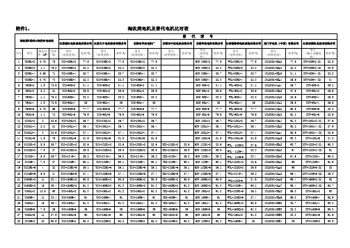
淘汰类电机替代型号
- 格式:xls
- 大小:102.00 KB
- 文档页数:6
淘汰电机型号总结(二、三批)————————————————————————————————作者:————————————————————————————————日期:23一、属于高耗能落后机电设备(产品)淘汰目录(第二批)应淘汰的电机型号1、Y 系列三相异步电动机Y80M1-2 额定功率:0.75 kW 效率:75.0% Y80M2-2 额定功率:1.1 kW 效率:76.2% Y80M1-4 额定功率:0.55kW 效率:71.0% Y80M2-4 额定功率:0.75kW 效率:73.0% Y90S-2 额定功率:1.5kW 效率:78.5% Y90L-2 额定功率:2.2kW 效率:81.0% Y90S-4 额定功率:1.1kW 效率:76.2% Y90L-4 额定功率:1.5kW 效率:78.5% Y90S-6 额定功率:0.75kW 效率:69.0% Y90L-6 额定功率:1.1kW 效率:72.0% Y100L-2 额定功率:3kW 效率:82.6% Y100L1-4 额定功率:2.2kW 效率:81.0% Y100L2-4 额定功率:3kW 效率:82.6% Y100L-6 额定功率:1.5kW 效率:76.0% Y132S1-2 额定功率:5.5kW 效率:85.7% Y132S2-2 额定功率:7.5kW 效率:87.0% Y132S-4 额定功率:5.5kW 效率:85.7% Y132M-4 额定功率:7.5kW 效率:87.0%4Y132M2-6 额定功率:5.5kW 效率:84.0% Y160M1-2 额定功率:11kW 效率:88.4% Y160M2-2 额定功率:15kW 效率:89.4% Y160L-2 额定功率:18.5kW 效率:90.0% Y160M-4 额定功率:11kW 效率:88.4% Y160L-4 额定功率:15kW 效率:89.4% Y160M-6 额定功率:7.5kW 效率:86.0% Y160L-6 额定功率:11kW 效率:87.5% Y180M-2 额定功率:22kW 效率:90.5% Y180M-4 额定功率:18.5kW 效率:90.0% Y180L-4 额定功率:22kW 效率:90.5% Y180L-6 额定功率:15kW 效率:89.0% Y200L1-2 额定功率:30kW 效率:91.4% Y200L2-2 额定功率:37kW 效率:92.0% Y200L-4 额定功率:30kW 效率:91.4% Y200L1-6 额定功率:18.5kW 效率:90.0% Y200L2-6 额定功率:22kW 效率:90.0% Y225M-2 额定功率:45kW 效率:92.5% Y225S-4 额定功率:37kW 效率:92.0%5Y225M-6 额定功率:30kW 效率:91.5% Y250M-2 额定功率:55kW 效率:93.0% Y250M-4 额定功率:55kW 效率:93.0% Y250M-6 额定功率:37kW 效率:92.0% Y280S-2 额定功率:75kW 效率:93.6% Y280M-2 额定功率:90kW 效率:93.9% Y280S-4 额定功率:75kW 效率:93.6% Y280M-4 额定功率:90kW 效率:93.9% Y280S-6 额定功率:45kW 效率:92.5% Y280M-6 额定功率:55kW 效率:92.8% Y315S-2 额定功率:110kW 效率:94.0% Y315M-2 额定功率:132kW 效率:94.5% Y315L1-2 额定功率:132kW 效率:94.5% Y315L2-2 额定功率:200kW 效率:94.8% Y315S-4 额定功率:110kW 效率:94.5% Y315M-4 额定功率:132kW 效率:94.8% Y315L1-4 额定功率:160kW 效率:94.9% Y315L2-4 额定功率:200kW 效率:94.9% Y315S-6 额定功率:75kW 效率:93.5%6Y315L1-6 额定功率:110kW 效率:94.0% Y315L2-6 额定功率:132kW 效率:94.2% Y355M-2 额定功率:250kW 效率:95.2% Y355L-2 额定功率:315kW 效率:95.4% Y355M-4 额定功率:250kW 效率:95.2% Y355L-4 额定功率:315kW 效率:95.2% Y355M1-6 额定功率:160kW 效率:94.5% Y355M2-6 额定功率:200kW 效率:94.5% Y355L-6 额定功率:250kW 效率:94.5%二、属于高耗能落后机电设备(产品)淘汰目录(第三批)应淘汰的电机型号序号产品名称型号主要技术参数淘汰理由淘汰范围及时间1-1 Y系列中小型三相异步电动机Y112M-2Y112M-4Y112M-6Y315L1-2Y355M1-2Y355M2-2Y355L1-2Y355L2-2Y355M1-4Y355M2-4Y355L1-4Y355L2-4Y355M2-6Y355M3-6Y355L1-6Y355L2-6功率:4 kW功率:4 kW功率:2.2 kW功率:160 kW功率:220 kW功率:250 kW功率:280 kW功率:315 kW功率:220 kW功率:250 kW功率:280 kW功率:315 kW功率:185 kW功率:200 kW功率:220 kW功率:250 kW不符合《中小型三相异步电动机能效限定值及能效等级》(GB18613-2012)标准中能效限定值要求。
2009年12月4日,工业和信息化部发布《高耗能落后机电设备(产品)淘汰目录(第一批)》公告。
全文如下:《高耗能落后机电设备(产品)淘汰目录(第一批)》公告工节[2009]第67号高耗能落后机电设备(产品)1-10J2系列防滴式三相鼠笼型异步电动机(36个规格,8个机座号,7.5~125kW,共11个功率等级)技术性能落后1-11JR,JR2,JR3小型绕线转子异步电动机JR:30个规格JR2:13个规格JR3:16个规格技术性能落后1-12JR02小型绕线转子异步电动机(26个规格,电压380V,功率5.5~75kW)技术性能差1-13DM深井泵用三相异步电动机系列DM402-2,DM521-4;DM403-2,DM452-2DM452-4结构陈旧,效率低,堵转转矩低1-14JLB2深井泵用三相异步电动机系列结构陈旧,效率低,堵转转矩低1-15JLB2立式深井泵用电动机JLB2-81-4JLB2-82-4JLB2-83-4结构陈旧,效率低,堵转转矩低1-16JTB2立式深井泵用电动机JTB2-42-2结构陈旧,效率低,堵转转矩低1-17JD型深井泵用电动机结构陈旧,效率低,堵转转矩低1-18JO2一WF,JO2一F户外防腐和化工防腐小型三相电动机系列,JO2一WF系列67个规格;JO2一F系列63个规格;体积大,技术性能