高中数学课时训练(含解析):不等式 (1)
- 格式:doc
- 大小:287.00 KB
- 文档页数:9
课时素养评价十二基本不等式的应用(15分钟35分)1.已知a〉b>0,全集为R,集合M=x b<x〈,N={x|<x〈a},P={x|b〈x≤},则M,N,P满足()A.P=M∩(R N) B。
P=(R M)∩NC.P=M∪N D。
P=M∩N【解析】选A。
由a>b〉0结合基本不等式可得,a>〉〉b,故P=M∩(R N)。
2。
某工厂第一年产量为A,第二年的增长率为a,第三年的增长率为b,这两年的平均增长率为x,则()A。
x= B.x≤C.x>D.x≥【解析】选B.由条件知A(1+a)(1+b)=A(1+x)2,所以(1+x)2=(1+a)(1+b)≤,所以1+x≤1+,故x≤。
3。
已知a〉0,b〉0,ab=1,且m=b+,n=a+,则m+n的最小值是()A。
3 B.4 C.5 D。
6【解题指南】利用“1”的代换解题。
【解析】选B。
因为ab=1,所以m=b+=2b,n=a+=2a,所以m+n=2(a+b)≥4=4。
当且仅当a=b=1时,等号成立。
【补偿训练】若实数a,b满足+=,则ab的最小值为()A.B。
2 C。
2 D.4【解析】选C。
由题意知a>0,b〉0,则+≥2=,当且仅当=,即b=2a时等号成立。
所以≥,即ab≥2.4。
周长为+1的直角三角形面积的最大值为________。
【解析】设直角三角形的两条直角边边长分别为a,b,则+1=a+b+≥2+,解得ab≤,当且仅当a=b=时取等号,所以直角三角形面积S≤,即S的最大值为.答案:5。
某公司一年购买某种货物400吨,每次都购买x吨,运费为4万元/次,一年的总存储费用为4x万元,要使一年的总运费与总存储费用之和最小,则x=________。
【解析】总运费与总存储费用之和f(x)=4x+×4=4x+≥2=160,当且仅当4x=,即x=20时取等号。
答案:206.设a,b,c均为正数,且a+b+c=1。
课 题:含有绝对值的不等式(1)教学目的:1.理解含有绝对值的不等式的性质;2.培养学生观察、推理的思维能力, 使学生树立创新意识; 3运用联系的观点解决问题,提高学生的数学素质;4.认识不等式证法的多样性、灵活性教学重点:含有绝对值不等式的性质、定理的综合运用教学难点:对性质的理解、常见证明技巧授课类型:新授课课时安排:1课时教 具:多媒体、实物投影仪教学过程:一、复习引入:前面我们已学过不等式的性质和证明方法,这一节我们再来研究一些含有绝对值的不等式的证明问题我们知道,当a >0时,|x |<a ⇔-a <x <a ,|x |>a ⇔x >a 或x <-a根据上面的结果和不等式的性质,我们可以推导出含有绝对值的不等式具有下面的性质二、讲解新课:定理:||||||||||b a b a b a +≤+≤-证明:∵|||||)||(|||||||||b a b a b a b b b a a a +≤+≤+-⇒⎭⎬⎫≤≤-≤≤- ||||||b a b a +≤+⇒ ①又∵a =a +b -b |-b |=|b |由①|a |=|a +b -b |≤|a +b |+|-b | 即|a |-|b |≤|a +b | ②综合①②: ||||||||||b a b a b a +≤+≤-注意:1︒ 左边可以“加强”同样成立,即||||||||||b a b a b a +≤+≤-2︒ 这个不等式俗称“三角不等式”—三角形中两边之和大于第三边,两边之差小于第三边3︒ a ,b 同号时右边取“=”,a ,b 异号时左边取“=”推论1:||21n a a a +++ ≤||||||21n a a a +++推论2:||||||||||b a b a b a +≤-≤-证明:在定理中以-b 代b 得:|||||)(|||||b a b a b a -+≤-+≤--即 ||||||||||b a b a b a +≤-≤-三、讲解范例:例1 已知|x |<3ε,|y |<6ε,|z |<9ε, 求证 |x +2y -3z |<ε 证明:|x +2y -3z |≤|x |+|2y |+|-3z |=|x |+2|y |+3|z |∵|x |<3ε,|y |<6ε,|z |<9ε, ∴|x |+2|y |+3|z |<εεεε=++93623 ∴|x +2y -3z |<ε说明:此例题主要应用了推论1,其中出现的字母ε,其目的是为学生以后学习微积分作点准备例2 设a , b , c , d 都是不等于0的实数,求证||||||||a d d c cb b a +++≥4证明:∵ ,0||,0||,0||,0||>>>>ad a c c b b a ∴,||2||2||||2||||ca cb b ac b b a c b b a =⋅=⋅≥+ ① ,||2||2||||2||||ac ad d c a d d c a d d c =⋅=⋅≥+ ② 又 2||2||||2||||4=⋅=⋅≥+a c c a a c c a ac c a ③ 由①,②,③式,得4)||||2( ||2||2||||||||≥+=+≥+++ac c a a c c a ad d c c b b a 说明:此题作为一个含绝对值的不等式,在证明过程中运用了基本不等式及不等式的性质,在证法上采用的是综合法例3 已知|a |<1,|b |<1,求证|1|abb a ++<1 证明:|1|ab b a ++<122)1()(ab b a ++⇔<1 .0)1)(1(012122222222222>--⇔>+--⇔++<++⇔b a b a b a b a ab b ab a 由|a |<1,|b |<1,可知(1-a 2)(1-b 2)>0成立,所以 |1|abb a ++<1 说明:此题运用了|x |<a ⇔x 2<a 2这一等价条件将绝对值符号去掉,并采用了求差比较法证明其等价不等式的正确性,并用到了绝对值的有关性质,也体现了证明不等式的方法的综合性和灵活性例4 设|a |<1, |b |<1 求证|a +b |+|a -b |<2证明:当a +b 与a -b 同号时,|a +b |+|a -b |=|a +b +a -b |=2|a |<2当a +b 与a -b 异号时,|a +b |+|a -b |=|a +b -(a -b )|=2|b |<2∴|a +b |+|a -b |<2例5 已知21)(x x f += 当a ≠b 时 求证:|||)()(|b a b f a f -<- 证法一:1111|11||)()(|222222+++--+=+-+=-b a b a b a b f a f|||||)(||||))((|11||222222b a b a b a b a b a b a b a b a +-+=+-+<+++-= |||||||||)||(|b a b a b a b a -=+-+≤ 证法二:(构造法)如图21)(a a f OA +==,f OB =||||b a AB -=,由三角形两边之差小于第三边得|||)()(|b a b f a f -<-四、课堂练习:已知:|x -1|≤1,求证:(1)|2x +3|≤7; (2)|x 2-1|≤3证明:(1)∵|2x +3|=|2(x -1)+5|≤2|x -1|+5≤2+5=7(2)|x 2-1|=|(x +1)(x -1)|=|(x -1)[(x -1)+2]|≤|x -1||(x -1)+2|≤|x -1|+2≤1+2=3五、小结 :通过本节学习,要求大家理解含有绝对值不等式的性质,并能够简单的应用,同时认识证明不等式的方法的灵活性、多样性六、课后作业: 1:(1)a ,b ∈R ,求证|a +b |≤|a |+|b |;(2)已知|h |<ε,|k |<ε(ε>0),求证:|hk |<ε;(3)已知|h |<c ε, c <|x | (c >0,ε>0),求证:|xh |<ε 分析:用绝对值性质及不等式性质作推理运算绝对值性质有:|ab |=|a |·|b |;|a n |=|a |n ,|b a |=ba 等证明:(1)证法1:∵-|a |≤a ≤|a |,-|b |≤b ≤|b |∴-(|a |+|b |)≤a +b ≤|a |+|b | 即|a +b |≤|a |+|b |证法2:(平方作差)(|a |+|b |)2-|a +b |2=a 2+2|a ||b |+b 2-(a 2+2ab +b 2)=2[|a |·|b |-ab )=2(|ab |-ab )≥0显然成立故(|a |+|b |)2≥|a +b |2又∵|a |+|b |≥0,|a +b |≥0,所以|a |+|b |≥|a +b |, 即|a +b |≤|a |+|b |(2)∵0≤|h |<ε,0≤|k |<ε (ε>0),∴0≤|hk |=|h |·|k |<ε·ε=ε(3)由0<c <|x |可知: 0<c x 11<且0≤|h |<c ε,∴c h x 11<⋅·c ε,即|xh |<ε 2:|x +x1|≥2(x ≠0) 分析:x 与x 1同号,因此有|x +x 1|=|x |+|x 1| 证法一:∵x 与x 1同号,∴|x +x1|=|x |+x 1∴|x +x 1|=|x |+x 1≥2xx 1⋅=2,即|x +x 1|≥2 证法二:当x >0时,x +x1≥2x x 1⋅=2 当x <0时,-x >0,有-x +2121)(21-≤+⇒=-⋅-≥-xx x x x ∴x ∈R 且x ≠0时有x +x 1≤-2,或x +x 1≥2 即|x +x1|≥2 方法点拨:不少同学这样解: 因为|x +x 1|≤|x |+x 1,又|x |+x 1≥2xx 1⋅=2,所以|x +x 1|≥2 学生认为这样解答是根据不等式的传递性实际上,上述两个不等式是异向不等式,是不符合传递性的,因而如此作解是错误的 3:|A-a |<2ε,|B-b |<2ε,求证: (1)|(A +B )-(a +b )|<ε;(2)|(A -B )-(a -b )|<ε分析:证明本题的关键是把结论的左边凑出条件的左边,创造利用条件的机会证明:因为|A -a |<2ε,|B -b 2所以(1)|(A +B )-(a +b )|=|(A -a )+(B -b )|≤|A -a |+|B -b |<2ε+2ε=ε 即|(A +B )-(a +b )|<ε(2)|(A -B )-(a -b )|=|(A -a )-(B -b )|≤|A -a |+|B -b |<2ε+2ε=ε 即|(A -B )-(a -b )|<ε方法点拨:本题的证明过程中运用了凑的技巧,望给予足够重视,灵活掌握七、板书设计(略)八、课后记:活动目的:教育学生懂得“水”这一宝贵资源对于我们来说是极为珍贵的,每个人都要保护它,做到节约每一滴水,造福子孙万代。
不等式练习题及讲解高中答案### 不等式练习题及讲解#### 一、基础不等式练习题1. 题目一:若 \( a, b, c \) 均为正数,证明不等式 \( a + b\geq 2\sqrt{ab} \) 成立。
2. 题目二:已知 \( x \) 和 \( y \) 均为实数,且 \( x^2 + y^2 = 1 \),求证 \( x + y \leq \sqrt{2} \)。
3. 题目三:若 \( a, b \) 均为正整数,证明 \( a^2 + b^2 \geq 2ab \)。
4. 题目四:对于任意实数 \( x \),证明 \( \frac{x^2}{2} +\frac{1}{2x^2} \geq 1 \)。
5. 题目五:若 \( x, y, z \) 均为正数,证明 \( \frac{1}{x} + \frac{1}{y} + \frac{1}{z} \geq \frac{9}{xy + yz + zx} \)。
#### 二、不等式练习题讲解题目一讲解:利用算术平均数-几何平均数不等式(AM-GM不等式):\[ a + b \geq 2\sqrt{ab} \]这是因为对于任意非负实数 \( a \) 和 \( b \),它们的算术平均数总是大于或等于它们的几何平均数。
题目二讲解:由于 \( x^2 + y^2 = 1 \),我们有 \( (x + y)^2 \leq 2(x^2 +y^2) = 2 \),从而 \( x + y \leq \sqrt{2} \)。
