2020高考数学---均值不等式
- 格式:doc
- 大小:749.00 KB
- 文档页数:12
2020年普通高等学校招生全国统一考试理科数学注意事项:1.答题前,考生务必将自己的姓名、考生号、座位号填写在答题卡上.本试卷满分150分.2.作答时,将答案写在答题卡上.写在本试卷上无效.3.考试结束后,将本试卷和答题卡一并交回.一、选择题目:本题共12小题,每小题5分,共60分.在每小题给出的四个选项中,只有一项是符合题目要求的.1.已知集合U ={−2,−1,0,1,2,3},A ={−1,0,1},B ={1,2},则()U A B ð()A.{−2,3}B.{−2,2,3}C.{−2,−1,0,3}D.{−2,−1,0,2,3}【答案】A 【解析】【分析】首先进行并集运算,然后计算补集即可.【详解】由题意可得: 1,0,1,2A B ,则 U 2,3A B ð.故选:A.【点睛】本题主要考查并集、补集的定义与应用,属于基础题.2.若α为第四象限角,则()A.cos2α>0 B.cos2α<0C.sin2α>0D.sin2α<0【答案】D 【解析】【分析】由题意结合二倍角公式确定所给的选项是否正确即可.【详解】当6时,cos 2cos 03,选项B 错误;当3时,2cos 2cos 03,选项A 错误;由 在第四象限可得:sin 0,cos 0 ,则sin 22sin cos 0 ,选项C 错误,选项D 正确;故选:D.【点睛】本题主要考查三角函数的符号,二倍角公式,特殊角的三角函数值等知识,意在考查学生的转化能力和计算求解能力.3.在新冠肺炎疫情防控期间,某超市开通网上销售业务,每天能完成1200份订单的配货,由于订单量大幅增加,导致订单积压.为解决困难,许多志愿者踊跃报名参加配货工作.已知该超市某日积压500份订单未配货,预计第二天的新订单超过1600份的概率为0.05,志愿者每人每天能完成50份订单的配货,为使第二天完成积压订单及当日订单的配货的概率不小于0.95,则至少需要志愿者()A.10名B.18名C.24名D.32名【答案】B 【解析】【分析】算出第二天订单数,除以志愿者每天能完成的订单配货数即可.【详解】由题意,第二天新增订单数为50016001200900 ,故需要志愿者9001850名.故选:B【点晴】本题主要考查函数模型的简单应用,属于基础题.4.北京天坛的圜丘坛为古代祭天的场所,分上、中、下三层,上层中心有一块圆形石板(称为天心石),环绕天心石砌9块扇面形石板构成第一环,向外每环依次增加9块,下一层的第一环比上一层的最后一环多9块,向外每环依次也增加9块,已知每层环数相同,且下层比中层多729块,则三层共有扇面形石板(不含天心石)()A.3699块B.3474块C.3402块D.3339块【答案】C 【解析】【分析】第n 环天石心块数为n a ,第一层共有n 环,则{}n a 是以9为首项,9为公差的等差数列,设n S 为{}n a 的前n 项和,由题意可得322729n n n n S S S S ,解方程即可得到n ,进一步得到3n S .【详解】设第n 环天石心块数为n a ,第一层共有n 环,则{}n a 是以9为首项,9为公差的等差数列,9(1)99n a n n ,设n S 为{}n a 的前n 项和,则第一层、第二层、第三层的块数分别为232,,n n n n n S S S S S ,因为下层比中层多729块,所以322729n n n n S S S S ,即3(927)2(918)2(918)(99)7292222n n n n n n n n 即29729n ,解得9n ,所以32727(9927)34022n S S .故选:C【点晴】本题主要考查等差数列前n 项和有关的计算问题,考查学生数学运算能力,是一道容易题.5.若过点(2,1)的圆与两坐标轴都相切,则圆心到直线230x y 的距离为()A.55B.255C.355D.455【答案】B 【解析】【分析】由题意可知圆心在第一象限,设圆心的坐标为 ,,0a a a ,可得圆的半径为a ,写出圆的标准方程,利用点 2,1在圆上,求得实数a 的值,利用点到直线的距离公式可求出圆心到直线230x y 的距离.【详解】由于圆上的点 2,1在第一象限,若圆心不在第一象限,则圆与至少与一条坐标轴相交,不合乎题意,所以圆心必第一象限,设圆心的坐标为,a a ,则圆的半径为a ,圆的标准方程为 222x a y a a .由题意可得 22221a a a ,可得2650a a ,解得1a 或5a ,所以圆心的坐标为 1,1或 5,5,圆心到直线230x y 距离均为22555d;所以,圆心到直线230x y 的距离为255.故选:B.【点睛】本题考查圆心到直线距离的计算,求出圆的方程是解题的关键,考查计算能力,属于中等题.6.数列{}n a 中,12a ,m n m n a a a ,若155121022k k k a a a ,则k ()A.2B.3C.4D.5【答案】C 【解析】分析】取1m ,可得出数列 n a 是等比数列,求得数列 n a 的通项公式,利用等比数列求和公式可得出关于k 的等式,由k N 可求得k 的值.【详解】在等式m n m n a a a 中,令1m ,可得112n n n a a a a ,12n na a,所以,数列 n a 是以2为首项,以2为公比的等比数列,则1222n n n a ,1011011105101210122122212211212k k k k k k a a a a,1522k ,则15k ,解得4k .故选:C.【点睛】本题考查利用等比数列求和求参数的值,解答的关键就是求出数列的通项公式,考查计算能力,属于中等题.7.如图是一个多面体的三视图,这个多面体某条棱的一个端点在正视图中对应的点为M ,在俯视图中对应的点为N ,则该端点在侧视图中对应的点为()A.EB.FC.GD.H【答案】A 【解析】【分析】根据三视图,画出多面体立体图形,即可求得M 点在侧视图中对应的点.【详解】根据三视图,画出多面体立体图形,图中标出了根据三视图M 点所在位置,可知在侧视图中所对应的点为E 故选:A【点睛】本题主要考查了根据三视图判断点的位置,解题关键是掌握三视图的基础知识和根据三视图能还原立体图形的方法,考查了分析能力和空间想象,属于基础题.8.设O 为坐标原点,直线x a 与双曲线2222:1(0,0)x y C a b a b的两条渐近线分别交于,D E 两点,若ODE 的面积为8,则C 的焦距的最小值为()A.4B.8C.16D.32【答案】B 【解析】【分析】因为2222:1(0,0)x y C a b a b ,可得双曲线的渐近线方程是b y x a,与直线x a 联立方程求得D ,E 两点坐标,即可求得||ED ,根据ODE 的面积为8,可得ab 值,根据2222c a b ,结合均值不等式,即可求得答案.【详解】∵2222:1(0,0)x y C a b a b双曲线的渐近线方程是by x a∵直线x a 与双曲线2222:1(0,0)x y C a b a b的两条渐近线分别交于D ,E 两点不妨设D 为在第一象限,E 在第四象限联立x ab y x a,解得x a y b故(,)D a b 联立x ab y x a,解得x a y b故(,)E a b ||2ED bODE 面积为:1282ODE S a b ab△∵双曲线2222:1(0,0)x y C a b a b其焦距为2222222168c a b ab 当且仅当22a b 取等号C 的焦距的最小值:8故选:B.【点睛】本题主要考查了求双曲线焦距的最值问题,解题关键是掌握双曲线渐近线的定义和均值不等式求最值方法,在使用均值不等式求最值时,要检验等号是否成立,考查了分析能力和计算能力,属于中档题.9.设函数()ln |21|ln |21|f x x x ,则f (x )()A.是偶函数,且在1(,)2 单调递增B.是奇函数,且在11(,)22单调递减C.是偶函数,且在1(,)2单调递增D.是奇函数,且在1(,)2单调递减【答案】D 【解析】【分析】根据奇偶性的定义可判断出 f x 为奇函数,排除AC ;当11,22x时,利用函数单调性的性质可判断出 f x 单调递增,排除B ;当1,2x时,利用复合函数单调性可判断出 f x 单调递减,从而得到结果.【详解】由 ln 21ln 21f x x x 得 f x 定义域为12x x,关于坐标原点对称,又 ln 12ln 21ln 21ln 21f x x x x x f x ,f x 为定义域上的奇函数,可排除AC ;当11,22x时, ln 21ln 12f x x x , ln 21y x Q 在11,22 上单调递增, ln 12y x 在11,22上单调递减,f x 在11,22上单调递增,排除B ;当1,2x时, 212ln 21ln 12ln ln 12121x f x x x x x,2121x∵在1,2上单调递减, ln f 在定义域内单调递增,根据复合函数单调性可知: f x 在1,2上单调递减,D 正确.故选:D.【点睛】本题考查函数奇偶性和单调性的判断;判断奇偶性的方法是在定义域关于原点对称的前提下,根据 f x 与 f x 的关系得到结论;判断单调性的关键是能够根据自变量的范围化简函数,根据单调性的性质和复合函数“同增异减”性得到结论.10.已知△ABC 是面积为934的等边三角形,且其顶点都在球O 的球面上.若球O 的表面积为16π,则O 到平面ABC 的距离为()A.3B.32C.1D.32【答案】C【解析】【分析】根据球O 的表面积和ABC 的面积可求得球O 的半径R 和ABC 外接圆半径r ,由球的性质可知所求距离22d R r.【详解】设球O 的半径为R ,则2416R ,解得:2R .设ABC 外接圆半径为r ,边长为a ,ABC ∵ 是面积为934的等边三角形,21393224a ,解得:3a ,22229933434a r a ,球心O 到平面ABC 的距离22431d R r .故选:C.【点睛】本题考查球的相关问题的求解,涉及到球的表面积公式和三角形面积公式的应用;解题关键是明确球的性质,即球心和三角形外接圆圆心的连线必垂直于三角形所在平面.11.若2233x y x y ,则()A.ln(1)0y x B.ln(1)0y x C.ln ||0x y D.ln ||0x y 【答案】A 【解析】【分析】将不等式变为2323x x y y ,根据 23t tf t 的单调性知x y ,以此去判断各个选项中真数与1的大小关系,进而得到结果.【详解】由2233x y x y 得:2323x x y y ,令 23ttf t ,2x y ∵为R 上的增函数,3x y 为R 上的减函数, f t 为R 上的增函数,x y ,0y x Q ,11y x , ln 10y x ,则A 正确,B 错误;x y Q 与1的大小不确定,故CD 无法确定.故选:A.【点睛】本题考查对数式的大小的判断问题,解题关键是能够通过构造函数的方式,利用函数的单调性得到,x y 的大小关系,考查了转化与化归的数学思想.12.0-1周期序列在通信技术中有着重要应用.若序列12n a a a 满足{0,1}(1,2,)i a i ,且存在正整数m ,使得(1,2,)i m i a a i 成立,则称其为0-1周期序列,并称满足(1,2,)i m i a a i 的最小正整数m 为这个序列的周期.对于周期为m 的0-1序列12n a a a ,11()(1,2,,1)mi i k i C k a a k m m 是描述其性质的重要指标,下列周期为5的0-1序列中,满足1()(1,2,3,4)5C k k 的序列是()A 11010 B.11011C.10001D.11001【答案】C 【解析】【详解】由i m i a a 知,序列i a 的周期为m ,由已知,5m ,511(),1,2,3,45i i k i C k a a k 对于选项A ,511223344556111111(1)()(10000)55555i i i C a a a a a a a a a a a a52132435465711112(2)()(01010)5555i i i C a a a a a a a a a a a a ,不满足;对于选项B ,51122334455611113(1)()(10011)5555i i i C a a a a a a a a a a a a ,不满足;对于选项D ,51122334455611112(1)()(10001)5555i i i C a a a a a a a a a a a a ,不满足;故选:C【点晴】本题考查数列的新定义问题,涉及到周期数列,考查学生对新定义的理解能力以及数学运算能力,是一道中档题.二、填空题目:本题共4小题,每小题5分,共20分.13.已知单位向量a ,b 的夹角为45°,ka –b 与a 垂直,则k =__________.【答案】22【解析】【分析】首先求得向量的数量积,然后结合向量垂直的充分必要条件即可求得实数k 的值.【详解】由题意可得:211cos 452a b ,由向量垂直的充分必要条件可得:0k a b a,即:2202k a a b k ,解得:22k .故答案为:22.【点睛】本题主要考查平面向量的数量积定义与运算法则,向量垂直的充分必要条件等知识,意在考查学生的转化能力和计算求解能力.14.4名同学到3个小区参加垃圾分类宣传活动,每名同学只去1个小区,每个小区至少安排1名同学,则不同的安排方法共有__________种.【答案】36【解析】【分析】根据题意,采用捆绑法,先取2名同学看作一组,现在可看成是3组同学分配到3个小区,即可求得答案.【详解】∵4名同学到3个小区参加垃圾分类宣传活动,每名同学只去1个小区,每个小区至少安排1名同学先取2名同学看作一组,选法有:246C 现在可看成是3组同学分配到3个小区,分法有:336A根据分步乘法原理,可得不同的安排方法6636 种故答案为:36.【点睛】本题主要考查了计数原理的实际应用,解题关键是掌握分步乘法原理和捆绑法的使用,考查了分析能力和计算能力,属于中档题.15.设复数1z ,2z 满足12||=||=2z z ,123i z z ,则12||z z =__________.【答案】23【解析】【分析】令12cos 2sin z i ,22cos 2sin z i ,根据复数的相等可求得1cos cos sin sin 2,代入复数模长的公式中即可得到结果.【详解】122z z ∵,可设12cos 2sin z i ,22cos 2sin z i , 122cos cos 2sin sin 3z z i i ,2cos cos 32sin sin 1,两式平方作和得: 422cos cos 2sin sin 4 ,化简得:1cos cos sin sin 2122cos cos 2sin sin z z i224cos cos 4sin sin 88cos cos sin sin 8423 故答案为:23.【点睛】本题考查复数模长的求解,涉及到复数相等的应用;关键是能够采用假设的方式,将问题转化为三角函数的运算问题.16.设有下列四个命题:p 1:两两相交且不过同一点的三条直线必在同一平面内.p 2:过空间中任意三点有且仅有一个平面.p 3:若空间两条直线不相交,则这两条直线平行.p 4:若直线l 平面α,直线m ⊥平面α,则m ⊥l .则下述命题中所有真命题的序号是__________.①14p p ②12p p ③23p p ④34p p 【答案】①③④【解析】【分析】利用两交线直线确定一个平面可判断命题1p 的真假;利用三点共线可判断命题2p 的真假;利用异面直线可判断命题3p 的真假,利用线面垂直的定义可判断命题4p 的真假.再利用复合命题的真假可得出结论.【详解】对于命题1p ,可设1l 与2l 相交,这两条直线确定的平面为 ;若3l 与1l 相交,则交点A 在平面 内,同理,3l 与2l 的交点B 也在平面 内,所以,AB ,即3l ,命题1p 为真命题;对于命题2p ,若三点共线,则过这三个点的平面有无数个,命题2p 为假命题;对于命题3p ,空间中两条直线相交、平行或异面,命题3p 为假命题;对于命题4p ,若直线m 平面 ,则m 垂直于平面 内所有直线,∵直线l 平面 , 直线m 直线l ,命题4p 为真命题.综上可知,14p p 为真命题,12p p 为假命题,23p p 为真命题,34p p 为真命题.故答案为:①③④.【点睛】本题考查复合命题的真假,同时也考查了空间中线面关系有关命题真假的判断,考查推理能力,属于中等题.三、解答题:共70分.解答应写出文字说明、证明过程或演算步骤.第17~21题为必考题,每个试题考生都必须作答.第22、23题为选考题,考生根据要求作答.(一)必考题:共60分.17.ABC 中,sin 2A -sin 2B -sin 2C =sin B sin C.(1)求A ;(2)若BC =3,求ABC 周长的最大值.【答案】(1)23;(2)323 .【解析】【分析】(1)利用正弦定理角化边,配凑出cos A 的形式,进而求得A ;(2)利用余弦定理可得到 29AC AB AC AB ,利用基本不等式可求得AC AB 的最大值,进而得到结果.【详解】(1)由正弦定理可得:222BC AC AB AC AB ,2221cos 22AC AB BC A AC AB , 0,A ∵,23A .(2)由余弦定理得:222222cos 9BC AC AB AC AB A AC AB AC AB ,即 29AC AB AC AB .22AC AB AC AB∵(当且仅当AC AB 时取等号), 22223924AC AB AC AB AC AB AC AB AC AB ,解得:23AC AB (当且仅当AC AB 时取等号),ABC 周长323L AC AB BC ,ABC 周长的最大值为323 .【点睛】本题考查解三角形的相关知识,涉及到正弦定理角化边的应用、余弦定理的应用、三角形周长最大值的求解问题;求解周长最大值的关键是能够在余弦定理构造的等式中,结合基本不等式构造不等关系求得最值.18.某沙漠地区经过治理,生态系统得到很大改善,野生动物数量有所增加.为调查该地区某种野生动物的数量,将其分成面积相近的200个地块,从这些地块中用简单随机抽样的方法抽取20个作为样区,调查得到样本数据(x i ,y i )(i =1,2,…,20),其中x i 和y i 分别表示第i 个样区的植物覆盖面积(单位:公顷)和这种野生动物的数量,并计算得20160i i x ,2011200i i y,2021)80i i x x (,2021)9000i i y y (,201))800i i i x y x y ((.