低1-19JZD3-112S-4JZO2电制动电动机系列JZO2系列12个规格,0.6~1.5kW,共6种功率等级,材料消耗大,体积大,综合技术经济指标低5,JB/T5275-1991Y-W系列及Y-WF系列户外及户外化学防腐蚀型三相异步电动机技术条件6,JB/T9537-1999户内,户外防腐防爆异步电动机环境技术要求(机座号45~710)2、电焊机电阻炉序号淘汰产品名称及型号规格淘汰理由备注2-1直流弧焊电动发电机:AX1—500型五十年代初仿苏老产品,材料消耗大,重量较重,综合技术经济指标低2-2直流弧焊电动发电机:Ap一1000型五十年代初仿苏老产品,材料消耗大,重量较重,综合技术经济指标低2-3交流弧焊机BX1—330型五十年代初仿苏老产品,材料消耗大,重量较重,综合技术经济指标低2-4交流弧焊机BX1—135,BX2—500五十年代仿苏老产品,体积大,重量较重,耗材多,性能差淘汰的电阻炉类产品不符合以下相应的现行标准:1,GB5959.4-2008电热装置的安全第4部分:对电阻加热装置的特殊要求2,JB/T50162-1999热处理箱式,台车式电阻炉能耗分等3,JB/T50163-1999热处理井式电阻炉能耗分等4,JB/T50183-1999传送式,震底式,推送式,滚筒式热处理连续电阻炉能耗分等5,JB/T5650-1991弹体及药筒热处理箱式,台车式电阻炉能耗分等6,JB/T5654-1991坩埚式熔铝电阻炉能耗分等7,SJ/T31267-1994电阻渗碳炉完好要求和检查评定方法8,JB/T5632-1991碳膜电阻渗碳炉能耗分等9,JB/T10551-2006真空技术真空感应熔炼炉10,JB/T5640-1991光学玻璃陶瓷坩埚熔炼炉能耗分等11,JB/T5656-1991光学玻璃电热熔炼炉能耗分等3、变压器调压器序号淘汰产品名称及型号规格淘汰理由备注8,HJ/T224-2005环境标志产品技术要求干式电力变压器9,JB/T10091-2001接触调压器4、锅炉序号淘汰产品名称及型号规格淘汰理由备注4-10.4—0.7t/h工业锅炉立式水管固定炉排锅炉LSG0.4—8—A3立式水管固定炉排锅炉LSG0.7—8—A3立式水管固定炉排锅炉LSG0.5—8运行热效率低,消烟除尘问题难以解决4-21t/h单纵汽包水管固定炉排锅炉DZGl—8设计结构不合理,锅简管孔采用单面焊接结构,不便于维修,操作人员劳动强度大,热效率低4-32t/h工业锅炉单纵汽包水管固定炉排锅炉DZG2—8单纵汽包水管活动炉排锅炉ZH2—8设计结构不合理,锅筒管孔采用单面焊接结构,不便于维修,操作人员劳动强度大,热效率低4-44t/h工业锅炉卧式快装固定炉排锅炉KZG4一13卧式快装链条炉KZL4-13-14-15LHG0.85—8立式水管锅炉老式单层炉排手烧锅炉,热效率低,排烟浓度大,技术参数不符合系列型谱4-16LSG1-8立式水管锅炉老式单层炉排手烧锅炉,热效率低,排烟浓度大,技术参数不符合系列型谱4-17WSG1-8卧式手烧炉老式单层炉排手烧锅炉,热效率低,排烟浓度大,技术参数不符合系列型谱4-18WNG1-8卧式手烧炉老式单层炉排手烧锅炉,热效率低,排烟浓度大,技术参数不符合系列型谱4-19KZG1.25—8手烧快装炉老式单层炉排手烧锅炉,热效率低,排烟浓度大,技术参数不符合系列型谱4-20LHG1.35—8立式火管炉老式单层炉排手烧锅炉,热效率低,排烟浓度大,技术参数不符合系列型谱4-21WNG1.5—8卧式手烧炉老式单层炉排手烧锅炉,热效率低,排烟浓度大,技术参数不符合系列型谱4-22KZG1.5—8手烧快装炉老式单层炉排手烧锅炉,热效率低,排烟浓度大,技术参数不符合系列型谱4-23WYG1.5—8卧式手烧炉4-36振动炉排蒸汽锅炉SHZ2—8老式振动炉排锅炉,热效率低,污染严重,炉排寿命短4-37振动炉排蒸汽锅炉SZK4—25老式振动炉排锅炉,热效率低,污染严重,炉排寿命短4-38振动炉排蒸汽锅炉SZZ4一13老式振动炉排锅炉,热效率低,污染严重,炉排寿命短4-39振动炉排蒸汽锅炉KZZ4—13老式振动炉排锅炉,热效率低,污染严重,炉排寿命短4-40振动炉排蒸汽锅炉DZZ2—8老式振动炉排锅炉,热效率低,污染严重,炉排寿命短4-41振动炉排蒸汽锅炉KZZ2—13老式振动炉排锅炉,热效率低,污染严重,炉排寿命短4-42沸腾床蒸汽锅炉SHF4—25热效率低,污染严重4-43沸腾床蒸汽锅炉SHF9—13热效率低,污染严重4-44抛煤机锅炉SZPl0-13热效率低,污染严重4-45抛煤机锅炉SZPl0-13/350热效率低,污染严重4-46抛煤机锅炉SZP10-25/350热效率低,污染严重5-5老SJ系列烧结鼓风机效率低5-6SD50系列隧道轴流通风机效率低5-7一般轴流通风机T30系列30K4系列03-11系列效率低5-8防烟轴流通风机BT30系列B30K4系列效率低5-9罗茨鼓风机D80M3D120M3D160M3效率低,性能参数不适合小硫酸生产5-10罗茨鼓风机LG100×72一lLGl00×110一1LG202×200一lLG300×200一1LG4l0×495一lLG480×665-1LG480×665-2LG700×560-lLG700×830-lLG700×950-lLGl000×1200-lLGl000×1500-l1.型号杂乱,结构落后,效率低2.性能范围窄,不能满足各种工况要求5-11罗茨鼓风机L20一5/0.20 L20-5/0.35 L20一5/0.50 L20一7/0.20 L20一7/0.35L20一7/0.50 L20-l0/0.20 L20一l0/0.35 L20-10/0.50 L32一15/0.201.型号杂乱,结构落后,效率低2.性能范围窄,不能满足各种工况要求5-12罗茨鼓风机L32-15/0.35 L32一15/0.50 L32-20/0.20 L32-20/0.35D22×32—15/2000D22×32—15/3500D22×32—15/5000D36×28—20/2000D36×28—20/3500D36×28—20/5000(包括SD型在内)D36×28—30/2000D36×28—30/3500D36×28—30/5000(包括SD型在内)D36×35—40/2000D36×35—40/3500D36×35—40/5000(包括SD型在内)D36×46—60/2000D36×46—60/3500D36×46—60/5000(包括SD型在内)D36×60—80/2000D36×60—80/3500D36×60—80/5000D60×48—120/2000D60×48—120/3500D60×48—120/5000D60×63—160/2000D60×63—160/3500D60×63—160/5000D60×78—200/2000D60×78—200/3500D60×78—200/5000D60×90—250/2000D60×90—250/3500D60×90—250/50001、型号杂乱,结构落后,效率低2、性能范围窄,不能满足各