题目三讲解:同样使用AM-GM不等式:\[ a^2 + b^2 \geq 2\sqrt{a^2b^2} = 2ab \]当且仅当 \( a = b \) 时,等号成立。
题目四讲解:利用AM-GM不等式:\[ \frac{x^2}{2} + \frac{1}{2x^2} \geq 2\sqrt{\frac{x^2}{2}\cdot \frac{1}{2x^2}} = 1 \]等号成立条件是 \( x^2 = 1 \),即 \( x = \pm 1 \)。
2.2 基本不等式第1课时 基本不等式[目标] 1.理解基本不等式的内容及证明;2.能熟练运用基本不等式来比较两个实数的大小;3.能初步运用基本不等式证明简单的不等式.[重点] 基本不等式的内容及证明. [难点] 运用基本不等式证明简单的不等式.知识点 两个不等式[填一填]1.重要不等式:∀a ,b ∈R ,有a 2+b 2≥2ab ,当且仅当a =b 时,等号成立.2.基本不等式:如果a ,b ∈R +,那么ab ≤a +b 2,当且仅当a =b 时,等号成立.其中a +b2叫做正数a ,b 的算术平均数,ab 叫做正数a ,b 的几何平均数.所以两个正数的算术平均数不小于它们的几何平均数.[答一答]1.下面是基本不等式ab ≤a +b2的一种几何解释,请你补充完整. 如图所示,AB 为⊙O 的直径,AC =a ,CB =b ,过点C 作CD ⊥AB 交⊙O 上半圆于D ,连接OD ,AD ,BD .(1)由射影定理可知,CD =ab ,而OD =a +b2;(2)因为OD ≥CD ,所以a +b2≥ab 当且仅当C 与O 重合,即a =b 时,等号成立;(3)基本不等式ab ≤a +b2的几何意义是半径不小于半弦.2.不等式a 2+b 2≥2ab 和基本不等式ab ≤a +b2成立的条件有什么不同?提示:不等式a 2+b 2≥2ab 对任意实数a ,b 都成立;ab ≤a +b2中要求a ,b 都是正实数.3.(1)基本不等式中的a ,b 可以是代数式吗? (2)a +b 2≥ab 与⎝⎛⎭⎫a +b 22≥ab 是等价的吗?提示:(1)可以.但代数式的值必须是正数,否则不成立. (2)不等价,前者条件是a >0,b >0,后者是a ,b ∈R .类型一 用基本不等式比较大小[例1] 若0<a <1,0<b <1,且a ≠b ,试找出a +b ,a 2+b 2,2ab ,2ab 中的最大者. [解] ∵0<a <1,0<b <1,且a ≠b ,∴a +b >2ab ,a 2+b 2>2ab ,∴四个数中最大的应从a +b ,a 2+b 2中选择. 而a 2+b 2-(a +b )=a (a -1)+b (b -1), ∵0<a <1,0<b <1,∴a (a -1)<0,b (b -1)<0, ∴a 2+b 2-(a +b )<0,即a 2+b 2<a +b , ∴a +b 最大.利用基本不等式比较实数大小的注意事项(1)利用基本不等式比较大小,常常要注意观察其形式(和与积),同时要注意结合函数的性质.(2)利用基本不等式时,一定要注意条件是否满足a >0,b >0.[变式训练1] (1)已知a ,b ∈R ,且ab >0,则下列结论恒成立的是( D ) A .a 2+b 2>2ab B .a +b ≥2ab C.1a +1b >2abD.b a +a b≥2 解析:对于A,当a =b 时,a 2+b 2=2ab ,所以A 错误;对于B,C,ab >0只能说明a ,b 同号,当a ,b 都小于0时,B,C 错误;对于D,因为ab >0,所以b a >0,a b >0,所以b a +ab ≥2b a ·a b ,即b a +ab≥2成立.(2)已知a ,b 是不相等的正数,x =a +b2,y =a +b ,试比较x ,y 的大小.解:a ,b 是不相等的正数,由x =a +b 2得x 2=a +b +2ab 2<a +b +a +b2=a +b ,又∵y =a +b ,即y 2=a +b ,∴x 2<y 2,即x <y . 类型二 用基本不等式证明不等式[例2] (1)已知a ,b ,c 为不全相等的正实数,求证:a +b +c >ab +bc +ca . (2)已知a ,b ,c 为正实数,且a +b +c =1, 求证:⎝⎛⎭⎫1a -1⎝⎛⎭⎫1b -1⎝⎛⎭⎫1c -1≥8.[分析] (1)左边是和式,右边是带根号的积式之和,所以用基本不等式,将和变积,并证得不等式.(2)不等式右边数字为8,使我们联想到左边因式分别使用基本不等式,可得三个“2”连乘,又1a -1=1-a a =b +c a ≥2bc a,可由此变形入手. [证明] (1)∵a >0,b >0,c >0,∴a +b ≥2ab >0,b +c ≥2bc >0,c +a ≥2ca >0.∴2(a +b +c )≥2(ab +bc +ca ), 即a +b +c ≥ab +bc +ca .由于a ,b ,c 为不全相等的正实数,故等号不成立. ∴a +b +c >ab +bc +ca . (2)∵a ,b ,c 为正实数,且a +b +c =1, ∴1a -1=1-a a =b +c a ≥2bc a , 同理1b -1≥2ac b ,1c -1≥2ab c.由上述三个不等式两边均为正,分别相乘,得⎝⎛⎭⎫1a -1⎝⎛⎭⎫1b -1⎝⎛⎭⎫1c -1≥2bc a ·2ac b ·2ab c =8. 当且仅当a =b =c =13时,等号成立.利用基本不等式证明不等式的策略与注意事项1.利用基本不等式证明不等式,关键是所证不等式中必须有“和”式或“积”式,通过将“和”式转化为“积”式或将“积”式转化为“和”式,从而达到放缩的效果.2.注意多次运用基本不等式时等号能否取到.3.解题时要注意技巧,当不能直接利用基本不等式时,可将原不等式进行组合、构造,以满足能使用基本不等式的形式.[变式训练2] 已知a ,b ,c 为正数,且a +b +c =1,证明:1a +1b +1c≥9.证明:1a +1b +1c =a +b +c a +a +b +c b +a +b +c c =3+(b a +a b )+(c a +a c )+(c b +b c )≥3+2+2+2=9.当且仅当a =b =c =13时,等号成立.1.给出下列条件:①ab >0;②ab <0;③a >0,b >0;④a <0,b <0,其中能使b a +ab ≥2成立的条件有( C )A .1个B .2个C .3个D .4个解析:当b a ,a b 均为正数时,b a +ab ≥2,故只须a 、b 同号即可.所以①③④均可以.2.已知x >0,y >0,且2x +1y =1,若x +2y >m 恒成立,则实数m 的取值范围是( D )A .{m |m <6}B .{m |m ≤6}C .{m |m ≤8}D .{m |m <8}解析:本题考查基本不等式的应用.x +2y =(x +2y )·⎝⎛⎭⎫2x +1y =4+4y x +x y≥4+24=8(当且仅当4y x =xy ,即x =4,y =2时等号成立),所以x +2y >m 恒成立,只需(x +2y )min >m .所以m <8.故选D.3.设b >a >0,且a +b =1,则四个数12,2ab ,a 2+b 2,b 中最大的是( A )A .bB .a 2+b 2C .2abD.12解析:因为b >a >0,所以a 2+b 2>2ab .又因为a +b =1,所以b >12.又b =b (b +a )=b 2+ab >b 2+a 2,所以b 最大,故选A.4.若a >0,b >0,a +b =2,则下列不等式对一切满足条件的a ,b 恒成立的是①③⑤(写出所有正确命题的序号).①ab ≤1;②a +b ≤2;③a 2+b 2≥2;④a 3+b 3≥3;⑤1a +1b ≥2.解析:因为a >0,b >0,a +b =2,所以ab ≤(a +b 2)2=1,所以①恒成立; a +b ≤2(a )2+(b )22=2,所以②不恒成立; a 2+b 2≥(a +b )22=2,所以③恒成立;当a =b =1时,a 3+b 3=2<3,所以④不恒成立; 1a +1b =12(a +b )(1a +1b )=12(2+a b +ba )≥2, 所以⑤恒成立. 5.已知x ,y 都是正数. 求证:(1)y x +xy≥2;(2)(x +y )(x 2+y 2)(x 3+y 3)≥8x 3y 3. 证明:(1)∵x ,y 都是正数,∴x y >0,yx >0,∴y x +x y≥2y x ·x y =2,即y x +x y≥2, 当且仅当x =y 时,等号成立. (2)∵x ,y 都是正数,∴x +y ≥2xy >0, x 2+y 2≥2x 2y 2>0,x 3+y 3≥2x 3y 3>0.∴(x +y )(x 2+y 2)(x 3+y 3)≥2xy ·2x 2y 2·2x 3y 3=8x 3y 3,即(x +y )(x 2+y 2)(x 3+y 3)≥8x 3y 3, 当且仅当x =y 时,等号成立.——本课须掌握的两大问题1.两个不等式a 2+b 2≥2ab 与a +b2≥ab 都是带有等号的不等式,对于“当且仅当…时,取‘=’”这句话的含义要有正确的理解.一方面:当a =b 时,a +b 2=ab ;另一方面:当a +b2=ab 时,也有a =b .2.在利用基本不等式证明的过程中,常需要把数、式合理的拆成两项或多项或把恒等式变形配凑成适当的数、式,以便于利用基本不等式.。
高中不等式试题及答案解析试题一:已知不等式 \( ax^2 + bx + c > 0 \),其中 \( a < 0 \),求 x 的取值范围。
答案解析:由于 \( a < 0 \),二次函数 \( ax^2 + bx + c \) 的图像是一个开口向下的抛物线。
不等式 \( ax^2 + bx + c > 0 \) 表示函数值在 x 轴上方的区域。
要找到 x 的取值范围,我们需要找到抛物线的根,即解方程 \( ax^2 + bx + c = 0 \)。
设 \( x_1 \) 和 \( x_2 \) 是方程 \( ax^2 + bx + c = 0 \) 的两个根,根据韦达定理,我们有:\[ x_1 + x_2 = -\frac{b}{a} \]\[ x_1 x_2 = \frac{c}{a} \]由于 \( a < 0 \),\( x_1 \) 和 \( x_2 \) 必定异号,这意味着\( x_1 x_2 < 0 \)。
因此,不等式 \( ax^2 + bx + c > 0 \) 的解集是 \( x \in (x_1, x_2) \)。
试题二:若 \( x > 0 \),求不等式 \( \frac{1}{x} + x \geq 2 \) 成立的条件。
答案解析:我们可以使用 AM-GM 不等式(算术平均数-几何平均数不等式)来解决这个问题。
对于任意正数 \( a \) 和 \( b \),有:\[ \frac{a + b}{2} \geq \sqrt{ab} \]令 \( a = \frac{1}{x} \) 和 \( b = x \),我们得到:\[ \frac{\frac{1}{x} + x}{2} \geq \sqrt{\frac{1}{x} \cdot x} \]\[ \frac{1}{2x} + \frac{x}{2} \geq 1 \]两边乘以 2,得到:\[ \frac{1}{x} + x \geq 2 \]当且仅当 \( a = b \) 时,AM-GM 不等式取等号,即 \( \frac{1}{x} = x \)。
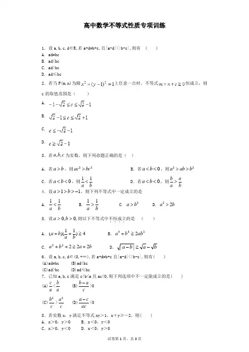