(1)求该地区这种野生动物数量的估计值(这种野生动物数量的估计值等于样区这种野生动物数量的平均数乘以地块数);(2)求样本(x i ,y i )(i =1,2,…,20)的相关系数(精确到0.01);(3)根据现有统计资料,各地块间植物覆盖面积差异很大.为提高样本的代表性以获得该地区这种野生动物数量更准确的估计,请给出一种你认为更合理的抽样方法,并说明理由.附:相关系数r =12211))))ni i i i i n n i i x y x x y y y x((((,2=1.414.【答案】(1)12000;(2)0.94;(3)详见解析【解析】【分析】(1)利用野生动物数量的估计值等于样区野生动物平均数乘以地块数,代入数据即可;(2)利用公式20120202211()()()()ii i i i i i x x y y r x x y y 计算即可;(3)各地块间植物覆盖面积差异较大,为提高样本数据的代表性,应采用分层抽样.【详解】(1)样区野生动物平均数为201111200602020i i y ,地块数为200,该地区这种野生动物的估计值为2006012000(2)样本(,)i i x y 的相关系数为20120202211()()800220.943809000()()i i i i i i i x x y y r x x y y (3)由于各地块间植物覆盖面积差异较大,为提高样本数据的代表性,应采用分层抽样先将植物覆盖面积按优中差分成三层,在各层内按比例抽取样本,在每层内用简单随机抽样法抽取样本即可.【点晴】本题主要考查平均数的估计值、相关系数的计算以及抽样方法的选取,考查学生数学运算能力,是一道容易题.19.已知椭圆C 1:22221x y a b(a >b >0)的右焦点F 与抛物线C 2的焦点重合,C 1的中心与C 2的顶点重合.过F 且与x 轴垂直的直线交C 1于A ,B 两点,交C 2于C ,D 两点,且|CD |=43|AB |.(1)求C 1的离心率;(2)设M 是C 1与C 2的公共点,若|MF |=5,求C 1与C 2的标准方程.【答案】(1)12;(2)221:13627x y C ,22:12C y x .【解析】【分析】(1)求出AB 、CD ,利用43CD AB可得出关于a 、c 的齐次等式,可解得椭圆1C 的离心率的值;(2)由(1)可得出1C 的方程为2222143x y c c,联立曲线1C 与2C 的方程,求出点M 的坐标,利用抛物线的定义结合5MF 可求得c 的值,进而可得出1C 与2C 的标准方程.【详解】(1) ,0F c ∵,AB x 轴且与椭圆1C 相交于A 、B 两点,则直线AB 的方程为x c ,联立22222221x c x y a b a b c,解得2x c b y a ,则22b AB a,抛物线2C 的方程为24y cx ,联立24x c y cx,解得2x c y c ,4CD c ,43CD AB ∵,即2843b c a,223b ac ,即222320c ac a ,即22320e e ,01e Q ,解得12e ,因此,椭圆1C 的离心率为12;(2)由(1)知2a c ,3b c ,椭圆1C 的方程为2222143x y c c,联立222224143y cx x y c c,消去y 并整理得22316120x cx c ,解得23x c 或6x c (舍去),由抛物线的定义可得25533c MF c c ,解得3c .因此,曲线1C 的标准方程为2213627x y ,曲线2C 的标准方程为212y x .【点睛】本题考查椭圆离心率的求解,同时也考查了利用抛物线的定义求抛物线和椭圆的标准方程,考查计算能力,属于中等题.20.如图,已知三棱柱ABC -A 1B 1C 1的底面是正三角形,侧面BB 1C 1C 是矩形,M ,N 分别为BC ,B 1C 1的中点,P 为AM 上一点,过B 1C 1和P 的平面交AB 于E ,交AC 于F .(1)证明:AA 1∥MN ,且平面A 1AMN ⊥EB 1C 1F ;(2)设O 为△A 1B 1C 1的中心,若AO ∥平面EB 1C 1F ,且AO =AB ,求直线B 1E 与平面A 1AMN 所成角的正弦值.【答案】(1)证明见解析;(2)1010.【解析】【分析】(1)由,M N 分别为BC ,11B C 的中点,1//MN CC ,根据条件可得11//AA BB ,可证1MN AA //,要证平面11EB C F 平面1A AMN ,只需证明EF 平面1A AMN 即可;(2)连接NP ,先求证四边形ONPA 是平行四边形,根据几何关系求得EP ,在11B C 截取1B Q EP ,由(1)BC ⊥平面1A AMN ,可得QPN 为1B E 与平面1A AMN 所成角,即可求得答案.【详解】(1)∵,M N 分别为BC ,11B C 的中点,1//MN BB 又11//AA BB 1//MN AA 在ABC 中,M 为BC 中点,则BC AM又∵侧面11BB C C 为矩形,1BC BB 1//MN BB ∵MN BC由MN AM M ,,MN AM 平面1A AMNBC ⊥平面1A AMN又∵11//B C BC ,且11B C 平面ABC ,BC 平面ABC ,11//B C 平面ABC又∵11B C 平面11EB C F ,且平面11EB C F 平面ABC EF 11//B C EF//EF BC又BC ∵平面1A AMNEF 平面1A AMNEF ∵平面11EB C F平面11EB C F 平面1A AMN(2)连接NP∵//AO 平面11EB C F ,平面AONP 平面11EB C F NP //AO NP根据三棱柱上下底面平行,其面1A NMA 平面ABC AM ,面1A NMA 平面1111A B C A N //ON AP故:四边形ONPA 是平行四边形设ABC 边长是6m (0m )可得:ON AP ,6NP AO AB m∵O 为111A B C △的中心,且111A B C △边长为6m 16sin 6033ON m 故:3ON AP m∵//EF BC AP EP AM BM3333EP 解得:EP m在11B C 截取1B Q EP m ,故2QN m∵1B Q EP 且1//B Q EP四边形1B QPE 是平行四边形,1//B E PQ由(1)11B C 平面1A AMN故QPN 为1B E 与平面1A AMN 所成角在Rt QPN △,根据勾股定理可得: 222226210PQ QN PN m m m 210sin 10210QN m QPN PQ m 直线1B E 与平面1A AMN 所成角的正弦值:1010.【点睛】本题主要考查了证明线线平行和面面垂直,及其线面角,解题关键是掌握面面垂直转为求证线面垂直的证法和线面角的定义,考查了分析能力和空间想象能力,属于难题.21.已知函数f (x )=sin 2x sin2x .(1)讨论f (x )在区间(0,π)的单调性;(2)证明:33()8f x ;(3)设n ∈N *,证明:sin 2x sin 22x sin 24x …sin 22n x ≤34nn .【答案】(1)当0,3x时, '0,f x f x 单调递增,当2,33x 时, '0,f x f x 单调递减,当2,3x时, '0,f x f x 单调递增.(2)证明见解析;(3)证明见解析.【解析】【分析】(1)首先求得导函数的解析式,然后由导函数的零点确定其在各个区间上的符号,最后确定原函数的单调性即可;(2)首先确定函数的周期性,然后结合(1)中的结论确定函数在一个周期内的最大值和最小值即可证得题中的不等式;(3)对所给的不等式左侧进行恒等变形可得2222123sin sin sin 2sin 2sin 4sin 2sin 2sin 2n n n f x x x x x x x x x ,然后结合(2)的结论和三角函数的有界性进行放缩即可证得题中的不等式.【详解】(1)由函数的解析式可得: 32sin cos f x x x ,则: 224'23sin cos sin f x x x x2222sin 3cos sin x x x 222sin 4cos 1x x 22sin 2cos 12cos 1x x x ,'0f x 在 0,x 上的根为:122,33x x,当0,3x时, '0,f x f x 单调递增,当2,33x时, '0,f x f x 单调递减,当2,3x时, '0,f x f x 单调递增.(2)注意到 22sinsin 2sin sin 2f x x x x x f x ,故函数 f x 是周期为 的函数,结合(1)的结论,计算可得: 00f f ,233333228f ,2233333228f ,据此可得: max 338f x, min 338f x ,即 338f x .(3)结合(2)的结论有:2222sin sin 2sin 4sin 2n x x x x 233333sin sin 2sin 4sin 2n x x x x2222123sin sin sin 2sin 2sin 4sin 2sin 2sin 2n n n x x x x x x x x 232333333sin sin 2888n x x 23338n 34n .【点睛】导数是研究函数的单调性、极值(最值)最有效的工具,而函数是高中数学中重要的知识点,对导数的应用的考查主要从以下几个角度进行:(1)考查导数的几何意义,往往与解析几何、微积分相联系.(2)利用导数求函数的单调区间,判断单调性;已知单调性,求参数.(3)利用导数求函数的最值(极值),解决生活中的优化问题.(4)考查数形结合思想的应用.(二)选考题:共10分.请考生在第22、23题中任选一题作答.并用2B 铅笔将所选题号涂黑,多涂、错涂、漏涂均不给分.如果多做,则按所做的第一题计分.[选修4—4:坐标系与参数方程]22.已知曲线C 1,C 2的参数方程分别为C 1:224cos 4sin x y ,(θ为参数),C 2:1,1x t t y t t(t 为参数).(1)将C 1,C 2的参数方程化为普通方程;(2)以坐标原点为极点,x 轴正半轴为极轴建立极坐标系.设C 1,C 2的交点为P ,求圆心在极轴上,且经过极点和P 的圆的极坐标方程.【答案】(1)1:4C x y ;222:4C x y ;(2)17cos 5.【解析】【分析】(1)分别消去参数 和t 即可得到所求普通方程;(2)两方程联立求得点P ,求得所求圆的直角坐标方程后,根据直角坐标与极坐标的互化即可得到所求极坐标方程.【详解】(1)由22cos sin 1 得1C 的普通方程为:4x y ;由11x t t y t t 得:2222221212x t t y t t,两式作差可得2C 的普通方程为:224x y .(2)由2244x y x y 得:5232x y ,即53,22P ;设所求圆圆心的直角坐标为 ,0a ,其中0a ,则22253022a a,解得:1710a , 所求圆的半径1710r , 所求圆的直角坐标方程为:22217171010x y ,即22175x y x , 所求圆的极坐标方程为17cos 5.【点睛】本题考查极坐标与参数方程的综合应用问题,涉及到参数方程化普通方程、直角坐标方程化极坐标方程等知识,属于常考题型.[选修4—5:不等式选讲]23.已知函数2()|21|f x x a x a .(1)当2a 时,求不等式()4f x 的解集;(2)若()4f x ,求a 的取值范围.【答案】(1)32x x或112x;(2) ,13, .【解析】【分析】(1)分别在3x 、34x 和4x 三种情况下解不等式求得结果;(2)利用绝对值三角不等式可得到 21f x a ,由此构造不等式求得结果.【详解】(1)当2a 时, 43f x x x .当3x 时, 43724f x x x x ,解得:32x ≤;当34x 时, 4314f x x x ,无解;当4x 时, 43274f x x x x ,解得:112x;综上所述: 4f x 的解集为32x x或112x .(2) 22222121211f x x a x a x ax a a a a (当且仅当221a x a 时取等号), 214a ,解得:1a 或3a ,a 的取值范围为 ,13, .【点睛】本题考查绝对值不等式的求解、利用绝对值三角不等式求解最值的问题,属于常考题型.祝福语祝你马到成功,万事顺意!。
§7.2均值不等式及其应用最新考纲考情考向剖析1.认识基本不等式的证明过程 . 主要考察利用基本不等式求最值.常与函数、解析几何、不等式相联合考察,作为求最值的方2.会用基本不等式解决简单的最大(小 )值问题 .法,常在函数、分析几何、不等式的解答题中考察,难度为中档 .a+ b1.均值不等式:ab≤2(1)均值不等式成立的条件:a>0, b>0.(2)等号成立的条件:当且仅当a= b 时取等号 .2.几个重要的不等式(1)a2+ b2≥ 2ab(a, b∈R ).b a(2)a+b≥ 2(a, b 同号 ).a+ b 2(3)ab≤( a,b∈ R).(4) a2+ b2 a+ b 2(a, b∈ R ).≥22以上不等式等号成立的条件均为a=b.3.算术均匀数与几何均匀数设 a>0, b>0,则 a, b 的算术均匀值为a+b,几何均匀值为ab,均值不等式可表达为两个2正实数的算术均匀值大于或等于它们的几何均匀值.4.利用均值不等式求最值问题已知 x>0, y>0,则(1)假如积 xy 是定值 p,那么当且仅当x=y 时, x+ y 有最小值2 p.(简记:积定和最小 )p2(2)假如和 x+y 是定值 p,那么当且仅当x= y 时, xy 有最大值4 .(简记:和定积最大 )概念方法微思考1.若两个正数的和为定值,则这两个正数的积必定有最大值吗?提示不必定 .若这两个正数能相等,则这两个数的积必定有最大值;若这两个正数不相等,则这两个正数的积无最大值.12.函数 y = x + x 的最小值是 2 吗?提示不是 .由于函数y = x + 1x 的定义域是{ x|x ≠ 0} ,当 x<0时, y<0 ,所以函数y = x + 1x 无最小值 .题组一 思虑辨析1.判断以下结论能否正确 (请在括号中打“√”或“×”) 4 , x ∈ π的最小值等于 4.( × )(1)函数 f(x) = cos x + cos x0, 2(2)“ x>0 且 y>0 ”是“ x + y≥ 2”的充要条件 .( × )y x(3)( a + b)2 ≥4ab(a , b ∈R ).( √ )(4)若 a>0 ,则 a 3+ 12的最小值为 2a.( × )a(5)不等式 a 2+ b 2≥2ab 与a +b≥ ab 有同样的成立条件 .( × )2(6)两个正数的等差中项不小于它们的等比中项.( √ ) 题组二教材改编2.设 x>0, y>0,且 x + y = 18,则 xy 的最大值为 ( )A.80B.77C.81D.82答案 C∵ x>0, y>0, ∴ x + yxy ,分析 2 ≥即 xy ≤x + y2= 81, 2 当且仅当 x = y =9 时, (xy)max = 81.3.若把总长为 20 m 的篱笆围成一个矩形场所,则矩形场所的最大面积是________ m 2.答案25分析设矩形的一边为 x m ,面积为 y m 2,则另一边为 12× (20- 2x)= (10- x)m ,此中 0<x<10 ,∴y = x(10-x)≤x +10- x2=25, 2当且仅当 x = 10- x ,即 x =5 时, y max =25.题组三 易错自纠4.“ x>0”是“ x + 1≥ 2 成立”的 ( )xA. 充分不用要条件B. 必需不充分条件C.充要条件D.既不充分也不用要条件答案 C分析11当 x>0 时, x + ≥ 2x ·= 2.xx11 1 1 成立 ” 的充要条件,由于 x , 同号,所以若 x +x ≥2,则 x>0 , >0,所以 “x>0 ” 是 “x +≥ 2xxx应选 C.5.若函数 f(x)= x + 1(x>2) 在 x = a 处取最小值,则 a 等于 ( )x - 2A.1 + 2B.1+ 3C.3D.4答案 C分析 当 x>2 时, x - 2>0 ,f(x)= (x - 2)+ 1+ 2≥ 2x - 2 × 1+ 2= 4,当且仅当 x -2x - 2 x - 21= x - 2( x>2) ,即 x = 3 时取等号,即当f(x) 获得最小值时, x = 3,即 a = 3,应选 C.6.若正数 x , y 知足 3x + y = 5xy ,则 4x + 3y 的最小值是 ( )A.2B.3C.4D.5答案 D3x +y 31分析 由 3x + y =5xy ,得xy = y + x =5,1 31所以 4x + 3y = (4x + 3y) ·+5 yx=13y +12x5 4+9+ xy 1≥5(4+ 9+ 2 36)= 5,当且仅当3y = 12x,即 y = 2x 时, “ =” 成立,xy故 4x + 3y 的最小值为 5.应选 D.题型一利用均值不等式求最值命题点 1 配凑法例 1 (1) 已知 0<x<1,则 x(4- 3x)获得最大值时 x 的值为 ________.答案231分析x(4- 3x)= 3·(3x)(4 - 3x)≤1 3x +4-3x2=4,·233当且仅当 3x = 4- 3x ,即 x =23时,取等号 .x 2 + 2(2)函数 y = x - 1 (x>1) 的最小值为 ________. 答案 2 3+2分析 ∵ x>1, ∴x - 1>0 ,∴ y = x 2 + 2 x 2- 2x + 1 + 2x - 2 + 3 =x - 1x - 1=x - 1 2+ 2 x - 1 + 3 x - 1= (x - 1)+ 3+ 2≥ 2 3+ 2. x- 1当且仅当 x - 1=3,即 x = 3+ 1 时,等号成立 . x - 1命题点 2 常数代换法例 2 (2019 ·大连模拟 )已知首项与公比相等的等比数列 { a n } 中,知足 22a m a n =a 4(m , n ∈N +),则 2+1的最小值为 () m n39A.1B. 2C.2D. 2答案 A分析 由题意可得, a 1= q ,22∵ a m a n = a 4,∴ a 1·q m -1·(a 1·q n -1 )2= (a 1·q 3)2,即 q m ·q 2n = q 8, 即 m + 2n =8.