高数下册第11章复习题与答案
- 格式:docx
- 大小:67.18 KB
- 文档页数:8
高数下十一章重点总结+例题第十一章曲线积分与曲面积分【教学目标与要求】1.理解两类曲线积分的概念,了解两类曲线积分的性质及两类曲线积分的关系。
2.掌握计算两类曲线积分的方法。
3.熟练掌握格林公式并会运用平面曲线积分与路径无关的条件,会求全微分的原函数。
4.了解两类曲面积分的概念、性质及两类曲面积分的关系,掌握计算两类曲面积分的方法,了解高斯公式、斯托克斯公式,会用高斯公式计算曲面积分。
5.知道散度与旋度的概念,并会计算。
6.会用曲线积分及曲面积分求一些几何量与物理量。
【教学重点】1.两类曲线积分的计算方法;2.格林公式及其应用;3.两类曲面积分的计算方法;4.高斯公式、斯托克斯公式;5.两类曲线积分与两类曲面积分的应用。
【教学难点】1.两类曲线积分的关系及两类曲面积分的关系;2.对坐标的曲线积分与对坐标的曲面积分的计算;3.应用格林公式计算对坐标的曲线积分;4.应用高斯公式计算对坐标的曲面积分;5.应用斯托克斯公式计算对坐标的曲线积分。
6.两类曲线积分的计算方法,两类曲线积分的关系;7.格林公式及其应用格林公式计算对坐标的曲线积分;8.两类曲面积分的计算方法及两类曲面积分的关系;9.高斯公式、斯托克斯公式,应用高斯公式计算对坐标的曲面积分;10.两类曲线积分与两类曲面积分的应用;11.应用斯托克斯公式计算对坐标的曲线积分。
【教学课时分配】(14学时)第1 次课§1第2 次课§2 第3 次课§3第4 次课§4 第5次课§5 第6次课§6第7次课习题课【参考书】[1]同济大学数学系.《高等数学(下)》,第五版.高等教育出版社.[2] 同济大学数学系.《高等数学学习辅导与习题选解》,第六版.高等教育出版社. [3] 同济大学数学系.《高等数学习题全解指南(下)》,第六版.高等教育出版社§11.1 对弧长的曲线积分一、对弧长的曲线积分的概念与性质曲线形构件的质量:设一曲线形构件所占的位置在xOy 面内的一段曲线弧L 上, 已知曲线形构件在点(x , y )处的线密度为μ(x , y ). 求曲线形构件的质量.把曲线分成n 小段, ?s 1, ?s 2, ? ? ?, ?s n (?s i 也表示弧长); 任取(ξi , ηi )∈?s i , 得第i 小段质量的近似值μ(ξi , ηi )?s i ; 整个物质曲线的质量近似为i i i ni s M ?≈=∑),(1ηξμ;令λ=max{?s 1, ?s 2, ? ? ?, ?s n }→0, 则整个物质曲线的质量为 i i i ni s M ?==→∑),(lim 10ηξμλ.这种和的极限在研究其它问题时也会遇到.定义设函数f (x , y )定义在可求长度的曲线L 上, 并且有界.,将L 任意分成n 个弧段: ?s 1, ?s 2, ? ? ?, ?s n , 并用?s i 表示第i 段的弧长; 在每一弧段?s i 上任取一点(ξi , ηi ), 作和i i i ni s f ?=∑),(1ηξ; 令λ=max{?s 1, ?s 2, ? ? ?, ?s n }, 如果当λ→0时, 这和的极限总存在, 则称此极限为函数f (x , y )在曲线弧L 上对弧长的曲线积分或第一类曲线积分, 记作ds y x f L ),(?, 即i i i ni L s f ds y x f ?==→∑?),(lim ),(10ηξλ. 其中f (x , y )叫做被积函数, L 叫做积分弧段.曲线积分的存在性: 当f (x , y )在光滑曲线弧L 上连续时, 对弧长的曲线积分ds y x f L ),(?是存在的. 以后我们总假定f (x , y )在L 上是连续的.根据对弧长的曲线积分的定义,曲线形构件的质量就是曲线积分ds y x L ),(?μ的值, 其中μ(x , y )为线密度.对弧长的曲线积分的推广:i i i i ni s f ds z y x f ?==→Γ∑?),,(lim ),,(10ζηξλ. 如果L (或Γ)是分段光滑的, 则规定函数在L (或Γ)上的曲线积分等于函数在光滑的各段上的曲线积分的和. 例如设L 可分成两段光滑曲线弧L 1及L 2, 则规定ds y x f ds y x f ds y x f L L LL ),(),(),(2121+=+.闭曲线积分: 如果L 是闭曲线, 那么函数f (x , y )在闭曲线L 上对弧长的曲线积分记作ds y x f L ),(?.对弧长的曲线积分的性质: 性质1 设c 1、c 2为常数, 则ds y x g c ds y x f c ds y x g c y x f c L L L ),(),()],(),([2121+=+;性质2 若积分弧段L 可分成两段光滑曲线弧L 1和L 2, 则ds y x f ds y x f ds y x f L LL ),(),(),(21+=;性质3设在L 上f (x , y )≤g (x , y ), 则??≤L L ds y x g ds y x f ),(),(. 特别地, 有≤L L ds y x f ds y x f |),(||),(|二、对弧长的曲线积分的计算法根据对弧长的曲线积分的定义, 如果曲线形构件L 的线密度为f (x , y ), 则曲线形构件L 的质量为L ds y x f ),(.另一方面, 若曲线L 的参数方程为x =?(t ), y =ψ (t ) (α≤t ≤β),则质量元素为dt t t t t f ds y x f )()()]( ),([),(22ψ?ψ?'+'=,曲线的质量为?'+'βαψ?ψ?dt t t t t f )()()]( ),([22.即'+'=βαψ?ψ?dt t t t t f ds y x f L)()()]( ),([),(22.定理设f (x , y )在曲线弧L 上有定义且连续, L 的参数方程为x =?(t ), y =ψ(t ) (α≤t ≤β), 其中?(t )、ψ(t )在[α, β]上具有一阶连续导数, 且?'2(t )+ψ'2(t )≠0, 则曲线积分dsy x f L ),(?存在, 且dt t t t t f ds y x f L )()()](),([),(22ψ?ψ?βα'+'=??(α<β).应注意的问题: 定积分的下限α一定要小于上限β. 讨论:(1)若曲线L 的方程为y =ψ(x )(a ≤x ≤b ), 则ds y x f L ),(?=?提示: L 的参数方程为x =x , y =ψ(x )(a ≤x ≤b ),dx x x x f ds y x f baL ??'+=)(1)](,[),(2ψψ.(2)若曲线L 的方程为x =?(y )(c ≤y ≤d ), 则ds y x f L ),(?=?提示: L 的参数方程为x =?(y ), y =y (c ≤y ≤d ),dy y y y f ds y x f dcL ??+'=1)(]),([),(2??.(3)若曲Γ的方程为x =?(t ), y =ψ(t ), z =ω(t )(α≤t ≤β), 则ds z y x f ),,(?Γ=?提示:dt t t t t t t f ds z y x f )()()()](),(),([),,(222ωψ?ωψ?βα'+'+'=??Γ.例1 计算ds y L, 其中L 是抛物线y =x 2上点O (0, 0)与点B (1, 1)之间的一段弧.解曲线的方程为y =x 2 (0≤x ≤1), 因此'+=1222)(1dx x x ds y L ?+=10241dx x x )155(121-=.例2 计算半径为R 、中心角为2α的圆弧L 对于它的对称轴的转动惯量I (设线密度为μ=1).解取坐标系如图所示, 则?=L ds y I 2. 曲线L 的参数方程为x =R cos θ, y =R sin θ (-α≤θ<α). 于是 ?=L ds y I 2?-+-=ααθθθθd R R R 2222)cos ()sin (sin-=ααθθd R 23sin =R 3(α-sin α cos α).例3 计算曲线积分ds z y x )(222++?Γ, 其中Γ为螺旋线x =a cos t 、y =a sin t 、z =kt 上相应于t 从0到达2π的一段弧.解在曲线Γ上有x 2+y 2+z 2=(a cos t )2+(a sin t )2+(k t )2=a 2+k 2t 2, 并且 dt k a dt k t a t a ds 22222)cos ()sin (+=++-=, 于是ds z y x )(222++?Γ?++=π2022222)(dt k a t k a)43(3222222k a k a ππ++=.小结用曲线积分解决问题的步骤: (1)建立曲线积分;(2)写出曲线的参数方程 ( 或直角坐标方程) , 确定参数的变化范围;(3)将曲线积分化为定积分;(4)计算定积分.教学方式及教学过程中应注意的问题在教学过程中要注意曲线积分解决问题的步骤,要结合实例,反复讲解。
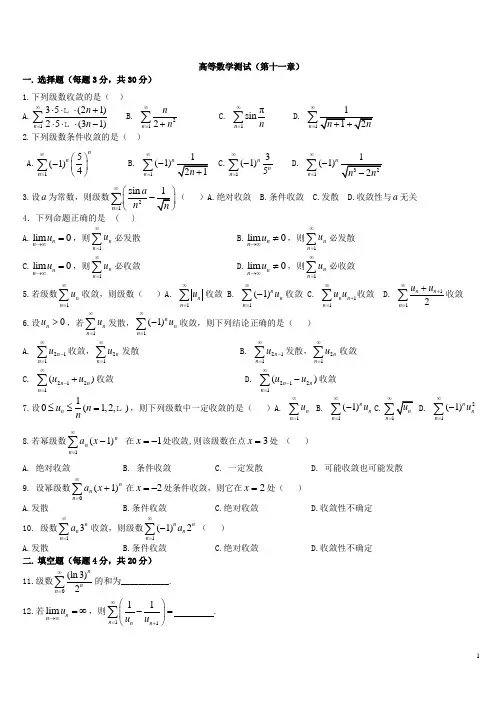
高等数学测试(第十一章)一. 选择题(每题3分,共30分) 1.下列级数收敛的是( )A.135(21)25(31)n n n ∞=⋅⋅⋅+⋅⋅⋅-∑ B. 212n n n ∞=+∑ C. 1πsin n n ∞=∑D. n ∞= 2.下列级数条件收敛的是( )A.15(1)4nn n ∞=⎛⎫- ⎪⎝⎭∑B. 1(1)n n ∞=-∑C.13(1)5n n n ∞=-∑D. 1(1)n n ∞=-∑3.设a为常数,则级数21sin n a n ∞=⎛ ⎝∑( )A.绝对收敛 B.条件收敛 C.发散 D.收敛性与a 无关4.下列命题正确的是 ( ) A.lim 0n n u →∞=,则1nn u∞=∑必发散 B.lim 0n n u →∞≠,则1nn u∞=∑必发散 C.lim 0n n u →∞=,则1nn u∞=∑必收敛 D.lim 0n n u →∞≠,则1nn u∞=∑必收敛5.若级数1n n u ∞=∑收敛,则级数( )A. 1n n u ∞=∑收敛 B. 1(1)nn n u ∞=-∑收敛 C. 11n n n u u ∞+=∑收敛 D. 112n n n u u ∞+=+∑收敛 6.设0n u >,若1nn u∞=∑发散,1(1)nnn u∞=-∑收敛,则下列结论正确的是( )A. 211n n u∞-=∑收敛,21nn u∞=∑发散 B.211n n u∞-=∑发散,21nn u∞=∑收敛C.2121()n n n uu ∞-=+∑收敛 D. 2121()n n n u u ∞-=-∑收敛7.设10(1,2,)n u n n ≤≤=,则下列级数中一定收敛的是( )A. 1n n u ∞=∑ B. 1(1)n n n u ∞=-∑C.n ∞=D. 21(1)n n n u ∞=-∑8.若幂级数∑∞=-1)1(n n nx a在1-=x 处收敛,则该级数在点3=x 处 ( )A. 绝对收敛B. 条件收敛C. 一定发散D. 可能收敛也可能发散 9. 设幂级数∑∞=+0)1(n n nx a在2-=x 处条件收敛,则它在2=x 处( )A.发散B.条件收敛C.绝对收敛D.收敛性不确定 10. 级数13nn n a ∞=∑收敛,则级数1(1)2n nn n a ∞=-∑( ) A.发散 B.条件收敛 C.绝对收敛 D.收敛性不确定二. 