高中数学不等式性质专项训练1.设a,b,c,d ∈R,若a+d=b+c,且|a-d|<|b-c|,则有 ( )A. ad=bcB. ad<bcC. ad>bcD. ad≤bc2.若当P(m,n)为圆上任意一点时,不等式恒成立,则c 的取值范围是( ) A.B.C.D. 3.若,,a b c 为实数,则下列命题正确的是( )A .若a b >,则22ac bc >B .若0a b <<,则22a ab b >>C .若0a b <<,则11a b <D .若0a b <<,则b a a b> 4.设11a b >>>-,则下列不等式中一定成立的是C. 2a b >D. 22a b > 5.设,0,0>>b a 则以下不等式中不恒成立....的是 ( )A .2332ab b a ≥+C .b a b a 22222+≥++D 6.设a,b,c,d ∈(0,+∞),若a+d=b+c 且|a-d|<|b-c|,则有( )(A)ad=bc (B)ad<bc(C)ad>bc (D)ad ≤bc7.已知a,b,c 满足c<b<a 且ac<0,则下列选项中不一定能成立的是( )8.若实数x ,y 满足不等式xy >1,x +y≥-2,则( )A .x >0,y >0B .x <0,y <0C .x >0,y <0D .x <0,y >09.若实数a,b 满足a+b<0,则( )(A)a,b 都小于0(B)a,b 都大于0(C)a,b 中至少有一个大于0(D)a,b 中至少有一个小于010.如果a<0,b<0,则必有( )(A)a 3+b 3≥ab 2+a 2b (B)a 3+b 3≤ab 2+a 2b(C)a 3+b 3>ab 2+a 2b (D)a 3+b 3<ab 2+a 2b11.已知a ,b ,c 是实数,给出下列四个命题:①若a >a >b ,且k ∈N *,则a k >b k ;③若ac 2>bc 2,则a >b ;④若c >a >b >0的序号是( ).A .①④B .①②④C .③④D .②③12.若,,a b c ∈R ,且a b >,则下列不等式一定成立的是( )A .a c b c +≥-B .2()0a b c -≥C .ac bc > 13.已知1(,1)x e -∈,( )A .c b a >>B 14.设,,a b c 都是正数, ( ).A .M N ≥B .M N <C .M N =D .M N ≤15.若不等式x 2+ax +1≥0对于一切x a 的取值范围是A .a ≥0B .a ≥-2C .aD .a ≥-316.已知,则ab 应满足的条件是 . 17.已知-3<b<a<-1,-2<c<-1,则(a-b)c 2的取值范围是 .18.已知a >b >0,给出下列四个不等式:①a 2>b 2;②2a >2b -1;④a 3+b 3>2a 2b .其中一定成立的不等式序号为________.19.若至少存在一个0x >,使得关于x 的不等式22||x x a <--成立,则实数a 的取值范围为 .20.已知a≥b>0,求证:2a 3-b 3≥2ab 2-a 2b.21.已知f(x)=|x+1|+|x-1|,不等式f(x)的解集为M.(1).求M;(2).当a,b ∈M 时,证明:2|a+b|<|4+ab|.22.(设函数f(x)=|x +a |-|x -4|,x ∈R(1)当a=1时,解不等式f (x )<2;(2)若关于x 的不等式f(x)≤5-|a +l |恒成立,求实数a 的取值范围.23,且(2)0f x -≤的解集为[3,1]-.(1)求m 的值;(2)已知c b a ,,都是正数,且a b c m ++=,求证:答案第1页,总1页 参考答案1.C2.D3.B4.A5.B6.C7.C8.A9.D10.B11.C12.D13.B14.A15.C16.ab>0或ab<-117.(0,8)18.①②③1920.见解析21.(1){}22|<<-=x x M ;(2)证明过程详见解析.22.(1(2)50a -≤≤. 23.(1)2;(2)参考解析。
ab ;⑥若a<b<0,贝贝—>—;cdab3.不等式一.不等式的性质:1■同向不等式可以相加;异向不等式可以相减:若a>b,c>d,则a+c>b+d(若a>b,c<d,则a-c>b-d),但异向不等式不可以相加;同向不等式不可以相减;2.左右同正不等式:同向的不等式可以相乘,但不能相除;异向不等式可以相除,但不能相乘:若a>b>0,c>d>0,则ac>bd(若a>b>0,0<c<d,则a>—);3•左右同正不等式:两边可以同时乘方或开方:若a>b>0,则a n>—或%疮>n b;4.若ab>0,a>b,则1<1;若ab<0,a>b,则1>1。
如abab(1) 对于实数a,b,c中,给岀下列命题:①若a>b,则ac2>bc2;②若ac2>bc2,则a>b;③若a<b<0,贝Ua2>ab>b2;④若a<b<0,贝』<—;⑦若c>a>b>0,贝卩a>b;⑧若a>b丄>,则a>0,b<0oc一ac一bab其中正确的命题是(答:②③⑥⑦⑧);(2) __________________________________________________ 已知-1<x+y<1,1<x一y<3,则3x一y的取值围是(答:1<3x-y<7);c(3) 已知a>b>c,且a+b+c=0,则_的取值围是二.不等式大小比较的常用方法:1.作差:作差后通过分解因式、配方等手段判断差的符号得岀结果2•作商(常用于分数指数幂的代数式);3•分析法;4. 平方法;答:5. 分子(或分母)有理化;6. 利用函数的单调性;7.寻找中间量或放缩法;8.图象法。
高中不等式练习题及答案高中不等式练习题及答案在高中数学学习中,不等式是一个重要的概念和工具。
不等式是数学中描述数值大小关系的一种方式,它可以帮助我们解决各种实际问题。
在学习不等式的过程中,练习题是必不可少的,下面我将为大家提供一些高中不等式练习题及其答案。
1. 练习题一:解不等式:2x - 5 < 3x + 2解答:将不等式中的变量移到一边,常数移到另一边,得到:2x - 3x < 2 + 5化简得:-x < 7由于系数为负数,所以不等号方向需要翻转,得到:x > -72. 练习题二:解不等式:3(x - 2) > 2(x + 3)解答:先进行分配律的运算,得到:3x - 6 > 2x + 6将变量移到一边,常数移到另一边,得到:3x - 2x > 6 + 6化简得:x > 123. 练习题三:解不等式:4x + 5 > 3 - 2x解答:将变量移到一边,常数移到另一边,得到:4x + 2x > 3 - 5化简得:6x > -2由于系数为正数,所以不等号方向不需要翻转,得到:x > -1/34. 练习题四:解不等式:2x - 3 > 5x + 1解答:将不等式中的变量移到一边,常数移到另一边,得到:2x - 5x > 1 + 3化简得:-3x > 4由于系数为负数,所以不等号方向需要翻转,得到:x < -4/35. 练习题五:解不等式:2x + 1 < 3(x - 2)解答:先进行分配律的运算,得到:2x + 1 < 3x - 6将变量移到一边,常数移到另一边,得到:2x - 3x < -6 - 1化简得:-x < -7由于系数为负数,所以不等号方向需要翻转,得到:x > 7通过以上的练习题,我们可以看到解不等式的基本步骤。
首先,将不等式中的变量移到一边,常数移到另一边;然后,化简不等式;最后,根据系数的正负确定不等号的方向。
第二章一元二次函数、方程和不等式2.1等式性质与不等式性质第1课时不等关系与不等式[目标] 1.了解现实世界和日常生活中的不等关系;2.理解不等号的意义和不等式的概念,会用不等式和不等式组表示各种不等关系;3.理解实数大小与实数运算的关系,会用作差比较法比较两个实数的大小.[重点] 会用作差比较法比较两个实数的大小.[难点] 用不等式或不等式组表示各种不等关系.知识点一不等式与不等关系[填一填]1.不等式的定义所含的两个要点:(1)不等符号<,≤,>,≥或≠.(2)所表示的关系是不等关系.2.不等式中的文字语言与符号语言之间的转换[答一答]1.不等关系通过什么样的形式表现出来?提示:通过不等式来表现不等关系.2.在日常生活中,我们经常看到下列标志:(1)你知道各图中的标志有何作用?其含义是什么吗? (2)你能用一个数学式子表示上述关系吗?如何表示?提示:(1)①最低限速:限制行驶时速v 不得低于50公里; ②限制质量:装载总质量G 不得超过10 t ; ③限制高度:装载高度h 不得超过3.5米; ④限制宽度:装载宽度a 不得超过3米; ⑤时间范围:t ∈{t |7.5≤t ≤10}.(2)①v ≥50;②G ≤10;③h ≤3.5;④a ≤3;⑤7.5≤t ≤10. 知识点二 比较两实数a,b 大小的依据[填一填][答一答]3.用作差法比较两个实数的大小时,对差式应如何变形? 提示:一般地,对差式分解因式或配方. 4.比较x 2+3与3x 的大小(其中x ∈R ).提示:因为(x 2+3)-3x =x 2-3x +3=[x 2-3x +⎝⎛⎭⎫322]+3-⎝⎛⎭⎫322=⎝⎛⎭⎫x -322+34≥34>0,所以x 2+3>3x .类型一 用不等式(组)表示不等关系[例1] 已知甲、乙两种食物的维生素A,B 含量如下表:食物甲 乙 维生素A/(单位/kg) 600 700 维生素B/(单位/kg)800400设用甲、乙两种食物各x kg,y kg 配成混合食物,并使混合食物内至少含有56 000单位维生素A 和63 000单位维生素B.试用不等式组表示x ,y 所满足的不等关系.[分析] 根据维生素A 和B 分别至少为56 000单位和63 000单位列不等式.[解] x kg 甲种食物含有维生素A 600x 单位,含有维生素B 800x 单位,y kg 乙种食物含有维生素A 700y 单位,含有维生素B 400y 单位,则x kg 甲种食物与y kg 乙种食物配成的混合食物总共含有维生素A(600x +700y )单位,含有维生素B(800x +400y )单位,则有⎩⎪⎨⎪⎧ 600x +700y ≥56 000,800x +400y ≥63 000,x ≥0,y ≥0,即⎩⎪⎨⎪⎧6x +7y ≥560,4x +2y ≥315,x ≥0,y ≥0.1.用不等式(组)表示不等关系的步骤: (1)审清题意,明确条件中的不等关系的个数; (2)适当设未知数表示变量;(3)用不等式表示每一个不等关系,并写成不等式组的形式. 2.常见的文字语言与符号语言之间的转换[变式训练1]《铁路旅行常识》规定:一、随同成人旅行,身高在1.1~1.4米的儿童享受半价客票(以下称儿童票),超过1.4米的应买全价票,每一名成人旅客可免费带一名身高不足1.1米的儿童,超过一名时,超过的人数应买儿童票.……十、旅客免费携带物品的体积和重量是每件物品的外部长、宽、高尺寸之和不得超过160厘米,杆状物品不得超过200厘米,重量不得超过20千克……设身高为h(米),物品外部长、宽、高尺寸之和为P(厘米),请用不等式表示下表中的不等关系.解:由题意可获取以下主要信息:(1)身高用h(米)表示,物体长、宽、高尺寸之和为P(厘米);(2)题中要求用不等式表示不等关系.解答本题应先理解题中所提供的不等关系,再用不等式表示.身高在1.1~1.4米可表示为1.1≤h≤1.4,身高超过1.4米可表示为h>1.4,身高不足1.1米可表示为h<1.1,物体长、宽、高尺寸之和不得超过160厘米可表示为P≤160.如下表所示:类型二 比较大小[例2] (1)设m ∈R ,x ∈R ,比较x 2-x +1与-2m 2-2mx 的大小.(2)甲、乙是同班同学,且住在同一小区,两人同时从小区出发去学校,甲一半路程步行,一半路程跑步,乙一半时间步行,一半时间跑步,如果两人步行速度、跑步速度均相同,且跑步速度大于步行速度,试判断两人谁先到学校.[分析] (1)将两个代数式作差,判断它们差的符号.(2)依据题意求出甲、乙所用时间,作差法进行比较.[解] (1)∵x ∈R ,m ∈R ,∴(x 2-x +1)-(-2m 2-2mx )=x 2+(2m -1)x +(2m 2+1)=x 2+(2m -1)x +⎝⎛⎭⎫2m -122-⎝⎛⎭⎫2m -122+2m 2+1=⎝⎛⎭⎫x +2m -122+m 2+m +34=⎝⎛⎭⎫x +2m -122+⎝⎛⎭⎫m +122+12>0.∴x 2-x +1>-2m 2-2mx .(2)设步行速度与跑步速度分别为v 1,v 2,其中0<v 1<v 2,总路程为2s .则甲用的时间为s v 1+sv 2,乙有的时间为4s v 1+v 2.因为s v 1+s v 2-4s v 1+v 2=s (v 1+v 2)2-4s v 1v 2v 1v 2(v 1+v 2)=s (v 1-v 2)2v 1v 2(v 1+v 2)>0,所以sv 1+s v 2>4sv 1+v 2,故乙同学先到学校.1.作差法比较两个数大小的步骤及变形方法 (1)作差法比较的步骤:作差→变形→定号→结论.(2)变形的方法:①因式分解;②配方;③通分;④分母或分子有理化;⑤分类讨论. 