种工况要求淘汰的风机产品不符合以下相应的现行标准:1,GB19761-2005通风机能效限定值及节能评价值2,GB10080-2001空调用通风机安全要求3,GB/T2888-2008风机和罗茨鼓风机噪声测量方法4,JB/T7259-2006烧结厂用离心式鼓风机6-1510NQ80潜水电泵效率低6-168NQ50潜水电泵效率低6-17单级单吸清水离心泵2BA62B31结构陈旧,效率低6-18单级单吸清水离心泵3BA133B19结构陈旧,效率低6-19单级单吸清水离心泵3BA93B33结构陈旧,效率低6-20单级单吸清水离心泵3BA63B57结构陈旧,效率低6-21单级单吸清水离心泵4BA184B20结构陈旧,效率低6-22单级单吸清水离心泵4BA124B35结构陈旧,效率低6-23单级单吸清水离心泵4BA84B54结构陈旧,效率低6-24单级单吸清水离心泵4BA64B91结构陈旧,效率低6-25单级单吸清水离心泵6BA126B20结构陈旧,效率低6-26单级单吸清水离心泵8BA128B29结构陈旧效率低6-27单级单吸耐腐蚀离心泵50F63B6-28单级单吸耐腐蚀离心泵80F60A结构陈旧,效率低6-29单级单吸耐腐蚀离心泵150F56结构陈旧,效率低6-30高压锅炉给水泵DG375-185效率低6-31高压锅炉给水泵DG500-140效率低CN3-17,JN80-19结构陈旧,效率低6-53单级离心泵浙农3-9豫农80-33陕农3-35西农3-40BX80-33,JN80-30EN3B-40结构陈旧,效率低6-54单级离心泵浙农3-60西农3-503BP-65,BX80-57QNB80-60,EN3-57WN3-60结构陈旧,效率低6-55单级离心泵3BP-90结构陈旧,效率低6-56单级离心泵4PB-65结构陈旧,效率低6-57单级离心泵浙农4—21豫农100—20陕农4—20BXl00—20MN100—18MN100—2lWN4—2lWN4一15EN3—25CN4—22JN100—19JN100—14结构陈旧,效率低6-58单级离心泵浙农6—18豫农150一13鲁6—186TL—18MN150—11MN150—15 EN6一13WN6一llCN一12JNl50—13结构陈旧,效率低6-59单级单吸耐腐蚀离心泵80F97A结构陈旧,效率低6-60单级单吸耐腐蚀离心泵100F23结构陈旧,效率低6-61单级单吸耐腐蚀离心泵100F37结构陈旧,效率低6-82多级泵150TSW结构陈旧,效率低6-83深井泵4JD10结构陈旧,效率低6-84深井泵8JD80结构陈旧,效率低6-85深井泵150JD56结构陈旧,效率低6-86深井泵200JD80结构陈旧,效率低6-87深井泵250JDl40结构陈旧,效率低6-88深井泵300JD230结构陈旧,效率低6-89深井泵6J18结构陈旧,效率低6-90深井泵8J20结构陈旧,效率低6-91深井泵6J30结构陈旧,效率低6-92深井泵8J35结构陈旧,效率低6-93深井泵10J80结构陈旧,效率低6-94深井泵12J160结构陈旧,效率低6-95深井泵12J130结构陈旧,效率低6-96深井泵250JQB80结构陈旧,效率低6-97深井泵250QJC140结构陈旧,效率低6-98深井泵10JB20结构陈旧,效率低6-11521/21BP一55型喷灌泵效率低6-1162BPZCE一35型喷灌泵效率低6-1172.5BPZ一55型喷灌泵效率低6-1182BPZCE一45型喷灌泵效率低6-119B型,BA型单级单吸悬臂式离心泵系列吸入口径11/2"~8"结构与技术经济指标落后6-120 F型单级单吸耐腐蚀泵系列吸入口径2"~6"结构与技术经济指标落后6-121GC型低压锅炉给水泵吸人口径4"~6"结构与技术经济指标落后6-122DG型中压锅炉给水泵DGl00—59XDGl50一59X结构与技术经济指标落后6-123JD型长轴深水泵14JD370,100JDBl0,150JD48结构与技术经济指标落后淘汰的泵类产品不符合以下相应的现行标准:1,GB19762-2007清水离心泵能效限定值及节能评价值2,GB22360-2008真空泵安全要求3,GB21454-2008多联式空调(热泵)机组能效限定值及能源效率等级4,GB6245-2006消防泵5,GB/T2816-2002井用潜水泵容积流量不符合JB1407—85规定,未用足配用电机功率7-12空气压缩机2V—0.6/7V—0.6/7排气量:0.6m3/min排气压力:0.7Mpa电机功率:5.5kW容积流量不符合JBl407—85规定,未用足配用电机功率7-13往复活塞空气压缩机3/8,1V—3/8,VF—3/8V—3/7,2VF—3/8,WF—3/8,WF —3.2/7,lWG—3/7,1WG—3/8,V—6/8,2V—6/7V—6/8,VF—6/8,W—6/7,WF—6/7, WF—6.3/7,2W—6/7,WF—9/7,DW—9/7能耗高,油耗大,噪声高,自动保护性能差7-14固定式螺杆压缩机LG20-l0/7结构陈旧,效率低7-15移动式螺杆压缩机LGY20-10/7结构陈旧,效率低7-164M8(1)一30/320型氮氢气压缩机不能满足化肥厂流程的需要7-17氮氢气压缩机4M8—36/3204M8(2)一30/320电耗高7-18KFD一38200型6000m3/h流程落后,性能差,电耗高蓄冷器(管式)全低压流程空分设备7-19KFD一41000型6000m3/h流程落后,性能差,电耗高管板式全低压流程空分设备7-20KFD一21000型3,GB10892-2005固定的空气压缩机安全规则和操作规程4,GB4706.17-2004家用和类似用途电器的安全电动机-压缩机的特殊要求5,JB/T10683-2006中,高压往复活塞空气压缩机6,JB/T7658.13-2006氨制冷装置用辅助设备第13部分:空气分离器7,GB/T21145-2007运输用制冷机组8,GJB5029-2003斯特林制冷机通用规范9,GB/T22070-2008氨水吸收式制冷机组10,JB/T9079.1-1999活塞式膨胀机技术条件11,JB/T4334-2006静压空气轴承透平膨胀机技术条件12,JB/T5904.1-1999低压透平膨胀机技术条件13,JB/T6894-2000增压透平膨胀机技术条件14,JB/T7676-1995能量回收透平膨胀机15,GJB2799-1996医用分子筛制氧机通用规范8、柴油机序号淘汰产品名称及型号规格淘汰理由备注8-1481柴油机系仿福格森五十年代的产品,投产二十余年未作重大改进,出厂标准燃油耗率高9、其他序号产品名称和型号淘汰理由备注9-1中频发电机感应加热电源DJF-C,DJC,BPSD空载耗电高产品不符合GB/T10067.3-2005电热装置基本技术条件第3部分:感应电热装置9-2插入式电极盐浴炉RYN,RYW,RYD电极材料耗量大,启动较麻烦,升温时间长,电极占炉内空间13~25产品不符合JB/T8195.12-2007。
