2003年全国统一高考数学试卷(河南卷)
- 格式:doc
- 大小:1.05 MB
- 文档页数:20
2003年普通高等学校招生全国统一考试(全国卷)数 学(理工农医类)本试卷分第Ⅰ卷(选择题)和第Ⅱ卷(非选择题)两部分。
第Ⅰ卷1至2页,第Ⅱ卷3至10页。
考试结束后,将本试卷和答题卡一并交回。
第Ⅰ卷(选择题共60分)一.选择题:本大题共12小题,每小题5分,共60分,在每小题给出的四个选项中,只有一项是符合要求的 1.已知2(π-∈x ,0),54cos =x ,则2tg x = ( )(A )247 (B )247-(C )724 (D )724-2.圆锥曲线θθρ2cos sin 8=的准线方程是 ( )(A )2cos -=θρ (B )2cos =θρ (C )2sin =θρ (D )2sin -=θρ3.设函数⎪⎩⎪⎨⎧-=-2112)(xx f x 00>≤x x ,若1)(0>x f ,则0x 的取值范围是 ( ) (A )(1-,1) (B )(1-,∞+)(C )(∞-,2-)⋃(0,∞+) (D )(∞-,1-)⋃(1,∞+) 4.函数)cos (sin sin 2x x x y +=的最大值为 ( )(A )21+ (B )12- (C )2 (D )25.已知圆C :4)2()(22=-+-y a x (0>a )及直线l :03=+-y x ,当直线l 被C 截得的弦长为32时,则a ( )(A )2 (B )22- (C )12- (D )12+6.已知圆锥的底面半径为R ,高为3R ,在它的所有内接圆柱中,全面积的最大值是( ) (A )22R π (B )249Rπ (C )238R π (D )223R π7.已知方程0)2)(2(22=+-+-n x x m x x 的四个根组成一个首项为41的的等差数列,则=-||n m( )(A )1 (B )43 (C )21 (D )83 8.已知双曲线中心在原点且一个焦点为F (7,0),直线1-=x y 与其相交于M 、N 两点,MN 中点的横坐标为32-,则此双曲线的方程是 ( ) (A )14322=-y x (B )13422=-y x (C )12522=-y x (D )15222=-y x 9.函数x x f sin )(=,]23,2[ππ∈x 的反函数=-)(1x f ( )(A )x arcsin - 1[-∈x ,1] (B )x arcsin --π 1[-∈x ,1](C )x arcsin +π1[-∈x ,1] (D )x arcsin -π 1[-∈x ,1]10.已知长方形的四个顶点A (0,0),B (2,0),C (2,1)和D (0,1),一质点从AB 的中点0P 沿与AB的夹角θ的方向射到BC 上的点1P 后,依次反射到CD 、DA 和AB 上的点2P 、3P 和4P (入射角等于反射角),设4P 的坐标为(4x ,0),若214<<x ,则tgθ的取值范围是( )(A )(31,1) (B )(31,32) (C )(52,21) (D )(52,32)11.=++++++++∞→)(lim 11413122242322nnn C C C C n C C C C ΛΛ ( )(A )3 (B )31 (C )61(D )612.一个四面体的所有棱长都为2,四个顶点在同一球面上,则些球的表面积为( )(A )π3 (B )π4 (C )π33(D )π6二.填空题:本大题共4小题,每小题4分,共16分。
2003年普通高等学校招生全国统一考试(全国卷)数 学(理工农医类)注意事项:1. 答第Ⅰ卷前,考生务必将自己的姓名、准考证号、考试科目用铅笔涂写在答题卡上.2. 每小题选出答案后,用铅笔把答题卡上对应答案标号涂黑,如需改动,用橡皮擦干净后,再选涂其它答案,不能答在试题卷上.3. 考试结束,监考人将本试卷和答题卡一并收回. 参考公式:三角函数的积化和差公式: 正棱台、圆台的侧面积公式)]sin()[sin(21cos sin βαβαβα-++=⋅ l c c S )(21+'=台侧 其中c '、c 分别表示)]sin()[sin(21sin cos βαβαβα--+=⋅ 上、下底面周长,l 表示斜高或母线长.)]cos()[cos(21cos cos βαβαβα-++=⋅ 球体的体积公式:334R V π=球 ,其中R)]cos()[cos(21sin sin βαβαβα--+-=⋅ 表示球的半径.本试卷分第Ⅰ卷(选择题)和第Ⅱ卷(非选择题)两部分第Ⅰ卷(选择题共60分)一.选择题:本大题共12小题,每小题5分,共60分,在每小题给出的四个选项中,只有一项是符合要求的 1.已知2(π-∈x ,0),54cos =x ,则2tg x = ( ) (A )247 (B )247- (C )724 (D )724-2.圆锥曲线θθρ2cos sin 8=的准线方程是 ( ) (A )2cos -=θρ (B )2cos =θρ (C )2sin =θρ (D )2sin -=θρ3.设函数⎪⎩⎪⎨⎧-=-2112)(xx f x 00>≤x x ,若1)(0>x f ,则0x 的取值范围是 ( )(A )(1-,1) (B )(1-,∞+)(C )(∞-,2-)⋃(0,∞+) (D )(∞-,1-)⋃(1,∞+) 4.函数)cos (sin sin 2x x x y +=的最大值为 ( ) (A )21+ (B )12- (C )2 (D )25.已知圆C :4)2()(22=-+-y a x (0>a )及直线l :03=+-y x ,当直线l 被C 截得的弦长为32时,则a ( ) (A )2 (B )22- (C )12- (D )12+6.已知圆锥的底面半径为R ,高为3R ,在它的所有内接圆柱中,全面积的最大值是( )(A )22R π (B )249R π (C )238R π (D )223R π7.已知方程0)2)(2(22=+-+-n x x m x x 的四个根组成一个首项为41的的等差数列,则=-||n m ( )(A )1 (B )43 (C )21 (D )838.已知双曲线中心在原点且一个焦点为F (7,0),直线1-=x y 与其相交于M 、N 两点,MN 中点的横坐标为32-,则此双曲线的方程是 ( ) (A )14322=-y x (B )13422=-y x (C )12522=-y x (D )15222=-y x 9.函数x x f sin )(=,]23,2[ππ∈x 的反函数=-)(1x f ( )(A )x arcsin - 1[-∈x ,1] (B )x arcsin --π 1[-∈x ,1] (C )x arcsin +π 1[-∈x ,1] (D )x arcsin -π 1[-∈x ,1]10.已知长方形的四个顶点A (0,0),B (2,0),C (2,1)和D (0,1),一质点从AB 的中点0P 沿与AB 的夹角θ的方向射到BC 上的点1P 后,依次反射到CD 、DA 和AB 上的点2P 、3P 和4P (入射角等于反射角),设4P 的坐标为(4x ,0),若214<<x ,则tg θ的取值范围是 ( ) (A )(31,1) (B )(31,32) (C )(52,21) (D )(52,32)11.=++++++++∞→)(lim 11413122242322nnn C C C C n C C C C ( )(A )3 (B )31 (C )61(D )6 12.一个四面体的所有棱长都为2,四个顶点在同一球面上,则些球的表面积为( ) (A )π3 (B )π4 (C )π33 (D )π62003年普通高等学校招生全国统一考试(全国卷)数 学(理工农医类)第Ⅱ卷(非选择题共90分)二.填空题:本大题共4小题,每小题4分,共16分把答案填在题中横线上13.92)21(xx -的展开式中9x 系数是14.使1)(log 2+<-x x 成立的x 的取值范围是 15.如图,一个地区分为5个行政区域,现给地图着色,要求相邻地区不得使用同一颜色,现有4种颜色可供选择,则不同的着色方法共有种(以数字作答)16.下列5个正方体图形中,l 是正方体的一条对角线,点M 、N 、P 分别为其所在棱的中点,能得出⊥l 面MNP 的图形的序号是 (写出所有符合要求的图形序号)① ② ③ ④ ⑤三、解答题:本大题共6小题,共74分,解答应写出文字说明,证明过程或或演算步骤 17.(本小题满分12分)已知复数z 的辐角为︒60,且|1|-z 是||z 和|2|-z 的等比中项,求||z18.(本小题满分12分)如图,在直三棱柱111C B A ABC -中,底面是等腰直角三角形,︒=∠90ACB ,侧棱21=AA ,D 、E 分别是1CC 与B A 1的中点,点E 在平面ABD 上的射影是△ABD 的重心G(I )求B A 1与平面ABD 所成角的大小(结果用反三角函数值表示)(II )求点1A 到平面AED 的距离19.(本小题满分12分) 已知0>c ,设P :函数x c y =在R 上单调递减 Q :不等式1|2|>-+c x x 的解集为R 如果P 和Q 有且仅有一个正确,求c 的取值范围20.(本小题满分12分)在某海滨城市附近海面有一台风,据监测,当前台风中心位于城市O (如图)的东偏南102arccos (=θθ)方向300km 的海面P 处,并以20km/h 的速度向西偏北︒45方向移动,台风侵袭的范围为圆形区域,当前半径为60km ,并以10km/h 的速度不断增大,问几小时后该城市开始受到台风的侵袭?D E KBCABAFC G东21.(本小题满分14分)已知常数0>a ,在矩形ABCD 中,4=AB ,a BC 4=,O 为AB 的中点,点E 、F 、G 分别在BC 、CD 、DA 上移动,且BE CF DG BC CD DA ==,P 为GE 与OF 的交点(如图),问是否存在两个定点,使P 到这两点的距离的和为定值?若存在,求出这两点的坐标及此定值;若不存在,请说明理由22.(本小题满分12分,附加题4 分)(I )设}{n a 是集合|22{ts + t s <≤0且Z t s ∈,}中所有的数从小到大排列成的数列,即31=a ,52=a ,63=a ,94=a ,105=a ,126=a ,…将数列}{n a 各项按照上小下大,左小右大的原则写成如下的三角形数表:3 569 10 12 — — — —…………⑴写出这个三角形数表的第四行、第五行各数;⑵求100a(II )(本小题为附加题,如果解答正确,加4 分,但全卷总分不超过150分)设}{n b 是集合t s r t s r <<≤++0|222{,且},,Z t s r ∈中所有的数从小到大排列成的数列,已知1160=k b ,求k.2003年普通高等学校招生全国统一考试(全国卷)数学(理工农医类)答案一、选择题:本题考查基本知识和基本运算. 每小题5分,满分60分.1.D 2.C 3.D 4.A 5.C 6.B 7.C 8.D 9.D 10.C 11.B 12.A 二、填空题:本题考查基本知识和基本运算.每小题4分,满分16分. 13.221-14.(-1,0) 15.72 16.①④⑤ 三、解答题:本大题共6小题,共74分.解答应写出文字说明,证明过程或演算步骤. 17. 解:设)60sin 60cosr r z +=,则复数.2r z 的实部为2,r z z r z z ==-由题设 .12||).(12,12:.012,421,)2)(2(||)1)(1(:|2||||1|2222-=--=-==-++-=+-∴--=---⋅=-z r r r r r r r r r z z z z z z z z 即舍去解得整理得即 18.(Ⅰ)解:连结BG ,则BG 是BE 在ABD 的射影,即∠EBG 是A 1B 与平面ABD 所成的角. 设F 为AB 中点,连结EF 、FC ,.32arcsin.323136sin .3,32,22,2.36321,2)4(.3,1,31.,,,,,,112211所成的角是与平面于是分中在直角三角形的重心是连结为矩形平面又的中点分别是ABD B A EB EG EBG EB B A AB CD FC EG ED FD EF FD FD FG EF EFD DF G ADB G DE CDEF ABC DC B A CC E D ∴=⋅==∠∴===∴===⨯===∴==⋅=∈∴∆∴⊥(Ⅱ)解:,,,F AB EF EF ED AB ED =⋂⊥⊥又.36236232222,.,.,.,.,111111*********的距离为到平面中在的距离到平面是即平面垂足为作面且面平面平面面又面AED A AB B A A A K A AB A AED A K A AED K A K AE K A AE AB A AED AB A AED AED ED AB A ED ∴=⨯=⋅=∆⊥∴⊥=⋂⊥∴⊂⊥∴19.解:函数xc y =在R 上单调递减.10<<⇔c不等式.1|2|1|2|上恒大于在函数的解集为R c x x y R c x x -+=⇔>-+ 22,2,|2|2,2,|2|2.1|2|121.21,,0.21,, 1.(0,][1,).2x c x c x x c c x c y x x c R c x x c R c c P Q c P Q c c -≥⎧+-=⎨<⎩∴=+-∴+->⇔>⇔><≤≥⋃+∞函数在上的最小值为不等式的解集为如果正确且不正确则如果不正确且正确则所以的取值范围为20.解:如图建立坐标系以O 为原点,正东方向为x 轴正向.在时刻:(1)台风中心P (y x ,)的坐标为⎪⎪⎩⎪⎪⎨⎧⨯+⨯-=⨯-⨯=.22201027300,2220102300t y t x 此时台风侵袭的区域是,)]([)()(22t r y y x x ≤-+-其中,6010)(+=t t r 若在t 时刻城市O 受到台风的侵袭,则有.)6010()0()0(222+≤-+-t y x 即22)22201027300()2220102300(t t ⨯+⨯-+⨯-⨯2412,028836,)6010(22≤≤≤+-+≤t t t t 解得即答:12小时后该城市开始受到台风的侵袭.21.根据题设条件,首先求出点P 坐标满足的方程,据此再判断是否存在的两定点,使得点P 到两点距离的和为定值.按题意有A (-2,0),B (2,0),C (2,4a ),D (-2,4a )设(01)BE CF DGk k BC CD DA===≤≤ 由此有E (2,4a k ),F (2-4k ,4a ),G (-2,4a -4ak )直线OF 的方程为:0)12(2=-+y k ax ① 直线GE 的方程为:02)12(=-+--a y x k a ②从①,②消去参数k ,得点P (x,y )坐标满足方程022222=-+ay y x a整理得1)(21222=-+a a y x 当212=a 时,点P 的轨迹为圆弧,所以不存在符合题意的两点. 当212≠a 时,点P 轨迹为椭圆的一部分,点P 到该椭圆焦点的距离的和为定长 当212<a 时,点P 到椭圆两个焦点(),21(),,2122a a a a ---的距离之和为定值2当212>a 时,点P 到椭圆两个焦点(0,)21,0(),2122-+--a a a a 的距离之和为定值2a .22.(本小题满分12分,附加题4分) (Ⅰ)解:用(t,s)表示22ts+,下表的规律为3((0,1)=0122+)5(0,2) 6(1,2) 9(0,3) 10(1,3) 12(2,3) — — — —…………(i )第四行17(0,4) 18(1,4) 20(2,4) 24(3,4)第五行 33(0,5) 34(1,5) 36(2,5) 40(3,5) 48(4,5)(i i )解法一:因为100=(1+2+3+4+……+13)+9,所以100a =(8,14)=81422+=16640解法二:设0022100t s a +=,只须确定正整数.,00t s数列}{n a 中小于02t的项构成的子集为 },0|2{20t t t s s <<≤+ 其元素个数为.1002)1(,2)1(000020<--=t t t t C t 依题意满足等式的最大整数0t 为14,所以取.140=t因为100-.1664022,8s ,181410000214=+=∴=+=a s C 由此解得(Ⅱ)解:,22211603710++==k b令}0|22{2B ,(}1160|{r t s r C B c M t s <<≤++=<∈=其中因}.22222|{}222|{}2|{37107107101010++<<+∈⋃+<<∈⋃<∈=c B c c B c c B c M 现在求M 的元素个数:},100|222{}2|{10<<<≤++=<∈t s r c B c t s r其元素个数为310C : }.70|222{}222|{1071010<<≤++=+<<∈s r c B c r s某元素个数为}30|222{}22222|{:710371071027<≤++=++<<+∈r c B c C r某元素个数为.1451:2327310710=+++=C C C k C另法:规定222r t s++=(r,t,s ),10731160222k b ==++=(3,7,10)则0121222b =++= (0,1,2) 22C依次为 (0,1,3) (0,2,3) (1,2,3) 23C (0,1,4) (0,2,4)(1,2,4)(0,3,4) (1,3,4)(2,3,4) 24C…………(0,1,9) (0,2,9)………… ( 6,8,9 )(7,8,9) 29C(0,1,10)(0,2,10).........(0,7,10)( 1,7,10)(2,7,10)(3,7,10) (2)7C +422222397()4145.k C C C C =+++++=。
2003年普通高等学校招生全国统一考试(全国卷I)数学(理工农医类)本试卷分第Ⅰ卷(选择题)和第Ⅱ卷(非选择题)两部分。
第Ⅰ卷1至2页,第Ⅱ卷3至9页。
共150分。
考试时间120分钟。
参考公式:三角函数的积化和差公式: 正棱台、圆台的侧面积公式)]sin()[sin(21cos sin βαβαβα-++=⋅ l c c S )(21+'=台侧 其中c '、c 分别表示)]sin()[sin(21sin cos βαβαβα--+=⋅ 上、下底面周长,l 表示斜高或母线长.)]cos()[cos(21cos cos βαβαβα-++=⋅ 球体的体积公式:334R V π=球 ,其中R)]cos()[cos(21sin sin βαβαβα--+-=⋅ 表示球的半径.第Ⅰ卷(选择题共60分)一.选择题:本大题共12小题,每小题5分,共60分,在每小题给出的四个选项中,只有一项是符合要求的 1.已知2(π-∈x ,0),54cos =x ,则2tg x =( )(A )247 (B )247- (C )724 (D )724-2.圆锥曲线θθρ2cos sin 8=的准线方程是( ) (A )2cos -=θρ (B )2cos =θρ (C )2sin =θρ (D )2sin -=θρ3.设函数⎪⎩⎪⎨⎧-=-2112)(xx f x 00>≤x x ,若1)(0>x f ,则0x 的取值范围是( )(A )(1-,1) (B )(1-,∞+)(C )(∞-,2-)⋃(0,∞+) (D )(∞-,1-)⋃(1,∞+) 4.函数)cos (sin sin 2x x x y +=的最大值为 ( )(A )21+ (B )12- (C )2 (D )25.已知圆C :4)2()(22=-+-y a x (0>a )及直线l :03=+-y x ,当直线l 被C 截得的弦长为32时,则a ( )(A )2 (B )22- (C )12- (D )12+6.已知圆锥的底面半径为R ,高为3R ,在它的所有内接圆柱中,全面积的最大值是( )(A )22R π (B )249R π (C )238R π (D )223R π7.已知方程0)2)(2(22=+-+-n x x m x x 的四个根组成一个首项为41的的等差数列,则=-||n m ( )(A )1 (B )43 (C )21 (D )838.已知双曲线中心在原点且一个焦点为F (7,0),直线1-=x y 与其相交于M 、N 两点,MN 中点的横坐标为32-,则此双曲线的方程是 ( ) (A )14322=-y x (B )13422=-y x (C )12522=-y x (D )15222=-y x 9.函数x x f sin )(=,]23,2[ππ∈x 的反函数=-)(1x f ( )(A )x arcsin - 1[-∈x ,1] (B )x arcsin --π 1[-∈x ,1] (C )x arcsin +π 1[-∈x ,1] (D )x arcsin -π 1[-∈x ,1]10.已知长方形的四个顶点A (0,0),B (2,0),C (2,1)和D (0,1),一质点从AB 的中点0P 沿与AB 的夹角θ的方向射到BC 上的点1P 后,依次反射到CD 、DA 和AB 上的点2P 、3P 和4P (入射角等于反射角),设4P 的坐标为(4x ,0),若214<<x ,则tg θ的取值范围是( )(A )(31,1) (B )(31,32) (C )(52,21) (D )(52,32)11.=++++++++∞→)(lim 11413122242322nnn C C C C n C C C C ( )(A )3 (B )31 (C )61(D )612.