∴ 2 + 1= (m + 2n) 2 + 1 ×1m nm n 8= 2+m +4n+ 2 ×1≥ (4+ 2 4)× 1= 1. n m88当且仅当 m = 2n 时,即 m = 4, n = 2 时,等号成立 .命题点 3 消元法例 3已知正实数 a , b 知足 a 2- b +4≤ 0,则 u =2a +3ba +b ()1414A. 有最大值 5B. 有最小值 5C.有最小值 3D.有最大值 3答案B分析∵ a 2- b +4≤ 0, ∴ b ≥ a 2+ 4,∴ a + b ≥ a 2+ a +4.又 ∵ a , b>0, ∴ a≤a ,a +b a 2+ a +4∴ -a≥ - a ,a +b a 2 +a + 42a + 3baa∴ u = a + b = 3- a + b ≥3- a 2+ a +4 = 3-1 ≥ 3-1= 14 ,a + 42 45+ 1a ·+ 1aa当且仅当 a = 2, b = 8 时取等号 .应选 B.思想升华 (1) 前提: “一正 ”“ 二定 ”“ 三相等 ”.(2)要依据式子的特色灵巧变形,配凑出积、和为常数的形式,而后再利用均值不等式.(3)条件最值的求解往常有三种方法:一是消元法;二是将条件灵巧变形,利用常数“ 1” 代换的方法;三是配凑法.追踪训练 1 (1)(2019·东质检丹)设x>0, y>0,若 xlg 2, lg 2, ylg 2 成等差数列,则1x +9y 的最小值为()A.8B.9C.12D.16答案D分析∵ xlg 2 , lg 2, ylg 2成等差数列,∴ 2lg 2= (x + y)lg 2 ,∴ x + y = 1.∴1x +9y = (x + y) 1x + 9yy 9x ≥ 10+2· = 10+ 6= 16,x y当且仅当 x = 1, y = 3时取等号,4 4故 1+9的最小值为 16.应选 D.x y(2)若 a, b,c 都是正数,且4 +1的最小值是 () a+b+ c= 2,则a+1 b+ cA.2B.3C.4D.6答案 B分析∵ a, b,c 都是正数,且a+ b+ c= 2,∴a+ b+ c+ 1=3,且 a+1>0 , b+c>0.∴4+1=1·(a+1+ b+ c) ·4+1 a+ 1 b+ c 3 a+ 1 b+ c 14 b+ c a+ 1 1=3 5+a+1+b+c≥3(5+ 4)= 3.当且仅当a+ 1= 2(b+ c),即 a=1, b+ c=1 时,等号成立.应选 B. 题型二均值不等式的综合应用命题点 1 均值不等式与其余知识交汇的最值问题例 4 在△ ABC 中,点→→M,P 知足 BP= 2PC,过点 P 的直线与 AB, AC 所在直线分别交于点→→→→N,若 AM =mAB, AN= nAC(m>0, n>0) ,则 m+2n 的最小值为 ()8 10A.3B.4C.3D. 3答案 A分析→ →→∵ AP= AB+ BP→ 2 → →=AB+3(AC-AB)1 →2 → 1 → 2 →=AB + AC =AM +3n AN ,333m∵M ,P ,N 三点共线, ∴ 1+2= 1,3m 3n∴ m + 2n =( m + 2n) 1+ 23m 3n=13+43+ 3m 2n + 2m3n≥ 5+ 2 2n × 2m 33m 3n=53+43= 3,当且仅当 m = n = 1 时等号成立 . 命题点 2 求参数值或取值范围例 5 (2018 ·包头模拟 )已知不等式 (x +y) 1 a ≥ 9 对随意正实数 x ,y 恒成立, 则正实数 a 的 x +y 最小值为 ( ) A.2B.4C.6D.8答案 B1 a1 a分析 已知不等式 (x + y) x + y ≥ 9 对随意正实数 x , y 恒成立,只需求 (x + y) x + y 的最小值 大于或等于 9,∵ 1+ a + y + ax≥ a + 2 a + 1,x y当且仅当 y = ax 时,等号成立,∴ a + 2 a +1≥ 9,∴ a ≥ 2 或 a ≤ - 4(舍去 ), ∴ a ≥ 4,即正实数 a 的最小值为 4,应选 B.思想升华 求参数的值或范围:察看题目特色,利用均值不等式确立有关成立条件,进而得参数的值或范围 .π2sin C sin B 追踪训练 2 (1)在△ ABC 中, A =6,△ ABC 的面积为 2,则 sin C + 2sin B +sin C 的最小值为 ()3 3 3 3 5 A. 2 B.4 C.2D.3答案 C分析 由 △ ABC 的面积为 2,所以1 1 πS =bcsin A = bcsin = 2,得 bc =8,22 6在△ABC 中,由正弦定理得2sin C + sin B= 2c +b sin C+ 2sin B sin C c+2bc =2cb + b2b c+ 2b bc=16 2 8 +b 2+ 41+b=8-8+ 2b2 8 4+ b2 2≥ 2 8b2+ 4 1=2-1= 3,2·-4+ b 8 2 2 2当且仅当 b= 2, c= 4 时,等号成立,应选 C.(2)已知函数f(x)= ax2+bx(a>0, b>0)的图象在点 (1,f(1))处的切线的斜率为2,则8a+b的最ab小值是 ( )A.10B.9C.8D.3 2答案 B分析由函数 f(x)= ax2+ bx,得 f′( x)= 2ax+ b,由函数 f(x)的图象在点 (1, f(1)) 处的切线斜率为2,所以 f′ (1)= 2a+ b= 2,所以 8a+ b= 1+8= 1 1+ 8ab a b 2 a b (2a+ b)1 b 16a 1 b 16a=2 10+a+b ≥2 10+2 a ·b1=2(10+8)= 9,当且仅当ba=16ab,即 a=13, b=43时等号成立,所以8a+b的最小值为9,应选 B. ab利用均值不等式求解实质问题数学建模是对现实问题进行数学抽象,用数学的语言表达问题,用数学的方法建立模型解决问题 .过程主要包含:在实质情形中从数学的视角发现问题、提出问题、剖析问题、成立模型、确立参数、计算求解、查验结果、改良模型,最后解决实质问题 .例 某厂家拟在 2019 年举行促销活动,经检查测算,该产品的年销售量 (即该厂的年产量 )x万件与年促销花费 m 万元 (m ≥ 0)知足 x = 3-km + 1(k 为常数 ) ,假如不搞促销活动,则该产品的年销售量只好是 1 万件 .已知 2019 年生产该产品的固定投入为8 万元 .每生产 1 万件该产品需要再投入 16 万元,厂家将每件产品的销售价钱定为每件产品年均匀成本的 1.5 倍 (产品成本包含固定投入和再投入两部分资本).(1)将 2019 年该产品的收益y 万元表示为年促销花费 m 万元的函数;(2)该厂家 2019 年的促销花费投入多少万元时,厂家的收益最大?解 (1) 由题意知,当 m =0 时, x = 1,∴ 1= 3- k? k =2,∴ x = 3- 2,m+ 18+ 16x每万件产品的销售价钱为1.5×(万元 ),∴ 2019 年的收益 y = 1.5x ×8+ 16x-8- 16x - m x2= 4+ 8x - m = 4+ 8 3-m + 1 - m16=- + m + 1+ 29(m ≥ 0).16(2)∵ m ≥ 0 时,+ ( m + 1)≥ 216=8,∴y≤- 8+ 29=21,16当且仅当= m+ 1? m= 3(万元 )时,y max= 21(万元 ).故该厂家2019 年的促销花费投入 3 万元时,厂家的收益最大为21 万元 .修养提高利用均值不等式求解实质问题时依据实质问题抽象出目标函数的表达式,成立数学模型,再利用均值不等式求得函数的最值.x2+ 41.函数 f(x)=|x| 的最小值为 ()A.3B.4C.6D.8答案 B分析f(x)=x2+4=|x|+4≥ 24= 4,|x||x|当且仅当 x=±2 时,等号成立,应选 B.2.若 x>0, y>0,则“ x+ 2y=2 2xy”的一个充分不用要条件是( )A. x= yB. x=2yC.x=2 且 y= 1D.x= y 或 y= 1答案 C分析∵ x>0, y>0,∴ x+ 2y≥ 2 2xy,当且仅当 x= 2y 时取等号 .故“ x= 2 且 y=1 ”是“ x+2y= 2 2xy”的充分不用要条件.应选 C.4+1的最小值为( ) 3.(2018 沈·阳模拟 )已知正数 a, b 知足 a+ b=1,则a b5A. 3B.3C.5D.9答案 D分析由题意知,正数a, b 知足 a+ b= 1,4 1 4+ 1则a+b= a b (a+b)= 4+1+4b+a≥5+ 24b aa b·= 9,a b当且仅当4b=a,即 a=2, b=1时等号成立,a b 3 3所以4+1的最小值为 9,应选 D.a b4.若 a>0, b>0,lg a+ lg b= lg(a+ b),则 a+b 的最小值为 ()A.8B.6C.4D.2答案 C分析由 lg a+ lg b=lg( a+ b) ,得 lg( ab)=lg( a+ b),即 ab= a+ b,则有1+1= 1,所以 a+ b a b1 1 b a≥2+ 2 b aa+ b 的最=+b (a+ b)= 2++·= 4,当且仅当 a=b= 2 时等号成立,所以a ab a b 小值为4,应选 C.5.已知函数x在点 (0,f(0)) 处的切线为 l,动点 (a,b)在直线 l 上,则 2a -b的最小值是f(x)=e +2( )A.4B.2C.2 2D. 2答案 D分析由题意得 f ′(x)= e x,f(0) = e0= 1,k=f ′ (0)= e0= 1.所以切线方程为y-1= x- 0,即 x- y+ 1= 0,∴ a- b+ 1= 0,∴ a-b=- 1,∴ 2a+ 2-b≥ 2 2a·2-b= 2 2a-b= 2 2-1=2当且仅当 a=-1, b=1时取等号,应选 D.2 26.《几何本来》卷 2 的几何代数法 (以几何方法研究代数问题 )成了后代西方数学家办理问题的重要依照,经过这一原理,好多的代数的公义或定理都能够经过图形实现证明,也称之为无字证明 .现犹如下图图形,点 F 在半圆 O 上,点 C 在直径 AB 上,且 OF ⊥ AB,设 AC= a,BC= b,则该图形能够达成的无字证明为()a+ bA.2≥ ab(a>0,b>0)B.a2+b2≥ 2 ab(a>0, b>0)C.2ab≤ ab(a>0 , b>0)+b a a+ b a2+ b2D. 2 ≤2 (a>0 , b>0)答案 D分析由 AC= a,BC = b,可得圆 O 的半径 r =a+b,2又 OC=OB- BC=a+b- b=a-b,2 2a- b 2 a+ b 2 a2+b2,则 FC 2= OC2+ OF2=+=4 4 2再依据题图知FO ≤ FC,即a+ b a2+ b2≤,当且仅当 a= b 时取等号 .应选 D.2 27.设 x, y 均为正数,且 xy+x- y- 10= 0,则 x+ y 的最小值是 ________. 答案 6分析由 xy+ x-y- 10= 0,得 x=y+10=9+ 1,y+ 1 y+ 1∴ x+ y=9+ 1+ y≥ 2 9y+ 1 y+1·1+ y = 6,9当且仅当=1+ y ,即 y = 2 时,等号成立 .98.设正项等比数列 { a n } 的前 n 项和为 S n ,若 S 7- S 5= 3(a 4+ a 5),则 4a 3+a 7的最小值为 ________.答案4分析设正项等比数列 { a n } 的公比为 q(q>0) ,∵ S 7- S 5= a 7+ a 6= 3(a 4 +a 5),∴a 7+a 6= q 2=3.a 5+ a 4∴ 4a9=4a 9 = 4a 1 ≥ 2 4a 1= 4, 3+7 3+4 3+33·3a 3aa qa当且仅当 4a 31,即 a 31时等号成立 .=a 3= 2∴ 4a 3+ 9的最小值为 4.a 79.已知△ ABC 的角 A ,B ,C 的对边分别为 a ,b ,c ,若 a 2= b 2+ c 2- bc ,且△ ABC 的面积为33,4则 a 的最小值为 ________. 答案3分析 由题意得 b 2+ c 2- a 2= bc ,∴ 2bccos A = bc ,1 π ∴ cos A = , ∴A = .23∵△ ABC 的面积为33,4∴ 1bcsin A = 3 3, ∴ bc = 3.24∵ a 2= b 2+ c 2- bc ,∴ a 2≥ 2bc - bc = bc = 3(当且仅当 b = c 时,等号成立 ),∴ a ≥ 3.10.已知 a , b 为正实数,且 (a - b)2= 4(ab)3,则1a + 1b 的最小值为 ________.答案2 2分析由题意得 (a - b)2 =(a + b)2-4ab ,代入已知得 (a + b)2= 4(ab)3+ 4ab ,两边同除以 (ab)2得a +b 2=4 ab 3 4ab ab 2 2 + 2 2a ba b = 4 ab + 1≥4·21ab ab · = 8,ab当且仅当 ab = 1 时取等号 .所以 1+1≥2 2,a b即1a +1b 的最小值为 2 2.11.已知 x>0 , y>0 ,且 2x + 5y = 20.(1)求 u = lg x + lg y 的最大值;1 1(2)求 x + y 的最小值 . 解 (1) ∵ x>0, y>0,∴ 由均值不等式,得 2x +5y ≥ 2 10xy.∵ 2x +5y = 20,∴ 2 10xy ≤20, xy ≤ 10,当且仅当 2x = 5y 时,等号成立 .所以有2x + 5y = 20,2x = 5y ,解得x =5,y = 2,此时 xy 有最大值 10.∴ u = lg x +lg y = lg( xy)≤ lg 10 = 1.∴ 当 x = 5, y = 2 时, u = lg x + lg y 有最大值 1.(2)∵ x>0, y>0,∴ 1+1= 1+ 1 2x + 5yx yx y ·20= 1 7+ 5y + 2x ≥ 17+ 2 5y 2x 20 x y 20 ·x y=7+ 2 10,20当且仅当5y = 2x时,等号成立 .x y2x +5y = 20, x =10 10- 20, 由5y 2x 解得3= 20- 4 10x , y = . y3∴ 1+1的最小值为 7+ 2 10.x y2012.某人准备在一块占地面积为 1 800 平方米的矩形地块中间建三个矩形温室大棚,大棚四周均是宽为 1 米的小道 (如下图 ),大棚占地面积为S 平方米,此中 a ∶b = 1∶ 2.(1)试用 x, y 表示 S;(2)若要使 S 的值最大,则x, y 的值各为多少?解 (1) 由题意可得 xy=1 800, b= 2a,则 y=a+ b+ 3=3a+ 3,所以 S= (x- 2)a+ (x- 3)b= (3x- 8)a= (3x- 8) y-3= 1 808-3x-8 y(x>3, y>3).3 3(2)方法一S= 1 808-3x-8×1 800 3x= 1 808- 3x+ 4 800 ≤1 808- 2 3x×4 800x x =1 808- 240=1 568,当且仅当3x=4 800,即 x= 40 时等号成立, S 获得最大值,此时y=1 800= 45,x x所以当 x= 40, y= 45 时, S 获得最大值 .方法二设 S=f(x)= 1 808- 3x+4 800(x>3) ,x则 f′ (x)=4 8002 -3=3 40- x 2 40+ xx x令 f′ (x)= 0,则 x= 40,当 0<x<40 时, f′ (x)>0 ;当 x>40 时, f′ (x)<0.所以当 x= 40 时, S 获得最大值,此时,y= 45.13.在△ ABC 中,角 A ,B , C 的对边分别为 a ,b ,c ,若2a - c = cos C,b =4,则△ ABC 面积bcos B的最大值为 ( ) A.4 3B.23答案 A2a - c cos C分析 ∵ b= cos B ,∴ (2a - c)cos B = bcos C ,由正弦定理得 (2sin A -sin C)cos B = sin Bcos C ,∴ 2sin Acos B = sin Ccos B + sin Bcos C = sin(B + C) =sin A.又 sin A ≠0, ∴ cos B = 1. 2π ∵ 0<B<π, ∴ B = 3. 由余弦定理得b 2=16= a 2+c 2- 2accos= a 2+ c 2- ac ≥ 2ac - ac = ac ,π3∴ ac ≤16,当且仅当 a = c 时等号成立 .1 π 1× 16× 3=4 3.∴ S △ABC = acsin≤ 2 2 3 2故 △ABC 面积的最大值为 4 3.应选 A.2214.已知 P 为椭圆 x+ y= 1 上一个动点, 过点 P 作圆 (x + 1)2+ y 2= 1 的两条切线, 切点分别是4 3→ →的取值范围为 ( )A ,B ,则 PA ·PB3,+∞3, 56A. 2B. 2 956D.[ 2 2-3,+∞) C. 2 2-3,9答案 C分析如图,由题意设∠APB= 2θ,则 |PA|= |PB |=1,tan θ→→ →→∴ PA·PB=|PA||PB|cos 2θ=1 1+ cos 2θ2·cos 2θ=·cos 2θ,tan θ1- cos 2θ设 cos 2θ= t,→ →=t 1+t = (1- t)+2- 3则 PA·PB 1- t 1- t≥21- t ·2-3= 2 2- 3,1- t2当且仅当1- t=,即t=1-2时等号成立,此时 cos 2θ= 1-2.1又当点 P 在椭圆的右极点时,sin θ=,∴cos 2θ= 1- 2sin2θ=79,7→ →最大,且最大值为1+9 7 56此时 PA·PB 7 × =9 .9 1-9→ →56∴ PA·PB的取值范围是 2 2-3,9 .应选 C.15.已知正三棱柱 ABC -A 1B 1C 1,侧面 BCC 1B 1 的面积为4 6,则该正三棱柱外接球表面积的最小值为 ( )A.24 πB.16 2πC.8 πD.4 π答案 B分析 设 BC = a ,CC 1= b ,则 ab = 4 6, 底面三角形外接圆的半径为 r ,则 a = 2r , ∴r =3sin 60 ° 3 a.所以 R 2= b 2+ 3 a 2= b 2 a 22 3 +34 ≥ 2 b 2 a 2 96 = 4 2,4 · = 2123 当且仅当 a =3时,等号成立 .2 b所以该正三棱柱外接球表面积的最小值为4π× 4 2= 16 2π.16.已知曲线 C : y 2= 2x + a 在点 P n ( n , 2n + a)( a>0 ,n ∈ N)处的切线 l n 的斜率为 k n ,直线 l n交 x 轴、 y 轴分别于点 A n (x n,0), B n (0,y n ),且 |x 0 |= |y 0|.给出以下结论:① a = 1;2 3②当 n ∈ N + 时, y n 的最小值为 3 ;③当 n ∈ N + 时, k n > 2sin1 ;2n + 1④当 n ∈ N + 时,记数列 { k n } n nn + 1-1).的前 n 项和为 S ,则 S< 2( 此中,正确的结论有 ________.( 写出全部正确结论的序号)答案①②④1分析令 y=(2x+ a) 2,-1-1所以 y′=21(2 x+ a) 2× 2=(2x+a) 2 ,1k n=(2 n a) 2,1所以 l n: y- 2n+ a=(2 n a) 2(x-n),所以 x0=- a, y0= a,∴ a= a∴ a= 1,① 对;令 t=2n+ 1≥3,所以 y n= 2n+1-n t2-1 1 1,= t-= t+2n+ 1 2t 2 2t所以 y n≥13+1=2 3,②对;2 23 31,令 f(x)=x- 2sin x x∈ 0,3所以 f′ (x)= 1- 2cos x<0,所以 f(x)<f(0) = 0,即 1 < 2sin 1 ,③ 错;2n+ 12n+ 1由于 k n=1 2= 2( n+ 1- n),<2n+1 n+ 1+ n所以 S n=k1+k2++ k n< 2( 2- 1)+ 2( 3- 2)++ 2( n+1- n)= 2( n+ 1- 1),④对 .。
