 玉米油100 0.1 0 99.9 0 3764 899 花生油100 0.1 0 99.9 0 3764 899 色拉油(菜籽)100 0 0 100.0 0 3768 900 色拉油(花生)100 0 0 100.0 0 3768 900 棕榈油100 0 0 100.0 0 3768 900 辣椒油100 0 0 100.0 0 3768 900 黄油100 9.2 0.4 89.9 0.5 3404 813。
,WORD格式--可编辑--专业资料.------果酱馅饼(1块)170 6 35 2白米饭(1碗)205 4 44 0黑米饭(1 碗 216 5 45 1 通心粉(1 碗)197 7 40 1 面条(1 碗)197 7 401食物总能量kcal 蛋白质g 脂肪g 碳水化合物g 【一块44克重的德芙巧克力含碳水化合物27.76 克蛋白质1.85克脂肪13.2克钙14.08毫克磷58.08毫克镁50.6毫克钾160.60毫克钠4.84毫克】396......98.9 冰糖 397 ............................. 99.31、碳水化合物(糖)每天每公斤体重需要7.5g 。
每公斤碳水化合物产生4千卡能量。
占人体总能量来源的40-50%。
2.脂肪占人体总能量来源的20-25% (不宜超过30%)每天每公斤体重需要1-1.5g 。
每公斤脂肪能产生9千卡能 量。
3.蛋白质每天每公斤体重需:0.8-1.2克:2.5克左右/公斤体重。
每公斤能产生4千卡能量。
4.矿物质约占 人体体重的5-6%。
5.消耗每卡热能需要1毫升的水分,每公斤体重需要30-40毫升的水分,大米含水15%、肉 类含水50%等。
--完整版学习资料分享----上等牛腰肉180 30 0瘦牛肉 171 28 06 牛肉 190 29 0 516去皮鸡胸脯肉165 31 去皮火鸡胸脯肉135 30 0烤牛肉 50 8 2 1 1 鲑鱼 184 27 0 虾 99 21火腿 145 21 2 碗) 145 6 25 6小羊腿 191 28 0 2全谷类食物 110 8燕麦粥(13 24 1全麦面包(1片)69 3 13 1小煎饼(1块)128 26 20 1松糕(1块)1275 25 全麦饼干(5 89 2 14 3全麦点心(1块)103 3 23 1米饭 112.6 0.3 25.9 馒头 221 7 1.1 47 面条 284 油条 386 6.9 17.6 51 方便面472 9.5 21.1 60.9 花卷 217 6.4 1.0 45.6猪肉(瘦)395 13.2 37 2.4 羊肉(瘦)118 20.5 3.9 16 13 0 鸡翅 194 17.4 11.8 4.6 鸡胸肉 133 腿肠21214 10.4 15.6 鸡蛋 147 12.8 10.1 1.4 鸡蛋白 60 鱼肉 113 虾皮 153 11.6 0.1 3.1 鸭蛋 180 12.6 13 3.1 16.6 5.20 虾肉 83 16.6 1.50.830.7 2.22.5 海带 771.80.18.3 0.7 61.9 0.2 鸡腿 18119.4 5 2.5火 17.3 牛奶5433.23.4奶酪 328 酸奶 722.5 2.3 9.325.7 23.5 3.5 全脂奶粉 478 20.1 21.2 51.7脱脂奶粉36035.9 0.8 52.3 豆奶 423 19 8 68.7白糖80卡。
水果营养成分一览表常见水果每百克所含成分名称蛋白质(g)脂肪(g)碳水化合(g)热量(kcal)无机盐类(g)钙(mg)磷(mg)铁(mg)柿0.70.11148 2.910190.2枣 1.20.2241030.441230.5苹果0.20.615600.21190.3香蕉 1.20.620900.710350.8梨0.10.112490.3560.2杏0.9-10440.626240.8李0.50.2940-17200.5桃0.80.17320.5820 1.0樱桃 1.20.38400.6631 5.9葡萄0.2-10410.24150.6梨:各种水果的营养成分表表5.16 不同食谱营养素含量的计算表食谱2食谱3谷类及谷类制品食物成分表注:营养成分(以每百克食部计)2.干豆类及豆制品表5.18 干豆类及豆制品食物成分表注:营养成分以每百克食部计。
3.鲜豆类表5.19 鲜豆类食物成分表注:营养成分以每百克食部计。
4.根茎类表5.20 根茎类食物成分表注:营养成分(以每百克食部计)5.茎、叶、苔、花类蔬菜表5.21 茎、叶、苔、花类蔬菜食物成分表6.瓜菜类表5.22 瓜菜类食物成分表注:营养成分以每百克食部计。
7.咸菜类表5.23 咸菜类食物成分表注:营养成分以每百克食部计。
8.菌藻类表5.24 菌藻类食物成分表注:营养成分以每百克食部计。
9.水果类表5.25 水果类食物成分表注:营养成分以每百克食部计。
10.坚果类表5.26坚果类食物成分表注:营养成分以每百克食部计。
11.畜肉及其肉制品表5.27 畜肉及其肉制品食物成分表注:营养成分以每百克食部计。
12.禽肉及其肉制品表5.28 禽肉及其肉品食物成分表注:营养成分以每百克食部计。
13.乳及乳制品表5.29 乳及乳制品食物成分表注:营养成分以每百克食部计。
14.禽蛋类表5.30 禽蛋类食物成分表注:营养成分以每百克食部计。
15.鱼类表5.31 鱼类食物成分表注:营养成分以每百克食部计。
食物质脂肪化物m g m g m g m g食物蛋白质脂肪化物m g m g m g m g食物质脂肪化物m g m g m g m g灿米8.2 0.4 76.9 109 1.6 6 121 猪肉瘦18.1 4.2 1.8 367 48 4 113 花蛤7.7 0.6 2.2 235 309 59 126 糯米7 1.1 78.1 104 2.1 5 113 猪心18.4 6.6 0 280 104.5 4 121 花蛤干51.3 6.6 21.7米粉干8 0.1 78.2 43 5.9 6 53 猪肝20.5 3 4.5 254 85 4 180 蛏7.8 0.4 2.5 129 275.6 28 161 白果干 5.9 0.1 76 22 6.5 5 64 猪肚15 3.8 0 255 98.6 12 70 蛏干46.5 4.9 27.4 586 1175 107 791 挂面9.6 0.2 77.6 155 1.2 10 116 猪排23.6 10.5 1 0 0 78 9 蚬子7 1.4 1.7 25 18.4 39 127 线面10.1 0.3 68.3 205 1797 14 117 牛肉17.1 0.9 4.5 313 33.2 6 76 鱿鱼16.3 1.5 9.4 250 122.5 15 130 方便面10.5 20.9 60.9 158 771 15 130 羊肉瘦23.4 1 0.1 342 69.5 10 77 目鱼15.6 0.3 6 575 118.8 15 150 黄豆37.8 11.9 25.2 1958 1.4 170 435 兔肉20.1 3.5 0.6 238 43.5 11 139 海蜇皮 2.5 0.1 12.1 78 6600 137 100 绿豆22.7 1.4 51.5 1084 1.4 86 412 猪肉松44.8 8.3 26 806 1290 36 336 对虾18.3 0.5 1.6 217 133.6 35 253 豆腐 5.4 2 3 223 0.7 101 85 牛奶 2.5 3.2 4.5 100 40.5 102 83 虾米41 1.7 2.2 888 4350 315 688腐皮45 17.2 24.8 719 34.8 94 223 全脂奶粉24.9 27.3 39 1121 336.8 807 754 河蟹8.5 1.9 1.7 163 142.6 178 112豆芽 2.4. 0.1 1.7 96 6 2 18 健儿粉8 0.7 78.3 141 3.9 12 122 甲鱼17.3 3.6 2.2 125 78.5 9 119 四季豆 2.2 0.1 4.1 145 0.7 30 52 鸡20 7.8 0.7 271 74.8 9 151 猪血17.9 0.3 0.1 75 67.7 4 25 甘薯 1.1 0.2 22.2 184 97.7 28 20 鸭17.6 12.3 0.3 326 66.5 6 172 羊肚12.2 3.4 1.8 101 66 38 133 甘薯粉 2.7 0.2 80.8 66 2.6 33 12 鸽19.2 16.5 0.2 468 49.8 40 85 柚0.8 0.2 9.1 119 3 12 24 土豆 2.3 0.1 15.8 331 0.9 30 40 鸡蛋12.3 11.9 2.1 167 180.4 54 144 桔0.6 0.2 9.7 54 1.3 45 25 胡萝卜0.8 0.1 5.7 132 134 27 29 鸭蛋12.1 13.2 3.3 146 104.4 53 128 桃0.9 0.1 15 296 10 24 春笋 2.8 0.1 1.8 256 6.7 20 36 鹌鹑蛋11.8 12.4 1.9 146 111.1 42 119 荔枝0.9 0.2 18.2 174 0.61 4 25 莲藕 1.6 0.1 16.9 228 4.4 24 97 松花蛋13.6 12.2 4.2 87 481.3 26 231 龙眼 1.1 0.1 13.4 13.4 1.3 10 28 大白菜0.9 0.1 0.8 163 12.2 40 42 鲨鱼21.2 1.7 0 373 246.3 34 206 龙眼干 5 0.2 62.8 62.8 3.3 38 206 小白菜 1.2 0.1 1.6 62 73 43 41 鲈鱼17.3 1.7 2.4 120 106.3 208 274 白萝卜0.7 0.1 4.7 145 14.4 30 19 菠菜 3.4 0.2 3.1 163 96 15 60 黄瓜鱼17.4 2.2 0 366 71 49 190 枇杷 1.1 0.2 11 112 5.3 12 6 空心菜 2 0.2 3 122 135 60 39 带鱼16.4 10.8 0 294 50 18 189 苹果0.2 0.2 12.7 9 8 茭白0.8 0.2 6.4 80 4.5 16 27 马鲛鱼18.1 4.1 1.8 369 65 63 221 梨0.1 0.1 9 5 6 花菜 2.5 0.2 3.2 184 19.4 20 46 白鲳16.8 6.3 0 242 100 35 166 香蕉 1.3 0.2 23.1 160 6 8 32 冬瓜0.6 0.1 2.2 175 0.1 15 20 草鱼15.7 2.7 0.3 276 73.5 31 267 花生仁28.3 31.5 27.9 758 12.5 23 270 苦瓜0.9 0.1 3.1 287 0.6 11 35 鲢鱼15.2 2.1 0.7 217 51.8 56 206 莲子16.5 2 60.5 840 2.7 48 286 西瓜0.8 0.1 6.1 91 1.5 12 7 鲫鱼15.2 1.3 1 322 51.8 85 284 红枣干 3.3 0.4 72.8 61 55 番茄0.9 0.2 4.4 221 4 10 26 牡蛎 5.1 1.6 6.3 341 84 142 110 粉丝 2.4 0.1 79 26 28 16 鲜蘑菇 4.2 0.1 1.2 307 2 12 43 淡菜干43.4 8.7 24.5 485 700 155 637 紫菜26.7 1.1 22.5 1796 710.5 264 350 干香菇21.2 0.7 25 571 6.2 40 289 淡菜鲜 4.6 1 5 89 313.1 32 120 豆浆 2.5 1 0.4 43 1.2 19 32 干银耳11 0.3 33.2 1760 9.4 19 209 海鳗16.9 3.6 0 125 81.3 30 255 麦淀粉0.8 0.1 85.5 微8.1 17 31 海带水 2.3 0.1 22.1 845 362.5 295 67 猪肾15 3 0 160 103.5 4 107 面粉11.4 1.3 71.3 186 0.4 15 111油脂类25-30g;盐6g奶类及奶制品300g;大豆及坚果30-50g畜禽肉类,50-75g;鱼虾类,50-100g;蛋类25-50g 蔬菜类,300-500g;水果类,200-400g谷类薯类及杂豆250-400g;水1200ml所食用食物的成分表(100g可食部含量)食物名称食部(%)能量(kcal)蛋白质(g)脂肪(g)碳水化物(g)维生素A(μgRE)硫胺素(mg)维生素C(mg)钙(mg)铁mg牛奶100 