国家Y系列电机淘汰路线图
- 格式:doc
- 大小:31.50 KB
- 文档页数:1
附件:之巴公井开创作
高耗能落后机电设备(产物)
淘汰目录(第三批)
二○一四年三月
目录
一、电念头 (1)
二、风机 (14)
创作时间:二零二一年六月三十日
一、电念头
创作时间:二零二一年六月三十日
创作时间:二零二一年六月三十日
创作时间:二零二一年六月三十日
创作时间:二零二一年六月三十日
创作时间:二零二一年六月三十日
创作时间:二零二一年六月三十日
创作时间:二零二一年六月三十日
创作时间:二零二一年六月三十日
创作时间:二零二一年六月三十日
创作时间:二零二一年六月三十日
创作时间:二零二一年六月三十日
创作时间:二零二一年六月三十日
创作时间:二零二一年六月三十日
二、风机
创作时间:二零二一年六月三十日
创作时间:二零二一年六月三十日。
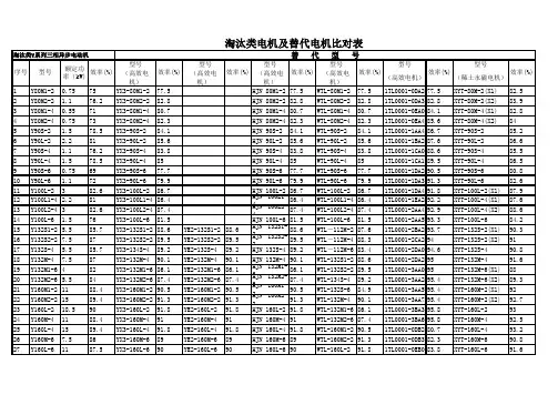
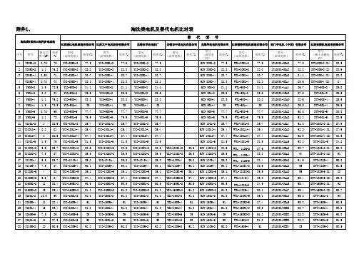
一、属于高耗能落后机电设备(产品)淘汰目录(第二批)应淘汰的电机型号1、Y系列三相异步电动机Y80M1-2 额定功率:0.75 kW 效率:75.0%Y80M2-2 额定功率:1.1 kW 效率:76.2%Y80M1-4 额定功率:0.55kW 效率:71.0%Y80M2-4 额定功率:0.75kW 效率:73.0%效率:Y90S-2 78.5% 额定功率:1.5kW效率:81.0% Y90L-2 额定功率:2.2kW效率:76.2% 额定功率:Y90S-4 1.1kW效率:78.5% 额定功率:1.5kW Y90L-4效率:69.0% 额定功率:Y90S-6 0.75kW效率:额定功率:1.1kW 72.0% Y90L-6效率:82.6% 额定功率:3kW Y100L-2效率:81.0% Y100L1-4 额定功率:2.2kW效率:82.6% 额定功率:3kW Y100L2-4效率:76.0% 额定功率:1.5kW Y100L-6效率:额定功率:5.5kW Y132S1-2 85.7%效率:额定功率:87.0% 7.5kW Y132S2-2效率:85.7% 额定功率:Y132S-4 5.5kW效率:87.0% Y132M-4 7.5kW 额定功率:效率:Y132M1-6 额定功率:4kW 82.0% 1Y132M2-6 额定功率:5.5kW 效率:84.0%Y160M1-2 额定功率:11kW 效率:88.4%Y160M2-2 额定功率:15kW 效率:89.4%Y160L-2 额定功率:18.5kW 效率:90.0%Y160M-4 额定功率:11kW 效率:88.4%Y160L-4 额定功率:15kW 效率:89.4%效率:Y160M-6 86.0% 额定功率:7.5kW效率:87.5% Y160L-6 额定功率:11kW效率:90.5% 额定功率:Y180M-2 22kW效率:90.0% 额定功率:18.5kW Y180M-4效率:90.5% 额定功率:Y180L-4 22kW效率:额定功率:15kW 89.0% Y180L-6效率:91.4% 额定功率:30kW Y200L1-2效率:92.0% Y200L2-2 额定功率:37kW效率:91.4% 额定功率:30kW Y200L-4效率:90.0% 额定功率:18.5kW Y200L1-6效率:额定功率:22kW Y200L2-6 90.0%效率:额定功率:92.5% 45kW Y225M-2效率:92.0% 额定功率:Y225S-4 37kW效率:92.5% Y225M-4 45kW 额定功率:效率:Y225M-6 额定功率:30kW 91.5% 2Y250M-2 额定功率:55kW 效率:93.0%Y250M-4 额定功率:55kW 效率:93.0%Y250M-6 额定功率:37kW 效率:92.0%Y280S-2 额定功率:75kW 效率:93.6%Y280M-2 