国家历次淘汰的部分机电产品2002-5-21国家历次淘汰的部分机电产品1982-2000年国家机械工业部等四部、三委、一局先后发布的第一至十八批淘汰的机电产品见表1-4:表1-4 与电气工程设计相关的国家淘汰的部分机电产品产品类别淘汰产品名称淘汰产品系列型号高压电器户内高压隔离开关GN1-6、GN1-10、GN3-10、GN4-10、GN6-10、GN7-10、GN8-10、GN9-10、GN11-15、GN14-20、GN13-35、GN15-35、GN16-35、GN17-10、GN18-10户外高压隔离开关GW3真空断路器ZN2-10户内少油断路器SN1、SN2、SN5、SN7、SN8、SN9、SN12、SN3、SN6户内多油断路器DN1-10、DN3-10、DN2-6户内六氟化硫断路器LN1-27.5高压磁吹断路器CN1-6、CN2-10(续表)产品类别淘汰产品名称淘汰产品系列型号高压电器户外少油断路器SW1-110、SW3-110、SW5-110、SW3-35、SW5-220空气断路器KW1、KW2、KW3、KW4、KW6产气式断路器QW1-10、QW-35户内高压负荷开关FN1-10户外高压负荷开关FW3-10高压熔断器RW1-10、RW1-60、RW1-35、RW2-35高压接触器CG1、CG4、CG2变压器中小型配电变压器SJ、SJ1、SJ2、SJ3、SJ4、SJ5、SJL1、S、S1、SZ、SL、SLZ、SL1、SLZ1、SL7、S7照明用干式变压器DJMB控制用干式变压器DBK电动机三相交流异步鼠笼式电动机JO2、JO3、JW63、71、80、90、JW05、06、07、08、09、JL01、2 2JLC:250W三相隔爆型异步电动机JB3、JB02三相分马力异步电动机AO45、50、56、63、71、AI56、71、1AO50、56、712AO80、JW(改型)45、50、56、63、71单相电阻分相异步电动机BO56、63、71JZ56、63、71单相电容启动异步电动机CO63、71、801CO71、JY71电动机单相电容运转异步电动机DO45、50、56、63、JX45、50、56三相防滴式鼠笼型异步电动机J2系列(36个规格、8个机座号、7.5~125kW,11个功率等级)小型绕线式异步电动机JR(30个规格)、JR2(13个规格)、JR3(16个规格)、JR02(26个规格,功率5.5~75kW)深井泵用三相异步电动机DM402-2、DM403-3、DM502-2、DM452-2、DM521-4JLB2-81-4、JLB2-82-4、JLB2-83-4、JLB2-42-2、JD型户外防腐及化工防腐小型三相电动机JO2-WF(67个规格)、JO2-F(63个规格)JD02、JD03系列电动机JD02(99个规格)、JO03(37个规格)电制动电动机JZ02(12个规格、0.6~1.5kW6种功率等级)傍磁制动电动机JP2(0.2~13kW,84个规格)木工用三相异步电动机JM2、JM3、JDM2齿轮减速三相异步电动机JTC变极多速三相异步电动机JD02、JD03精密机床用三相异步电动机JJ02、J02-0JJ、JJD、DP90S-2/M01(续表)产品类别淘汰产品名称淘汰产品系列型号低压配电装置低压配电柜BSL型全系列启动装置自动减压启动器XJ01、XJ11系列电磁启动器QC0-10、20kWQC1-5、15、23、55kWQC2-5、11kWQC3-15kWQC10-3/6、4/6、6/6QC12-3/6、4/6、5/6、6/6QC8系列手动自耦减压启动器QJ1-14、30、75、120kWQJ2-75、150、200、300、600AQJ3-40、75kWQJ4-5AN、10AN、20AN、40AN(2.2、4.10、20kW)自动星一三角启动器QX0-13、30、55、125kW综合启动器QZ6-2.2、4、10、20kWQZ7-5、10、15、20kWQZ8-1.5~10kWQZ71-10kWQZ9全系列接触器交流接触器CJ0-10、20、40ACJ1-75、150、300、600ACJ2-75、150、300ACJ3-50、100、150、300ACJ4-75、150、300、600A75S、150SCJ5-20ACJ6-无产品CJ8-10、20、40、60、100、150ACJ10-10、20、40、60、100、150ACJ12B-100、150、250、400、600A直流接触器CZ1-100、150、300、600ACZ3-20、40ACZ4-5~80ACZ5-5、40、80ACZ6-50ACZ7-20ACZ8-400ACZ9-50A(短期通电<0.6s,=)中频接触器CP1-200、400、600、800A(1000Hz-750V)中压交流接触器CG1-3000V,空气式CG2-全系列CG4-100(3000V,3极,空气式)CG5-75、150、300低压断路器框架式断路器DW0-200、400、600、1500、2500、4000A DW1-350、400、600、800ADW2-200、400、600、800ADW5-100、400、1000、1200、1500ADW7-1000ADW8-400ADW10-630(600)、1600(1500)、2000、2500、4000A塑壳式断路器DZ1-50、100、200、600ADZ3-15、50ADZ4-25、50ADZ6-2.5、5、7.5、15、35ADZ10-100、250、400、600ADZ8-7.5、30ADZ9-30ADZ14-50A(单极)(续表)产品类别淘汰产品名称淘汰产品系列型号低压断路器直流快速断路器DS-10、20、30(1000、2000、3000A)DS1-DS2-10、30、50(1000、3000、5000A)DS3-DS4-10、20、30(1000、2000、3000A)DS10-低压熔断器熔断器式刀开关HR0-100、200、400AHR1-100、200、400、600AHR2-(无产品)有填料封闭管式熔断器RT1-30、200ART2-100、200、400、600A无填料密封管式熔断器RM1-15、60、100、200、350、600、1000ARM2-15、60、100、200、350、600ARM3-15、60、100、200、350、600ARM7-15、60、100、200、350、600A快速熔断器RS1-160、320ARS2-160、320A螺旋式熔断器RL1-6、10、15、25、60、100ARL2-6、10、15、25、60、100A插入式熔断器RC1 