54 3.0 3.2 3.4 24 0.03 1 104 0.3 面粉100 344 11.2 1.5 73.6 0 0 0 14 0.6 粳米100 346 7.4 0.8 77.9 0 0 0 29 1.5 猪肉(腿)100 190 17.9 12.8 0.8 3 0.53 0 6 0.9 芹菜67 20 1.2 0.2 3.3 57 0.02 8 80 1.2 酱油100 66 8.3 0.6 6.9 0 0.03 0 27 7.0大豆油100 900 0.0 99.9 0.1 0 0 0 1 0.3盐100 0 0 0 0 0 0 0 22 1.0 生菜94 13 1.3 0.3 1.3 298 0.03 13 34 0.9 豆腐100 81 8.1 3.7 3.8 0 0.04 0 164 1.9 鲈鱼58 100 18.6 3.4 0 19 0.03 0 138 2.0中国居民能量参考摄入量及标准人系数年龄男女RNI(kcal/日) 标准人系数RNI(kcal/日) 标准人系数2~1200 0.50 1150 0.48 3~1350 0.56 1300 0.54 4~1450 0.60 1400 0.58 5~1600 0.67 1500 0.63 6~1700 0.71 1600 0.67 7~1800 0.75 1700 0.71 8~1900 0.79 1800 0.75 9~2000 0.83 1900 0.79 10~2100 0.88 2000 0.83 11~2400 1.0 2200 0.92 14~2900 1.21 2400 1.0 18~轻体力活动2400 1.0 2100 0.88 中体力活动2700 1.13 2300 0.96 重体力活动32 1.33 2700 1.13 孕妇4~6个月2900 1.21 7~9个月2900 1.21 乳母3200 1.33 50~体力活动2300 0.96 1900 0.79 中体力活动2600 1.08 2000 0.83 重体力活动3100 1.29 2200 0.92 60~轻体力活动1900 0.79 1800 0.75 中体力活动2200 0.92 2000 0.83 70~轻体力活动1900 0.79 1700 0.71 中体力活动2100 0.88 1900 0.79 80~1900 0.79 1700 0.71体质指数BMI=体重(kg )÷身高(m2)标 准体重指数=实测体重(kg )—标准体重(kg )]÷标准体重(kg )×100% 标准体重=身高(cm )—105 男性>=85,,女性>=80为肥胖 腰臀比=腰围÷臀围(男性<0.9 女性<0.85)标准体重(kg)=年龄(岁)×2+7 3岁以下 标准体重(kg)=年龄(岁)×2+8 3岁以上 身高=年龄(岁)×7+70。
水果营养成分一览表常见水果每百克所含成分名称蛋白质(g)脂肪(g)碳水化合(g)热量(kcal)无机盐类(g)钙(mg)磷(mg)铁(mg)柿0.70.11148 2.910190.2枣 1.20.2241030.441230.5苹果0.20.615600.21190.3香蕉 1.20.620900.710350.8梨0.10.112490.3560.2杏0.9-10440.626240.8李0.50.2940-17200.5桃0.80.17320.5820 1.0樱桃 1.20.38400.6631 5.9葡萄0.2-10410.24150.6梨:各种水果的营养成分表表5.16 不同食谱营养素含量的计算表食谱2食谱3谷类及谷类制品食物成分表注:营养成分(以每百克食部计)2.干豆类及豆制品表5.18 干豆类及豆制品食物成分表注:营养成分以每百克食部计。
3.鲜豆类表5.19 鲜豆类食物成分表注:营养成分以每百克食部计。
4.根茎类表5.20 根茎类食物成分表注:营养成分(以每百克食部计)5.茎、叶、苔、花类蔬菜表5.21 茎、叶、苔、花类蔬菜食物成分表6.瓜菜类表5.22 瓜菜类食物成分表注:营养成分以每百克食部计。
7.咸菜类表5.23 咸菜类食物成分表注:营养成分以每百克食部计。
8.菌藻类表5.24 菌藻类食物成分表注:营养成分以每百克食部计。
9.水果类表5.25 水果类食物成分表注:营养成分以每百克食部计。
10.坚果类表5.26坚果类食物成分表注:营养成分以每百克食部计。
11.畜肉及其肉制品表5.27 畜肉及其肉制品食物成分表注:营养成分以每百克食部计。
12.禽肉及其肉制品表5.28 禽肉及其肉品食物成分表注:营养成分以每百克食部计。
13.乳及乳制品表5.29 乳及乳制品食物成分表注:营养成分以每百克食部计。
14.禽蛋类表5.30 禽蛋类食物成分表注:营养成分以每百克食部计。
15.鱼类表5.31 鱼类食物成分表注:营养成分以每百克食部计。
每百克食物所含的成分。
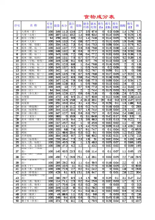
五百克为一市斤※仅供参考※)类别食物名称蛋白质(克)脂肪(克)碳水化合物(克)热量(千卡)无机盐类(克)钙(毫克)磷(毫克)铁(毫克)谷类大米7935110100小米7736221240高粱米7838517230玉署黍7336522210大麦仁6632643400面粉7033922180干豆类黄豆(大豆)25413320570青豆30434240530黑豆19384250450赤小豆5831867305绿豆5933234222花豇豆58341100456豌豆5833957225蚕豆4931871340鲜豆类青扁豆荚(鹊豆)63813277白扁豆荚(刀子豆)5368168四季豆(芸豆)4316649豌豆(准豆、小寒豆)12801390蚕豆(胡豆、佛豆)118615217菜豆角4275363豆类制品黄豆芽79268102豆腐浆117---北豆腐672110110豆腐乳530167200绿豆芽4302351豆腐渣7411644根茎类小葱(火葱、麦葱)5286328大葱(青葱)6311246葱头(大蒜)23111544芋头(土芝)16741951红萝卜5321923荸荠(乌芋)2191568甘薯(红薯)291271820藕6291951白萝卜-6264934马铃薯(土豆、洋芋)281261159叶菜黄花菜(鲜金针菜)12647369黄花(金针菜)60300463173类菠菜2187034韭菜4305645苋菜53420046油菜(胡菜)42514052大白菜3193342小白菜2138627洋白菜(椰菜)42410056香菜(芫荽)73917049芹菜茎22016061菌类蘑菇(鲜)325866口蘑(干)23247100162香菌(香菇)54384124415海菜类木耳(黑)65304357201海带(干,昆布)572622250-紫菜31230330440茄瓜果类南瓜-3152722西葫芦-2101747瓠子(龙蛋瓜)3151217丝瓜(布瓜)5272845茄子3222231冬瓜-2101912西瓜-421610甜瓜4182712菜瓜(地黄瓜)-2122411黄瓜2132537西红柿(番茄)213832水果类柿11481019枣241034123苹果1560119香蕉20901035梨124956杏-10442624李940-1720桃732820樱桃840631葡萄-1041415干果及硬果类花生仁(炒熟)2058971399栗子(生及熟)442091591杏仁(炒熟)519597141202菱角(生)24115949红枣(干)733096155走兽牛肉-1727170牛肝9135134009类羊肉306111292羊肝41559414猪肉33511170猪肝1281127025乳类牛奶(鲜)6212090牛奶粉-900-羊奶(鲜)71140-飞禽鸡肉-10411190鸭肉13411145蛋类鸡蛋(全)-16455210鸭蛋(全)1318671210咸鸭蛋(全)1786102214爬虫田鸡(青蛙)5122159甲鱼181107135蛤类河螃蟹139129145明虾9035150青虾7899205虾米(河产及海产)2-205882--田螺69357191蛤蜊7733782鱼类鲫鱼136254鲤鱼8828鳝鱼-7627带鱼1004853黄花鱼(石首鱼)7631204油脂及其它猪油(炼)-99-891----芝麻油-100-900----花生油-100-900----芝麻酱1561687053058豆油-100-900----常见含无机化合物食物表元素符号主要食物来源钾k 豆类、花生、莲子、葵花子、蘑菇类、辣椒、海带、茶、鸡肉、等。
常见食物营养成分列表(每100克食物中所含营养成分)常见食物营养成分表(每一百克营养成分含量)食物种类食物名称总能量(千卡) 蛋白质(克)脂肪(克) 碳水化合物(克)主食米饭 116 2.6 0.3 25.9馒头 221 7 1.1 47面包 312 8.3 5.1 58.6面条 284 8.3 0.7 61.9油条 386 6.9 17.6 51粥 46 1.1 0.3 9.9肉类猪肉(肥瘦) 395 13.2 37 2.4猪肉(瘦) 143 20.3 6.2 1.5牛肉(瘦) 106 20.2 2.3 1.2酱牛肉 246 31.4 11.9 3.2羊肉(瘦) 118 20.5 3.9 0.2鸡腿 181 16 13 0鸡翅 194 17.4 11.8 4.6鸡胸肉 133 19.4 5 2.5蛋类鸡蛋 147 12.8 10.1 1.4鸡蛋白 60 11.6 0.1 3.1鸭蛋 180 12.6 13 3.1鹅蛋 196 11.1 15.6 2.8水、海产品鱼肉 113 16.6 5.2 0虾肉 83 16.6 1.5 0.8奶类及制品牛奶 54 3 3.2 3.4酸奶 72 2.5 2.7 9.3奶酪 328 25.7 23.5 3.5 豆类及制品豆腐 81 8.1 3.7 4.2豆浆 14 1.8 0.7 1.1蔬菜类黄瓜 15 0.8 0.2 2.9西红柿 19 0.9 0.2 4白菜 17 1.5 0.1 3.2生菜 15 1.4 0.4 2.1蘑菇 20 2.7 0.1 4.1胡萝卜 40 1.2 0.2 9.5 土豆 76 2 0.2 17.2茄子 21 1.1 0.2 4.9水果苹果 52 0.2 0.2 13.5 梨 44 0.4 0.2 13.3橘子 51 0.7 0.2 11.9 西瓜 25 0.6 0.1 5.8香蕉 91 1.4 0.2 22桃 48 0.9 0.1 12.2葡萄 43 0.5 0.2 10.3 猕猴桃 56 0.8 0.6 14.5 杏 36 0.9 0.1 9.1食用油食用油 899 0 99.9 0 五谷类:白饭 1碗(150克,5汤勺满) 220卡白粥 1碗(24克米) 88卡米粥(熟,米连汤) 1碗(140克) 173卡河粉 1碗(140克) 283卡意粉 1碗(140克) 174卡通心粉 1碗(140克) 167卡面 1碗(140克) 280卡即食面 1包(100克) 470卡上海面 1个(58克) 207卡伊面 1个(80克,细) 404卡面包 2片(厚切连皮,100克) 250卡甜面包 1个(60克) 210卡咸面包 1个(60克) 170卡西多士 1片 356卡早餐粟米片 1碗(25克) 92卡麦片(米熟) 1碗(56克) 180卡蛋,肉类:鸡蛋 1个 75卡蛋白 1个 15卡蛋黄 1个 65卡鹌鹑蛋 1个 16卡皮蛋 1个 160卡蒸蛋 1个(50克) 74卡煎蛋 1个(50克) 118卡半肥瘦叉烧 150克 484卡瘦火腿 2片(60克) 70卡烧猪扒 1件 200卡烧牛肉(瘦) 3片(90克,薄) 175卡烤牛扒 1件 155卡烤鸡肉 140克 266卡烤鸭肉(连皮)半只(382克) 1287卡烤鸭肉(不连皮)半只(221克) 445卡烧鹅肉(连皮)半只(774克) 2362卡烧鹅肉(不连皮)半只(591克) 1406卡炸鸡上脾 1件(104克) 294卡炸鸡小腿 1件(57克) 146卡炸鸡翅 1只(55克) 178卡鸡肉香肠 1条(45克) 115卡羊扒(半肥瘦) 2件(90克) 355卡鱼类:蒸鱼柳 150克 124卡白灼虾 10只(100克) 200卡龙虾肉 100克 120卡鱼柳 1份(120克) 110卡罐头沙丁鱼 100克 335卡三文鱼 100克 130卡鳗鱼 100克 340卡鳕鱼 100克 75卡比目鱼 100克 90卡秋刀鱼 100克 240卡黄花鱼 100克 62卡虾肉 100克 90卡龙虾 100克 100卡墨鱼 100克 50卡蟹肉 