额定功率:90kW 效率:93.9%Y280S-4 额定功率:75kW 效率:93.6%效率:Y280M-4 93.9% 额定功率:90kW效率:92.5% Y280S-6 额定功率:45kW效率:92.8% 额定功率:Y280M-6 55kW效率:94.0% 额定功率:110kW Y315S-2效率:94.5% 额定功率:Y315M-2 132kW效率:额定功率:132kW 94.5% Y315L1-2效率:94.8% 额定功率:200kW Y315L2-2效率:94.5% Y315S-4 额定功率:110kW效率:94.8% 额定功率:132kW Y315M-4效率:94.9% 额定功率:160kW Y315L1-4效率:额定功率:200kW Y315L2-4 94.9%效率:额定功率:93.5% 75kW Y315S-6效率:93.8% 额定功率:Y315M-6 90kW效率:94.0% Y315L1-6 110kW 额定功率:效率:Y315L2-6 额定功率:132kW 94.2% 3Y355M-2 额定功率:250kW 效率:95.2%Y355L-2 额定功率:315kW 效率:95.4%Y355M-4 额定功率:250kW 效率:95.2%Y355L-4 额定功率:315kW 效率:95.2%Y355M1-6 额定功率:160kW 效率:94.5%Y355M2-6 额定功率:200kW 效率:94.5%Y355L-6 额定功率:250kW 效率:94.5%二、属于高耗能落后机电设备(产品)淘汰目录(第三批)应淘汰的电机型号4 淘汰范围及时间淘汰理由型号主要技术参数序号产品名称Y112M-2 4 kW 功率:Y112M-4 4 kW 功率:Y112M-6 功率:2.2 kWY315L1-2 160 kW 功率:Y355M1-2 220 kW 功率:Y355M2-2 250 kW 功率:不符合《中小型三相异步电动Y355L1-2年(含)前生产的该系功率:280 kW 2003GBY系列(机能效限定值及能效等级》Y355L2-21-1年年2015列电机,最迟应于功率:315 kW )标准中能效限定中小型三相异步电动机18613-2012Y355M1-4 底前停止使用。
淘汰电机型号总结(二、三批)————————————————————————————————作者:————————————————————————————————日期:23一、属于高耗能落后机电设备(产品)淘汰目录(第二批)应淘汰的电机型号1、Y 系列三相异步电动机Y80M1-2 额定功率:0.75 kW 效率:75.0% Y80M2-2 额定功率:1.1 kW 效率:76.2% Y80M1-4 额定功率:0.55kW 效率:71.0% Y80M2-4 额定功率:0.75kW 效率:73.0% Y90S-2 额定功率:1.5kW 效率:78.5% Y90L-2 额定功率:2.2kW 效率:81.0% Y90S-4 额定功率:1.1kW 效率:76.2% Y90L-4 额定功率:1.5kW 效率:78.5% Y90S-6 额定功率:0.75kW 效率:69.0% Y90L-6 额定功率:1.1kW 效率:72.0% Y100L-2 额定功率:3kW 效率:82.6% Y100L1-4 额定功率:2.2kW 效率:81.0% Y100L2-4 额定功率:3kW 效率:82.6% Y100L-6 额定功率:1.5kW 效率:76.0% Y132S1-2 额定功率:5.5kW 效率:85.7% Y132S2-2 额定功率:7.5kW 效率:87.0% Y132S-4 额定功率:5.5kW 效率:85.7% Y132M-4 额定功率:7.5kW 效率:87.0%4Y132M2-6 额定功率:5.5kW 效率:84.0% Y160M1-2 额定功率:11kW 效率:88.4% Y160M2-2 额定功率:15kW 效率:89.4% Y160L-2 额定功率:18.5kW 