一个四面体的所有棱长都为2,四个顶点在同一球面上,则些球的表面积为( )(A )π3 (B )π4 (C )π33 (D )π6第Ⅱ卷(非选择题共90分)二.填空题:本大题共4小题,每小题4分,共16分把答案填在题中横线上13.92)21(xx -的展开式中9x 系数是14.使1)(log 2+<-x x 成立的x 的取值范围是15.如图,一个地区分为5个行政区域,现给地图着色,要求相邻地区不得使用同一颜色,现有4种颜色可供选择,则不同的着色方法共有 种(以数字作答)16.下列5个正方体图形中,l 是正方体的一条对角线,点M 、N 、P 分别为其所在棱的中点,能得出⊥l 面MNP 的图形的序号是 (写出所有符合要求的图形序号)① ② ③ ④ ⑤三、解答题:本大题共6小题,共74分,解答应写出文字说明,证明过程或或演算步骤17.(本小题满分12分)已知复数z 的辐角为︒60,且|1|-z 是||z 和|2|-z 的等比中项,求||z18.(本小题满分12分)如图,在直三棱柱111C B A ABC -中,底面是等腰直角三角形,︒=∠90ACB ,侧棱21=AA ,D 、E 分别是1CC 与B A 1的中点,点E 在平面ABD 上的射影是△ABD 的重心G(I ) 求B A 1与平面ABD 所成角的大小(结果用反三角函数值表示)(11)求点1A 到平面AED 的距离19.(本小题满分12分) 已知0>c ,设P :函数x c y =在R 上单调递减Q :不等式1|2|>-+c x x 的解集为R 如果P 和Q 有且仅有一个正确,求c 的取值范围20.(本小题满分12分)在某海滨城市附近海面有一台风,据监测,当前台风中心位于城市O (如图)的东偏南102arccos (=θθ)方向300km 的海面P 处,并以20km/h 的速度向西偏北︒45方向移动,台风侵袭的范围为圆形区域,当前半径为60km ,并以10km/h 的速度不断增大,问几小时后该城市开始受到台风的侵袭?21.(本小题满分14分)已知常数0AB,a=,O为AB的中点,点E、BC4=>a,在矩形ABCD中,4F、G分别在BC、CD、DA上移动,且BE CF DG==,P为GE与OF的交点(如图),BC CD DA问是否存在两个定点,使P到这两点的距离的和为定值?若存在,求出这两点的坐标及此定值;若不存在,请说明理由22.(本小题满分12分,附加题4 分)(I )设}{n a 是集合|22{t s + t s <≤0且Z t s ∈,}中所有的数从小到大排列成的数列,即31=a ,52=a ,63=a ,94=a ,105=a ,126=a ,…将数列}{n a 各项按照上小下大,左小右大的原则写成如下的三角形数表:3 569 10 12 — — — —…………⑴写出这个三角形数表的第四行、第五行各数;⑵求100a(II )(本小题为附加题,如果解答正确,加4 分,但全卷总分不超过150分) 设}{n b 是集合t s r t s r <<≤++0|222{,且},,Z t s r ∈中所有的数从小到大排列成的数列,已知1160=k b ,求k .2003年普通高等学校招生全国统一考试(全国卷I)数学(理工农医类)参考答案一、选择题:本题考查基本知识和基本运算. 每小题5分,满分60分.1.D 2.C 3.D 4.A 5.C 6.B 7.C 8.D 9.D 10.C 11.B 12.A 二、填空题:本题考查基本知识和基本运算.每小题4分,满分16分. 13.221-14.(-1,0) 15.72 16.①④⑤ 三、解答题:本大题共6小题,共74分.解答应写出文字说明,证明过程或演算步骤. 17. 解:设)60sin 60cos r r z +=,则复数.2r z 的实部为2,r z z r z z ==-由题设.12||).(12,12:.012,421,)2)(2(||)1)(1(:|2||||1|2222-=--=-==-++-=+-∴--=---⋅=-z r r r r r r r r r z z z z z z z z 即舍去解得整理得即 18.(Ⅰ)解:连结BG ,则BG 是BE 在ABD 的射影,即∠EBG 是A 1B 与平面ABD 所成的角.设F 为AB 中点,连结EF 、FC ,.32arcsin.323136sin .3,32,22,2.36321,2)4(.3,1,31.,,,,,,112211所成的角是与平面于是分中在直角三角形的重心是连结为矩形平面又的中点分别是ABD B A EB EG EBG EB B A AB CD FC EG ED FD EF FD FD FG EF EFD DF G ADB G DE CDEF ABC DC B A CC E D ∴=⋅==∠∴===∴===⨯===∴==⋅=∈∴∆∴⊥(Ⅱ)解:,,,F AB EF EF ED AB ED =⋂⊥⊥又.36236232222,.,.,.,.,111111*********的距离为到平面中在的距离到平面是即平面垂足为作面且面平面平面面又面AED A AB B A A A K A AB A AED A K A AED K A K AE K A AE AB A AED AB A AED AED ED AB A ED ∴=⨯=⋅=∆⊥∴⊥=⋂⊥∴⊂⊥∴19.解:函数x c y =在R 上单调递减.10<<⇔c不等式.1|2|1|2|上恒大于在函数的解集为R c x x y R c x x -+=⇔>-+22,2,|2|2,2,|2|2.1|2|121.21,,0.21,, 1.(0,][1,).2x c x c x x c c x c y x x c R c x x c R c c P Q c P Q c c -≥⎧+-=⎨<⎩∴=+-∴+->⇔>⇔><≤≥⋃+∞函数在上的最小值为不等式的解集为如果正确且不正确则如果不正确且正确则所以的取值范围为20.解:如图建立坐标系以O 为原点,正东方向为x 轴正向.在时刻:(1)台风中心P (y x ,)的坐标为⎪⎪⎩⎪⎪⎨⎧⨯+⨯-=⨯-⨯=.22201027300,2220102300t y t x 此时台风侵袭的区域是,)]([)()(22t r y y x x ≤-+-其中,6010)(+=t t r 若在t 时刻城市O 受到台风的侵袭,则有.)6010()0()0(222+≤-+-t 即22)22201027300()2220102300(t t ⨯+⨯-+⨯-⨯2412,028836,)6010(22≤≤≤+-+≤t t t t 解得即答:12小时后该城市开始受到台风的侵袭.21.根据题设条件,首先求出点P 坐标满足的方程,据此再判断是否存在的两定点,使得点P 到两点距离的和为定值.按题意有A (-2,0),B (2,0),C (2,4a ),D (-2,4a )设(01)BE CF DG k k BC CD DA===≤≤由此有E (2,4a k ),F (2-4k ,4a ),G (-2,4a -4ak ) 直线OF 的方程为:0)12(2=-+y k ax ① 直线GE 的方程为:02)12(=-+--a y x k a ②从①,②消去参数k ,得点P (x,y )坐标满足方程022222=-+ay y x a整理得1)(21222=-+a a y x 当212=a 时,点P 的轨迹为圆弧,所以不存在符合题意的两点. 当212≠a 时,点P 轨迹为椭圆的一部分,点P 到该椭圆焦点的距离的和为定长x当212<a 时,点P 到椭圆两个焦点(),21(),,2122a a a a ---当212>a 时,点P 到椭圆两个焦点(0,)21,0(),2122-+--a a a a 的距离之和为定值2a .22.(本小题满分12分,附加题4分) (Ⅰ)解:用(t,s)表示22t s +,下表的规律为3((0,1)=0122+)5(0,2) 6(1,2) 9(0,3) 10(1,3) 12(2,3) — — — —…………(i )第四行17(0,4) 18(1,4) 20(2,4) 24(3,4)第五行 33(0,5) 34(1,5) 36(2,5) 40(3,5) 48(4,5)(i i )解法一:因为100=(1+2+3+4+……+13)+9,所以100a =(8,14)=81422+=16640解法二:设0022100t s a +=,只须确定正整数.,00t s 数列}{n a 中小于02t 的项构成的子集为 },0|2{20t t t s s <<≤+ 其元素个数为.1002)1(,2)1(00002<--=t t t t C t 依题意 满足等式的最大整数0t 为14,所以取.140=t因为100-.1664022,8s ,181410000214=+=∴=+=a s C 由此解得(Ⅱ)解:,22211603710++==k b令}0|22{2B ,(}1160|{r t s r C B c M t s <<≤++=<∈=其中因}.22222|{}222|{}2|{37107107101010++<<+∈⋃+<<∈⋃<∈=c B c c B c c B c M 现在求M 的元素个数:},100|222{}2|{10<<<≤++=<∈t s r c B c t s r第 11 页 共 11 页 其元素个数为310C : }.70|222{}222|{1071010<<≤++=+<<∈s r c B c r s某元素个数为}30|222{}22222|{:710371071027<≤++=++<<+∈r c B c C r某元素个数为.1451:2327310710=+++=C C C k C另法:规定222r t s ++=(r,t,s ),1073160222k b ==++=(3,7,10)则0121222b =++= (0,1,2) 22C依次为 (0,1,3) (0,2,3) (1,2,3) 23C(0,1,4) (0,2,4)(1,2,4)(0,3,4) (1,3,4)(2,3,4) 24C…………(0,1,9) (0,2,9)………… ( 6,8,9 )(7,8,9) 29C (0,1,10)(0,2,10)………(0,7,10)( 1,7,10)(2,7,10)(3,7,10)…… 27C +4 22222397()4145.k C C C C =+++++=。
2003年普通高等学校招生全国统一考试(全国卷)数 学(理工农医类)本试卷分第Ⅰ卷(选择题)和第Ⅱ卷(非选择题)两部分。
第Ⅰ卷1至2页,第Ⅱ卷3至10页。
考试结束后,将本试卷和答题卡一并交回。
第Ⅰ卷(选择题共60分)一.选择题:本大题共12小题,每小题5分,共60分,在每小题给出的四个选项中,只有一项是符合要求的 1.已知2(π-∈x ,0),54cos =x ,则2tg x = ( )(A )247 (B )247-(C )724 (D )724-2.圆锥曲线θθρ2cos sin 8=的准线方程是 ( )(A )2cos -=θρ (B )2cos =θρ (C )2sin =θρ (D )2sin -=θρ3.设函数⎪⎩⎪⎨⎧-=-2112)(xx f x 00>≤x x ,若1)(0>x f ,则0x 的取值范围是 ( ) (A )(1-,1) (B )(1-,∞+)(C )(∞-,2-)⋃(0,∞+) (D )(∞-,1-)⋃(1,∞+) 4.函数)cos (sin sin 2x x x y +=的最大值为 ( )(A )21+ (B )12- (C )2 (D )25.已知圆C :4)2()(22=-+-y a x (0>a )及直线l :03=+-y x ,当直线l 被C 截得的弦长为32时,则a ( )(A )2 (B )22- (C )12- (D )12+6.已知圆锥的底面半径为R ,高为3R ,在它的所有内接圆柱中,全面积的最大值是( ) (A )22R π (B )249Rπ (C )238R π (D )223R π7.已知方程0)2)(2(22=+-+-n x x m x x 的四个根组成一个首项为41的的等差数列,则=-||n m( )(A )1 (B )43 (C )21 (D )83 8.已知双曲线中心在原点且一个焦点为F (7,0),直线1-=x y 与其相交于M 、N 两点,MN 中点的横坐标为32-,则此双曲线的方程是 ( ) (A )14322=-y x (B )13422=-y x (C )12522=-y x (D )15222=-y x 9.函数x x f sin )(=,]23,2[ππ∈x 的反函数=-)(1x f ( )(A )x arcsin - 1[-∈x ,1] (B )x arcsin --π 1[-∈x ,1](C )x arcsin +π1[-∈x ,1] (D )x arcsin -π 1[-∈x ,1]10.已知长方形的四个顶点A (0,0),B (2,0),C (2,1)和D (0,1),一质点从AB 的中点0P 沿与AB的夹角θ的方向射到BC 上的点1P 后,依次反射到CD 、DA 和AB 上的点2P 、3P 和4P (入射角等于反射角),设4P 的坐标为(4x ,0),若214<<x ,则tgθ的取值范围是( )(A )(31,1) (B )(31,32) (C )(52,21) (D )(52,32)11.=++++++++∞→)(lim 11413122242322nnn C C C C n C C C C ΛΛ ( )(A )3 (B )31 (C )61(D )612.一个四面体的所有棱长都为2,四个顶点在同一球面上,则些球的表面积为( )(A )π3 (B )π4 (C )π33(D )π6二.填空题:本大题共4小题,每小题4分,共16分。
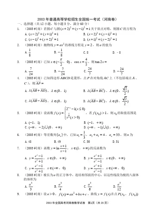
2003年普通高等学校招生全国统一考试(河南卷)一、选择题(共12小题,每小题5分,满分60分)1. (2003▪河南)若圆C 与圆22(2)(1)1x y ++-=关于原点对称,则圆C 的方程为A.22(2)(1)1x y -++=B.22(2)(1)1x y -+-=C.22(1)(2)1x y -++=D.22(1)(2)1x y ++-= 2. (2003▪河南)抛物线2y ax =的准线方程是2y =,则a 的值为 A.18B.18-C.8D.﹣8 3.(2003▪河南)已知(2x π∈-,0),54cos =x ,则tan 2x = A.247 B.724- C.724 D.247- 4.(2003▪河南)已知四边形ABCD 是菱形,点P 在对角线AC 上(不包括端点A 、C ),则AP = A.()AB AD λ+,(0λ∈,1) B.()AB BC λ+,(0λ∈,)2 C.()AB AD λ-,(0λ∈,1) D.()AB BC λ-,(0λ∈,2 5.(2003▪河南)设函数⎪⎩⎪⎨⎧>≤-=-)0()0(12)(21x x x x f x ,若1)(0>x f ,则0x 的取值范围是 A.1(-,)1 B.1(-,)∞+ C.-∞(,0()2 -,)∞+ D.-∞(,1()1 -,)∞+ 6. (2003▪河南)等差数列{}n a 中,已知113a =,254a a +=,33n a =,则n 为 A.48 B.49 C.50 D.51 7. (2003▪河南)函数1ln1x y x +=-,1(∈x ,)∞+的反函数为 A.11x x e y e -=+,0(∈x ,)∞+ B.11x x e y e +=-,0(∈x ,)∞+ C.11x x e y e -=+,-∞∈(x ,)0 D.11x x e y e +=-,-∞∈(x ,)0 8. (2003▪河南)棱长为a 的正方体中,连结相邻面的中心,以这些线段为棱的八面体的体积为 A.33a B.43a C.63a D.123a 9. (2003▪河南)设0a >,2()f x ax bx c =++,曲线)(x f y =在点0(x P ,))(0x f处的切线的倾斜角的取值范围为0[,]4π,则P 到曲线)(x f y =对称轴距离的取值范围为A.[0,1]aB.[0,1]2aC.[0,||]2b a D.[0,1||]2b a-10. (2003▪河南)已知双曲线中心在原点且一个焦点为F 0),直线1y x =-与其相交于M N 、两点,MN 中点的横坐标为23-,则此双曲线的方程是 A.14322=-y x B.13422=-y x C.12522=-y x D.15222=-y x 11. (2003▪河南)已知长方形的四个顶点(0A ,0),(2B ,0),(2C ,1)和(0D ,1).一质点从AB 的中点0P 沿与AB 夹角为θ的方向射到BC 上的点1P 后,依次反射到CD 、DA 和AB 上的点2P ,3P 和4P (入射角等于反射角).设4P 的坐标为4(x ,0),若412x <<,则θtan 的取值范围是 A.1(3,1) B.1(3,23) C.2(5,1)2 D.2(5,2)3 12. (2003▪河南)一个四面体的所有棱长都为2,四个顶点在同一球面上,则此球的表面积为A.3πB.4πC.D.6π 二、填空题(共4小题,每小题4分,满分16分)13. (2003▪河南)92)21(xx -展开式中9x 的系数是________________. 14. (2003▪河南)某公司生产三种型号的轿车,产量分别为1200辆,6000辆和2000辆.为检验该公司的产品质量,现用分层抽样的方法抽取46辆进行检验,这三种型号的轿车依次应抽取______、__________、__________辆.15. (2003▪河南)对于四面体ABCD ,给出下列四个命题:①若AB AC =,BD CD =,则BC AD ⊥;②若AB CD =,AC BD =,则BC AD ⊥;③若AB AC ⊥,BD CD ⊥,则BC AD ⊥;④若AB CD ⊥,BD AC ⊥,则BC AD ⊥.其中真命题的序号是________.(写出所有真命题的序号)16. (2003▪河南)将三种作物种植在如图的5块试验田里,每块种植一种作物且相邻的.三、解答题(共617. (2003▪河南)已知函数)cos (sin sin 2)(x x x x f +=.⑴求函数)(x f 的最小正周期和最大值;⑵在给出的直角坐标系中,画出函数)(x f y =在区间[2π-,]2π上的图象.18. (2003▪河南)有三种产品,合格率分别是0.90,0.95和0.95,各抽取一件进行检验.⑴求恰有一件不合格的概率; ⑵求至少有两件不合格的概率.(精确到0.001)19. (2003▪河南)如图,在直三棱柱111ABC A BC -中,底面是等腰直角三角形,90ACB ∠=︒,侧棱12AA =,D E 、分别是1CC 与1AB 的中点,点E 在平面ABD 上的射影是ABD ∆的重心G .⑴求1A B 与平面ABD 所成角的大小(结果用反三角函数值表示);⑵求点1A 到平面AED 的距离.20. (2003▪河南)已知0c >,设P :函数xy c =在R 上单调递减,Q :不等式|2|1x x c +->的解集为R .如果P 和Q 有且仅有一个正确,求c 的取值范围.21. (2003▪河南)已知常数0a >,向量(0c =,)a ,(1i =,0),经过原点O 以c iλ+为方向向量的直线与经过定点(0A ,)a 以2i c λ-为方向向量的直线相交于点P ,其中R λ∈.试问:是否存在两个定点E F 、,使得||||PE PF +为定值.若存在,求出E F 、的坐标;若不存在,说明理由.22. (2003▪河南)已知0a >,n 为正整数.⑴设()n y x a =-,证明1()n y n x a -'=-;⑵设()()n n n f x x x a =--,对任意n a ≥,证明1(1)(1)()n n f n n f n +''+>+.2003年辽宁省高考数学试卷参考答案与试题解析一、选择题(共12小题,每小题5分,满分60分)1.(5分)(2003•辽宁)与曲线关于原点对称的曲线为()A.B. C.D.【分析】题目中:“曲线关于原点对称的曲线”,只要将原函数式中的x换成﹣x,y换成﹣y,即可得到新曲线的函数解析式.【解答】解:∵曲线关于原点对称的曲线,∴只要将原函数式中的x换成﹣x,y换成﹣y,即可得到新曲线的函数解析式,即﹣y=,整理,得.故选A.【点评】本题考查函数图象的变换,由于使用了数形结合的方法,使问题便迎刃而解,且解法简捷.2.(5分)(2003•全国)已知x∈(﹣,0),cosx=,则tan2x等于()A.B.﹣C.D.﹣【分析】先根据cosx,求得sinx,进而得到tanx的值,最后根据二倍角公式求得tan2x.【解答】解:∵cosx=,x∈(﹣,0),∴sinx=﹣.∴tanx=﹣.∴tan2x===﹣×=﹣.故选D.【点评】本题主要考查了三角函数中的二倍角公式.属基础题.3.(5分)(2003•天津)=()A. B.C. D.【分析】化简复数的分母,然后复数的分子、分母同乘分母的共轭复数,即可求得结果.【解答】解:=故选B.【点评】复数代数形式的混合运算,是基础题.4.(5分)(2003•辽宁)已知四边形ABCD是菱形,点P在对角线AC上(不包括端点A、C),则=()A.B.C.D.【分析】先过P分别作AD、AB的平行线,可得,,运用向量的加法运算可得=λ(+),λ∈(0,1).【解答】解:设P是对角线AC上的一点(不含A、C),过P分别作AD、AB的平行线,则可得.设,则λ∈(0,1)且.于是=λ(+),λ∈(0,1).故选A.【点评】本题主要考查向量的线性运算和向量加法的几何意义.属基础题.5.(5分)(2003•全国)设函数若f(x0)>1,则x0的取值范围是()A.