高考数学考点均值不等式全解2.平均值不等式名师点拨:1.定理2的常见变形2.利用平均值不等式求最值对两个正实数a,b.(1)若它们的和S是定值,则当且仅当x=y时,它们的积P取得最大值;(2)若它们的积P是定值,则当且仅当x=y时,它们的和S取得最小值.对于三个正数a,b,c.利用平均值不等式求最值的条件是“一正、二定、三相等”,即:(1)各项或各因式均为正;(2)和或积为定值;(3)各项或各因式能取得相等的值.01利用平均值不等式求最值分析:根据题设条件,合理变形,创造出能应用平均值不等式的条件和形式,然后应用平均值不等式求解.反思感悟平均值不等式的基本功能在于“和与积”的相互转化,利用平均值不等式求最值时,给定的形式不一定能直接应用平均值不等式,往往需要拆添项或配凑因式(一般是凑积或和是定值的形式),构造出平均值不等式的形式再进行求解,求解时一定注意平均值不等式成立的条件:①各项或各因式应为正;②和或积为定值;③各项或各因式能取到使等号成立的值,简记为:“一正、二定、三相等”02利用平均值不等式证明不等式分析:(1)考虑到a+b+c=1,可将不等式左边每个括号中分子上的1替换为a+b+c,化简后再利用平均值不等式,然后根据不等式的性质证明.(2)因为左边有分式,也有整式的形式,所以要两次利用平均值不等式.反思感悟:利用平均值不等式证明不等式的方法与技巧(1)用平均值不等式证明不等式时,应首先依据不等式两边式子的结构特点进行恒等变形,使之具备平均值不等式的结构和条件,然后合理地选择平均值不等式或其变形形式进行证明.(2)对含条件的不等式的证明问题,要将条件与结论结合起来,找出变形的思路,构造出平均值不等式,切忌两次使用平均值不等式用传递性证明,因为这样有可能导致等号不能取到.03利用平均值不等式解决实际问题【例3】已知26辆货车以相同速度v由A地驶向400 km处的B地,每两辆货车间距离为d km,现知d与速度v的平方成正比,且当v=20 km/h时,d=1 km.(1)写出d关于v的函数关系式;(2)若不计货车的长度,则26辆货车都到达B地最少需要多少小时?此时货车速度为多少?分析:对于(1),可由已知数据代入求得;(2)先列出时间与速度的关系式,再借助平均值不等式求解.反思感悟:利用平均值不等式求解实际问题时的注意点(1)设变量时一般要把求最大值或最小值的变量定义为函数;(2)根据实际问题抽象出函数的解析式后,只需利用平均值不等式求得函数的最值;(3)在求函数的最值时,一定要在定义域(使实际问题有意义的自变量的取值范围)内求解.均值不等式的解题方法均值不等式是求函数最值的一个重要工具,同时也是高考常考的一个重要知识点。
均值不等式等号成立的常见错误及解决途径第一篇:均值不等式等号成立的常见错误及解决途径均值不等式等号成立的常见错误及解决途径湖北省郭松不等式的应用是高中数学的重难点,众所周知在均值不等式的应用中应该注意等号成立的条件。
由于对公式的理解不够透彻,会造成一些错误。
一、常见错误1.不能正确判断公式中的a,b例1:已知x∈(0,值?错解:y=x(1-2x)=当x=1-2x即x=1),求函数y=x(1-2x)的最大值,并判断当x为何值时函数取最大2112x+1-2x212x(1-2x)≤()= 22281时等号成立31时等号成4以上解答错误地判断了均值不等式中的a,b。
解答应为当2x=1-2x,当x=立2.错误理解a=b时等号成立例2:已知函数y=x+1(x∈R)求函数的值域错解:y=x+1≥2x,当x=1时等号成立,故y≥2显然解答错误,但许多同学对错误原因不了解。
首先y=x+1≥2x,当x=1时等号成立是正确的。
但并不代表函数的最小值为2,例如x=1时 y=2=2x,x=2222+15时y=>1=2x。
如右图,我们可以 24发现y=x+1≥2x,当x=1时等号成立。
但正确解答为y>1二、解决途径1.利用单调性例3:已知函数y=sinx+解:Θ函数y=x+24,求函数的值域sin2x42在x∈(0,2)函数单调递减,且044∴函数y=sin2x+2≥1+=5 1sinx∴ y∈[5,+∞)因为以上题型是高中常见题,所以我们不妨记一下。
函数y=x+a(a为正常x数,x>0)。
x∈(0,a函数单调递减,x∈]a,+∞函数单调递增。
利用函数的单调性证)明不等式是证明不等式的一种通法。
理论上说不等式都能用函数单调性解答。
2.通过配系数同例3:方法2:(略解)sinx+44222=4 sinx+-3 sinx8-3sinx≥5 ≥22sinxsinx413322方法3:(略解)sinx+= sinx++ 2+≥≥5 sin2xsin2xsin2xsin2x2充分利用,理解不等式等号成立的条件是配系数的关键3.利用换元法例4:已知a+b=1,m+n=9.求am+bn的最大值错解:10= a+b+m+n≥2(am+bn)得:am+bn≤5显然等号不能成立正解:设:a=sinα,b=cosα,m=3sinβ,n=3cosβ得am+bn=3cos(α-β)≤34.构造向量利用向量的性质z1z2≥z1z2同例4:设z1=(a,b),z2=(m,n)得z1z2=am+bn≤z1z2=a2+b222222222m2+n2=3 加强多种方法的解答,注意各部分知识的联系。
第2节 均值不等式及其应用最新考纲 1.了解均值不等式的证明过程;2.会用均值不等式解决简单的最大(小)值问题.知 识 梳 理1.均值不等式:ab ≤a +b2(1)均值不等式成立的条件:a ≥0,b ≥0. (2)等号成立的条件:当且仅当a =b 时取等号.(3)其中a +b2称为正数a ,b 的算术平均数,ab 称为正数a ,b 的几何平均数. 2.两个重要的不等式(1)a 2+b 2≥2ab (a ,b ∈R ),当且仅当a =b 时取等号. (2)ab ≤⎝⎛⎭⎪⎫a +b 22(a ,b ∈R ),当且仅当a =b 时取等号. 3.利用均值不等式求最值 已知x ≥0,y ≥0,则(1)如果积xy 是定值p ,那么当且仅当x =y 时,x +y 有最小值是2p (简记:积定和最小).(2)如果和x +y 是定值s ,那么当且仅当x =y 时,xy 有最大值是s 24(简记:和定积最大). [微点提醒]1.b a +ab ≥2(a ,b 同号),当且仅当a =b 时取等号. 2.ab ≤⎝⎛⎭⎪⎫a +b 22≤a 2+b 22.3.21a+1b≤ab≤a+b2≤a2+b22(a>0,b>0).基础自测1.判断下列结论正误(在括号内打“√”或“×”)(1)两个不等式a2+b2≥2ab与a+b2≥ab成立的条件是相同的.()(2)函数y=x+1x的最小值是2.()(3)函数f(x)=sin x+4sin x的最小值为4.()(4)x>0且y>0是xy+yx≥2的充要条件.()解析(1)不等式a2+b2≥2ab成立的条件是a,b∈R;不等式a+b2≥ab成立的条件是a≥0,b≥0.(2)函数y=x+1x的值域是(-∞,-2]∪[2,+∞),没有最小值.(3)函数f(x)=sin x+4sin x没有最小值.(4)x>0且y>0是xy+yx≥2的充分不必要条件.答案(1)×(2)×(3)×(4)×2.(必修5P73B2改编)若x>0,y>0,且x+y=18,则xy的最大值为()A.9B.18C.36D.81解析因为x+y=18,所以xy≤x+y2=9,当且仅当x=y=9时,等号成立. 答案 A3.(必修5P73A8改编)若x<0,则x+1x()A.有最小值,且最小值为2B.有最大值,且最大值为2C.有最小值,且最小值为-2D.有最大值,且最大值为-2 解析 因为x <0,所以-x >0,-x+1-x≥21=2,当且仅当x =-1时,等号成立,所以x +1x ≤-2. 答案D4.(2019·鞍山模拟)已知f (x )=x 2-2x +1x ,则f (x )在⎣⎢⎡⎦⎥⎤12,3上的最小值为( )A.12B.43C.-1D.0 解析 f (x )=x 2-2x +1x =x +1x -2≥2-2=0,当且仅当x =1x ,即x =1时取等号. 又1∈⎣⎢⎡⎦⎥⎤12,3,所以f (x )在⎣⎢⎡⎦⎥⎤12,3上的最小值为0.答案 D5.(2018·呼和浩特模拟)一段长为30 m 的篱笆围成一个一边靠墙的矩形菜园,墙长18 m ,则这个矩形的长为________m ,宽为________m 时菜园面积最大. 解析 设矩形的长为x m ,宽为y m.则x +2y =30, 所以S =xy =12x ·(2y )≤12⎝⎛⎭⎪⎫x +2y 22=2252,当且仅当x =2y , 即x =15,y =152时取等号. 答案 15 1526.(2018·天津卷)已知a ,b ∈R ,且a -3b +6=0,则2a +18b 的最小值为________.解析 由题设知a -3b =-6,又2a >0,8b >0,所以2a +18b ≥22a ·18b =2·2a -3b2=14,当且仅当2a =18b ,即a =-3,b =1时取等号.故2a +18b 的最小值为14.答案 14考点一 利用均值不等式求最值 多维探究角度1 通过配凑法求最值【例1-1】 (2019·乐山一中月考)设0<x <32,则函数y =4x (3-2x )的最大值为________.解析 y =4x (3-2x )=2[2x (3-2x )] ≤2⎣⎢⎡⎦⎥⎤2x +(3-2x )22=92, 当且仅当2x =3-2x ,即x =34时,等号成立.∵34∈⎝ ⎛⎭⎪⎫0,32,∴函数y =4x (3-2x )⎝ ⎛⎭⎪⎫0<x <32的最大值为92.答案 92角度2 通过常数代换法求最值【例1-2】若直线x a +yb =1(a >0,b >0)过点(1,2),则2a +b 的最小值为________. 解析 由题设可得1a +2b =1,∵a >0,b >0,∴2a +b =(2a +b )⎝ ⎛⎭⎪⎫1a +2b =2+b a +4a b +2≥4+2b a ·4ab =8⎝ ⎛⎭⎪⎫当且仅当b a =4a b ,即b =2a 时,等号成立. 故2a +b 的最小值为8. 答案 8规律方法 在利用均值不等式求最值时,要根据式子的特征灵活变形,配凑出积、和为常数的形式,主要有两种思路:(1)对条件使用均值不等式,建立所求目标函数的不等式求解.常用的方法有:折项法、变系数法、凑因子法、换元法、整体代换法等. (2)条件变形,进行“1”的代换求目标函数最值.【训练1】 (1)(2019·济南联考)若a >0,b >0且2a +b =4,则1ab 的最小值为( )A.2B.12C.4D.14(2)已知x <54,则f (x )=4x -2+14x -5的最大值为______.解析 (1)因为a >0,b >0,故2a +b ≥22ab (当且仅当2a =b 时取等号). 又因为2a +b =4, ∴22ab ≤4⇒0<ab ≤2,∴1ab ≥12,故1ab 的最小值为12(当且仅当a =1,b =2时等号成立).(2)因为x <54,所以5-4x >0,则f (x )=4x -2+14x -5=-⎝⎛⎭⎪⎫5-4x +15-4x +3 ≤-2(5-4x )·15-4x+3=-2+3=1.当且仅当5-4x =15-4x,即x =1时,等号成立. 故f (x )=4x -2+14x -5的最大值为1. 答案 (1)B (2)1考点二 均值不等式在实际问题中的应用【例2】 运货卡车以每小时x 千米的速度匀速行驶130千米,按交通法规限制50≤x ≤100(单位:千米/时).假设汽油的价格是每升2元,而汽车每小时耗油⎝ ⎛⎭⎪⎫2+x 2360升,司机的工资是每小时14元. (1)求这次行车总费用y 关于x 的表达式;(2)当x 为何值时,这次行车的总费用最低,并求出最低费用的值.解 (1)设所用时间为t =130x (h),y =130x ×2×⎝ ⎛⎭⎪⎫2+x 2360+14×130x ,x ∈[50,100].所以,这次行车总费用y 关于x 的表达式是y =130×18x+2×130360x ,x ∈[50,100](或y =2 340x +1318x ,x ∈[50,100]).(2)y =130×18x+2×130360x ≥2610,当且仅当130×18x =2×130360x ,即x =1810时等号成立.故当x =1810千米/时,这次行车的总费用最低,最低费用的值为2610元. 规律方法 1.设变量时一般要把求最大值或最小值的变量定义为函数. 2.根据实际问题抽象出函数的解析式后,只需利用均值不等式求得函数的最值. 3.在求函数的最值时,一定要在定义域(使实际问题有意义的自变量的取值范围)内求解.【训练2】 网店和实体店各有利弊,两者的结合将在未来一段时期内,成为商业的一个主要发展方向.某品牌行车记录仪支架销售公司从2019年1月起开展网络销售与实体店体验安装结合的销售模式.根据几个月运营发现,产品的月销量x 万件与投入实体店体验安装的费用t 万元之间满足函数关系式x =3-2t +1.已知网店每月固定的各种费用支出为3万元,产品每1万件进货价格为32万元,若每件产品的售价定为“进货价的150%”与“平均每件产品的实体店体验安装费用的一半”之和, 则该公司最大月利润是________万元.解析由题意知t =23-x -1(1<x <3),设该公司的月利润为y 万元,则y =⎝ ⎛⎭⎪⎫48+t 2x x -32x -3-t =16x -t 2-3=16x -13-x +12-3=45.5-⎣⎢⎡⎦⎥⎤16(3-x )+13-x ≤45.5-216=37.5,当且仅当x =114时取等号,即最大月利润为37.5万元. 答案 37.5考点三 均值不等式的综合应用【例3】 (1)(2019·河南八校测评)已知等差数列{a n }中,a 3=7,a 9=19,S n 为数列{a n }的前n 项和,则S n +10a n +1的最小值为________.(2)(一题多解)(2018·江苏卷)在△ABC 中,角A ,B ,C 所对的边分别为a ,b ,c ,∠ABC =120°,∠ABC 的平分线交AC 于点D ,且BD =1,则4a +c 的最小值为________.解析 (1)∵a 3=7,a 9=19, ∴d =a 9-a 39-3=19-76=2,∴a n =a 3+(n -3)d =7+2(n -3)=2n +1, ∴S n =n (3+2n +1)2=n (n +2),因此S n +10a n +1=n (n +2)+102n +2=12⎣⎢⎡⎦⎥⎤(n +1)+9n +1 ≥12×2(n +1)·9n +1=3,当且仅当n =2时取等号.故S n +10a n +1的最小值为3.(2)法一 依题意画出图形,如图所示.易知S △ABD +S △BCD =S △ABC ,即12c sin 60°+12a sin 60°=12ac sin 120°, ∴a +c =ac ,∴1a +1c =1,∴4a +c =(4a +c )⎝ ⎛⎭⎪⎫1a +1c =5+c a +4a c ≥9,当且仅当c a =4a c ,即a =32,c =3时取“=”.法二 以B 为原点,BD 所在直线为x 轴建立如图所示的平面直角坐标系,则D (1,0),∵AB =c ,BC =a , ∴A ⎝ ⎛⎭⎪⎫c 2,32c ,C ⎝ ⎛⎭⎪⎫a 2,-32a .∵A ,D ,C 三点共线,∴AD →∥DC →.∴⎝ ⎛⎭⎪⎫1-c 2⎝ ⎛⎭⎪⎫-32a +32c ⎝ ⎛⎭⎪⎫a 2-1=0, ∴ac =a +c ,∴1a +1c =1,∴4a +c =(4a +c )⎝ ⎛⎭⎪⎫1a +1c =5+c a +4a c ≥9,当且仅当c a =4a c , 即a =32,c =3时取“=”. 答案 (1)3 (2)9规律方法 均值不等式的应用非常广泛,它可以和数学的其他知识交汇考查,解决这类问题的策略是:1.先根据所交汇的知识进行变形,通过换元、配凑、巧换“1”等手段把最值问题转化为用均值不等式求解,这是难点.2.要有利用均值不等式求最值的意识,善于把条件转化为能利用均值不等式的形式.3.检验等号是否成立,完成后续问题.【训练3】 (1)(2019·厦门模拟)已知f (x )=32x -(k +1)3x +2,当x ∈R 时,f (x )恒为正值,则k 的取值范围是( ) A.(-∞,-1)B.(-∞,22-1)C.(-1,22-1)D.(-22-1,22-1)(2)在各项都为正数的等比数列{a n }中,若a 2 018=22,则1a 2 017+2a 2 019的最小值为________.解析 (1)由f (x )>0得32x -(k +1)3x +2>0,解得k +1<3x +23x . 又3x +23x ≥22(当且仅当3x =23x ,即x =log 3 2时,等号成立). 