2.作商法比较大小的步骤,①作商变形;②与1比较大小;③得出结论.[变式训练2] 设x ∈R ,且x ≠-1,比较11+x 与1-x 的大小.解:∵11+x -(1-x )=x 21+x ,而x 2≥0,(1)当x =0时,x 21+x =0,∴11+x =1-x .(2)当1+x <0,即x <-1时,x 21+x <0,∴11+x<1-x . (3)当1+x >0,且x ≠0,即-1<x <0或x >0时,x 21+x >0,∴11+x >1-x .综上可知:当x =0时,11+x =1-x ;当x <-1时,11+x <1-x ;当-1<x <0或x >0时,11+x>1-x .类型三 不等式的实际应用[例3] 某单位组织职工去某地参观学习,需包车前往.甲车队说:“如领队买全票一张,其余人可享受7.5折优惠.”乙车队说:“你们属团体票,按原价的8折优惠.”这两车队的收费标准、车型都是一样的,试根据此单位去的人数,比较两车队的收费哪家更优惠.[分析] 依据题意表示出两车队的收费,然后比较大小.[解] 设该单位职工有n 人(n ∈N *),全票价为x 元,坐甲车需花y 1元,坐乙车需花y 2元,则y 1=x +34x ·(n -1)=14x +34xn ,y 2=45xn ,y 1-y 2=14x +34xn -45xn =14x -120xn =14x ⎝⎛⎭⎫1-n 5. 当n =5时,y 1=y 2; 当n >5时,y 1<y 2; 当n <5时,y 1>y 2.因此,当此单位去的人数为5人时,两车队收费相同;多于5人时,选甲车队更优惠;少于5人时,选乙车队更优惠.(1)“最优方案”问题,首先要设出未知量,搞清楚比较的对象,然后把这个未知量用其他的已知量表示出来,通过比较即可得出结论.(2)这是一道与不等式有关的实际应用问题,解答时要有设有答,步骤完整.[变式训练3] 某蛋糕师制作A ,B 两种蛋糕,原材料中面粉、黄油、牛奶的需求量如下:制作一个A 种蛋糕需要面粉150 g,黄油100 g,牛奶50 mL ;制作一个B 种蛋糕需要面粉200 g,黄油140 g,牛奶70 mL.现有面粉1 000 g,黄油600 g,牛奶350 mL.若分别制作x 个A 种蛋糕,y 个B 种蛋糕.试列出x ,y 满足的不等式组.解:①制作A ,B 两种蛋糕需要的面粉不超过1 000 g,用不等式表示为150x +200y ≤1 000; ②制作A ,B 两种蛋糕需要的黄油不超过600 g,用不等式表示为100x +140y ≤600; ③制作A ,B 两种蛋糕需要的牛奶不超过350 mL,用不等式表示为50x +70y ≤350; ④A ,B 两种蛋糕的制作量都应不少于0,且为整数个,故x ∈N ,y ∈N . 所以x ,y 满足的不等式组为⎩⎪⎨⎪⎧150x +200y ≤1 000100x +140y ≤60050x +70y ≤350x ∈N ,y ∈N .1.李辉准备用自己节省的零花钱买一台学习机,他现在已存60元.计划从现在起以后每个月节省30元,直到他至少有400元,设x 个月后他至少有400元,则关于月数x 的不等式是( B )A .30x -60≥400B .30x +60≥400C .30x -60≤400D .30x +60≤400解析:x 月后他至少有400元,可表示成30x +60≥400.2.若x ≠-2且y ≠1,则M =x 2+y 2+4x -2y 的值与-5的大小关系是( A ) A .M >-5 B .M <-5 C .M ≥-5D .M ≤-5解析:M -(-5)=x 2+y 2+4x -2y +5 =(x +2)2+(y -1)2, ∵x ≠-2,y ≠1, ∴(x +2)2>0,(y -1)2>0, 因此(x +2)2+(y -1)2>0. 故M >-5.3.设a ≥0,b ≥0,A =a +b ,B =a +b ,则A ,B 的大小关系是( B ) A .A ≤B B .A ≥B C .A <BD .A >B 解析:由题意得,B 2-A 2=-2ab ≤0,因为A ≥0,B ≥0,所以A ≥B .4.b 克糖水中有a 克糖(b >a >0),若再添上m 克糖(m >0),则糖水就变甜了,试根据这个事实提炼一个不等式a +m b +m >ab(b >a >0,m >0).解析:由题意ab的比值越大,糖水越甜,若再添上m 克糖(m >0),则糖水就变甜了,说明a +mb +m >ab. 5.已知a ,b 为正实数,试比较a b +ba与a +b 的大小. 解:方法1(作差法):(a b +b a )-(a +b )=(a b -b )+(ba -a )=a -b b +b -a a=(a -b )(a -b )ab=(a -b )2(a +b )ab.∵a ,b 为正实数,∴a +b >0,ab >0,(a -b )2≥0, ∴(a -b )2(a +b )ab ≥0,∴a b +b a ≥a +b .方法2(作商法):b a +ab a +b =(b )3+(a )3ab (a +b )=(a +b )(a +b -ab )ab (a +b )=a +b -abab=(a -b )2+ab ab =1+(a -b )2ab ≥1.∵b a +a b >0,a +b >0,∴b a +ab≥a +b . 方法3(平方后作差):∵(a b +b a )2=a 2b +b 2a +2ab ,(a +b )2=a +b +2ab ,∴(a b +b a )2-(a +b )2=(a +b )(a -b )2ab .∵a >0,b >0,∴(a +b )(a -b )2ab ≥0,又a b +ba >0,a +b >0, 故a b +ba≥a +b .——本课须掌握的三大问题1.不等关系强调的是关系,可用符号“>”“<”“≠”“≥”“≤”表示,而不等式则是表示两者的不等关系,可用“a >b ”“a <b ”“a ≠b ”“a ≥b ”“a ≤b ”等式子表示,不等关系是可以通过不等式来体现的.2.不等式中文字语言与符号语言之间的转换 文字大于,高于,超过小于,低于,少于大于或等于,至少,小于或等于,至多,不(1)作差:对要比较大小的两个数(或式子)作差;(2)变形:对差进行变形;(3)判断差的符号:结合变形的结果及题设条件判断差的符号;(4)作出结论.这种比较大小的方法通常称为作差比较法.其思维过程:作差→变形→判断符号→结论,其中变形是判断符号的前提.。
完整版)高中数学不等式习题及详细答案第三章不等式一、选择题1.已知 $x\geq 2$,则 $f(x)=\frac{x^2-4x+5}{2x-4}$ 的取值范围是()。
A。
最大值为 5,最小值为 1B。
最大值为 5,最小值为 $\frac{11}{2}$C。
最大值为 1,最小值为 $\frac{11}{2}$D。
最大值为 1,最小值为 02.若 $x>0$,$y>0$,则$(x+\frac{1}{y})^2+(y+\frac{1}{x})^2$ 的最小值是()。
A。
3B。
$\frac{7}{2}$C。
4D。
$\frac{9}{2}$3.设 $a>0$,$b>0$,则下列不等式中不成立的是()。
A。
$a+b+\frac{1}{ab}\geq 2\sqrt{2}$B。
$(a+b)(\frac{1}{a}+\frac{1}{b}+\frac{1}{2})\geq 4$C。
$\sqrt{a^2+b^2}\geq a+b-\sqrt{2ab}$D。
$\frac{2ab}{a+b}\geq \sqrt{ab}$4.已知奇函数 $f(x)$ 在 $(-\infty,+\infty)$ 上是增函数,且$f(1)=3$,则不等式 $f(x)-f(-x)<0$ 的解集为()。
A。
$(-1,+\infty)$B。
$(-\infty,-1)\cup (1,+\infty)$C。
$(-\infty,-1)\cup (1,+\infty)$D。
$(-1,1)$5.当 $0<x<\frac{\pi}{2}$ 时,函数 $f(x)=\frac{1+\cos^2 x+8\sin^2 x}{2\sin^2 x}$ 的最小值为()。
A。
2B。
$\frac{2}{3}$C。
4D。
$\frac{3}{2}$6.若实数 $a,b$ 满足 $a+b=2$,则 $3a+3b$ 的最小值是()。
A。
18B。
选修45 不等式选讲第1课时 绝对值不等式1. 解不等式1<|x -1|<3.解:原不等式可化为1<x -1<3或-3<x -1<-1,解得不等式的解集为(-2,0)∪(2,4).2. 解不等式|x +1|+|x -2|<4.解:当x<-1时,不等式化为-x -1+2-x<4,解得-<x<-1;32当-1≤x≤2时,不等式化为x +1+2-x<4,得-1≤x≤2;当x>2时,不等式化为x +1+x -2<4,解得2<x<.52∴ 原不等式的解集为.(-32,52)3. 解不等式|x 2-2x +4|>2x.解:原不等式等价于x 2-2x +4<-2x ①,或x 2-2x +4>2x ②.解①得解集为∅,解②得解集为{x|x∈R 且x≠2}.∴ 原不等式的解集为{x|x∈R 且x≠2}.4. 解不等式x 2-|x|-2<0.解:(解法1)当x≥0时,x 2-x -2<0,解得-1<x<2,∴ 0≤x<2;当x<0时,x 2+x -2<0,解得-2<x<1,∴ -2<x<0.∴ 原不等式的解集为{x|-2<x<2}.(解法2)原不等式可化为|x|2-|x|-2<0,解得-1<|x|<2.∵ |x|≥0,∴ 0≤|x|<2,∴ -2<x<2.∴ 原不等式的解集为{x|-2<x<2}.5. 已知满足不等式|2x +a|+|x -3|≤4的x 的最大值为3,求实数a 的值.解:因为x 的最大值为3,所以x≤3,即不等式为|2x +a|+3-x≤4,所以|2x +a|≤x+1,所以所以{x +1≥0,-x -1≤2x +a ≤x +1,){x ≥-1,x ≥-a -13,x ≤1-a ,)因为x 的最大值为3,所以1-a =3,即a =-2.6. 已知函数f(x)=|x +1|+|x -2|-|a 2-2a|.若函数f(x)的图象恒在x 轴上方,求实数a 的取值范围.解:f(x)的最小值为3-|a 2-2a|,由题设,得|a 2-2a|<3,解得a∈(-1,3).7. 已知函数f(x)=|x|-|x -3|.(1) 解关于x 的不等式f(x)≥1;(2) 若存在x 0∈R ,使得关于x 的不等式m≤f(x 0)成立,求实数m 的取值范围.解:(1) 原不等式等价于不等式组①:或②:或③:{x ≤0,-x +(x -3)≥1){0<x <3,x +(x -3)≥1)不等式组①无解;解不等式组②得2≤x<3;解不等式组③得x≥3,所以原不等式的解集{x ≥3,x -x +3≥ 1.)为[2,+∞).(2) 由题意知m≤f (x)max ,因为f(x)=|x|-|x -3|≤|x-x +3|=3,所以f(x)max =3,所以m≤3,即m∈(-∞,3].8. 已知函数f(x)=|1-x|-|2+x|.(1) 求f(x)的最大值;(2) |2t -1|≥f(x)恒成立,求实数t 的取值范围.解:(1) f(x)=|1-x|-|2+x|≤|1-x +2+x|=3,当且仅当x≤-2时等号成立,∴ f(x)max =3.(2) 由|2t -1|≥f(x)恒成立得|2t -1|≥f(x)max ,即|2t -1|≥3,2t -1≥3或2t -1≤-3,解得t≥2 或 t≤-1,∴ 实数t 的取值范围是(-∞,-1]∪[2,+∞).9. 已知关于x 的不等式|ax -1|+|ax -a|≥1(a>0).(1) 当a =1时,求此不等式的解集;(2) 若此不等式的解集为R ,求实数a 的取值范围.解:(1) 当a =1时,得2|x -1|≥1, 即|x -1|≥,12解得x≥或x≤,3212∴ 不等式的解集为∪.(-∞,12][32,+∞)(2) ∵ |ax -1|+|ax -a|≥|a-1|,∴ 原不等式解集为R 等价于|a -1|≥1.∴ a≥2或a≤0.∵ a>0,∴ a≥2.∴ 实数a 的取值范围是[2,+∞).10. 设函数f(x)=|2x +1|-|x -2|.