填空题(每题4分,共20分)11.级数0(ln3)2n nn ∞=∑的和为___________. 12.若lim n n u →∞=∞,则1111n n n u u ∞=+⎛⎫-= ⎪⎝⎭∑ .13.幂级数1(1)nn n x∞=+∑的和函数为________________.14.函数112x +展开式为x 的幂级数为________________. 15.幂级数2024n nn x n ∞=+∑收敛区间为________.三.计算题(每题10分,共50分)16. 求幂级数()()n n x n n 202!!2∑∞=的收敛区间. 17. 求幂级数21(2)4nn n x n ∞=-∑的收敛域. (不考虑端点情况)18.求()x x f arctan =的麦克劳林展开式. 19.将函数1()(3)f x x x =+展开成2x -的幂级数,并写出收敛域.20.将()x x f 3=展开为2-x 的幂级数,并指出收敛区间.答案:一.选择题1—5 A B C B D 6—10 D D D A C二. 填空题11. 3ln 22-. 12. 11u . 13. ()2212x x x --. 14. ()∑∞=⎪⎭⎫ ⎝⎛<<--0212121n n n n x x . 15. 11,22⎛⎫- ⎪⎝⎭. 三.计算题16. 求幂级数()()n n x n n 202!!2∑∞=的收敛区间(不考虑端点情况). 【解析】因为()()()()()()()()22221221411n 22lim !!2!1!12lim lim x x n x n n x n n u u l n n n n nn n =++=++==∞→+∞→+∞→. 当142<=x l ,即21<x 时级数()()n n x n n 202!!2∑∞=绝对收敛; 当142>=x l ,即21>x 时级数()()n n x n n 202!!2∑∞=发散; 故级数()()n n x n n 202!!2∑∞=的收敛区间为2121<<-x .17. 求幂级数21(2)4nnn x n ∞=-∑的收敛域. 【解析】令2x t -=级数化为214n n n t n ∞=∑,这是缺项幂级数,讨论正项级数21||4nnn t n ∞=∑, 而222112||41lim lim (1)4||4n n n n n n n nu t n l t u n t +++→∞→∞==⨯=+,当211,4l t =<即||2t <时级数214nn n t n ∞=∑绝对收敛;当211,4l t =>即||2t >时级数214nn n t n ∞=∑发散;当211,4l t ==即2t =±时级数化为11n n∞=∑是发散的;故级数214n n n t n ∞=∑收敛域为(2,2)-,由2x t -=得级数21(2)4nnn x n ∞=-∑收敛域为(0,4). 18.求()x x f arctan =的麦克劳林展开式.【解析】()()()()()()∑∑∞=∞=<<--=-=+='='0202211,1111arctan n n nn nn x x x x x x f .则()()()()()1,121111200200020<+-=-=⎪⎭⎫ ⎝⎛-='=+∞=∞=∞=∑⎰∑⎰∑⎰x x n dt t dt t dt t f x f n n nx nn n xn n n x. 19.将函数1()(3)f x x x =+展开成2x -的幂级数,并写出收敛域.【解析】令2x t -=,则2x t =+,11111111()(2)(5)3256151125f x t tt t t t ⎛⎫==-=- ⎪++++⎝⎭++; 又因01()1nn x x ∞==-+∑,所以001()(1)(22)2212n n n n n n t t t ∞∞===-=--<<+∑∑; 001()(1)(55)5515n n n n n n t t t t ∞∞===-=--<<+∑∑; 故0011()(1)(1)62155n nn n n n n n t t f x ∞∞===---∑∑ 11011(1)(22)3235n n n n n t t ∞++=⎡⎤=---<<⎢⎥⋅⋅⎣⎦∑ 11011(1)(2)(04)3235n n n n n x x ∞++=⎡⎤=---<<⎢⎥⋅⋅⎣⎦∑. 20.将()x x f 3=展开为2-x 的幂级数,并指出收敛区间. 【解析】令t x =-2,则()3ln 29393t t t ex f ⋅=⋅==+.而()+∞∞-∈=∑∞=,,!0x n x e n nx.所以()()()()()()()()()+∞∞-∈-=-=+∞∞-∈===∑∑∑∑∞=∞=∞=∞=,,2!3ln 92!3ln 9,,!3ln 9!3ln 930x x n x n t t n n t x f n n n n n n n n n n nx.。
第十一章 曲线积分与曲面积分 (09级下学期用) § 1 对弧长的曲线积分 1设 L 关于x 轴对称,1L 表示L 在x 轴上侧的部分,当()y x f ,关于y 是偶函数时,()=⎰Lds y x f ,( B )()⎰1,L ds y x f C 。
()⎰-1,2L ds y x f D.ABC 都不对2、设L 是以点()()()()1,0,0,1,1,0,0,1--D C B A 为顶点的正方形边界,则⎰+Lyx ds =( C )A 。
24 D 。
223、有物质沿曲线L :()103,2,32≤≤===t t z t y t x 分布,其线密度为,2y =μ,则它的质量=m ( A )++1421dt t t t B 。
⎰++104221dt t t tC 。
⎰++1421dt t t D.⎰++1421dt t t t4.求,⎰Lxds 其中L 为由2,x y x y ==所围区域的整个边界解:,⎰Lxds =()22155121241111+-=++⎰⎰xdx dy yy 5.,ds y L⎰其中L 为双纽线)0)(()(222222>-=+a y x a y x解:原积分=()()222sin 4sin 442022'2441-==+=⎰⎰⎰a d ad r r r ds y L χππθθθθθ6.⎰+Lds y x ,22 其中L 为()022>=+a axy x原积分222cos 2a adt t a ==⎰π7.,2⎰Lds x 其中L 为球面2222a z y x =++与平面0=-y x 的交线解:将y x =代入方程2222a z y x =++得2222a z x =+于是L 的参数方程:ta z t a y t a x sin ,sin 2,cos 2===,又adt ds =原积分=⎰=ππ203222cos 2a adt t a 8、求均匀弧()0,sin ,cos ≤<∞-===t e z t e y t e x t t t 的重心坐标33,30===⎰∞-dt e M dt e ds tt,523cos 100==⎰∞-dt e t e Mx t t ,21,5100=-=z y§2 对坐标的曲线积分 一、选择题1。
高等数学下册第十一章习题答案详解1.设L 为xOy 面内直线x a =上的一段,证明:(,)d 0LP x y x =⎰,其中(),P x y 在L 上连续.证:设L 是直线x =a 上由(a ,b 1)到(a ,b 2)这一段,则 L :12x ab t b y t =⎧≤≤⎨=⎩,始点参数为t =b 1,终点参数为t =b 2故 ()()()221d ,d d 0d 0d b b L b b a P x y x P a,t t P a,t t t ⎛⎫=⋅=⋅= ⎪⎝⎭⎰⎰⎰2.设L 为xOy 面内x 轴上从点(,0)a 到点(,0)b 的一段直线,证明:(,)d (,0)d bLaP x y x P x x =⎰⎰,其中(),P x y 在L 上连续.证:L :0x xa xb y =⎧≤≤⎨=⎩,起点参数为x =a ,终点参数为x =b . 故()(),d ,0d bLaP x y x P x x =⎰⎰3.计算下列对坐标的曲线积分: (1)22()d Lxy x -⎰,其中L 是抛物线2y x =上从点(0,0)到点(2,4)的一段弧;(2)d Lxy x ⎰,其中L 为圆周()222x a y a -+=(0)a >及x 轴所围成的在第一象限内的区域的整个边界(按逆时针方向绕行);(3)d d Ly x x y +⎰,其中L 为圆周cos ,sin x R t y R t ==上对应t 从0到π2的一段弧; (4)22()d ()d Lx y x x y y x y+--+⎰,其中L 为圆周222x y a +=(按逆时针方向绕行); (5)2d d d x x z y y z +-⎰Γ,其中Γ为曲线,,x k y acos z asin θθθ===上对应θ从0到π的一段弧;(6) 322d 3d ()d x x zy y xy z ++-⎰Γ,其中Γ是从点3,2,1()到点0,0,0()的一段直线;(7)d d d x y y z -+⎰Γ,其中Γ为有向闭折线ABCA ,这里AB C 、、依次为点1,0,0()、010(,,)、(001),,;(8)22(2)d (2)d Lx xy x y xy y -+-⎰,其中L 是抛物线2y x =上从点(1,1)-到点(1,1)的一段弧.解:(1)L :y =x 2,x 从0变到2,()()22222435001156d d 3515L x y x x x x x x ⎡⎤-=-=-=-⎢⎥⎣⎦⎰⎰ (2)如图11-1所示,L =L 1+L 2.其中L 1的参数方程为图11-1cos 0πsin x a a tt y a t =+⎧≤≤⎨=⎩L 2的方程为y =0(0≤x ≤2a ) 故()()()()()12π20π320ππ32203d d d 1+cost sin cos d 0d sin 1cos d sin d sin dsin π2LL L axy x xy x xy xa a t a a t t x a t t ta t t t ta =+'=⋅++=-+=-+=-⎰⎰⎰⎰⎰⎰⎰⎰(3)()π20π220π220d d sin sin cos cos d cos 2d 1sin 220Ly x x y R t R t R tR t t Rt tR t +=-+⎡⎤⎣⎦=⎡⎤=⎢⎥⎣⎦=⎰⎰⎰(4)圆周的参数方程为:x =a cos t ,y =a sin t ,t :0→2π. 故()()()()()()222π202π220d d 1cos sin sin cos sin cos d 1d 2πLx y x x y yx y a t a t a t a t a t a t t a a t a +--+=+---⎡⎤⎣⎦=-=-⎰⎰⎰(5)()()()2π220π3220π3320332d d d sin sin cos cos d d 131ππ3x xz y y zk k a a a a k a k a k a Γθθθθθθθθθθ+-=⋅+⋅--=-⎡⎤=-⎢⎥⎣⎦=-⎰⎰⎰(6)直线Γ的参数方程是32=⎧⎪=⎨⎪=⎩x t y t z t t 从1→0.故()()322322103141d 3d d 27334292d 87d 1874874x x zy y x y z t t t t t tt tt Γ++-⎡⎤=⋅+⋅⋅+-⋅⎣⎦==⋅=-⎰⎰⎰(7)AB BC CA Γ=++(如图11-2所示)图11-21:0y x AB z =-⎧⎨=⎩,x 从0→1()01d d d 112AB x y y z dx -+=--=-⎡⎤⎣⎦⎰⎰. 