(﹣1,1)B.(﹣1,+∞)C.(﹣∞,﹣2)∪(0,+∞) D.(﹣∞,﹣1)∪(1,+∞)【分析】将变量x0按分段函数的范围分成两种情形,在此条件下分别进行求解,最后将满足的条件进行合并.【解答】解:当x0≤0时,,则x0<﹣1,当x0>0时,则x0>1,故x0的取值范围是(﹣∞,﹣1)∪(1,+∞),故选D.【点评】本题考查了分段函数已知函数值求自变量的范围问题,以及指数不等式与对数不等式的解法,属于常规题.6.(5分)(2003•天津)等差数列{an}中,已知a1=,a2+a5=4,an=33,则n为()A.48 B.49 C.50 D.51【分析】先由等差数列的通项公式和已知条件解出d,进而写出an的表达式,然后令an=33,解方程即可.【解答】解:设{an}的公差为d,∵,a2+a5=4,∴+d++4d=4,即+5d=4,解得d=.∴an=+(n﹣1)=,令an=33,即=33,解得n=50.故选C.【点评】本题主要考查了等差数列的通项公式an=a1+(n﹣1)d,注意方程思想的应用.7.(5分)(2003•天津)函数,x∈(1,+∞)的反函数为()A.,x∈(0,+∞)B.,x∈(0,+∞)C.,x∈(﹣∞,0)D.,x∈(﹣∞,0)【分析】本题考查反函数的概念、求反函数的方法、指数式与对数式的互化,求函数的值域等函数知识和方法;将,看做方程解出x,然后根据原函数的定义域x∈(1,+∞)求出原函数的值域,即为反函数的定义域.【解答】解:由已知,解x得,令,当x∈(1,+∞)时,m∈(1,+∞),则,∴函数,x∈(1,+∞)的反函数为,x∈(0,+∞)故选B.【点评】这是一个基础性题,解题思路清晰,求解方向明确,所以容易解答;解答时注意两点,一是借助指数式和对数式的互化求x,二是函数,x∈(1,+∞)值域的确定,这里利用”常数分离法“和对数函数的性质推得.8.(5分)(2003•天津)棱长为a的正方体中,连接相邻面的中心,以这些线段为棱的八面体的体积为()A.B.C.D.【分析】画出图形,根据题意求出八面体的中间平面面积,然后求出其体积.【解答】解:画出图就可以了,这个八面体是有两个四棱锥底面合在一起组成的.一个四棱锥的底面面积是正方体的一个面的一半,就是,高为,所以八面体的体积为:.故选C.【点评】本题考查学生空间想象能力,逻辑思维能力,体积的计算公式,考查转化思想,是基础题.9.(5分)(2003•天津)设a>0,f(x)=ax2+bx+c,曲线y=f(x)在点P(x0,f(x0))处切线的倾斜角的取值范围为[0,],则P到曲线y=f(x)对称轴距离的取值范围为()A.[0,] B.[0,] C.[0,||] D.[0,||]【分析】先由导数的几何意义,得到x0的范围,再求出其到对称轴的范围.【解答】解:∵过P(x0,f(x0))的切线的倾斜角的取值范围是[0,],∴f′(x0)=2ax0+b∈[0,1],∴P到曲线y=f(x)对称轴x=﹣的距离d=x0﹣(﹣)=x0+∴x0∈[,].∴d=x0+∈[0,].故选:B.【点评】本题中是对导数的几何意义的考查,计算时,对范围的换算要细心.10.(5分)(2003•全国)已知双曲线中心在原点且一个焦点为F(,0),直线y=x﹣1与其相交于M、N两点,MN中点的横坐标为﹣,则此双曲线的方程是()A.﹣=1 B.﹣=1 C.﹣=1 D.﹣=1【分析】先设出双曲线的方程,然后与直线方程联立方程组,经消元得二元一次方程,再根据韦达定理及MN中点的横坐标可得a、b的一个方程,又双曲线中有c2=a2+b2,则另得a、b的一个方程,最后解a、b的方程组即得双曲线方程.【解答】解:设双曲线方程为﹣=1.将y=x﹣1代入﹣=1,整理得(b2﹣a2)x2+2a2x﹣a2﹣a2b2=0.由韦达定理得x1+x2=,则==﹣.又c2=a2+b2=7,解得a2=2,b2=5,所以双曲线的方程是.故选D.【点评】本题主要考查代数方法解决几何问题,同时考查双曲线的标准方程与性质等.11.(5分)(2003•全国)已知长方形的四个项点A(0,0),B(2,0),C(2,1)和D(0,1),一质点从AB的中点P0沿与AB夹角为θ的方向射到BC上的点P1后,依次反射到CD.DA和AB上的点P2.P3和P4(入射角等于反射角),设P4坐标为(x4,0),若1<x4<2,则tanθ的取值范围是()A.(,1) B.(,)C.(,)D.(,)【分析】先画草图,帮助理解,取BC上的点P1为中点,则P4和中点P0重合,tanθ=,用排除法解答.【解答】解:考虑由P0射到BC的中点上,这样依次反射最终回到P0,此时容易求出tanθ=,由题设条件知,1<x4<2,则tanθ≠,排除A.B.D,故选C.【点评】由于是选择题,因而可以特殊值方法解答:排除验证法,也可以用动态观点判定答案.12.(5分)(2003•全国)棱长都为的四面体的四个顶点在同一球面上,则此球的表面积为()A.3πB.4πC.3D.6π【分析】本题考查的知识点是球的体积和表面积公式,由棱长都为的四面体的四个顶点在同一球面上,可求出内接该四面体的正方体棱长为1,又因为正方体的对角线即为球的直径,即球的半径R=,代入球的表面积公式,S球=4πR2,即可得到答案.【解答】解:借助立体几何的两个熟知的结论:(1)一个正方体可以内接一个正四面体;(2)若正方体的顶点都在一个球面上,则正方体的体对角线就是球的直径.则球的半径R=,∴球的表面积为3π,故答案选A.【点评】棱长为a的正方体,内接正四面体的棱长为a,外接球直径等于长方体的对角线长a.二、填空题(共4小题,每小题4分,满分16分)13.(4分)(2003•全国)在的展开式中,x3的系数是﹣(用数字作答)【分析】首先根据题意,写出的二项展开式,可得9﹣2r=3,解可得r=3,将其代入二项展开式,计算可得答案.【解答】解:根据题意,对于,有Tr+1=C99﹣r•x9﹣r•(﹣)r=(﹣)r•C99﹣r•x9﹣2r,令9﹣2r=3,可得r=3,当r=3时,有T4=﹣x3,故答案﹣.【点评】本题考查二项式定理的应用,注意系数与二项式系数的区别.14.(4分)(2003•天津)某公司生产三种型号的轿车,产量分别为1200辆、6000辆和2000辆,为检验该公司的产品质量,现用分层抽样的方法抽取46辆进行检验,这三种型号的轿车依次应抽取 6 辆、30 辆、10 辆.【分析】由题意先求出抽样比例即为,再由此比例计算出在三种型号的轿车抽取的数目.【解答】解:因总轿车数为9200辆,而抽取46辆进行检验,抽样比例为=,而三种型号的轿车有显著区别,根据分层抽样分为三层按比例,故分别从这三种型号的轿车依次应抽取6辆、30辆、10辆.故答案为:6,30,10.【点评】本题的考点是分层抽样,即保证样本的结构和总体的结构保持一致,按照一定的比例样本容量和总体容量的比值,在各层中进行抽取.15.(4分)(2003•天津)某城市在中心广场建造一个花圃,花圃分为6个部分(如图).现要栽种4种不同颜色的花,每部分栽种一种且相邻部分不能栽种同样颜色的花,不同的栽种方法有120 种.(以数字作答)【分析】由题意来看6部分种4种颜色的花,又从图形看知必有2组同颜色的花,从同颜色的花入手分类求.②与⑤同色,则③⑥也同色或④⑥也同色,③与⑤同色,则②④或⑥④同色,②与④且③与⑥同色,根据分类计数原理得到结果.【解答】解:从题意来看6部分种4种颜色的花,又从图形看知必有2组同颜色的花,从同颜色的花入手分类求.(1)②与⑤同色,则③⑥也同色或④⑥也同色,所以共有N1=4×3×2×2×1=48种;(2)③与⑤同色,则②④或⑥④同色,所以共有N2=4×3×2×2×1=48种;(3)②与④且③与⑥同色,则共有N3=4×3×2×1=24种.∴共有N=N1+N2+N3=48+48+24=120种.故答案为:120【点评】这是一道理科的高考题,本题还可以这样解:记颜色为A,B,C,D四色,先安排1,2,3有A43种不同的栽法,不妨设1,2,3已分别栽种A,B,C,则4,5,6栽种方法共5种,由以下树状图清晰可见.根据分步计数原理,不同栽种方法有N=A43×5=120.16.(4分)(2003•辽宁)对于四面体ABCD,给出下列四个命题①若AB=AC,BD=CD,则BC⊥AD;②若AB=CD,AC=BD,则BC⊥AD;③若AB⊥AC,BD⊥CD,则BC⊥AD;④若AB⊥CD,BD⊥AC,则BC⊥AD.其中真命题的序号是①④.(写出所有真命题的序号)【分析】证明线线垂直一般采用线面垂直来证线线垂直.①的证明可转借化证明BC ⊥面AHD.④的证明可转化为证垂心,然后再证明BC⊥面AED来证明BC⊥AD.②③条件下不能求出两线的夹角,也无法保证一个线垂直于另一个线所在的平面,故不对.【解答】证明:如图对于①取BC的中点H,连接AH与DH,可证得BC⊥面AHD,进而可得BC⊥AD,故①对;对于②条件不足备,证明不出结论;对于③条件不足备,证明不出结论;对于④作AE⊥面BCD于E,连接BE可得BE⊥CD,同理可得CE⊥BD,证得E 是垂心,则可得出DE⊥BC,进而可证得BC⊥面AED,即可证出BC⊥AD.综上知①④正确,故应填①④.【点评】本题在判断时有一定的难度,需要构造相关的图形,在立体几何中,构造法是一个常用的方法,本题用其来将线线证明转化线面证明,三、解答题(共6小题,满分74分)17.(12分)(2003•天津)已知正四棱柱ABCD﹣A1B1C1D1.AB=1,AA1=2,点E为CC1中点,点F为BD1中点.(1)证明EF为BD1与CC1的公垂线;(2)求点D1到面BDE的距离.【分析】(1)欲证明EF为BD1与CC1的公垂线,只须证明EF分别与为BD1与CC1垂直即可,可由四边形EFMC是矩形→EF⊥CC1.由EF⊥面DBD1→EF⊥BD1.(2)欲求点D1到面BDE的距离,将距离看成是三棱锥的高,利用等体积法:VE﹣DBD1=VD1﹣DBE.求解即得.【解答】解:(1)取BD中点M.连接MC,FM.∵F为BD1中点,∴FM∥D1D且FM=D1D.又EC CC1且EC⊥MC,∴四边形EFMC是矩形∴EF⊥CC1.又FM⊥面DBD1.∴EF⊥面DBD1.∵BD1⊂面DBD1.∴EF⊥BD1.故EF为BD1与CC1的公垂线.(Ⅱ)解:连接ED1,有VE﹣DBD1=VD1﹣DBE.由(Ⅰ)知EF⊥面DBD1,设点D1到面BDE的距离为d.则.∵AA1=2,AB=1.∴,,∴.∴故点D1到平面DBE的距离为.【点评】本小题主要考查线面关系和四棱柱等基础知识,考查空间想象能力和推理能力.18.(12分)(2003•天津)已知函数f(x)=sin(ωx+φ)(ω>0,0≤φ≤π)是R上的偶函数,其图象关于点对称,且在区间上是单调函数,求φ和ω的值.【分析】由f(x)是偶函数可得ϕ的值,图象关于点对称可得函数关系,可得ω的可能取值,结合单调函数可确定ω的值.【解答】解:由f(x)是偶函数,得f(﹣x)=f(x),即sin(﹣ωx+φ)=sin(ωx+φ),所以﹣cosφsinωx=cosφsinωx,对任意x都成立,且w>0,所以得cosφ=0.依题设0≤φ≤π,所以解得φ=,由f(x)的图象关于点M对称,得,取x=0,得f()=sin()=cos,∴f()=sin()=cos,∴cos=0,又w>0,得=+kπ,k=0,1,2,3,…∴ω=(2k+1),k=0,1,2,…当k=0时,ω=,f(x)=sin()在[0,]上是减函数,满足题意;当k=1时,ω=2,f(x)=sin(2x+)=cos2x,在[0,]上是减函数,满足题意;当k=2时,ω=,f(x)=sin(x+)在[0,]上不是单调函数;所以,综合得ω=或2.【点评】本题主要考查三角函数的图象、单调性、奇偶性等基本知识,以及分析问题和推理计算能力.19.(12分)(2003•天津)设a>0,求函数f(x)=﹣ln(x+a)(x∈(0,+∞))的单调区间.【分析】由题意函数f(x)=﹣ln(x+a),首先求出函数的导数,然后根据导数与函数单调区间的关系对a的大小进行分类讨论.【解答】解:由题意得,令f′(x)=0,即x2+(2a﹣4)x+a2=0,其中△=4(a﹣2)2﹣4a2=8﹣8a,(i)当a>1时,△<0成立,对所有x>0,有x2+(2a﹣4)+a2>0.即f′(x)>0,此时f(x)在(0,+∞)内单调递增;(ii)当a=1时,△=0成立,对x≠1,有x2+(2a﹣4)x+a2>0,即f′(x)>0,此时f(x)在(0,1)内单调递增,且在(1,+∞)内也单调递增,又知函数f(x)在x=1处连续,因此,函数f(x)在(0,+∞)内单调递增;(iii)当0<a<1时,△>0成立,令f′(x)>0,即x2+(2a﹣4)x+a2>0,解得x<2﹣a﹣2或x>2﹣a+2,因此,函数f(x)在区间,内也单调递增.令f′(x)<0,即x2+(2a﹣4)x+a2<0,解得,因此,函数f(x)在区间内单调递减.【点评】本题主要考查导数的概念和计算,应用导数研究函数单调性的方法及推理和运算能力.20.(12分)(2003•天津)A、B两个代表队进行乒乓球对抗赛,每队三名队员,A 队队员是A1,A2,A3,B队队员是B1,B2,B3,按以往多次比赛的统计,对阵队员之间胜负概率如下:对阵队员A队队员胜的概率A队队员负的概率A1对B1A2对B2A3对B3现按表中对阵方式出场,每场胜队得1分,负队得0分,设A队、B队最后所得总分分别为ξ、η.(1)求ξ、η的概率分布;(2)求Eξ,Eη.【分析】(1)由题意知本题两个变量之间具有特殊关系,根据相互独立事件同时发生的概率做出变量ξ的分布列,根据两者之间和为3,得到另一个变量的分布列.(2)由题意知本题两个变量之间具有特殊关系,两个变量的期望之间也有这种关系,两个变量的期望的和是3,解出一个,另一个用做差来解.【解答】解:(1)ξ、η的可能取值分别为3,2,1,0.,,.根据题意知ξ+η=3,∴P(η=0)=P(ξ=3)=,P(η=1)=P(ξ=2)=,P(η=2)=P(ξ=1)=,P(η=3)=P(ξ=0)=.(2),∵ξ+η=3,∴.【点评】本小题考查离散型随机变量分布列和数学期望等概念,考查运用概率知识解决实际问题的能力,求离散型随机变量的分布列和期望是近年来理科高考必出的一个问题,题目做起来不难,运算量也不大.21.(14分)(2003•天津)设an为常数,且an=3n﹣1﹣2an﹣1(n∈N*).(1)证明对任意n≥1,有;(2)假设对任意n≥1有an>an﹣1,求a0的取值范围.【分析】(1)选择利用数学归纳法为妥,需要注意的是有归纳假设ak到ak+1的变形,利用归纳假设,注意目标的形式就能得到结果;另外可以利用递推数列来求得通项公式,当然需要对递推数列的an+1=pan+f(n)这种形式的处理要合适;这种形式的一般处理方法是:两边同时除以pn+1或者是构造一个等比数列,构造法有一定的技巧,如本题可设an﹣a3n=﹣2(an﹣1﹣a3n﹣1),(2)由(1)的结论可作差an﹣an﹣1>0并代入运算,由于含有(﹣1)n的形式要注意对n=2k﹣1和n=2k进行讨论,只需取k=1,2时得到a0的取值范围即可,另外一个思路是只需取n=1,2时得到a0的范围,然后分n=2k﹣1和n=2k进行证明an﹣an﹣1>0.具体解法参见参考答案.【解答】解:(1)证法一:(i)当n=1时,由已知a1=1﹣2a0,等式成立;(ii)假设当n=k(k≥1)等式成立,则,那么=.也就是说,当n=k+1时,等式也成立.根据(i)和(ii),可知等式对任何n∈N,成立.证法二:如果设an﹣a3n=﹣2(an﹣1﹣a3n﹣1),用an=3n﹣1﹣2an﹣1代入,可解出.所以是公比为﹣2,首项为的等比数列.∴.即.(2)解法一:由an通项公式.∴an>an﹣1(n∈N)等价于.①(i)当n=2k﹣1,k=1,2,时,①式即为即为.②式对k=1,2,都成立,有.(ii)当n=2k,k=1,2时,①式即为.即为.③式对k=1,2都成立,有.综上,①式对任意n∈N*,成立,有.故a0的取值范围为.解法二:如果an>an﹣1(n∈N*)成立,特别取n=1,2有a1﹣a0=1﹣3a0>0.a2﹣a1=6a0>0.因此.下面证明当.时,对任意n∈N*,an﹣an﹣1>0.由an的通项公式5(an﹣an﹣1)=2×3n﹣1+(﹣1)n﹣13×2n﹣1+(﹣1)n5×3×2n﹣1a0.(i)当n=2k﹣1,k=1,2时,5(an﹣an﹣1)=2×3n﹣1+3×2n﹣1﹣5×3×2n﹣1a0>2×2n﹣1+3×2n﹣1﹣5×3×2n﹣1=0(ii)当n=2k,k=1,2时,5(an﹣an﹣1)=2×3n﹣1﹣3×2n﹣1+5×3×2n﹣1a0>2×3n﹣1﹣3×2n﹣1≥0.故a0的取值范围为.【点评】本题主要考查数列、等比数列的概念,考查数学归纳法,考查灵活综合运用数学知识分析问题和解决问题的能力.对递推数列的an+1=pan+f(n)这种形式的考查是一个难点,同时除以pn+1得到,然后用累加法得到的等式可得结果,或者是构造一个等比数列an+1+kf(n)=p(an+kf(n))(不具有普适性).22.(12分)(2003•天津)已知常数a>0,向量=(0,a),=(1,0),经过原点O以+λ为方向向量的直线与经过定点A(0,a)以﹣2λ为方向向量的直线相交于点P,其中λ∈R.试问:是否存在两个定点E、F,使得|PE|+|PF|为定值.若存在,求出E、F的坐标;若不存在,说明理由.【分析】根据和,求得+λ和﹣2λ进而可得直线OP和AP的方程,消去参数λ,得点P(x,y)的坐标满足方程,进而整理可得关于x和y的方程,进而看当时,方程为圆不符合题意;当时和当时,P的轨迹为椭圆符合两定点.【解答】解:∵=(0,a),=(1,0),∴+λ=(λ,a),﹣2λ=(1,﹣2λa).因此,直线OP和AP的方程分别为λy=ax和y﹣a=﹣2λax.消去参数λ,得点P(x,y)的坐标满足方程y(y﹣a)=﹣2a2x2.整理得.①因为a>0,所以得:(i)当时,方程①是圆方程,故不存在合乎题意的定点E和F;(ii)当时,方程①表示椭圆,焦点和为合乎题意的两个定点;(iii)当时,方程①也表示椭圆,焦点和为合乎题意的两个定点.【点评】本题主要考查平面向量的概念和计算,求轨迹的方法,椭圆的方程和性质,利用方程判定曲线的性质,曲线与方程的关系等解析几何的基本思想和综合解题能力.参与本试卷答题和审题的老师有:yhx01248;zhwsd;qiss;wsj1012;minqi5;jj2008;liuerq;rxl;wzj123;geyanli;danbo7801;gongjy;涨停;xintrl;zhiyuan;于其才(排名不分先后)菁优网2017年5月28日。
03年河南数学高考真题2003年河南数学高考真题2003年的高考,相信对于绝大多数人来说都是过去的时光,但对于那些曾经参加过的考生而言,那一年的考题可能依然历历在目。
现在,让我们回顾一下当年河南省的数学高考真题,一同来挑战这些经典题目。
一、单选题1. 若(i + 1)(i + 2) = 3(i 为虚数单位),则i的值是多少?A. 1B. 2C. -1D. -2解析:展开括号得到i^2 + 3i + 2 = 3,整理得i^2 + 3i - 1 = 0,将i^2替换为-1,得到-1 + 3i - 1 = 0,即3i = 2,所以i = 2/3,故选B。
2. 已知等比数列{an}中首项a1=2,公比q>0(q≠1),若an=3,则n的值为多少?A. 4B. 5C. 6D. 7解析:an=2*q^(n-1)=3,得到q^(n-1)=1.5,将1.5分解为3/2,即q^(n-1)=3/2,所以n-1=1,得到n=2,故选A。
3. 曲线y=|x+1|最小值是多少?A. 0B. -1C. 1D. 2解析:当x+1=0时,|x+1|=0,所以y的最小值为0,故选A。
二、填空题4. 设集合A={x|x∈N, x+32=4k(k∈N)},其中N为自然数集,求A中元素的个数。
答:A={33, 37, 41, 45, ...},符合条件的x为每隔4个数的数列,根据等差数列的性质可知,30 <= x <= 100,共有25个数,故答案为25。
5. 已知集合A={x|x=2k(k∈N),x>8},B={y|y=3n(n∈N),y<20},求集合A和B的交集。
答:A={10, 12, 14, 16, 18},B={3, 6, 9, 12, 15, 18},A和B的交集为{12, 18}。
三、解答题6. 若一个四位数的各位数字反向排列后比原数多324,且百位数字比个位数字大2,十位数字比个位数字大3,求该四位数。
2003年普通高等学校招生全国统一考试(全国卷)数 学(理工农医类)注意事项:1。
答第Ⅰ卷前,考生务必将自己的姓名、准考证号、考试科目用铅笔涂写在答题卡上. 2。
每小题选出答案后,用铅笔把答题卡上对应答案标号涂黑,如需改动,用橡皮擦干净后,再选涂其它答案,不能答在试题卷上.3. 考试结束,监考人将本试卷和答题卡一并收回. 参考公式:三角函数的积化和差公式: 正棱台、圆台的侧面积公式)]sin()[sin(21cos sin βαβαβα-++=⋅ l c c S )(21+'=台侧 其中c '、c 分别表示)]sin()[sin(21sin cos βαβαβα--+=⋅ 上、下底面周长,l 表示斜高或母线长.)]cos()[cos(21cos cos βαβαβα-++=⋅ 球体的体积公式:334R V π=球 ,其中R)]cos()[cos(21sin sin βαβαβα--+-=⋅ 表示球的半径。
