高数 下 期末考试试卷及答案
- 格式:doc
- 大小:648.22 KB
- 文档页数:6
大一下学期高数期末试题及答案一、选择题(每题2分,共10分)1. 极限的定义中,ε的值可以是()。
A. 任意正整数B. 任意正实数C. 固定正整数D. 只有12. 若函数f(x)在点x=a处连续,则以下哪项正确?()A. f(a)为f(x)在x=a处的极限值B. f(a)等于f(x)在x=a处的左极限值C. f(a)等于f(x)在x=a处的右极限值D. 所有上述选项都正确3. 以下级数中,收敛的是()。
A. 1 + 1/2 + 1/3 + 1/4 + ...B. (1 + 1/2) + (1/3 + 1/4) + (1/5 + 1/6) + ...C. 1 - 1/2 + 1/3 - 1/4 + 1/5 - ...D. 1 + 1/√2 + 1/√3 + 1/√4 + ...4. 函数y = x^2的导数为()。
A. 2xB. x^2C. 1/xD. -2x5. 微分方程dy/dx = x^2, y(0) = 0的解为()。
A. y = x^3B. y = -x^3C. y = 1/xD. y = -1/x二、填空题(每题2分,共10分)6. 极限lim(x→0) (sin(x)/x) = _______。
7. 函数f(x) = x^3 - 6x^2 + 11x - 6的单调递增区间为 _______。
8. 定积分∫(0→2) x^2 dx = _______。
9. 曲线y = x^3在点x=1处的切线斜率为 _______。
10. 微分方程d/dx(y^2) = 2xy,y(0) = 0的通解为 y = _______。
三、计算题(每题10分,共30分)11. 求函数f(x) = 2x^3 - 3x^2 - 12x + 5从x=-1到x=3的定积分值。
12. 求函数g(x) = e^(2x)的导数,并计算在区间[0,1]上的定积分值。
13. 求由曲线y = x^2, y = 2x - 1, x = 0所围成的面积。
高数期末考试题及答案解析一、选择题(每题2分,共10分)1. 函数 \( f(x) = \sin x + 2x^2 \) 在区间 \( [0,\frac{\pi}{2}] \) 上是:A. 单调递增B. 单调递减C. 先递增后递减D. 先递减后递增答案解析:首先求导数 \( f'(x) = \cos x + 4x \)。
在区间\( [0, \frac{\pi}{2}] \) 上,\( \cos x \) 始终大于等于0,而\( 4x \) 也是非负的,因此 \( f'(x) \geq 0 \),说明函数 \( f(x) \) 在该区间上单调递增。
所以答案是 A。
2. 若 \( \lim_{x \to 0} \frac{f(x)}{g(x)} = 0 \),则下列哪个选项是正确的?A. \( \lim_{x \to 0} f(x) = 0 \)B. \( \lim_{x \to 0} g(x) = 0 \)C. \( \lim_{x \to 0} f(x) = 1 \)D. \( \lim_{x \to 0} g(x) = 1 \)答案解析:根据极限的性质,如果 \( \lim_{x \to 0}\frac{f(x)}{g(x)} = 0 \),则 \( g(x) \) 不能趋向于0,否则分母为0,极限不存在。
同时,\( f(x) \) 趋向于0。
因此,选项 A 是正确的。
3. 曲线 \( y = x^3 - 3x \) 在点 \( (1, -2) \) 处的切线斜率是:A. 0B. 2C. -2D. 4答案解析:求导数 \( y' = 3x^2 - 3 \),将 \( x = 1 \) 代入得到 \( y' = 0 \)。
因此,曲线在点 \( (1, -2) \) 处的切线斜率为 0,答案是 A。
4. 若 \( \int_{0}^{1} x^2 dx = \frac{1}{3} \),则\( \int_{0}^{1} x^3 dx \) 的值是:A. \( \frac{1}{4} \)B. \( \frac{1}{3} \)C. \( \frac{1}{2} \)D. \( \frac{2}{3} \)答案解析:根据积分的基本公式,\( \int x^n dx =\frac{x^{n+1}}{n+1} + C \),所以 \( \int_{0}^{1} x^3 dx =\left[\frac{x^4}{4}\right]_{0}^{1} = \frac{1}{4} \)。
一、填空题(共21分 每小题3分)1.曲线⎩⎨⎧=+=012x y z 绕z 轴旋转一周生成的旋转曲面方程为122++=y x z .2.直线35422:1z y x L =--=-+与直线⎪⎩⎪⎨⎧+=+-==tz t y tx L 72313:2的夹角为2π. 3.设函数22232),,(z y x z y x f ++=,则=)1,1,1(grad f }6,4,2{.4.设级数∑∞=1n n u 收敛,则=∞→n n u lim 0.5.设周期函数在一个周期内的表达式为⎩⎨⎧≤<+≤<-=,0,10,0)(ππx x x x f 则它的傅里叶级数在π=x 处收敛于21π+.6.全微分方程0d d =+y x x y 的通解为 Cxy =.7.写出微分方程xe y y y =-'+''2的特解的形式xaxe y =*.二、解答题(共18分 每小题6分)1.求过点)1,2,1(-且垂直于直线⎩⎨⎧=+-+=-+-02032z y x z y x 的平面方程.解:设所求平面的法向量为n,则{}3,2,1111121=--=k j i n(4分)所求平面方程为 032=++z y x (6分) 2.将积分⎰⎰⎰Ωv z y x f d ),,(化为柱面坐标系下的三次积分,其中Ω是曲面)(222y x z +-=及22y x z +=所围成的区域.解: πθ20 ,10 ,2 :2≤≤≤≤-≤≤Ωr r z r (3分)⎰⎰⎰Ωv z y x f d ),,(⎰⎰⎰-=221020d ),sin ,cos (d d r rz z r r f r r θθθπ (6分)3.计算二重积分⎰⎰+-=Dy x y x eI d d )(22,其中闭区域.4:22≤+y x D解 ⎰⎰-=2020d d 2r r eI r πθ⎰⎰--=-20220)(d d 212r e r πθ⎰-⋅-=202d 221r e π)1(4--=e π 三、解答题(共35分 每题7分)1.设vue z =,而22y x u +=,xy v =,求z d .解:)2(232y y x x e y ue x e xv v z x u u z x z xy v v ++=⋅+⋅=∂∂⋅∂∂+∂∂⋅∂∂=∂∂ (3分))2(223xy x y e x ue y e yv v z y u u z y z xy v v ++=⋅+⋅=∂∂⋅∂∂+∂∂⋅∂∂=∂∂ (6分) y xy x y e x y y x x e z xy xy d )2(d )2(d 2332+++++= (7分)2.函数),(y x z z =由方程0=-xyz e z所确定,求yzx z ∂∂∂∂,.解:令xyz e z y x F z-=),,(, (2分)则 ,yz F x -= ,xz F y -= ,xy e F zz -= (5分)xye yzF F x z zz x -=-=∂∂, xy e xz F F y z z z y -=-=∂∂. (7分) 3.计算曲线积分⎰+-Ly x x y d d ,其中L 是在圆周22x x y -=上由)0,2(A 到点)0,0(O 的有向弧段.解:添加有向辅助线段OA ,有向辅助线段OA 与有向弧段OA 围成的闭区域记为D ,根据格林公式⎰⎰⎰⎰+--=+-OA DL y x x y y x y x x y d d d d 2d d (5分)ππ=-⋅=022 (7分)4.设曲线积分⎰++Lx y x f x y x f e d )(d )]([与路径无关,其中)(x f 是连续可微函数且满足1)0(=f ,求)(x f .解: 由xQ y P ∂∂=∂∂ 得 )()(x f x f e x'=+, 即xe xf x f =-')()( (3分)所以 )d ()(d d )1(C x e e e x f x x x+⋅=⎰⎰---⎰)(C x e x +=, (6分) 代入初始条件,解得1=C ,所以)1()(+=x e x f x . (7分)5.判断级数∑∞=12)!2()!(n n n 的敛散性.解: 因为 )!2()!()!22(])!1[(lim lim221n n n n u u n nn n ++=∞→+∞→ (3分) )12)(22()1(lim2+++=∞→n n n n 141<= (6分) 故该级数收敛. (7分)四、(7分)计算曲面积分⎰⎰∑++y x z x z y z y x d d d d d d ,其中∑是上半球面221z y x --=的上侧.