所以k +1<22,即k <22-1.(2)∵{a n }为等比数列,∴a 2 017·a 2 019=a 22 018=12. ∴1a2 017+2a2 019≥22a 2 017·a 2 019=24=4.当且仅当1a 2 017=2a 2 019,即a 2 019=2a 2 017时,取得等号.∴1a 2 017+2a 2 019的最小值为4. 答案 (1)B (2)4[思维升华]1.均值不等式具有将“和式”转化为“积式”和将“积式”转化为“和式”的放缩功能,常常用于比较数(式)的大小或证明不等式,解决问题的关键是分析不等式两边的结构特点,选择好利用均值不等式的切入点.2.对于均值不等式,不仅要记住原始形式,而且还要掌握它的几种变形形式及公式的逆用等,同时还要注意不等式成立的条件和等号成立的条件.3.对使用均值不等式时等号取不到的情况,可考虑使用函数y =x +mx (m >0)的单调性. [易错防范]1.使用均值不等式求最值,“一正”“二定”“三相等”三个条件缺一不可.2.连续使用均值不等式求最值要求每次等号成立的条件一致.基础巩固题组 (建议用时:35分钟)一、选择题1.(2019·孝感调研)“a >b >0”是“ab <a 2+b 22”的( ) A.充分不必要条件 B.必要不充分条件 C.充要条件D.既不充分也不必要条件解析 由a >b >0,可知a 2+b 2>2ab ,充分性成立,由ab <a 2+b 22,可知a ≠b ,a ,b ∈R ,故必要性不成立. 答案 A2.下列结论正确的是( ) A.当x >0且x ≠1,lg x +1lg x ≥2B.1x 2+1<1(x ∈R ) C.当x >0时,x +1x ≥2D.当0<x ≤2时,x -1x 无最大值解析 对于A ,当0<x <1时,lg x <0,不等式不成立; 对于B ,当x =0时,有1x 2+1=1,不等式不成立; 对于C ,当x >0时,x +1x≥2x ·1x=2,当且仅当x =1时等号成立; 对于D ,当0<x ≤2时,y =x -1x单调递增,所以当x =2时,取得最大值,最大值为32. 答案 C3.(2018·绵阳诊断)已知x >1,y >1,且lg x ,2,lg y 成等差数列,则x +y 有( ) A.最小值20 B.最小值200 C.最大值20 D.最大值200解析 由题意得2×2=lg x +lg y =lg (xy ),所以xy =10 000,则x +y ≥2xy =200,当且仅当x =y =100时,等号成立,所以x +y 有最小值200. 答案 B4.设a >0,若关于x 的不等式x +ax -1≥5在(1,+∞)上恒成立,则a 的最小值为( ) A.16B.9C.4D.2解析 在(1,+∞)上,x +a x -1=(x -1)+a x -1+1≥2(x -1)×a(x -1)+1=2a +1(当且仅当x =1+a 时取等号).由题意知2a +1≥5.所以a ≥4. 答案 C5.(2019·太原模拟)若P 为圆x 2+y 2=1上的一个动点,且A (-1,0),B (1,0),则|P A |+|PB |的最大值为( ) A.2B.2 2C.4D.4 2解析 由题意知∠APB =90°,∴|P A |2+|PB |2=4,∴⎝ ⎛⎭⎪⎫|P A |+|PB |22≤|P A |2+|PB |22=2(当且仅当|P A |=|PB |时取等号),∴|P A |+|PB |≤22,∴|P A |+|PB |的最大值为2 2. 答案 B6.某车间分批生产某种产品,每批产品的生产准备费用为800元,若每批生产x 件,则平均仓储时间为x8天,且每件产品每天的仓储费用为1元.为使平均到每件产品的生产准备费用与仓储费用之和最小,每批应生产产品( ) A.60件 B.80件 C.100件D.120件解析 设每批生产产品x 件,则每件产品的生产准备费用是800x 元,仓储费用是x8元,总的费用是⎝⎛⎭⎪⎫800x +x 8元,由均值不等式得800x +x 8≥2800x +x8=20,当且仅当800x =x8,即x =80时取等号. 答案 B7.若实数a ,b 满足1a +2b =ab ,则ab 的最小值为( ) A. 2B.2C.2 2D.4解析 依题意知a >0,b >0,则1a +2b ≥22ab =22ab ,当且仅当1a =2b ,即b =2a 时,“=”成立. 因为1a +2b =ab ,所以ab ≥22ab,即ab ≥22(当且仅当a =214,b =254时等号成立), 所以ab 的最小值为2 2. 答案 C8.(2019·衡水中学质检)正数a ,b 满足1a +9b =1,若不等式a +b ≥-x 2+4x +18-m 对任意实数x 恒成立,则实数m 的取值范围是( ) A.[3,+∞) B.(-∞,3] C.(-∞,6]D.[6,+∞)解析 因为a >0,b >0,1a +9b =1,所以a +b =(a +b )⎝ ⎛⎭⎪⎫1a +9b =10+b a +9a b ≥16, 当且仅当b a =9ab ,即a =4,b =12时取等号.依题意,16≥-x 2+4x +18-m ,即x 2-4x -2≥-m 对任意实数x 恒成立. 又x 2-4x -2=(x -2)2-6,所以x 2-4x -2的最小值为-6,所以-6≥-m ,即m ≥6. 答案 D 二、填空题9.正数a ,b 满足ab =a +b +3,则ab 的取值范围是________.解析 ∵a ,b 是正数,∴ab =a +b +3≥2ab +3(当且仅当a =b =3时等号成立),解得ab ≥3,即ab ≥9. 答案 [9,+∞)10.某公司购买一批机器投入生产,据市场分析,每台机器生产的产品可获得的总利润y (单位:万元)与机器运转时间x (单位:年)的关系为y =-x 2+18x -25(x ∈N +),则每台机器为该公司创造的年平均利润的最大值是________万元.解析 每台机器运转x 年的年平均利润为y x =18-⎝ ⎛⎭⎪⎫x +25x ,而x >0,故y x ≤18-225=8,当且仅当x =5时等号成立,此时每台机器为该公司创造的年平均利润最大,最大值为8万元. 答案 811.(2019·合肥调研)设x ,y满足约束条件⎩⎨⎧y ≤x +1,y ≥2x -1,x ≥0,y ≥0,若目标函数z =abx +y (a >0,b >0)的最大值为35,则a +b 的最小值为________.解析 可行域如图所示,当直线abx +y =z (a >0,b >0)过点B (2,3)时,z 取最大值2ab +3.于是有2ab +3=35,ab =16.所以a +b ≥2ab =8,当且仅当a =b =4时等号成立, 所以(a +b )min =8. 答案 812.已知直线mx +ny -2=0经过函数g (x )=log a x +1(a >0且a ≠1)的定点,其中mn >0,则1m +1n 的最小值为________.解析 因为函数g (x )=log a x +1(a >0且a ≠1)的定点(1,1)在直线mx +ny -2=0上,所以m +n -2=0,即m 2+n2=1.所以1m +1n =⎝ ⎛⎭⎪⎫1m +1n ⎝ ⎛⎭⎪⎫m 2+n 2=1+n 2m +m 2n≥1+2n 2m ·m2n =2, 当且仅当n 2m =m2n ,即m =n =1时取等号,所以1m +1n 的最小值为2. 答案 2能力提升题组 (建议用时:15分钟)13.(2018·江西师范大学附属中学月考)若向量m =(a -1,2),n =(4,b ),且m ⊥n ,a >0,b >0,则log 13a +log 3 1b 有( )A.最大值log 3 12 B.最小值log 32 C.最大值log 1312D.最小值0解析 由m ⊥n ,得m ·n =0,即4(a -1)+2b =0,∴2a +b =2,∴2≥22ab ,∴ab ≤12(当且仅当2a =b 时,等号成立). 又log 13a +log 3 1b =log 13a +log 13b =log 13ab ≥log 1312=log 3 2,故log 13a +log 3 1b 有最小值为log 3 2.答案 B14.(2019·湖南师大附中模拟)已知△ABC 的面积为1,内切圆半径也为1,若△ABC 的三边长分别为a ,b ,c ,则4a +b+a +b c 的最小值为( ) A.2B.2+ 2C.4D.2+2 2解析 因为△ABC 的面积为1,内切圆半径也为1, 所以12(a +b +c )×1=1,所以a +b +c =2,所以4a +b +a +b c =2(a +b +c )a +b +a +b c =2+2ca +b +a +bc ≥2+22,当且仅当a +b =2c ,即c =22-2时,等号成立, 所以4a +b +a +b c 的最小值为2+2 2.答案 D15.若a ,b ∈R ,ab >0,则a 4+4b 4+1ab 的最小值为________.解析 ∵a ,b ∈R ,ab >0,∴a 4+4b 4+1ab ≥4a 2b 2+1ab =4ab +1ab ≥24ab ·1ab =4,当且仅当⎩⎨⎧a 2=2b 2,4ab =1ab ,即⎩⎪⎨⎪⎧a 2=22,b 2=24时取得等号. 答案 416.已知函数f (x )=x 2+ax +11x +1(a ∈R ),若对于任意的x ∈N +,f (x )≥3恒成立,则a的取值范围是________. 解析 对任意x ∈N +,f (x )≥3, 即x 2+ax +11x +1≥3恒成立,即a ≥-⎝ ⎛⎭⎪⎫x +8x +3.设g (x )=x +8x ,x ∈N +,则g (x )=x +8x ≥42, 当x =22时等号成立,又g (2)=6,g (3)=173, ∵g (2)>g (3),∴g (x )min =173.∴-⎝ ⎛⎭⎪⎫x +8x +3≤-83,∴a ≥-83,故a 的取值范围是⎣⎢⎡⎭⎪⎫-83,+∞.答案 ⎣⎢⎡⎭⎪⎫-83,+∞。
专题05 均值不等式及其应用高考命题对基本不等式的考查比较灵活,重点考查应用基本不等式确定最值(范围)问题、证明不等式、解答函数不等式恒成立等问题.独立考查以选择、填空为主,有时以应用题的形式出现.有时与三角函数、数列、解析几何、平面向量函数等相结合,考查考生应用数学知识的灵活性.【重点知识回眸】1. 基本不等式 ab ≤a +b 2(1)基本不等式成立的条件:a >0,b >0. (2)等号成立的条件:当且仅当a =b . 2.几个重要的不等式(1))2,0a b ab a b +≥>:多用在求和式的最小值且涉及求和的项存在乘积为定值的情况(2)22a b ab +⎛⎫≤ ⎪⎝⎭,,a b R ∈:多用在求乘积式的最大值且涉及乘积的项存在和为定值的情况(3)222a b ab +≥,,a b R ∈(4)222()22a b a b ++≤,,a b R ∈ (5)2,,b aa b a b+≥同号且不为零 (6)重要不等式链 若a ≥b >0,则a ≥a 2+b 22≥a +b 2≥ab ≥2aba +b≥b . 上述不等式,当且仅当a =b 时等号成立 3.算术平均数与几何平均数设a >0,b >0,则a ,b 的算术平均数为a +b2,几何平均数为ab ,基本不等式可叙述为:两个正数的算术平均数不小于它们的几何平均数. 4.利用基本不等式求最值问题 已知x >0,y >0,则(1)x +y ≥2xy ,若xy 是定值p ,那么当且仅当x =y 时,x +y 有最小值2p (简记:积定和最小). (2)xy ≤⎝⎛⎭⎫x +y 22,若x +y 是定值q ,那么当且仅当x =y 时,xy 有最大值q 24(简记:和定积最大).提醒:在应用基本不等式求最值时,一定要检验求解的前提条件:“一正、二定、三相等”,其中等号能否取到易被忽视.特别是:① 若求最值的过程中多次使用均值不等式,则均值不等式等号成立的条件必须能够同时成立(彼此不冲突)② 若涉及的变量有初始范围要求,则使用均值不等式后要解出等号成立时变量的值,并验证是否符合初始范围.5、常见求最值的题目类型 (1)构造乘积与和为定值的情况 (2)已知1ax by +=(a 为常数),求m nx y+的最值, 此类问题的特点在于已知条件中变量位于分子(或分母)位置上,所求表达式变量的位置恰好相反,位于分母(或分子)上,则可利用常数“1”将已知与所求进行相乘,从而得到常数项与互为倒数的两项,然后利用均值不等式求解.(3)运用均值不等式将方程转为所求式子的不等式,通过解不等式求解: 例如:已知0,0,24x y x y xy >>++=,求2x y +的最小值解:()22211222228x y x y xy x y ++⎛⎫=⋅⋅≤= ⎪⎝⎭所以()()2224248x y x y xy x y +++=⇒++≥即()()2282320x y x y +++-≥,可解得234x y +≥,即()min 2434x y += 注:此类问题还可以通过消元求解:42241xx y xy y x -++=⇒=+,在代入到所求表达式求出最值即可,但要注意0y >的范围由x 承担,所以()0,2x ∈【典型考题解析】热点一 直接法求最值【典例1】(2021·全国·高考真题(文))下列函数中最小值为4的是( ) A .224y x x =++ B .4sin sin y x x=+ C .222x x y -=+ D .4ln ln y x x=+【答案】C 【解析】【分析】根据二次函数的性质可判断A 选项不符合题意,再根据基本不等式“一正二定三相等”,即可得出,B D 不符合题意,C 符合题意. 【详解】对于A ,()2224133y x x x =++=++≥,当且仅当1x =-时取等号,所以其最小值为3,A 不符合题意; 对于B ,因为0sin 1x <≤,4sin 44sin y x x=+≥=,当且仅当sin 2x =时取等号,等号取不到,所以其最小值不为4,B 不符合题意;对于C ,因为函数定义域为R ,而20x >,242222442x x xx y -=+=+≥=,当且仅当22x =,即1x =时取等号,所以其最小值为4,C 符合题意; 对于D ,4ln ln y x x=+,函数定义域为()()0,11,+∞,而ln x R ∈且ln 0x ≠,如当ln 1x =-,5y =-,D 不符合题意. 故选:C .【典例2】(2021·全国·高考真题)已知1F ,2F 是椭圆C :22194x y +=的两个焦点,点M 在C 上,则12MF MF ⋅的最大值为( ) A .13 B .12C .9D .6【答案】C 【解析】 【分析】本题通过利用椭圆定义得到1226MF MF a +==,借助基本不等式212122MF MF MF MF ⎛+⎫⋅≤ ⎪⎝⎭即可得到答案. 【详解】由题,229,4a b ==,则1226MF MF a +==,所以2121292MF MF MF MF ⎛+⎫⋅≤= ⎪⎝⎭(当且仅当123MF MF ==时,等号成立). 故选:C .【典例3】(2023·全国·高三专题练习)若0a >、0b >,且411a b+=,则ab 的最小值为( ).A .16B .4C .116 D .14【答案】A 【解析】 【分析】根据基本不等式计算求解. 【详解】因为0a >、0b >,所以414112+≥⨯=a b a b ab114≥ab 4ab ≥,即16ab ≥,当仅当41a b =,即82a b ==,时,等号成立. 故选:A.【典例4】(2022·全国·高考真题(文))已知910,1011,89m m m a b ==-=-,则( ) A .0a b >> B .0a b >> C .0b a >> D .0b a >>【答案】A 【解析】 【分析】根据指对互化以及对数函数的单调性即可知9log 101m =>,再利用基本不等式,换底公式可得lg11m >,8log 9m >,然后由指数函数的单调性即可解出.【详解】由910m=可得9lg10log 101lg 9m ==>,而()222lg9lg11lg99lg9lg111lg1022+⎛⎫⎛⎫<=<= ⎪ ⎪⎝⎭⎝⎭,所以lg10lg11lg 9lg10>,即lg11m >,所以lg11101110110m a =->-=.又()222lg8lg10lg80lg8lg10lg922+⎛⎫⎛⎫<=< ⎪ ⎪⎝⎭⎝⎭,所以lg9lg10lg8lg9>,即8log 9m >, 所以8log 989890m b =-<-=.综上,0a b >>. 故选:A.热点二 配凑法求最值【典例5】(2023·全国·高三专题练习)已知102x <<,则函数(12)y x x =- 的最大值是( ) A .12B .14C .18D .19【答案】C 【解析】 【分析】将(12)y x x =-化为12(12)2x x ⨯-,利用基本不等式即可求得答案.【详解】 ∵102x <<,120x ∴-> , ∴1(12)2(12)2x x x x -=⨯-22(12)112[]28x x +-=≤⨯, 当且仅当212x x =- 时,即14x =时等号成立, 因此,函数(12)y x x =-,1(0)2x <<的最大值为18,故选:C .【典例6】(2023·全国·高三专题练习)已知a >b ,关于x 的不等式220ax x b ++≥对于一切实数x 恒成立,又存在实数0x ,使得2020ax x b ++=成立,则22a b a b+-最小值为_________.【答案】22【解析】 【分析】由220ax x b ++≥对于一切实数x 恒成立,可得0a >,且0∆≤;再由0x R ∃∈,使20020ax x b ++=成立,可得0∆≥,进而可得ab 的值为1,将22a b a b+-可化为()222a b a b a b a b +=-+--,利用基本不等式可得结果. 【详解】因为220ax x b ++≥对于一切实数x 恒成立, 所以0a >,且440ab ∆=-≤,所以1≥ab ;再由0x R ∃∈,使20020ax x b ++=成立,可得440ab ∆=-≥,所以1ab ≤, 所以1ab =,因为a b >,即0a b ->,所以()()2222222a b ab a b a b a b a b a b-++==-+≥--- 当且仅当2a b a b-=-,即2a b -=所以22a b a b+-的最小值为22故答案为:22【典例7】(2023·全国·高三专题练习)已知 5<4x ,求函数14145y x x =-+- 的最大值. 