10、15、30、60、100、200A继电器中间断电器DZ-70JZ1、JZ3、JZ4、JZ5、JZ6、JZ8、JZ9、JZ12系列时间断电器JS1、JS2、JS4、JS5、JS6、JS9、JS15系列直流电磁式通用继电器JT1、JT2、JT5、JT6、JT7、JT8、JT17系列交直流中间继电器JZ1系列电流继电器JL1、JL2、JL3、JL4、JL6、JL7、JL8、JL10、JL1-5、JL7-5、JLP、JL7-PC计数继电器DJ-2型热继电器JR1、JR2、JR3、JR4、JR6、JR8、JR12、JR13、JR0、JR15、JR16-A、B、C、D、JR9、JR14电压继电器JT1(110V、220V、500V)JT2、JT5、JT6、JT7、JT8(500V、6种)温度继电器JW1-70±5℃-1A信号继电器DX-4型低压开关刀开关HD0-(无产品)HD1-100、200、400、600A(手柄式)1000、1500A(单、双三极杠杆式)HD4-100、200、400A(三级手柄式)HD5-600、1000A(双、三极)HD6-100、200、400、600AHD8-1000、1500AHD9-200、400、600、1000、1500A封闭式负荷开关HH1-15、30、60、100、200AHH2-15、30、60、100、200AHH5-100刀形转换开关HS0-(无产品)HS1-100、200、400、600、1000、1500A(单、双、三极手柄式)HS3-100、200、400、500、600、1000A(双、三极杠杆式)(续表)产品类别淘汰产品名称淘汰产品系列型号低压开关组合开关HZ1-10、25、60、100AHZ2-10、25、60AHZ3-2.5、5、10、35A万能转换开关LW1-20ALW4-12A行程开关LX1-6ALX2-6ALX4-20ALX6-LX7-20ALX9-10、15ALX11-3ALX12-2ALX13-5A主令开关LS1-10LS75-主令控制开关LK1、LK2、LK3、LK6、LK7、LK8、LK9、LK10、LK12、LK16 接近开关LJ1-2.5mmLJ2-5、10、15mm微动开关LX20足踏开关LT1-10ALT2-10A按钮LA1、LA3、LA5、LA6、LA7、LA8、LA9、LA11、LA14、LA15、LA16变送器压力变送器BBY-121、DBY-131DBY-141、DBY-011压差变送器DBC-221、DBC-411DBC-331、DBC-421液位变送器DBU-521、DBU-521C压差流量变送器DBL-321、DBL-411DBL-331、DBL-421热电偶温差变送器DBW-113、5~50mV热电阻温度变送器DBW-123、10~100Ω电阻器励磁电阻器BL12(300、500、650、900、1200W)BL2、BL3、BL4、BL5、BL6系列启动电阻器BW1-750、1000WBU1-50、75、100、150、175、200、300、410、500kWBU2-35、50、75、100、150、200、300、400、500kW电阻器ZX3-1.4~6.6kWZX5-4.5~6.6kWZX6-滑线变阻器BX2-0.6~3.2kW电容器全纸低压并联电容器BY-0.23、0.4、0.525kV、4、12、14kV AR/台全纸高压并联电容器BW-3.15、6.3、11/3、10.5Kv,30、50kV AR全纸均压电容器JY-40、60/3、150/3、60、65、90/3kV,0.0015、0.0018、0.0037、0.004、0.003PF全纸耦合电容器OY-55/3、35、55、110/3、210/3、500/3kV,0.18、0.0035、0.0044、0.0066、0.0033、0.005PF全纸电热电容器RY-500/1000、500、750/1500、750、375/750、375V、90、125、140、160kV AR (续表)产品类别淘汰产品名称淘汰产品系列型号电度表单相电度表DD1、DD5、DD5-a、DD5-6、DD5-2、DD9、DD10、DD12、DD14、DD15、DD17、DD20、DD28三相电度表校验台XDY-3型三相四线有功电度表DT1/Q、DT6、DT8、DT10、DT18、DT23、DT28三相三线有功电度表DS1/a、DS5、DS8、DS10、DS13、DS15、DS16、DS22、DS23电线(淘汰或限制发展)橡皮绝缘铜、铝芯电力电缆BX、BXS、BLX(95mm2以下)BXG、BLXG、BBX、BX、BXH、BXR、RXS、RX塑料绝缘铜护套线BVV、BV、BVV1、BV1纸绝缘铅包铜、铅芯电力电缆ZQ、ZLQ干绝缘铅包铜芯电力电缆ZQP橡皮绝缘铅包铜芯电缆XQ、XLQ、YHQ、YHZ橡皮绝缘铅包铜芯控制电缆KXQ纸绝缘铅包铜芯控制电缆KZQ、PZQ。
)二、三批(淘汰电机型号汇总一、属于高耗能落后机电设备(产品)淘汰目录(第二批)应淘汰的电机型号1、Y系列三相异步电动机Y80M1-2 额定功率:0.75 kW 效率:75.0%Y80M2-2 额定功率:1.1 kW 效率:76.2%Y80M1-4 额定功率:0.55kW 效率:71.0%73.0% 额定功率:0.75kW Y80M2-4效率:78.5% 额定功率:Y90S-2 1.5kW 效率:81.0% 额定功率:Y90L-2 2.2kW 效率:76.2% 额定功率:1.1kW Y90S-4 效率:78.5% 1.5kW Y90L-4 效率:额定功率:69.0% Y90S-6 效率:额定功率:0.75kW72.0% 额定功率:1.1kW Y90L-6 效率:82.6% 额定功率:3kW 效率:Y100L-281.0% 额定功率:Y100L1-4 2.2kW 效率:82.6%额定功率:3kW Y100L2-4 效率:2Y100L-6 额定功率:1.5kW 效率:76.0%Y132S1-2 额定功率:5.5kW 效率:85.7%Y132S2-2 额定功率:7.5kW 效率:87.0%Y132S-4 额定功率:5.5kW 效率:85.7%87.0% 额定功率:7.5kW 效率:Y132M-482.0% 效率:额定功率:Y132M1-6 4kW 84.0% 效率:额定功率:Y132M2-6 5.5kW88.4% 效率:Y160M1-2 额定功率:11kW89.4% Y160M2-2 效率:额定功率:15kW90.0% 额定功率:18.5kW 效率:Y160L-288.4% 11kW Y160M-4 效率:额定功率:89.4% Y160L-4 15kW 额定功率:效率:86.0% 效率:额定功率:Y160M-6 7.5kW87.5% 额定功率:11kW 效率:Y160L-690.5%22kW Y180M-2 额定功率:效率:3Y180M-4 额定功率:18.5kW 效率:90.0%Y180L-4 额定功率:22kW 效率:90.5%Y180L-6 额定功率:15kW 效率:89.0%Y200L1-2 额定功率:30kW 效率:91.4%92.0% 额定功率:37kW 效率:Y200L2-291.4% 效率:额定功率:Y200L-4 30kW 90.0% 效率:额定功率:Y200L1-6 18.5kW90.0% 效率:Y200L2-6 额定功率:22kW 92.5% Y225M-2 效率:额定功率:45kW 92.0% 额定功率:37kW 效率:Y225S-492.5% 