本试卷分第Ⅰ卷(选择题)和第Ⅱ卷(非选择题)两部分第Ⅰ卷(选择题共60分)一.选择题:本大题共12小题,每小题5分,共60分,在每小题给出的四个选项中,只有一项是符合要求的 1.已知2(π-∈x ,0),54cos =x ,则2tg x = ( ) (A )247 (B )247- (C)724 (D)724-2.圆锥曲线θθρ2cos sin 8=的准线方程是 ( ) (A )2cos -=θρ (B )2cos =θρ (C )2sin =θρ (D )2sin -=θρ 3.设函数⎪⎩⎪⎨⎧-=-2112)(xx f x 00>≤x x ,若1)(0>x f ,则0x 的取值范围是 ( ) (A)(1-,1) (B )(1-,∞+)(C )(∞-,2-)⋃(0,∞+) (D )(∞-,1-)⋃(1,∞+)4.函数)cos (sin sin 2x x x y +=的最大值为 ( )(A )21+ (B )12- (C )2 (D )25.已知圆C :4)2()(22=-+-y a x (0>a )及直线l :03=+-y x ,当直线l 被C 截得的弦长为32时,则a ( ) (A )2 (B)22- (C )12- (D )12+6.已知圆锥的底面半径为R ,高为3R ,在它的所有内接圆柱中,全面积的最大值是( )(A )22R π (B )249R π (C )238R π (D)223R π7.已知方程0)2)(2(22=+-+-n x x m x x 的四个根组成一个首项为41的的等差数列,则=-||n m ( )(A )1 (B )43 (C )21 (D )838.已知双曲线中心在原点且一个焦点为F (7,0),直线1-=x y 与其相交于M 、N 两点,MN 中点的横坐标为32-,则此双曲线的方程是 ( ) (A )14322=-y x (B )13422=-y x (C)12522=-y x (D )15222=-y x 9.函数x x f sin )(=,]23,2[ππ∈x 的反函数=-)(1x f ( )(A )x arcsin - 1[-∈x ,1] (B)x arcsin --π 1[-∈x ,1] (C )x arcsin +π 1[-∈x ,1] (D )x arcsin -π 1[-∈x ,1]10.已知长方形的四个顶点A (0,0),B (2,0),C (2,1)和D (0,1),一质点从AB 的中点0P 沿与AB 的夹角θ的方向射到BC 上的点1P 后,依次反射到CD 、DA 和AB 上的点2P 、3P 和4P (入射角等于反射角),设4P 的坐标为(4x ,0),若214<<x ,则tg θ的取值范围是 ( ) (A )(31,1) (B )(31,32) (C )(52,21) (D )(52,32)11.=++++++++∞→)(lim 11413122242322nnn C C C C n C C C C ( )(A)3 (B )31 (C )61(D)6 12.一个四面体的所有棱长都为2,四个顶点在同一球面上,则些球的表面积为( ) (A)π3 (B)π4 (C )π33 (D)π62003年普通高等学校招生全国统一考试(全国卷)数 学(理工农医类)第Ⅱ卷(非选择题共90分)二.填空题:本大题共4小题,每小题4分,共16分把答案填在题中横线上13.92)21(xx -的展开式中9x 系数是14.使1)(log 2+<-x x 成立的x 的取值范围是15.如图,一个地区分为5个行政区域,现给地图着色,要求相邻地区不得使用同一颜色,现有4种颜色可供选择,则不同的着色方法共有种(以数字作答)16.下列5个正方体图形中,l 是正方体的一条对角线,点M 、N 、P 分别为其所在棱的中点,能得出⊥l 面MNP 的图形的序号是 (写出所有符合要求的图形序号)① ② ③ ④ ⑤三、解答题:本大题共6小题,共74分,解答应写出文字说明,证明过程或或演算步骤 17.(本小题满分12分)已知复数z 的辐角为︒60,且|1|-z 是||z 和|2|-z 的等比中项,求||z18.(本小题满分12分)如图,在直三棱柱111C B A ABC -中,底面是等腰直角三角形,︒=∠90ACB ,侧棱21=AA ,D 、E 分别是1CC 与B A 1的中点,点E 在平面ABD 上的射影是△ABD 的重心G(I )求B A 1与平面ABD 所成角的大小(结果用反三角函数值表示)(II )求点1A 到平面AED 的距离19.(本小题满分12分) 已知0>c ,设P :函数x c y =在R 上单调递减 Q :不等式1|2|>-+c x x 的解集为R 如果P 和Q 有且仅有一个正确,求c 的取值范围20.(本小题满分12分)在某海滨城市附近海面有一台风,据监测,当前台风中心位于城市O (如图)的东偏南102arccos (=θθ)方向300km 的海面P 处,并以20km/h 的速度向西偏北︒45方向移动,台风侵袭的范围为圆形区域,当前半径为60km ,并以10km/h 的速度不断增大,问几小时后该城市开始受到台风的侵袭?21.(本小题满分14分)已知常数0>a ,在矩形ABCD 中,4=AB ,a BC 4=,O 为AB 的中点,点E 、F 、G 分别在BC 、CD 、DA 上移动,且BE CF DG BC CD DA ==,P 为GE 与OF的交点(如图),问是否存在两个定点,使P 到这两点的D E KBCABA FCG东距离的和为定值?若存在,求出这两点的坐标及此定值;若不存在,请说明理由22.(本小题满分12分,附加题4 分)(I )设}{n a 是集合|22{ts + t s <≤0且Z t s ∈,}中所有的数从小到大排列成的数列,即31=a ,52=a ,63=a ,94=a ,105=a ,126=a ,…将数列}{n a 各项按照上小下大,左小右大的原则写成如下的三角形数表:35 6 9 10 12 - — — —…………⑴写出这个三角形数表的第四行、第五行各数;⑵求100a(II )(本小题为附加题,如果解答正确,加4 分,但全卷总分不超过150分)设}{n b 是集合t s r t s r <<≤++0|222{,且},,Z t s r ∈中所有的数从小到大排列成的数列,已知1160=k b ,求k 。
2003年普通高等学校招生全国统一考试(全国卷)数 学(理工农医类)注意事项:1。
答第Ⅰ卷前,考生务必将自己的姓名、准考证号、考试科目用铅笔涂写在答题卡上. 2。
每小题选出答案后,用铅笔把答题卡上对应答案标号涂黑,如需改动,用橡皮擦干净后,再选涂其它答案,不能答在试题卷上.3。
考试结束,监考人将本试卷和答题卡一并收回. 参考公式:三角函数的积化和差公式: 正棱台、圆台的侧面积公式)]sin()[sin(21cos sin βαβαβα-++=⋅ l c c S )(21+'=台侧 其中c '、c 分别表示)]sin()[sin(21sin cos βαβαβα--+=⋅ 上、下底面周长,l 表示斜高或母线长。
)]cos()[cos(21cos cos βαβαβα-++=⋅ 球体的体积公式:334R V π=球 ,其中R)]cos()[cos(21sin sin βαβαβα--+-=⋅ 表示球的半径.本试卷分第Ⅰ卷(选择题)和第Ⅱ卷(非选择题)两部分第Ⅰ卷(选择题共60分)一。
选择题:本大题共12小题,每小题5分,共60分,在每小题给出的四个选项中,只有一项是符合要求的 1.已知2(π-∈x ,0),54cos =x ,则2tg x = ( ) (A)247 (B )247- (C)724 (D )724-2.圆锥曲线θθρ2cos sin 8=的准线方程是 ( ) (A )2cos -=θρ (B )2cos =θρ (C )2sin =θρ (D )2sin -=θρ 3.设函数⎪⎩⎪⎨⎧-=-2112)(xx f x 00>≤x x ,若1)(0>x f ,则0x 的取值范围是 ( ) (A )(1-,1) (B )(1-,∞+)(C )(∞-,2-)⋃(0,∞+) (D)(∞-,1-)⋃(1,∞+) 4.函数)cos (sin sin 2x x x y +=的最大值为 ( )(A )21+ (B )12- (C)2 (D )25.已知圆C :4)2()(22=-+-y a x (0>a )及直线l :03=+-y x ,当直线l 被C 截得的弦长为32时,则a ( ) (A )2 (B )22- (C)12- (D )12+6.已知圆锥的底面半径为R,高为3R ,在它的所有内接圆柱中,全面积的最大值是( )(A)22R π (B)249R π (C )238R π (D )223R π7.已知方程0)2)(2(22=+-+-n x x m x x 的四个根组成一个首项为41的的等差数列,则=-||n m ( )(A)1 (B )43 (C)21 (D )838.已知双曲线中心在原点且一个焦点为F(7,0),直线1-=x y 与其相交于M 、N 两点,MN 中点的横坐标为32-,则此双曲线的方程是 ( ) (A )14322=-y x (B )13422=-y x (C)12522=-y x (D )15222=-y x 9.函数x x f sin )(=,]23,2[ππ∈x 的反函数=-)(1x f ( )(A)x arcsin - 1[-∈x ,1] (B )x arcsin --π 1[-∈x ,1] (C )x arcsin +π 1[-∈x ,1] (D )x arcsin -π 1[-∈x ,1]10.已知长方形的四个顶点A (0,0),B (2,0),C(2,1)和D (0,1),一质点从AB 的中点0P 沿与AB 的夹角θ的方向射到BC 上的点1P 后,依次反射到CD 、DA 和AB 上的点2P 、3P 和4P (入射角等于反射角),设4P 的坐标为(4x ,0),若214<<x ,则tg θ的取值范围是 ( ) (A )(31,1) (B )(31,32) (C )(52,21) (D)(52,32)11.=++++++++∞→)(lim 11413122242322nnn C C C C n C C C C ( )(A)3 (B )31 (C )61(D )6 12.一个四面体的所有棱长都为2,四个顶点在同一球面上,则些球的表面积为( ) (A )π3 (B )π4 (C )π33 (D )π62003年普通高等学校招生全国统一考试(全国卷)数 学(理工农医类)第Ⅱ卷(非选择题共90分)二。
2003年全国统一高考数学试卷(河南卷)一、选择题(本大题共12小题,每小题5分,共60分。
在每小题给出的四个选项中,只有一项是符合题目要求的。
)1. 设函数f(x) = x^2 4x + 3,则f(x) = 0的解集是()A. {1, 3}B. {1, 3}C. {1, 3}D. {1, 3}2. 已知向量a = (2, 3),b = (1, 4),则向量a与向量b的点积是()A. 8B. 2C. 2D. 83. 在等差数列{an}中,a1 = 2,d = 3,则数列的前5项之和是()A. 45B. 40C. 35D. 304. 已知圆的方程为x^2 + y^2 = 16,则圆的半径是()A. 2B. 4C. 3D. 65. 设直线L的斜率为1/2,且经过点(2, 3),则直线L的方程是()A. y = 1/2x + 4B. y = 1/2x + 3C. y = 1/2x + 4D. y =1/2x + 36. 已知三角形ABC的三个内角A、B、C的对边分别为a、b、c,且a = 3,b = 4,C = 90°,则三角形ABC的面积是()A. 6B. 8C. 10D. 127. 设函数f(x) = 2x 1,则函数f(x)在区间(0, +∞)上是()A. 递增的B. 递减的C. 常数函数D. 无单调性8. 已知等比数列{an}中,a1 = 2,q = 3,则数列的第5项是()A. 162B. 81C. 54D. 279. 设函数f(x) = |x 1|,则函数f(x)的图像在x轴上的截距是()A. 1B. 0C. 1D. 无法确定10. 已知直线L1:x + 2y 3 = 0,L2:2x y + 1 = 0,则这两条直线的交点坐标是()A. (1, 1)B. (1, 1)C. (1, 1)D. (1, 1)11. 在等差数列{an}中,a1 = 5,d = 2,则数列的前10项之和是()A. 50B. 45C. 40D. 3512. 已知圆的方程为x^2 + y^2 4x 6y + 9 = 0,则圆心的坐标是()A. (2, 3)B. (2, 3)C. (2, 3)D. (2, 3)二、填空题(本大题共4小题,每小题5分,共20分。
绝密★启用前2003年普通高等学校招生全国统一考试数 学(理工农医类)一、选择题(本大题共12小题,每小题5分,共60分,在每小题给出的四个选项中,只有一项是符合题目要求的。
1.已知==-∈x tg x x 2,54cos ),0,2(则π( )A .247 B .247-C .724 D .724- 2.圆锥曲线的准线方程是θθρ2cos sin 8=( )A .2cos -=θρB .2cos =θρC .2sin -=θρD .2sin =θρ3.设函数的取值范围是则若0021,1)(,.0,,0,12)(x x f x x x x f x >⎪⎩⎪⎨⎧>≤-=- ( )A .(-1,1)B .(-1,+∞)C .),0()2,(+∞⋃--∞D .),1()1,(+∞⋃--∞4.函数)cos (sin sin 2x x x y +=的最大值为 ( )A .21+B .12-C .2D .25.已知圆截得被当直线及直线C l y x l a x a x C .03:)0(4)2()(:22=+->=-+-的弦长为32时,则a =( )A .2B .22-C .12-D .12+6.已知圆锥的底面半径为R ,高为3R ,在它的所有内接圆柱中,全面积的最大值是( ) A .22R πB .249R πC .238R πD .223r π7.已知方程0)2)(2(22=+-+-n x x m x x 的四个根组成的一个首项为41的等差数列,则 =-||n m( )A .1B .43 C .21 D .83 8.已知双曲线中心在原点且一个焦点为与其相交于直线1),0,7(-=x y F M 、N 两点,MN 中点的横坐标为,32-则此双曲线的方程是 ( )A .14322=-y x B .13422=-y xC .12522=-y xD .15222=-y x 9.函数=∈=-)(]23,2[,sin )(1x f x x x f 的反函数ππ( )A .]1,1[,arcsin -∈-x xB .]1,1[,arcsin -∈--x x πC .]1,1[,arcsin -∈+-x x πD .]1,1[,arcsin -∈-x x π10.已知长方形的四个项点A (0,0),B (2,0),C(2,1)和D (0,1),一质点从AB 的中点P 0沿与AB 夹角为θ的方向射到BC 上的点P 1后,依次反射到CD 、DA 和AB 上的点P 2、P 3和P 4(入射解等于反射角),设P 4坐标为(θtg ,2x 1),0,44则若<<x 的取值范围是( )A .)1,31(B .)32,31(C .)21,52(D .)32,52(11.=++++++++∞→)(lim 11413122242322nnn C C C C n C C C C( )A .3B .31C .61 D .612.一个四面体的所有棱长都为2,四个项点在同一球面上,则此球的表面积为 ( )A .3πB .4πC .3π3D .6π二、填空题:本大题共4小题,每小题4分,共16分,把答案填在题中横线上。
2003年河南省高级中等学校招生统一考试数学试卷(B 卷)一、填空题(共12小题,每小题2分,满分24分)1.|-2003|的相反数是 .2.一个数的平方等于64,则这个数的立方根是 .3.已知:如图,A 、O 、B 在同一条直线上,∠AOC =21∠BOC +30°,OE 平分∠BOC ,则∠BOE = 度.4.计算:(-2xy 2)2·3x 2y ·(-x 3y 4)= .5.函数y =2-x x +12+x 的自变量x 的取值范围是 . 6.在你所学过的几何图形中,既是轴对称图形又是中心对称图形的有 . (写出两个)7.若二元二次方程组⎪⎩⎪⎨⎧=-=+7233y x y x 的解是某个一元二次方程的两个根,则这个一元二次方程为 .8.某超市规定,如果购买不超过50元的商品时,按全额收费;购买超过50元的商品时,超过部分按九折收费.某顾客在一次消费中,向售货员交纳了212元,那么在此次消费中该顾客购买了价值 元的商品.9.若一次函数的图象经过第一、三、四象限,则它的解析式为 . (写出一个即可)10.如图,为了测量河对岸的旗杆AB 的高度,在点C 处测得旗杆顶端A 的仰角为30°,沿CB 方向前进5米到达D 处,在D 处测得旗杆顶端A 的仰角为45°,则旗杆AB 的高度是 米.11.在平面直角坐标系中,已知点A (7-2m ,5-m )在第二象限,且m 为整数,则过点A 的反比例函数的解析式为 .12.如图,把菱形ABCD 沿着对角线AC 的方向移动到菱形A ′B ′C ′D ′的位置,它们的重叠部分(图中阴影部分)的面积是菱形ABCD 的面积的21.若AC =2,则菱形移动的距离AA ′是 .二、选择题(每小题3分,共15分)13.已知数轴上的A 点到原点的距离是2,那么在数轴上到A 点的距离是3的点所表示的数有( )A .1个B .2个C .3个D .4个14.如果长方形ABCD 的对角线的交点与平面直角坐标系的原点重合,且点A 和点B 的坐标分别为(-3,2)和(3,2),则该长方形的面积为( )A .32B .24C .6D .815.若1<x <2,则|x -3|+2)1(+x 的值为( )A .2x -4B .-2C .4-2xD .216.如果关于x 的方程(m -2)x 2-2(m -1)x +m =0只有一个实数根,那么方程mx 2-(m +2)x+(4-m )=0的根的情况是( )A .没有实数根B .有两个不相等的实数根C .有两个相等的实数根D .只有一个实数根17.直角梯形ABCD 中,AD ∥BC ,AB ⊥BC ,AB =103,AD =5,BC =15,分别以点C 、D 为圆心,CB 、DA 的长为半径作圆,则两圆的位置关系是( )A .外切B .内切C .相交D .外离三、(18、19各5分,20、21各6分,共22分)18.已知321+=m ,321-=n ,求⎪⎭⎫ ⎝⎛-+22221n m n ÷⎪⎭⎫ ⎝⎛-+n m n 21的值. 19.已知:如图,点P 、A 分别是直线l 上和直线l 外的点.求作:⊙O ,使⊙O 切直线l 于点P ,且经过点A (保留作图痕迹,写出作法)20.为了了解中学生的身体素质情况,现抽取了某校实初中三年级50名学生,对每各学生进行了100米跑,立定跳远、掷铅球三个项目的测试,每个项目满分10分,图为将学生所得的三项成绩(成绩均为整数)之和进行整理后,分成五组画出频率分布直方图.已知从左到右前四个小组的频率分别是0.02,0.1,0.12,0,46,根据已知条件及图形提供的信息下列问题:①每五小组的频数是多少?②如果23分(包括23)以上表明身体素质良好,那么身体素质良好的学生占全部测试学生百分率是多少?③在这次测试中,学生成绩的中位数落在第几小组内?21.如图,⊙O、⊙B相交于点M、N,点B在⊙O上,NE为⊙B的直径,点C在⊙B上,CM交⊙O于点A,连接AB并延长交NC于点D,求证:AD⊥NC.四、(每小题7分,共14分)=20,22.如图,Rt△OAB的斜边AO在x轴的正半轴上,直角顶点B在第四象限内,S△OAB OB:AB=1:2,求A、B两点的坐标.23.如图,在Rt△ABC中,∠ACB=90°,AD平分∠CAB交BC于点D,过点C作CE⊥AD 于E,CE的延长线交AB于点F,过点E作EG∥BC交AB于点G,AE•AD=16,AB=45,(1)求证:CE=EF;(2)求EG长.五、(本题满分8分)24.某制药厂承担了240吨药品的任务,已知甲车间单独生产这批药品比乙车间单独生产这批药品多用5天.乙车间每天比甲车间多生产8吨药品,求甲、乙两车间每天各生产多少吨药品?六、(本题满分8分)25.如图,点D、C是以AB为直径的半圆上的两点,O为圆心,DE与AC相交于点E,OC ∥AD,AB=5,cos∠CAB=0.8,求CE和DE的长.七、(本题满分9分)26.如图,AB是⊙O的直径,O为圆心,AB=20,DP与⊙O相切于点D,DP⊥PB,垂足为P,PB与⊙O交于点C,PD=8.①求BC的长;②连接DC,求tan∠PCD的值;③以A为原点,直线AB为x轴建立平面直角坐标系,求直线BD的解析式.。
2003年普通高等学校招生全国统一考试(全国卷)数 学(理工农医类)注意事项:1。
答第Ⅰ卷前,考生务必将自己的姓名、准考证号、考试科目用铅笔涂写在答题卡上. 2. 每小题选出答案后,用铅笔把答题卡上对应答案标号涂黑,如需改动,用橡皮擦干净后,再选涂其它答案,不能答在试题卷上.3。
考试结束,监考人将本试卷和答题卡一并收回. 参考公式:三角函数的积化和差公式: 正棱台、圆台的侧面积公式)]sin()[sin(21cos sin βαβαβα-++=⋅ l c c S )(21+'=台侧 其中c '、c 分别表示)]sin()[sin(21sin cos βαβαβα--+=⋅ 上、下底面周长,l 表示斜高或母线长。