解:添加辅助曲面1,0:221≤+=∑y x z ,取下侧,则在由1∑和∑所围成的空间闭区域Ω上应用高斯公式得⎰⎰∑++y x z x z y z y x d d d d d d ⎰⎰∑+∑++=1d d d d d d y x z x z y z y x⎰⎰∑++-1d d d d d d y x z x z y z y x (4分)0d 3-=⎰⎰⎰Ωv (6分)34213π⋅⋅=π2=. (7分)五、(6分)在半径为R 的圆的内接三角形中,求其面积为最大的三角形.解:设三角形各边所对圆心角分别为z y x ,,,则π2=++z y x ,且面积为)sin sin (sin 212z y x R A ++=, 令)2(sin sin sin πλ-+++++=z y x z y x F (3分)由 ⎪⎪⎩⎪⎪⎨⎧=++=+==+==+=πλλλ20cos 0cos 0cos z y x z F y F x F z yx (4分)得32π===z y x .此时,其边长为R R 3232=⋅. 由于实际问题存在最大值且驻点唯一,故当内接三角形为等边三角形时其面积最大. (6分)六、(8分)求级数∑∞=1n nnx 的收敛域,并求其和函数.解: 1)1(lim lim1=+==∞→+∞→n n a a R n n n n ,故收敛半径为1=R . (2分) 当1-=x 时,根据莱布尼茨判别法,级数收敛; 当1=x 时, 级数为调和级数,发散.故原级数的收敛域为)1,1[-. (5分)设和为)(x S ,即∑∞==1)(n nnx x S ,求导得∑∞=-='11)(n n x x S x-=11, (6分) 再积分得 ⎰'=xx x S x S 0d )()(x xxd 110⎰-=)1ln(x --=,)11(<≤-x (8分) 七、(5分)设函数)(x f 在正实轴上连续,且等式⎰⎰⎰+=yx x yt t f x t t f y t t f 111d )(d )(d )(对任何0,0>>y x 成立.如果3)1(=f ,求)(x f . 解:等式两边对y 求偏导得)(d )()(1y f x t t f y x f x x+=⎰ (2分)上式对任何0,0>>y x 仍成立.令1=y ,且因3)1(=f ,故有⎰+=xx t t f x xf 13d )()(. (3分)由于上式右边可导,所以左边也可导.两边求导,得3)()()(+=+'x f x f x f x 即)0(3)(>='x xx f .故通解为 C x x f +=ln 3)(.当1=x 时,3)1(=f ,故3=C . 因此所求的函数为 )1(l n 3)(+=x x f . (5分)八. (5分)已知x x e xe y 21+=,x x e xe y -+=2,x x x e e xe y --+=23是某二阶线性非齐次微分方程的三个解,求此微分方程. 解1:由线性微分方程解的结构定理知xe2与xe-是对应齐次方程的两个线性无关的解,xxe 是非齐次方程的一个特解,故可设此方程为 )(2x f y y y =-'-''将x xe y=代入上式,得x x xe e x f 2)(-=,因此所求的微分方程为x x xe e y y y 22-=-'-''解2:由线性微分方程解的结构定理知xe2与xe-是对应齐次方程的两个线性无关的解,xxe 是非齐次方程的一个特解,故x x x e C e C xe y -++=221是所求微分方程的通解,从而有 x x x x e C e C xe e y --++='2212,x x x x e C e C xe e y -+++=''22142消去21,C C ,得所求的微分方程为x x xe e y y y 22-=-'-''06高数B一、填空题(共30分 每小题3分)1.xoy 坐标面上的双曲线369422=-y x 绕x 轴旋转一周所生成的旋转曲面方程为36)(94222=+-z y x .2.设函数22),,(z yz x z y x f ++=,则=-)1,0,1(grad f )2,1,2(--.3.直线35422:1z y x L =--=-+与直线⎪⎩⎪⎨⎧+=+-==tz t y tx L 72313:2的夹角为2π. 4. 设Ω是曲面222y x z --=及22y x z +=所围成的区域积分,则⎰⎰⎰Ωv z y x f d ),,(化为柱面坐标系下的三次积分形式是⎰⎰⎰-22120d ),sin ,cos (d d r rz z r r f r r θθθπ.5. 设L 是圆周22x x y -=,取正向,则曲线积分=+-⎰Ly x x y d dπ2.6. 幂级数∑∞=--11)1(n nn n x 的收敛半径1=R .7.设级数∑∞=1n n u 收敛,则=∞→n n u lim 0.8.设周期函数在一个周期内的表达式为⎩⎨⎧≤<≤<-=,0,0,0)(ππx x x x f 则它的傅里叶级数在π=x 处收敛于2π.9.全微分方程0d d =+y y x x 的通解为Cxy =.10.写出微分方程xe y y y =-'+''2的特解的形式xaxe y =*.二、解答题(共42分 每小题6分)1.求过点)1,2,1(且垂直于直线⎩⎨⎧=+-+=-+-03202z y x z y x 的平面方程.解:设所求平面的法向量为n ,则{}3,2,1111121=--=kj i n(4分) 所求平面方程为 032=++z y x (2分)2.函数),(y x z z =由方程z y x z y x 32)32sin(-+=-+所确定,求xz ∂∂. 解:令z y x z y x z y x F 32)32sin(),,(+---+=, (2分)则,1)32cos(--+=z y x F x 3)32cos(3+-+-=z y x F z . (2分))32c o s (33)32c o s (1z y x z y x F F x z z x -+--+-=-=∂∂ . (2分) 3.计算⎰⎰Dxy σd ,其中D 是由直线2 ,1==x y 及x y =所围成的闭区域.解法一: 原式⎰⎰=211d ]d [xx y xy (2分)x y x x d ]2[2112⎰⋅=x xx d )22(213⎰-= 811]48[2124=-=x x . (4分)解法二: 原式⎰⎰=212d ]d [y y x xy 811]8[2142=-=y y .(同上类似分)4.计算⎰⎰--Dy x y x d d 122,其中D 是由122=+y x 即坐标轴所围成的在第一象限内的闭区域.解: 选极坐标系原式⎰⎰-=2012d 1πθr r r d (3分))1(1)21(22102r d r ---⋅=⎰π6π= (3分) 5.计算⎰Γ-+-z x y yz x z y d d 2d )(222,其中Γ是曲线,t x =,2t y =3t z =上由01=t 到12=t 的一段弧.解:原式⎰⋅-⋅+-=122564d ]322)[(t t t t t t t (3分)⎰-=146d )23(t t t 1057]5273[t t -=351= (3分)6.判断级数∑∞=-1212n n n 的敛散性. 解: 因为 n n n nn n n n u u 2122)12(lim lim11-+=+∞→+∞→ (3分) 121<=, (2分) 故该级数收敛. (1分) 7.求微分方程043=-'-''y y y 满足初始条件,00==x y 50-='=x y 的特解. 解:特征方程 0432=--r r ,特征根 1,421-==r r通解为 x xe C e C y -+=241, (3分)x xe C e C y --='2414,代入初始条件得 1,121=-=C C ,所以特解x x e e y -+-=4.(3分)三、(8分)计算曲面积分⎰⎰∑++y x z x z y z y x d d d d d d ,其中∑是上半球面221z y x --=的上侧.解:添加辅助曲面1,0:221≤+=∑y x z ,取下侧,则在由1∑和∑所围成的 空间闭区域Ω上应用高斯公式得⎰⎰∑++y x z x z y z y x d d d d d d ⎰⎰∑+∑++=1d d d d d d y x z x z y z y x ⎰⎰∑++-1d d d d d d y x z x z y z y x (4分)0d 3-=⎰⎰⎰Ωv (2分)34213π⋅⋅=π2=. (2分) 四、(8分)设曲线积分⎰-+Ly x x xf x x yf d ])(2[d )(2在右半平面)0(>x 内与路径无关,其中)(x f 可导,且满足1)1(=f ,求)(x f .解:由xQy P ∂∂=∂∂, 得x x f x x f x f 2)(2)(2)(-'+=,即1)(21)(=+'x f xx f , (3分) 所以)d ()(d 21d 21C xeex f x x x x +=⎰⎰-⎰)(2121C dx x x+=⎰-)32(2321C x x+=-, (3分)代入初始条件,解得31=C ,所以xx x f 3132)(+=. (2分)五、(6分)求函数xy y x y x f 3),(33-+=的极值. 