45kW Y225M-4 效率:额定功率:91.5% Y225M-6 30kW 额定功率:效率:93.0% 效率:额定功率:Y250M-255kW93.0% 额定功率:55kW 效率:Y250M-492.0%37kW Y250M-6 额定功率:效率:4Y280S-2 额定功率:75kW 效率:93.6%Y280M-2 额定功率:90kW 效率:93.9%Y280S-4 额定功率:75kW 效率:93.6%Y280M-4 额定功率:90kW 效率:93.9%92.5% 额定功率:45kW 效率:Y280S-692.8% 效率:额定功率:Y280M-6 55kW 94.0% 效率:额定功率:Y315S-2 110kW 94.5% 效率:Y315M-2 额定功率:132kW 94.5% Y315L1-2 效率:额定功率:132kW 94.8% 额定功率:200kW 效率:Y315L2-294.5% 110kW Y315S-4 效率:额定功率:94.8% Y315M-4 132kW 额定功率:效率:94.9% 效率:额定功率:Y315L1-4 160kW94.9% 额定功率:200kW 效率:Y315L2-493.5%75kW Y315S-6 额定功率:效率:5Y315M-6 额定功率:90kW 效率:93.8%Y315L1-6 额定功率:110kW 效率:94.0%Y315L2-6 额定功率:132kW 效率:94.2%Y355M-2 额定功率:250kW 效率:95.2%Y355L-2 额定功率:315kW 效率:95.4%Y355M-4 额定功率:250kW 效率:95.2%Y355L-4 额定功率:315kW 效率:95.2%Y355M1-6 额定功率:160kW 效率:94.5%Y355M2-6 额定功率:200kW 效率:94.5%Y355L-6 额定功率:250kW 效率:94.5%二、属于高耗能落后机电设备(产品)淘汰目录(第三批)应淘汰的电机型号6淘汰范围及时淘汰理由产品名称型号主要技术参数不符合《中小Y112M-2功率4 kW三相异步电年(含200Y112M-4功率4 kW机能效限定前生产的该系功率2.2kY112M-6及能效等级中小型三最迟列电机1-1功率160 kWY315L1-2GB年201异步电动功率220kWY355M1-218613-201)底前停止使用功率250 kWY355M2-2准中能效限功率Y355L1-2280 kW值要求功率Y355L2-2315 kW功率220 kWY355M1-47250 kW 功率:Y355M2-4280 kWY355L1-4功率315 kW功率Y355L2-4185 kWY355M2-6功率200 kWY355M3-6功率220 kWY355L1-6功率250kY355L2-6功率淘汰范围及淘汰理产品名型主要技术参80.75kW 功率:Y2-80M1-21.1kW功率Y2-80M2-20.55kW功率Y2-80M1-4不符合《中小功率0.75kWY2-80M2-4三相异步电1.5kW功率Y2-90S-2年(含200机能效限定Y2-90L-2功率2.2kW前生产的该Y系及能效等级1.1kWY2-Y90S-4功率最迟列电机1-2中小型三GB功率1.5kWY2-90L-4年201异步电动)Y2-90S-618613-201功率0.75kW底前停止使用准中能效限Y2-90L-6功率1.1kW3kWY2-100L-2值要求功率2.2kW功率Y2-100L1-43kWY2-100L2-4功率1.5kW功率Y2-100L-694kW 功率:Y2-112M-24kW功率Y2-112M-45.5kW功率Y2-132S1-27.5kWY2-132S2-2功率功率Y2-132S-45.5kWY2-132M-4功率7.5kW3kWY2-132S-6功率Y2-132M1功率3kW 5.5kW功率6Y2-132M2功率11kW15kW6功率18.5kW功率Y2-160M12Y2-160M2-102Y2-160L-2产品名型主要技术参淘汰理淘汰范围及11kWY2-160M-4功率不符合《中小Y2-160L-4功率15kW三相异步电Y2-160M-67.5kW功率200年(含机能效限定功率11kWY2-160L-6前生产的该Y系及能效等级Y2-180M-2功率22kW列电机最迟1-2中小型三GB18.5kWY2-180M-4功率201年异步电动)功率Y2-180L-422kW18613-201底前停止使用准中能效限Y2-180L-6功率15kWY2-200L1-230kW功率值要求37kW功率Y2-200L2-21130kW 功率:Y2-200L-418.5kW功率Y2-200L1-622kW功率Y2-200L2-645kW功率Y2-225M-237kWY2-225S-4功率45kWY2-225M-4功率30kWY2-225M-6功率55kW功率Y2-250M-255kW功率Y2-250M-437kW功率Y2-250M-675kWY2-280S-2功率90kWY2-280M-2功率75kWY2-280S-4功率90kW功率Y2-280M-41245kW 功率:Y2-280S-655kW功率Y2-280M-6淘汰范围及淘汰理型产品名主要技术参间13Y2-315S-2110kW功率Y2-315M-2不符合《中小132kW功率Y2-315L1-2132kWY2-315L2-2功率三相异步电200kWY2-315S-4功率110kWY2-315M-4功率132kW功率Y2-315L1-4机能效限定200年(含160kW 功率Y2-315L2-4200kWY2-315S-6功率前生产的该Y系及能效等级75kWY2-315M-6功率90kWY2-315L1-6功率列电机GB最迟1-2中小型三110kW功率Y2-315L2-6132kWY2-355M-2功率18613-201)201异步电动年250kWY2-355L-2功率315kWY2-355M-4功率底前停止使用准中能效限250kWY2-355L-4功率315kWY2-355M1功率值要求160kW6功率200kW功率Y2-355M2250kW6功率Y2-355L-6产品名型主要技术参淘汰范围及淘汰理由14间号0.75kW功率Y3-80M1-21.1kW功率Y3-80M2-20.55kW功率Y3-80M1-4不符合《中小0.75kW功率Y3-80M2-4三相异步电年(含200功率Y3-90S-21.5kW机能效限定前生产的该2.2kWY3-90L-2功率Y系及能效等级1.1kW功率中小型三最迟Y3-Y90S-41-3列电机GBY3-90L-4异步电动年2011.5kW功率)18613-201Y3-90S-60.75kW功率底前停止使用准中能效限Y3-90L-6功率1.1kW 