)]cos()[cos(21cos cos βαβαβα-++=⋅ 球体的体积公式:334R V π=球 ,其中R)]cos()[cos(21sin sin βαβαβα--+-=⋅ 表示球的半径.本试卷分第Ⅰ卷(选择题)和第Ⅱ卷(非选择题)两部分第Ⅰ卷(选择题共60分)一.选择题:本大题共12小题,每小题5分,共60分,在每小题给出的四个选项中,只有一项是符合要求的 1.已知2(π-∈x ,0),54cos =x ,则2tg x = ( ) (A )247 (B )247- (C )724 (D )724-2.圆锥曲线θθρ2cos sin 8=的准线方程是 ( ) (A )2cos -=θρ (B )2cos =θρ (C )2sin =θρ (D )2sin -=θρ 3.设函数⎪⎩⎪⎨⎧-=-2112)(xx f x 00>≤x x ,若1)(0>x f ,则0x 的取值范围是 ( ) (A )(1-,1) (B)(1-,∞+)(C )(∞-,2-)⋃(0,∞+) (D )(∞-,1-)⋃(1,∞+) 4.函数)cos (sin sin 2x x x y +=的最大值为 ( )(A)21+ (B)12- (C )2 (D )25.已知圆C:4)2()(22=-+-y a x (0>a )及直线l :03=+-y x ,当直线l 被C 截得的弦长为32时,则a ( ) (A )2 (B )22- (C )12- (D )12+6.已知圆锥的底面半径为R ,高为3R ,在它的所有内接圆柱中,全面积的最大值是( )(A )22R π (B)249R π (C )238R π (D )223R π7.已知方程0)2)(2(22=+-+-n x x m x x 的四个根组成一个首项为41的的等差数列,则=-||n m ( )(A )1 (B )43 (C )21 (D )838.已知双曲线中心在原点且一个焦点为F (7,0),直线1-=x y 与其相交于M 、N 两点,MN 中点的横坐标为32-,则此双曲线的方程是 ( ) (A )14322=-y x (B )13422=-y x (C )12522=-y x (D )15222=-y x 9.函数x x f sin )(=,]23,2[ππ∈x 的反函数=-)(1x f ( )(A)x arcsin - 1[-∈x ,1] (B )x arcsin --π 1[-∈x ,1] (C )x arcsin +π 1[-∈x ,1] (D )x arcsin -π 1[-∈x ,1]10.已知长方形的四个顶点A(0,0),B (2,0),C(2,1)和D (0,1),一质点从AB 的中点0P 沿与AB 的夹角θ的方向射到BC 上的点1P 后,依次反射到CD 、DA 和AB 上的点2P 、3P 和4P (入射角等于反射角),设4P 的坐标为(4x ,0),若214<<x ,则tg θ的取值范围是 ( ) (A )(31,1) (B)(31,32) (C )(52,21) (D)(52,32)11.=++++++++∞→)(lim 11413122242322nnn C C C C n C C C C ( )(A)3 (B )31 (C)61(D)6 12.一个四面体的所有棱长都为2,四个顶点在同一球面上,则些球的表面积为( ) (A )π3 (B )π4 (C )π33 (D )π62003年普通高等学校招生全国统一考试(全国卷)数 学(理工农医类)第Ⅱ卷(非选择题共90分)二.填空题:本大题共4小题,每小题4分,共16分把答案填在题中横线上13.92)21(xx -的展开式中9x 系数是14.使1)(log 2+<-x x 成立的x 的取值范围是15.如图,一个地区分为5个行政区域,现给地图着色,要求相邻地区不得使用同一颜色,现有4种颜色可供选择,则不同的着色方法共有种(以数字作答)16.下列5个正方体图形中,l 是正方体的一条对角线,点M 、N 、P 分别为其所在棱的中点,能得出⊥l 面MNP 的图形的序号是 (写出所有符合要求的图形序号)① ② ③ ④ ⑤三、解答题:本大题共6小题,共74分,解答应写出文字说明,证明过程或或演算步骤 17.(本小题满分12分) 已知复数z 的辐角为︒60,且|1|-z 是||z 和|2|-z 的等比中项,求||z18.(本小题满分12分)如图,在直三棱柱111C B A ABC -中,底面是等腰直角三角形,︒=∠90ACB ,侧棱21=AA ,D 、E 分别是1CC 与B A 1的中点,点E 在平面ABD 上的射影是△ABD 的重心G(I )求B A 1与平面ABD 所成角的大小(结果用反三角函数值表示)(II )求点1A 到平面AED 的距离 19.(本小题满分12分) 已知0>c ,设P :函数x c y =在R 上单调递减 Q :不等式1|2|>-+c x x 的解集为R 如果P 和Q 有且仅有一个正确,求c 的取值范围 20.(本小题满分12分)在某海滨城市附近海面有一台风,据监测,当前台风中心位于城市O (如图)的东偏南102arccos (=θθ)方向300km 的海面P 处,并以20km/h 的速度向西偏北︒45方向移动,台风侵袭的范围为圆形区域,当前半径为60km ,并以10km/h 的速度不断增大,问几小时后该城市开始受到台风的侵袭? 21.(本小题满分14分)已知常数0>a ,在矩形ABCD 中,4=AB ,a BC 4=,O 为AB 的中点,点E 、F 、G 分别在BC 、CD 、DA 上移动,且BE CF DG BC CD DA==,P 为GE 与OF 的交D E KBCABA FCG东点(如图),问是否存在两个定点,使P 到这两点的距离的和为定值?若存在,求出这两点的坐标及此定值;若不存在,请说明理由22.(本小题满分12分,附加题4 分)(I )设}{n a 是集合|22{ts + t s <≤0且Z t s ∈,}中所有的数从小到大排列成的数列,即31=a ,52=a ,63=a ,94=a ,105=a ,126=a ,…将数列}{n a 各项按照上小下大,左小右大的原则写成如下的三角形数表:35 6 9 10 12 - — — —…………⑴写出这个三角形数表的第四行、第五行各数;⑵求100a(II)(本小题为附加题,如果解答正确,加4 分,但全卷总分不超过150分)设}{n b 是集合t s r t s r <<≤++0|222{,且},,Z t s r ∈中所有的数从小到大排列成的数列,已知1160=k b ,求k 。
2003年普通高等学校招生全国统一考试(全国卷)数 学(理工农医类)注意事项:1. 答第Ⅰ卷前,考生务必将自己的姓名、准考证号、考试科目用铅笔涂写在答题卡上.2. 每小题选出答案后,用铅笔把答题卡上对应答案标号涂黑,如需改动,用橡皮擦干净后,再选涂其它答案,不能答在试题卷上.3. 考试结束,监考人将本试卷和答题卡一并收回.参考公式:三角函数的积化和差公式: 正棱台、圆台的侧面积公式 )]sin()[sin(21cos sin βαβαβα-++=⋅ l c c S )(21+'=台侧 其中c '、c 分别表示 )]sin()[sin(21sin cos βαβαβα--+=⋅ 上、下底面周长,l 表示斜高或母线长. )]cos()[cos(21cos cos βαβαβα-++=⋅ 球体的体积公式:334R V π=球 ,其中R )]cos()[cos(21sin sin βαβαβα--+-=⋅ 表示球的半径. 本试卷分第Ⅰ卷(选择题)和第Ⅱ卷(非选择题)两部分第Ⅰ卷(选择题共60分)一.选择题:本大题共12小题,每小题5分,共60分,在每小题给出的四个选项中,只有一项是符合要求的1.已知2(π-∈x ,0),54c o s =x ,则2tg x = ( ) (A )247 (B )247- (C )724 (D )724- 2.圆锥曲线θθρ2cos sin 8=的准线方程是 ( ) (A )2cos -=θρ (B )2cos =θρ (C )2sin =θρ (D )2sin -=θρ3.设函数⎪⎩⎪⎨⎧-=-2112)(xx f x 00>≤x x ,若1)(0>x f ,则0x 的取值范围是 ( )(A )(1-,1) (B )(1-,∞+)2(C )(∞-,2-)⋃(0,∞+) (D )(∞-,1-)⋃(1,∞+)4.函数)cos (sin sin 2x x x y +=的最大值为 ( )(A )21+ (B )12- (C )2 (D )25.已知圆C :4)2()(22=-+-y a x (0>a )及直线l :03=+-y x ,当直线l 被C 截得的弦长为32时,则a ( )(A )2 (B )22- (C )12- (D )12+6.已知圆锥的底面半径为R ,高为3R ,在它的所有内接圆柱中,全面积的最大值是( )(A )22R π (B )249R π (C )238R π (D )223R π 7.已知方程0)2)(2(22=+-+-n x x m x x 的四个根组成一个首项为41的的等差数列,则=-||n m ( )(A )1 (B )43 (C )21 (D )83 8.已知双曲线中心在原点且一个焦点为F (7,0),直线1-=x y 与其相交于M 、N 两点,MN 中点的横坐标为32-,则此双曲线的方程是 ( ) (A )14322=-y x (B )13422=-y x (C )12522=-y x (D )15222=-y x 9.函数x x f sin )(=,]23,2[ππ∈x 的反函数=-)(1x f ( ) (A )x arcsin - 1[-∈x ,1] (B )x arcsin --π 1[-∈x ,1](C )x arcsin +π 1[-∈x ,1] (D )x arcsin -π 1[-∈x ,1]10.已知长方形的四个顶点A (0,0),B (2,0),C (2,1)和D (0,1),一质点从AB 的中点0P 沿与AB 的夹角θ的方向射到BC 上的点1P 后,依次反射到CD 、DA 和AB 上的点2P 、3P 和4P (入射角等于反射角),设4P 的坐标为(4x ,0),若214<<x ,则tg θ的取值范围是 ( )3(A )(31,1) (B )(31,32) (C )(52,21) (D )(52,32) 11.=++++++++∞→)(lim 11413122242322nn n C C C C n C C C C ( ) (A )3 (B )31 (C )61 (D )6 12.一个四面体的所有棱长都为2,四个顶点在同一球面上,则些球的表面积为( )(A )π3 (B )π4 (C )π33 (D )π62003年普通高等学校招生全国统一考试(全国卷)数 学(理工农医类)第Ⅱ卷(非选择题共90分)二.填空题:本大题共4小题,每小题4分,共16分把答案填在题中横线上 13.92)21(xx -的展开式中9x 系数是 14.使1)(log 2+<-x x 成立的x 的取值范围是15.如图,一个地区分为5个行政区域,现给地图着色,要求相邻地区不得使用同一颜色,现有4种颜色可供选择,则不同的着色方法共有种(以数字作答) 16.下列5个正方体图形中,l 是正方体的一条对角线,点M 、N 、P 分别为其所在棱的中点,能得出⊥l 面MNP 的图形的序号是 (写出所有符合要求的图形序号)① ② ③ ④ ⑤PMNlPN M l N l P M l M N P N l PM 2 1 53 44 三、解答题:本大题共6小题,共74分,解答应写出文字说明,证明过程或或演算步骤17.(本小题满分12分)已知复数z 的辐角为︒60,且|1|-z 是||z 和|2|-z 的等比中项,求||z18.(本小题满分12分)如图,在直三棱柱111C B A ABC -中,底面是等腰直角三角形,︒=∠90ACB ,侧棱21=AA ,D 、E 分别是1CC 与BA 1的中点,点E 在平面ABD 上的射影是△ABD 的重心G(I )求B A 1与平面ABD 所成角的大小(结果用反三角函数值表示)(II )求点1A 到平面AED 的距离19.(本小题满分12分) 已知0>c ,设 P :函数x c y =在R 上单调递减 Q :不等式1|2|>-+c x x 的解集为R如果P 和Q 有且仅有一个正确,求c 的取值范围20.(本小题满分12分)在某海滨城市附近海面有一台风,据监测,当前台风中心位于城市O (如图)的东偏南102arccos (=θθ)方向300km 的海面P 处,并以20km/h 的速度向西偏北︒45方向移动,台风侵袭的范围为圆形区域,当前半径为60km ,并以10km/h 的速度不断增大,问几小时后该城市开始受到台风的侵袭?D E K BC A BA F C G θ北 东y 线 岸 O xP r P45︒海521.(本小题满分14分)已知常数0>a ,在矩形ABCD 中,4=AB ,a BC 4=,O 为AB 的中点,点E 、F 、G 分别在BC 、CD 、DA 上移动,且BE CF DG BC CD DA==,P 为GE 与OF 的交点(如图),问是否存在两个定点,使P 到这两点的距离的和为定值?若存在,求出这两点的坐标及此定值;若不存在,请说明理由22.(本小题满分12分,附加题4 分)(I )设}{n a 是集合|22{t s + t s <≤0且Z t s ∈,}中所有的数从小到大排列成的数列,即31=a ,52=a ,63=a ,94=a ,105=a ,126=a ,…将数列}{n a 各项按照上小下大,左小右大的原则写成如下的三角形数表:35 69 10 12— — — —…………⑴写出这个三角形数表的第四行、第五行各数;⑵求100a(II )(本小题为附加题,如果解答正确,加4 分,但全卷总分不超过150分)设}{n b 是集合t s r t s r <<≤++0|222{,且},,Z t s r ∈中所有的数从小到大排列成的数列,已知1160=k b ,求k .O PA GD FE C B x y62003年普通高等学校招生全国统一考试(全国卷)数学(理工农医类)答案一、选择题:本题考查基本知识和基本运算. 每小题5分,满分60分.1.D 2.C 3.D 4.A 5.C 6.B 7.C 8.D 9.D 10.C 11.B 12.A二、填空题:本题考查基本知识和基本运算.每小题4分,满分16分.13.221- 14.(-1,0) 15.72 16.①④⑤ 三、解答题:本大题共6小题,共74分.解答应写出文字说明,证明过程或演算步骤. 17. 解:设)60sin 60cos r r z +=,则复数.2r z 的实部为2,r z z r z z ==-由题设 .12||).(12,12:.012,421,)2)(2(||)1)(1(:|2||||1|2222-=--=-==-++-=+-∴--=---⋅=-z r r r r r r r r r z z z z z z z z 即舍去解得整理得即 18.(Ⅰ)解:连结BG ,则BG 是BE 在ABD 的射影,即∠EBG 是A 1B 与平面ABD 所成的角. 设F 为AB 中点,连结EF 、FC ,.32arcsin.323136sin .3,32,22,2.36321,2)4(.3,1,31.,,,,,,112211所成的角是与平面于是分中在直角三角形的重心是连结为矩形平面又的中点分别是ABD B A EB EG EBG EB B A AB CD FC EG ED FD EF FD FD FG EF EFD DF G ADB G DE CDEF ABC DC B A CC E D ∴=⋅==∠∴===∴===⨯===∴==⋅=∈∴∆∴⊥ (Ⅱ)解:,,,F AB EF EF ED AB ED =⋂⊥⊥又.36236232222,.,.,.,.,111111*********的距离为到平面中在的距离到平面是即平面垂足为作面且面平面平面面又面AED A AB B A A A K A AB A AED A K A AED K A K AE K A AE AB A AED AB A AED AED ED AB A ED ∴=⨯=⋅=∆⊥∴⊥=⋂⊥∴⊂⊥∴719.解:函数x c y =在R 上单调递减.10<<⇔c不等式.1|2|1|2|上恒大于在函数的解集为R c x x y R c x x -+=⇔>-+22,2,|2|2,2,|2|2.1|2|121.21,,0.21,, 1.(0,][1,).2x c x c x x c c x c y x x c R c x x c R c c P Q c P Q c c -≥⎧+-=⎨<⎩∴=+-∴+->⇔>⇔><≤≥⋃+∞函数在上的最小值为不等式的解集为如果正确且不正确则如果不正确且正确则所以的取值范围为20.解:如图建立坐标系以O 为原点,正东方向为x 轴正向.在时刻:(1)台风中心P (y x ,)的坐标为⎪⎪⎩⎪⎪⎨⎧⨯+⨯-=⨯-⨯=.22201027300,2220102300t y t x 此时台风侵袭的区域是,)]([)()(22t r y y x x ≤-+-其中,6010)(+=t t r 若在t 时刻城市O 受到台风的侵袭,则有.)6010()0()0(222+≤-+-t y x 即22)22201027300()2220102300(t t ⨯+⨯-+⨯-⨯2412,028836,)6010(22≤≤≤+-+≤t t t t 解得即 答:12小时后该城市开始受到台风的侵袭.21.根据题设条件,首先求出点P 坐标满足的方程,据此再判断是否存在的两定点,使得点P 到两点距离的和为定值.按题意有A (-2,0),B (2,0),C (2,4a ),D (-2,4a )设(01)BE CF DG k k BC CD DA===≤≤ 由此有E (2,4a k ),F (2-4k ,4a ),G (-2,4a -4ak )8 直线OF 的方程为:0)12(2=-+y k ax ①直线GE 的方程为:02)12(=-+--a y x k a ②从①,②消去参数k ,得点P (x,y )坐标满足方程022222=-+ay y x a 整理得1)(21222=-+aa y x 当212=a 时,点P 的轨迹为圆弧,所以不存在符合题意的两点. 当212≠a 时,点P 轨迹为椭圆的一部分,点P 到该椭圆焦点的距离的和为定长 当212<a 时,点P 到椭圆两个焦点(),21(),,2122a a a a ---的距离之和为定值2 当212>a 时,点P 到椭圆两个焦点(0,)21,0(),2122-+--a a a a 的距离之和为定值2a . 22.(本小题满分12分,附加题4分)(Ⅰ)解:用(t,s)表示22t s +,下表的规律为3((0,1)=0122+)5(0,2) 6(1,2)9(0,3) 10(1,3) 12(2,3)— — — —…………(i )第四行17(0,4) 18(1,4) 20(2,4) 24(3,4)第五行 33(0,5) 34(1,5) 36(2,5) 40(3,5) 48(4,5)(i i )解法一:因为100=(1+2+3+4+……+13)+9,所以100a =(8,14)=81422+=16640解法二:设0022100t s a +=,只须确定正整数.,00t s数列}{n a 中小于02t的项构成的子集为 },0|2{20t t t s s <<≤+9 其元素个数为.1002)1(,2)1(000020<--=t t t t C t 依题意满足等式的最大整数0t 为14,所以取.140=t因为100-.1664022,8s ,181410000214=+=∴=+=a s C 由此解得(Ⅱ)解:,22211603710++==k b令}0|22{2B ,(}1160|{r t s r C B c M t s <<≤++=<∈=其中因}.22222|{}222|{}2|{37107107101010++<<+∈⋃+<<∈⋃<∈=c B c c B c c B c M 现在求M 的元素个数:},100|222{}2|{10<<<≤++=<∈t s r c B c t s r其元素个数为310C : }.70|222{}222|{1071010<<≤++=+<<∈s r c B c r s某元素个数为}30|222{}22222|{:710371071027<≤++=++<<+∈r c B c C r某元素个数为.1451:2327310710=+++=C C C k C另法:规定222r t s ++=(r,t,s ),1073160222k b ==++=(3,7,10)则0121222b =++= (0,1,2) 22C依次为 (0,1,3) (0,2,3) (1,2,3) 23C(0,1,4) (0,2,4)(1,2,4)(0,3,4) (1,3,4)(2,3,4) 24C…………(0,1,9) (0,2,9)………… ( 6,8,9 )(7,8,9) 29C(0,1,10)(0,2,10).........(0,7,10)( 1,7,10)(2,7,10)(3,7,10) (2)7C +422222397()4145.k C C C C =+++++=。
绝密★启用前2003年普通高等学校招生全国统一考试数 学(理工农医类)一、选择题(本大题共12小题,每小题5分,共60分,在每小题给出的四个选项中,只有一项是符合题目要求的。