100克 90卡虾米 100克 195卡银鳕鱼 100克 102卡罐头沙白鱼 1罐 335卡吞拿鱼(水浸) 85克 111卡吞拿鱼(油浸) 85克 163卡红杉鱼(生,净) 2两(75克) 85卡大鱼腩(生) 2两(75克) 57卡蔬菜类:葱 100克 47卡洋葱 100克 35卡大蒜 100克 40卡马蹄 100克 68卡白菜 100克 17卡通菜 100克 20卡大介菜 100克 47卡笕菜 100克 40卡露简 100克 15卡荷兰豆 100克 32卡青椒 100克 14卡西芹 100克 5卡苦瓜 100克 12卡菜心 100克 20卡美国南瓜 100克 73卡日本南瓜 100克 35卡菠菜 100克 19卡芽菜 100克 20卡雪菜 100克 60卡A菜 100克 40卡豆苗 100克 40卡西红柿 100克 14卡青瓜 100克 12卡茄子 100克 26卡冬瓜 100克 40卡芋头 100克 94卡莲藕 100克 52卡海带 100克 36卡草菇(罐头) 100克 30卡青萝卜(熟) 100克 23卡白萝卜(熟) 100克 20卡红萝卜 160克(4两) 60卡白菜(水煮) 1碗(170克) 20卡椰菜(水煮) 1碗(150克) 32卡西兰花(水煮) 1碗(156克) 44卡生菜 1碗(56克) 10卡粟米 1条(77克) 83卡青豆(水煮) 1碗(196克) 231卡番薯 1个(151克) 160卡熟红豆 1碗256克 208卡熟黄豆 1碗172克 298卡熟豆腐 1砖112克 85卡罐头豆/青豆/粟米半杯100克 60卡水果类苹果 100克 57卡杏 100克 48卡蜜饯杏脯 100克 329卡牛油果 100克 161卡香蕉 100克 92卡杨梅 100克 28卡黑莓 100克 52卡杨桃 100克 33卡甜樱桃 100克 72卡黑加伦子 100克 63卡榴莲 100克 147卡无花果 100克 74卡无花果干 100克 255卡葡萄 100克 43卡葡萄干 100克 341卡柚子 100克 41卡番石榴 100克 41卡山楂 100克 95卡罐头糖水菠萝 100克 92卡鲜枣 100克 122卡蜜枣 100克 321卡奇异果 100克 61卡金橘 100克 55卡柠檬 100克 35卡荔枝 100克 66卡哈密瓜 100克 34卡橙 100克 47卡柑 100克 51卡梨 100克 32卡西瓜 100克 25卡零食类:芝士蛋糕 1件 300卡署片 1包小25克 130卡芝士圈 &nbs零食类:芝士蛋糕 1件 300卡署片 1包小25克 130卡芝士圈 1包小25克 125卡仙贝 1小包 35卡牛丸 1串 80卡咖喱牛肉干 1块 162卡臭豆腐 1块 370卡粟米粒 1杯 120卡鱼蛋 1串 100卡蛋塔 1个 320卡凤梨酥 50克 200卡豆干块 60克 150卡花生米 100克 560卡鱿鱼丝 80克 230卡海苔 1小包 25卡饼干类:蓝罐曲奇 100克13块 525卡克力架 1块 32卡全麦营养饼 100克12块 537卡熊仔饼 1盒 334卡糖果类:牛油糖 5粒 105卡棉花糖 5粒 80卡果汁糖 5粒(28克) 265卡瑞士糖 1粒 22卡特选牛乳糖 1颗 19卡奶类:全脂牛奶 240ml 150卡低脂牛奶 240ml 121卡脱脂牛奶 240ml 91卡全脂朱古力奶 240ml 205卡炼奶 6茶勺38克 123卡全脂淡奶 6茶勺32克 42卡朱古力奶昔 1.25杯283ml 360卡雪呢奶昔 1.25杯283ml 314卡饮料类:清茶 240ml 2卡维他奶 1盒250ml 120卡甜豆浆 1杯 120卡菊花茶 1杯 90卡纯橙汁 1杯240ml 114卡阿华田 2满茶勺7ml 26卡番茄汁 190ml 35卡蔬菜汁 190ml 35卡无糖乌龙茶 250ml 0卡无糖麦茶 250ml 0卡冰红茶 300ml 120卡泡沫绿茶 300ml 110卡可乐 355ml 150卡健怡可乐 350ml 3.5卡雪碧 350ml 147卡百事可乐 350ml 161卡酒类:啤酒 1罐 106卡威士忌 1份 70卡红酒 100克 72卡白酒 100克 68卡百威啤酒 335ml 142卡伏特加 1份 100卡梅酒(连梅) 1份 71卡麦当劳:汉堡包 260卡芝士汉堡包 320卡巨无霸 560卡猪柳蛋汉堡 440卡鱼柳堡 360卡麦香鸡 510卡小薯条 210卡中薯条 312卡大薯条 450卡麦乐鸡6块 290卡芥辣酱 60卡烧烤酱 45卡甜酸酱 50卡苹果派 260卡朱古力奶昔 360卡朱古力新地 340卡橙汁(6安士) 80卡可乐(12安士) 110卡红茶(纯) 0.5卡咖啡(纯) 2卡肯德基:全鸡桶 9块 1865卡上校鸡块 1个 45卡鸡米花 125克 420卡鸡翅膀(加辣) 1只 130(+25%) 鸡胸(加辣) 1份 250(+25%)小鸡腿(加辣) 1只 230卡(+25%)鸡腿整个(加辣) 1只 290(+25%)芝士汉堡 1个 460卡鸡腿堡 1个 440卡鸡卷 1份 615卡粟米棒 1根 90卡西餐:墨西哥沙律 1盘 981卡生菜沙律+意式醋汁 1小杯 170卡凯撒沙律 1盘 650卡总汇沙律 1份 240卡法式浓汤 1杯 72卡蘑菇汤 1杯 98卡牛肉蘑菇汤 1杯 195卡酥皮浓汤 1杯 450卡海鲜意大利粉 1盘 620卡凉拌海鲜通心粉 1份 250卡局海鲜 1份 400卡牛油局薯 1个 460卡炸虾 100克 220卡龙虾 100克 120卡沙朗牛排(带肥肉) 85克 330卡小牛排 60公克 330卡炸洋葱圈 100克 390卡去皮鸡胸肉 1份 120卡海鲜Pizza 80公克 220卡中式小食:牛肉馅饼 1个 200卡锅贴 3个 170卡水饺 1个 35卡小笼包 1个 105卡炸春卷 1个 300卡烧卖 1个 55卡客饭 1客 500卡中式炒粉面 1碟 1500卡中式炒饭 1碟 950卡中式粥 1碟 300卡中式餐点:白饭 200公克 180卡荷叶粽 1个 1200卡萝卜糕 2块 180卡筒仔米糕 1份 330卡蒸蛋 1份 75卡蛋花汤 1碗 70卡紫菜汤 1碗 10卡东瓜汤 1碗 20卡酸辣汤 1碗 155卡烧粟米 1枝 345卡麻婆豆腐 1盘 365卡炒花枝 1盘 155卡清蒸鳕鱼 1盘 360卡酥皮香鸡块 1块 560卡烤鸡 100千克 300卡卤鸡翅 65千克 115卡卤鸡腿 1只 300卡炸鸡腿 1只 310卡虾仁炒饭 1份 550卡宫保鸡丁饭 1份 509卡鸡肉饭 1份 330卡鸡肉咖喱饭 1份 550卡牛腩饭 1份 575卡什锦烩饭 1份 705卡炒米粉 1份 275卡广东炒面 1份 930卡什锦炒面 1份 685卡炒三鲜 1份 435卡炒青菜 1份 165卡青椒炒牛肉 1份 240卡火锅类:油豆腐 2个 75卡鱼饺 5个 100卡虾丸 5个 125卡鱼丸 3个 45卡鳕鱼丸 3个 26卡三文鱼丸 5个 46卡蟹柳丸 5个 50卡牛肉片 1盘 605卡羊肉片 1盘 175卡鸡肉片 1盘 140卡蟹 1只 100卡虾 3只 15卡蛤 5个 10卡大白菜 100克 10卡粉丝 1份 135卡1.早餐8:00,苹果一个,低脂牛奶250ml,蔬菜适量,馒头100g,燕麦30g,鸡蛋1个(600kcal)2.加餐10:00,橘子一个(100kcal)3.午餐12:00,米饭150g,肉类200g,蔬菜150g,水果适量(600kcal)4.训练前15:30,50g馒头或香蕉一根(100kcal)5.训练16:00一个小时6.训练后17:00乳清蛋白粉30克(常温奶或常温水冲服),葡萄糖15克,馒头50g,燕麦30g(400kcal)7.晚餐19:00,米饭150g,肉类150g,蔬菜150g,水果可适量(550kcal)8.加餐21:00,水果一个,燕麦30克,低脂牛奶250ml(300kcal)7:30 早餐 1杯麦片,2片全麦面包,2个鸡蛋,1片维生素,稍后果汁1杯。
食物/100克能量/kal蛋白质/克糖类/克脂肪/克水分/克纤维/克VC啤酒340.30000艾菜21 1.9 2.70.393 1.2艾窝窝190 4.343.1052.10.29鹌鹑11020.20.2 3.175.10鹌鹑蛋16012.8 2.111.1730鹌鹑蛋(熟)16012.8 2.111.1730鹌鹑蛋(五香罐头)15211.6011.774.40鹌鹑蛋黄16012.8 2.111.1730螯虾9314.80 3.880.10螯鱼8220.200.979.30八宝菜(酱)72 4.610.2 1.472.3 3.2八角195 3.832.4 5.611.843八角鱼13518.9140.465.40八爪鱼13518.9140.465.40巴鱼12221.2 2.2 3.172.50扒鸡21529.601156.50芭蕉109 1.225.80.168.9 3.1鲅鱼12221.2 2.2 3.172.50鲅鱼(咸)15723.312.4 1.652.80白斑角鲨11022.20 3.275.10白菜15 1.5 1.60.394.5 1.1白菜(脱水)286 6.263.510.8109.4白带鱼12717.7 3.1 4.973.30白地果94 4.618.50.273.6 1.4白姑鱼15019.108.271.50白瓜180.6 3.50.2950.4白瓜100.9 1.7096.20.9白瓜子57436 3.846.1 4.1 4.1白果35513.272.6 1.39.90白果(干)35513.272.6 1.39.90白鲩11216.60 5.277.30白金瓜240.4 5.70930.5白兰瓜210.6 4.50.193.20.8白鲢10217.80 3.677.80白露虾9018.530.476.40白米虾8117.320.477.30白米子(鱼)15019.108.271.50白蘑24238.714.4 3.39.217.2白木耳2001036.9 1.414.630.4白葡萄酒5800000白葡萄酒(10.4度)6500000白葡萄酒(11度)8000000白砂糖400099.9000白薯干340 4.778.50.812.12白水羊头19322.4 1.21161.90白糖3960.198.900.90白脱(食用工业)7420082.717.70白眼棱鱼11818.90 4.875.30白芷3248.968.8 1.511.9 5.3百合162 3.237.10.156.7 1.7百合(干)342 6.777.80.510.3 1.7百合(脱水)3438.177.40.19.9 1.7百页26024.5 4.516521摆佳鱼10015.3 4.7 2.276.50斑节对虾10318.6 5.40.873.60斑鸠肉17121.4 2.28.566.80板蕉109 1.225.80.168.9 3.1板粟185 4.240.50.752 1.7板油酥饼3627.619.414.927.40蚌肉71150.80.980.80棒瓜16 1.2 2.60.194.3 1.2宝宝福3900.297.30 2.10鲍鱼8412.6 6.60.877.50鲍鱼(干)32254.113.7 5.618.30北京烤鸭43616.6638.438.20北京啤酒350.40000北京特制啤酒(6度)1500000荸荠(地粟、马蹄)59 1.213.10.283.6 1.1比目鱼10721.10.5 2.374.60比目鱼10520.80 3.275.90碧绿酒(41.0度)23900000边鱼12418.5 4.8 3.4720鳊鱼13518.3 1.2 6.373.10扁豆32625.355.40.49.9 6.5标准粉34411.271.5 1.512.7 2.1冰川可乐45011.2088.70冰棍470.810.50.288.30冰淇淋126 2.417.3 5.374.40冰淇淋粉39614.576.7 3.5 2.50冰糖397099.300.60冰砖153 2.920 6.869.60饼干57210.842.939.7 5.50.3饼干(VC饼干)4577.966.417.8 5.4 1.2饼干(补血饼干)4088.476.27.7 5.70饼干(儿童营养饼干)4298.569.213.1 6.51饼干(钙奶饼干)433970.612.7 5.7 1.1饼干(高蛋白饼干)45211.86814.7 4.10.4饼干(军用压缩)4448.47313.2 3.30.9饼干(赖氨酸)546 6.558.931.6 1.90.2饼干(奶油)4481164.516.2 5.6 1.5饼干(强化锌)528 