效率:90.0% Y160M-4 额定功率:11kW 效率:88.4% Y160L-4 额定功率:15kW 效率:89.4% Y160M-6 额定功率:7.5kW 效率:86.0% Y160L-6 额定功率:11kW 效率:87.5% Y180M-2 额定功率:22kW 效率:90.5% Y180M-4 额定功率:18.5kW 效率:90.0% Y180L-4 额定功率:22kW 效率:90.5% Y180L-6 额定功率:15kW 效率:89.0% Y200L1-2 额定功率:30kW 效率:91.4% Y200L2-2 额定功率:37kW 效率:92.0% Y200L-4 额定功率:30kW 效率:91.4% Y200L1-6 额定功率:18.5kW 效率:90.0% Y200L2-6 额定功率:22kW 效率:90.0% Y225M-2 额定功率:45kW 效率:92.5% Y225S-4 额定功率:37kW 效率:92.0%5Y225M-6 额定功率:30kW 效率:91.5% Y250M-2 额定功率:55kW 效率:93.0% Y250M-4 额定功率:55kW 效率:93.0% Y250M-6 额定功率:37kW 效率:92.0% Y280S-2 额定功率:75kW 效率:93.6% Y280M-2 额定功率:90kW 效率:93.9% Y280S-4 额定功率:75kW 效率:93.6% Y280M-4 额定功率:90kW 效率:93.9% Y280S-6 额定功率:45kW 效率:92.5% Y280M-6 额定功率:55kW 效率:92.8% Y315S-2 额定功率:110kW 效率:94.0% Y315M-2 额定功率:132kW 效率:94.5% Y315L1-2 额定功率:132kW 效率:94.5% Y315L2-2 额定功率:200kW 效率:94.8% Y315S-4 额定功率:110kW 效率:94.5% Y315M-4 额定功率:132kW 效率:94.8% Y315L1-4 额定功率:160kW 效率:94.9% Y315L2-4 额定功率:200kW 效率:94.9% Y315S-6 额定功率:75kW 效率:93.5%6Y315L1-6 额定功率:110kW 效率:94.0% Y315L2-6 额定功率:132kW 效率:94.2% Y355M-2 额定功率:250kW 效率:95.2% Y355L-2 额定功率:315kW 效率:95.4% Y355M-4 额定功率:250kW 效率:95.2% Y355L-4 额定功率:315kW 效率:95.2% Y355M1-6 额定功率:160kW 效率:94.5% Y355M2-6 额定功率:200kW 效率:94.5% Y355L-6 额定功率:250kW 效率:94.5%二、属于高耗能落后机电设备(产品)淘汰目录(第三批)应淘汰的电机型号序号产品名称型号主要技术参数淘汰理由淘汰范围及时间1-1 Y系列中小型三相异步电动机Y112M-2Y112M-4Y112M-6Y315L1-2Y355M1-2Y355M2-2Y355L1-2Y355L2-2Y355M1-4Y355M2-4Y355L1-4Y355L2-4Y355M2-6Y355M3-6Y355L1-6Y355L2-6功率:4 kW功率:4 kW功率:2.2 kW功率:160 kW功率:220 kW功率:250 kW功率:280 kW功率:315 kW功率:220 kW功率:250 kW功率:280 kW功率:315 kW功率:185 kW功率:200 kW功率:220 kW功率:250 kW不符合《中小型三相异步电动机能效限定值及能效等级》(GB18613-2012)标准中能效限定值要求。