(1) 求不等式f(x)>2的解集;(2) ∀x∈R ,f(x)≥t 2-t ,求实数t 的取值范围.112解:(1) f(x)={-x -3,x <-12,3x -1,-12≤x <2,x +3,x ≥2,)当x<-时,-x -3>2,x<-5,∴ x<-5;12当-≤x<2时,3x -1>2,x>1,∴ 1<x<2;12当x≥2时,x +3>2,x>-1,∴ x≥2.综上所述,不等式f(x)>2的解集为{x|x>1或x<-5}.(2) f(x)min =-,若∀x∈R ,f(x)≥t 2-t 恒成立,52112则只需f(x)min =-≥t 2-,解得≤t≤5.5211t 212即t 的取值范围是.[12,5]11. 设函数f(x)=|2x -1|-|x +1|.(1) 求不等式f(x)≤0的解集D ;(2) 若存在实数x∈{x|0≤x≤2},使得+>a 成立,求实数a 的取值范围.3x 2-x 解:(1) 当x≤-1时,由f(x)=-x +2≤0得x≥2,所以x∈∅;当-1<x≤时,由f(x)=-3x≤0得x≥0,所以0≤x≤;1212当x>时,由f(x)=x -2≤0得x≤2,所以<x≤2.1212综上,不等式f(x)≤0的解集D ={x|0≤x≤2}.(2) +=+,由柯西不等式得(+)2≤(3+1)[x +(2-x)]=8,∴ +3x 2-x 3x 2-x 3x 2-x 3x ≤2,当且仅当x =时取“=”, ∴ a 的取值范围是(-∞,2).2-x 2322第2课时 不等式证明的基本方法1. 已知x≥1,y≥1,求证:x 2y +xy 2+1≤x 2y 2+x +y.证明:左边-右边=(y -y 2)x 2+(y 2-1)x -y +1=(1-y)[yx 2-(1+y)x +1]=(1-y)(xy -1)(x -1),∵ x≥1,y≥1,∴ 1-y≤0,xy -1≥0,x -1≥0.从而左边-右边≤0,∴ x 2y +xy 2+1≤x 2y 2+x +y.2. (2017·苏州期末)已知a ,b ,x ,y 都是正数,且a +b =1,求证:(ax +by)(bx +ay)≥xy.证明:因为a ,b ,x ,y 都是正数,所以(ax +by)(bx +ay)=ab(x 2+y 2)+xy(a 2+b 2)≥ab·2xy+xy(a 2+b 2)=(a +b)2xy.又a +b =1,所以(ax +by)(bx +ay)≥xy.当且仅当x =y 时等号成立.3. 已知x ,y ,z∈R ,且x +2y +3z +8=0.求证:(x -1)2+(y +2)2+(z -3)2≥14.证明:因为[(x -1)2+(y +2)2+(z -3)2](12+22+32)≥[(x-1)+2(y +2)+3(z -3)]2=(x +2y +3z -6)2=142,当且仅当==,即x =z =0,y =-4时,取等号,x -11y +22z -33所以(x -1)2+(y +2)2+(z -3)2≥14.4. 已知函数f(x)=|2x -1|+|x +1|,函数g(x)=f(x)+|x +1|的值域为M.(1) 求不等式f(x)≤3的解集;(2) 若t∈M,求证:t 2+1≥+3t.3t (1) 解:依题意,得f(x)=于是得f(x)≤3⇒或或{-3x ,x ≤-1.2-x ,-1<x <12,3x ,x ≥12,){x ≤-1,-3x ≤3){-1<x <12,2-x ≤3)解得-1≤x≤1.即不等式f(x)≤3的解集为{x|-1≤x≤1}.{x ≥12,3x ≤3,)(2) 证明:g(x)=f(x)+|x +1|=|2x -1|+|2x +2|≥|2x-1-2x -2|=3,当且仅当(2x -1)(2x +2)≤0时,取等号,∴M=[3,+∞).原不等式等价于t 2-3t +1-==.3t t3-3t2+t -3t (t -3)(t2+1)t ∵t∈M,∴t-3≥0,t 2+1>0.∴≥0.∴t 2+1≥+3t.(t -3)(t2+1)t 3t 5. (2017·苏、锡、常、镇二模)已知a ,b ,c 为正实数,求证:++≥a+b +c.b2a c2b a2c 证明:∵ a ,b ,c 为正实数,∴ a +≥2b,b +≥2c,c +≥2a,b2a c2b a2c 将上面三个式子相加得a +b +c +++≥2a+2b +2c ,b2a c2b a2c ∴ ++≥a+b +c.b2a c2b a2c 6. 设a 1,a 2,a 3均为正数,且a 1+a 2+a 3=1,求证:++≥9.1a11a21a3证明:因为a 1,a 2,a 3均为正数,且a 1+a 2+a 3=1,所以++=(a 1+a 2+a 3)1a11a21a3≥3(a 1a 2a 3)·3=9(当且仅当a 1=a 2=a 3时等号成立),所以++≥9.(1a1+1a2+1a3)13(1a1·1a2·1a3)13 1a11a21a37. 已知正数x ,y ,z 满足x +2y +3z =1,求++的最小值.1x 2y 3z 解:++=(x +2y +3z)1x 2y 3z (1x +42y +93z )=1+4+9++++++2y x 3z x 4x 2y 12z 2y 9x 3z 18y3z≥14+2+2+2=36,2y x ·4x 2y 3z x ·9x 3z 12z 2y ·18y 3z 当且仅当x =y =z =时等号成立,16∴ ++的最小值为36.1x 2y 3z 8. 已知x >0,y >0,z >0且xyz =1,求证:x 3+y 3+z 3≥xy+yz +zx.证明:∵ x >0,y >0,z >0,∴ x 3+y 3+z 3≥3xyz.同理x 3+y 3+1≥3xy,y 3+z 3+1≥3yz,x 3+z 3+1≥3xz.将以上各式相加,得3x 3+3y 3+3z 3+3≥3xyz+3xy +3yz +3zx.∵ xyz =1,∴ x 3+y 3+z 3≥xy+yz +zx.9. 已知a ,b ,c 均为正数,且a +2b +4c =3.求++的最小值,并指出取得最小值时1a +11b +11c +1a ,b ,c 的值.解:∵ a +2b +4c =3,∴ (a +1)+2(b +1)+4(c +1)=10.∵ a ,b ,c 为正数,∴ 由柯西不等式得[(a +1)+2(b +1)+4(c +1)]·≥(1++2)2.(1a +1+1b +1+1c +1)2当且仅当(a +1)2=2(b +1)2=4(c +1)2时,等式成立.∴++≥,1a +11b +11c +111+6210∴ 2(c +1)+2(c +1)+4(c +1)=10,2∴ c =,b =,a =.8-527152-17723-102710. 已知a +b +c =1,a ,b ,c >0.求证:(1) abc≤;127(2) a 2+b 2+c 2≥.3abc 证明:(1) a +b +c≥3·,而a +b +c =1⇒abc≤,当且仅当a =b =c =时取等号.3abc 12713(2) 由柯西不等式得a 2+b 2+c 2≥(a +b +c)2=,由(1)知≤,13133abc 13∴ a 2+b 2+c 2≥,当且仅当a =b =c =时取等号.3abc 11. 已知函数f(x)=,g(x)=.若存在实数x 使f(x)+g(x)>a 成立,求实数a 的取值范3x +614-x 围.解:存在实数x 使f(x)+g(x)>a 成立,等价于f(x)+g(x)的最大值大于a.∵ f(x)+g(x)=+3x +614-x =×+1×,3x +214-x 由柯西不等式得,(×+1×)2≤(3+1)·(x +2+14-x)=64,3x +214-x ∴ f(x)+g(x)=+≤8,当且仅当x =10时取等号.3x +614-x故实数a的取值范围是(-∞,8).。
高考数学不等式练习题及答案解析:一、选择题1.已知定义域为 R 的函数 f (x) 满足 f (x) f (x 4) ,且当 x 2 时, f (x) 单调递增,如果 x1 x2 4 且 (x1 2)(x2 2) 0 ,则 f (x1) f (x2 ) 的值 ()A、恒大于 0 B、恒小于 0 C、可能为 0 D、可正可负2.已知函数 f (x) x x3 , x1 、 x2 、 x3 R ,且 x1 x2 0 , x2 x3 0 , x3 x1 0 ,则 f (x1 ) f (x2 ) f (x3 ) 的值()A、一定大于零B、一定小于零C、等于零D、正负都有 3.设 M x, y y x2 2bx 1 , P x, y y 2ax b, S a,bM P ,则 S 的面积是 ( )A. 1B. C. 4D. 44.设f (x) 是 (x2 1 )6 2x 展开式的中间项,若 f (x) mx 在区间 2, 2数 m 的取值范围是() 2 上恒成立,则实A. 0, B. 5 4, C. 5 4,5D. 5, 5.若不等式x2logmx0在 0,1 2 内恒成立,则实数m的取值范围是1 m1 A. 160m 1B.160m 1C.4m 1 D. 16()6.已知实数 x,y 满足 3x2+2y2=6x,则 x2+y2 的最大值是( )9 A、 2B、4C、5D、27.若 0 < a,b,c < 1,并且 a + b + c = 2,则 a 2 + b 2 + c 2 的取值范围是( )4 (A)[ 3 ,+ ∞ )4 (B)[ 3 ,2 ]4 (C)[ 3 ,2 )4 (D)( 3 ,2 )8.不等式 1 log2 x > 1 – log 2 x 的解是((A)x ≥ 2(B)x > 1) (C)1 < x < 8(D)x > 2sin cossin 29.设 a = f (2),b = f ( sin cos ),c = f ( sin cos ),其中 f ( x ) = log sin θ x, θ∈( 0, 2 ),那么( (A)a ≤ c ≤ b) (B)b ≤ c ≤ a(C)c ≤ b ≤ a(D)a ≤ b ≤ c11110.S = 1 + 2 + 3 + … + 1000000 ,则 S 的整数部分是( )(A)1997(B)1998(C)1999(D)200011n 11.设 a > b > c,n∈N,且 a b + b c ≥ a c 恒成立,则 n 的最大值为( )(A)2(B)3(C)4(D)51 12.使不等式 2 x – a > arccos x 的解是– 2 < x ≤ 1 的实数 a 的值是( ) (A)1 – 22 2 (B) 2 – 32 5 (C) 2 – 61 (D) 2 – π13.若不等式 a b m4 a2 b2 对所有正实数 a,b 都成立,则 m 的最小值是( )33A. 2 B. 2 2 C. 2 4 D. 45 xi R, xi 0(i 1,2,3,4,5)14.设 xii 11 ,则 ma xx1 x2 , x2 x3 , x3 x4, x4 x5的最小值等于()1 A. 41 B. 31 C. 61 D. 415.已知 x, y, z 满足方程 x2 ( y 2)2 (z 2)2 2 ,则 x2 y2 z2 的最大值是A.4 2B.2 3C. 3 2D. 216. 若 直 线 y kx 1 与 圆 x2 y 2 kx my 4 0 交 于 M , N 两 点 , 且 M , N 关 于 直 线kkxx y2 my 00x y 0 对称,动点 P a,b 在不等式组 y 0表示的平面区域内部及边界上运动,则w b2 a 1 的取值范围是()A.[2,) B. (,2] C.[2,2] D. (,2] [2,)17.已知x0,y0,且2 x1 y1,若x2ym22m 恒成立,则实数 m的取值范围是( )A. m 4或 m 2 B. m 2或 m 4 C. 2 m 4 D. 4 m 218.关于 x 的不等式 cos x lg(9 x2) cos x lg(9 x2) 的解集为()A. (3, 2 2) (2 2,3)(2 2, ) ( , 2 2)B.22C. (2 2, 2 2)D. (3,3)19. 已 知 满 足 条 件的点构成的平面区域的面积为 ,满足条件的点构成的平面区域的面积为 ,其中 、 分别表示不大于 、的最大整数,例如 (),, 则 与 的关系A.B.C.D.20. 已 知 满 足 条 件的点构成的平面区域的面积为 ,满足条件的点构成的平面区域的面积为 ,(其中 、 分别表示不大于 、的最大整数),则点一定在()A.