5.447.535.210.30.5饼干(曲奇饼)4441170.113.3 3.3 1.1饼干(苏打)546 6.558.931.6 1.90.2饼干(维夫饼干)44610.871.812.9 3.90.3菠菜24 2.6 1.80.391.2 1.7菠萝410.59.50.188.4 1.3菠萝豆39210.482.8 2.1 4.10.1菠萝蜜肉1030.224.90.373.20.8菠萝蜜子160 4.934.40.357 2.3薄荷208 6.836.5 3.99.631.1彩球糖396099010菜豆282 4.20.491.3 1.5菜干14113.320.10.824.927.4菜瓜180.6 3.50.2950.4菜瓜(酱)180.6 3.50.2950.4菜花24 2.1 3.40.292.4 1.2菜花(脱水)286 6.563.60.69.813.2菜心(菜苔)25 2.8 2.30.591.3 1.7菜肴梨16 1.2 2.60.194.3 1.2菜籽油8990099.90.10菜子油(特级)8990099.90.10餐条鱼16518.3010.272.70蚕豆1048.816.40.470.2 3.1蚕豆(烤)44626.739.92010.50.5蚕豆(炸)3722761.62 4.3 2.2蚕蛹23021.5 6.71357.50糙皮侧耳20 1.9 2.30.392.5 2.32草包鱼11216.60 5.277.30草菇23 2.7 2.70.292.3 1.6草莓30160.291.3 1.1草莓酱2690.866.10.232.50.2草虾(塘水虾)11216.60 5.277.30草鱼11216.60 5.277.30草质红菇20024.419.3 2.815.531.6叉烧肉27923.87.916.949.20茶水00.10099.80茶汤92 1.521.40.175.20.1茶叶(红茶)29426.744.4 1.17.314.8茶叶(花茶)28127.140.4 1.27.417.7茶叶(甲级龙井)30933.337.8 2.7 6.111.1茶叶(绿茶)29634.234.7 2.37.515.6茶叶(石榴花茶)32010.563 2.9 6.411.2茶叶(柿叶茶)28625.841.4 1.9 3.617.7茶叶(铁观音茶)30422.850.3 1.3 6.214.7茶叶(珠茶)30528.743.7 1.7 5.314.6茶叶(砖茶)20614.527.947.838.8茶油8990099.90.10鲳板鱼10015.3 4.7 2.276.50鲳鱼14218.507.872.80鲳鱼子14218.507.872.80长瓜140.7 2.70.195.30.8长毛对虾9018.530.476.40长茄子191 3.50.193.1 1.9长生果29812.1 5.225.448.37.7肠(茶肠)3299 6.729.6 5.420肠(大腊肠)26712.98.620.154.90肠(大肉肠)27212 4.622.9570肠(蛋清肠)27812.5 5.822.855.10肠(儿童肠)29013.115.319.649.80肠(粉肠)26010.220.315.351.40肠(风干肠)28312.4 5.923.355.80肠(广东香肠)43318 6.437.333.50肠(红肠)26010.220.315.351.40肠(红果肠)26010.220.315.351.40肠(火腿肠)2121415.610.457.40肠(腊肠)5842215.348.38.40肠(南肠)26010.220.315.351.40肠(萨拉米肠)5842215.348.38.40肠(松江果)40212.328.526.530.40肠(蒜肠)2977.59.525.452.50肠(午餐肠)261 2.924.916.652.40肠(香肠)50824.111.240.719.20肠(小红肠)28011.8623.256.20肠(小泥肠)29511.3 3.226.356.40肠(猪肉香肠2907.9 1.328.160.70炒肝96 2.8 3.3884.80陈皮278858.3 1.48.320.7蛏干34046.527.4 4.912.20蛏肉34046.527.4 4.912.20蛏子407.3 2.10.388.40蛏子34046.527.4 4.912.20橙470.810.50.287.40.6橙珍(易拉罐)250.1 6.1093.80赤豆30920.255.70.612.67.7赤缸8118.50.60.577.80赤眼鳟11418.10576.50崇明老白酒23910000臭豆腐13011.6 3.17.966.40.8臭干9910.2 4.1 4.677.90.4臭干9910.2 4.1 4.677.90.4楚天啤酒(2.6度)14218.507.872.80春卷463 6.133.833.723.51莼菜(瓶装)20 1.4 3.30.194.50.5慈蛄77160 1.483.30刺玫汁(纸盒)3208.1091.90葱茎(脱水)303 6.368.60.49.711.4葱头(白皮脱水)330 5.576.20.49.1 5.7葱头(紫皮脱水)324 6.973.10.49.17.5醋31 2.1 4.90.390.60醋(安西黑醋)91 3.718.50.273.10醋(白醋)30.100.699.40醋(青岛甘醋)37 2.8 6.5088.20醋(五香)140.53095.90醋(熏)433 6.80.486.80.1脆萝卜200.8 4.1092.9 1.4大白菜21 1.7 3.10.293.60.6大白菜(青白口)15 1.4 2.10.195.10.9大白菜(小白口)14 1.3 1.90.195.20.9大葱(鲜)30 1.7 5.20.391 1.3大豆(黄豆)35935.118.61610.215.5大豆蛋白(膨化豆粕)32136.7420.79.3 5.9大豆淀粉3410.584.8014.10.5大豆角15 1.5 1.70.194.12大黑头23 2.7 2.70.292.3 1.6大红菇20024.419.3 2.815.531.6大黄花鱼9617.70.8 2.577.70大黄米(黍)34913.667.6 2.711.3 3.5大黄鱼9617.70.8 2.577.70大甲8819.80 1.1780大酱13112.117.9 1.250.6 3.4大椒22140.293 1.4大料195 3.832.4 5.611.843大麻油8970099.90.30大马哈鱼14317.208.674.10大米(稻米、黍、稻谷?,A0107.400.813.30.70.6大目鱼10617.9 2.7 2.675.20大山楂950.5220.673 3.1大蒜126 4.526.50.266.6 1.1大蒜(脱水)33913.270.90.37.3 4.5大蒜(紫皮)136 5.228.40.263.8 1.2大头菜(桂花)51 3.28.60.465.3 1.8大头菜(酱)36 2.460.374.8 2.4大头菜(五香)48 4.670.272 4.5大头狗母鱼10016.73 2.376.50大头仔鱼11318.90576.70大虾9018.530.476.40大油89700.299.60.20带鱼12717.7 3.1 4.973.30淡菜(干)35547.820.19.315.60淡菜(鲜)8011.4 4.7 1.779.90蛋糕3478.666.7 5.118.60.4蛋糕(蛋清)339 6.572.9 2.417.80蛋糕(老年)(烤)3831361.29.614.60.6蛋糕(奶油)3787.255.913.921.90.6蛋糕(蒸)3209.556.96270.2蛋黄粉64431.6 5.355.1 4.60蛋黄酥38611.776.1 3.9 6.30.8蛋麻脆452964.917.4 5.2 1.8刀豆35 3.1 5.30.289 1.8刀鱼12717.7 3.1 4.973.30稻谷(早籼)3599.974.8 2.210.2 1.4稻米3467.477.20.813.30.7稻米(梗,标二)348877.70.613.20稻米(梗,标三)3457.277.20.813.90.4稻米(梗,标四)3467.577.40.713.10.7稻米(梗,标一)3437.776.80.613.70.6稻米(粳,特级)3347.375.30.416.20.4稻米(晚籼,标二)3438.675.30.814.20.4稻米(晚籼,标一)3457.976.80.713.50.5稻米(晚籼,特)3428.176.70.3140.2稻米(籼)3477.977.50.612.60.8稻米(香大米)34612.771.80.912.90.6稻米(早籼,标二)3459.574.6113.70.5稻米(早籼,标一)3518.876.8112.30.4稻米(早籼,特等)3469.1760.612.90.7德庆酥456 5.966.118.7 4.4 3.9灯笼椒22140.293 1.4低度汉酒(37.2度)21600000地菠萝410.59.50.188.4 1.3地瓜550.912.60.185.20.8地姜34 2.6 5.80741地衣(水浸)3 1.50096.4 1.8淀粉(蚕豆)3410.584.8014.10.5淀粉(马铃薯粉)337 1.2820.512 1.4淀粉(团粉)346 1.585012.60.8淀粉(玉米)345 1.284.90.113.50.1鲷(大目鱼)10617.9 2.7 2.675.20吊蛋560.812.40.481.7 4.4鲽(比目鱼)10721.10.5 2.374.60丁香3590.350.717.29.116.7丁香鱼(干)19637.5 4.6 3.136.30丁珠鱼11318.90576.70东方对虾8418.3 1.60.5780冬菜46 3.57.30.368.4 2.8冬菇2112030.1 1.212.331.6冬菇19 2.2 1.90.391.7 3.3冬菇(干)21217.832.3 1.313.432.3冬瓜110.4 1.90.296.60.7冬苋菜30 3.9 2.70.489.6 2.2冻菜314 5.472.90.115.60豆瓣菜、水田芥17 2.90.30.594.5 1.2豆瓣酱1847.924.8 5.947.9 2.2豆瓣酱17813.615.6 6.846.6 1.5豆豉(五香)24424.136.8022.7 5.9豆腐818.1 3.8 3.782.80.4豆腐(北)9812.2 1.5 4.8800.5豆腐(内酯豆腐)495 2.9 1.989.20.4豆腐(南)57 6.2 2.4 2.587.90.2豆腐干14016.210.7 3.6650.8豆腐干(菜干)13613.4 4.77.171.30.3豆腐干(酱油干)15814.949.170.20豆腐干(香干)14715.8 3.37.869.2 1.8豆腐干(小香干)17417.959.1610.4豆腐干(熏干)15315.88.5 6.267.50.3豆腐花4011084.3 2.6 1.60豆腐卷20117.9 6.211.661.61豆腐卷(豆制五香卷)20017.8113.959.2 4.5豆腐脑10 1.900.897.80豆腐脑(带卤)47 2.6 5.2 1.888.10.2豆腐皮40944.618.617.416.50.2豆腐丝20121.5 5.110.558.4 1.1豆腐丝(干)45157.8 3.622.87.40豆腐丝(油)30024.212.317.138.2 2.2豆腐渣35 3.2 3.70.889.2 2.6豆肝尖19217.2 3.71257.6 5.7豆浆13 1.800.796.4 1.1豆浆粉42219.764.69.4 1.5 2.2豆角30 2.5 4.60.290 2.1豆角(白)30 2.2 4.80.289.7 2.6豆奶30 2.4 1.8 1.5940豆奶粉4231968.78 2.70豆粕31042.630.2 2.111.57.6豆沙243 5.551 1.939.2 1.7豆油8990099.90.10豆汁(生)100.9 1.30.197.40.1对虾9318.6 2.80.876.50多维奶粉48419.949.922.7 2.80鹅24517.9019.962.90鹅蛋19611.1 2.815.669.30鹅蛋白488.9 3.2087.20鹅蛋黄32415.5 6.226.450.10鹅肝12915.29.3 