解:⎪⎩⎪⎨⎧=-==-=033),(033),(22x y y x f y x y x f y x 得驻点 )1,1(),0,0( (3分),6),(x y x f xx = ,3),(-=y x f xy y y x f yy 6),(=在点)0,0(处,,092>=-AC B 故)0,0(f 非极值;在点)1,1(处,,0272<-=-AC B 故1)1,1(-=f 是极小值. (3分)六、(6分)试证:曲面)(xyxf z =上任一点处的切平面都过原点.证:因),()(xyf x y x y f x z '-=∂∂ )(1)(x y f x x y f x y z '=⋅'=∂∂ (3分) 则取任意点),,(0000z y x M ,有)(0000x y f x z =,得切平面方程为))(())](()([)(00000000000000y y x yf x x x y f x y x y f x y f x z -'+-'-=- 即 0)()]()([0000000=-'+'-z y x y f x x y f x y x y f 故切平面过原点. (3分)07A一、 填空题(每小题3分,共21分).1.设向量}5,1,{},1,3,2{-==λb a ,已知a 与b垂直,则=λ1-2.设3),(,2,3π===b a b a ,则=-b a 6-3.yoz 坐标面上的曲线12222=+bz a y 绕z 轴旋转一周生成的旋转曲面方程为122222=++bz a y x4.过点)0,4,2(且与直线⎩⎨⎧=--=-+023012z y z x 垂直的平面方程0832=+--z y x5.二元函数)ln(y x x z +=的定义域为}0,0,({>+≥=y x x y x D6.函数)ln(),,(222z y x z y x f ++=,则=)1,0,1(gradf }1,0,1{7.设xy e z=,则=dz )(xdy ydx e xy +8.设),(x y x xf u =,f 具有连续偏导数,则=∂∂x u21f xyxf f -+ 9.曲线32,,t z t y t x ===上点)1,1,1(处的切向量=T}3,2,1{10.交换积分顺序:⎰⎰=ydx y x f dy 010),(⎰⎰110),(xdyy x f dx11.闭区域Ω由曲面222y x z+=及平面1=z 所围成,将三重积分⎰⎰⎰Ωdv z y x f ),,(化为柱面坐标系下的三次积分为⎰⎰⎰πθθθ20101),sin ,cos (r dz z r r f rdr d12.设L 为下半圆周21x y--=,则=+⎰ds y xL )(22π13.设L 为取正向圆周922=+y x,则=-+-⎰dy x x dx y xy L )4()22(2π18-14.设周期函数在一个周期内的表达式为⎩⎨⎧<≤≤<-=ππx xx x f 000)(则它的傅里叶级数在π=x 处收敛于2π15.若0lim ≠∞→nn u ,则级数∑∞=1n n u 的敛散性是 发散16.级数∑∞=1!2n n n nn 的敛散性是 收敛17.设一般项级数∑∞=1n n u ,已知∑∞=1n n u 收敛,则∑∞=1n n u 的敛散性是 绝对收敛18.微分方程05)(23=+'-''xy y y x 是 2 阶微分方程19.微分方程044=+'+''y y y 的通解=y xx xe C e C 2221--+20.微分方程x xe y y y 223=+'-''的特解形式为xe b ax x 2)(+二、(共5分)设xy v y x u v u z ===,,ln 2,求yz x z ∂∂∂∂,解:]1)ln(2[1ln 2222+=⋅+⋅=∂∂⋅∂∂+∂∂⋅∂∂=∂∂xy y x y v u y v u x v v z x u u z x z]1)ln(2[)(ln 23222--=⋅+-⋅=∂∂⋅∂∂+∂∂⋅∂∂=∂∂xy yx x v u y x v u y v v z y u u z y z 三、(共5分) 设022=-++xyz z y x ,求xz∂∂ 解:令xyz z y x z y x F 22),,(-++=x y zyzxyz F x -=xyzxyxyz F z -=xyxyz xyz yz F F x zz x --=-=∂∂ 四、(共5分)计算⎰⎰⎰Ωxdxdydz ,其中Ω为三个坐标面及平面1=++z y x 所围成的闭区域解:y x z x y x --≤≤-≤≤≤≤Ω10,10,10:⎰⎰⎰⎰⎰⎰⎰⎰----Ω--==xyx xdy y x x dx xdz dy dx xdxdydz 1010101010)1(241)2(21)1(213102102=+-=-=⎰⎰dx x x x dx x x 五、(共6分)计算⎰-+-Lx x dy y e dx y y e )1cos ()sin (,其中L 为由点)0,(a A 到点)0,0(O 的上半圆周ax y x =+22解:添加有向辅助线段OA ,则有向辅助线段OA 和有向弧段OA 围成闭区域记为D ,根据格林 公式⎰-+-Lxx dy y e dx y y e )1cos ()sin ( ⎰⎰⎰-+--=DOAx x dy y e dx y y e dxdy )1cos ()sin (0)2(212-=a π 381a π= 六、(共6分)求幂级数∑∞=-13)3(n nn n x 的收敛域 解:对绝对值级数,用比值判敛法3313131lim 333)1(3lim lim 111-=-⋅+=-+-=∞→++∞→+∞→x x n n n x n x u u n n nn n n n n n 当1331<-x 时,即60<<x ,原级数绝对收敛 当1331>-x 时,即60><x x 或,原级数发散 当0=x 时,根据莱布尼兹判别法,级数∑∞=-1)1(n nn收敛当6=x时,级数∑∞=11n n发散,故收敛域为)6,0[七、(共5分) 计算dxdy z⎰⎰∑2,其中∑为球面1222=++z y x 在第一卦限的外侧解:∑在xoy 面的投影xy D :0,0,122≥≥≤+y x y xdxdy z ⎰⎰∑2dxdy y x xyD )1(22--+=⎰⎰rdr r d )1(20102⎰⎰-=πθ412⋅=π8π=八、(共7分)设0)1(=f ,求)(x f 使dy x f ydx x f x x )()](1[ln ++为某二元函数),(y x u 的全微分,并求),(y x u解:由x Q y P ∂∂=∂∂,得)()(1ln x f x f x x '=+,即x x f xx f ln )(1)(=-' 所以)ln 21()1ln ()ln ()(211C x x C dx x x x C ex ex f dxx dxx+=+⋅=+=⎰⎰⎰⎰---带入初始条件,解得0=C,所以x x x f 2ln 21)(=⎰++=),()0,0(22ln 21)ln 21(ln ),(y x xdy x ydx x x y x u⎰⎰+=xyxdy x 002ln 210x xy 2ln 21=07高数B一、(共60分 每题3分)1. 设向量}4 ,2 ,6{-=a ,}2 ,1 ,{-=λb ,已知a 与b平行,则=λ3-.2. yoz 坐标面上的曲线12222=-c z a y 绕z 轴旋转一周生成的旋转曲面方程为122222=-+bz a y x . 3.设3),(,1,2π===∧b a b a ,则a b -=3.4. 设一平面经过点)1,1,1(,且与直线⎩⎨⎧=+=--03042z y y x 垂直,则此平面方程为032=-+z y x .5. 二元函数12ln2+-=x y z 的定义域为{}012|),(2>+-x y y x .6. 设xye z =,则=z d )d d (y x x y e xy +.7. 函数)ln(),,(222z y x z y x f ++=,则=)1,0,1(grad f )1,0,1(.8.设(,)y u xf x x =,f 具有连续导数,则u x ∂=∂12yf xf f x''+-.9. 曲面1222=++z y x 在点)2,0,1(-处的法向量=n{}4,0,2-. 10. 交换积分顺序:⎰⎰=1d ),(d x y y x f x ⎰⎰101d ),(d yx y x f y .11.闭区域Ω由曲面22y x z +=及平面1=z 所围成,将三重积⎰⎰⎰Ωv z y x f d ),,(化为柱面坐标系下的三次积分为⎰⎰⎰11202d ),sin ,cos (d d rz z r r f r r θθθπ.12. 设∑是闭区域Ω的整个边界曲面的外侧,V 是Ω的体积,则 ⎰⎰∑++y x z x z y x y x d d d d d d =V 3.13. 设L 为上半圆周21x y -=,则=+⎰Ls y x d )(22π.14. 设周期函数在一个周期内的表达式为⎩⎨⎧≤<≤<-=,0,0,0)(ππx x x x f 则它的傅里叶级数在π=x 处收敛于2π.15. 若lim 0n n u →∞≠,则级数∑∞=1n n u 的敛散性是 发散 . 16. 级数∑∞=1!5n n nn n 的敛散性是 收敛 .17.级数∑∞=12sin n nn的敛散性是 收敛 . 18. 微分方程06)(542=+'+''y y y x 是 2 阶微分方程. 19. 