直线左上方的区域内B.直线上C.直线右下方的区域内D.直线左下方的区域内0 21.根据程序设定,机器人在平面上能完成下列动作:先从原点 O 沿正东偏北(2)方向行走一段时间后,再向正北方向行走一段时间,但 的大小以及何时改变方向不定. 如右图. 假定机器人行走速度为 10 米/分钟,设机器人行走 2 分钟时的可能落点区域为 S,则北S 可以用不等式组表示为(0 x 20 A. 0 y 20x2 y2 400 x0 y0C.)x2 y2 400 B. x y 20x y 20 x 20 y 20D.yP. (x, y)东Ox(m)0 22.根据程序设定,机器人在平面上能完成下列动作:先从原点 O 沿正东偏北(2)方向行走一段时间后,再向正北方向行走一段时间,但 的大小以及何时改变方向不定. 如右图. 假定机器人行走速度为 10 米/分钟,设机器人行走 2 分钟时的可能落点区域为 S,则 S 的面积(单位:平方米)等于( )A. 100B. 100 200C. 400 100D. 200北yP. (x, y)东Ox(m)23.定义:若存在常数 ,使得对定义域 D 内的任意两个不同的实数 , 均有成立,则称函数在定义域 D 上满足利普希茨条件.对于函数满足利普希茨条件、则常数 k 的最小值应是A.2 B.1 C. D.24.如果直线 y=kx+1 与圆交于 M、N 两点,且 M、N 关于直线x+y=0 对称,则不等式组:表示的平面区域的面积是( )A.B.25. 给出下列四个命题:①若C.1 ;D.2②“a<2”是函数“无零点”的充分不必要条件;③若向量 p=e1+e2,其中 e1,e2 是两个单位向量,则|p|的取值范围是[0,2];④命题“若 lgx>lgy,则 x>y”的逆命题.其中正确的命题是()A.①②B.①③C.③④D.①②③26.已知点(x, y)构成的平面区域如图(阴影部分)所示, 区域内取得最大值优解有无数多个,则 m 的值为A.B.C.D.(m 为常数),在平面27. 若 A.228.2C.4B.3 D.229. 如果正数满足A、,且等号成立时B、,且等号成立时C、,且等号成立时的最大值为C.4D.5,那么 的取值唯一 的取值唯一 的取值不唯一()D、,且等号成立时的取值不唯一30. 设 变 量 ()最小值为A.9B.431.设两个向量C.3 和D.2其中为实数.若则的取值范围是()A.B.C.D.32.某厂生产甲产品每千克需用原料 和原料 分别为 ,生产乙产品每千克需用原料和原料 分别为千克,甲、乙产品每千克可获利润分别为元,月初一次性够进本月用原料 各 千克,要计划本月生产甲产品和乙产品各多少千克才能使月利润总 额达到最大;在这个问题中,设全月生产甲、乙两种产品分别为 千克, 千克,月利润总额为 元,那么,用于求使总利润最大的数学模型中,约束条件为(A) 33.若(B) 且(C) ,则(D) 的最小值是(A)(B)3 (C)2 (D)34.若且则的最小值为( )(A)(B)35. 对任意实数 x,不等式(C)(D)恒成立,则 的取值范围是( )A.B.C.D.二、填空题36.已知函数 y f x是定义在 R 上的偶函数,当 x <0 时, f x 是单调递增的,则不等式 f x 1 > f 1 2x 的解集是_________________________. 37.已知集合 A x x2 ax x a ,集合 B x1 log2 x 1 2 ,若 A B ,则实数a 的取值范围是________________________.38.设 A {x 1 x 2}, B {x f (x) m 3},若 f (x) x2 1, A B ,则 m 的取值范围是_____39.已知 x 0, y 0 ,且 x y xy ,则 u x 4 y 的取值范围是_____________. xy02x y 2 y040.若不等式组 x y a 表示的平面区域是一个三角形及其内部,则 a 的取值范围是. 41.不等式 loga x2 2x 3 1 在 R 上恒成立,则 a 的取值范围是_________________.42. 下 列 四 个 命 题 中 : ① a b 2ab②sin2x4 sin2x4③设x, y都是正整数,若1 x9 y1 ,则 x y的最小值为12④若x2,y2,则xy 2其中所有真命题的序号是___________________.a b 1 43.已知 x, y 是正数, a, b 是正常数,且 x y , x y 的最小值为______________.44.已知 a,b, a b 成等差数列, a,b, ab 成等比数列,且 0 logm ab 1,则 m 的取值范围是______.45.已知 a2+b2+c2=1, x2+y2+z2=9, 则 ax+by+cz 的最大值为 三、解答题 46.(本小题满分 12 分)已知数列{an }和{bn }中, a1 t(t 0), a2 t 2 .当x t时, 函数 f (x) 1 3(an1an )x3(anan1 )x(n2)取得极值。
第1课时 不等式及其性质必备知识基础练进阶训练第一层知识点一用不等式表示不等关系1.下面表示“a 与b 的差是非负数”的不等关系的是( )A .a -b >0B .a -b <0C .a -b≥0D .a -b≤02.某隧道入口竖立着“限高4.5米”的警示牌,是指示司机要安全通过隧道,应使车载货物高度h 满足关系为( )A .h <4.5B .h >4.5C .h≤4.5D .h≥4.5知识点二作差法比较大小3.设a =3x 2-x +1,b =2x 2+x ,则( )A .a>bB .a<bC .a≥bD .a≤b4.若P =a +6+a +7,Q =a +5+a +8(a>-5),则P ,Q 的大小关系为( )A .P<QB .P =QC .P>QD .不能确定5.若A =a 2+3ab ,B =4ab -b 2,则A 、B 的大小关系是( )A .A≤B B .A≥BC .A<B 或A>BD .A>B知识点三用不等式的性质判断或证明6.下列命题正确的是( )A .若ac >bc ,则a >bB .若a 2>b 2,则a >bC .若1a >1b,则a <b D .若a <b ,则a <b7.给出下列命题: ①若ab>0,a>b ,则1a <1b ;②若a>b ,c>d ,则a -c>b -d ;③对于正数a ,b ,m ,若a<b ,则a b <a +mb +m .其中真命题的序号是________.8.(1)已知a <b <0,求证:b a <ab ;(2)已知a >b ,1a <1b ,求证:ab >0.关键能力综合练进阶训练第二层一、选择题1.按照神州十一号飞船环境控制与生命保障系统的设计指标,要求神州六号飞船返回舱的温度在(21±4) ℃之间(包含端点),则该返回舱中温度t(单位:℃)的取值X 围是( )A .t≤25B .t≥17C .17≤t≤25D .17<t<252.已知a +b>0,b<0,那么a ,b ,-a ,-b 的大小关系是( )A .a>b>-b>-aB .a>-b>-a>bC .a>-b>b>-aD .a>b>-a>-b3.已知a>b ,c>d ,且c ,d 不为0,那么下列不等式一定成立的是( )A .ad>bcB .ac>bdC .a +c>b +dD .a -c>b -d4.已知a ,b ,c 均为正实数,若c a +b <a b +c <ba +c,则a ,b ,c 的大小关系为( )A .c <a <bB .b <c <aC .a <b <cD .c <b <a5.已知x >y >z ,x +y +z =0,则下列不等式中成立的是( )A .xy >yzB .xz >yzC .xy >xzD .x|y|>z|y|6.已知a ,b∈(0,1),记M =ab ,N =a +b -1,则M 与N 的大小关系是( )A .M <NB .M >NC .M =ND .不确定二、填空题7.一辆汽车原来每天行驶x km ,如果该辆汽车每天行驶的路程比原来多19 km ,那么在8天内它的行程就超过2 200 km ,写出不等式为________;如果它每天行驶的路程比原来少12 km ,那么它原来行驶8天的路程就得花9天多的时间,用不等式表示为________.8.已知a +b >0,则a b 2+b a 2与1a +1b 的大小关系是________.9.(探究题)给定下列命题:①a>b ⇒a 2>b 2;②a 2>b 2⇒a>b ;③a>b ⇒b a <1;④a>b,c>d ⇒ac>bd ;⑤a>b,c>d ⇒a -c>b-d.其中错误的命题是________(填写相应序号).三、解答题10.(易错题)已知实数x ,y 满足-4≤x-y≤-1,-1≤4x-y≤5,求9x -3y 的取值X 围.学科素养升级练进阶训练第三层1.(多选)给出四个选项能推出1a <1b的有( )A .b >0>aB .0>a >bC .a >0>bD .a >b >02.已知a ,b ,c 为不全相等的实数,P =a 2+b 2+c 2+3,Q =2(a +b +c),那么P 与Q 的大小关系是( )A .P>QB .P≥QC .P<QD .P≤Q3.(情境命题—生活情境)甲、乙两人同时从寝室到教室,甲一半路程步行,一半路程跑步,乙一半时间步行,一半时间跑步,如果两人步行速度、跑步速度均相同,试探究谁先到达教室?2.2.1 不等式及其性质第1课时 不等式及其性质必备知识基础练1.解析:“a 与b 的差是非负数”用不等式表示为a -b ≥0.故选C. 答案:C2.解析:“限高4.5米”即h <4.5,故选A. 答案:A3.解析:a -b =(3x 2-x +1)-(2x 2+x )=x 2-2x +1=(x -1)2≥0,所以a ≥b . 答案:C4.解析:P 2=2a +13+2a +6a +7,Q 2=2a +13+2a +5a +8,因为(a +6)(a +7)-(a +5)(a +8)=a 2+13a +42-(a 2+13a +40)=2>0, 所以a +6a +7>a +5a +8,所以P 2>Q 2,所以P >Q . 答案:C5.解析:因为A -B =a 2+3ab -(4ab -b 2)=⎝ ⎛⎭⎪⎫a -b 22+34b 2≥0,所以A ≥B .答案:B6.解析:对于A ,若c <0,其不成立;对于B ,若a ,b 均小于0或a <0,其不成立;对于C ,若a >0,b <0,其不成立;对于D ,其中a ≥0,b >0,平方后显然有a <b .答案:D7.解析:对于①,若ab >0,则1ab>0,又a >b ,所以a ab >b ab ,所以1a <1b,所以①正确; 对于②,若a =7,b =6,c =0,d =-10, 则7-0<6-(-10),②错误; 对于③,对于正数a ,b ,m , 若a <b ,则am <bm , 所以am +ab <bm +ab , 所以0<a (b +m )<b (a +m ), 又1bb +m >0,所以a b <a +m b +m,③正确. 综上,真命题的序号是①③. 答案:①③8.证明:(1)证法一:∵a <b <0,∴-a >-b >0, ∴0<-1a <-1b, ①∵0<-b <-a, ② ①②相乘,b a <a b.证法二:b a -a b =b 2-a 2ab =b +a b -aab,∵a <b <0,∴b +a <0,b -a >0,ab >0, ∴b +ab -aab <0,故b a <ab .(2)∵1a <1b,∴1a -1b<0,即b -a ab<0,又a >b ,∴b -a <0, ∴ab >0.关键能力综合练1.解析:由题意知21-4≤t ≤21+4,即17≤t ≤25.答案:C2.解析:解法一 ∵a +b >0,∴a >-b , 又b <0,∴a >0,且|a |>|b |, ∴a >-b >b >-a .解法二 设a =3,b =-2,则a >-b >b >-a . 故选C. 答案:C3.解析:由a >b ,c >d 得a +c >b +d ,故选C. 答案:C 4.解析:∵ca +b <ab +c,∴c (b +c )<a (a +b ),bc +c 2<a 2+ab ,移项后因式分解得,(a -c )(a +b +c )>0,∵a ,b ,c 均为正实数,∴a >c ,同理b >a .