3.470.70鹅油卷4618.455.722.710 1.7鹅肫10019.6 1.1 1.976.30颚针鱼18020.2 1.410.466.50颚针鱼子18020.2 1.410.466.50二锅头(58度)35200000发菜24622.836.80.810.521.9发芽豆12812.418.10.766.1 1.3番瓜220.7 4.50.193.50.8番茄190.9 3.50.294.40.5番茄(整,罐头)212 1.80.693.50.8番茄酱(罐头)81 4.914.80.275.8 2.1番石榴41 1.18.30.483.9 5.9番柿190.9 3.50.294.40.5番桃41 1.18.30.483.9 5.9饭瓜220.7 4.50.193.50.8饭豇豆32018.659 1.112 6.6方便面4729.560.921.1 3.60.7方瓜130.8 2.5095.80.6方腿11716.2 1.9573.90鲂鱼13518.3 1.2 6.373.10非洲黑鲫鱼77161180.90粉皮640.2150.384.30粉丝3350.882.60.215 1.1粉条3370.583.60.114.30.6蜂蜜3210.475.6 1.9220凤梨410.59.50.188.4 1.3凤梨草莓30160.291.3 1.1凤尾酥511 6.664.225.3 3.30佛手疙瘩51 3.28.60.465.3 1.8佛手瓜16 1.2 2.60.194.3 1.2夫鱼9020.800.781.10麸皮22015.830.1414.531.3茯苓16 1.2 1.70.514.580.9茯苓夹饼332 4.477.80.410 6.5福来酥465 6.26221.47.4 2.2腐乳(白)13310.9 3.98.268.30.9腐乳(臭)13011.6 3.17.966.40.8腐乳(桂林腐乳)2047.318.211.360.11腐乳(红)151127.68.161.20.6腐乳(上海南乳)1389.9 6.48.1640腐乳(糟豆腐乳)15811.711.27.457.50腐竹45944.621.321.77.91腐竹皮48956.6 6.526.38.20富强粉35010.374.6 1.112.70.6富锌饼干528 5.447.535.210.30.5钙质糕粉3627.979.7 1.37.50干贝26455.6 5.1 2.427.40干狼肚29526.930.87.114.312.9干酪32825.7 3.523.543.50干酸奶42655.117.7158.90甘草203 4.936.3 4.29.938.7甘蕉109 1.225.80.168.9 3.1甘蓝(卷心菜)22 1.5 3.60.293.21甘露(酱)37 2.2 6.30.375.6 1.9甘薯(白心)104 1.424.20.272.61甘薯粉336 2.780.80.214.50.1甘薯片340 4.778.50.812.12甘蔗汁640.415.40.100.6甘州大曲31200000柑510.711.50.286.90.4柑子430.89.70.188.60.5橄榄(白榄)490.811.10.283.14高蛋白豆米粉41416.5717.120高良姜16910.918.6 5.712.743.3高粱米35110.470.4 3.110.3 4.3戈牙鱼12417.87.1 2.771.60鸽20116.5 1.714.266.60蛤蜊31 5.8 1.10.4910蛤蜊(花蛤)457.7 2.20.687.20蛤蜊(毛蛤蜊)97157.1175.60蛤蜊(秋)8915.650.776.40蛤蜊(沙蛤)568.90.8 1.986.60蛤蜊(杂色蛤)537.50.8 2.287.70蛤蜜瓜340.57.70.1910.2根达菜14 1.7 1.10.395.11宫爆肉丁(罐头)33617.7 4.227.644.50宫廷烤鸡24022.40.116.7590贡米佳酿(14度)3100000狗母鱼10016.73 2.376.50狗肉11616.8 1.8 4.6760狗芽菜22 1.3 4.10.181.3 2.4枸杞44 5.6 2.9 1.187.8 1.6谷子310 1.475.20.419.2 2.4挂面(标准粉)34410.174.40.712.4 1.6挂面(精白粉)3479.675.70.612.70.3挂面(赖氨酸)34711.274.50.511.90.2灌肠1340.232.50.366.10.3广梨500.611.40.282.4 5.1鲑鱼11719.90 4.274.50鬼芋粉37 4.6 4.40.112.274.4鬼子姜34 2.6 5.80741桂鱼11719.90 4.274.50桂圆(干)273562.80.226.92桂圆(鲜)70 1.216.20.181.40.4桂圆肉313 4.671.5117.72鳜鱼11719.90 4.274.50鳜鱼子11719.90 4.274.50果丹皮321177.40.816.7 2.6果料酸奶67 3.110.4 1.484.40果味奶20 1.9 1.40.895.50海参26250.2 4.5 4.818.90海参(水浸)24600.193.50海参(鲜)7116.50.90.277.10海带(干)77 1.817.30.170.5 6.1海带(浸)14 1.1 2.10.194.10.9海带(鲜)17 1.2 1.60.194.40.5海冻菜314 5.472.90.115.60海鲋菜314 5.472.90.115.60海鲋鱼10817.1 3.8 2.775.40海河乌江19117.6 1.312.866.90海鲫鱼20617 3.613.764.30海蛎肉668.4 2.9 2.385.60海鳗12218.80.5574.60海鳗鱼12218.80.5574.60海米19543.70 2.637.40海棠脯2860.670.40.225.8 2.2海棠罐头530.512.30.285.4 1.3海棠果730.317.40.279.9 1.8海虾7916.8 1.50.679.30海蜇皮8513.4 3.8 1.879.80海蜇皮33 3.7 3.80.376.50海蜇头74611.80.3690蚶子7112.2 2.3 1.482.70寒瓜250.6 5.50.193.30.3汉口白酒(49.6度)29500000汉口小麦酒(40.7度)23700000旱芹140.8 2.50.194.2 1.4合锦菜75612.8068.3 3.9河蚌36 6.80.80.689.80河鳗18118.6 2.310.867.10河虾8416.40 2.478.10河蚬477 1.7 1.488.50核桃(干)62714.99.658.8 5.29.5核桃(鲜)32712.8 1.829.949.8 4.3核桃薄脆4809.854.924.6 3.3 6.2核桃仁62714.99.658.8 5.29.5荷兰豆27 2.5 3.50.391.9 1.4黑鲷10617.9 2.7 2.675.20黑豆38136.123.315.99.910.2黑麻香酥436 5.667.316.1 6.8 3.3黑米(稻米(紫))3339.468.3 2.514.3 3.9黑木耳20512.135.7 1.515.529.9黑木耳(水发)21 1.5 3.40.291.8 2.6黑洋酥417 4.272.212.4 2.37.5黑鱼8519.50 1.278.70黑枣(无核)228 1.754.70.339 2.6黑芝麻53119.11046.1 5.714红菜苔29 2.9 4.3091.10.9红大虾77160 1.483.30红豆馅240 4.847.2 3.635.97.9红果950.5220.673 3.1红果(干)152 4.328.7 2.211.149.7红果汁157038.70.2610红胡萝卜缨73 1.715.70.482.20红花220 4.639.4 4.91223.9红烤鸭(罐头)24022.40.116.7590红娘鱼10518 1.9 2.876.10红皮葱46 2.48.90.186.2 1.3红皮萝卜(变萝卜)19 1.1 3.20.293.91红皮萝卜(小水萝卜)26 1.2 5.20.191.6 1.2红葡萄酒680.10000红葡萄酒(12度)960.10000红三鱼10018.60 2.977.10红薯99 1.123.10.273.4 1.6红糖3890.796.60 1.90红苋菜31 2.8 4.10.488.8 1.8红小豆30920.255.70.612.67.7红鳟鱼9918.60.2 2.6770猴头菇(罐装)1320.70.292.3 4.2猴鱼11417.5 1.2 4.3760后肘(猪)3201702857.60后坐(火腿)33016 4.927.447.90鲎6310.3 2.1 1.584.10胡大瓜子(炒)58124.121.244.4 1.8 4.3胡椒粉3579.674.6 2.210.2 2.3胡罗卜素王1300.1320.267.10.5胡萝卜(红)3717.70.289.2 1.1胡萝卜(黄)43 1.48.90.287.4 1.3胡萝卜(脱水)320 4.271.5 1.910.9 6.4胡麻39019.19.330.7 6.930.2胡麻油4500010000胡桃62714.99.658.8 5.29.5胡子鲇14615.4 3.1872.60胡子鲶10217.30 3.7780葫芦140.7 2.70.195.30.8葫芦条(干)219 4.346.5 1.825.418.1葫子(茄科)270.7 5.90.192.20.9花豆(红)31719.157.2 1.314.8 5.5花豆(紫)31517.258.4 1.413.27.4花椒258 6.737.88.91128.7花卷217 6.445.6145.70花鲢鱼10015.3 4.7 2.276.50花生(炒)58921.917.348 4.1 6.3花生(生)29812.1 5.225.448.37.7花生酱594 6.922.3530.53花生仁(炒)58124.121.244.4 1.8 4.3花生仁(生)563251644.3 6.9 5.5花生油8990099.90.10花纹舌头8317.70.1 1.479.80怀菊花242647.1 3.319.215.9黄蛋糕3209.556.96270.2黄豆粉41832.830.518.3 6.77黄豆芽44 4.53 1.688.8 1.5黄豆玉米面33911.861.9 4.913.6 6.4黄鲂8118.50.60.577.80黄姑鱼13318.407740黄瓜150.8 2.40.295.80.5黄瓜(酱)243 2.20.376.2 1.2黄瓜(甜辣)99 2.821.60.262.7 1.2黄河蜜瓜50.40.8095 3.2黄鹤楼酒(39度)22700000黄花菜19919.427.2 1.440.37.7黄花鱼子12417.87.1 2.771.60黄酱13112.117.9 1.250.6 3.4黄酒78 1.30000黄酒78 1.60000黄酒78 1.40000黄酒(13度)78 1.20000黄酒(绍兴15)8500000黄酒肉(羊肉)27723.8020.259.60黄螺10619.8 4.5170.70黄毛籽23421 2.315.67.648.1黄米3429.772.5 1.511.1 4.4黄蘑16616.421.8 1.539.318.3黄皮31 1.6 5.60.287.6 4.3黄皮果31 1.6 5.60.287.6 4.3黄婆鸡(鱼)13318.407740黄婆鱼13318.407740黄鳍鱼12417.87.1 2.771.60黄秋葵3727.10.186.2 3.9黄颡鱼12417.87.1 2.771.60黄鳝8918 1.2 1.4780黄鳝(鳝丝)6115.400.885.20黄油892 1.4098.80.50黄油渣59911.14043.8 4.70茴香(籽)25114.521.611.88.933.9茴香菜24 2.5 2.60.491.2 1.6茴香籽25114.521.711.88.833.9混合油(菜+棕)8950199.900混糖糕点4537.968.716.3 5.30.8火鸡肝14320 3.1 5.669.90火鸡腿9020.10 1.277.80火鸡胸脯肉10322.4 2.80.273.60火鸡肫9118.9 3.10.376.50火腿33016 