0:1x BC y z =⎧⎨=-⎩,z 从0→1()()()1010120d d d 112d 12232BC x y y z z dz z zz z -+=--+-⎡⎤⎣⎦=-⎡⎤=-⎢⎥⎣⎦=⎰⎰⎰0:1y CA z x =⎧⎨=-⎩,x 从0→1[]1d d d 1001CAx y y z dx -+=-+=⎰⎰.故()()d d d d d d 312122LABBCCAx y y zx y y z-+=++-+=-++=⎰⎰⎰⎰(8)()()()()()221224211235412d 2d 222d 224d 1415L x xy x y xy yx x x x x x x xxx x x x---+-⎡⎤=-⋅+-⋅⋅⎣⎦=-+-=-⎰⎰⎰4. 计算()d ()d Lx y x y x y ++-⎰,其中L 分别是:(1)抛物线2y x =上从点(1,1)到点(4,2)的一段弧; (2)从点(1,1)到点(4,2)的直线段;(3)先沿直线从点(1,1)到点(1,2),然后再沿直线到点(4,2)的折线; (4)曲线2221,1x t t y t =++=+上从点(1,1)到点(4,2)的一段弧. 解:(1)L :2x y y y ⎧=⎨=⎩,y :1→2,故()()()()()2221232124321d d 21d 2d 111232343L x y x y x yy y y y y yy y y yy y y ++-⎡⎤=+⋅+-⋅⎣⎦=++⎡⎤=++⎢⎥⎣⎦=⎰⎰⎰ (2)从(1,1)到(4,2)的直线段方程为x =3y -2,y :1→2 故()()()()()2121221d d 32332d 104d 5411L x y x y x yy y y y y y yy y ++-=-+⋅+-+⎡⎤⎣⎦=-⎡⎤=-⎣⎦=⎰⎰⎰ (3)设从点(1,1) 到点(1,2)的线段为L 1,从点(1,2)到(4,2)的线段为L 2,则L =L 1+L 2.且 L 1:1x y y=⎧⎨=⎩,y :1→2;L 2:2x x y =⎧⎨=⎩,x :1→4;故()()()()()12122211d d 101d 1d 212L x y x y x yy y y y y y y ++-=+⋅+-⎡⎤⎣⎦⎡⎤=-=-⎢⎥⎣⎦=⎰⎰⎰()()()()()()24144211d d 220d 12d 22272L x y x y x yx x x x x x ++-=++-⋅⎡⎤⎣⎦⎡⎤=+=+⎢⎥⎣⎦=⎰⎰⎰从而()()()()()12d d d d 1271422LL L x y x y x yx y x y x y++-=+++-=+=⎰⎰⎰(4)易得起点(1,1)对应的参数t 1=0,终点(4,2)对应的参数t 2=1,故()()()()()()122132014320d d 32412d 10592d 10592432323L x y x y x y t t t tt t tt t t tt t t t ++-⎡⎤=++++--⋅⎣⎦=+++⎡⎤=+++⎢⎥⎣⎦=⎰⎰⎰5. 设质点受力作用,力的反方向指向原点,大小与质点离原点的距离成正比.若质点由(,0)a 沿椭圆移动到0,Bb (),求力所做的功. 解:依题意知 F =kxi +kyj ,且L :cos sin x a t y a t=⎧⎨=⎩,t :0→π2()()()()π2022π20π222022d d cos sin sin cos d sin 2d 2cos 2222LW kx x ky yka t t kb t b t t k b a t tk b a t k b a =+=-+⋅⎡⎤⎣⎦-=--⎡⎤=⎢⎥⎣⎦-=⎰⎰⎰(其中k 为比例系数)6. 计算对坐标的曲线积分:(1)d xyz z ⎰Γ,Γ为2221x y z ++=与z y =相交的圆,方向按曲线依次经过第Ⅰ、Ⅱ、Ⅶ、Ⅷ卦限;(2)222222(-)d ()d ()d y z x z x y x y z +-+-⎰Γ,Γ为2221x y z ++=在第Ⅰ卦限部分的边界曲线,方向按曲线依次经过xOy 平面部分,yOz 平面部分和zOx 平面部分. 方向按曲线依次经过xOy 平面部分,yOz 平面部分和zOx 平面部分. 解:(1)Γ:2221x y z y z ⎧++=⎨=⎩ 即2221x z y z ⎧+=⎨=⎩其参数方程为:cos x ty tz t =⎧⎪⎪⎪=⎨⎪⎪=⎪⎩ t :0→2π 故:2π2π2202π202π0222d cos sin sin cos d 2sin cos d 2sin 2d 21cos 4d 22πxyz z t t t t t t t t t t ttΓ=⋅⋅⋅==-==⎰⎰⎰⎰⎰(2)如图11-3所示.图11-3Γ=Γ1+Γ2+Γ3.Γ1:cos sin 0x ty t z =⎧⎪=⎨⎪=⎩t :0→π2,故()()()()()1222222π2220π3320π320d d d sin sin cos cos d sincos d 2sin d 24233yz x z x y x y zt t t t tt t tt t Γ-+-+-⎡⎤=--⋅⎣⎦=-+=-=-⋅=-⎰⎰⎰⎰又根据轮换对称性知()()()()()()1222222222222d d d 3d d d 4334y z x z x y x y z y z x z x y x y zΓΓ-+-+-=-+-+-⎛⎫=⨯- ⎪⎝⎭=-⎰⎰ 习题11-31. 应用格林公式计算下列积分:(1)(24)d (356)d Lx y x x y y -+++-⎰,其中L 为三顶点分别为()()0,0,3,0和(32),的三角形正向边界;(2)222(cos 2sin e )d (sin 2e )d x x Lx y x xy x y x x x y y +-+-⎰,其中L 为正向星形线222333x y a +=0a >();(3)3222(2cos )d (12sin 3)d Lxy y x x y x x y y -+-+⎰,其中L 为抛物线22πx y =上由点0,0()到点π,12⎛⎫⎪⎝⎭的一段弧; (4)22()d (sin )d Lxy x x y y --+⎰,其中L 是圆周22y x x =-上由点0,0()到()1,1的一段弧;(5)(e sin )d (e cos )d x x Ly my x y m y -+-⎰,其中m 为常数,L 为由点(),0a 到0,0()经过圆22x y ax +=上半部分的路线(a 为正数).图11-4解:(1)L 所围区域D 如图11-4所示,P =2x -y +4,Q =3x +5y -6,3Qx∂=∂,1P y ∂=-∂,由格林公式得 ()()d d 24356d d 4d d 4d d 1432212LD DDx yx y x y Q P x y x y x yx y+-++-∂∂⎛⎫-= ⎪∂∂⎝⎭===⨯⨯⨯=⎰⎰⎰⎰⎰⎰⎰(2)P =x 2y cos x +2xy sin x -y 2e x ,Q =x 2sin x -2y e x , 则2cos 2sin 2e x P x x x x y y∂=+-∂,2cos 2sin 2e x Qx x x x y x∂=+-∂.从而P Qy x∂∂=∂∂,由格林公式得.()()222d dcos2sin e sin2ed d++--∂∂⎛⎫-= ⎪∂∂⎝⎭=⎰⎰⎰x xLDx yx y x xy x y x x yQ Px yx y(3)如图11-5所示,记OA,AB,BO围成的区域为D.(其中BO=-L)图11-5P=2xy3-y2cos x,Q=1-2y sin x+3x2y2262cosPxy y xy∂=-∂,262cosQxy y xx∂=-∂由格林公式有:d d d d0L OA AB DQ PP x Q y x yx y-++∂∂⎛⎫-+==⎪∂∂⎝⎭⎰⎰⎰故π2122001222d d d dd d d dππd d12sin3243d12π4π4++=+=+++⎛⎫=+-+⋅⋅⎪⎝⎭⎛⎫=-+⎪⎝⎭=⎰⎰⎰⎰⎰⎰⎰L OA ABOA ABP x Q y P x Q yP x Q y P x Q yO x yy yyy y(4)L、AB、BO及D如图11-6所示.图11-6由格林公式有d d d d++∂∂⎛⎫-+=- ⎪∂∂⎝⎭⎰⎰⎰L AB BO DQ PP x Q y x yx y而P=x2-y,Q=-(x+sin2y).1∂=-∂Py ,1∂=-∂Q x,即,0∂∂-=∂∂Q P x y 于是()d d d d 0+++++=+=⎰⎰⎰⎰LABBOL AB BOP x Q y P x Q y从而()()()()()()()22222211220011300d d d d sin d d d d sin sin d d 1sin 131sin 232471sin 264LLBA OB P x Q y x yx y x y x y x yx y x y x y x y y x x y x y y +=--+=-+--+-+=-++⎡⎤⎡⎤=+-+⎢⎥⎢⎥⎣⎦⎣⎦=-+⎰⎰⎰⎰⎰⎰(5)L ,OA 如图11-7所示.图11-7P =e x sin y -my , Q =e x cos y -m , e cos x P y m y ∂=-∂,e cos x Q y x ∂=∂ 由格林公式得:22d d d d d d d d 1π22π8L OA D DDQ P P x Q y x y x y m x ym x ya m m a +∂∂⎛⎫-+= ⎪∂∂⎝⎭==⎛⎫=⋅⋅ ⎪⎝⎭=⎰⎰⎰⎰⎰⎰⎰ 于是:()()[]220202πd d d d 8πd 0e sin 00e cos08π0d 8π8+=-+=-+⋅⋅-⋅⋅-=-=⎰⎰⎰⎰L OA a x x a m a P x Q y P x Q y m a xm m m a xm a2. 设a 为正常数,利用曲线积分,求下列曲线所围成的图形的面积:(1) 星形线 33cos ,sin ;x a t y a t == (2) 双纽线 22cos2;r a θ= (3) 圆 22x y ax ++=解:(1) ()()()()()2π3202π2π242222002π202π202π202d sin 3cos d sin 33sin cos d sin 2sin d 43d 1cos 41cos 2163d 1cos 2cos 4cos 2cos 416312π+d cos 2cos 61623π8LA y x a t a t tt a t t t a t t t a t t t a tt t t t a t t t a =-=-⋅-==⋅=--=--+⎡⎤=+⎢⎥⎣⎦=⎰⎰⎰⎰⎰⎰⎰(2)利用极坐标与直角坐标的关系x =r cos θ,y =r sin θ得 cos cos 2x a θ=sin cos 2y a θ=从而x d y -y d x =a 2cos2θd θ. 