1.已知==-∈x tg x x 2,54cos ),0,2(则π( )A .247 B .247-C .724 D .724- 2.圆锥曲线的准线方程是θθρ2cos sin 8=( )A .2cos -=θρB .2cos =θρC .2sin -=θρD .2sin =θρ3.设函数的取值范围是则若0021,1)(,.0,,0,12)(x x f x x x x f x >⎪⎩⎪⎨⎧>≤-=- ( )A .(-1,1)B .(-1,+)C .),0()2,(+∞⋃--∞D .),1()1,(+∞⋃--∞4.函数)cos (sin sin 2x x x y +=的最大值为 ( )A .21+B .12-C .D .25.已知圆截得被当直线及直线C l y x l a x a x C .03:)0(4)2()(:22=+->=-+-的弦长为32时,则a =( )A .B .22-C .12-D .12+6.已知圆锥的底面半径为R ,高为3R ,在它的所有内接圆柱中,全面积的最大值是( ) A .22R πB .249R πC .238R πD .223r π7.已知方程0)2)(2(22=+-+-n x x m x x 的四个根组成的一个首项为41的等差数列,则 =-||n m( )A .1B .43 C .21 D .83 8.已知双曲线中心在原点且一个焦点为与其相交于直线1),0,7(-=x y F M 、N 两点,MN中点的横坐标为,32-则此双曲线的方程是 ( )A .14322=-y xB .13422=-y x C .12522=-y xD .15222=-y x 9.函数=∈=-)(]23,2[,sin )(1x f x x x f 的反函数ππ( )A .]1,1[,arcsin -∈-x xB .]1,1[,arcsin -∈--x x πC .]1,1[,arcsin -∈+-x x πD .]1,1[,arcsin -∈-x x π10.已知长方形的四个项点A (0,0),B (2,0),C (2,1)和D (0,1),一质点从AB 的中点P 0沿与AB 夹角为的方向射到BC 上的点P 1后,依次反射到CD 、DA 和AB 上的点P 2、P 3和P 4(入射解等于反射角),设P 4坐标为(θtg ,2x 1),0,44则若<<x 的取值范围是( )A .)1,31(B .)32,31(C .)21,52(D .)32,52(11.=++++++++∞→)(lim 11413122242322nnn C C C C n C C C C( )A .3B .31C .61 D .612.一个四面体的所有棱长都为,四个项点在同一球面上,则此球的表面积为 ( )A .3B .4C .3π3D .6二、填空题:本大题共4小题,每小题4分,共16分,把答案填在题中横线上. 13.92)21(xx -展开式中的系数是。
2003年普通高等学校招生全国统一考试(全国卷)数 学(理工农医类)注意事项:1. 答第Ⅰ卷前,考生务必将自己的姓名、准考证号、考试科目用铅笔涂写在答题卡上.2. 每小题选出答案后,用铅笔把答题卡上对应答案标号涂黑,如需改动,用橡皮擦干净后,再选涂其它答案,不能答在试题卷上.3。
考试结束,监考人将本试卷和答题卡一并收回. 参考公式:三角函数的积化和差公式: 正棱台、圆台的侧面积公式)]sin()[sin(21cos sin βαβαβα-++=⋅ l c c S )(21+'=台侧 其中c '、c 分别表示)]sin()[sin(21sin cos βαβαβα--+=⋅ 上、下底面周长,l 表示斜高或母线长.)]cos()[cos(21cos cos βαβαβα-++=⋅ 球体的体积公式:334R V π=球 ,其中R)]cos()[cos(21sin sin βαβαβα--+-=⋅ 表示球的半径.本试卷分第Ⅰ卷(选择题)和第Ⅱ卷(非选择题)两部分第Ⅰ卷(选择题共60分)一。
选择题:本大题共12小题,每小题5分,共60分,在每小题给出的四个选项中,只有一项是符合要求的 1.已知2(π-∈x ,0),54cos =x ,则2tg x = ( ) (A )247 (B )247- (C)724 (D )724-2.圆锥曲线θθρ2cos sin 8=的准线方程是 ( ) (A)2cos -=θρ (B)2cos =θρ (C )2sin =θρ (D)2sin -=θρ 3.设函数⎪⎩⎪⎨⎧-=-2112)(xx f x 00>≤x x ,若1)(0>x f ,则0x 的取值范围是 ( ) (A)(1-,1) (B)(1-,∞+)(C )(∞-,2-)⋃(0,∞+) (D )(∞-,1-)⋃(1,∞+)4.函数)cos (sin sin 2x x x y +=的最大值为 ( )(A )21+ (B )12- (C )2 (D)25.已知圆C :4)2()(22=-+-y a x (0>a )及直线l :03=+-y x ,当直线l 被C 截得的弦长为32时,则a ( ) (A )2 (B )22- (C)12- (D )12+6.已知圆锥的底面半径为R ,高为3R ,在它的所有内接圆柱中,全面积的最大值是( )(A )22R π (B )249R π (C )238R π (D)223R π7.已知方程0)2)(2(22=+-+-n x x m x x 的四个根组成一个首项为41的的等差数列,则=-||n m ( )(A )1 (B )43 (C )21 (D )838.已知双曲线中心在原点且一个焦点为F (7,0),直线1-=x y 与其相交于M 、N 两点,MN 中点的横坐标为32-,则此双曲线的方程是 ( ) (A)14322=-y x (B )13422=-y x (C)12522=-y x (D )15222=-y x 9.函数x x f sin )(=,]23,2[ππ∈x 的反函数=-)(1x f ( )(A )x arcsin - 1[-∈x ,1] (B )x arcsin --π 1[-∈x ,1] (C)x arcsin +π 1[-∈x ,1] (D)x arcsin -π 1[-∈x ,1]10.已知长方形的四个顶点A (0,0),B (2,0),C (2,1)和D (0,1),一质点从AB 的中点0P 沿与AB 的夹角θ的方向射到BC 上的点1P 后,依次反射到CD 、DA 和AB 上的点2P 、3P 和4P (入射角等于反射角),设4P 的坐标为(4x ,0),若214<<x ,则tg θ的取值范围是 ( ) (A )(31,1) (B )(31,32) (C )(52,21) (D )(52,32)11.=++++++++∞→)(lim 11413122242322nnn C C C C n C C C C ( )(A )3 (B )31 (C )61(D )6 12.一个四面体的所有棱长都为2,四个顶点在同一球面上,则些球的表面积为( ) (A )π3 (B)π4 (C)π33 (D )π62003年普通高等学校招生全国统一考试(全国卷)数 学(理工农医类)第Ⅱ卷(非选择题共90分)二.填空题:本大题共4小题,每小题4分,共16分把答案填在题中横线上13.92)21(xx -的展开式中9x 系数是14.使1)(log 2+<-x x 成立的x 的取值范围是15.如图,一个地区分为5个行政区域,现给地图着色,要求相邻地区不得使用同一颜色,现有4种颜色可供选择,则不同的着色方法共有种(以数字作答)16.下列5个正方体图形中,l 是正方体的一条对角线,点M 、N 、P 分别为其所在棱的中点,能得出⊥l 面MNP 的图形的序号是 (写出所有符合要求的图形序号)① ② ③ ④ ⑤三、解答题:本大题共6小题,共74分,解答应写出文字说明,证明过程或或演算步骤 17.(本小题满分12分) 已知复数z 的辐角为︒60,且|1|-z 是||z 和|2|-z 的等比中项,求||z18.(本小题满分12分)如图,在直三棱柱111C B A ABC -中,底面是等腰直角三角形,︒=∠90ACB ,侧棱21=AA ,D 、E 分别是1CC 与B A 1的中点,点E 在平面ABD 上的射影是△ABD 的重心G(I )求B A 1与平面ABD 所成角的大小(结果用反三角函数值表示)(II )求点1A 到平面AED 的距离 19.(本小题满分12分) 已知0>c ,设P:函数x c y =在R 上单调递减 Q :不等式1|2|>-+c x x 的解集为R 如果P 和Q 有且仅有一个正确,求c 的取值范围 20.(本小题满分12分)在某海滨城市附近海面有一台风,据监测,当前台风中心位于城市O (如图)的东偏南102arccos (=θθ)方向300km 的海面P 处,并以20km/h 的速度向西偏北︒45方向移动,台风侵袭的范围为圆形区域,当前半径为60km,并以10km/h 的速度不断增大,问几小时后该城市开始受到台风的侵袭? 21.(本小题满分14分)已知常数0>a ,在矩形ABCD 中,4=AB ,a BC 4=,O 为AB 的中点,点E 、F 、G 分别在BC 、CD 、DA 上移动,且BE CF DG BC CD DA ==,P 为GE 与OF的交点(如图),问是否存在两个定点,使P 到这两点的D E KBCABA FCG东距离的和为定值?若存在,求出这两点的坐标及此定值;若不存在,请说明理由 22.(本小题满分12分,附加题4 分)(I )设}{n a 是集合|22{t s + t s <≤0且Z t s ∈,}中所有的数从小到大排列成的数列,即31=a ,52=a ,63=a ,94=a ,105=a ,126=a ,…将数列}{n a 各项按照上小下大,左小右大的原则写成如下的三角形数表:35 69 10 12 — — — —…………⑴写出这个三角形数表的第四行、第五行各数;⑵求100a(II )(本小题为附加题,如果解答正确,加4 分,但全卷总分不超过150分)设}{n b 是集合t s r t s r <<≤++0|222{,且},,Z t s r ∈中所有的数从小到大排列成的数列,已知1160=k b ,求k 。
2003年普通高等学校招生全国统一考试(全国卷)数 学(理工农医类)注意事项:1. 答第Ⅰ卷前,考生务必将自己的姓名、准考证号、考试科目用铅笔涂写在答题卡上.2. 每小题选出答案后,用铅笔把答题卡上对应答案标号涂黑,如需改动,用橡皮擦干净后,再选涂其它答案,不能答在试题卷上.3. 考试结束,监考人将本试卷和答题卡一并收回. 参考公式:三角函数的积化和差公式: 正棱台、圆台的侧面积公式)]sin()[sin(21cos sin βαβαβα-++=⋅ l c c S )(21+'=台侧 其中c '、c 分别表示)]sin()[sin(21sin cos βαβαβα--+=⋅ 上、下底面周长,l 表示斜高或母线长.)]cos()[cos(21cos cos βαβαβα-++=⋅ 球体的体积公式:334R V π=球 ,其中R)]cos()[cos(21sin sin βαβαβα--+-=⋅ 表示球的半径.本试卷分第Ⅰ卷(选择题)和第Ⅱ卷(非选择题)两部分第Ⅰ卷(选择题共60分)一.选择题:本大题共12小题,每小题5分,共60分,在每小题给出的四个选项中,只有一项是符合要求的 1.已知2(π-∈x ,0),54cos =x ,则2tg x = ( ) (A )247 (B )247- (C )724 (D )724-2.圆锥曲线θθρ2cos sin 8=的准线方程是 ( ) (A )2cos -=θρ (B )2cos =θρ (C )2sin =θρ (D )2sin -=θρ3.设函数⎪⎩⎪⎨⎧-=-2112)(xx f x 00>≤x x ,若1)(0>x f ,则0x 的取值范围是 ( ) (A )(1-,1) (B )(1-,∞+)2(C )(∞-,2-)⋃(0,∞+) (D )(∞-,1-)⋃(1,∞+) 4.函数)cos (sin sin 2x x x y +=的最大值为 ( ) (A )21+ (B )12- (C )2 (D )25.已知圆C :4)2()(22=-+-y a x (0>a )及直线l :03=+-y x ,当直线l 被C 截得的弦长为32时,则a ( ) (A )2 (B )22- (C )12- (D )12+6.已知圆锥的底面半径为R ,高为3R ,在它的所有内接圆柱中,全面积的最大值是( )(A )22R π (B )249R π (C )238R π (D )223R π7.已知方程0)2)(2(22=+-+-n x x m x x 的四个根组成一个首项为41的的等差数列,则=-||n m ( )(A )1 (B )43 (C )21 (D )838.已知双曲线中心在原点且一个焦点为F (7,0),直线1-=x y 与其相交于M 、N 两点,MN 中点的横坐标为32-,则此双曲线的方程是 ( ) (A )14322=-y x (B )13422=-y x (C )12522=-y x (D )15222=-y x 9.函数x x f sin )(=,]23,2[ππ∈x 的反函数=-)(1x f ( )(A )x arcsin - 1[-∈x ,1] (B )x arcsin --π 1[-∈x ,1] (C )x arcsin +π 1[-∈x ,1] (D )x arcsin -π 1[-∈x ,1]10.已知长方形的四个顶点A (0,0),B (2,0),C (2,1)和D (0,1),一质点从AB 的中点0P 沿与AB 的夹角θ的方向射到BC 上的点1P 后,依次反射到CD 、DA 和AB 上的点2P 、3P 和4P (入射角等于反射角),设4P 的坐标为(4x ,0),若214<<x ,则tg θ的取值范围是 ( )3(A )(31,1) (B )(31,32) (C )(52,21) (D )(52,32)11.=++++++++∞→)(lim 11413122242322nnn C C C C n C C C C ( )(A )3 (B )31 (C )61(D )6 12.一个四面体的所有棱长都为2,四个顶点在同一球面上,则些球的表面积为( ) (A )π3 (B )π4 (C )π33 (D )π62003年普通高等学校招生全国统一考试(全国卷)数 学(理工农医类)第Ⅱ卷(非选择题共90分)二.填空题:本大题共4小题,每小题4分,共16分把答案填在题中横线上13.92)21(xx -的展开式中9x 系数是14.使1)(log 2+<-x x 成立的x 的取值范围是 15.如图,一个地区分为5个行政区域,现给地图着色,要求相邻地区不得使用同一颜色,现有4种颜色可供选择,则不同的着色方法共有种(以数字作答)16.下列5个正方体图形中,l 是正方体的一条对角线,点M 、N 、P 分别为其所在棱的中点,能得出⊥l 面MNP 的图形的序号是 (写出所有符合要求的图形序号)① ② ③ ④ ⑤4三、解答题:本大题共6小题,共74分,解答应写出文字说明,证明过程或或演算步骤 17.(本小题满分12分)已知复数z 的辐角为︒60,且|1|-z 是||z 和|2|-z 的等比中项,求||z18.(本小题满分12分)如图,在直三棱柱111C B A ABC -中,底面是等腰直角三角形,︒=∠90ACB ,侧棱21=AA ,D 、E 分别是1CC 与B A 1的中点,点E 在平面ABD 上的射影是△ABD 的重心G(I )求B A 1与平面ABD 所成角的大小(结果用反三角函数值表示)(II )求点1A 到平面AED 的距离19.(本小题满分12分) 已知0>c ,设P :函数x c y =在R 上单调递减 Q :不等式1|2|>-+c x x 的解集为R 如果P 和Q 有且仅有一个正确,求c 的取值范围20.(本小题满分12分)在某海滨城市附近海面有一台风,据监测,当前台风中心位于城市O (如图)的东偏南102arccos (=θθ)方向300km 的海面P 处,并以20km/h 的速度向西偏北︒45方向移动,台风侵袭的范围为圆形区域,当前半径为60km ,并以10km/h 的速度不断增大,问几小时后该城市开始受到台风的侵袭?D E KBCABAFC G东521.(本小题满分14分)已知常数0>a ,在矩形ABCD 中,4=AB ,a BC 4=,O 为AB 的中点,点E 、F 、G 分别在BC 、CD 、DA 上移动,且BE CF DG BC CD DA ==,P 为GE 与OF 的交点(如图),问是否存在两个定点,使P 到这两点的距离的和为定值?若存在,求出这两点的坐标及此定值;若不存在,请说明理由22.(本小题满分12分,附加题4 分)(I )设}{n a 是集合|22{ts + t s <≤0且Z t s ∈,}中所有的数从小到大排列成的数列,即31=a ,52=a ,63=a ,94=a ,105=a ,126=a ,…将数列}{n a 各项按照上小下大,左小右大的原则写成如下的三角形数表:3 569 10 12 — — — —…………⑴写出这个三角形数表的第四行、第五行各数;⑵求100a(II )(本小题为附加题,如果解答正确,加4 分,但全卷总分不超过150分)设}{n b 是集合t s r t s r <<≤++0|222{,且},,Z t s r ∈中所有的数从小到大排列成的数列,已知1160=k b ,求k .62003年普通高等学校招生全国统一考试(全国卷)数学(理工农医类)答案一、选择题:本题考查基本知识和基本运算. 每小题5分,满分60分.1.D 2.C 3.D 4.A 5.C 6.B 7.C 8.D 9.D 10.C 11.B 12.A 二、填空题:本题考查基本知识和基本运算.每小题4分,满分16分. 13.221-14.(-1,0) 15.72 16.①④⑤ 三、解答题:本大题共6小题,共74分.解答应写出文字说明,证明过程或演算步骤. 17. 解:设)60sin 60cosr r z +=,则复数.2r z 的实部为2,r z z r z z ==-由题设 .12||).(12,12:.012,421,)2)(2(||)1)(1(:|2||||1|2222-=--=-==-++-=+-∴--=---⋅=-z r r r r r r r r r z z z z z z z z 即舍去解得整理得即 18.(Ⅰ)解:连结BG ,则BG 是BE 在ABD 的射影,即∠EBG 是A 1B 与平面ABD 所成的角. 设F 为AB 中点,连结EF 、FC ,.32arcsin.323136sin .3,32,22,2.36321,2)4(.3,1,31.,,,,,,112211所成的角是与平面于是分中在直角三角形的重心是连结为矩形平面又的中点分别是ABD B A EB EG EBG EB B A AB CD FC EG ED FD EF FD FD FG EF EFD DF G ADB G DE CDEF ABC DC B A CC E D ∴=⋅==∠∴===∴===⨯===∴==⋅=∈∴∆∴⊥(Ⅱ)解:,,,F AB EF EF ED AB ED =⋂⊥⊥又.36236232222,.,.,.,.,111111*********的距离为到平面中在的距离到平面是即平面垂足为作面且面平面平面面又面AED A AB B A A A K A AB A AED A K A AED K A K AE K A AE AB A AED AB A AED AED ED AB A ED ∴=⨯=⋅=∆⊥∴⊥=⋂⊥∴⊂⊥∴719.解:函数xc y =在R 上单调递减.10<<⇔c不等式.1|2|1|2|上恒大于在函数的解集为R c x x y R c x x -+=⇔>-+ 22,2,|2|2,2,|2|2.1|2|121.21,,0.21,, 1.(0,][1,).2x c x c x x c c x c y x x c R c x x c R c c P Q c P Q c c -≥⎧+-=⎨<⎩∴=+-∴+->⇔>⇔><≤≥⋃+∞函数在上的最小值为不等式的解集为如果正确且不正确则如果不正确且正确则所以的取值范围为20.解:如图建立坐标系以O 为原点,正东方向为x 轴正向.在时刻:(1)台风中心P (y x ,)的坐标为⎪⎪⎩⎪⎪⎨⎧⨯+⨯-=⨯-⨯=.22201027300,2220102300t y t x 此时台风侵袭的区域是,)]([)()(22t r y y x x ≤-+-其中,6010)(+=t t r 若在t 时刻城市O 受到台风的侵袭,则有.)6010()0()0(222+≤-+-t y x 即22)22201027300()2220102300(t t ⨯+⨯-+⨯-⨯2412,028836,)6010(22≤≤≤+-+≤t t t t 解得即答:12小时后该城市开始受到台风的侵袭.21.根据题设条件,首先求出点P 坐标满足的方程,据此再判断是否存在的两定点,使得点P 到两点距离的和为定值.按题意有A (-2,0),B (2,0),C (2,4a ),D (-2,4a )设(01)BE CF DGk k BC CD DA===≤≤ 由此有E (2,4a k ),F (2-4k ,4a ),G (-2,4a -4ak )8直线OF 的方程为:0)12(2=-+y k ax ① 直线GE 的方程为:02)12(=-+--a y x k a ②从①,②消去参数k ,得点P (x,y )坐标满足方程022222=-+ay y x a整理得1)(21222=-+a a y x 当212=a 时,点P 的轨迹为圆弧,所以不存在符合题意的两点. 当212≠a 时,点P 轨迹为椭圆的一部分,点P 到该椭圆焦点的距离的和为定长 当212<a 时,点P 到椭圆两个焦点(),21(),,2122a a a a ---的距离之和为定值2当212>a 时,点P 到椭圆两个焦点(0,)21,0(),2122-+--a a a a 的距离之和为定值2a .22.(本小题满分12分,附加题4分) (Ⅰ)解:用(t,s)表示22ts+,下表的规律为3((0,1)=0122+)5(0,2) 6(1,2) 9(0,3) 10(1,3) 12(2,3) — — — —…………(i )第四行17(0,4) 18(1,4) 20(2,4) 24(3,4)第五行 33(0,5) 34(1,5) 36(2,5) 40(3,5) 48(4,5)(i i )解法一:因为100=(1+2+3+4+……+13)+9,所以100a =(8,14)=81422+=16640解法二:设0022100t s a +=,只须确定正整数.,00t s数列}{n a 中小于02t的项构成的子集为 },0|2{20t t t s s <<≤+9其元素个数为.1002)1(,2)1(000020<--=t t t t C t 依题意满足等式的最大整数0t 为14,所以取.140=t因为100-.1664022,8s ,181410000214=+=∴=+=a s C 由此解得(Ⅱ)解:,22211603710++==k b令}0|22{2B ,(}1160|{r t s r C B c M t s <<≤++=<∈=其中因}.22222|{}222|{}2|{37107107101010++<<+∈⋃+<<∈⋃<∈=c B c c B c c B c M 现在求M 的元素个数:},100|222{}2|{10<<<≤++=<∈t s r c B c t s r其元素个数为310C : }.70|222{}222|{1071010<<≤++=+<<∈s r c B c r s某元素个数为}30|222{}22222|{:710371071027<≤++=++<<+∈r c B c C r某元素个数为.1451:2327310710=+++=C C C k C另法:规定222r t s++=(r,t,s ),10731160222k b ==++=(3,7,10)则0121222b =++= (0,1,2) 22C依次为 (0,1,3) (0,2,3) (1,2,3) 23C (0,1,4) (0,2,4)(1,2,4)(0,3,4) (1,3,4)(2,3,4) 24C…………(0,1,9) (0,2,9)………… ( 6,8,9 )(7,8,9) 29C(0,1,10)(0,2,10).........(0,7,10)( 1,7,10)(2,7,10)(3,7,10) (2)7C +422222397()4145.k C C C C =+++++=。