4.927.447.90火腿(金华火腿)31816.402848.70火腿(熟)52912.4 6.450.424.60藿香18910.525.5512.737.6机米3437.776.80.613.70.6鸡16719.3 1.39.4690鸡(母,一年内鸡)25620.3 5.816.8560鸡(肉鸡,肥)38916.70.935.446.10鸡(沙鸡)14720 1.6 6.770.50鸡(土鸡,家养)12421.60 4.573.50鸡(乌骨鸡)11122.30.3 2.373.90鸡翅19417.4 4.611.865.40鸡蛋(白皮)13812.7 1.5975.80鸡蛋(红皮)15612.8 1.311.173.80鸡蛋白6011.6 3.10.184.40鸡蛋白(来亨)6011.6 3.10.184.40鸡蛋白(乌骨鸡)449.810.188.40鸡蛋蛋白粉36747.533.5 4.87.20鸡蛋粉54543.411.336.2 2.50鸡蛋黄32815.2 3.428.251.50鸡蛋黄(乌骨鸡)26315.2 5.719.957.80鸡蛋黄(洋鸡蛋)64431.6 5.355.1 4.60鸡蛋黄粉64431.6 5.355.1 4.60鸡肝12116.6 2.8 4.874.40鸡肝(肉鸡)12116.7 3.5 4.5740鸡肝(土鸡)11817.1 4.2 3.6740鸡肉松4407.265.816.4 4.90鸡矢果41 1.18.30.483.9 5.9鸡头米3518.378.70.311.40.9鸡腿18116.401370.20鸡腿酥436 6.272.713.47.10鸡心17215.90.611.870.80鸡胸脯肉13319.4 2.55720鸡血497.8 4.10.2870鸡胗11819.24 2.873.10鸡爪25423.9 2.716.456.40鸡爪(熟)25423.9 2.716.456.40鸡肫11819.24 2.873.10基围虾10118.2 3.9 1.475.20棘278 3.562.7 1.518.310.6鲚鱼(大凤尾鱼)10613.20.8 5.577.50鲚鱼(灌装)10817.1 3.8 2.775.40鲚鱼(小凤尾鱼)12415.54 5.172.70鲫勾12218.80.5574.60鲫鱼10817.1 3.8 2.775.40鲫鱼子10817.1 3.8 2.775.40甲鱼11817.8 2.1 4.3750甲鱼11817.8 2.1 4.3750假蜜环菌1579.521.5 3.751.110.4尖嘴白13722.7 4.1 3.368.60煎饼3337.674.70.7 6.89.1健儿粉3697.182.7 1.18.10健儿粉(莲子)352878.30.712.40江白菜(干)77 1.817.30.170.5 6.1江白菜(浸)14 1.1 2.10.194.10.9江白菜(鲜)17 1.2 1.60.194.40.5江米酒78 1.60000江米条439 5.777.711.740.4江虾8710.39.30.9770姜41 1.37.60.687 2.7姜(干)2739.146.3 5.714.917.7姜(精)27 1.6 3.40.867.7 1.4姜(子姜)190.7 2.80.694.50.9豇豆29 2.9 3.60.390.3 2.3豇豆(长)29 2.740.290.8 1.8豇豆(干)32219.358.5 1.210.97.1豇豆(紫)31518.958.90.411.2 6.9酱包瓜107 4.722059.2 2.8酱豆腐151127.68.161.20.6酱瓜243 2.20.376.2 1.2酱黄瓜243 2.20.376.2 1.2酱驴肉16033.70 2.861.40酱牛肉24631.4 3.211.950.70酱填鸭(罐头)24811.8 1.321.761.90酱鸭26618.9 6.318.453.60酱鸭(罐头)24811.8 1.321.761.90酱羊肉27225.411.813.745.70酱油63 5.69.90.167.30.2酱油(冬菇)38 3.5 5.90.175.20酱油(多味)867.812.90.458.20酱油(高级)718.490.267.50酱油(三级)40 6.8 2.40.474.20酱油(三鲜)41 3.4 6.60.174.30酱油(晒制)719.4 6.80.664.60酱油(特母)55 6.77.1070.80.1酱油(味精)51 6.9 5.70.171.60酱油(一级)668.3 6.90.664.80酱油(油膏)991310.20.754.70酱汁肉54915.58.450.4240茭白23 1.240.292.2 1.9茭笋25 1.7 4.20.291.12胶姆糖3680.191.907.70焦圈544 6.950.734.9 5.7 1.8节瓜120.6 2.20.195.6 1.2鲒花14317.208.674.10鲒花11715.60 6.179.90芥菜(大叶芥菜)14 1.80.80.494.6 1.2芥菜(酸)25 1.2 4.90.190.30芥菜(小叶芥菜)24 2.5 2.60.492.61芥菜头(腌)38 2.8 6.60.170.5 2.7芥菜头(腌煮)26 2.1 3.90.270.72芥蓝19 2.810.493.2 1.6芥末47623.628.129.97.27.2金糕1760.243.70550.6金糕条3000.6730.622.6 1.6金瓜140.5 2.70.195.60.7金桔55112.30.284.7 1.4金目鱼11418.10576.50金钱萝卜41 1.680.373.5 2.1金钱肉(驴)18639 2.3 2.351.80金钱酥50411.462.423.1 1.40金钱鱼10018.60 2.977.10金丝瓜37 3.3 1.4291.70.8金塔寺瓜80.6 1.30.196.90.7金枣55112.30.284.7 1.4金针菇26 2.4 3.30.490.2 2.7金针菇(罐装)211 4.2091.6 2.5京八件4357.264.616.48.33京式黄酥490667.421.8 4.10.3茎用芥菜(青菜头 )5 1.300.295.4 2.8精粉35010.374.6 1.112.70.6精制小麦酒(40.8度)23800000景泰大曲32300000景泰大曲21600000景泰二曲30300000静鱼12619.50673.90九九鱼20617 3.613.764.30韭菜26 2.4 3.20.491.8 1.4韭菜花(腌)17 1.3 2.20.379.6 1.1韭黄22 2.3 2.70.293.2 1.2酒酿原汁78 1.60000酒泉酒34300000酒泉啤酒260.50000酒泉啤酒2600000桔430.89.70.188.60.5桔(福桔)4519.90.288.10.4桔(芦柑)430.69.70.288.50.69桔(蜜桔)420.88.90.488.2 1.4桔(三湖红桔)410.88.70.388.5 1.3桔(四川红桔)400.79.10.189.10.7桔(小叶桔)38 1.17.90.289.50.9桔(早桔)57 1.212.50.285.60.1桔饼3640.689.40.4 5.4 3.5桔子饮料(固体)3910.297.50 2.20菊花242647.1 3.319.215.9橘汁(VC蜜橘)950.123.20.276.40橘汁(浓缩蜜橘)2350.857.30.341.30橘子晶3900.296.50.4 2.80橘子汁119029.60.170.10卷心菜22 1.5 3.60.293.21蕨菜(脱水)251 6.654.20.97.225.5蕨菜(腌)22 2.5 2.20.389.9 2.2开花豆3722761.62 4.3 2.2开口笑5128.452.230 5.3 3.1烤麸12120.49.10.368.60.2烤鸡24022.40.116.7590烤鸭24022.40.116.7590稞麦(熟品)(糌粑)257 4.130.713.149.3 1.8可可粉32024.636.58.47.514.3空心菜20 2.2 2.20.392.9 1.4空心果451 6.871.815.2 5.60.2口蘑24238.714.4 3.39.217.2口蘑(香杏片)20733.415 1.515.122.6口条(猪)23315.7 1.718.163.70口头鱼13419.6 4.5 4.270.30苦菜(拒马菜)35 2.8 4.60.685.3 5.4苦豆子212 4.642.9 2.413.529.4苦瓜191 3.50.193.4 1.4苦苦菜38 2.550.988.2 1.8苦荞麦粉3049.760.2 2.719.3 5.8快鱼15920.708.571.90宽皮桂430.89.70.188.60.5葵花籽油8990099.90.10葵花子(炒)61622.612.552.82 4.8葵花子(生)59723.91349.9 2.4 6.1葵花子仁60619.112.253.47.8 4.5昆布(干)77 1.817.30.170.5 6.1昆布(浸)14 1.1 2.10.194.10.9昆布(鲜)17 1.2 1.60.194.40.5腊肉(培根)18122.3 2.6963.10腊肉(生)49811.8 2.918.831.10腊肉(熟)58713.223.648.910.90腊羊肉24626.111.510.647.80辣酱(豆瓣辣酱)59 3.6 5.7 2.464.57.2辣酱(麻)135 5.816.4 5.152.35辣酱(牛肉辣瓣酱)1279.78.3 6.159 1.1辣酱(郫县辣酱)89415.9151.48.88辣酱(蒜蓉)88 4.815.90.659.2 3.7辣酱(香油辣酱)54 2.1 3.4 3.671.3 6.4辣椒(红尖,干)21215111214.641.7辣椒(红小)32 1.3 5.70.488.8 3.2辣椒(尖,青)23 1.4 3.70.391.9 2.1辣椒粉20315.214.29.59.443.5辣椒糊310.80.6 2.871.2 2.6辣椒酱310.80.6 2.871.2 2.6辣椒油4500010000辣油豆瓣酱1847.924.8 5.947.9 2.2莱菔200.940.193.41莱菔子35218.8 1.630935.6赖葡萄191 3.50.193.4 1.4老板鱼8118.50.60.577.80老鼠肉13117.20 6.979.10老鸦13621 2.6 4.670.70烙饼(标准粉)2557.551 2.336.4 1.9鳓鱼15920.708.571.90梨320.47.30.1902梨(巴梨)460.410.70.286.1 2.2梨(冬果梨)370.48.50.286.2 4.3梨(冬果梨罐头)470.311.4083.6 4.5梨(鹅黄梨)370.38.80.188.6 1.9梨(旱酥梨)430.2100.285.8 3.6梨(红肖梨)3027.3089.1 3.2梨(锦丰梨)440.210.70.185.5 3.2梨(京白梨)540.212.30.585.3 1.4梨(库尔勒梨)280.1 6.70.185.9 6.7梨(莱阳梨)490.311.50.284.8 2.6梨(砺山梨)480.211.40.283.7 4.2梨(马蹄黄梨)470.311.20.186.8 1.3梨(明月梨)530.312.40.285.90.9梨(木梨)280.4 6.30.191 1.9梨(苹果梨)480.211.60.185.4 2.3梨(软梨)140.4 2.60.287.49.5梨(苏木梨)480.610.60.385.6 2.5梨(酥梨)430.310.20.188 1.2梨(酸梨)260.1 6.10.189.6 3.7梨(糖水罐头)330.57.40.290.4 1.4梨(香梨)460.310.90.185.8 2.7梨(雪花梨)410.29.80.188.80.8梨(鸭广梨)500.611.40.282.4 5.1梨(鸭梨)430.2100.288.3 1.1梨(专把梨)350.5 5.3 1.387.7 4.9梨(紫酥梨)470.311.30.1862离枝700.916.10.281.90.5李(玉皇李)360.77.80.2900.9里脊(羊)9417.12278.10里脊(猪)15520.20.77.970.30鲤拐子10917.60.5 4.176.70鲤鱼10917.60.5 