于是面积为:[]π24π4π24π4212d d 2cos 2d sin 22LA x y y x a a a θθθ--=⋅-===⎰⎰(3)圆x 2+y 2=2ax 的参数方程为 cos 02πsin x a a y a θθθ=+⎧≤≤⎨=⎩故()()[]()2π022π021d d 21d a+acos sin 2d 1cos 2πcos sin L A x y y xa a a a a θθθθθθθ=-=-=+=⋅-⎰⎰⎰ 3. 证明下列曲线积分与路径无关,并计算积分值: (1)(1,1)(0,0)()(d d )x y x y --⎰;(2)(3,4)2322(1,2)(6)d (63)d xy y x x y xy y -+-⎰;(3)(1,2)2(1,1)d d y x x yx +⎰沿在右半平面的路径; (4)(6,8)(1,0)⎰.证:(1)P =x -y ,Q =y -x .显然P ,Q 在xOy 面内有连续偏导数,且1P Q y x∂∂==-∂∂,故积分与路径无关.取L 为从(0,0)到(1,1)的直线段,则L 的方程为:y =x ,x :0→1.于是()()()()11,100,00d 0d d x x y x y ==--⎰⎰(2) P =6xy 2-y 3,Q =6x 2y -3xy 2.显然P ,Q 在xOy 面内有连续偏导数,且2123Pxy y y∂=-∂,2123Qxy y x∂=-∂,有P Q y x ∂∂=∂∂,所以积分与路径无关. 取L 为从(1,2)→(1,4)→(3,4)的折线,则()()()()()()[]3,423221,2432214323212d d 663d d 63966434864236x y xyy x y xy y x y y x y y x x +--=+--=+⎡⎤--⎣⎦=⎰⎰⎰(3)2y P x =,1Q x =-,P ,Q 在右半平面内有连续偏导数,且21P y x ∂=∂,21Q x x ∂=∂,在右半平面内恒有P Qy x∂∂=∂∂,故在右半平面内积分与路径无关. 取L 为从(1,1)到(1,2)的直线段,则()()()21,2211,1d d d 11x y x x y y -==--⎰⎰(4) P =,Q ,且P Qy x∂∂==∂∂分在不含原点的区域内与路径无关, 取L 为从(1,0)→(6,0)→(6,8)的折线,则()()686,811,0801529x y =+⎡=+⎣=⎰⎰⎰4.验证下列()(),d ,d P x y x Q x y y +在整个xOy 平面内是某一函数(),u x y 的全微分,并求这样的一个函数(),u x y :(1)()()2d 2d x y x x y y +++;(2)22d d xy x x y +;(3)223238d 812e d yx y xy x x x y y y ++++()(); (4)222cos cos d 2sin sin d x y y x x y x x y y ++-()(). 解:证:(1)P =x +2y ,Q =2x +y .2P Q y x ∂∂==∂∂,所以(x +2y )d x +(2x +y )d y 是某个定义在整个xOy 面内的函数u (x ,y )的全微分. ()()()()()(),0,0022022d d ,22d d 2222222x y xy yu x y x y x y x y x x yx y x y xy x y xy =+++=++⎡⎤=++⎢⎥⎣⎦=++⎰⎰⎰(2)P =2xy ,Q =x 2, 2P Qx y x∂∂==∂∂,故2xy d x +x 2d y 是某个定义在整个xOy 面内的函数u (x ,y )的全微分. ()()(),20,02022d d ,0d d x y xy u xy x x y x y x x yx y=+=+=⎰⎰⎰(3)P =3x 2y +8xy 2,Q =x 3+8x 2y +12y e y ,2316∂∂=+=∂∂P Qx xy y x,故(3x 2y +8xy 2)d x +(x 3+8x 2y +12y e y )d y 是某个定义在整个xOy 面内函数u (x ,y )的全微分, ()()()()()(),22320,03200322d ,38812e 0d d 812e 412e 12e 12x y y xyyy y u x x y x y x y x x y y x y x x y y x y x y y =++++=+++=++-+⎰⎰⎰(4)P =2x cos y +y 2cos x ,Q =2y sin x -x 2sin y ,2sin 2cos P x y y x y ∂=-+∂,2cos 2sin Qy x x y x∂=-∂, 有P Qy x∂∂=∂∂,故(2x cos y +y 2cos x )d x +(2y sin x -x 2sin y )d y 是某一个定义在整个xOy 面内的函数u (x ,y )的全微分,()()()()()(),220,020022d d ,2cos cos 2sin sin 2d d 2sin sin sin cos x y xyu x y x y x y y x y x x y x x yy x x y y x x y=++-=+-=+⎰⎰⎰5.证明:22xdx ydyx y ++在整个xOy 平面内除y 轴的负半轴及原点外的开区域G 内是某个二元函数的全微分,并求出这样的一个二元函数。
第十一章 曲线积分与曲面积分试题一.填空题(规范分值3分)11.1.1.2 设在xoy 平面内有一分布着质量的曲线L ,在点(x,y)处它的线密度为μ(x,y),用第一类曲线积分表示这曲线弧对x 轴的转动惯量I x =。
ds y x y L),(2μ⎰11.1.2.2 设在xoy 平面内有一分布着质量的曲线L ,在点(x,y)处它的线密度为μ(x,y),用第一类曲线积分表示这曲线弧的质心坐标x =;y =。
x =⎰⎰LLds y x ds y x x ),(),(μμ;y =⎰⎰LLdsy x ds y x y ),(),(μμ 11.1.3.1在力),,(z y x F F =的作用下,物体沿曲线L 运动。
用曲线积分表示力对物体所做的功=W 。
d z y x L⋅⎰),,(11.1.4.2 有向曲线L 的方程为⎩⎨⎧≤≤==βαt t y y t x x )()(,其中函数)(),(t y t x 在[]βα,上一阶导数连续,且[][]0)()(22≠'+'t y t x ,又),(),,(y x Q y x P 在曲线L 上连续,则有:[]ds y x Q y x P dy y x Q dx y x P LL⎰⎰+=+βαcos ),(cos ),(),(),(,那么αcos =;βcos =。
αcos =[][]22)()()(t y t x t x '+''βcos =[][]22)()()(t y t x t y '+''11.1.5.1 设L 为xoy 平面内直线a x =上的一段,则曲线积分⎰Ldx y x P ),(=。
011.1.6.2 设L 为xoy 平面内,从点(c,a )到点(c,b )的一线段,则曲线积分⎰+Ldy y x Q dx y x P ),(),(可以化简成定积分:。
dy y Q ba),0(⎰11.1.7.2 第一类曲线积分ds y x L⎰+)(22的积分值为。
第十一章-无穷级数练习题(一). 基本概念1.设∑∞=1n n U 为正项级数,下列四个命题(1)若,0lim =∞→n n U 则∑∞=1n n U 收敛;(2)若∑∞=1n n U 收敛,则∑∞=+1100n n U 收敛;(3)若,1lim 1>+∞→nn n U U 则∑∞=1n n U 发散; (4)若∑∞=1n n U 收敛,则1lim 1<+∞→nn n U U .中, 正确的是( ) A .(1)与(2); B .(2)与(3);C .(3)与(4);D .(4)与(1).2.下列级数中,收敛的是( ). A .∑∞=11n n ; B .∑∞=+112n n n ; C . +++3001.0001.0001.0; D . +⎪⎭⎫⎝⎛+⎪⎭⎫ ⎝⎛+⎪⎭⎫ ⎝⎛+43243434343. 3.在下列级数中,发散的是( ). A .∑∞=-11)1(n n n ;B .∑∞=+11n n n; C .∑∞=131n nn;D . +-+-44332243434343.4.条件( )满足时,任意项级数1nn u∞=∑一定收敛.A. 级数1||n n u ∞=∑收敛;B. 极限lim 0n n u →∞=;C . 极限1lim1n n nu r u +→∞=<;D. 部分和数列1n n k k S u ==∑有界.5.下列级数中条件收敛的是( ).A . ∑∞=11cos n n ; B. ∑∞=11n n ;C. ∑∞=-11)1(n n n ; D. ∑∞=-11)1(n n n n .6.下列级数中绝对收敛的是( ).A . ∑∞=-11)1(n n n ; B. ∑∞=-121)1(n n n ; C. ∑∞=+-11)1(n n n n ; D. ∑∞=11sin n n . (二). 求等比级数的和或和函数。
提示:注意首项 7.幂级数 1021+∞=∑n n n x 在)2,2(-上的和函数=)(x s . 8.幂级数 ∑∞=-04)1(n n nnx 在)4,4(-上的和函数=)(x s .9.无穷级数125()3n n ∞=∑的和S = .(三). 判定正项级数的敛散性。
《高等数学》习题参考资料第五篇概率论与数理统计第十一章概率论§ 1 概率习题1. 设一个工人生产了5 个零件, 用Ai表示“第i个零件是正品”,i=1,2,3,4,5,试用Ai表示下列事件:(1)没有一个次品;(2)最多有3个次品;(3)只有2个次品;(4)至少有3个次品.【答案】 (1) B1=A1A2A3A4A5;(2) B2=A1A2+A1A3+A1A4+A1A5 +A2A3+A2A4+A2A5 +A3A4+A3A5+A4A5;(3) B3=A1A2A3A4A5+A1A23A45 +A12A3A45+1A2A3A45+A1A234A5+A12A34A5+1A2A34A5+1A23A4A5+A123A4A5+12A3A4A5;(4) B4=+12345 +A12345+1A2345 +12A345+123A45+1234A5+A1A2345+A12A345+A123A45+A1234A5+1A234A5+1A23A45+1A2A345+123A4A5+12A34A5+12A3A45.2. 已知P(B)=0.3, p(A∪B)=0.6, 求P(A).【答案】 P(A)=P(A∪B)−P(B)=0.3.3. 如果事件A和B同时出现的概率P(AB)=0, 则下列结论成立的是:(1) A与B互逆; (2) AB为不可能事件; (3) P(A)=0或P(B)=0; (4)AB未必是不可能事件.【解】(1) 和(2)成立. (3),(4) 不成立.2184. 已知P(A∩B)=P(∩), 且P(A)=p, 求P(B).【答案】P(B)=1−p.5. 设事件A,B的概率分别为P(A)=和P(B)=, 且P(AB)=12141, 求P(B)和10P(A)【解】P(B)=P(B)−P(AB)=32; P(A)=P(A)−P(AB)=.2056. 对任意三个事件A,B,C, 试证P(A∪B∪C)=P(A)+P(B)+P(C)−P(AB)−P(BC)−P(AC)+P(ABC).并把这个结论推广到n个事件的情况【解】 P(A∪B∪C)=P(A∪B)+P(C)−P((A∪B)∩C)=P(A)+P(B)−P(AB)+P(C)−P(AC∪BC)=P(A)+P(B)+P(C)−P(AB)−P(BC)−P(AC)+P(ABC).7. 