值要求Y3-100L-2功率3kW2.2kWY3-100L1-4功率3kW功率Y3-100L2-4151.5kW功率:Y3-100L-64kW功率Y3-112M-24kW功率Y3-112M-45.5kW功率Y3-132S1-27.5kWY3-132S2-2功率功率Y3-132S-45.5kW7.5kW功率Y3-132M-43kWY3-132S-6功率3kW功率Y3-132M15.5kW功率611kW功率Y3-132M215kW功率618.5kW功率Y3-160M1216Y3-160M22Y3-160L-2淘汰范围及主要技术参淘汰理型产品名11kWY3-160M-4功率不符合《中小15kW 功率Y3-160L-4三相异步电年(含Y3-160M-67.5kW 200功率机能效限定前生产的该Y3-160L-6系Y11kW功率及能效等级最迟1-3中小型三22kW 列电机Y3-180M-2功率GB年异步电动Y3-180M-418.5kW201功率)18613-201底前停止使用功率22kWY3-180L-4准中能效限15kWY3-180L-6功率值要求30kW功率Y3-200L1-21737kW 功率:Y3-200L2-230kW功率Y3-200L-418.5kW功率Y3-200L1-622kW功率Y3-200L2-645kWY3-225M-2功率37kWY3-225S-4功率45kWY3-225M-4功率30kW功率Y3-225M-655kW功率Y3-250M-255kW功率Y3-250M-437kWY3-250M-6功率功率75kWY3-280S-290kW功率Y3-280M-275kWY3-280S-4功率:1890kW Y3-280M-4 功率45kW功率Y3-280S-655kW功率Y3-280M-6淘汰范围及淘汰理型产品名主要技术参间19110kW功率:Y3-315S-2132kW功率Y3-315M-2132kW功率Y3-315L1-2不符合《中小功率200kWY3-315L2-2三相异步电功率110kWY3-315S-4200年(含机能效限定Y3-315M-4功率132kW前生产的该Y系及能效等级160kWY3-315L1-4功率列电机最迟1-3中小型三GB功率Y3-315L2-4200kW201年异步电动)75kW18613-201Y3-315S-6功率底前停止使用准中能效限功率Y3-315M-690kW功率Y3-315L1-6110kW值要求132kWY3-315L2-6功率250kW功率Y3-355M-2功率315kWY3-355L-220250kW 功率:Y3-355M-4315kW功率Y3-355L-4160kWY3-355M1功率200kW6功率250kW功率Y3-355M26Y3-355L-6产品名型主要技术参淘汰范围及淘汰理由21间号0.75kW功率YB-80M1-21.1kW功率YB-80M2-20.55kW功率YB-80M1-4不符合《中小《部分工YB-80M2-4功率按0.75kW三相异步电行业淘汰落YB-90S-2功率1.5kW机能效限定生产工艺装功率YB-90L-22.2kWY系及能效等级1.1kW功率1-4和产品指导中小型三YB-Y90S-4GBYB-90L-4功率1.5kW(201异步电动18613-201YB-90S-6》要求,功率0.75kW 准中能效限YB-90L-61.1kW即停止使用功率值要求3kW功率YB-100L-22.2kWYB-100L1-4功率3kW功率YB-100L2-4221.5kW 功率:YB-100L-64kW功率YB-112M-24kW功率YB-112M-45.5kW功率YB-132S1-27.5kWYB-132S2-2功率5.5kWYB-132S-4功率7.5kW功率YB-132M-43kW功率YB-132S-63kW功率YB-132M1功率65.5kW YB-132M2功率11kW15kW6功率18.5kW功率YB-160M1223YB-160M22YB-160L-2产品名型主要技术参淘汰理淘汰范围及11kWYB-160M-4功率不符合《中小按《部分工YB-160L-4功率15kW三相异步电行业淘汰落YB-160M-6功率7.5kW机能效限定生产工艺装11kWYB-160L-6功率系Y及能效等级和产品指导中小型三1-4YB-180M-2功率22kW GB18.5kWYB-180M-4异步电动功率(20118613-201功率YB-180L-422kW》要求,准中能效限功率YB-180L-615kW即停止使用值要求30kWYB-200L1-2功率:2437kW 功率:YB-200L2-230kW功率YB-200L-418.5kW功率YB-200L1-622kW功率YB-200L2-645kWYB-225M-2功率37kWYB-225S-4功率45kWYB-225M-4功率30kW功率YB-225M-655kW功率YB-250M-255kW功率YB-250M-437kWYB-250M-6功率75kW功率YB-280S-290kWYB-280M-2功率75kW功率YB-280S-42590kW YB-280M-4 功率45kW功率YB-280S-655kW功率YB-280M-6淘汰范围及淘汰理产品名型主要技术参26110kW 功率:YB-315S-2132kW功率YB-315M-2132kW功率YB-315L1-2不符合《中小200kWYB-315L2-2功率按《部分工三相异步电YB-315S-4功率110kW行业淘汰落机能效限定功率132kWYB-315M-4生产工艺装系Y及能效等级YB-315L1-4功率160kW和产品指导1-4中小型三GBYB-315L2-4功率200kW异步电动(201YB-315S-6功率75kW18613-201》要求,准中能效限YB-315M-690kW功率即停止使用YB-315L1-6110kW值要求功率132kWYB-315L2-6功率250kW功率YB-355M-2315kWYB-355L-2功率:27250kW 功率:YB-355M-4315kW功率YB-355L-4160kWYB-355M1功率200kW6功率250kWYB-355M2功率6YB-355L-628淘汰范围及时淘汰理由产品名称序型号主要技术参0.75kW功率YB2-80M11.1kW 功率2《中小不符YB2-80M2功率0.55kW三相异步电2功率0.75kW200年(含机能效限定1.5kWYB2-80M1功率前生产的该系YB及能效等级功率42.2kW列电机1-5最迟中小型三GB功率YB2-80M21.1kW异步电动201年年1.5kW功率418613-201前停止使用准中能效限0.75kWYB2-90S-2功率1.1kW功率YB2-90L-2值要求3kW功率YB2-Y90S功率2.2kW4293kW 功率:YB2-90L-41.5kW功率YB2-90S-64kW功率YB2-90L-64kW功率YB2-100L-25.5kWYB2-100L1功率7.5kW4功率5.5kW功率YB2-100L27.5kW4功率3kW功率YB2-100L-63kW功率YB2-112M5.5kW2功率11kWYB2-112M功率15kW4功率18.5kW功率YB2-132S1-302YB2-132S22 YB2-132S-4 YB2-132M4 