4.176.70荔枝(鲜)700.916.10.281.90.5栗羊羹301 3.770.10.624.10.8栗子(干)345 5.377.2 1.713.4 1.2栗子(鲜)185 4.240.50.752 1.7连子鱼10217.80 3.677.80莲藕70 1.915.20.280.5 1.2莲子(干)34417.264.229.53莲子(糖水)201 2.846.20.549.20.7鲢胡10217.30 3.7780鲢鱼10217.80 3.677.80炼乳(罐头)332855.48.726.20凉粉370.28.30.390.50.6凉粉(带调料)500.311.20.587.80.1凉瓜191 3.50.193.4 1.4凉州曲酒31500000两公婆6310.3 2.1 1.584.10廖花糖3927.259.314711.5灵蜜瓜6 1.200.198.10.4菱角菜27 2.930.490.6 1.7鲮鱼9518.40.7 2.177.70鲮鱼(罐头)39930.78.526.9270鲮鱼子9518.40.7 2.177.70六线鱼9518.40.7 2.177.70龙豆32 3.7 3.10.590 1.9龙谷38310.984.800 3.1龙虾9018.91 1.177.60龙须菜(腌制)7112.2 2.3 1.482.70龙眼273562.80.226.92垅船豆342 5.50.490.3 1.3芦笋18 1.430.193 1.9鲈花10018.60 3.477.70鲈鱼10018.60 3.477.70卤干33614.531.816.732.4 1.6卤猪杂18624.611 4.857.50卤煮鸡21229.4 5.87.954.40驴鞭(生)14329.7 4.30.860.40驴鞭(熟)18639 2.3 2.351.80驴打滚1948.239.90.248.5 1.9驴肉(瘦)11621.50.4 3.273.80驴肉(熟)25132.3013.557.70绿菜花(引种)33 4.1 2.70.690.3 1.6绿豆31621.655.60.812.3 6.4绿豆饼(饼折 )12215.212.7 1.269.70绿豆糕34912.872.2111.5 1.2绿豆面33020.8600.79.6 5.8绿豆芽18 2.1 2.10.194.60.8绿苋菜25 2.8 2.80.390.2 2.2罗非鱼9818.4 2.8 1.5760罗非鱼(莫桑比克)77161180.90罗汉果16913.4270.817.338.6萝卜200.840.193.90.6萝卜(白萝卜)200.940.193.41萝卜(红心萝卜)39 1.28.4088 1.4萝卜(酱)30 3.5 3.20.476.1 1.3萝卜(青萝卜)31 1.360.2910.8萝卜(水萝卜)200.8 4.1092.9 1.4萝卜(心里美)210.8 4.10.293.50.8萝卜干60 3.311.20.267.7 3.4萝卜条(辣)37 1.4 6.70.577.8 1.8萝卜缨(白)14 2.60.30.390.7 1.4萝卜缨(青)32 3.1 4.70.187.2 2.9萝卜缨(小)20 1.6 2.70.392.8 1.4螺(东风螺)10619.8 4.5170.70螺(红螺)11920.27.60.968.70螺(石螺)9112.88.20.775.20螺(田螺)6011 3.60.2820螺(香海螺)16322.710.1 3.561.60螺蛳597.560.683.30裸瓣瓜37 3.3 1.4291.70.8骆驼蹄11625.60.2 1.472.20骆驼掌31072.80.3221.90落花生29812.1 5.225.448.37.7麻哈鱼9518.40.7 2.177.70麻烘糕397 3.886.9 3.8 4.40.3麻花5248.351.931.56 1.5麻鸡18116.401370.20麻团5128.452.230 5.3 3.1麻香糕401 3.988.2 3.6 3.50.5麻子34121.8028.2 5.938.2麻醉瓜160.7 3.20.195.20.4马鞭笋11 2.60.1090.1 6.6马鲛鱼12221.2 2.2 3.172.50马兰25 2.430.491.4 1.6马铃薯丁(脱水)337 5.777.40.511.4 3.3马肉12220.10.1 4.674.10马蹄软糖3590.189.6010.10马心10418.91 2.776.30麦饭石啤酒340.50000麦乳精4298.5779.720麦穗鱼8418.4 1.20.678.50馒头(蒸,标准粉)2337.848.3140.5 1.5馒头(蒸,富强粉)208 6.243.2 1.247.31鳗鲡18118.6 2.310.867.10鳗鱼18118.6 2.310.867.10曼氏无针乌贼28765.3 2.1 1.924.80芒果320.670.290.6 1.3毛柄金钱菌扑21217.832.3 1.313.432.3毛豆(青豆)12313.1 6.5569.64毛瓜120.6 2.20.195.6 1.2毛核桃(鲜)1741216.3 6.757.6 5.4毛竹笋21 2.2 2.50.293.1 1.3玫瑰香葡萄酒(15度)910.10000眉豆(饭豇豆)32018.659 1.112 6.6梅童鱼11318.90576.70美味香酥卷3687.576.3 3.610.70.4美雪啤酒3100000蒙古韭25 2.420.888.2 1.8猕猴桃560.811.90.683.4 2.6猕猴桃晶3900.497.10 2.20糜子(带皮)34810.675.10.69.40糜子米(炒米)3748.179.5 2.67.61米饭(蒸,粳米)117 2.6260.370.60.2米饭(蒸,籼米)114 2.525.60.271.10.4米粉3557.481.20.110.70.3米粉(干)346878.20.112.30.1米花糖384 3.185.5 3.37.30.3米糠油8990099.90.10米粥(粳米)46 1.19.80.388.60.1蜜酒8400000蜜麻花367 4.862.31119.40.9绵白糖3960.198.900.90棉花糖321 4.975.3019.50棉籽油89900.199.80.10面包3128.358.1 5.127.40.5面包(多维)3188.851.98.430.90面包(法式牛角)3758.453.114.321.3 1.5面包(法式配餐)2821057.7 1.228.31面包(果料)2788.556.2 2.131.20.8面包(黄油)3297.954.78.727.30.9面包(麦胚)2468.550.81380.1面包(麦维)2708.348.5 4.737.70.1面包(维生素)2798.848.3 5.636.10.3面包(武斯羹)2739.252.8 2.834.10.8面包(咸)2749.250.5 3.934.10.5面包(椰圈)3209.559.6 4.825.10.3面包鱼8318.1 1.20.678.90面蛋84 1.618.40.574.5 3.3面筋(水)14023.511.40.0163.50.9面筋(油)49026.939.125.17.1 1.3面条(标准粉)2808.558 1.629.7 1.5面条(富强粉)2859.359.5 1.129.20.4面条(干)3551177.50.110.50.2面条(虾蓉面)4298.564.715.1 6.1 3.6面条(煮,富强粉)109 2.724.20.272.60.1面条鱼11917.20 5.676.20面窝293 5.24410.738.10面西胡瓜100.8 1.80970明太鱼8820.40.50.577.40明虾8513.4 3.8 1.879.80蘑菇(干)2522131.7 4.613.721蘑菇(酱)121 5.424.30.2590.7蘑菇(鲜)20 2.720.192.4 2.1抹猛果320.670.290.6 1.3墨鱼8215.2 3.40.979.20墨鱼(干)28765.3 2.1 1.924.80母乳(人乳)65 1.37.4 3.487.60牡蛎73 5.38.2 2.1820木耳20512.135.7 1.515.529.9木耳(水发)21 1.5 3.40.291.8 2.6木耳菜20 1.6 2.80.392.8 1.5木榧53912.427.942 2.910.6木瓜270.4 6.20.192.20.8苜蓿60 3.98.8181.8 2.1奶豆腐(脱脂)34353.726.5 2.514.70奶豆腐(鲜)30546.212.57.831.90奶疙瘩42655.117.7158.90奶酷干42655.117.7158.90奶酪32825.7 3.523.543.50奶皮子46012.2 6.342.936.90奶片47213.359.320.2 3.70奶柿子130.6 2.40.195.60.8奶糖407 2.584.5 6.6 5.60奶油720 2.50.778.6180奶油(焦克)447 3.6048.348.10奶油(食用工业)503 1.1055.543.40南瓜240.4 5.70930.5南瓜果脯3360.982.60.215.40.7南瓜子(炒)57436 3.846.1 4.1 4.1南瓜子仁56633.2048.19.2 4.9脑豆36023.458.1 3.810.7 1.5嫩黄瓜32 1.7 5.60.381.3 1.8泥蚶711060.881.80泥鳅9617.9 1.7276.60年糕154 3.333.90.660.90.8鲇鱼10217.30 3.7780酿皮子132 1.619.9 5.171.60.4宁河大曲31400000宁河二曲31400000柠檬35 1.1 4.9 1.291 1.3柠檬汁260.9 5.20.293.10.3牛大肠66110.4 2.385.90牛肚7214.50 1.683.40牛肺9416.5 1.5 2.578.60牛肝13919.8 6.2 3.968.70牛脑14912.50.11175.10牛肉(冻)10620.2 1.2 2.375.20牛肉(肥)19018.1013.468.10牛肉(肥,瘦)19018.1013.468.10牛肉(腑肋)12318.60 5.475.10牛肉(后腱)9318 1.1 1.878.10牛肉(后腿)9819.80.1277.10牛肉(前腱)10018.4 1.8 2.176.60牛肉(前腿)9515.7 2.7 2.4780牛肉(瘦)10620.2 1.2 2.375.20牛肉(腿)10620.2 1.2 2.375.20牛肉干55045.6 1.9409.30牛肉松4458.267.715.7 2.70牛乳543 3.4 3.289.80牛乳(高蛋白奶)51 2.7 5.62890牛乳(罐头)59 2.9 4.6 3.288.60牛乳(牦牛乳)112 2.717.9 3.375.30牛乳(美国牛)59 2.9 4.6 3.288.60牛乳(强化VA51 2.7 5.62890牛乳(酸)543 3.4 3.289.80牛乳(西德牛)60 3.1 5.1388.10牛乳(原料奶)50 4.1 2.7 2.5900牛乳粉(母乳化奶粉)51014.551.927.1 2.90牛乳粉(强化维生素)48419.949.922.7 2.80牛乳粉(全脂)47820.151.721.2 2.30牛乳粉(全脂,速溶)46619.95418.9 2.30牛乳粉(脱脂)51014.551.927.1 2.90牛乳粉(婴儿奶粉)44319.85715.1 3.70牛舌19617213.366.70牛肾9415.6 2.6 2.478.30牛蹄筋15138.400.5620牛蹄筋(熟)14735.20.10.6640牛楔乙只14415.90974.20牛心10615.4 3.1 3.577.20牛血5212.60.5086.10牛油8350 1.892 6.20牛油7420082.717.70牛油(炼)2977.59.525.452.50牛油(炼)89800.199.70.20牛杂割156220869.70糯谷(早糯)3447.179011.3 1.2糯米(江米)3487.377.5112.60.8糯米(粳)3437.9760.813.80.7糯米(籼)3527.977.5 1.112.30.5糯香酒(6.4度)3600000藕粉3720.292.90 6.40.1藕粉3720.292.90 