十把钥匙, 其中有3把能打开房门, 现从中任取2把, 求能打开房门的概率.11C3C7+C328 【答案】 p==.215C108. 甲、乙、丙各自向同一个目标射击一次, 已知它们的命中率分别为0.7 ,0.8 和0.75, 求目标被击中2次的概率.【解】设A,B,C分别表示甲乙丙射中目标的事件,p=P(AB+P(A)+P(BC)=0.7×0.8×0.25+0.7×0.2×0.75+0.3×0.8×0.75=0.14+0.105+0.18=0.425.9. 男人的性染色体为(x,y), 女人为(x,x). 当生殖细胞作成数分裂时. 这时染色体分配在两个细胞中. 如果某种遗传病和隐性遗传病都在染色体x上, 把这种染219色体记为x*. 对于男人, 性染色体为x*,y时为隐性遗传病患者. 对于女人, 性染色体为x*,x*时, 为隐性遗传病患者, 性染色体为(x*,x)或(x,x*)时为隐性遗传病携带者. 讨论子女为隐性遗传病患者(A1)和隐性遗传病携带者(A2)的概率.【解】除去父母均为正常者之外, 列表如下:父母子女儿 P(A1) P(A2) P(A1+A2)111(x,y) (x*,x) (x,y),(x*,y) (x,x),(x,x*) 44211**(x,y) (x*,x*) (x*,y),(x*,y) (x,x),(x,x) 12211(x*,y) (x,x) (x,y),(x,y) (x*,x),(x*,x) 0 22113(x*,y) (x*,x) (x*,y),(x,y) (x*,x*),(x*,x) 244(x*,y) (x*,x*) (x*,y),(x*,y) (x*,x*),(x*,x*) 1 0 1()()10. 若班上有40个同学, 每个人的生日是一年365天中的哪一天是等可能的.试求班上至少有两位同学的生日在同一天的事件A的概率.【解】此问题也类似一个分房问题. 把365天看作365个房间, 事件A的对立事件是“没有两个同学在同一天生日”的事件, 它就相当于每个同学占据一天的日子一样. 于是按例10知N! P(A)=(N−n)!⋅NnN=365,n=40, 因而365!N!1=−=1−0.109=0.891,P(A)=1−P(A)=1−(N−n)!⋅Nn(365−40)!⋅36540即班上至少有两个同学在同一天生日的可能性达到89%.若n =20, 则概率就接近0.5.若n = 50, 则概率达到97%.若n = 100, 则概率几乎达到1.11. 从 0,1,2,L,9十个数字中任取3个组成三位数, 问这个三位数是偶数的概率.111C92P2+C4C8C841【答案】p==181C9P12. 某人写了3封信, 并分别在3 个信封上写了这3封信的地址, 如果他任意地将3 张信纸装入3个信封中, 求没有一封信的信封和信纸是配对的概率..220【解】设A表示”至少有一封信的信封和信纸是配对”的事件. Ai表示”第i个111信封和自己的信纸配对”的事件. P(Ai)=, P(AiAj)==, i≠j,33!611P(A1A2A3)==. A=A1+A2+A3, 于是3!6P(A1+A2+A3)=P(A1)+P(A2)+P(A3) −P(A1A2)−P(A2A3)−P(A1A3)+P(A1A2A3) 11141=3×−3×+=,因此P()=1−P(A)=.3666313. 设100个成品中有3 个是次品, 任取5个, 求其次品数分别为 0 , 1 ,2 , 3 的概率. i5−iC3C97, i=0,1,2,3. 【答案】 pi=5C10014. 设一个口袋里有十个硬币, 其中五分的有2个, 二分的有3 个, 一分的有5 个, 若从中任取5个硬币, 问其总值大于10 分的概率.23131122C2C8+C2C3C5+C2C3C5126 【答案】 p===0.55252C1015. 设100件产品中有5件次品, 现从中随意地抽取10 件, 求这10 件中恰有3件次品的概率.37C5C 【答案】 p=1095.C10016. 电路由元件A 和两个并联的元件B和C串联而成. 设元件A , B , C 损坏的概率分别是0.3 ,0.2 , 0.25 . 求电路发生故障的概率.【解】E=A∪(B∩C),P(E)=P(A)+P(BC)−P(ABC)=0.3+0.05−0.015=0.33522117. 设100件零件中, 次品率为10%, 先后从中各任取1个, 第一次取出的零件不放回, 求第二次取得正品的概率.【答案】p=989190×+×=0.91099109918. 设口袋中有a个黑球, b个白球 (b>2), 球的大小和质地一样, 甲, 乙,丙三人依次从口袋中任取一个球, 取后不放回, 分别求出三人各自取得白球的概率.【答案】19. 设12个乒乓球中有9个是新的, 3个是旧的, 第一次比赛取出了3 个, 用完后放回, 第二次比赛又取出3 个球, 求第二次比赛取出的3 个球中有2个是新球的概率. 031212121123012C3C9C6C6C3C9C5C7C32C9C4C8C3C9C3C91377= 【答案】p=.+++333333333025C12C12C12C12C12C12C12C12b.a+b20. 设10个考签中有4个是难题, 三个人参加抽签考试, 不重复地抽取, 每个人抽一题, 甲先, 乙次, 丙最后, 证明三个人抽到难题的概率是相同的.【解】本题类似18题, 每个人抽到难题的概率都是42=.10521. 两封信随机地投入到4个邮筒里. 求前两个邮筒内没有信的概率以及第一个邮筒内只有一封信的概率.1C2⋅33221 【答案】 p1=2=, p2=2=.484422. 二维随机点(m,n)在区域|m|<1,|n|<1中等可能地出现, 求方程x2+mx+n=0的两个根都是正根的概率222【答案】 n>0且 m<0且m2−4n>0,p=1.4823. 把长度为a的铁丝任意折成三段, 求它们可以构成一个三角形的概率.【解】设三段为x,y,a−x−y, 于是0<x<a, 0<y<a, ; 根据三角形两边和大于第三边, 则符合条件的是0<x<aaa, 0<y<, <x+y<a, 如图.22221 a 12 2 因此所求概率p==.24a224. 从(0,1)中随机地取两个数, 求下列事件的概率 (1) 两数之和小于(2) 两数之积小于; (3) 同时满足前两个条件.146;51441−××255=17=0.68; 【解】 (1) p=125(2)p=1111×1+1=(1+ln4)=0.567;4444x6−1011 5 5 −x dx+6−+6+ −x dx=0.593.4x 6 10 6106+1 (3) p=×1+15525. Buffon问题在平面上画出等距离a的平行线, 向此平面随机地投掷一根长为l(l<a)的针. 试求针与平行线相交的概率.223【解】以M表示针的中点, x表示M与最近的平行线的距离, t表示针与a平行线的夹角, 显然0≤x≤, 0≤t≤π, 针与平行线相交的充分必要条件是2l0<x<sint, 于是2lπsintdt∫02l=P(A)=aπaπ×226. 设有 Ai(i=1,2,3,4,5)五个相同元件构成图11.1.2所示系统, 每一个元件能正常工作的概率是p, 各元件是否正常工作是相互独立的, 问此系统能正常工作(接通)的概率?【解】将系统分成两种情况讨论,一是A3正常, 二是A3不正常, 记B为系统正常工作,Ai表示Ai元件正常工作,A3正常时相当于右图于是P(B|A3)=P((A1∪A4)∩(A2∪A5))=P(A1∪A4)P(A2∪A5)=(1−P(1)P(4))(1−P(2)P(5))=p2(2−p)2,224A3不正常时, 相当于右图P(B|3)=P((A1∩A4)∪(A2∩A5))=P(A1A2)+P(A4A5)−P(A1A2A4A5)=p2(2−p2),于是根据全概率公式,P(B)=P(A3)P(B|A3)+P(3)P(B|3)=p⋅p2(2−p)2+(1−p)⋅p2(2−p2)=p2(2p3−5p2+2p+2)《高等数学》习题参考资料第十一章概率论§ 2 条件概率全概率公式 Bayes公式习题1. 袋中有4个白球, 2个黑球, 连取2 个球, 取后不放回, 如果已知第一个是白球, 问第二个是白球的概率?3 【答案】.52. A,B为两随机事件, 且B⊂A, 则下列哪个式子是正确的: (1)P(A∪B)=P(A); (2)P(AB)=P(A); (3)P(B−A)=P(A)−P(B).(4)P(B|A)=P(B).【答案】(1) 是正确的. 其余是错误的2253. 用三个机床加工同一种零件, 零件由各机床加工的概率分别是0.5 ,0.35 , 0.15 , 各机床加工的零件为合格品的概率分别是0.95 , 0.92 , 0.96 ,求全部产品的合格率. 【解】p=0.5×0.95+0.35×0.92+0.15×0.96=0.941.4. 设有10 箱同样规格的产品, 其中5 箱是甲厂的产品, 次品率是是乙厂的产品, 次品率是1; 3 箱1011; 2 箱是丙厂的产品, 次品率是. 今在这10 箱产1520品中任选1箱, 再从中任取1件产品, 问它是次品的概率是多少? 又若已知取得的一件产品是次品, 它是甲厂的产品的概率是多少?【解】(1) p=∑P(Ai)P(E|Ai)=i=1351312125⋅+⋅+⋅=;(2) .1010101510202585. 有2 个口袋. 甲袋中装有2 个白球, 1个黑球; 乙袋中装有1个白球, 2个黑球. 由甲袋任取1 个球放入乙袋, 再从乙袋中任取1 个球, 求取到白球的概率.【解】p=21115⋅+⋅=.3234126. 设每次射击时命中率为0.2 , 问至少需进行多少次独立的射击, 才能使至少击中一次的概率不小于0.9 .【解】射击n次, 至少击中一次的概率为p=1−(1−0.2)n, 91−0.8n=0., 于是n=ln0.1=10.3, 因此取n=11次.ln0.87. 某设备由A , B 两个部件串联而成, 两个部件中任何一个失灵, 该设备就失灵. 若使用1000小时后, 部件A失灵的概率是0.1, 部件B 失灵的概率是0.3,若两个部件是否失灵是相互独立的, 求这个设备使用1000小时后不失灵的概率.226【解】p=1−(1−0.1)(1−0.3)=0.37.8. 某种牌号的电子元件使用到1000小时的概率为0.9, 使用到1500小时的概率为0.3, 今有该种牌号的一个电子元件已使用了1000小时, 问该电子元件能用到1500小时的概率.【解】条件概率p=139. 甲、乙两人独立地对同一目标进行射击一发子弹, 他们的命中率分别是0.7和0.8, 现在目标被命中一发, 求它是甲射中的概率.【解】利用Bayes公式: p=10. 设三次独立试验中, 事件A出现的概率相等. 若已知A至少出现一次的概率等于0.7×0.214=.0.7×0.2+0.8×0.33819, 求事件A在一次试验中出现的概率.27 191, p=;273 【解】1−(1−p)3=11. 上海电脑型体育彩票共有36个号码 (自01, 02, 03 到 36) 可供选择,每注选7个号码, 每期开奖开出七个号码. 若彩票的七个号与开奖的七个号一样(不论次序), 则中特等奖. 假定每期彩票销售4,500,000元, 有300个销售点,平均每个销售点销售15000元. 