微分方程02=+'-''y y y 的通解为)(21x C C e x +.20.微分方程x xe y y y 2365-=+'+''的特解的形式xe bx ax y 22*)(-+=.三、(共5分)函数),(y x z z =由方程04222=-++z z y x 所确定,求xz∂∂. 解:令=),,(z y x F z z y x 4222-++, (1分)则 ,2x F x = ,42-=z F z (2分)zxF F x z z x -=-=∂∂2 (2分) 五、(共6分)计算曲线积分⎰+--Ly y x x y x d )sin (d )2(22,其中L 为由点)0,2(A 到点)0,0(O 的上半圆周x y x 222=+.解:添加有向辅助线段,它与上半圆周围成的闭区域记为D ,根据格林公式⎰+--Ly y x x y x d )sin (d )2(22⎰⎰⎰+---+-=OADy y x x y x y x d )sin (d )2(d d )21(22 (3分)⎰⎰=Dy x d d ⎰-22d x x 3823212132-=-⋅⋅=ππ (3分)七、(共6设0)1(=f ,确定)(x f 使y x f x xyx f x d )(d )]([sin +-为某二元函数(,)u x y 的全微分.解: 由xQy P ∂∂=∂∂ 得 )()(sin x f x x f x '=-, 即 xxx f x x f s i n )(1)(=+' (2分) 所以 )d sin ()(d x 1d 1C xe xx ex f x x x+⋅=⎰⎰⎰-)d sin (ln ln C x e xx e xx +⋅=⎰- (2分) )cos (1C x x+-=, (1分) 代入初始条件,解得1cos =C ,所以)cos 1(cos 1)(x xx f -=. (1分) 八、(共6分) 计算⎰⎰∑y x z d d 2,其中∑是球面1222=++z y x 外侧在,0≥x 0≥y 的部分.解:⎰⎰∑y x z d d ⎰⎰∑=1d d y x z ⎰⎰∑+2d d y x (2分)⎰⎰--=xyD y x y x d d )1(22⎰⎰----xyD y x y x d )d 1()1(22 (2分) ⎰⎰--=xyD y x y x d )d 1(222r r r d )1(d 21220⋅-=⎰⎰πθ 4π=(2分)08高数A一、选择题(共24分 每小题3分)1.设{}1111,,p n m s =,{}2221,,p n m s =分别为直线1L ,2L 的方向向量,则1L 与2L 垂直的充要条件是 (A )(A )0212121=++p p n n m m (B )212121p p n n m m ==(C )1212121=++p p n n m m (D )1212121=++p pn n m m 2.Yoz 平面上曲线12+=y z 绕z 轴旋转一周生成的旋转曲面方程为 ( C )(A )12+=y z (B )22x y z +=(C )122++=x y z (D )x y z +=23.二元函数12ln2+-=x y z 的定义域为 (B )(A ){}02|),(2>-x y y x (B ){}012|),(2>+-x y y x (C ){}012|),(2≤+-x y y x (D ){}0,0|),(≥>y x y x4.交换积分顺序:1d (,)d yy f x y x =⎰⎰ ( A )(A )dy y x f dx x ⎰⎰110),((B )dx y x f dy y ⎰⎰110),((C )dx y x f dy y⎰⎰110),((D )dy y x f dx x⎰⎰110),(5.空间闭区域Ω由曲面1=r 所围成,则三重积分⎰⎰⎰Ωv d 2= ( C ) (A )2 (B )2π (C )38π (D )34π 6.函数),(y x z z =由方程04222=-++z z y x 所确定,则xz∂∂= ( D ) (A )zy -2 (B )y x-2 (C )zz-2 (D )zx-27.幂级数∑∞=13n n nn x 的收敛域是 ( C )(A )][3,3- (B )](3,0(C ) [)3,3- (D )()3,3-8.已知微分方程xe y y y =-'+''2的一个特解为x xe y =*,则它的通解是( B )(A )x xe x C x C ++221(B )x x x xe e C e C ++-221(C )x e x C x C ++221(D )x x x xe e C e C ++-21二、填空题(共15分 每小题3分)1.曲面z y x =+22在点)1,0,1(处的切平面的方程是012=--z x . 2.若lim 0n n u →∞≠,则级数∑∞=1n n u 的敛散性是 发散 . 3.级数∑∞=12cos n nn的敛散性是 绝对收敛 . 4.二元函数2221sin)(),(xy x y x f +=,当()()0,0,→y x 时的极限等于 0 。
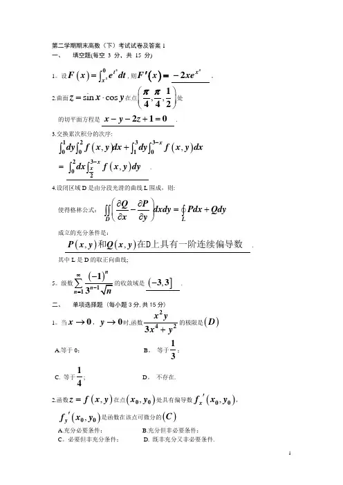
第二学期期末高数(下)考试试卷及答案1一、 填空题(每空 3 分,共 15 分) 1.设()=⎰22t xFx e dt ,则()F x '=-22x xe.2.曲面sin cos =⋅z x y 在点,,⎛⎫⎪⎝⎭1442ππ处的切平面方程是--+=210x y z .3.交换累次积分的次序:=(),-⎰⎰2302xxdx f x y dy.4.设闭区域D 是由分段光滑的曲线L 围成,则:使得格林公式: ⎛⎫∂∂-=+ ⎪∂∂⎝⎭⎰⎰⎰ÑD LQ P dxdy Pdx Qdy x y 成立的充分条件是:()(),,和在D上具有一阶连续偏导数P x y Q x y .其中L 是D 的取正向曲线;5.级数∞=-∑1nn 的收敛域是(],-33.二、 单项选择题 (每小题3分,共15分)1.当→0x ,→0y 时,函数+2423x yx y 的极限是()DA.等于0;B. 等于13;C. 等于14; D. 不存在.2.函数(),=zf x y 在点(),00x y 处具有偏导数(),'00x f x y ,(),'00y f x y 是函数在该点可微分的()CA.充分必要条件;B.充分但非必要条件;C.必要但非充分条件;D. 既非充分又非必要条件.3.设()cos sin =+x ze y x y ,则==10x y dz()=BA.e ;B. ()+e dx dy ;C. ()-+1edx dy ; D. ()+x e dx dy .4.若级数()∞=-∑11nn n a x 在=-1x 处收敛,则此级数在=2x处()AA.绝对收敛;B.条件收敛;C.发散;D.收敛性不确定.5.微分方程()'''-+=+3691x y y y x e 的特解*y 应设为()DA. 3xae ; B.()+3x ax b e ;C. ()+3x xax b e ; D. ()+23x x ax b e .三.(8分)设一平面通过点(),,-312,而且通过直线-+==43521x y z,求该平面方程. 解:()(),,,,,--312430QA B(),,∴=-142u u u rAB 平行该平面∴该平面的法向量()()(),,,,,,=⨯-=--5211428922rn∴所求的平面方程为:()()()----+=83912220x y z即:---=8922590x y z四.(8分)设(),=yz fxy e ,其中(),f u v 具有二阶连续偏导数,试求∂∂z x 和∂∂∂2zx y. 解:令=u xy ,=y v e五.(8分)计算对弧长的曲线积分⎰L其中L 是圆周+=222xy R 与直线,==00x y在第一象限所围区域的边界.解:=++123L L L L其中: 1L :(),+=≥≥22200xy R x y2L :()=≤≤00x y R3L :()=≤≤00y x R而Re ==⎰⎰1202RR L e Rdt ππ故:()Re =+-⎰212R R Le π六、(8分)计算对面积的曲面积分∑⎛⎫++ ⎪⎝⎭⎰⎰423z x y dS ,其中∑为平面++=1234x y z在第一卦限中的部分. 解:Q xy D :≤≤⎧⎪⎨≤≤-⎪⎩023032x y x=3-==⎰⎰323200x dx七.(8分)将函数()=++2143f x x x ,展开成x 的幂级数.解:()⎛⎫=-=⋅-⋅ ⎪+++⎝⎭+111111121321613Q f x xx x x , 而 ()∞=⋅=-+∑01111212n nn x x , (),-11 ()∞=-⋅=+∑01116313nn n n x x , (),-33 ()()∞+=⎛⎫∴=-+ ⎪⎝⎭∑10111123nnn n f x x , (),-11八.(8分)求微分方程:()()+-+-+=42322253330xxy y dx x y xy y dy 的通解.解:∂∂==-∂∂263Q P Qxy y y x,∴原方程为:通解为:++-=532231332x y x y y x C九.幂级数:()()!!!!=++++⋅⋅⋅++⋅⋅⋅246212462nx x x x y x n1.试写出()()'+y x y x 的和函数;(4分)2.利用第1问的结果求幂级数()!∞=∑202nn x n 的和函数.(8分)解:1、()()!!!-'=+++⋅⋅⋅++⋅⋅⋅-35213521n x x x y x x n (),-∞∞于是()()!!'+=++++⋅⋅⋅=23123x x x y x y x x e (),-∞∞ 2、令:()()!∞==∑202nn x S x n由1知:()()'+=x S x S x e 且满足:()=01S通解:()()--=+=+⎰12x x x xx Sx e C e e dx Ce e 由()=01S ,得:=12C ;故:()()-=+12xx S x e e十.设函数()f t 在(),+∞0上连续,且满足条件其中Ωt 是由曲线⎧=⎨=⎩2z ty x ,绕z 轴旋转一周而成的曲面与平面=zt (参数>0t )所围成的空间区域。