6.40.1藕粉(桂花藕粉)3440.485.30.113.60排骨(猪)27816.70.723.158.10胖头鱼10015.3 4.7 2.276.50胖子10217.80 3.677.80泡泡糖3600.289.809.70皮蛋17114.2 4.510.768.40枇杷390.88.50.289.30.8啤酒360.50000琵琶虾8111.6 4.8 1.780.60片口角10520.80 3.275.90瓢儿菜15 1.7 1.60.294.1 1.6苤蓝30 1.3 5.70.290.8 1.3苤蓝丝(酱)39 5.5 4.2073.4 1.5平菇(鲜)20 1.9 2.30.392.5 2.32平鱼14218.507.872.80苹果520.212.30.285.9 1.2苹果(伏苹果)450.510.60.187.3 1.2苹果(国光苹果)540.312.50.385.90.8苹果(旱)300.4 6.70.290.8 1.7苹果(红福士苹果)450.79.60.486.9 2.1苹果(红香蕉苹果)490.411.40.286.90.9苹果(红星苹果)570.413.50.1850.8苹果(红玉苹果)430.2100.284.7 4.7苹果(红元帅苹果)590.213.70.484.90.6苹果(黄香蕉苹果)490.311.50.285.6 2.2苹果(黄元帅苹果)550.212.90.384.6 1.8苹果(金元帅苹果)500.212.20.186.2 1.1苹果(青香蕉苹果)49011.80.186.3 1.3苹果(秋里蒙苹果)350.28.20.287.5 3.7苹果(倭锦苹果)500.211.90.285.8 1.7苹果(香玉苹果)590.5140.183.4 1.7苹果(印度苹果)440.69.90.284 4.9苹果(祝光苹果)460.4110.186.7 1.5苹果脯3360.683.30.114.2 1.6苹果罐头390.290.289.2 1.3苹果酱2770.468.70.130.40.3鲆10520.80 3.275.90葡萄430.59.90.288.70.4葡萄(红玫瑰)370.48.50.288.5 2.2葡萄(巨峰)500.411.60.2870.4葡萄(马奶子)400.58.70.489.60.4葡萄(玫瑰香)500.411.10.486.91葡萄(紫)430.79.30.388.41葡萄干341 2.581.80.411.6 1.6蒲包干13512.18.9 5.772.50蒲瓜140.7 2.70.195.30.8普大香杏丁蘑20722.4290.214.124.9普中红蘑21418.433.50.712.324.6麒麟鸟17121.4 2.28.566.80起酥4998.744.831.712.90.3汽水(橙汁汽水)200 5.1094.90汽水(柠檬汽水)3809.5090.50汽水(特制)42010.5089.50汽水(特制柠檬汽水)50012.5087.50千张26024.5 4.516521前肘(猪)33815.1031.554.30芡粉346 1.585012.60.8芡实米3518.378.70.311.40.9荞菜110.7 1.50.295.6 1.2荞麦3249.366.5 2.313 6.5巧克力586 4.351.940.11 1.5巧克力(酒芯)400 1.371.81213.80.4巧克力(维夫)5728.248.538.4 2.1 1.2巧克力豆奶39 2.9 5.90.590.40茄子21 1.1 3.60.293.4 1.3茄子(绿皮)25140.692.8 1.2芹菜(茎)20 1.2 3.30.293.1 1.2芹菜(水芹菜)13 1.4 1.30.296.20.9芹菜(叶)31 2.6 3.70.689.4 2.2秦海啤酒350.40000青菜15 1.5 1.60.394.5 1.1青菜15 1.5 1.60.394.5 1.1青豆(干)37334.622.7169.512.6青混11620.10.2 4.273.90青稞29810.261.6 1.212.113.4青稞(甜胚子)130 5.226.80.266.90.4青稞酒34700000青鳞鱼11620.10.2 4.273.90青梅果脯308 1.274.50.620 2.9青鲇鱼15519.9 2.27.469.10青皮鱼11620.10.2 4.273.90青蒜30 2.4 4.50.390.4 1.7青蛙9320.50 1.279.40青蛙腿7911.8 4.7 1.481.70青蟹8014.6 1.7 1.679.80青鱼11620.10.2 4.273.90青砖鱼15519.9 2.27.469.10青子34046.527.4 4.912.20清爽型啤酒(6度)300.40000琼脂311 1.176.20.221.10.1秋葵3727.10.186.2 3.9楸子730.317.40.279.9 1.8球茎甘蓝29 2.35088 3.6曲酒(55度)33000000全蛋粉54543.411.336.2 2.50全料蒸肉粉3428.973.9 1.27.80.4热干面152 4.228.5 2.4630.2人参果308 1.274.50.620 2.9肉豆蔻4658.128.935.211.114.4肉桂23151.70 2.711.539.6肉香饼435 6.266.5167.8 1.4乳儿糕36511.773.5 2.710.30乳黄瓜32 1.7 5.60.381.3 1.8软五花3497.7035.356.80软枣228 1.754.70.339 2.6三刀蜜383 4.167.910.515.5 1.4三粮小麦(55度)33000000三鲜豆皮24063110.251.20桑葚49 1.79.70.482.8 4.1桑葚(干)23921.124.9 6.110.729.3色拉油8980099.80.20沙蒿(引进)950.917.7 2.3780.6沙棘950.917.7 2.3780.6沙棘果汁440.98.90.587.5 1.7沙梭8418.4 1.20.678.50沙鲻8819.80 1.1780沙子面3629.978.2 1.110.60砂仁2088.140.4 1.513.328.6鲨鱼11022.20 3.275.10山核桃(干)6011818.850.4 2.27.4山核桃(熟)5967.926.850.8 2.27.8山里红950.5220.673 3.1山杨梅280.8 5.70.2921山药56 1.911.60.284.80.8山药(干)3249.469.4115 1.4山楂晶8000000山楂精3860.195.90.2 3.60山楂球3690.591.70 6.60.9善酿酒3620000鳝鱼8918 1.2 1.4780烧饼32611.547.69.927.3 2.5烧饼(糖)302862.7 2.125.90烧鹅19020.9 5.29.563.30烧麦2389.225.61151 2.3舌鳎8317.70.1 1.479.80舌头鱼8317.70.1 1.479.80蛇9115.7 3.3 1.778.50蛇9014.4 5.9177.70蛇(饭铲头蛇)9717.240.477.20蛇(过树榕蛇)8119.700.280.60蛇(三索线蛇)8120.100.180.30蛇豆15 1.5 1.70.194.12蛇瓜15 1.5 1.70.194.12蛇鲻(沙丁鱼)8819.80 1.1780蛇鲻(沙梭鱼)12220.80.4 4.273.50鲹鱼(蓝图鲹)12418.5 4.8 3.4720神力宝680.814.90.683.40生菜(花叶)13 1.3 1.30.395.80.7生瓜180.6 3.50.2950.4生瓜120.5 2.4096.10.7生蚝5710.90 1.587.10生鱼8519.50 1.278.70什锦菜34 2.9 4.60.578.9 1.6石斑鱼8519.50 1.278.70石花菜314 5.472.90.115.60石榴(红粉皮石榴)64 1.314.50.178.7 4.9石榴(玛瑙石榴)63 1.613.70.279.2 4.7石榴(青皮石榴)61 1.213.60.279.5 4.9柿710.417.10.180.6 1.4柿(荷柿)570.613.30.281.7 3.8柿(磨盘)760.717.10.179.4 1.5柿饼250 1.860.20.233.8 2.6柿子椒22140.293 1.4树梅280.8 5.70.2921双喜沙棘酒8000000水疙瘩38 2.8 6.60.170.5 2.7水芥33 1.960.289.6 1.4水芥38 2.8 6.60.170.5 2.7水晶饼4360.269.717.410.80.8水晶糖3950.298.10.210.1水蛇9014.4 5.9177.70水田芥17 2.90.30.594.5 1.2水虾米8117.320.477.30丝瓜201 3.60.294.30.6丝路春酒31500000四季豆(菜豆)282 4.20.491.3 1.5松花蛋(鸡)17814.8 5.810.666.40松花蛋(鸭)17114.2 4.510.768.40松口蘑11220.30.4 3.216.147.8松蘑11220.30.4 3.216.147.8松茸11220.30.4 3.216.147.8松子(炒)61914.1958.5 3.612.4松子(生)64012.68.662.6312.4松子仁69813.4 2.270.60.810酥皮糕点4268.163.615.510.7 1.4酥糖436671.613.9 3.34酥香兰花豆41612.860.513.69.2 1.2素大肠15318.112 3.6631素火腿21119.1 3.913.2550.9素鸡19216.5 3.312.564.30.9素鸡丝卷18611.2 4.513.763.5 5.6素什锦17314 6.310.265.32素虾(炸)57627.616.644.4 3.4 2.7速溶奶粉46619.95418.9 2.30酸菜14 1.1 1.90.295.20.5酸刺107 2.823.30.370.7 2.2酸豆乳67 2.211.8 1.284.50酸酪蛋44340.424.420.411.20酸梅晶3940.298.40 1.20酸奶72 2.59.3 2.784.70酸奶(高蛋白)62 3.27.3 2.286.60酸奶(果料)67 3.110.4 1.484.40酸奶(桔味脱脂)48 3.28.20.387.60酸奶(脱脂)57 3.3100.485.50酸奶(中脂)64 2.79 1.985.80酸奶酪62 3.27.3 2.286.60酸三色糖397098.40.40.70酸枣278 3.562.7 1.518.310.6蒜301 5.70.490.42蒜黄21 2.5 2.40.293 1.4蒜苔(蒜苗)37 2.1 6.20.488.9 1.8蒜头(酱)104 4.421.30.167.2 2.6蒜头(糖)114 2.125.90.266.1 1.7笋瓜120.5 2.4096.10.7塌棵菜25 2.6 2.80.491.8 1.4台湾枪乌贼313607.8 4.621.80台湾枪乌贼(鲜)8417.40 1.680.40苔菜1481917.20.423.79.1鲐巴鱼15519.9 2.27.469.10鲐鱼15519.9 2.27.469.10汤包2388.125.211.654.20汤菜22 1.8 2.60.593.20.8塘虱(鱼)14615.4 3.1872.60塘水虾10617.9 2.7 2.675.20塘水虾(草虾)9621.20 1.2740糖耳朵367 4.862.31119.40.9桃480.910.90.186.4 1.3桃(白粉桃)24 1.3 4.60.192.70.9桃(高山白桃)400.78.80.288.5 1.3桃(旱久保)460.910.50.187.30.8桃(黄桃)540.512.80.185.2 1.2桃(金红桃)260.7 5.60.192.21桃(久保桃)410.69.40.1890.6桃(蜜桃)410.990.288.70.8桃(庆丰)440.610.10.188.80桃(桃水罐头)580.314.3084.90.4桃(晚)390.78.60.2891桃(五月鲜)420.4100.189.40桃(杨桃)290.6 6.20.291.4 1.2桃(早)380.490.189 1.1桃酱2730.467.50.281.20.5。