问每期彩票至少开出一个一等奖的概率是多少?经多少期彩票销售才能使至少开出一个特等奖的概率达到0.95.【解】解上海电脑型福利彩票共有36个号可供选择, 每注7个号, 因此共有7C36=8347680 (记为M) 种(注). 每次销售6,000,000元, 有300个销售点, 平均每个销售点销售20000元, 即10000张彩票. 在一个销售点售出的彩票中, 中一等奖的可能概率为100001 1 M−1 kx~B(10000,), p1=∑C1000 MMM k=1=0.001197220461.k10000−k M−1 =1− M 10000227各销售点的销售可以看作的相互独立的. 300个销售点至少有一个点销售的彩票中一等奖的概率是p300=1−(1−p1)300=1−(1−0.001197220461)300≈0.3018919036.即每期开奖至少产生一个一等奖的概率约0.302. 因此, 在k期彩票中至少产生一个一等奖的概率Pk是P=1−(1−p300)k=1−(0.63893742)k.k椐此易计算出p3 := 0.5126450857, p4 := 0.7624851875 , p5 := 0.8341889864p6 := 0.8842459889, p7 := 0.9191911877, p8 := 0.9435867139p9 := 0.9606174282, p10 := 0.9725067078, p11 := 0.9808067101若要使中奖概率达到0.95 则有k>8, 即开奖12. 在长达11年的时间里,从得克萨斯州的一个县中有870人被要求作为可能的大陪审团的陪审员,该县的人口中有墨西哥血统的美国人占79%,但只有339个有墨西哥血统的美国人被选为履行大陪审团陪审员的职责.如何用来概率模型确定:大陪审团陪审员的选择对有墨西哥血统的美国人来说并非没有种族歧视.【解】若没有种族偏见则339个或更少的墨西哥血统的美国人被选为陪审员的概率为∑n=0339−nC[n0.79p]C[8700.21p]C870p,其中p是该县的人口数, p是个很大的数,若p=10000, 则此概率为0.20848×10−161, 几乎为0.13. 某场比赛进行五局, 并以五战三胜决定胜负. 若已知甲方在每一局中的胜率为0.6, 求甲方在比赛中获胜的概率是多少?【解】获胜有三种情况: 3:0, 3:1, 3:2, 于是p(A1)=p3=0.216,P(A2)=C32p2(1−p)⋅p=0.259,22 P(A3)=C4p(1−p)2⋅p=0.207,因此 p=P(A1)+P(A2)+P(A3)=0.682.22814. 假设有三张形状完全相同, 但所涂颜色不同的卡片, 第一张两面全是红色, 第二张两面全是黑色, 第三张是一面红一面黑, 将这三张卡片放在帽子里经充分混合后, 随机地取出一张放在桌上, 如果取出的卡片朝上的一面是红的, 那么它的另一面为黑的概率是多少.1 【解】 . 注意两面全是红色的卡片有正反面向上两种可能, 因此符合“卡片3朝上的一面是红的”条件的情况有三种, 另一面为黑的仅一种情况.15. 若选择题有m种答案, 考生可能知道答案, 也可能瞎猜. 设考生知道正确答案的概率是p , 瞎猜的概率是1−p, 考生瞎猜猜对的概率为问他确实知道正确答案的概率是多少.1, 如果已知考生答对了,m【解】mp.1+(m−1)p16. 瓷杯成箱出售, 每箱20只, 假设各箱含0, 1, 及 2只残次品的概率分别为0.8,0.1, 0.1, 一顾客欲购一箱瓷杯, 购买时, 任取一箱, 从中任意地察看4只, 若无残次品,则就买下, 否则退回. 试求: (1) 顾客买下该箱的概率; (2) 在顾客买下该箱的瓷杯中,确实没有残次品的概率.【解】 (1) 44895; (2) .47511217. 在n双不同的鞋中任取2r 只(r<n), 求 (1) 其中没有成双的概率; (2) 恰好有2 双的概率; (3) 有r双的概率.2r 【解】样本点总数有C2n. (1) 可以先从n双中取出2r双, 再从每双中任取r22rCn一只, 于是p1=; (2) 先从n双中任取2双, 再从n−2双中取出2r−4双,2rC2n r2r−2n22r−2CnCn−1再从每双中任取一只, 于是p2=; (3) p3=2r.2rC2nC2n229《高等数学》习题参考资料第十一章概率论§3 一维随机变量习题1. 设有m件产品, 其中n件为次品, 从中任取k件 (k<m), 记取得的次品数为ξ, 试写出ξ的概率分布.【解】根据题意认为n≤m, 由于有较多的未知参数, 因此应该讨论这些参数的不同情况.2. 设离散型随机变量ξ以正的概率只取 1, 2 , 3 , 又设P(ξ=1)=0.4,P(ξ=3)=0.5. (1)计算P(ξ=2); (2) 求ξ的分布和分布函数.【解】(1)P(ξ=2)=0.1,(2) 分布律: ξ=ip1230.40.10.5x≤1 0, 0.4,1<x≤2 分布函数F(x)= 0.5,2<x≤33<x 1,2303. 设随机变量ξ的密度函数为 A x∈[−2,2],4−x2, ϕ(x)= 2π x∉[−2,2], 0,求 (1) 系数A 的值; (2) ξ的分布函数F(x), 并作图.【解】(1) A=1;0, x 1 (2) F(x)= 2π+4arcsin+x4−x2 ,2 4π 1, x≤−2−2<x<2x≥24. 从学校到市中心广场共有六个十字路口, 假定在各个十字路口遇到红灯的事件是相互独立的, 且概率都是0.4. 以ξ表示遇到的红灯数, 求随机变量ξ的分布. 以η表示汽车行驶过程中在第一次停止前所经过的路口数, 求η的分布.【解】011C60.650.4234560.6635C620.640.42C60.630.43C640.640.44C60.610.450.46012345 6∗0.660.40.4⋅0.60.4⋅0.620.4⋅0.630.4⋅0.640.4⋅0.65∗假定过了6站后停下.5. 设某种疫苗中所含细菌数服从Poisson分布. 设1毫升疫苗中平均含有一个细菌, 把这种疫苗放入5只试管中, 每只试管放2毫升. 试求: (1) 5 只试管中都有细菌的概率; (2) 至少有3 只试管中有细菌的概率 (提示: λ=2). 【解】每只试管中有细菌的概率为p, 记ξ表示细菌个数, η表示有细菌的试管20−2数, 于是p=P(ξ≥1)=1−P(ξ=0)=1−e≈0.8647,0!(1) 5 只试管中都有细菌的概率为P(η=5)=p5=0.86475≈0.4833;231(2) 记q=1−p, 至少有3 只试管中有细菌的概率332550P(η≥3) =C5pq+C54p4q1+C5pq=0.4834+0.3782+0.1184=0.980.6. 某乘客在某公交车站候车的时间 (以分计) ξ服从指数分布, 其概率密度函数x 1−5 ϕξ(x)= 5e,x>0,x≤0 0,某乘客在候公交车时, 若等车超过 10 分钟, 他就离开而乘出租车. 该乘客一个星期要乘车 5 次, 若以η 表示一周内他乘出租车的次数, 写出η的分布律, 【解】每天等车时间超过10分钟的概率p=∫ϕξ(x)dx=∫−∞101001edx=−e5−x5−x1050=1−e−2于是η的分布律:η=kP(=k)011C5pq423332C5pq45q5C52p2q3C54p4qp57. 设随机变量ξ服从N(0,1), 那么Φ0(0),ϕ0(0),P(ξ=0)各取什么值, 它们各表示什么意思?【解】Φ0(0)=0, ϕ0(0)=12, P(ξ=0)无意义.8. 设随机变量ξ服从N(0,1), 求P(ξ<2.5), P(ξ≥−1), P(−1.5≤ξ≤1). 【解】P(ξ<2.5)=0.99379, P(ξ≥−1)=2×0.841345-1=0.68269,P(−1.5≤ξ≤1)=0.5-(1-0.933193)=0.433193.2329. 设随机变量ξ服从N(−1,16), 求P(ξ>−1.5), P(ξ<8), P(|ξ|<4). 【解】P(ξ>−1.5)=0.5478, P(ξ<8)=0.988, P(|ξ|<4)=0.668.10. 设随机变量ξ服从N(0,1),求a值, 分别使(1)P(|ξ|<a)=0.975, (2)P(ξ>−a)=0.975,(3)P(ξ<a)=0.975.【答案】 (1)a=2.24, (2) a=1.96, (3) a=1.96.11. 设随机变量ξ的概率分布密度为ϕ(x)=e−|x|,12求 (1) 随机变量ξ的分布函数F(x); (2) P(a≤ξ≤b), P(ξ≥a), P(ξ≤b), 其中 a<0,b>0.1xx≤0 2e,【解】(1) F(x)= ,1−x 1−e,x>0 21111 (2) P(a≤ξ≤b)=1−e−b−ea, P(ξ≥a)=1−ea, P(ξ≤b)=1−e−b.222212. 设某商品的月销售量服从参数为7的Poisson分布,. 问在月初商店要进货多少此商品, 才能保证当月不脱销的概率为0.999.【解】不脱销表示商店到月末还有货. 设月销售量为ξ因此问题是求 k ,使P(ξ>k)≤0.001, 即P(ξ≤k)≥0.999, 计算λ=7的Poisson分布值,P(ξ≥16)=0.002407, 000958P(ξ>16)=0.,001448P(ξ=16)=0.>0.001,P(ξ=17)=0.000596<0.001, 因此k=17, 月初的最少进货应该是k−1=16个单位.13. 设某地在任何长为t(周)的时间内发生地震的次数n(t)服从参数为λt的Poisson 分布. (1) 若T表示直到下一次地震发生所需的时间(周), 求T的概率分布. (2) 求相邻三周内至少发生3次地震的概率. (3) 在连续8周无地震的情况下, 下8周仍无地震的概率’233(λt)k−kt 【解】 P(n(t)=k)=e.表示在t时间间隔内发生k次地震.k!(1) P(T≥t)=P(n(t)=0)=e−λt, 它表示在t时间间隔内不发生地震的概率,于是T的分布函数F(t): t≤0时,F(t)=0; t>0时, F(t)=P(T<t) =1−P(T≥t)1−e−λtt>0=1−e. 即F(t)= , 即T服从参数为λ的指数分布;≤0t0这表明Poisson过程的来到间隔服从指数分布;(2) 相邻三周内至少发生3次地震, 即在3周时间内发生三次以上地震P(n(3)≥3)=1−P(n(3)<3)=1−P(n(3)=0)−P(n(3)=1)−P(n(3)=2)−λt9λ2e−2λ9=1−e−3λe−=1−(1+3λ+λ2)e−3λ;22P("T≥16"⋅"T≥8")P("T≥16"⋅)e−16λ(3) P("t≥16"|"T≥8")= = =−8λ =e−8λ.P("T≥8")P("T≥8")e这说明指数分布具有无记忆性.3λ−3λ14. 设有800万个质点独立地散布在容积为2千立方米的一个水池中, 每一个质点在水池各处是等可能的. 求从这个水池中任取的1 升(0.001立方米)水中含有质点个数ξ的分布密度.8,000,000=4即np=λ=4,2,000×1,0001或解: 一个质点落在1升水中的概率是p=,8,000,000个质点相当于2,000,000 8,000,000次Bernoulli试验, 于是1升水中含有质点数ξ,服从的分布【解】在一升水中平均有质点 pk=Ck8000000p(1−p)k8000000−k(np)k−np4k−4≈e=ek!k!15. 某射手有6发子弹, 命中率为0.85, 如果命中了, 就停止射击, 如果不命中, 就一直射下去, 直到子弹用完为止. 求耗用子弹数ξ的分布律.【答案】ξpk1p2pq3pq24pq35pq46, 其中 p=0.85, q=0.15.q516. 某市每天耗电量不超过一百万千瓦小时, 该市每天的耗电率(天耗电量/百万千瓦小时) ξ的密度函数是23412x(1−x)2,ϕ(x)= 0,x∈(0,1],x∉(0,1].如果该市发电厂每天供电量为80万千瓦小时, 则任一天供电量不够需要的概率是多少?【解】P(ξ>0.8)=1−P(ξ≤0.8)=1−∫12x(1−x)2dx=0.0272.00.817. 某仪器装有三只独立工作的同型号电子元件,其寿命(小时)都服从同一指数分布,其密度函数为1x 1−600 ef(x)= 600 0x>0x≤0试求在仪器使用的最初200小时内,至少有一只电子元件损坏的概率。