【答案】2 【解析】 【分析】 将14145y x x =-+-变形为[()1]54454y x x=--++-,利用基本不等式即可求得答案. 【详解】根据题意,函数()114545444554y x x x x ⎡⎤=-++=--++⎢⎥--⎣⎦ , 又由54x <,则540x -> ,则()(115425425454)x x x x-+≥---⋅, 当且仅当15454x x-=-时,即1x =时取等号, 则1[(54)]424254y x x=--++≤-+=-, 故函数14145y x x =-+-的最大值为2. 【总结提升】形如()2ax bx c f x dx e +++=的函数,可化为()11[()]f x x k m x k+++=的形式,再利用基本不等式求解热点三 常数代换法求最值【典例8】(2023·全国·高三专题练习)在ABC 中,E 为AC 上一点,3AC AE =,P 为BE 上任一点,若(0,0)AP mAB nAC m n =+>>,则31m n+的最小值是( ) A .23B .423+ C .6 D .12【答案】D 【解析】 【分析】利用向量共线定理可得31m n +=,再根据3131(3)()m n m n m n+=++结合基本不等式即可得出答案. 【详解】解:3AC AE =,∴3AP mAB nAC mAB nAE =+=+,,,P B E 三点共线,31m n ∴+=, ∴313199(3)()336212n m n m m n m n m n m n m n+=++=+++≥+⋅, 当且仅当9n m m n=,132m n ==时取等号,所以31m n+的最小值是12. 故选:D .【典例9】(2020·天津·高考真题)已知0,0a b >>,且1ab =,则11822a b a b+++的最小值为_________. 【答案】4 【解析】 【分析】根据已知条件,将所求的式子化为82a b a b+++,利用基本不等式即可求解. 【详解】0,0,0a b a b >>∴+>,1ab =,11882222ab ab a b a b a b a b∴++=++++ 882422a b a b a b a b++=+≥⨯=++,当且仅当a b +=4时取等号, 结合1ab =,解得23,23a b ==23,23a b =+=. 故答案为:4【典例10】(2017·山东·高考真题(文))若直线1(00)x ya b a b+=>,>过点(1,2),则2a b +的最小值为________. 【答案】8 【解析】 【分析】 由直线1(00)x y a b a b +=>,>过点(1,2),可得121a b +=,从而有()1222a b a b a b ⎛⎫+=++ ⎪⎝⎭,展开后利用基本不等式可求得其最小值 【详解】解:因为直线1(00)x y a b a b+=>,>过点(1,2),所以121a b +=,因为00a b >,>所以()12442222428a b a b a b a b a b b a b a ⎛⎫+=++=+++≥+⋅= ⎪⎝⎭, 当且仅当4a bb a =,即2,4a b ==时取等号, 所以2a b +的最小值为8 故答案为:8 【总结提升】常数代换法主要解决形如“已知x +y =t (t 为常数),求a b x y+的最值”的问题,先将a x +b y 转化为()a b x y x y t ++⋅,再用基本不等式求最值. 热点四 基本不等式的实际应用【典例11】(2023·全国·高三专题练习)迷你KTV 是一类新型的娱乐设施,外形通常是由玻璃墙分隔成的类似电话亭的小房间,近几年投放在各大城市商场中,受到年轻人的欢迎.如图是某间迷你KTV 的横截面示意图,其中32AB AE ==,90A B E ∠=∠=∠=︒,曲线段CD 是圆心角为90︒的圆弧,设该迷你KTV 横截面的面积为S ,周长为L ,则SL的最大值为( ).(本题中取π=3进行计算)A .6B .12315-C .3D .9【答案】B 【解析】 【分析】根据面积和周长的计算,可得SL,根据基本不等式即可求解最大值. 【详解】圆弧的半径为3(0)2r r <<,则32BC ED r ==-,π322CD rl r ==.所以周长162CD L AB BC l DE EA r =++++=-,面积2223139[()]22244r r S r r =-+⨯⨯=-.所以22191(12)24(12)135********12[(12)]122(12)12315212212212212S r r r r r L r r r r---+--=⋅=⋅=-⋅-+-⋅-⋅-----. 当且仅当1351212r r-=-,12315r =- 故选:B【典例12】(2017·江苏·高考真题)某公司一年购买某种货物600吨,每次购买x 吨,运费为6万元/次,一年的总存储费用为4x 万元.要使一年的总运费与总存储费用之和最小,则x 的值是__________. 【答案】30 【解析】 【详解】 总费用为600900464()42900240x x x x +⨯=+≥⨯,当且仅当900x x=,即30x =时等号成立.故答案为30. 【总结提升】利用基本不等式解决实际问题的三个注意点(1)设变量时,一般要把求最大值或最小值的变量定义为函数. (2)解题时,一定要注意变量的实际意义及其取值范围.(3)在应用基本不等式求函数最值时,若等号取不到,可利用函数的单调性求解,如利用()a f x x x=+(a>0)的单调性.热点五 利用均值不等式连续放缩求最值【典例13】(2022·江苏·南京市第一中学高三开学考试)已知0a b >>,且1,ab =则不正确的是( ) A .20a b +> B .22log log 1a b +> C .2222a b +>D .22log log 0a b ⋅<【答案】B 【解析】 【分析】利用不等式的性质和基本不等式的应用,结合指数函数与对数函数的单调性,对选项逐一分析判断. 【详解】对A ,根据指数函数的性质20a b +>,故A 正确;对B ,2222log log log log 10a b ab +===,故B 错误;对C ,因为2a b ab +≥=,当且仅当a b =取等号,所以222222422a b a b +≥=>+C 正确; 对D ,因为1ab =,且0a b >>,故10>>>a b ,22log 0,log 0a b ><,所以22log log 0a b ⋅<;故D 正确. 故选:B【典例14】(2021·天津·高考真题)若0 , 0a b >>,则21a b ab ++的最小值为____________. 【答案】22【解析】 【分析】两次利用基本不等式即可求出. 【详解】0 , 0a b >>,2211222222a a b b a b a b b b b b∴++≥⋅=+≥⋅ 当且仅当21a a b =且2b b=,即2a b ==所以21ab ab ++的最小值为2 故答案为:22 【总结提升】第一次使用基本不等式是对原不等式的一次放缩,并为第二次使用基本不等式创造了条件,因此要使结果为原不等式的最值,两次使用基本不等式等号成立的条件应该是一致的.【精选精练】一、单选题1.(2023·全国·高三专题练习)已知02x <<,则24y x x =- ) A .2 B .4 C .5 D .6【答案】A 【解析】 【分析】由基本不等式求解即可 【详解】 因为02x <<,所以可得240x ->, 则()()2222244422x x y x x x x+-=-⋅-=,当且仅当224x x =-,即2x24y x x =-2.故选:A .2.(2023·全国·高三专题练习)已知a >0,b >0,且a +2b =ab ,则ab 的最小值是( ) A .4 B .8 C .16 D .32【答案】B 【解析】 【分析】利用基本不等式可得答案. 【详解】∵已知a >0,b >0,且a +2b =ab ,∴ab 2a b ⋅ 化简可得ab ≥2∴ab ≥8,当且仅当a =2b 时等号成立, 故ab 的最小值是8, 故选:B .3.(2022·江西·高三阶段练习(理))已知双曲线22:1(0,0)4n C mx y m n -=>>的一个焦点坐标为(1,0)-,当m n +取最小值时,C 的离心率为( )A 5B 3C .2D 2【答案】B 【解析】 【分析】根据双曲线的标准方程可得22214,,1a b c m n===,根据,,a b c 的关系可得141m n +=,由基本不等式的求解即可得26n m ==,进而2311a m ==,即可求离心率. 【详解】由22:1(0,0)4n C mx y m n -=>>可得22114x y m n-=,所以22214,,1a b c m n===, 故可得141m n +=,所以(4144)5529n m n m m n m n m n m n m n ⎛⎫+=++=+++⋅ ⎪⎝⎭, 当且仅当4n m m n =,即26n m ==时等号成立,所以2311a m ==,3a =1c =, 所以3==ce a, 故选:B .4.(2021·浙江·高考真题)已知,,αβγ是互不相同的锐角,则在sin cos ,sin cos ,sin cos αββγγα三个值中,大于12的个数的最大值是( ) A .0 B .1 C .2 D .3【答案】C 【解析】 【分析】利用基本不等式或排序不等式得3sin cos sin cos sin cos 2αββγγα++≤,从而可判断三个代数式不可能均大于12,再结合特例可得三式中大于12的个数的最大值. 【详解】法1:由基本不等式有22sin cos sin cos 2αβαβ+≤,同理22sin cos sin cos 2βγβγ+≤,22sin cos sin cos 2γαγα+≤,故3sin cos sin cos sin cos 2αββγγα++≤, 故sin cos ,sin cos ,sin cos αββγγα不可能均大于12. 取6πα=,3πβ=,4πγ=,则116161sin cos ,sin cos ,sin cos 4222αββγγα=<=>=>, 故三式中大于12的个数的最大值为2, 故选:C.法2:不妨设αβγ<<,则cos cos cos ,sin sin sin αβγαβγ>><<, 由排列不等式可得:sin cos sin cos sin cos sin cos sin cos sin cos αββγγααγββγα++≤++,而()13sin cos sin cos sin cos sin sin 222αγββγαγαβ++=++≤,故sin cos ,sin cos ,sin cos αββγγα不可能均大于12. 取6πα=,3πβ=,4πγ=,则116161sin cos ,sin cos ,sin cos 4222αββγγα=<=>=>, 故三式中大于12的个数的最大值为2, 故选:C.5.(2020·全国·高考真题(理))设O 为坐标原点,直线x a =与双曲线2222:1(0,0)x y C a b ab-=>>的两条渐近线分别交于,D E 两点,若ODE 的面积为8,则C 的焦距的最小值为( ) A .4 B .8 C .16 D .32【答案】B 【解析】 【分析】 因为2222:1(0,0)x y C a b a b -=>>,可得双曲线的渐近线方程是b y x a=±,与直线x a =联立方程求得D ,E 两点坐标,即可求得||ED ,根据ODE 的面积为8,可得ab 值,根据2222c a b =+得答案. 【详解】2222:1(0,0)x y C a b a b-=>> ∴双曲线的渐近线方程是by x a=±直线x a =与双曲线2222:1(0,0)x y C a b a b-=>>的两条渐近线分别交于D ,E 两点不妨设D 为在第一象限,E 在第四象限 联立x ab y x a =⎧⎪⎨=⎪⎩,解得x a y b =⎧⎨=⎩ 故(,)D a b联立x ab y x a =⎧⎪⎨=-⎪⎩,解得x a y b =⎧⎨=-⎩ 故(,)E a b - ∴||2ED b =∴ODE 面积为:1282ODE S a b ab =⨯==△ 双曲线2222:1(0,0)x y C a b a b-=>>∴其焦距为2222222168c a b ab =+≥==当且仅当22a b == ∴C 的焦距的最小值:8故选:B.6.(2023·全国·高三专题练习)已知0a >,0b >,且2ab a b =+,若228a b m m +-恒成立,则实数m 的取值范围是( ) A .426426m -+B .426m +或426m - C .19m - D .9m 或1m -【答案】C 【解析】 【分析】由题意化2ab a b =+为211b a=+,利用基本不等式求出2+a b 的最小值,再解关于m 的一元二次不等式即可. 【详解】解:0a >,0b >,且2ab a b =+,211b a∴=+, 1222222(2)()14529b a b aa b a b a b a b a b∴+=++=++++=,当且仅当3a b ==时取“=”; 若228a b m m +-恒成立, 则298m m -, 即2890m m --, 解得19m -,∴实数m 的取值范围是[1-,9].故选:C .7.(2023·全国·高三专题练习)已知ln ln 222+≥+-aa b b ,则a b +=( ) A .52B .4C .92D .6【答案】A 【解析】 【分析】根据基本不等式可得22222+-≥ab ab ,当且仅当4a b =时取等号,从而可到ln()2≥ab ab ,再构造函数分析可得ln()20-≤ab ab ,从而得到ln()20-=ab ab ,再根据基本不等式取得最值时的关系求解即可 【详解】 由题意得ln()222≥+-a ab b ,因为0a >,0b >,所以22222+-≥ab ab ,当且仅当4a b =时取等号,所以ln()2≥ab ab ,令()ln 22=-f x x x ,则11()-='=xf x x x,当(0,1)x ∈,()0f x '>,()f x 单调递增;当(1,)x ∈+∞时,()0,()f x f x '<单调递减,所以()(1)0f x f ≤=,当且仅当1ab =时取等号,即ln()220-≤ab ab ,所以ln()220-=ab ab ,所以1ab =,所以12,2a b ==,所以52a b +=. 故选:A8.(2017·天津·高考真题(理))已知函数23,1,()2, 1.x x x f x x x x ⎧-+≤⎪=⎨+>⎪⎩设a R ∈,若关于x 的不等式()||2x f x a ≥+在R 上恒成立,则a 的取值范围是( ) A .47[,2]16-B .4739[,]1616-C .[3,2]-D .39[23,]16- 【答案】A 【解析】 【详解】 不等式()2x f x a ≥+为()()2xf x a f x -≤+≤(*), 当1x ≤时,(*)式即为22332xx x a x x -+-≤+≤-+,2233322x x a x x -+-≤≤-+,又22147473()241616x x x -+-=---≤-(14x =时取等号),223339393()241616x x x -+=-+≥(34x =时取等号),所以47391616a -≤≤, 当1x >时,(*)式为222x x a x x x --≤+≤+,32222x x a x x--≤≤+, 又3232()2322x x x x --=-+≤-23x =,222222x x x x+≥⨯=(当2x =时取等号), 所以232a -≤, 综上47216a -≤≤.故选A . 【考点】不等式、恒成立问题 【名师点睛】首先满足()2x f x a ≥+转化为()()22x xf x a f x --≤≤-去解决,由于涉及分段函数问题要遵循分段处理原则,分别对x 的两种不同情况进行讨论,针对每种情况根据x 的范围,利用极端原理,求出对应的a 的范围. 二、多选题9.(2022·全国·高考真题)(多选)若x ,y 满足221+-=x y xy ,则( ) A .1x y +≤ B .2x y +≥- C .222x y +≤ D .221x y +≥【答案】BC 【解析】 【分析】根据基本不等式或者取特值即可判断各选项的真假. 【详解】因为22222a b a bab ++⎛⎫≤≤⎪⎝⎭(,a b R ),由221+-=x y xy 可变形为,()221332x y x y xy +⎛⎫+-=≤ ⎪⎝⎭,解得22x y -≤+≤,当且仅当1x y ==-时,2x y +=-,当且仅当1x y ==时,2x y +=,所以A 错误,B 正确;由221+-=x y xy 可变形为()222212x y x y xy ++-=≤,解得222x y +≤,当且仅当1x y ==±时取等号,所以C 正确;因为221+-=x y xy 变形可得223124y x y ⎛⎫-+= ⎪⎝⎭,设3cos sin 2y x y θθ-==,所以cos ,33x y θθθ==,因此2222511cos sin cos 12cos 233333x y θθθθ=θ-θ+=++42π2sin 2,23363θ⎛⎫⎡⎤=+-∈ ⎪⎢⎥⎝⎭⎣⎦,所以当33x y ==时满足等式,但是221x y +≥不成立,所以D 错误. 故选:BC .10.(2020·海南·高考真题)(多选)已知a >0,b >0,且a +b =1,则( ) A .2212a b +≥B .122a b -> C .22log log 2a b +≥- D 2a b【答案】ABD 【解析】 【分析】根据1a b +=,结合基本不等式及二次函数知识进行求解. 【详解】对于A ,()222221221a b a a a a +=+-=-+21211222a ⎛⎫⎪⎭+ ⎝≥-=,当且仅当12a b ==时,等号成立,故A 正确; 对于B ,211a b a -=->-,所以11222a b-->=,故B 正确;对于C ,2222221log log log log log 224a b a b ab +⎛⎫+=≤==- ⎪⎝⎭, 当且仅当12a b ==时,等号成立,故C 不正确; 对于D ,因为21212a bab a b =+++=,2a b ,当且仅当12a b ==时,等号成立,故D 正确; 故选:ABD11.