第二学期期末高数(下)考试试卷及答案1 一、 填空题(每空 3 分,共 15 分) 1。
设()=⎰22t xFx e dt ,则()F x '=-22x xe。
2.曲面sin cos =⋅z x y 在点,,⎛⎫⎪⎝⎭1442ππ处的切平面方程是--+=210x y z .3.交换累次积分的次序:()(),,-+⎰⎰⎰⎰12330010xdy f x y dx dy f x y dx=(),-⎰⎰2302xx dx f x y dy.4.设闭区域D 是由分段光滑的曲线L 围成,则:使得格林公式: ⎛⎫∂∂-=+ ⎪∂∂⎝⎭⎰⎰⎰D LQ P dxdy Pdx Qdy x y 成立的充分条件是:()(),,和在D上具有一阶连续偏导数P x y Q x y .其中L 是D 的取正向曲线;5。
级数∞=-∑1nn 的收敛域是(],-33.二、 单项选择题 (每小题3分,共15分)1。
当→0x ,→0y 时,函数+2423x yx y 的极限是()DA.等于0; B 。
等于13;C. 等于14; D 。
不存在.2.函数(),=zf x y 在点(),00x y 处具有偏导数(),'00x f x y ,(),'00y f x y 是函数在该点可微分的()CA.充分必要条件;B.充分但非必要条件; C 。
必要但非充分条件; D. 既非充分又非必要条件.3.设()cos sin =+x ze y x y ,则==10x y dz()=BA 。
e ;B 。
()+e dx dy ;C 。
()-+1e dx dy ; D. ()+x e dx dy .4。
若级数()∞=-∑11nn n a x 在=-1x 处收敛,则此级数在=2x处()AA 。
绝对收敛; B.条件收敛; C 。
发散; D.收敛性不确定。
5.微分方程()'''-+=+3691x y y y x e 的特解*y 应设为()DA. 3x ae ; B 。
高数下册期末考试和答案一、选择题(每题4分,共40分)1. 已知函数f(x)=x^3-3x+2,求f'(x)的值。
A. 3x^2-3B. x^2-3xC. 3x^2-3xD. x^3-3x^2答案:A2. 求极限lim(x→0) (sin(x)/x)的值。
A. 0B. 1C. 2D. -1答案:B3. 已知函数f(x)=e^x,求f'(x)的值。
A. e^xB. -e^xC. 0D. 1答案:A4. 求定积分∫(0,1) x^2 dx的值。
A. 1/3B. 1/2C. 1D. 2答案:A5. 已知函数f(x)=ln(x),求f'(x)的值。
A. 1/xC. xD. -x答案:A6. 求定积分∫(0,1) e^x dx的值。
A. e-1B. eC. 1D. 0答案:A7. 已知函数f(x)=x^2,求f''(x)的值。
A. 2xB. 2C. 0答案:B8. 求极限lim(x→∞) (1/x)的值。
A. 0B. 1C. ∞D. -∞答案:A9. 已知函数f(x)=x^3,求f'(x)的值。
A. 3x^2B. 3xC. x^2D. x^3答案:A10. 求定积分∫(0,1) 1/x dx的值。
A. ln(1)-ln(0)B. ln(1)-ln(1)C. ln(2)-ln(1)D. ln(1)-ln(2)答案:C二、填空题(每题5分,共30分)11. 已知函数f(x)=x^2-4x+3,求f'(x)的值。
______答案:2x-412. 求极限lim(x→0) (1-cos(x))/x的值。
______答案:013. 已知函数f(x)=x^4-6x^2+8,求f'(x)的值。
______答案:4x^3-12x14. 求定积分∫(0,1) x^3 dx的值。
______答案:1/415. 已知函数f(x)=e^(-x),求f'(x)的值。
高等数学(下册)考试试卷(一)一、填空题(每小题3分,共计24分)1、 z =)0()(log 22>+a y x a 的定义域为D= 。
2、二重积分⎰⎰≤++1||||22)ln(y x dxdy y x 的符号为 。
3、由曲线x y ln =及直线1+=+e y x ,1=y 所围图形的面积用二重积分表示为 ,其值为 。
4、设曲线L 的参数方程表示为),()()(βαψϕ≤≤⎩⎨⎧==x t y t x 则弧长元素=ds 。
5、设曲面∑为922=+y x 介于0=z 及3=z 间的部分的外侧,则=++⎰⎰∑ds y x )122( 。
6、微分方程xyx y dx dy tan +=的通解为 。
7、方程04)4(=-y y 的通解为 。
8、级数∑∞=+1)1(1n n n 的和为 。
二、选择题(每小题2分,共计16分)1、二元函数),(y x f z =在),(00y x 处可微的充分条件是( ) (A )),(y x f 在),(00y x 处连续;(B )),(y x f x ',),(y x f y '在),(00y x 的某邻域内存在;(C ) y y x f x y x f z y x ∆'-∆'-∆),(),(0000当0)()(22→∆+∆y x 时,是无穷小;(D )0)()(),(),(lim 2200000=∆+∆∆'-∆'-∆→∆→∆y x yy x f x y x f z y x y x 。
2、设),()(x y xf y x yf u +=其中f 具有二阶连续导数,则2222yuy x u x ∂∂+∂∂等于( )(A )y x +; (B )x ; (C)y ; (D)0 。
3、设Ω:,0,1222≥≤++z z y x 则三重积分⎰⎰⎰Ω=zdV I 等于( )(A )4⎰⎰⎰202013cos sin ππϕϕϕθdr r d d ;(B )⎰⎰⎰2012sin ππϕϕθdr r d d ;(C )⎰⎰⎰ππϕϕϕθ20213cos sin dr r d d ;(D )⎰⎰⎰ππϕϕϕθ2013cos sin dr r d d 。
高等数学(同济)下册期末考试题及答案(5套)高等数学(下册)考试试卷(一)一、填空题(每小题3分,共计24分)1、z=log(a,(x+y))的定义域为D={(x,y)|x+y>0}。
2、二重积分22ln(x+y)dxdy的符号为负号。
3、由曲线y=lnx及直线x+y=e+1,y=1所围图形的面积用二重积分表示为∬(x+y-e-1)dxdy,其值为1/2.4、设曲线L的参数方程表示为{x=φ(t),y=ψ(t)}(α≤t≤β),则弧长元素ds=sqrt(φ'(t)^2+ψ'(t)^2)dt。
5、设曲面∑为x+y=9介于z=0及z=3间的部分的外侧,则∬(x+y+1)ds=27√2.6、微分方程y'=ky(1-y)的通解为y=Ce^(kx)/(1+Ce^(kx)),其中C为任意常数。
7、方程y(4)d^4y/dx^4+tan(x)y'''=0的通解为y=Acos(x)+Bsin(x)+Ccos(x)e^x+Dsin(x)e^x,其中A、B、C、D为任意常数。
8、级数∑n(n+1)/2的和为S=1/2+2/3+3/4+。
+n(n+1)/(n+1)(n+2)=n/(n+2),n≥1.二、选择题(每小题2分,共计16分)1、二元函数z=f(x,y)在(x,y)处可微的充分条件是(B)f_x'(x,y),f_y'(x,y)在(x,y)的某邻域内存在。
2、设u=yf(x)+xf(y),其中f具有二阶连续导数,则x^2+y^2等于(B)x。
3、设Ω:x+y+z≤1,z≥0,则三重积分I=∭Ω2z dV等于(C)∫0^π/2∫0^1-rsinθ∫0^1-r sinθ-zrdrdφdθ。
4、球面x^2+y^2+z^2=4a^2与柱面x^2+y^2=2ax所围成的立体体积V=(A)4∫0^π/4∫0^2acosθ∫0^4a-rsinθ rdrdφdθ。