∴c <a <b ,故选A.答案:A5.解析:因为x >y >z ,x +y +z =0, 所以3x >x +y +z =0,3z <x +y +z =0,所以x >0,z <0.所以由⎩⎪⎨⎪⎧x >0,y >z ,可得xy >xz .故选C.答案:C6.解析:M -N =ab -(a +b -1)=ab -a -b +1 =(a -1)(b -1).∵a ,b ∈(0,1),∴a -1<0,b -1<0, ∴M -N >0,∴M >N . 答案:B7.解析:由题意知,汽车原来每天行驶x km,8天内它的行程超过2 200 km ,则8(x +19)>2 200.若每天行驶的路程比原来少12 km ,则原来行驶8天的路程就要用9天多,即8x x -12>9(x >12).答案:8(x +19)>2 2008xx -12>9(x >12) 8.解析:a b2+b a2-⎝ ⎛⎭⎪⎫1a +1b=a 3+b 3-ab 2-a 2b a 2b 2.∵a 2b 2>0,所以只需判断a 3+b 3-ab 2-a 2b 的符号.a 3+b 3-ab 2-a 2b=a 2(a -b )+b 2(b -a ) =(a -b )(a 2-b 2) =(a -b )2(a +b )≥0, 等号当a =b 时成立,所以a b2+b a2≥1a +1b.答案:a b2+b a2≥1a +1b9.解析:由性质7可知,只有当a >b >0时,a 2>b 2才成立,故①②都错误;对于③,只有当a >0且a >b 时,ba<1才成立,故③错误;由性质6可知,只有当a >b >0,c >d >0时,ac >bd 才成立,故④错误;对于⑤,由c >d 得-d >-c ,从而a -d >b -c ,故⑤错误.答案:①②③④⑤10.解析:设9x -3y =a (x -y )+b (4x -y )=(a +4b )x -(a +b )y ,∴⎩⎪⎨⎪⎧a +4b =9,a +b =3⇒⎩⎪⎨⎪⎧a =1,b =2,∴9x -3y =(x -y )+2(4x -y ),∵-1≤4x -y ≤5,∴-2≤2(4x -y )≤10, 又-4≤x -y ≤-1, ∴-6≤9x -3y ≤9.学科素养升级练1.解析:1a <1b ⇔b -aab<0⇔ab (a -b )>0,A .ab <0,a -b <0,ab (a -b )>0成立B .ab >0,a -b >0,ab (a -b )>0成立C .ab <0,a -b >0,ab (a -b )<0,不成立,D .ab >0,a -b >0,ab (a -b )>0成立故选ABD. 答案:ABD2.解析:∵P -Q =a 2+b 2+c 2+3-2(a +b +c ) =a 2-2a +1+b 2-2b +1+c 2-2c +1 =(a -1)2+(b -1)2+(c -1)2≥0,又∵a ,b ,c 为不全相等的实数,∴等号取不到, ∴P >Q ,故选A. 答案:A3.解析:设寝室到教室的路程为s ,步行速度为v 1,跑步速度为v 2,则甲用时t 1=12s v 1+12s v 2,乙用时t 2=2s v 1+v 2,t 1-t 2=s 2v 1+s 2v 2-2s v 1+v 2=s ⎝ ⎛⎭⎪⎫v 1+v 22v 1v 2-2v 1+v 2=v 1+v 22-4v 1v 22v 1v 2v 1+v 2·s =v 1-v 22·s 2v 1v 2v 1+v 2>0, ∴甲用时多.∴乙先到达教室.。
课时训练15 不等关系与不等式一、不等式性质的直接应用与判断1.若1a <1b<0,则下列结论不正确的是( )A.a2<b2B.ab<b2C.b a +ab>2 D.ba<1答案:D解析:由1a <1b<0可知,b<a<0,所以ba<1不成立,故选D.2.(2015山东威海高二期中,1)已知a>b,则下列不等式中成立的是( )A.a2>b2B.1a <1bC.1a-b>1aD.a3>b3答案:D解析:A.虽然-1>-2,但(-1)2>(-2)2不成立;B.虽然3>-2,但是13<1-2不成立;C.虽然2>-3,但是12-(-3)>12不成立;D.∵a>b,∴a3-b3=(a-b)(a2+ab+b2)>0. (∵a2+ab+b2=(a+12b)2+34b2>0)成立.综上可知,只有D正确.故选D.3.已知下列说法:①若a<b<0,则a2>ab;②若a≥b,ac≥bc,则c≥0;③若a>b>0,c<0,则ca >cb;④若0<a<1,则log a(1+a)>log a(1+1a)其中正确的有 .答案:①③④解析:对于①,由a<b,a<0,可得a2>ab,故①正确;对于②,当a=b时,c可以为负数,故②错误;对于③,当a>b>0时,得0<1a < 1 b,又c<0,∴ca >cb,故③正确;对于④,当0<a<1时,1a >1,则1+a<1+1a,∴log a(1+a)>log a(1+1a),故④正确.二、利用不等式的性质比大小4.(2015山东威海高二期中,2)不等式:①a2+2>2a;②a2+b2≥2(a-b-1);③a2+b2≥ab恒成立的个数是( )A.0B.1C.2D.3答案:D解析:①a2+2-2a=(a-1)2+1≥1,∴a2+2>2a,正确;②∵a2+b2-2(a-b-1)=(a-1)2+(b+1)2≥0,∴a2+b2≥2(a-b-1),正确;③a2+b2-ab=(a-12b)2+34b2≥0,当且仅当a=b=0时取等号,正确.综上可得:①②③都恒成立.故选D.5.若A=a2+3ab,B=4ab-b2,则A,B的大小关系是( )A.A≤BB.A≥BC.A<B 或A>BD.A>B答案:B 解析:∵A-B=a 2+3ab-4ab+b 2=a 2-ab+b 2=(a -b 2)2+34b 2≥0,∴A ≥B.6.(2015河南郑州高二期末,16)现有甲、乙两人相约爬山,若甲上山的速度为v 1,下山的速度为v 2(v 1≠v 2),乙上山和下山的速度都是v 1+v 22(甲、乙两人中途不停歇且下山时按原路返回),则甲、乙两人上下山所用的时间t 1,t 2的大小关系为 .答案:t 1>t 2解析:由题意知,甲用的时间t 1=S v 1+S v 2=S ·v 1+v 2v 1v 2,乙用的时间t 2=2×S v 1+v 22=4S v 1+v 2.∵t 1-t 2=S ·v 1+v 2v 1v 2−4S v 1+v 2=S (v 1+v 2v 1v 2-4v 1+v 2)=S (v 1-v 2)2v 1v 2(v 1+v 2)>0.∴t 1>t 2.7.已知a ,b ,x ,y 均为正实数,且1a >1b ,x>y ,试判断x x +a 与y y +b的大小关系.解:因为x x +a −y y +b =bx -ay (x +a )(y +b ),又1a >1b且a>0,b>0,所以b>a>0.又x>y>0,所以bx>ay ,即bx-ay>0.又x+a>0,y+b>0,所以bx -ay (x +a )(y +b )>0,即x x +a >y y +b.三、利用不等式的性质求代数式范围8.设x ,y 为实数,满足3≤xy 2≤8,4≤x 2y ≤9,则x 3y 4的最大值是 .答案:27解析:∵4≤x 2y ≤9,∴16≤x 4y 2≤81.①∵3≤xy 2≤8,∴18≤1x y 2≤13.②由①②可得2≤x 4y 2·1x y 2≤27,即2≤x 3y 4≤27.∴x 3y 4的最大值为27.9.已知1<a<2,3<b<4,求下列各式的取值范围:(1)2a+b ;(2)a-b ;(3)ab .解:(1)因为1<a<2,所以2<2a<4.又3<b<4,所以5<2a+b<8.(2)因为3<b<4,所以-4<-b<-3.又1<a<2,所以-3<a-b<-1.(3)因为3<b<4,所以14<1b <13.又1<a<2,所以14<ab <23.四、利用不等式的性质证明10.已知a>b>0,c<d<0.求证:3√ad <3√bc .思路分析:解答本题可先比较a d 与b c 的大小,进而判断3√a d <3√bc .证明:∵c<d<0,∴-c>-d>0.∴0<-1c <-1d .又a>b>0,∴-ad >-bc>0.∴3√-a d>3√-b c,即-3√a d>-3√b c.两边同乘以-1,得3√a d<3√b c.(建议用时:30分钟) 1.若a,b∈R,且a>b,则( )A.a2>b2B.ba<1C.lg(a-b)>0D.(12)a<(12)b答案:D解析:∵a>b,无法保证a2>b2,ba<1和lg(a-b)>0,∴排除A与B,C,故选D.2.如果a<b<0,那么下列不等式成立的是( )A.1 a <1bB.ab<b2C.-ab<-a2D.-1a <-1b答案:D解析:当a=-2,b=-1时,检验得A,B,C错误,故D正确.3.若a>b>c,则下列不等式成立的是( )A.1 a-c >1b-cB.1a-c<1b-cC.ac>bcD.ac<bc 答案:B解析:∵a>b>c,∴a-c>b-c>0.∴1 a-c <1 b-c.故选B.4.下列结论正确的是( )A.若a>b>0,a>c,则a2>bcB.若a>b>c,则ac > b cC.若a>b,n∈N*,则a n>b nD.a>b>0,则ln a<ln b答案:A解析:对于B,当c<0时,不成立,对于C,当a=1,b=-2,n=2时,a n>b n不成立.对于D,由对数函数性质得不正确,故选A.5.若α,β满足-π2<α<β<π2,则2α-β的取值范围是( )A.-π<2α-β<0B.-π<2α-β<πC.-3π2<2α-β<π2D.0<2α-β<π答案:C解析:∵-π2<α<π2,∴-π<2α<π.又-π2<β<π2,∴-π2<-β<π2.∴-3π2<2α-β<3π2.又α-β<0,α<π2,∴2α-β<π2.故-3π2<2α-β<π2.6.若实数a≠b,则a2-ab ba-b2(填不等号).答案:>解析:(a2-ab)-(ba-b2)=a2-ab-ba+b2=(a-b)2,∵a≠b,∴(a-b)2>0.∴a2-ab>ba-b2.7.已知2b<a<-b,则ab的取值范围为 .答案:-1<ab<2解析:∵2b<a<-b,∴2b<-b.∴b<0.∴-b b <ab<2bb,即-1<ab<2.8.若m<n,p<q且(p-m)(p-n)<0,(q-m)(q-n)<0,则m,n,p,q从小到大顺序是 . 答案:m<p<q<n解析:∵(p-m)(p-n)<0,∴{p-m>0,p-n<0或{p-m<0,p-n>0.又m<n,∴m<p<n.同理m<q<n,又p<q,∴m<p<q<n.9.甲、乙两位采购员同去一家粮食销售公司买了两次粮食(同一品种),两次粮食的价格不同,两位采购员的购粮方式也不同.其中,甲每次购买1 000 kg,乙每次购粮用去1 000元钱,谁的购粮方式更合算?解:设两次价格分别为a元、b元,则甲的平均价格为m=a+b2元,乙的平均价格为n=20001000a+1000b=2aba+b,∴m-n=a +b 2−2ab a +b =(a -b )22(a +b )>0.∴乙更合算.10.已知函数f (x )=ax 2-c ,-4≤f (1)≤-1,-1≤f (2)≤5,求f (3)的取值范围.解:因为f (x )=ax 2-c ,所以{f (1)=a -c ,f (2)=4a -c .即{a -c =f (1),4a -c =f (2),解得{a =13[f (2)-f (1)],c =13f (2)-43f (1),所以f (3)=9a-c=83f (2)-53f (1).又因为-4≤f (1)≤-1,-1≤f (2)≤5,所以53≤-53f (1)≤203,-83≤83f (2)≤403,所以-1≤83f (2)-53f (1)≤20,即-1≤f (3)≤20.。
【课时训练】第33节 二元一次不等式(组)与简单的线性
规划问题
一、选择题
1.(江西七校质检)若x ,y 满足约束条件⎩⎪⎨⎪
⎧
y ≤-x +1,y ≤x +1,
y ≥0,则3x +5y 的取值范
围是( )
A .[-5,3]
B .[3,5]
C .[-3,3]
D .[-3,5]
【答案】D
【解析】做出如图所示的可行域及l 0:3x +5y =0,平行移动l 0到l 1过点A (0,1)时,3x +5y 有最大值5,平行移动l 0至l 2过点B (-1,0)时,3x +5y 有最小值-3.故选D.