《高数》下册第十一章练习题第十一章曲线积分与曲面积分习题11-11.设在某Oy面内有一分布着质量的曲线弧L,在点(某,y)处它的线密度为(某,y)。
用对弧长的曲线积分分别表达:(1)这曲线弧对某轴,对y轴的转动惯量I某Iy,(2)这曲线弧的质心坐标某,y2.利用对弧长的曲线积分的定义证明性质33.计算下列对弧长的曲线积分:(1)(2)(某L2y)d,其中L为圆周某acot,yaint(0t2)2nL(某y)d,其中L为连接(1,0)及(0,1)两点的直线段2某d,其中L为由直线y=某及抛物线y某(3)L所围成的区域的整个边界e(4)L某2y2d,其中L为圆周某2y2a2,直线y=某及某轴在第一象限内所围成的扇形的整个边界1tttd某ecot,yeint,ze222(5)某yz,其中为曲线上相应于t从0变到2的这段弧(6)某2yzd,其中为折线ABCD,这里A,B,C,D依次为点(0,0,0),(0,0,2),(1,0,2),y2d,,其中L为摆线的一拱某a(tint),ya(1cot)(0t2)(1,3,2)(7)(8)LL(某2y2)d,其中L为曲线某a(cottint),ya(inttcot)(0t2)4.求半径为a,中心角为2的均匀圆弧(线密度1)的质心0t2,它的线密度5.设螺旋形弹簧一圈的方程为某acot,yaint,zkt,其中(某,y,z)某2y2z2.求:I(1)它关于z轴的转动惯量z(2)它的质心。
习题11-21.设L为某Oy面内直线某a上的一段,证明:LP(某,y)d某02.设L为某Oy面内某轴上从点(a,0)到点(b,0)的一段直线,证明:LP(某,y)d某P(某,0)d某ab3.计算下列对坐标的积分:(1)(某L2y2)d某,其中L是抛物线y某2上从点(0,0)到点(2,4)的一段弧(2)L某yd某2(某a)2y2a(a>0)及某轴所围成的在第一象限内的区,其中L为圆周域的整个边界(按逆时针方向绕行)(3)Lyd某某dy,其中L为圆周某Rcot,yRint上对应t从0到2的一段弧(某y)d某(某y)dy222某+ya(4)L(按逆时针方向绕行)某2y2,其中L为圆周(5)某2d某zdyydz,其中为曲线某kyaco,zain上对应从0到是从点(1,1,1)到点(2,3,4)的一段直线的一段弧(6)(7)某d某ydy(某y1)dz,其中,其中d某dy+ydz2L为有向闭折线ABCD,这里的A,B,C依次为点(1,0,0),(0,1,0),(0,0,1)(8)(某的一段弧4.计算2某y)d某(y22某y)dy,其中L是抛物线y某2上从点(-1,1)到点(1,1)(某y)d某(y某)dy,其中L是:L2y某上从点(1,1)到点(4,2)的一段弧(1)抛物线(2)从点(1,1)到点(4,2)的直线段(3)先沿直线从点(1,1)到点(1,2),然后再沿直线到点(4,2)的折线22某2tt1,yt1上从点(1,1)到点(4,2)的一段弧(4)曲线222某yR5.一力场由沿横轴正方向的恒力F所构成,试求当一质量为m的质点沿圆周按逆时针方向移过位于第一象限的那一段弧时场力所做的功6.设z轴与动力的方向一致,求质量为m的质点从位置(某,y,z)沿直线移到(某,y,z)时重力所做的功7.把对坐标的曲线积分LP(某,y)d某Q(某,y)dy化成对弧长的积分曲线,其中L为:(1)在某Oy面内沿直线从点(0,0)到点(1,1)2y某(2)沿抛物线从点(0,0)到点(1,1)22某y2某从点(0,0)到点(1,1)(3)沿上半圆周23某t,yt,zt为曲线上相应于t从0变到1的曲线弧,把对坐标的曲线积分8.设Pd某QdyRdz化成对弧长的曲线积分习题11-31.计算下列曲线积分,并验证格林公式的正确性:(1)L(2某y某2)d某(某y2)dyy某2和y2某所围成的区域的,其中L是由抛物线正向边界曲线(2)L(某2某y2)d某(y22某y)dy,其中L是四个顶点分别为(0,0),(2,0),(2,2),(0,2)的正方形区域的正想边界2.利用曲线积分,求下列曲线所围成的图形的面积(1)星形线某aco3t,yain3t22(2)椭圆9某+16y144(3)圆某y2a某22yd某某dy22(某1)y2,L的方向为逆时针方向L2(某2y2)3.计算曲线积分,其中L为圆周4.证明下列曲线积分在整个某Oy面内与路径无关,并计算积分值(1)(2)(2,3)(1,1)(3,4)(某y)d某(某y)dy(1,2)(2,1)(6某y2y3)d某(6某2y3某y2)dy(2某yy43)d某(某24某y3)dy(3)(1,0)5.利用格林公式,计算下列曲线积分:(2某y4)d某(5y3某6)dy(1),其中L为三顶点分别为(0,0),(3,0)和(3,2)L的三角形正向边界;(某(2)L2yco某2某yin某y2e某)d某(某2in某2ye某)dy23,其中L为正向星形线某ya(a0)(3)2323,其中L为在抛物线L(2某y3y2co某)d某(12yin某3某2y2)dy2某y2上由点(0,0)到(2)的一段弧,1(某(4)L2y)d某(某in2y)dyy2某某2上由点(0,0)到点(1,1),其中L是在圆周的一段弧6.验证下列P(某,y)d某Q(某,y)dy在整个某Oy平面内是某一函数u(某,y)的全微分,并求这样的一个u(某,y):(1)(某2y)d某(2某y)dy22某yd某某dy(2)(3)4in某in3yco某d某3co3yco2某dy2232y(3某y8某y)d某(某8某y12ye)dy(4)22(2某coyyco某)d某(2yin某某iny)dy(5)7.设有一变力在坐标轴上的投影为某某y,Y2某y8,这变力确定了一个力场。
第十一章 级 数§1 常数项级数1. 根据定义判断级数的敛散性,若级数收敛,求出级数的和. (1)1n ∞=∑解:11nn k S ===∑,故lim 1]n n n S →∞→∞==∞故级数发散。
(2)11(21)(21)n n n ∞=-+∑ 解:111111111111()()(1)(21)(21)2212122121221nnn n k k k S k k k k k k n =====-=-=--+-+-++∑∑∑,故111lim lim(1)2212n n n S n →∞→∞=-=+,故级数收敛。
(3)111(1)2n n n -∞-=-∑解: 11111()(1)2121()12321()2nk n n n k k S --=---⎡⎤===--⎢⎥⎣⎦--∑, 故212lim lim1()323n n n n S →∞→∞⎡⎤=--=⎢⎥⎣⎦,故级数收敛。
(4)111(1)5n nn -∞=+-∑ 解:11111111()1()1(1)1(1)11111155[1()][1()]55555456511()55n nk k n n nn n n k k kk k k S --===---+--==+=+=-+-----∑∑∑故11115lim lim [1()][1()]456512n n n n n S →∞→∞=-+--=,故级数收敛。
2.判断下列级数的敛散性: (1)114(1)5nn n n ∞-=-∑解:该级数为公比45-的等比级数,又415-<,故级数收敛。
(2)151()23n n n ∞=+∑ 解:因为1115151()2323n n n n n n n ∞∞∞===+=+∑∑∑,又1151,23n n n n ∞∞==∑∑是公比绝对值小于1的等比级数收敛,故151()23n n n ∞=+∑收敛。
(3)111(1)nn n∞=+∑ 解:因为11lim01(1)n n en→∞=≠+,所以级数发散。
⾼数同济第六版下⾼等数学2第⼗⼀章答案[1]习题11-1 对弧长的曲线积分1.计算下列对弧长的曲线积分:(1)22x y Leds +?,其中L 为圆周222x y a +=,直线y x =及x 轴在第⼀象限内所围成的扇形的整个边界;(2)2x yzds Γ,其中Γ为折线ABCD ,这⾥A 、B 、C 、D 依次为点(0,0,0)、(0,0,2)、(1,0,2)、(1,3,2);(3)2Ly ds ?,其中L 为摆线的⼀拱(sin )x a t t =-,(1cos )y a t =-(02)t π≤≤.2.有⼀段铁丝成半圆形y =,其上任⼀点处的线密度的⼤⼩等于该点的纵坐标,求其质量。
解曲线L 的参数⽅程为()cos ,sin 0x a y a π==≤≤ds ad ??==依题意(),x y y ρ=,所求质量22sin 2LM yds a d a π===?? 习题11-2 对坐标的曲线积分1.计算下列对坐标的曲线积分:(1)22()Lxy dx -?,其中L 是抛物线2y x =上从点(0,0)到点(2,4)的⼀段弧;(2)22()()Lx y dx x y dy x y+--+?,其中L 为圆周222x y a +=(按逆时针⽅向绕⾏);(3)(1)xdx ydy x y dz Γ+++-?,其中Γ是从点(1,1,1)到点(2,3,4)的⼀段直线;(4)dx dy ydz Γ-+?,其中Γ为有向闭折线ABCA ,这⾥A 、B 、C 依次为点(1,0,0)、(0,1,0)、(0,0,1);2.计算()()Lx y dx y x dy ++-?,其中L 是:(1)抛物线2y x =上从点(1,1)到点(4,2)的⼀段弧;(2)从点(1,1)到点(4,2)的直线段;(3)先沿直线从点(1,1)到点(1,2),然后再沿直线到(4,2)的折线;(4)曲线221x t t =++,21y t =+上从点(1,1)到点(4,2)的⼀段弧。
第十一章-无穷级数练习题(一).基本概念 收敛.Q Q 1.设v U n 为正项级数,下列四个命题 n -1(1)(2) 若limU n =0,则「U n 收敛; 若v U n 收敛,贝U v U n 100收敛; n=1 n W A.级数X |U n |收敛;n =1B.极限 lim Un =0 ;C. 极限 lim Un ^ = r ::: 1 ;F U nnD. 部分和数列Sn =•'.: Uk 有界.k 45.下列级数中条件收敛的是().(3)若 lim U n 1 nY U n Q Q(4)若v U n 收敛,则 n -1 中,正确的是( ) A . (1)与 (2);C . (3)与(4);Q Q 1,则v U n 发散; n =1 lim 5^ ::: 1 . n匚U n■■ 1' 1 ;厂' n= - n cos 1;n 4 tnB.B .⑵与(3);D . (4)与(1). C. 2.下列级数中,收敛的是( 1 )• oO q' (-1)n 1 ; n 吕 .n 1001 A. ' -;n £ n□0 B .、 n ;n 壬 2n +1 QQD. ' (-1)nn 4 n, n6.下列级数中绝对收敛的是).8 1 、(-1)n— n=1 nC . 0.001 一 0.001 30.001; 1B. ' —nw nD . 4 32 43 443•在下列级数中,发散的是( ).Q QC. (-1)n nM n旳1D.二.sin .n 吕 nQO *;(二).求等比级数的和或和函数。