(2023·全国·高三专题练习)(多选)已知a <b <0,则下列不等式正确的是( ) A .a 2>ab B .ln (1﹣a )>ln (1﹣b ) C .2a b ab+>D .a +cos b >b +cos a【答案】ABC 【解析】 【分析】利用不等式的性质判断A ,利用对数函数的单调性判断B ,利用基本不等式判断C ,利用构造函数判断D. 【详解】A:∵a <b <0,∴a 2>ab ,∴A 正确,B:∵a <b <0,1﹣a >1﹣b ,∴ln (1﹣a )>ln (1﹣b ),∴B 正确, C:∵a <b <0,∴2a bab -->2a b ab +>C 正确, D:设f (x )=x ﹣cos x ,则()f x '=1+sin x ≥0,∴f (x )在R 上为增函数,∵a <b <0,∴a ﹣cos a <b ﹣cos b ,a +cos b <b +cos a ,∴D 错误. 故选:ABC .12.(2022·江苏省如皋中学高三开学考试)(多选)若实数x ,y 满足1221x y ++=,m x y =+,111()()22-=+x y n ,则( ) A .0x <且1y <- B .m 的最大值为3- C .n 的最小值为7 D .22m n ⋅<【答案】ABD 【解析】 【分析】根据指数函数的性质判断A ,利用基本不等式判断B 、C ,根据指数幂的运算判断D ; 【详解】解:因为1221x y ++=,若0x ≥,则21x ≥,又120y +>,显然不成立,即0x <, 同理可得10y +<,所以1y <-,即0x <且1y <-,故A 正确; 又111122222x y x y x y ++++=+≥⋅=1222x y ++-≤,所以3x y +≤-,当且仅当11222x y +==,即1x =-,2y =-时取等号,即m 的最大值为3-,故B 正确; 又()111111112222222244x y x y x y x y n +-++⎛⎫=+=+=+⋅+ ⎪⎝⎭ 111144552922222222y x y xx y x y ++++⋅⋅=⋅+≥+=+,当且仅当1142222y xx y ++⋅=,即2log 3x =-,22log 13y =-时取等号,故C 错误;对于D :()111112()()22222222m x y x y x y x y y x n -+--+++⎡⎤⋅=+⋅=+⋅=+⎢⎥⎣⎦,因为1221x y ++=,所以()12222x y ++=,即12222x y +++=,即12422x y ++⨯=,即122322x y y ++⨯=+,因为302y ⨯>,所以1222x y +<+,即22m n ⋅<,故D 正确; 故选:ABD 三、填空题13.(2020·江苏·高考真题)已知22451(,)x y y x y R +=∈,则22x y +的最小值是_______.【答案】45【解析】 【分析】根据题设条件可得42215y x y -=,可得4222222114+555y y x y y y y -+=+=,利用基本不等式即可求解.【详解】 ∵22451x y y +=∴0y ≠且42215y x y-=∴422222222114144+2555555y y y x y y y y y -+=+=≥⋅,当且仅当221455y y =,即2231,102x y ==时取等号. ∴22xy +的最小值为45.故答案为:45.14.(2019·天津·高考真题(文)) 设0x >,0y >,24x y +=,则(1)(21)x y xy++的最小值为__________.【答案】92.【解析】 【分析】 把分子展开化为(1)(21)2212552x y xy x y xy xy xy xy xy++++++===+,再利用基本不等式求最值.【详解】由24x y +=,得2422x y xy +=≥2xy ≤(1)(21)221255592222x y xy x y xy xy xy xy xy ++++++===+≥+=,等号当且仅当2x y =,即2,1x y ==时成立. 故所求的最小值为92.15.(2018·江苏·高考真题)在ABC 中,角,,A B C 所对的边分别为,,a b c ,120ABC ∠=︒,ABC ∠的平分线交AC 于点D ,且1BD =,则4a c +的最小值为________. 【答案】9 【解析】 【详解】分析:先根据三角形面积公式得条件、再利用基本不等式求最值.详解:由题意可知,ABC ABD BCD S S S =+△△△,由角平分线性质和三角形面积公式得111sin1201sin 601sin 60222ac a c ︒=⨯⨯︒+⨯⨯︒,化简得11,1ac a c a c =++=,因此11444(4)()5529,c a c aa c a c a c a c a c+=++=++≥+⋅当且仅当23c a ==时取等号,则4a c +的最小值为9.16.(2018·天津·高考真题(理))已知,R a b ∈,且360a b -+=,则128ab+的最小值为_____________. 【答案】14【解析】 【分析】由题意首先求得3a b -的值,然后结合均值不等式的结论整理计算即可求得最终结果,注意等号成立的条件. 【详解】由360a b -+=可知36a b -=-,且:312228a ab b -+=+,因为对于任意x ,20x >恒成立, 结合均值不等式的结论可得:336122222224a b a b ---+≥⨯==.当且仅当32236a b a b -⎧=⎨-=-⎩,即31a b =-⎧⎨=⎩时等号成立.综上可得128ab +的最小值为14. 17.(2022·全国·高考真题(理))已知ABC 中,点D 在边BC 上,120,2,2ADB AD CD BD ∠=︒==.当ACAB取得最小值时,BD =________. 31##1+3-【解析】【分析】设220CD BD m ==>,利用余弦定理表示出22AC AB 后,结合基本不等式即可得解. 【详解】设220CD BD m ==>,则在ABD △中,22222cos 42AB BD AD BD AD ADB m m =+-⋅∠=++, 在ACD △中,22222cos 444AC CD AD CD AD ADC m m =+-⋅∠=+-, 所以()()()2222224421214441243424211m m m AC m m AB m m m m m m ++-++-===-+++++++ ()4433211m m ≥=-+⋅+ 当且仅当311m m +=+即31m =时,等号成立, 所以当AC AB取最小值时,31m =. 31.四、解答题18.(2023·全国·高三专题练习)设函数2()(2)3(0)f x ax b x a =+-+≠.(1)若不等式()0f x >的解集(1,1)-,求a ,b 的值;(2)若(1)3f =,0a >,0b >,求11a b +的最小值,并指出取最小值时a ,b 的值. 【答案】(1)3,2a b =-=(2)1a =,1b =时,11a b+的最小值是2 【解析】【分析】 (1)由根与系数的关系可得答案;(2)由(1)3f =得2a b +=,再利用基本不等式可得答案.(1)由()0f x >的解集是(1,1)-知1,1-是方程()0f x =的两根, 由根与系数的关系可得311211a b a ⎧-⨯=⎪⎪⎨-⎪-+=-⎪⎩解得32=-⎧⎨=⎩a b , 即32a b =-=,.(2)由(1)3f =得2a b +=,0a >,0b >,11111()2a b a b a b ⎛⎫∴+=++ ⎪⎝⎭1222b a a b ⎛⎫≥⋅= ⎪ ⎪⎝⎭, 当且仅当b a a b =,即1a =,1b =时取等号,11a b∴+的最小值是2.。
高考数学中的均值不等式及其他相关不等式在高考数学中,不等式是一个重要的考点,在不等式的部分中,最为经典和基础的当属均值不等式和柯西-施瓦茨不等式。
本文将分别探讨这两种不等式及其相关内容。
一、均值不等式均值不等式是指若a1,a2,\cdots,an>0,则有:\frac{a_{1}+a_{2}+\cdots+a_{n}}{n}\geq\sqrt[n]{a_{1}\cdota_{2}\cdots a_{n}}其中,\frac{a_{1}+a_{2}+\cdots+a_{n}}{n}表示这n个数的平均数。
均值不等式是一个非常基础的不等式,可以在不等式部分中起到不小的作用。
在解不等式的过程中,有时候我们会需要将不等式中多个数字进行化简,而使用均值不等式则可以使这个化简更加简便和顺利。
例如,如果我们有一个不等式:\frac{1}{1+x}+\frac{1}{1+y}+\frac{1}{1+z}\leq\frac{3}{2}其中,x,y,z>0。
我们希望将这个不等式进行化简,于是我们可以使用均值不等式将分母中的三个数字变为它们的平均数,即:\frac{1}{1+\frac{x+y+z}{3}}+\frac{1}{1+\frac{x+y+z}{3}}+\frac {1}{1+\frac{x+y+z}{3}}≤\frac{3}{1+\sqrt[3]{\frac{(x+y+z)^2}{9}}}然后我们再把三个分数加起来,就得到了结果。
值得注意的是,在运用均值不等式的时候,我们不要把数字想的太复杂,同时也不要给均值不等式赋予过高的权重,只要在需要化简的时候顺手使用即可。
二、柯西-施瓦茨不等式柯西-施瓦茨不等式可以说是均值不等式的进一步加强和拓展。
柯西-施瓦茨不等式是指,若a1,a2,\cdots,an和b1,b2,\cdots,bn是任意实数,则有:(a_{1}^2+a_{2}^2+\cdots+a_{n}^2)(b_{1}^2+b_{2}^2+\cdots+b_ {n}^2)\geq(a_{1}b_{1}+a_{2}b_{2}+\cdots+a_{n}b_{n})^2我们将这个不等式分解开,可以得到:(a_{1}b_{1}+a_{2}b_{2}+\cdots+a_{n}b_{n})^2\leq(a_{1}^2+a_ {2}^2+\cdots+a_{n}^2)(b_{1}^2+b_{2}^2+\cdots+b_{n}^2)这个不等式非常有用,我们可以用这个不等式解决很多问题。
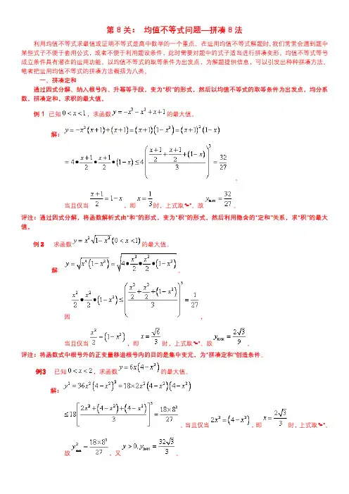
第8关:均值不等式问题—拼凑8法利用均值不等式求最值或证明不等式是高中数学的一个重点。
在运用均值不等式解题时,我们常常会遇到题中某些式子不便于套用公式,或者不便于利用题设条件,此时需要对题中的式子适当进行拼凑变形。
均值不等式等号成立条件具有潜在的运用功能。
以均值不等式的取等条件为出发点,为解题提供信息,可以引发出种种拼凑方法。
笔者把运用均值不等式的拼凑方法概括为八类。
一、拼凑定和通过因式分解、纳入根号内、升幂等手段,变为“积”的形式,然后以均值不等式的取等条件为出发点,均分系数,拼凑定和,求积的最大值。
例1已知,求函数的最大值。
解:。
当且仅当,即时,上式取“=”。
故。
评注:通过因式分解,将函数解析式由“和”的形式,变为“积”的形式,然后利用隐含的“定和”关系,求“积”的最大值。
例2 求函数的最大值。
解:。
因,当且仅当,即时,上式取“=”。
故。
评注:将函数式中根号外的正变量移进根号内的目的是集中变元,为“拼凑定和”创造条件。
例3已知,求函数的最大值。
解:。
当且仅当,即时,上式取“=”。
故,又。
亲爱的老师们:我有一套非常好的word资料,叫“高考数学常考问题-大闯关(36关)”,但是部分内容是图片的不能编辑,为了更好的使用本资料,本人打算将这套资料翻录一下与愿意翻录的老师共享,所谓翻录就是重新用公式编辑器将资料中的图片录入成可以正常显示便于编辑的公式,每个老师录入1-2关,完全按照已有文档录入,在半天之内就可以完成。
(样品见第8关,红色的部分都不用编辑,只需编辑公式部分即可。
等所有老师录入编辑完成后,我将翻录好的word资料全部免费分享给愿意加入的老师。
有意参加的老师请加我微信:scttrz或加QQ:2780158525,愿意的老师请备注:资料共创共享。
高考数学常考问题-大闯关(36关)目录第1关:极值点偏移问题--对数不等式法第2关:参数范围问题—常见解题6法第3关:数列求和问题—解题策略8法第4关:绝对值不等式解法问题—7大类型第5关:三角函数最值问题—解题9法第6关:求轨迹方程问题—6大常用方法第7关:参数方程与极坐标问题—“考点”面面看第8关:均值不等式问题—拼凑8法第9关:不等式恒成立问题—8种解法探析第10关:圆锥曲线最值问题—5大方面第11关:排列组合应用问题—解题21法第12关:几何概型问题—5类重要题型第13关:直线中的对称问题—4类对称题型第14关:利用导数证明不等式问题—4大解题技巧第15关:函数中易混问题—11对第16关:三项展开式问题—破解“四法”第17关:由递推关系求数列通项问题—“不动点”法第18关:类比推理问题—高考命题新亮点第19关:函数定义域问题—知识大盘点第20关:求函数值域问题—7类题型16种方法第21关:求函数解析式问题—7种求法第22关:解答立体几何问题—5大数学思想方法第23关:数列通项公式—常见9种求法第24关:导数应用问题—9种错解剖析第25关:三角函数与平面向量综合问题—6种类型第26关:概率题错解分类剖析—7大类型第27关:抽象函数问题—分类解析第28关:三次函数专题—全解全析第29关:二次函数在闭区间上的最值问题—大盘点第30关:解析几何与向量综合问题—知识点大扫描第31关:平面向量与三角形四心知识的交汇第32关:数学解题的“灵魂变奏曲”—转化思想第33关:函数零点问题—求解策略第34关:求离心率取值范围—常见6法第35关:高考数学选择题—解题策略第36关:高考数学填空题—解题策略二、拼凑定积通过裂项、分子常数化、有理代换等手段,变为“和”的形式,然后以均值不等式的取等条件为出发点,配项凑定积,创造运用均值不等式的条件例4设,求函数的最小值。
1. 均值不等式法例1 设.)1(3221+++⋅+⋅=n n S n !求证.2)1(2)1(2+<<+n S n n n例2 已知函数bxa x f 211)(⋅+=,若54)1(=f ,且)(x f 在[0,1]上的最小值为21,求证:.2121)()2()1(1−+>++++n n n f f f ! 例3 求证),1(221321N n n n C C C Cn n nn n n ∈>⋅>++++−!.例4 已知222121n a a a +++=L ,222121n x x x +++=L ,求证:n n x a x a x a +++!2211≤1.2.利用有用结论例5 求证.12)1211()511)(311)(11(+>−++++n n ! 例6 已知函数.2,,10,)1(321lg )(≥∈≤<⋅+−++++=∗n N n a nn a n x f xx x x 给定!求证:)0)((2)2(≠>x x f x f 对任意∗∈N n 且2≥n 恒成立。
例7 已知112111,(1).2n nna a a n n +==+++ )(I 用数学归纳法证明2(2)n a n ≥≥;)(II 对ln(1)x x +<对0x >都成立,证明2n a e <(无理数 2.71828e ≈L)例8 已知不等式21111[log ],,2232n n N n n ∗+++>∈>L 。
2[log ]n 表示不超过n 2log 的最大整数。
设正数数列}{n a 满足:.2,),0(111≥+≤>=−−n a n na a b b a n n n 求证.3,][log 222≥+<n n b ba n再如:设函数()x f x e x =−。
(Ⅰ)求函数()f x 最小值;(Ⅱ)求证:对于任意n N ∗∈,有1().1nn k k ene =<−∑ 例9 设n n na )11(+=,求证:数列}{n a 单调递增且.4<n a3. 部分放缩例10 设++=a na 21111,23a aa n ++≥L ,求证:.2<n a例11 设数列{}n a 满足()++∈+−=N n na a a n n n 121,当31≥a 时证明对所有,1≥n 有:2)(+≥n a i n ; 21111111)(21≤++++++na a a ii !. 4 . 添减项放缩例12 设N n n∈>,1,求证)2)(1(8)32(++<n n n . 例13 设数列}{n a 满足).,2,1(1,211!=+==+n a a a a nn n 证明12+>n a n 对一切正整数n 成立;5 利用单调性放缩: 构造函数例14 已知函数223)(x ax x f −=的最大值不大于61,又当]21,41[∈x 时.81)(≥x f (Ⅰ)求a 的值;(Ⅱ)设∗+∈=<<N n a f a a n n ),(,21011,证明.11+<n a n 例15 数列{}n x 由下列条件确定:01>=a x ,,211⎟⎟⎠⎞⎜⎜⎝⎛+=+n n n x a x x N n ∈. (I) 证明:对2≥n总有a x n≥;(II) 证明:对2≥n 总有1+≥n n x x6 . 换元放缩例16 求证).2,(1211≥∈−+<<∗n N n n n n例17 设1>a ,N n n ∈≥,2,求证4)1(22−>a n a n.7 转化为加强命题放缩例18 设10<<a ,定义a a a a a nn +=+=+1,111,求证:对一切正整数n 有.1>n a 例19 数列{}n x 满足.,212211nx x x x n n n +==+证明.10012001<x例20 已知数列{a n}满足:a 1=32,且a n=n 1n 13na n 2n N 2a n 1∗≥∈--(,)+- (1)求数列{a n }的通项公式;(2)证明:对一切正整数n 有a 1•a 2•……a n <2•n!8. 分项讨论例21 已知数列}{n a 的前n 项和n S 满足.1,)1(2≥−+=n a S n n n(Ⅰ)写出数列}{n a 的前3项321,,a a a ; (Ⅱ)求数列}{n a 的通项公式;(Ⅲ)证明:对任意的整数4>m ,有8711154<+++ma a a !.9. 借助数学归纳法例22(Ⅰ)设函数)10( )1(log )1(log )(22<<−−+=x x x x x x f ,求)(x f 的最小值;(Ⅱ)设正数n p p p p 2321,,,,!满足12321=++++n p p p p !,求证:np p p p p p p p n n −≥++++222323222121log log log log !10. 构造辅助函数法例23 已知()f x = 2ln 243x x +−,数列{}n a 满足()()*11 2 ,0211N n a f a n an ∈=<<−++(1)求()f x 在⎥⎦⎤⎢⎣⎡−021,上的最大值和最小值; (2)证明:102n a −<<; (3)判断n a 与1()n a n N ∗+∈的大小,并说明理由.例24 已知数列{}n a 的首项135a =,1321n n n a a a +=+,12n =L,,.(Ⅰ)求{}n a 的通项公式; (Ⅱ)证明:对任意的0x>,21121(1)3n na x xx ⎛⎞−−⎜⎟++⎝⎠≥,12n =L ,,; (Ⅲ)证明:2121n n a a a n +++>+L .例25 已知函数f(x)=x 2-1(x>0),设曲线y=f(x)在点(x n ,f(x n ))处的切线与x 轴的交点为(x n+1,0)(n∈N *). (Ⅰ) 用x n 表示x n+1; (Ⅱ)求使不等式1n n x x +≤对一切正整数n 都成立的充要条件,并说明理由;(Ⅲ)若x 1=2,求证:.31211111121−≤++++++n n x x x !例1 解析 此数列的通项为.,,2,1,)1(n k k k a k !=+=2121)1(+=++<+<k k k k k k ∵,)21(11∑∑==+<<∴nk n n k k S k ,即.2)1(22)1(2)1(2+<++<<+n n n n S n n n注:①应注意把握放缩的“度”:上述不等式右边放缩用的是均值不等式2ba ab +≤,若放成1)1(+<+k k k 则得2)1(2)3)(1()1(21+>++=+<∑=n n n k S nk n ,就放过“度”了!②根据所证不等式的结构特征来选取所需要的重要不等式,这里3,2=n 等的各式及其变式公式均可供选用。