淘汰电机型号汇总(二、三批)一、属于高耗能落后机电设备(产品)淘汰目录(第二批)应淘汰的电机型号1、Y系列三相异步电动机Y80M1-2 额定功率:0.75 kW 效率:75.0% Y80M2-2 额定功率:1.1 kW 效率:76.2% Y80M1-4 额定功率:0.55kW 效率:71.0% Y80M2-4 额定功率:0.75kW 效率:73.0% Y90S-2 额定功率:1.5kW 效率:78.5% Y90L-2 额定功率:2.2kW 效率:81.0% Y90S-4 额定功率:1.1kW 效率:76.2% Y90L-4 额定功率:1.5kW 效率:78.5% Y90S-6 额定功率:0.75kW 效率:69.0% Y90L-6 额定功率:1.1kW 效率:72.0% Y100L-2 额定功率:3kW 效率:82.6% Y100L1-4 额定功率:2.2kW 效率:81.0% Y100L2-4 额定功率:3kW 效率:82.6%2Y132S1-2 额定功率:5.5kW 效率:85.7%Y132S2-2 额定功率:7.5kW 效率:87.0% Y132S-4 额定功率:5.5kW 效率:85.7% Y132M-4 额定功率:7.5kW 效率:87.0% Y132M1-6 额定功率:4kW 效率:82.0% Y132M2-6 额定功率:5.5kW 效率:84.0% Y160M1-2 额定功率:11kW 效率:88.4% Y160M2-2 额定功率:15kW 效率:89.4% Y160L-2 额定功率:18.5kW 效率:90.0% Y160M-4 额定功率:11kW 效率:88.4% Y160L-4 额定功率:15kW 效率:89.4% Y160M-6 额定功率:7.5kW 效率:86.0% Y160L-6 额定功率:11kW 效率:87.5%Y180M-2 额定功率:22kW 效率:90.5%3Y180L-4 额定功率:22kW 效率:90.5%Y180L-6 额定功率:15kW 效率:89.0% Y200L1-2 额定功率:30kW 效率:91.4% Y200L2-2 额定功率:37kW 效率:92.0% Y200L-4 额定功率:30kW 效率:91.4% Y200L1-6 额定功率:18.5kW 效率:90.0% Y200L2-6 额定功率:22kW 效率:90.0% Y225M-2 额定功率:45kW 效率:92.5% Y225S-4 额定功率:37kW 效率:92.0% Y225M-4 额定功率:45kW 效率:92.5% Y225M-6 额定功率:30kW 效率:91.5% Y250M-2 额定功率:55kW 效率:93.0% Y250M-4 额定功率:55kW 效率:93.0%Y250M-6 额定功率:37kW 效率:92.0%4Y280M-2 额定功率:90kW 效率:93.9%Y280S-4 额定功率:75kW 效率:93.6% Y280M-4 额定功率:90kW 效率:93.9% Y280S-6 额定功率:45kW 效率:92.5% Y280M-6 额定功率:55kW 效率:92.8% Y315S-2 额定功率:110kW 效率:94.0% Y315M-2 额定功率:132kW 效率:94.5% Y315L1-2 额定功率:132kW 效率:94.5% Y315L2-2 额定功率:200kW 效率:94.8% Y315S-4 额定功率:110kW 效率:94.5% Y315M-4 额定功率:132kW 效率:94.8% Y315L1-4 额定功率:160kW 效率:94.9% Y315L2-4 额定功率:200kW 效率:94.9%Y315S-6 额定功率:75kW 效率:93.5%5Y315L1-6 额定功率:110kW 效率:94.0% Y315L2-6 额定功率:132kW 效率:94.2% Y355M-2 额定功率:250kW 效率:95.2% Y355L-2 额定功率:315kW 效率:95.4% Y355M-4 额定功率:250kW 效率:95.2% Y355L-4 额定功率:315kW 效率:95.2% Y355M1-6 额定功率:160kW 效率:94.5% Y355M2-6 额定功率:200kW 效率:94.5% Y355L-6 