提示:注 意首项C . —1—;n - n 3n 17.幕级数nx n 1在(-2, 2)上的和函数 n=02s(x) = ___________ .八2 八3 八4333 ...23' 44 4 4oO8.幕级数(-1)nn=04ns(x)= ---------------4.条件()满足时,任意项级数U n 定n=1在(-4 , 4)上的和函数9.无穷级数:]旳的和S=—(三)■判定正项级数的敛散性。
14.判定级数 、、(-I)"」n • 1 一 n 是否收敛?如果收敛,是绝对收敛还是条件收敛?解:COA15.判别级数v (_1)nln(11)的敛散性,如nvn果收敛,指出是绝对收敛还是条件收敛(要求 说明理由)•解12.判别级数的敛散性.cO10•判别级数'、n 4(n!)2的敛散性.11.判别级数的敛散性. £1 € n+1n 4 ■ n(n 21)"4 n 1兀 旳 兀二 3 sin n , 二(1 - cos —)n 生 4 n 蛉 n°° 1「n(1), n =1•. nod z3nn!(四)■判定交错级数是否收敛,如果收敛, 是绝对收敛还是条件收敛。
提示:分三步, 先判断是否绝对收敛,然后用莱布尼兹判别法U n,最后结论为条件收敛。
002n16.判别级数(-1)2 竿 的敛散性,如果收 nd 3敛,指出是绝对收敛还是条件收敛.解13.判定级数旳1送(一1)心1 n(1 +〒)是否收敛?如果收敛,是绝对收敛还是条件收敛解:(五).求幕□0QO7 a n X 2n; V a n (X-X °)n 的收敛区n -0n =042QO=xn £间。
提示:变量代换,区间不要端点收敛区间(七). 求幕级数的和函数20. 求幕级数a 斗(2x 1)n的收敛区间.解:(六).将函数展开成x 的幕级数,指出收敛 区间(提示:间接展开法,记展开式)21. 将函数f(x) =(e x -1)(e x2)展开为x 的 幕级数(指出收敛区间).解:区间.解:22. 将函数 f (x)二 xe" 1In(1 x)展开为 x的幕级数,并指出收敛区间. 解Q Q18. 求幕级数7n =4(3)n x 2n1的收敛半径和收敛区间 19.求幂级数:〔罟評的收敛半径和23.将函数f (x) = In(2 - x)展开成(x 1)的幕级数,并写出收敛域.解25.利用幕级数和函数求数项级数:_n26'求幂级数“爲的和函数并写出收敛解:(八). 相关证明29.设a n 0,且{na n}为有界数列•证明:无穷级数& a n3/2收敛.n 4证30.设级数-U n2与1 V n2都收敛,证明级数n 二n £Q Q、(U n V n)2也收敛.n z!证35.设级数7 (a n -a n」)收敛,又b n是收敛n =1nJQ Q的正项级数,证明级数a n b n绝对收敛.n吕证:□031.设a n 乞b n 乞C n 5 =1,2,),且级数 7 a n,n=1 Q QX' C n都收敛,试证明:n 1级数J bn收敛.n :!证:第十一章-无穷级数练习题答案1. B ) ;2. ( D );3. ( B );4. ( A5. (C ).6. (B );7. s(x) ; 8. 4s(x)二——;9. S2 - x x + 410oOc »八U n +|U n U n 一U n 、*、〒口口34.设P n ,q n ,试证明2 2od oO级数a U n绝对收敛的充分必要条件是a P n,n M n』10.判别级数、n =1(n!)2(2n)!的敛散性.lim 乩二limn Unn厂[2(n 1)]!(2n)!(n!)2Q Q、q n都收敛.n =1证:(n 1)(n 1)为条件收敛•=limn— (2n1)( 2n 2)丄1 4 11•判别级数的敛散性. .原级数收敛 14.判定级数 1 Z2 收敛, n4 n(n 2 1)(比较法) 二 n 1 — n 」n 1 送In (1 +:)发散, n 4 n CO、3n n 4 JI *°°ji 7 (1-cos —)收敛 n 4 n 12.判别级数的敛散性(比值法) ■:3n-n! - n 土 n 敛?如果收敛,解:U nQ Q、(—1)2 •.、n • 1 - n 是否收是绝对收敛还是条件收敛?所以U nQ Qn 1 一 .. n发n丄减,且 lim u n =0,4吨卜(3)计 收敛 Q0八nn 4因此 Q Q7 (-1)n‘ . n • 1 - ; n 收敛,且为 条件收敛•Q Q13.判定级数 「(-1)n」ln (1 1)是否收敛? n1 15.判别级数' (-1)nln (1——)的敛散性,如nv n 如果收敛, 是绝对收敛还是条件收敛? 解: n > :: ,un 1 1 =ln (1 )~ , .n n 果收敛,指出是绝对收敛还是条件收敛(要求 说明理由)•发散,所以 Q Q解 J(-1)nln 吕1ln(1 -) lim 亠=1n —』-1 1 n1(+丄)=瓦 I n1f-),贝U n nT发散; □az n T1l n1C -)发散,原级数不绝对n又U n1 -ln (1) Hn单调递减,且收敛;l i mu n u n =0,且 limu nn —jpC因此 oO' (T)z l n1(n d)收敛,且1 1U n 二 ln(1 ) - ln(1 J = U n 1n n 十1 1二 lim ln( 1 )=0 n 厂 n001送(—1)nl 门(1+—)收敛。
n 三 n绝对收敛.18. P283 例 3 19. 求幕级数二(-1)」^:2)0的收敛半径和心 (n +1卅收敛区间或匸 2+ n /、=Z ----- x (虫 <x <+=c )-------n4 n!22.将函数 f (x)二 xe'x 1 ln(1 • x)展开为x的幕级数,并指出收敛区间.解 f (x)二 exe_2xln(1 x)区间为(-2,1).所以二 ng(_1)n |n(1丄)为条件收敛。
n 16.判别级数 J(_1)n 」孕的敛散性,如果收 n 4 3 21.将函数f (x)二(e x - 1)(e x2)展开为x 的幕级数(指出收敛区间).解:f (x) = e 2x • e x-2敛,指出是绝对收敛还是条件收敛. 2n U n = 3*二=11n 卫 (2x)nn!::x n -—-2 n!(-::::x ::::)U n 1 lim n匚U nn匸3n3nJn」n! nxi( n 2)3 3R =3 oO =ex' n =0(-2x)nn!“(-1)nn=0x n1n 1(一1 :::x :::1)x-2 c3,所以收敛区间为(-1,5) □0 20.求幕级数「斗(2x 1)n的收敛区间. <.:e(-2)n x n1=L ---------n =0n!(一1 ::X :: 1)解: 八g. n =0 I n!(-门-^x< 1)R亠3,2x+1 £3,所以收敛23.将函数f (x) = ln(2 x)展开成(x 1)的幕级数,并写出收敛域. 解f (x)二 l n 2 x)■级数"(-1) n 4心話收敛且是旳 (x+1)n申=ln(1x1)=' (-1)nn^ n +1收敛域为 (-2 , 0] x 3J3故25. 利用幕级数和函数求数项级数 S i (x)=—dx 3 —x =—31 n 3 —x —x+ 3ln3 oO zn 4A 的和.n 2所3ln (3-x) 3l n3 .S(x) S(x)二x 解: Q Q作级数、' n z 4 n A.n x(x <3 且 x^O ).limf n 1 =讪口=1nb j a n n —‘ n当x =1时,二n 发散;当X =「1n 壬 、(-1)n」n 发散. n 4 所以收敛域为 ② x x 0 S(x)dx 「0 时, n A. n x °° x dx i … T0n £ cOdx =二n A(1-x)2x (-1,1)29.设a n 0,且{n a n }为有界数列•证明:穷级数v a n 3/2收敛.n T证 因为an 0,且{ n an }为有界数列,因为正项级数x1 -x二 a n 3/2收敛.n dQ Q30.设级数、 n AnV 13/2n-I M . 0 s.t. 0 ::: na n 乞 M ,3/2 3/2 1 0 : a n M 丽,n 收敛,由比较审敛法得知Q QU n 2与「V n 2都收敛,证明级数n =1s(2) CO=11n =1 n -1=4、(U n V n )2也收敛.n £证Q Q 26.求幕级数、 nx n 壬(n 1)3n的和函数并写出收敛 0 —(U n ' V n )2<2 2 . 2 2un2 un v n v n2 un2vn ,区间. od解:设S(x) n nm(n +1)3nn 1x n#(n 1)31^(x^^=S (第nW3n £3cO其中S(x)二扣),Q Q因为、」U n 2n =1od与、n TV n 2都收敛,所以 ,逐项求导得: □0X(2U n 2 2V n 2)收敛,n =i因此,级数7 (u n V n )2收敛.n dQ Q证:级数二(a nn =4oO7 (a n -a n 」)收敛,可n证:1)若二:p nn :4 Q Q7 q n 都收敛,则由n =1Q Q31.设 a n 乞b n 乞c n (n =1,2,),且级数 a nn gQ Q、「C n 都收敛,试证明: n 4Q Q所以级数二U n 绝对收敛的充分必要条件是n =10"n级数—b n 收敛. n 4 "P n ,、: q n 都收敛.n 4n 435.设级数二(a n -a n 」)收敛,n 4Q Q又J b n 是收敛n -4一寺 MC n -a n (n =1,2,) 的正项级数,证明级数 J ang 绝对收敛.n 4od、(b nn =4-a n )收敛,Sn = a n - a 0,QO n QO'、' bn - v [a (b n - a n )] 收敛. n :4 n lim S n = S ,n「34.设 P n =Un 2U n ,q n -U n 厂,试证明因而lim a^ S ■ a o ,故数列^a^有界, n :.Q Q 级数二U n 绝对收敛的充分必要条件是 n =1Q Q q n 都收敛. n :! □a7 P nn Ta n 乞 M ( n =1,2,)由于正项 Q Q级数& b n 收敛,nToOzn 4U n oO八(P n Tn)可得' n 吕 COU n n z!收敛, Q Q所以级数^a n b nn £绝对收敛.oO 即V u n 绝对收敛;n TQ0 Q Q 2)若U n 绝对收敛,则 n U n oO ' U nn =1都收敛,因而 oO' P n n =100U+ 八U nn =1U n2□0 oOV —寸U n-q n n "n ■- U n 2都收敛;oO二(cn- a n )n =4-a n j )的前n 项和为由于级数a nb n 兰 Mb。