2.(济南模拟)已知变量x ,y
满足约束条件⎩⎪⎨⎪
⎧
x -y ≥1,x +y ≥1,
1<x ≤a ,
目标函数z =x +2y
的最大值为10,则实数a 的值为( )
A .2
B .8
3 C .
4 D .8
【答案】C
【解析】依据线性约束条件做出可行域如图中阴影部分所示,当目标函数经过点A (a ,a -1)时取得最大值10,所以a +2(a -1)=10,解得a =4.故选C.
3.(四川绵阳二诊)不等式组⎩⎪⎨⎪
⎧
x ≥0,x +3y ≥4,
3x +y ≤4所表示的平面区域的面积等于
( )
A.32
B .23
C .43
D .34
【答案】C
【解析】做出平面区域如图中阴影部分所示.
联立⎩
⎪⎨⎪⎧
x +3y =4,3x +y =4,解得A (1,1).易得B (0,4),C ⎝ ⎛⎭⎪⎫0,43,|BC |=4-43=83. ∴S △ABC =12×83×1=43.
4.(安徽蚌埠二模)实数x ,y 满足⎩⎪⎨⎪
⎧
x ≥a ,y ≥x ,
x +y ≤2,(a <1)且z =2x +y 的最大值是
最小值的4倍,则a 的值是( )
A.2
11
B .14
C
.12 D .11
2
【答案】B
【解析】做出不等式组表示的可行域的大致图形如图中阴影部分所示,平移直线2x +y =0,可知在点A (a ,a )处z 取最小值,即z m i n =3a ,在点B (1,1)处z 取最大值,即z m a x =3,所以12a =3,即a =1
4.
5.(江苏南京模拟)已知点P
的坐标(x ,y )满足⎩⎪⎨⎪
⎧
x +y ≤4,y ≥x ,
x ≥1,
过点P 的直线l
与圆C :x 2+y 2=14相交于A ,B 两点,则|AB |的最小值是( )
A .2 6
B .4
C . 6
D .2
【答案】B
【解析】根据约束条件画出可行域,如图中阴影部分所示.设点P 到圆心的距离为d ,则求最短弦长等价于求到圆心距离d 最大的点,即为图中的P 点,其坐标为(1,3),则d =1+32=10,此时|AB |m i n =214-10=4.故选B.
6.(沈阳质量监测)实数x ,y
满足⎩⎪⎨⎪
⎧
y ≤2x +2,x +y -2≥0,
x ≤2,
则z =|x -y |的最大值是
( )
A .2
B .4
C .6
D .8
【答案】B
【解析】依题意画出可行域如图中阴影部分所示.令m =y -x ,则m 为直线l :y =x +m 在y 轴上的截距,由图知在点A (2,6)处m 取最大值4,在C (2,0)处取最小值-2,所以m ∈[-2,4],所以z 的最大值是4.故选B.
7.(烟台模拟)在平面直角坐标系xOy 中,M 为不等式组⎩⎪⎨⎪
⎧
2x -y -2≥0,x +2y -1≥0,
3x +y -8≤0所
表示的区域上一动点,则直线OM 斜率的最小值为( )
A .2
B .1
C .-
1
3 D .-12
【答案】C
【解析】如图所示,⎩⎪⎨⎪
⎧
2x -y -2≥0,x +2y -1≥0,
3x +y -8≤0
所表示的平面区域为图中的阴影部分.
由⎩⎪⎨⎪⎧
x +2y -1=0,3x +y -8=0
得A (3,-1). 当点M 与A 重合时,OM 的斜率最小,k OM =-1
3.故选C. 8.(河南八市质检)已知x ,y 满足约束条件⎩⎪⎨⎪
⎧
x ≥2,x +y ≤4,
-2x +y +c ≥0,目标函数z =
6x +2y 的最小值是10,则z 的最大值是( )
A .20
B .22
C .24
D .26
【答案】A
【解析】由z =6x +2y ,得y =-3x +z
2,做出不等式组所表示的可行域的大致图形如图中阴影部分所示,由图可知当直线y =-3x +z
2经过点C 时,直线的纵截
距最小,即z =6x +2y 取得最小值10,由⎩⎪⎨⎪⎧ 6x +2y =10,x =2,解得⎩⎪⎨⎪⎧
x =2,
y =-1,
将其代入
直线-2x +y +c =0,得c =5,即直线方程为-2x +y +5=0,平移直线3x +y =0,当
直线经过点D 时,直线的纵截距最大,此时z 取最大值,由⎩⎪⎨⎪⎧
-2x +y +5=0,
x +y =4,得
⎩⎪⎨⎪⎧
x =3,
y =1,
即D (3,1),将点D 的坐标代入直线z =6x +2y ,得z m a x =6×3+2=20.故选A.
9.(吉安质检)若实数x ,y 满足⎩⎪⎨⎪⎧
y ≤2,|x |-y +1≤0,
则z =x +y
x -2的最小值为( )
A .-2
B .-3
C .-4
D .-5
【答案】B
【解析】做出不等式组对应的平面区域如图中阴影部分所示,目标函数z =x +y x
-2=x -2+y +2x -2=1+y +2x -2,设k =y +2
x -2
,则k 的几何意义为区域内的点与定点D (2,-2)连线的斜率,数形结合可知,直线AD 的斜率最小,由⎩⎪⎨⎪⎧
y =2,x -y +1=0,得
⎩⎪⎨⎪⎧
x =1,y =2,
即A (1,2),此时直线AD 的斜率k AD =2+2
1-2=-4,则z m i n =1+k AD =1-4
=-3.故选B.
10.(贵阳监测)已知O 是坐标原点,点A 的坐标为(-1,2).若点M (x ,y )为平面区域⎩⎪⎨⎪
⎧
x +y ≥2,x ≤1,
y ≤2
上的一个动点,则OA →·OM →
的取值范围是( )
A .[-1,0]
B .[0,1]
C .[1,3]
D .[1,4]
【答案】D
【解析】做出点M (x ,y )满足的平面区域,如图中阴影部分所示,易知当点M 在点C (0,2)时,OA →·OM →取得最大值,即为(-1)×0+2×2=4,当点M 在点B (1,1)时,OA →·OM →取得最小值,即为(-1)×1+2×1=1,所以OA →·OM →的取值范围为[1,4].故选D.
二、填空题
11.(河北唐山摸底)已知实数x ,y 满足⎩⎪⎨⎪
⎧
x +y -1≤0,x -y +1≥0,
y ≥-1,则w =x 2+y 2-4x -
4y +8的最小值为________.
【答案】9
2
【解析】目标函数w =x 2+y 2-4x -4y +8=(x -2)2+(y -2)2,其几何意义是点(2,2)与可行域内的点的距离的平方.由实数x ,y 所满足的不等式组做出可行域如图中阴影部分所示,由图可知,点(2,2)到直线x +y -1=0的距离为其到可行域内点的距离的最小值,又|2+2-1|2
=3 22,所以w m i n =92.
12.(石家庄模拟)若不等式组⎩⎪⎨⎪
⎧
x +y -3≥0,y ≤kx +3,
0≤x ≤3表示的平面区域为一个锐角三
角形及其内部,则实数k 的取值范围是________.
【答案】(0,1)
【解析】直线y =kx +3恒过定点(0,3).做出可行域如下图阴影部分所示,要使可行域为一个锐角三角形及其内部,需要直线y =kx +3的斜率在0与1之间,即k ∈(0,1).
三、解答题
13.(安徽淮南一模)画出不等式组⎩⎪⎨⎪
⎧
x -y +5≥0,x +y ≥0,
x ≤3表示的平面区域,并回答
下列问题:
(1)指出x ,y 的取值范围; (2)平面区域内有多少个整点. 【解】(1)不等式组⎩⎪⎨⎪
⎧
x -y +5≥0,x +y ≥0,
x ≤3
表示的平面区域如图所示.
结合图中可行域得x ∈⎣⎢⎡⎦
⎥⎤
-52,3, y ∈[-3,8].
(2)由图形及不等式组知
⎩⎨⎧
-x ≤y ≤x +5,
-5
2≤x ≤3,且x ∈Z ,
当x=3时,-3≤y≤8,有12个整点;
当x=2时,-2≤y≤7,有10个整点;
当x=1时,-1≤y≤6,有8个整点;
当x=0时,0≤y≤5,有6个整点;
当x=-1时,1≤y≤4,有4个整点;
当x=-2时,2≤y≤3,有2个整点;
∴平面区域内的整点共有2+4+6+8+10+12=42(个).。