高数期末考试题及答案选择一、选择题(每题2分,共20分)1. 函数 \( f(x) = x^2 \) 在 \( x = 0 \) 处的导数是:A. 0B. 1C. 2D. 4答案: A2. 定积分 \( \int_{0}^{1} x^2 dx \) 的值是:A. \( \frac{1}{3} \)B. \( \frac{1}{2} \)C. \( \frac{2}{3} \)D. \( \frac{3}{4} \)答案: A3. 若 \( \lim_{x \to 0} \frac{f(x)}{g(x)} \) 存在,则\( \lim_{x \to 0} f(x) \) 与 \( \lim_{x \to 0} g(x) \) 必须:A. 都存在B. 都不存在C. 至少有一个存在D. 至少有一个不存在答案: D4. 函数 \( y = \sin(x) \) 的周期是:A. \( 2\pi \)B. \( \pi \)C. \( \frac{\pi}{2} \)D. \( \frac{1}{2} \)答案: A5. 根据泰勒公式,函数 \( e^x \) 在 \( x = 0 \) 处的泰勒展开式为:A. \( 1 + x \)B. \( 1 + x + \frac{x^2}{2!} + \frac{x^3}{3!} + \cdots \)C. \( 1 - x + \frac{x^2}{2!} - \frac{x^3}{3!} + \cdots \)D. \( 1 + x - \frac{x^2}{2!} + \frac{x^3}{3!} - \cdots \)答案: B6. 级数 \( \sum_{n=1}^{\infty} \frac{1}{n^2} \) 收敛于:A. \( \frac{1}{2} \)B. \( \frac{\pi^2}{6} \)C. \( \frac{e}{2} \)D. \( \frac{1}{e} \)答案: B7. 若 \( \lim_{x \to \infty} f(x) = L \),则函数 \( f(x) \) 必须:A. 在 \( x \) 足够大时,值接近 \( L \)B. 在 \( x \) 足够大时,值等于 \( L \)C. 在 \( x \) 足够大时,值小于 \( L \)D. 在 \( x \) 足够大时,值大于 \( L \)答案: A8. 函数 \( y = x^3 - 3x^2 + 2x \) 的拐点是:A. \( x = 0 \)B. \( x = 1 \)C. \( x = 2 \)D. \( x = 3 \)答案: B9. 若 \( f(x) \) 在区间 \( I \) 上连续,则 \( \int_{a}^{b}f(x) dx \) 存在,其中 \( a, b \) 是区间 \( I \) 上的任意两点:A. 正确B. 错误答案: A10. 函数 \( y = \ln(x) \) 的定义域是:A. \( x > 0 \)B. \( x < 0 \)C. \( x \geq 0 \)D. \( x \leq 0 \)答案: A二、填空题(每题2分,共20分)11. 函数 \( f(x) = \frac{1}{x} \) 在 \( x = 1 \) 处的导数是_______。
高数a2下期末考试题及答案一、选择题(每题5分,共20分)1. 若函数f(x)在区间(a, b)上可导,则下列说法正确的是:A. f(x)在(a, b)上一定连续B. f(x)在(a, b)上一定单调C. f(x)在(a, b)上一定有极值D. f(x)在(a, b)上一定有最大值和最小值答案:A2. 若函数f(x)=x^3+3x^2+3x+1,则f'(x)为:A. 3x^2+6x+3B. x^3+3x^2+3C. 3x^2+6xD. 3x^2+6x+3x+1答案:A3. 设函数f(x)=ln(x+√(1+x^2)),则f'(x)为:A. 1/(1+x^2)B. 1/(1+x+√(1+x^2))C. 1/(1+√(1+x^2))D. 1/(1+x+√(1+x^2))^2答案:B4. 若函数f(x)=x^2-4x+c,且f(1)=-3,则c的值为:A. 0B. 1C. -2D. 2答案:B二、填空题(每题5分,共20分)1. 若函数f(x)=x^3-3x+2,则f''(x)=_________。
答案:6x-32. 设函数f(x)=e^x+ln(x+1),则f'(x)=_________。
答案:e^x/(x+1)3. 若函数f(x)=x^2-6x+10,则f(x)的最小值为_________。
答案:-24. 设函数f(x)=x^3-3x^2+2x-1,则f(0)=_________。
答案:-1三、计算题(每题10分,共30分)1. 求函数f(x)=x^3-3x+2的一阶导数和二阶导数。
答案:f'(x)=3x^2-3,f''(x)=6x-32. 求函数f(x)=e^x*sin(x)的导数。
答案:f'(x)=e^x*sin(x)+e^x*cos(x)3. 求函数f(x)=ln(x+√(1+x^2))的导数。
答案:f'(x)=1/(1+x+√(1+x^2))四、解答题(每题15分,共15分)1. 已知函数f(x)=x^3-6x^2+11x-6,求其在x=1处的切线方程。
2020-2021《高等数学》(下)期末课程考试试卷适用专业:应化 考试日期:年 月 试卷类型:闭卷 考试时间:120分钟 试卷总分:100分一. 填空题:(共5小题,每小题3分,共15分)1.设()f x 是周期为2的周期函数,它在区间[1,1]-的定义为22,10(),01x f x x x -<≤⎧=⎨<≤⎩,则()f x 的傅里叶级数在2x =收敛于 1 . 2.设y zx =,则x z =1y yx - ; y z =ln y x x3.改变积分顺序1(,)dy f x y dx ⎰= 211(,)xdx f x y dy ⎰⎰ .4.将函数sin xx 展开成x 的幂级数为 ()()20121nn n x n ∞=-+∑5.设L 为圆周224x y +=,则22Lx y ds +⎰8π .二.单项选择. (共5小题,每小题3分,共15分)1.设D 为圆域: 224x y +≤,曲面1D 是D 在第一象限中的部分.则有( D ). (A) 14DD xd xd σσ=⎰⎰⎰⎰ (B) 14DD yd yd σσ=⎰⎰⎰⎰(C) 14DD xyd xyd σσ=⎰⎰⎰⎰ (D) 122224DD x y d x y d σσ=⎰⎰⎰⎰.2.lim 0n n u →∞≠是级数1nn u∞=∑发散的( A )(A)充分条件 (B)必要条件 (C)充要条件 (D)无关条件 3.设∑为曲面3z = ()221x y +≤则下面积分中不为0的是( D ) (A)xyzdydz ∑⎰⎰ (B)xyzdxdy ∑⎰⎰ (C)xyzdzdx ∑⎰⎰ (D)zdS ∑⎰⎰4.设123,,y y y 是常系数线性非齐次方程()ay by cy f x '''++=的三个线性无关的解,则0ay by cy '''++=的通解为( C ).(A)1122c y c y + (B)1223c y c y + (C) ()1122123c y c y c c y +-+ (D) 112233c y c y c y ++5.设∑为曲面)0(222>=+R R y x 上的10≤≤z 部分,则⎰⎰∑++dS y x ey x )sin(2222=( D ).(A) 0 (B)2sin Re R R π (C) R π4 (D)2sin Re 2R R π 三、解下列各题。
高数下册期末考试题及答案一、选择题(每题2分,共10分)1. 函数 \( f(x) = \ln(x^2 + 1) \) 的导数是:A. \( 2x/(x^2 + 1) \)B. \( 2x/x^2 + 1 \)C. \( 2x/(x^2 - 1) \)D. \( 2x/(x^2 + 1)^2 \)答案:A2. 已知 \( e^x \) 的泰勒展开式为 \( 1 + x + x^2/2! + x^3/3! + \cdots \),那么 \( e^{-x} \) 的泰勒展开式是:A. \( 1 - x + x^2/2! - x^3/3! + \cdots \)B. \( 1 + x - x^2/2! + x^3/3! - \cdots \)C. \( 1 - x - x^2/2! + x^3/3! - \cdots \)D. \( 1 + x + x^2/2! - x^3/3! + \cdots \)答案:A3. 若 \( \int_0^1 x^2 dx = \frac{1}{3} \),则 \( \int_0^1 x^3 dx \) 的值是:A. \( \frac{1}{4} \)B. \( \frac{1}{5} \)C. \( \frac{1}{6} \)D. \( \frac{1}{7} \)答案:A4. 曲线 \( y = x^3 - 3x^2 + 2x \) 在 \( x = 2 \) 处的切线斜率是:A. 0B. 1C. 2D. -1答案:B5. 若 \( \lim_{x \to 0} \frac{\sin x}{x} = 1 \),则\( \lim_{x \to 0} \frac{\sin 2x}{x} \) 等于:A. 1B. 2C. 4D. 8答案:B二、填空题(每题3分,共15分)6. 若 \( f(x) = x^3 - 2x^2 + x \),则 \( f'(x) = \) ________。