第十八讲不等式一、不等式的性质(1.)同向不等式可以相加;异向不等式可以相减:a >b,c >d ,则 a+c >b+d, (a>b ,c<d 则a -c>b -d ),但异向不等式不可以相加;同向不等式不可以相减(2)左右同正不等式:同向的不等式可以相乘但不能相除;异向不等式可以相除但不能相乘:a>b>0 c>d>0 (a>b, c<d) , 则ac>bd (或db c a ) (3)左右同正不等式:两边可以同时乘方或开方 a>b>0则a n >b n 或n n b a(4)ab>0,则a>b b a 11 ,(ab<0 则a>b 11a bf ) 二、均值不等式:算术平均数与几何平均数常用公式及变形:(1)22222222,22,22,,2,222112a b a b a b R a b a b R a b ab a b R a bab a b ab a b R ab a b a b a b a b或或 (2) 3333,,a b c abc a b c R a b c 注、对于两个正数x,y ,若已知xy,x+y,22111,,x y x y xy中的某一个为定值,可求出其余各个的最值,如:(1)当xy =P (定值),那么当x=y 时,和x+y 有最小值2P,22112,x y p x y (2)x+y=S(定值),那么当x=y 时,积xy 有最大值241S 222211411,,4,2S x y x y S xy S (3)已知x 2+y 2=p,则x+y1112,2p xy x y xy p应用基本的不等式解题时,注意创设一个应用基本不等式的情境及使等号成立的条件,即“一正、二定、三相等”三、不等式的证明:(1)求差比较法:(2)求商比较法:要证a ﹥b ,且b ﹥0,只要证ba ﹥1.(3)、综合法:利用某些已知的不等式或已证过的不等式或不等式的性质推导出所要证的不等式成立,这种证明方法叫综合法,即由因导果。
数学高考知识点均值不等式数学高考知识点中有一项较为重要的内容是均值不等式。
均值不等式是数学中一种基本的数学推理方法,可以用来证明各类不等式。
它的应用范围广泛,几乎贯穿于数学的各个分支。
在高考中,考查均值不等式的题目也是非常常见的。
本文将围绕数学高考知识点均值不等式展开讨论,介绍均值不等式的概念、性质以及应用。
首先,我们来了解一下均值不等式的概念。
均值不等式是一种通过计算一组数据的平均值来推断其他性质的数学方法。
常见的均值不等式有算术平均值不小于几何平均值、几何平均值不小于调和平均值等。
这些不等式都是基于平均值的定义和性质得出的,是数学中的重要基础知识。
接下来,我们来看一下均值不等式的性质。
首先,对于正数序列,有以下性质成立:1. 对于任意的正整数n,有a1+a2+...+an≥n√(a1a2...an),即算术平均值不小于几何平均值。
2. 对于任意的正整数n,有n√(a_1^2+a_2^2+...+a_n^2)≥a1+a2+...+an,即平方的几何平均值不小于算术平均值。
然后,我们来探讨一下均值不等式的应用。
均值不等式的应用非常广泛,特别是在解决各类不等式问题时,常常可以通过均值不等式来简化问题,或得到更强的结论。
以下是一些常见的应用场景:1. 证明不等式:通过应用均值不等式,可以证明很多不等式。
例如,可以利用算术平均值不小于几何平均值来证明一些常见的数学不等式,如AM-GM不等式。
通过均值不等式的结论,可以简化证明过程,提高解题效率。
2. 改进算法:在设计算法的过程中,通过应用均值不等式,可以改进算法的效率和准确性。
例如,在求解最优化问题时,通过合理选择均值不等式的类型和参数,可以得到更优的解。
3. 优化问题:均值不等式的应用还可以拓宽到解决优化问题。
例如,在求解约束优化问题时,通过应用均值不等式,可以得到参数的取值范围,从而找到最优解。
综上所述,数学高考知识点中的均值不等式是一项重要的内容。
第45炼 利用均值不等式求最值一、基础知识:1、高中阶段涉及的几个平均数:设()01,2,,i a i n >= (1)调和平均数:12111n nnH a a a =+++(2)几何平均数:n G =(3)代数平均数:12nn a a a A n+++=(4)平方平均数:n Q =2、均值不等式:n n n n H G A Q ≤≤≤,等号成立的条件均为:12n a a a === 特别的,当2n =时,22G A ≤⇒2a b+≤即基本不等式 3、基本不等式的几个变形:(1)),0a b a b +≥>:多用在求和式的最小值且涉及求和的项存在乘积为定值的情况(2)22a b ab +⎛⎫≤ ⎪⎝⎭:多用在求乘积式的最大值且涉及乘积的项存在和为定值的情况(3)222a b ab +≥,本公式虽然可由基本不等式推出,但本身化成完全平方式也可证明,要注意此不等式的适用范围,a b R ∈4、利用均值不等式求最值遵循的原则:“一正二定三等”(1)正:使用均值不等式所涉及的项必须为正数,如果有负数则考虑变形或使用其它方法 (2)定:使用均值不等式求最值时,变形后的一侧不能还含有核心变量,例如:当0,x >求23y x x =+的最小值。
此时若直接使用均值不等式,则23y x x=+≥右侧依然含有x ,则无法找到最值。
① 求和的式子→乘积为定值。
例如:上式中24y x x =+为了乘积消掉x ,则要将3x拆为两个② 乘积的式子→和为定值,例如302x <<,求()()32f x x x =-的最大值。
则考虑变积为和后保证x 能够消掉,所以()()()2112329322322228x x f x x x x x +-⎛⎫=-=⋅-≤= ⎪⎝⎭(3)等:若能利用均值不等式求得最值,则要保证等号成立,要注意以下两点:① 若求最值的过程中多次使用均值不等式,则均值不等式等号成立的条件必须能够同时成立(彼此不冲突)② 若涉及的变量有初始范围要求,则使用均值不等式后要解出等号成立时变量的值,并验证是否符合初始范围。
第45炼 利用均值不等式求最值一、基础知识:1、高中阶段涉及的几个平均数:设()01,2,,i a i n >=(1)调和平均数:12111n nnH a a a =+++(2)几何平均数:n G = (3)代数平均数:12nn a a a A n+++=(4)平方平均数:n Q =2、均值不等式:n n n n H G A Q ≤≤≤,等号成立的条件均为:12n a a a ===特别的,当2n=时,22G A ≤⇒2a b+≤即基本不等式 3、基本不等式的几个变形:(1)),0a b a b +≥>:多用在求和式的最小值且涉及求和的项存在乘积为定值的情况(2)22a b ab +⎛⎫≤ ⎪⎝⎭:多用在求乘积式的最大值且涉及乘积的项存在和为定值的情况(3)222a b ab +≥,本公式虽然可由基本不等式推出,但本身化成完全平方式也可证明,要注意此不等式的适用范围,a b R ∈4、利用均值不等式求最值遵循的原则:“一正二定三等”(1)正:使用均值不等式所涉及的项必须为正数,如果有负数则考虑变形或使用其它方法 (2)定:使用均值不等式求最值时,变形后的一侧不能还含有核心变量,例如:当0,x >求23y x x =+的最小值。
此时若直接使用均值不等式,则23y x x=+≥,右侧依然含有x ,则无法找到最值。
① 求和的式子→乘积为定值。
例如:上式中24y x x =+为了乘积消掉x ,则要将3x拆为两个2x,则22422y x x x x x =+=++≥=② 乘积的式子→和为定值,例如302x <<,求()()32f x x x =-的最大值。
则考虑变积为和后保证x 能够消掉,所以()()()2112329322322228x x f x x x x x +-⎛⎫=-=⋅-≤=⎪⎝⎭(3)等:若能利用均值不等式求得最值,则要保证等号成立,要注意以下两点: ① 若求最值的过程中多次使用均值不等式,则均值不等式等号成立的条件必须能够同时成立(彼此不冲突)② 若涉及的变量有初始范围要求,则使用均值不等式后要解出等号成立时变量的值,并验证是否符合初始范围。
5、常见求最值的题目类型(1)构造乘积与和为定值的情况,如上面所举的两个例子 (2)已知1ax by +=(a 为常数),求m nx y+的最值, 此类问题的特点在于已知条件中变量位于分子(或分母)位置上,所求表达式变量的位置恰好相反,位于分母(或分子)上,则可利用常数“1”将已知与所求进行相乘,从而得到常数项与互为倒数的两项,然后利用均值不等式求解。
例如:已知0,0,231x y x y >>+=,求32x y+的最小值 解:()3232942366y x x y x y x y x y⎛⎫+=++=+++ ⎪⎝⎭94121224y x x y =++≥+= (3)运用均值不等式将方程转为所求式子的不等式,通过解不等式求解: 例如:已知0,0,24x y x y xy >>++=,求2x y +的最小值解:()22211222228x y x y xy x y ++⎛⎫=⋅⋅≤= ⎪⎝⎭ 所以()()2224248x y x y xy x y +++=⇒++≥即()()2282320x y x y +++-≥,可解得24x y +≥,即()min 24x y +=注:此类问题还可以通过消元求解:42241xx y xy y x -++=⇒=+,在代入到所求表达式求出最值即可,但要注意0y >的范围由x 承担,所以()0,2x ∈ 二、典型例题:例1:设1x >-,求函数(5)(2)1x x y x ++=+的最小值为_______________思路:考虑将分式进行分离常数,(5)(2)41511x x y x x x ++==+++++,使用均值不等式可得:59y ≥=,等号成立条件为4111x x x +=⇒=+,所以最小值为9 答案:9例2:已知0,0x y >>,且115x y x y+++=,则x y +的最大值是________ 思路:本题观察到所求x y +与11x y+的联系,从而想到调和平均数与算术平均数的关系,即2114112x y x y x yx y+≤⇒+≥++,代入方程中可得: ()()()()245540x y x y x y x y ++≤⇒+-++≤+,解得:14x y ≤+≤,所以最大值为4 答案:4例3:已知实数,m n ,若0,0m n ≥≥,且1m n +=,则2221m n m n +++的最小值为( ) A.14 B. 415 C. 18 D. 13思路:本题可以直接代入消元解决,但运算较繁琐。
考虑对所求表达式先变形再求值,可用分离常数法将分式进行简化。
2241212121m n m n m n m n +=-+-++++++,结合分母可将条件1m n +=,变形为()()214m n +++=,进而利用均值不等式求出最值解:222244114121212121m n m n m n m n m n m n -+-++=+=-++-+++++++ ()4141322121m n m n m n =+-++=+-++++ ()()1214m n m n +=⇒+++= ()()()414141112214121214421n m m n m n m n m n +⎛⎫+⎛⎫∴+=+⋅+++=+++⎡⎤ ⎪ ⎪⎣⎦++++++⎝⎭⎝⎭19544⎛≥+= ⎝ 229122144m n m n ∴+≥-=++,即2221m n m n +++的最小值为14答案:A例4:已知正实数,x y 满足24xy x y ++=,则x y +的最小值为__________思路:本题所求表达式x y +刚好在条件中有所体现,所以考虑将x y +视为一个整体,将等式中的项往x y +的形式进行构造,()()()21xy x y xy x x y x y x y ++=+++=+++,而()1x y +可以利用均值不等式化积为和,从而将方程变形为关于x y +的不等式,解不等式即可解:()()()24414xy x y xy x x y x y x y ++=⇔+++=⇔+++=()()2112x y x y ++⎡⎤+≤⎢⎥⎣⎦ ∴方程变形为:()()2142x y x y ++⎡⎤++≥⎢⎥⎣⎦()()21416x y x y ∴++++≥⎡⎤⎣⎦()()26150x y x y ∴+++-≥解得:3x y +≥= 答案:()x y +的最小值为3 例5:已知20a b >>,则4(2)a b a b +-的最小值为______________思路一:所求表达式为和式,故考虑构造乘积为定值以便于利用均值不等式,分母为()2b a b -,所以可将a 构造为()112222a a b b ⋅=⋅-+⎡⎤⎣⎦,从而三项使用均值不等式即可求出最小值:4181(2)3(2)2(2)2a a b b b a b b a b ⎡⎤+=-++≥⋅=⎢⎥--⎣⎦ 思路二:观察到表达式中分式的分母()2b a b -,可想到作和可以消去b ,可得()()2222b a b b a b a +-⎡⎤-≤=⎢⎥⎣⎦,从而244(2)a a b a b a +≥+-,设()24f a a a =+,可从函数角度求得最小值(利用导数),也可继续构造成乘积为定值:()24322a a f a a =++≥= 答案:3小炼有话说:(1)和式中含有分式,则在使用均值不等式时要关注分式分母的特点,并在变形的过程中倾向于各项乘积时能消去变量,从而利用均值不等式求解 (2)思路二体现了均值不等式的一个作用,即消元(3)在思路二中连续使用两次均值不等式,若能取得最值,则需要两次等号成立的条件不冲突。
所以多次使用均值不等式时要注意对等号成立条件的检验 例6:设二次函数()()24f x ax x c x R =-+∈的值域为[)0,+∞,则1919c a +++的最大值为__________思路:由二次函数的值域可判定0a >,且04ac ∆=⇒=,从而利用定值化简所求表达式:19918918511999913913a c a c c a ac a c a c a c +++++====++++++++++,则只需确定9a c +的范围即可求出1919c a +++的最值。
由均值不等式可得:912a c +≥,进而解出最值 解:二次函数()()24f x ax x c x R =-+∈的值域为[)0,+∞16404ac ac a ∆=-=⇒=⎧∴⎨>⎩ ()()()9911991891851191999913913a c a c a c c a c a ac a c a c a c ++++++++====++++++++++++912a c +≥=195611912135c a ∴+≤+=+++ 答案:65例7:已知,,x y z R +∈,则222xy yzx y z μ+=++的最大值是________思路:本题变量个数较多且不易消元,考虑利用均值不等式进行化简,要求得最值则需要分子与分母能够将变量消掉,观察分子为,xy yz 均含y ,故考虑将分母中的2y 拆分与22,x z 搭配,即22222221122xy yz xy yzx y z x y y z μ++==++⎛⎫⎛⎫+++ ⎪ ⎪⎝⎭⎝⎭,而222211,22x y z y +≥=+≥=,所以2μ≤=答案:2小炼有话说:本题在拆分2y 时还有一个细节,因为分子,xy yz 的系数相同,所以要想分子分母消去变量,则分母中,xy yz 也要相同,从而在拆分2y 的时候要平均地进行拆分(因为22,x z 系数也相同)。
所以利用均值不等式消元要善于调整系数,使之达到消去变量的目的。
例8:已知正实数,x y 满足3x y x y ++=,若对任意满足条件的,x y ,都有2()()10x y a x y +-++≥恒成立,则实数a 的取值范围为________思路:首先对恒成立不等式可进行参变分离,()1a x y x y≤+++。
进而只需求得()1x y x y+++的最小值。
将x y +视为一个整体,将3x y xy ++=中的xy 利用均值不等式换成x y +,然后解出x y +的范围再求最小值即可 解:()21()()10x y a x y a x y x y+-++≥⇒≤+++,0x y > 22x y xy +⎛⎫∴≤ ⎪⎝⎭232x y x y xy +⎛⎫∴++=≤ ⎪⎝⎭()()2412x y x y ∴++≤+ 解得:6x y +≥或2x y +≤-(舍)()min 1137666x y x y ⎡⎤∴++=+=⎢⎥+⎣⎦ (在6x y +=时取得) 376a ∴≤例9:已知1,0,0x y y x +=>≠,则121x x y ++的最小值是___________ 思路:观察到所求121x x y ++的两项中x 部分互为倒数,所以想到利用均值不等式构造乘积为定值,所以结合第二项的分母变形12x的分子。