2003年普通高等学校招生全国统一考试(全国卷)数 学(理工农医类)注意事项:1. 答第Ⅰ卷前,考生务必将自己的姓名、准考证号、考试科目用铅笔涂写在答题卡上.2. 每小题选出答案后,用铅笔把答题卡上对应答案标号涂黑,如需改动,用橡皮擦干净后,再选涂其它答案,不能答在试题卷上.3. 考试结束,监考人将本试卷和答题卡一并收回. 参考公式:三角函数的积化和差公式: 正棱台、圆台的侧面积公式)]sin()[sin(21cos sin βαβαβα-++=⋅ l c c S )(21+'=台侧 其中c '、c 分别表示)]sin()[sin(21sin cos βαβαβα--+=⋅ 上、下底面周长,l 表示斜高或母线长.)]cos()[cos(21cos cos βαβαβα-++=⋅ 球体的体积公式:334R V π=球 ,其中R)]cos()[cos(21sin sin βαβαβα--+-=⋅ 表示球的半径.本试卷分第Ⅰ卷(选择题)和第Ⅱ卷(非选择题)两部分第Ⅰ卷(选择题共60分)一.选择题:本大题共12小题,每小题5分,共60分,在每小题给出的四个选项中,只有一项是符合要求的 1.已知2(π-∈x ,0),54cos =x ,则2tg x = ( ) (A )247 (B )247- (C )724 (D )724-2.圆锥曲线θθρ2cos sin 8=的准线方程是 ( ) (A )2cos -=θρ (B )2cos =θρ (C )2sin =θρ (D )2sin -=θρ 3.设函数⎪⎩⎪⎨⎧-=-2112)(xx f x 00>≤x x ,若1)(0>x f ,则0x 的取值范围是 ( )(A )(1-,1) (B )(1-,∞+) (C )(∞-,2-)⋃(0,∞+) (D )(∞-,1-)⋃(1,∞+) 4.函数)cos (sin sin 2x x x y +=的最大值为 ( ) (A )21+ (B )12- (C )2 (D )25.已知圆C :4)2()(22=-+-y a x (0>a )及直线l :03=+-y x ,当直线l 被C 截得的弦长为32时,则a ( ) (A )2 (B )22- (C )12- (D )12+6.已知圆锥的底面半径为R ,高为3R ,在它的所有内接圆柱中,全面积的最大值是( )(A )22R π (B )249R π (C )238R π (D )223R π7.已知方程0)2)(2(22=+-+-n x x m x x 的四个根组成一个首项为41的的等差数列,则=-||n m ( )(A )1 (B )43 (C )21 (D )838.已知双曲线中心在原点且一个焦点为F (7,0),直线1-=x y 与其相交于M 、N 两点,MN 中点的横坐标为32-,则此双曲线的方程是 ( ) (A )14322=-y x (B )13422=-y x (C )12522=-y x (D )15222=-y x 9.函数x x f sin )(=,]23,2[ππ∈x 的反函数=-)(1x f ( )(A )x arcsin - 1[-∈x ,1] (B )x arcsin --π 1[-∈x ,1] (C )x arcsin +π 1[-∈x ,1] (D )x arcsin -π 1[-∈x ,1]10.已知长方形的四个顶点A (0,0),B (2,0),C (2,1)和D (0,1),一质点从AB 的中点0P 沿与AB 的夹角θ的方向射到BC 上的点1P 后,依次反射到CD 、DA 和AB 上的点2P 、3P 和4P (入射角等于反射角),设4P 的坐标为(4x ,0),若214<<x ,则tg θ的取值范围是 ( )(A )(31,1) (B )(31,32) (C )(52,21) (D )(52,32)11.=++++++++∞→)(lim 11413122242322nnn C C C C n C C C C ( )(A )3 (B )31 (C )61(D )6 12.一个四面体的所有棱长都为2,四个顶点在同一球面上,则些球的表面积为( ) (A )π3 (B )π4 (C )π33 (D )π62003年普通高等学校招生全国统一考试(全国卷)数 学(理工农医类)第Ⅱ卷(非选择题共90分)二.填空题:本大题共4小题,每小题4分,共16分把答案填在题中横线上13.92)21(xx -的展开式中9x 系数是14.使1)(log 2+<-x x 成立的x 的取值范围是15.如图,一个地区分为5个行政区域,现给地图着色,要求相邻地区不得使用同一颜色,现有4种颜色可供选择,则不同的着色方法共有种(以数字作答)16.下列5个正方体图形中,l 是正方体的一条对角线,点M 、N 、P 分别为其所在棱的中点,能得出⊥l 面MNP 的图形的序号是 (写出所有符合要求的图形序号)① ② ③ ④ ⑤三、解答题:本大题共6小题,共74分,解答应写出文字说明,证明过程或或演算步骤17.(本小题满分12分)已知复数z 的辐角为︒60,且|1|-z 是||z 和|2|-z 的等比中项,求||z 18.(本小题满分12分)如图,在直三棱柱111C B A ABC -中,底面是等腰直角三角形,︒=∠90ACB ,侧棱21=AA ,D 、E 分别是1CC 与B A 1的中点,点E 在平面ABD 上的射影是△ABD 的重心G(I )求B A 1与平面ABD 所成角的大小(结果用反三角函数值表示)(II )求点1A 到平面AED 的距离 19.(本小题满分12分) 已知0>c ,设P :函数x c y =在R 上单调递减 Q :不等式1|2|>-+c x x 的解集为R 如果P 和Q 有且仅有一个正确,求c 的取值范围 20.(本小题满分12分)在某海滨城市附近海面有一台风,据监测,当前台风中心位于城市O (如图)的东偏南102arccos (=θθ)方向300km 的海面P 处,并以20km/h 的速度向西偏北︒45方向移动,台风侵袭的范围为圆形区域,当前半径为60km ,并以10km/h 的速度不断增大,问几小时后该城市开始受到台风的侵袭? 21.(本小题满分14分)D E KBCABAFCG东已知常数0>a ,在矩形ABCD 中,4=AB ,a BC 4=,O 为AB 的中点,点E 、F 、G 分别在BC 、CD 、DA 上移动,且BE CF DG BC CD DA ==,P 为GE 与OF 的交点(如图),问是否存在两个定点,使P 到这两点的距离的和为定值?若存在,求出这两点的坐标及此定值;若不存在,请说明理由 22.(本小题满分12分,附加题4 分)(I )设}{n a 是集合|22{ts + t s <≤0且Z t s ∈,}中所有的数从小到大排列成的数列,即31=a ,52=a ,63=a ,94=a ,105=a ,126=a ,…将数列}{n a 各项按照上小下大,左小右大的原则写成如下的三角形数表:35 69 10 12 — — — —…………⑴写出这个三角形数表的第四行、第五行各数;⑵求100a(II )(本小题为附加题,如果解答正确,加4 分,但全卷总分不超过150分)设}{n b 是集合t s r t s r <<≤++0|222{,且},,Z t s r ∈中所有的数从小到大排列成的数列,已知1160=k b ,求k .2003年普通高等学校招生全国统一考试(全国卷)数学(理工农医类)答案一、选择题:本题考查基本知识和基本运算. 每小题5分,满分60分.1.D 2.C 3.D 4.A 5.C 6.B 7.C 8.D 9.D 10.C 11.B 12.A 二、填空题:本题考查基本知识和基本运算.每小题4分,满分16分. 13.221-14.(-1,0) 15.72 16.①④⑤ 三、解答题:本大题共6小题,共74分.解答应写出文字说明,证明过程或演算步骤. 17. 解:设)60sin 60cosr r z +=,则复数.2r z 的实部为2,r z z r z z ==-由题设 .12||).(12,12:.012,421,)2)(2(||)1)(1(:|2||||1|2222-=--=-==-++-=+-∴--=---⋅=-z r r r r r r r r r z z z z z z z z 即舍去解得整理得即 18.(Ⅰ)解:连结BG ,则BG 是BE 在ABD 的射影,即∠EBG 是A 1B 与平面ABD 所成的角. 设F 为AB 中点,连结EF 、FC ,.32arcsin.323136sin .3,32,22,2.36321,2)4(.3,1,31.,,,,,,112211所成的角是与平面于是分中在直角三角形的重心是连结为矩形平面又的中点分别是ABD B A EB EG EBG EB B A AB CD FC EG ED FD EF FD FD FG EF EFD DF G ADB G DE CDEF ABC DC B A CC E D ∴=⋅==∠∴===∴===⨯===∴==⋅=∈∴∆∴⊥(Ⅱ)解:,,,F AB EF EF ED AB ED =⋂⊥⊥又.36236232222,.,.,.,.,111111*********的距离为到平面中在的距离到平面是即平面垂足为作面且面平面平面面又面AED A AB B A A A K A AB A AED A K A AED K A K AE K A AE AB A AED AB A AED AED ED AB A ED ∴=⨯=⋅=∆⊥∴⊥=⋂⊥∴⊂⊥∴19.解:函数xc y =在R 上单调递减.10<<⇔c不等式.1|2|1|2|上恒大于在函数的解集为R c x x y R c x x -+=⇔>-+ 22,2,|2|2,2,|2|2.1|2|121.21,,0.21,, 1.(0,][1,).2x c x c x x c c x c y x x c R c x x c R c c P Q c P Q c c -≥⎧+-=⎨<⎩∴=+-∴+->⇔>⇔><≤≥⋃+∞函数在上的最小值为不等式的解集为如果正确且不正确则如果不正确且正确则所以的取值范围为(以上方法在新疆考区无一人使用,大都是用解不等式的方法,个别使用的图象法) 20.解:如图建立坐标系以O 为原点,正东方向为x 轴正向.在时刻:(1)台风中心P (y x ,)的坐标为⎪⎪⎩⎪⎪⎨⎧⨯+⨯-=⨯-⨯=.22201027300,2220102300t y t x 此时台风侵袭的区域是,)]([)()(22t r y y x x ≤-+-其中,6010)(+=t t r 若在t 时刻城市O 受到台风的侵袭,则有.)6010()0()0(222+≤-+-t y x 即22)22201027300()2220102300(t t ⨯+⨯-+⨯-⨯2412,028836,)6010(22≤≤≤+-+≤t t t t 解得即答:12小时后该城市开始受到台风的侵袭.21.根据题设条件,首先求出点P 坐标满足的方程,据此再判断是否存在的两定点,使得点P 到两点距离的和为定值. 按题意有A (-2,0),B (2,0),C (2,4a ),D (-2,4a )设(01)BE CF DG k k BC CD DA===≤≤ 由此有E (2,4a k ),F (2-4k ,4a ),G (-2,4a -4ak ) 直线OF 的方程为:0)12(2=-+y k ax ① 直线GE 的方程为:02)12(=-+--a y x k a ②从①,②消去参数k ,得点P (x,y )坐标满足方程022222=-+ay y x a整理得1)(21222=-+a a y x 当212=a 时,点P 的轨迹为圆弧,所以不存在符合题意的两点. 当212≠a 时,点P 轨迹为椭圆的一部分,点P 到该椭圆焦点的距离的和为定长 当212<a 时,点P 到椭圆两个焦点(),21(),,2122a a a a ---的距离之和为定值2当212>a 时,点P 到椭圆两个焦点(0,)21,0(),2122-+--a a a a 的距离之和为定值2a .22.(本小题满分12分,附加题4分) (Ⅰ)解:用(t,s)表示22ts+,下表的规律为3((0,1)=0122+)5(0,2) 6(1,2)9(0,3) 10(1,3) 12(2,3) — — — —…………(i )第四行17(0,4) 18(1,4) 20(2,4) 24(3,4)第五行 33(0,5) 34(1,5) 36(2,5) 40(3,5) 48(4,5)(i i )解法一:因为100=(1+2+3+4+……+13)+9,所以100a =(8,14)=81422+=16640解法二:设0022100t s a +=,只须确定正整数.,00t s数列}{n a 中小于02t的项构成的子集为 },0|2{20t t t s s <<≤+ 其元素个数为.1002)1(,2)1(000020<--=t t t t C t 依题意满足等式的最大整数0t 为14,所以取.140=t因为100-.1664022,8s ,181410000214=+=∴=+=a s C 由此解得(Ⅱ)解:,22211603710++==k b令}0|22{2B ,(}1160|{r t s r C B c M t s <<≤++=<∈=其中因}.22222|{}222|{}2|{37107107101010++<<+∈⋃+<<∈⋃<∈=c B c c B c c B c M 现在求M 的元素个数:},100|222{}2|{10<<<≤++=<∈t s r c B c t s r其元素个数为310C : }.70|222{}222|{1071010<<≤++=+<<∈s r c B c r s某元素个数为}30|222{}22222|{:710371071027<≤++=++<<+∈r c B c C r某元素个数为.1451:2327310710=+++=C C C k C另法:规定222r t s ++=(r,t,s ),10731160222k b ==++=(3,7,10)则0121222b =++= (0,1,2) 22C依次为 (0,1,3) (0,2,3) (1,2,3) 23C (0,1,4) (0,2,4)(1,2,4)(0,3,4) (1,3,4)(2,3,4) 24C…………(0,1,9) (0,2,9)………… ( 6,8,9 )(7,8,9) 29C(0,1,10)(0,2,10).........(0,7,10)( 1,7,10)(2,7,10)(3,7,10) (2)7C +422222397()4145.k C C C C =+++++=。
2003年普通高等学校招生全国统一考试(河南卷)一、选择题(共12小题,每小题5分,满分60分)1. (2003▪河南)若圆C 与圆22(2)(1)1x y ++-=关于原点对称,则圆C 的方程为A.22(2)(1)1x y -++=B.22(2)(1)1x y -+-=C.22(1)(2)1x y -++=D.22(1)(2)1x y ++-= 2. (2003▪河南)抛物线2y ax =的准线方程是2y =,则a 的值为 A.18B.18-C.8D.﹣8 3.(2003▪河南)已知(2x π∈-,0),54cos =x ,则tan 2x = A.247 B.724- C.724 D.247- 4.(2003▪河南)已知四边形ABCD 是菱形,点P 在对角线AC 上(不包括端点A 、C ),则AP = A.()AB AD λ+,(0λ∈,1) B.()AB BC λ+,(0λ∈,)2 C.()AB AD λ-,(0λ∈,1) D.()AB BC λ-,(0λ∈,2 5.(2003▪河南)设函数⎪⎩⎪⎨⎧>≤-=-)0()0(12)(21x x x x f x ,若1)(0>x f ,则0x 的取值范围是 A.1(-,)1 B.1(-,)∞+ C.-∞(,0()2 -,)∞+ D.-∞(,1()1 -,)∞+ 6. (2003▪河南)等差数列{}n a 中,已知113a =,254a a +=,33n a =,则n 为 A.48 B.49 C.50 D.51 7. (2003▪河南)函数1ln1x y x +=-,1(∈x ,)∞+的反函数为 A.11x x e y e -=+,0(∈x ,)∞+ B.11x x e y e +=-,0(∈x ,)∞+ C.11x x e y e -=+,-∞∈(x ,)0 D.11x x e y e +=-,-∞∈(x ,)0 8. (2003▪河南)棱长为a 的正方体中,连结相邻面的中心,以这些线段为棱的八面体的体积为 A.33a B.43a C.63a D.123a 9. (2003▪河南)设0a >,2()f x ax bx c =++,曲线)(x f y =在点0(x P ,))(0x f处的切线的倾斜角的取值范围为0[,]4π,则P 到曲线)(x f y =对称轴距离的取值范围为A.[0,1]aB.[0,1]2aC.[0,||]2b a D.[0,1||]2b a-10. (2003▪河南)已知双曲线中心在原点且一个焦点为F 0),直线1y x =-与其相交于M N 、两点,MN 中点的横坐标为23-,则此双曲线的方程是 A.14322=-y x B.13422=-y x C.12522=-y x D.15222=-y x 11. (2003▪河南)已知长方形的四个顶点(0A ,0),(2B ,0),(2C ,1)和(0D ,1).一质点从AB 的中点0P 沿与AB 夹角为θ的方向射到BC 上的点1P 后,依次反射到CD 、DA 和AB 上的点2P ,3P 和4P (入射角等于反射角).设4P 的坐标为4(x ,0),若412x <<,则θtan 的取值范围是 A.1(3,1) B.1(3,23) C.2(5,1)2 D.2(5,2)3 12. (2003▪河南)一个四面体的所有棱长都为2,四个顶点在同一球面上,则此球的表面积为A.3πB.4πC.D.6π 二、填空题(共4小题,每小题4分,满分16分)13. (2003▪河南)92)21(xx -展开式中9x 的系数是________________. 14. (2003▪河南)某公司生产三种型号的轿车,产量分别为1200辆,6000辆和2000辆.为检验该公司的产品质量,现用分层抽样的方法抽取46辆进行检验,这三种型号的轿车依次应抽取______、__________、__________辆.15. (2003▪河南)对于四面体ABCD ,给出下列四个命题:①若AB AC =,BD CD =,则BC AD ⊥;②若AB CD =,AC BD =,则BC AD ⊥;③若AB AC ⊥,BD CD ⊥,则BC AD ⊥;④若AB CD ⊥,BD AC ⊥,则BC AD ⊥.其中真命题的序号是________.(写出所有真命题的序号)16. (2003▪河南)将三种作物种植在如图的5块试验田里,每块种植一种作物且相邻的.三、解答题(共617. (2003▪河南)已知函数)cos (sin sin 2)(x x x x f +=.⑴求函数)(x f 的最小正周期和最大值;⑵在给出的直角坐标系中,画出函数)(x f y =在区间[2π-,]2π上的图象.18. (2003▪河南)有三种产品,合格率分别是0.90,0.95和0.95,各抽取一件进行检验.⑴求恰有一件不合格的概率; ⑵求至少有两件不合格的概率.