高数下期末考试题及答案一、选择题(每题2分,共20分)1. 函数f(x) = 3x^2 + 2x - 5在x=1处的导数是:A. 8B. 6C. 4D. 2答案:B2. 若曲线y = x^3 - 2x^2 + x - 6在点(1, -6)处的切线斜率为-1,则该曲线在该点的切线方程是:A. y = -x - 5B. y = x - 5C. y = -x + 5D. y = x + 5答案:A3. 定积分∫[0,1] x^2 dx的值是:A. 1/6B. 1/3C. 1/2D. 2/3答案:B4. 函数f(x) = sin(x) + cos(x)的原函数F(x)是:A. -cos(x) + sin(x) + CB. -sin(x) + cos(x) + CC. sin(x) - cos(x) + CD. cos(x) + sin(x) + C答案:D5. 微分方程dy/dx + y = x^2的解是:A. y = (1/2)x^3 + CB. y = x^3 + CC. y = (1/3)x^3 + CD. y = x^2 + C答案:C6. 函数f(x) = e^x - x^2的极小值点是:A. x = 0B. x = 1C. x = -1D. x = 2答案:A7. 曲线y = ln(x)在x=1处的切线斜率是:A. 0B. 1C. -1D. 2答案:B8. 定积分∫[1,e] e^x dx的值是:A. e^e - eB. e - 1C. e^e - 1D. e^e答案:C9. 函数f(x) = x^3 - 6x^2 + 11x - 6的单调增区间是:A. (-∞, 1)B. (1, 2)C. (2, +∞)D. (-∞, 2)答案:C10. 函数f(x) = x^4 - 4x^3 + 6x^2 - 4x + 1的拐点是:A. x = 0B. x = 1C. x = 2D. x = 3答案:B二、填空题(每题2分,共20分)1. 若f(x) = x^3 - 5x^2 + 4x + 6,则f'(2) = ______。
高等数学期末考试试卷1一、单项选择题(6×3分)1、设直线,平面,那么与之间的夹角为( )A.0B.C.D.2、二元函数在点处的两个偏导数都存在是在点处可微的()A.充分条件B.充分必要条件C.必要条件D.既非充分又非必要条件3、设函数,则等于()A. B.C. D.4、二次积分交换次序后为()A. B.C. D.5、若幂级数在处收敛,则该级数在处()A.绝对收敛B.条件收敛C.发散 C.不能确定其敛散性6、设是方程的一个解,若,则在处()A.某邻域内单调减少B.取极小值C.某邻域内单调增加D.取极大值二、填空题(7×3分)1、设=(4,-3,4),=(2,2,1),则向量在上的投影=2、设,,那么3、D 为,时,4、设是球面,则=5、函数展开为的幂级数为6、=7、为通解的二阶线性常系数齐次微分方程为三、计算题(4×7分)1、设,其中具有二阶导数,且其一阶导数不为 1,求。
2、求过曲线上一点(1,2,0)的切平面方程。
3、计算二重积分,其中4、求曲线积分,其中是沿曲线由点(0,1)到点(2,1)的弧段。
25、求级数的和。
四、综合题(10分)曲线上任一点的切线在轴上的截距与法线在轴上的截距之比为3,求此曲线方程。
五、证明题 (6分)设收敛,证明级数绝对收敛。
一、单项选择题(6×3分)1、 A2、 C3、 C4、 B5、 A6、 D二、填空题(7×3分)1、22、3、 4 、5、6、0 7、三、计算题(5×9分)1、解:令则,故2、解:令则所以切平面的法向量为:切平面方程为:3、解:===4、解:令,则当,即在x 轴上方时,线积分与路径无关,选择由(0,1)到(2,1)则===5、解:令则,即令,则有=四、综合题(10分)4解:设曲线上任一点为,则过的切线方程为:在轴上的截距为过的法线方程为:在轴上的截距为依题意有由的任意性,即,得到这是一阶齐次微分方程,变形为: (1)令则,代入(1)得:分离变量得:解得:即为所求的曲线方程。
高数下期末考试题及答案一、选择题(每题2分,共20分)1. 函数f(x)=x^2-4x+3在区间[0, 6]上的值域是:A. [2, 9]B. [3, 9]C. [1, 9]D. [2, 12]答案:C2. 若f(x)=3x^2+2x-5,求f(-1)的值:A. -12B. -8C. -4D. -2答案:A3. 曲线y=x^3-6x^2+9x在点(1, 4)处的切线斜率是:A. 0B. 1C. 2D. 3答案:D4. 根据定积分的性质,∫[0, 1] x dx等于:A. 0B. 1/2C. 1D. 2答案:B5. 若函数f(x)在区间[a, b]上连续,且∫[a, b] f(x) dx = 5,那么∫[a, b] 2f(x) dx等于:A. 10B. 5C. 2D. 1答案:A6. 函数y=sin(x)在区间[0, π]上的原函数是:A. -cos(x) + CB. cos(x) + CC. sin(x) + CD. 2sin(x) + C答案:A7. 若∫[0, 1] f(x) dx = 3,且f(x) = 6x - 2,求∫[0, 1] x(6x -2) dx的值:A. 7B. 8C. 9D. 10答案:C8. 曲线y=x^2与直线y=4x在点(2, 4)处的切线相同,求该点处的切线方程:A. y = 4x - 4B. y = 8x - 12C. y = 4xD. y = x^2答案:A9. 若f(x)=x^3-3x^2+2x,求f'(x)的值:A. 3x^2-6x+2B. x^2-6x+2C. 3x^2-9xD. x^3-3x答案:A10. 若f(x)=e^x,求f'(x)的值:A. e^xB. x*e^xC. e^-xD. 1答案:A二、填空题(每题2分,共20分)11. 若f(x)=x^2-4x+3,则f'(x)=________。
答案:2x-412. 曲线y=x^3-2x^2+x在x=1处的导数为________。
2017学年春季学期《高等数学Ⅰ(二)》期末考试试卷(A )注意:1、本试卷共 3 页;2、考试时间110分钟;3、姓名、学号必须写在指定地方一、单项选择题(8个小题,每小题2分,共16分)将每题的正确答案的代号A 、B 、C 或D 填入下表中.1.已知a 与b都是非零向量,且满足-=+a b a b ,则必有( ). (A)-=0a b (B)+=0a b (C)0⋅=a b (D)⨯=0a b 2.极限2222001lim()sinx y x y x y →→+=+( ).(A) 0(B) 1 (C) 2 (D)不存在 3.下列函数中,d ff =∆的是( ).(A )(,)f x y xy = (B )00(,),f x y x y c c =++为实数(C )(,)f x y =(D )(,)e x y f x y +=4.函数(,)(3)f x y xy x y =--,原点(0,0)是(,)f x y 的( ).(A )驻点与极值点 (B )驻点,非极值点 (C )极值点,非驻点 (D )非驻点,非极值点 5.设平面区域22:(1)(1)2D x y -+-≤,若1d 4D x y I σ+=⎰⎰,2DI σ=,3DI σ=,则有( ). (A )123I I I << (B )123I I I >> (C )213I I I << (D )312I I I <<6.设椭圆L :13422=+y x 的周长为l ,则22(34)d L x y s +=⎰( ). (A) l (B) l 3 (C) l 4 (D) l 127.设级数∑∞=1n na为交错级数,0()n a n →→+∞,则( ).(A)该级数收敛 (B)该级数发散(C)该级数可能收敛也可能发散 (D)该级数绝对收敛 8.下列四个命题中,正确的命题是( ). (A )若级数1nn a∞=∑发散,则级数21nn a∞=∑也发散 (B )若级数21nn a∞=∑发散,则级数1nn a ∞=∑也发散 (C )若级数21nn a∞=∑收敛,则级数1nn a∞=∑也收敛(D )若级数1||nn a∞=∑收敛,则级数21n n a ∞=∑也收敛二、填空题(7个小题,每小题2分,共14分).1.直线3426030x y z x y z a -+-=⎧⎨+-+=⎩与z 轴相交,则常数a 为 .2.设(,)ln(),y f x y x x=+则(1,0)y f '=______ _____.3.函数(,)f x y x y =+在(3,4)处沿增加最快的方向的方向导数为 .4.设22:2D x y x +≤,二重积分()d Dx y σ-⎰⎰= .5.设()f x 是连续函数,22{(,,)|09}x y z z x y Ω=≤≤--,22()d f x y v Ω+⎰⎰⎰在柱面坐标系下的三次积分为 .6.幂级数11(1)!nn n x n ∞-=-∑的收敛域是 . 7.将函数21,0()1,0x f x x x ππ--<≤⎧⎪=⎨+<≤⎪⎩以2π为周期延拓后,其傅里叶级数在点x π=处收敛于 .三峡大学 试卷纸 教学班号 序号 学号 姓名…………………….……答 题 不 要 超 过 密 封 线………….………………………………三、综合解答题一(5个小题,每小题7分,共35分,解答题应写出文字说明、证明过程或演算步骤) 1.设(,)x u xf x y =,其中f 有连续的一阶偏导数,求ux∂∂,u y ∂∂.解:2.求曲面e 3z z xy ++=在点(2,1,0)处的切平面方程及法线方程. 解:3.