YB2-132S-6 YB2-132M-6 YB2-132M-6 YB2-160M-2 YB2-160M231-2YB2-160L-2产品名型主要技术参淘汰理淘汰范围及11kW功率YB2-160M《中小4功率15kW不符三相异步电7.5kWYB2-160L-4功率年(含200机能效限定YB2-160M功率11kWYB前生产的该系及能效等级功率22kW6中小型三列电机1-5最迟GBYB2-160L-6功率18.5kW异步电动年年20118613-201功率YB2-180M22kW前停止使用功率215kW准中能效限值要求30kW 功率YB2-180M37kW4功率:3230kW 功率:YB2-180L-418.5kW功率YB2-180L-622kW功率YB2-200L145kW功率237kWYB2-200L2功率45kW2功率30kWYB2-200L-4功率55kW功率YB2-200L155kW功率637kW功率YB2-200L275kW6功率90kWYB2-225M功率75kW功率290kW功率YB2-225S-43345kW 功率:YB2-225M55kW 功率4YB2-225M6YB2-250M2YB2-250M4YB2-250M6YB2-280S-2YB2-280M2YB2-280S-434YB2-280M4YB2-280S-6YB2-280M6淘汰范围及淘汰理产品名型主要技术参35110kW 功率:YB2-315S-2132kW功率YB2-315M132kW功率2《中小200kW不符YB2-315L1功率三相异步电2110kW功率200年(含机能效限定功率132kWYB2-315L2前生产的该YB系及能效等级功率2160kW列电机最迟1-5中小型三GB200kWYB2-315S-4功率异步电动201年年18613-201功率YB2-315M75kW前停止使用功率90kW4准中能效限YB2-315L1功率110kW值要求132kW功率4250kW功率YB2-315L2315kW功率436250kW YB2-315S-6 功率315kW功率YB2-315M功率160kW6200kW功率YB2-315L1250kW6功率YB2-315L26YB2-355M2 YB2-355L-2 YB2-355M4 YB2-355L-4 YB2-355M137-6YB2-355M-6 YB2-355L-638。
淘汰电机型号汇总情况(二、三批)一、属于高耗能落后机电设备(产品)淘汰目录(第二批)应淘汰的电机型号1、Y系列三相异步电动机Y80M1-2 额定功率:0.75 kW 效率:75.0%Y80M2-2 额定功率:1.1 kW 效率:76.2%Y80M1-4 额定功率:0.55kW 效率:71.0%Y80M2-4 额定功率:0.75kW 效率:73.0%Y90S-2 额定功率:1.5kW 效率:78.5%Y90L-2 额定功率:2.2kW 效率:81.0%Y90S-4 额定功率:1.1kW 效率:76.2%Y90L-4 额定功率:1.5kW 效率:78.5%Y90S-6 额定功率:0.75kW 效率:69.0%Y90L-6 额定功率:1.1kW 效率:72.0%Y100L-2 额定功率:3kW 效率:82.6%Y100L1-4 额定功率:2.2kW 效率:81.0%Y100L2-4 额定功率:3kW 效率:82.6%Y100L-6 额定功率:1.5kW 效率:76.0%Y132S1-2 额定功率:5.5kW 效率:85.7%Y132S2-2 额定功率:7.5kW 效率:87.0%Y132S-4 额定功率:5.5kW 效率:85.7%Y132M-4 额定功率:7.5kW 效率:87.0%文案大全Y132M1-6 额定功率:4kW 效率:82.0% Y132M2-6 额定功率:5.5kW 效率:84.0% Y160M1-2 额定功率:11kW 效率:88.4% Y160M2-2 额定功率:15kW 效率:89.4% Y160L-2 额定功率:18.5kW 效率:90.0% Y160M-4 额定功率:11kW 效率:88.4% Y160L-4 额定功率:15kW 效率:89.4% Y160M-6 额定功率:7.5kW 效率:86.0% Y160L-6 额定功率:11kW 效率:87.5% Y180M-2 额定功率:22kW 效率:90.5% Y180M-4 额定功率:18.5kW 效率:90.0% Y180L-4 额定功率:22kW 效率:90.5% Y180L-6 额定功率:15kW 效率:89.0% Y200L1-2 额定功率:30kW 效率:91.4% Y200L2-2 额定功率:37kW 效率:92.0% Y200L-4 额定功率:30kW 效率:91.4% Y200L1-6 额定功率:18.5kW 效率:90.0% Y200L2-6 额定功率:22kW 效率:90.0% Y225M-2 额定功率:45kW 效率:92.5% Y225S-4 额定功率:37kW 效率:92.0% 文案大全Y225M-4 额定功率:45kW 效率:92.5% Y225M-6 额定功率:30kW 效率:91.5% Y250M-2 额定功率:55kW 效率:93.0% Y250M-4 额定功率:55kW 效率:93.0% Y250M-6 额定功率:37kW 效率:92.0% Y280S-2 额定功率:75kW 效率:93.6% Y280M-2 额定功率:90kW 效率:93.9% Y280S-4 额定功率:75kW 效率:93.6% Y280M-4 额定功率:90kW 效率:93.9% Y280S-6 额定功率:45kW 效率:92.5% Y280M-6 额定功率:55kW 效率:92.8% Y315S-2 额定功率:110kW 效率:94.0% Y315M-2 额定功率:132kW 效率:94.5% Y315L1-2 额定功率:132kW 效率:94.5% Y315L2-2 额定功率:200kW 效率:94.8% Y315S-4 额定功率:110kW 效率:94.5% Y315M-4 额定功率:132kW 效率:94.8% Y315L1-4 额定功率:160kW 效率:94.9% Y315L2-4 额定功率:200kW 效率:94.9% Y315S-6 额定功率:75kW 效率:93.5% 文案大全Y315M-6 额定功率:90kW 效率:93.8%Y315L1-6 额定功率:110kW 效率:94.0%Y315L2-6 额定功率:132kW 效率:94.2%Y355M-2 额定功率:250kW 效率:95.2%Y355L-2 额定功率:315kW 效率:95.4%Y355M-4 额定功率:250kW 效率:95.2%Y355L-4 额定功率:315kW 效率:95.2%Y355M1-6 额定功率:160kW 效率:94.5%Y355M2-6 额定功率:200kW 效率:94.5%Y355L-6 额定功率:250kW 效率:94.5%二、属于高耗能落后机电设备(产品)淘汰目录(第三批)应淘汰的电机型号文案大全。