(精确到0.001)19. (2003▪河南)如图,在直三棱柱111ABC A BC -中,底面是等腰直角三角形,90ACB ∠=︒,侧棱12AA =,D E 、分别是1CC 与1AB 的中点,点E 在平面ABD 上的射影是ABD ∆的重心G .⑴求1A B 与平面ABD 所成角的大小(结果用反三角函数值表示);⑵求点1A 到平面AED 的距离.20. (2003▪河南)已知0c >,设P :函数xy c =在R 上单调递减,Q :不等式|2|1x x c +->的解集为R .如果P 和Q 有且仅有一个正确,求c 的取值范围.21. (2003▪河南)已知常数0a >,向量(0c =,)a ,(1i =,0),经过原点O 以c iλ+为方向向量的直线与经过定点(0A ,)a 以2i c λ-为方向向量的直线相交于点P ,其中R λ∈.试问:是否存在两个定点E F 、,使得||||PE PF +为定值.若存在,求出E F 、的坐标;若不存在,说明理由.22. (2003▪河南)已知0a >,n 为正整数.⑴设()n y x a =-,证明1()n y n x a -'=-;⑵设()()n n n f x x x a =--,对任意n a ≥,证明1(1)(1)()n n f n n f n +''+>+.2003年辽宁省高考数学试卷参考答案与试题解析一、选择题(共12小题,每小题5分,满分60分)1.(5分)(2003•辽宁)与曲线关于原点对称的曲线为()A.B. C.D.【分析】题目中:“曲线关于原点对称的曲线”,只要将原函数式中的x换成﹣x,y换成﹣y,即可得到新曲线的函数解析式.【解答】解:∵曲线关于原点对称的曲线,∴只要将原函数式中的x换成﹣x,y换成﹣y,即可得到新曲线的函数解析式,即﹣y=,整理,得.故选A.【点评】本题考查函数图象的变换,由于使用了数形结合的方法,使问题便迎刃而解,且解法简捷.2.(5分)(2003•全国)已知x∈(﹣,0),cosx=,则tan2x等于()A.B.﹣C.D.﹣【分析】先根据cosx,求得sinx,进而得到tanx的值,最后根据二倍角公式求得tan2x.【解答】解:∵cosx=,x∈(﹣,0),∴sinx=﹣.∴tanx=﹣.∴tan2x===﹣×=﹣.故选D.【点评】本题主要考查了三角函数中的二倍角公式.属基础题.3.(5分)(2003•天津)=()A. B.C. D.【分析】化简复数的分母,然后复数的分子、分母同乘分母的共轭复数,即可求得结果.【解答】解:=故选B.【点评】复数代数形式的混合运算,是基础题.4.(5分)(2003•辽宁)已知四边形ABCD是菱形,点P在对角线AC上(不包括端点A、C),则=()A.B.C.D.【分析】先过P分别作AD、AB的平行线,可得,,运用向量的加法运算可得=λ(+),λ∈(0,1).【解答】解:设P是对角线AC上的一点(不含A、C),过P分别作AD、AB的平行线,则可得.设,则λ∈(0,1)且.于是=λ(+),λ∈(0,1).故选A.【点评】本题主要考查向量的线性运算和向量加法的几何意义.属基础题.5.(5分)(2003•全国)设函数若f(x0)>1,则x0的取值范围是()A.(﹣1,1)B.(﹣1,+∞)C.(﹣∞,﹣2)∪(0,+∞) D.(﹣∞,﹣1)∪(1,+∞)【分析】将变量x0按分段函数的范围分成两种情形,在此条件下分别进行求解,最后将满足的条件进行合并.【解答】解:当x0≤0时,,则x0<﹣1,当x0>0时,则x0>1,故x0的取值范围是(﹣∞,﹣1)∪(1,+∞),故选D.【点评】本题考查了分段函数已知函数值求自变量的范围问题,以及指数不等式与对数不等式的解法,属于常规题.6.(5分)(2003•天津)等差数列{an}中,已知a1=,a2+a5=4,an=33,则n为()A.48 B.49 C.50 D.51【分析】先由等差数列的通项公式和已知条件解出d,进而写出an的表达式,然后令an=33,解方程即可.【解答】解:设{an}的公差为d,∵,a2+a5=4,∴+d++4d=4,即+5d=4,解得d=.∴an=+(n﹣1)=,令an=33,即=33,解得n=50.故选C.【点评】本题主要考查了等差数列的通项公式an=a1+(n﹣1)d,注意方程思想的应用.7.(5分)(2003•天津)函数,x∈(1,+∞)的反函数为()A.,x∈(0,+∞)B.,x∈(0,+∞)C.,x∈(﹣∞,0)D.,x∈(﹣∞,0)【分析】本题考查反函数的概念、求反函数的方法、指数式与对数式的互化,求函数的值域等函数知识和方法;将,看做方程解出x,然后根据原函数的定义域x∈(1,+∞)求出原函数的值域,即为反函数的定义域.【解答】解:由已知,解x得,令,当x∈(1,+∞)时,m∈(1,+∞),则,∴函数,x∈(1,+∞)的反函数为,x∈(0,+∞)故选B.【点评】这是一个基础性题,解题思路清晰,求解方向明确,所以容易解答;解答时注意两点,一是借助指数式和对数式的互化求x,二是函数,x∈(1,+∞)值域的确定,这里利用”常数分离法“和对数函数的性质推得.8.(5分)(2003•天津)棱长为a的正方体中,连接相邻面的中心,以这些线段为棱的八面体的体积为()A.B.C.D.【分析】画出图形,根据题意求出八面体的中间平面面积,然后求出其体积.【解答】解:画出图就可以了,这个八面体是有两个四棱锥底面合在一起组成的.一个四棱锥的底面面积是正方体的一个面的一半,就是,高为,所以八面体的体积为:.故选C.【点评】本题考查学生空间想象能力,逻辑思维能力,体积的计算公式,考查转化思想,是基础题.9.(5分)(2003•天津)设a>0,f(x)=ax2+bx+c,曲线y=f(x)在点P(x0,f(x0))处切线的倾斜角的取值范围为[0,],则P到曲线y=f(x)对称轴距离的取值范围为()A.[0,] B.[0,] C.[0,||] D.[0,||]【分析】先由导数的几何意义,得到x0的范围,再求出其到对称轴的范围.【解答】解:∵过P(x0,f(x0))的切线的倾斜角的取值范围是[0,],∴f′(x0)=2ax0+b∈[0,1],∴P到曲线y=f(x)对称轴x=﹣的距离d=x0﹣(﹣)=x0+∴x0∈[,].∴d=x0+∈[0,].故选:B.【点评】本题中是对导数的几何意义的考查,计算时,对范围的换算要细心.10.(5分)(2003•全国)已知双曲线中心在原点且一个焦点为F(,0),直线y=x﹣1与其相交于M、N两点,MN中点的横坐标为﹣,则此双曲线的方程是()A.﹣=1 B.﹣=1 C.﹣=1 D.﹣=1【分析】先设出双曲线的方程,然后与直线方程联立方程组,经消元得二元一次方程,再根据韦达定理及MN中点的横坐标可得a、b的一个方程,又双曲线中有c2=a2+b2,则另得a、b的一个方程,最后解a、b的方程组即得双曲线方程.【解答】解:设双曲线方程为﹣=1.将y=x﹣1代入﹣=1,整理得(b2﹣a2)x2+2a2x﹣a2﹣a2b2=0.由韦达定理得x1+x2=,则==﹣.又c2=a2+b2=7,解得a2=2,b2=5,所以双曲线的方程是.故选D.【点评】本题主要考查代数方法解决几何问题,同时考查双曲线的标准方程与性质等.11.(5分)(2003•全国)已知长方形的四个项点A(0,0),B(2,0),C(2,1)和D(0,1),一质点从AB的中点P0沿与AB夹角为θ的方向射到BC上的点P1后,依次反射到CD.DA和AB上的点P2.P3和P4(入射角等于反射角),设P4坐标为(x4,0),若1<x4<2,则tanθ的取值范围是()A.(,1) B.(,)C.(,)D.(,)【分析】先画草图,帮助理解,取BC上的点P1为中点,则P4和中点P0重合,tanθ=,用排除法解答.【解答】解:考虑由P0射到BC的中点上,这样依次反射最终回到P0,此时容易求出tanθ=,由题设条件知,1<x4<2,则tanθ≠,排除A.B.D,故选C.【点评】由于是选择题,因而可以特殊值方法解答:排除验证法,也可以用动态观点判定答案.12.(5分)(2003•全国)棱长都为的四面体的四个顶点在同一球面上,则此球的表面积为()A.3πB.4πC.3D.6π【分析】本题考查的知识点是球的体积和表面积公式,由棱长都为的四面体的四个顶点在同一球面上,可求出内接该四面体的正方体棱长为1,又因为正方体的对角线即为球的直径,即球的半径R=,代入球的表面积公式,S球=4πR2,即可得到答案.【解答】解:借助立体几何的两个熟知的结论:(1)一个正方体可以内接一个正四面体;(2)若正方体的顶点都在一个球面上,则正方体的体对角线就是球的直径.则球的半径R=,∴球的表面积为3π,故答案选A.【点评】棱长为a的正方体,内接正四面体的棱长为a,外接球直径等于长方体的对角线长a.二、填空题(共4小题,每小题4分,满分16分)13.(4分)(2003•全国)在的展开式中,x3的系数是﹣(用数字作答)【分析】首先根据题意,写出的二项展开式,可得9﹣2r=3,解可得r=3,将其代入二项展开式,计算可得答案.【解答】解:根据题意,对于,有Tr+1=C99﹣r•x9﹣r•(﹣)r=(﹣)r•C99﹣r•x9﹣2r,令9﹣2r=3,可得r=3,当r=3时,有T4=﹣x3,故答案﹣.【点评】本题考查二项式定理的应用,注意系数与二项式系数的区别.14.(4分)(2003•天津)某公司生产三种型号的轿车,产量分别为1200辆、6000辆和2000辆,为检验该公司的产品质量,现用分层抽样的方法抽取46辆进行检验,这三种型号的轿车依次应抽取 6 辆、30 辆、10 辆.【分析】由题意先求出抽样比例即为,再由此比例计算出在三种型号的轿车抽取的数目.【解答】解:因总轿车数为9200辆,而抽取46辆进行检验,抽样比例为=,而三种型号的轿车有显著区别,根据分层抽样分为三层按比例,故分别从这三种型号的轿车依次应抽取6辆、30辆、10辆.故答案为:6,30,10.【点评】本题的考点是分层抽样,即保证样本的结构和总体的结构保持一致,按照一定的比例样本容量和总体容量的比值,在各层中进行抽取.15.(4分)(2003•天津)某城市在中心广场建造一个花圃,花圃分为6个部分(如图).现要栽种4种不同颜色的花,每部分栽种一种且相邻部分不能栽种同样颜色的花,不同的栽种方法有120 种.(以数字作答)【分析】由题意来看6部分种4种颜色的花,又从图形看知必有2组同颜色的花,从同颜色的花入手分类求.②与⑤同色,则③⑥也同色或④⑥也同色,③与⑤同色,则②④或⑥④同色,②与④且③与⑥同色,根据分类计数原理得到结果.【解答】解:从题意来看6部分种4种颜色的花,又从图形看知必有2组同颜色的花,从同颜色的花入手分类求.(1)②与⑤同色,则③⑥也同色或④⑥也同色,所以共有N1=4×3×2×2×1=48种;(2)③与⑤同色,则②④或⑥④同色,所以共有N2=4×3×2×2×1=48种;(3)②与④且③与⑥同色,则共有N3=4×3×2×1=24种.∴共有N=N1+N2+N3=48+48+24=120种.故答案为:120【点评】这是一道理科的高考题,本题还可以这样解:记颜色为A,B,C,D四色,先安排1,2,3有A43种不同的栽法,不妨设1,2,3已分别栽种A,B,C,则4,5,6栽种方法共5种,由以下树状图清晰可见.根据分步计数原理,不同栽种方法有N=A43×5=120.16.(4分)(2003•辽宁)对于四面体ABCD,给出下列四个命题①若AB=AC,BD=CD,则BC⊥AD;②若AB=CD,AC=BD,则BC⊥AD;③若AB⊥AC,BD⊥CD,则BC⊥AD;④若AB⊥CD,BD⊥AC,则BC⊥AD.其中真命题的序号是①④.(写出所有真命题的序号)【分析】证明线线垂直一般采用线面垂直来证线线垂直.①的证明可转借化证明BC ⊥面AHD.④的证明可转化为证垂心,然后再证明BC⊥面AED来证明BC⊥AD.②③条件下不能求出两线的夹角,也无法保证一个线垂直于另一个线所在的平面,故不对.【解答】证明:如图对于①取BC的中点H,连接AH与DH,可证得BC⊥面AHD,进而可得BC⊥AD,故①对;对于②条件不足备,证明不出结论;对于③条件不足备,证明不出结论;对于④作AE⊥面BCD于E,连接BE可得BE⊥CD,同理可得CE⊥BD,证得E 是垂心,则可得出DE⊥BC,进而可证得BC⊥面AED,即可证出BC⊥AD.综上知①④正确,故应填①④.【点评】本题在判断时有一定的难度,需要构造相关的图形,在立体几何中,构造法是一个常用的方法,本题用其来将线线证明转化线面证明,三、解答题(共6小题,满分74分)17.(12分)(2003•天津)已知正四棱柱ABCD﹣A1B1C1D1.AB=1,AA1=2,点E为CC1中点,点F为BD1中点.(1)证明EF为BD1与CC1的公垂线;(2)求点D1到面BDE的距离.【分析】(1)欲证明EF为BD1与CC1的公垂线,只须证明EF分别与为BD1与CC1垂直即可,可由四边形EFMC是矩形→EF⊥CC1.由EF⊥面DBD1→EF⊥BD1.(2)欲求点D1到面BDE的距离,将距离看成是三棱锥的高,利用等体积法:VE﹣DBD1=VD1﹣DBE.求解即得.【解答】解:(1)取BD中点M.连接MC,FM.∵F为BD1中点,∴FM∥D1D且FM=D1D.又EC CC1且EC⊥MC,∴四边形EFMC是矩形∴EF⊥CC1.又FM⊥面DBD1.∴EF⊥面DBD1.∵BD1⊂面DBD1.∴EF⊥BD1.故EF为BD1与CC1的公垂线.(Ⅱ)解:连接ED1,有VE﹣DBD1=VD1﹣DBE.由(Ⅰ)知EF⊥面DBD1,设点D1到面BDE的距离为d.则.∵AA1=2,AB=1.∴,,∴.∴故点D1到平面DBE的距离为.【点评】本小题主要考查线面关系和四棱柱等基础知识,考查空间想象能力和推理能力.18.(12分)(2003•天津)已知函数f(x)=sin(ωx+φ)(ω>0,0≤φ≤π)是R上的偶函数,其图象关于点对称,且在区间上是单调函数,求φ和ω的值.【分析】由f(x)是偶函数可得ϕ的值,图象关于点对称可得函数关系,可得ω的可能取值,结合单调函数可确定ω的值.【解答】解:由f(x)是偶函数,得f(﹣x)=f(x),即sin(﹣ωx+φ)=sin(ωx+φ),所以﹣cosφsinωx=cosφsinωx,对任意x都成立,且w>0,所以得cosφ=0.依题设0≤φ≤π,所以解得φ=,由f(x)的图象关于点M对称,得,取x=0,得f()=sin()=cos,∴f()=sin()=cos,∴cos=0,又w>0,得=+kπ,k=0,1,2,3,…∴ω=(2k+1),k=0,1,2,…当k=0时,ω=,f(x)=sin()在[0,]上是减函数,满足题意;当k=1时,ω=2,f(x)=sin(2x+)=cos2x,在[0,]上是减函数,满足题意;当k=2时,ω=,f(x)=sin(x+)在[0,]上不是单调函数;所以,综合得ω=或2.【点评】本题主要考查三角函数的图象、单调性、奇偶性等基本知识,以及分析问题和推理计算能力.19.(12分)(2003•天津)设a>0,求函数f(x)=﹣ln(x+a)(x∈(0,+∞))的单调区间.【分析】由题意函数f(x)=﹣ln(x+a),首先求出函数的导数,然后根据导数与函数单调区间的关系对a的大小进行分类讨论.【解答】解:由题意得,令f′(x)=0,即x2+(2a﹣4)x+a2=0,其中△=4(a﹣2)2﹣4a2=8﹣8a,(i)当a>1时,△<0成立,对所有x>0,有x2+(2a﹣4)+a2>0.即f′(x)>0,此时f(x)在(0,+∞)内单调递增;(ii)当a=1时,△=0成立,对x≠1,有x2+(2a﹣4)x+a2>0,即f′(x)>0,此时f(x)在(0,1)内单调递增,且在(1,+∞)内也单调递增,又知函数f(x)在x=1处连续,因此,函数f(x)在(0,+∞)内单调递增;(iii)当0<a<1时,△>0成立,令f′(x)>0,即x2+(2a﹣4)x+a2>0,解得x<2﹣a﹣2或x>2﹣a+2,因此,函数f(x)在区间,内也单调递增.令f′(x)<0,即x2+(2a﹣4)x+a2<0,解得,因此,函数f(x)在区间内单调递减.【点评】本题主要考查导数的概念和计算,应用导数研究函数单调性的方法及推理和运算能力.20.(12分)(2003•天津)A、B两个代表队进行乒乓球对抗赛,每队三名队员,A 队队员是A1,A2,A3,B队队员是B1,B2,B3,按以往多次比赛的统计,对阵队员之间胜负概率如下:对阵队员A队队员胜的概率A队队员负的概率A1对B1A2对B2A3对B3现按表中对阵方式出场,每场胜队得1分,负队得0分,设A队、B队最后所得总分分别为ξ、η.(1)求ξ、η的概率分布;(2)求Eξ,Eη.【分析】(1)由题意知本题两个变量之间具有特殊关系,根据相互独立事件同时发生的概率做出变量ξ的分布列,根据两者之间和为3,得到另一个变量的分布列.(2)由题意知本题两个变量之间具有特殊关系,两个变量的期望之间也有这种关系,两个变量的期望的和是3,解出一个,另一个用做差来解.【解答】解:(1)ξ、η的可能取值分别为3,2,1,0.,,.根据题意知ξ+η=3,∴P(η=0)=P(ξ=3)=,P(η=1)=P(ξ=2)=,P(η=2)=P(ξ=1)=,P(η=3)=P(ξ=0)=.(2),∵ξ+η=3,∴.【点评】本小题考查离散型随机变量分布列和数学期望等概念,考查运用概率知识解决实际问题的能力,求离散型随机变量的分布列和期望是近年来理科高考必出的一个问题,题目做起来不难,运算量也不大.21.(14分)(2003•天津)设an为常数,且an=3n﹣1﹣2an﹣1(n∈N*).(1)证明对任意n≥1,有;(2)假设对任意n≥1有an>an﹣1,求a0的取值范围.【分析】(1)选择利用数学归纳法为妥,需要注意的是有归纳假设ak到ak+1的变形,利用归纳假设,注意目标的形式就能得到结果;另外可以利用递推数列来求得通项公式,当然需要对递推数列的an+1=pan+f(n)这种形式的处理要合适;这种形式的一般处理方法是:两边同时除以pn+1或者是构造一个等比数列,构造法有一定的技巧,如本题可设an﹣a3n=﹣2(an﹣1﹣a3n﹣1),(2)由(1)的结论可作差an﹣an﹣1>0并代入运算,由于含有(﹣1)n的形式要注意对n=2k﹣1和n=2k进行讨论,只需取k=1,2时得到a0的取值范围即可,另外一个思路是只需取n=1,2时得到a0的范围,然后分n=2k﹣1和n=2k进行证明an﹣an﹣1>0.具体解法参见参考答案.【解答】解:(1)证法一:(i)当n=1时,由已知a1=1﹣2a0,等式成立;(ii)假设当n=k(k≥1)等式成立,则,那么=.也就是说,当n=k+1时,等式也成立.根据(i)和(ii),可知等式对任何n∈N,成立.证法二:如果设an﹣a3n=﹣2(an﹣1﹣a3n﹣1),用an=3n﹣1﹣2an﹣1代入,可解出.所以是公比为﹣2,首项为的等比数列.∴.即.(2)解法一:由an通项公式.∴an>an﹣1(n∈N)等价于.①(i)当n=2k﹣1,k=1,2,时,①式即为即为.②式对k=1,2,都成立,有.(ii)当n=2k,k=1,2时,①式即为.即为.③式对k=1,2都成立,有.综上,①式对任意n∈N*,成立,有.故a0的取值范围为.解法二:如果an>an﹣1(n∈N*)成立,特别取n=1,2有a1﹣a0=1﹣3a0>0.a2﹣a1=6a0>0.因此.下面证明当.时,对任意n∈N*,an﹣an﹣1>0.由an的通项公式5(an﹣an﹣1)=2×3n﹣1+(﹣1)n﹣13×2n﹣1+(﹣1)n5×3×2n﹣1a0.(i)当n=2k﹣1,k=1,2时,5(an﹣an﹣1)=2×3n﹣1+3×2n﹣1﹣5×3×2n﹣1a0>2×2n﹣1+3×2n﹣1﹣5×3×2n﹣1=0(ii)当n=2k,k=1,2时,5(an﹣an﹣1)=2×3n﹣1﹣3×2n﹣1+5×3×2n﹣1a0>2×3n﹣1﹣3×2n﹣1≥0.故a0的取值范围为.【点评】本题主要考查数列、等比数列的概念,考查数学归纳法,考查灵活综合运用数学知识分析问题和解决问题的能力.对递推数列的an+1=pan+f(n)这种形式的考查是一个难点,同时除以pn+1得到,然后用累加法得到的等式可得结果,或者是构造一个等比数列an+1+kf(n)=p(an+kf(n))(不具有普适性).22.(12分)(2003•天津)已知常数a>0,向量=(0,a),=(1,0),经过原点O以+λ为方向向量的直线与经过定点A(0,a)以﹣2λ为方向向量的直线相交于点P,其中λ∈R.试问:是否存在两个定点E、F,使得|PE|+|PF|为定值.若存在,求出E、F的坐标;若不存在,说明理由.【分析】根据和,求得+λ和﹣2λ进而可得直线OP和AP的方程,消去参数λ,得点P(x,y)的坐标满足方程,进而整理可得关于x和y的方程,进而看当时,方程为圆不符合题意;当时和当时,P的轨迹为椭圆符合两定点.【解答】解:∵=(0,a),=(1,0),∴+λ=(λ,a),﹣2λ=(1,﹣2λa).因此,直线OP和AP的方程分别为λy=ax和y﹣a=﹣2λax.消去参数λ,得点P(x,y)的坐标满足方程y(y﹣a)=﹣2a2x2.整理得.①因为a>0,所以得:(i)当时,方程①是圆方程,故不存在合乎题意的定点E和F;(ii)当时,方程①表示椭圆,焦点和为合乎题意的两个定点;(iii)当时,方程①也表示椭圆,焦点和为合乎题意的两个定点.【点评】本题主要考查平面向量的概念和计算,求轨迹的方法,椭圆的方程和性质,利用方程判定曲线的性质,曲线与方程的关系等解析几何的基本思想和综合解题能力.参与本试卷答题和审题的老师有:yhx01248;zhwsd;qiss;wsj1012;minqi5;jj2008;liuerq;rxl;wzj123;geyanli;danbo7801;gongjy;涨停;xintrl;zhiyuan;于其才(排名不分先后)菁优网2017年5月28日。