交换积分次序,并计算二次积分0sin d d xyx y yππ⎰⎰. 解:4.设Ω是由曲面1,,===x x y xy z 及0=z 所围成的空间闭区域,求23d d d I xy z x y z Ω=⎰⎰⎰.解:5.求幂级数11n n nx∞-=∑的和函数()S x ,并求级数12nn n ∞=∑的和. 解:三峡大学 试卷纸 教学班号 序号 学号 姓名…………………….……答 题 不 要 超 过 密 封 线………….………………………………四、综合解答题二(5个小题,每小题7分,共35分,解答题应写出文字说明、证明过程或演算步骤)1.从斜边长为1的一切直角三角形中,求有最大周长的直角三角形. 解2.计算积分22()d Lx y s +⎰,其中L 为圆周22x y ax += (0a >).解:3.利用格林公式,计算曲线积分22()d (2)d LI xy x x xy y =+++⎰,其中L 是由抛物线2y x =和2x y =所围成的区域D 的正向边界曲线.4. 计算d x S ∑⎰⎰,∑为平面1=++z y x 在第一卦限部分.解:5.利用高斯公式计算对坐标的曲面积分d d d d d d x y y z z x ,其中∑为圆锥面222z x y =+介于平面0z =及1z =之间的部分的下侧. 解:三峡大学 试卷纸 教学班号 序号 学号 姓名…………………….……答 题 不 要 超 过 密 封 线………….………………………………xO 2y x =2x y =y D2017学年春季学期《高等数学Ⅰ(二)》期末考试试卷(A)答案及评分标准一、单项选择题(8个小题,每小题2分,共16分)1.已知a 与b 都是非零向量,且满足-=+a b a b ,则必有(D ) (A)-=0a b ; (B)+=0a b ; (C)0⋅=a b ; (D)⨯=0a b .2.极限2222001lim()sin x y x y x y →→+=+ ( A ) (A) 0; (B) 1; (C) 2; (D)不存在. 3.下列函数中,d f f =∆的是( B );(A ) (,)f x y xy =; (B )00(,),f x y x y c c =++为实数;(C )(,)f x y =(D )(,)e x yf x y +=.4.函数(,))f x y y ,原点(0,0)是(,)f x y 的( B ).(A )驻点与极值点; (B )驻点,非极值点; (C )极值点,非驻点; (D )非驻点,非极值点. 5.设平面区域D :22(1)(1)2x y -+-≤,若1d 4D x y I σ+=⎰⎰,2DI σ=,3DI σ=,则有( A )(A )123I I I <<; (B )123I I I >>; (C )213I I I <<; (D )312I I I <<.6.设椭圆L :13422=+y x 的周长为l ,则22(34)d L x y s +=⎰(D ) (A) l ; (B) l 3; (C) l 4; (D) l 12.7.设级数∑∞=1n na为交错级数,0()n a n →→+∞,则( C )(A)该级数收敛; (B)该级数发散;(C)该级数可能收敛也可能发散; (D) 该级数绝对收敛. 8.下列四个命题中,正确的命题是( D ) (A )若级数1nn a∞=∑发散,则级数21nn a∞=∑也发散;(B )若级数21nn a∞=∑发散,则级数1nn a∞=∑也发散; (C )若级数21nn a∞=∑收敛,则级数1nn a∞=∑也收敛;(D )若级数1||nn a∞=∑收敛,则级数21n n a ∞=∑也收敛.二、填空题(7个小题,每小题2分,共14分).1.直线3426030x y z x y z a -+-=⎧⎨+-+=⎩与z 轴相交,则常数a 为 3 。
2.设(,)ln(),y f x y x x=+则(1,0)y f '=_______1_____3.函数(,)f x y x y =+在(3,4)4.设22:2D x y x +≤,二重积分()d Dx y σ-⎰⎰=π .5.设()f x 是连续函数,22{(,,)|09}x y z z x y Ω=≤≤--,22()d f x y v Ω+⎰⎰⎰在柱面坐标系下的三次积分为 223920d d ()d f z πρθρρρ-⎰⎰⎰6.幂级数11(1)!nn n x n ∞-=-∑的收敛域是 (,)-∞+∞ . 7.函数21,0()1,0x f x xx ππ--<≤⎧⎪=⎨+<≤⎪⎩,以2π为周期延拓后,其傅里叶级数在点x π=处收敛于22π .三、综合解答题一(5个小题,每小题7分,共35分.解答题应写出文字说明、证明过程或演算步骤)1.设(,)x u xf x y =,其中f 有连续的一阶偏导数,求ux∂∂,u y ∂∂.解:12u x f xf f x y ∂''=++∂ ………………4分222u x f y y∂'=-∂ . ………………7分 2.求曲面3z e z xy ++=在点(2,1,0)处的切平面方程及法线方程. 解:令(),,e 3z F x y z z xy =++-,………………2分(,,)(,,e 1)z x y z F F F y x n ==+,(2,1,0)(1,2,2)n= ,………………4分所以在点(2,1,0)处的切平面方程为 (2)2(1)20x y z -+-+=,即 2240x y z ++-=;………………6分 法线方程为21122x y z--==. ………………7分 3.交换积分次序,并计算二次积分0sin d d xyx y yππ⎰⎰; 解:0sin d d xyx y y ππ⎰⎰=00sin d d y y y x yπ⎰⎰ ………………4分=0sin d 2y y π=⎰………………7分4.设Ω是由曲面1,,===x x y xy z 及0=z 所围成的空间区域,求23d d d I xy z x y z Ω=⎰⎰⎰ 解:注意到曲面z xy =经过x 轴、y 轴,………………2分Ω={(,,):0,0,01}x y z z xy y x x ≤≤≤≤≤≤ ………………4分故12323000d d d d d d x xy I xy z x y z x y xy z z Ω==⎰⎰⎰⎰⎰⎰=3641. ………………7分5.求幂级数11n n nx∞-=∑的和函数()S x ,并求级数12n n n ∞=∑的和.解:11()n n S x nx∞-==∑, (0)1S =,由已知的马克劳林展式:11,||11n n x x x∞==<-∑,………………2分有11()()(1)1nn S x x x ∞===-''-∑=21(1)x -,||1x <,………………5分 12nn n ∞=∑=11122n n n∞-=∑=11()22S =2 ………………7分四、综合解答题二(5个小题,每小题7分,共35分.解答题应写出文字说明、证明过程或演算步骤)1.从斜边长为1的一切直角三角形中,求有最大周长的直角三角形.解 设两个直角边的边长分别为x ,y ,则221x y +=,周长1C x y =++, 需求1C x y =++在约束条件221x y +=下的极值问题. ………………2分设拉格朗日函数22(,,)1(1)L x y x y x y λλ=++++-,………………4分令22120,120,1,x y F x F y x y λλ=+=⎧⎪=+=⎨⎪+=⎩解方程组得x y ==为唯一驻点, ………………6分又最大周长一定存在,故当2x y ==时有最大周长. ………………7分 2.计算积分22()d Lx y s +⎰,其中L 为圆周22x y ax += (0a >).解:L 的极坐标方程为 cos a ρθ=,22ππθ-≤≤;………………2分则d d s a θθ==,………………4分所以3222322222()d d cos d 2La x y s a a πππππρθθθ--+===⎰⎰⎰.………………7分或解:L 的形心(,)(,0)2ax y =,L 的周长a π,22()d Lx y s +⎰=d Lax s ⎰=ax a π=32a π3.利用格林公式,计算曲线积分22()d (2)d LI x y x x xy y =+++⎰,其中L 是由抛物线2y x =和2x y =所围成的区域D 的正向边界曲线. 解:22()d (2)d LI xy x x xy y =+++⎰Ddxdy =⎰⎰ ………………3分21d xx y =⎰………………5分13= ………………7分4. 计算d x S ∑⎰⎰,∑为平面1=++z y x 在第一卦限部分.解:∑在xoy 面上的投影区域为)0,0(1:≥≥≤+y x y x D xy ,………………2分又,1,1,1:-=∂∂-=∂∂--=∑yzx z y x z 故dxdy dS 3=,………………4分所以1106xyxD xdS xdxdy dx xdy -∑===⎰⎰⎰. ………………7分或解:由对称性,11()336xdS x y z dS dS ∑∑∑=++==⎰⎰⎰⎰⎰⎰ 5.利用高斯公式计算对坐标的曲面积分d d d d d d x yy zzx ,其中∑为锥面222z x y=+介于平面0z =及1z =之间的部分的下侧。