额定功率:250kW 效率:94.5% 二、属于高耗能落后机电设备(产品)淘汰目录(第三批)应淘汰的电机型号6序号产品名称型号主要技术参数淘汰理由淘汰范围及时间1-1 Y系列中小型三相异步电动机Y112M-2Y112M-4Y112M-6Y315L1-2Y355M1-2Y355M2-2Y355L1-2Y355L2-2Y355M1-4功率:4 kW功率:4 kW功率:2.2 kW功率:160 kW功率:220 kW功率:250 kW功率:280 kW功率:315 kW功率:220 kW不符合《中小型三相异步电动机能效限定值及能效等级》(GB18613-2012)标准中能效限定值要求。
一、属于高耗能落后机电设备(产品)淘汰目录(第二批)应淘汰的电机型号1、Y系列三相异步电动机Y80M1-2 额定功率: kW 效率:%Y80M2-2 额定功率: kW 效率:%Y80M1-4 额定功率:效率:%Y80M2-4 额定功率:效率:%Y90S-2 额定功率:效率:%Y90L-2 额定功率:效率:%Y90S-4 额定功率:效率:%Y90L-4 额定功率:效率:%Y90S-6 额定功率:效率:%Y90L-6 额定功率:效率:%Y100L-2 额定功率:3kW 效率:%Y100L1-4 额定功率:效率:%Y100L2-4 额定功率:3kW 效率:%Y100L-6 额定功率:效率:%Y132S2-2 额定功率:效率:%Y132S-4 额定功率:效率:%Y132M-4 额定功率:效率:%Y132M1-6 额定功率:4kW 效率:% Y132M2-6 额定功率:效率:%Y160M1-2 额定功率:11kW 效率:% Y160M2-2 额定功率:15kW 效率:% Y160L-2 额定功率:效率:%Y160M-4 额定功率:11kW 效率:% Y160L-4 额定功率:15kW 效率:% Y160M-6 额定功率:效率:%Y160L-6 额定功率:11kW 效率:% Y180M-2 额定功率:22kW 效率:% Y180M-4 额定功率:效率:%Y180L-4 额定功率:22kW 效率:% Y180L-6 额定功率:15kW 效率:%Y200L-4 额定功率:30kW 效率:% Y200L1-6 额定功率:效率:%Y200L2-6 额定功率:22kW 效率:% Y225M-2 额定功率:45kW 效率:% Y225S-4 额定功率:37kW 效率:% Y225M-4 额定功率:45kW 效率:% Y225M-6 额定功率:30kW 效率:% Y250M-2 额定功率:55kW 效率:% Y250M-4 额定功率:55kW 效率:% Y250M-6 额定功率:37kW 效率:% Y280S-2 额定功率:75kW 效率:% Y280M-2 额定功率:90kW 效率:% Y280S-4 额定功率:75kW 效率:% Y280M-4 额定功率:90kW 效率:% Y280S-6 额定功率:45kW 效率:%Y315M-2 额定功率:132kW 效率:% Y315L1-2 额定功率:132kW 效率:% Y315L2-2 额定功率:200kW 效率:% Y315S-4 额定功率:110kW 效率:% Y315M-4 额定功率:132kW 效率:% Y315L1-4 额定功率:160kW 效率:% Y315L2-4 额定功率:200kW 效率:% Y315S-6 额定功率:75kW 效率:% Y315M-6 额定功率:90kW 效率:% Y315L1-6 额定功率:110kW 效率:% Y315L2-6 额定功率:132kW 效率:% Y355M-2 额定功率:250kW 效率:% Y355L-2 额定功率:315kW 效率:% Y355M-4 额定功率:250kW 效率:% Y355L-4 额定功率:315kW 效率:%Y355L-6 额定功率:250kW 效率:%二、属于高耗能落后机电设备(产品)淘汰目录(第三批)应淘汰的电机型号。
一、属于高耗能落后机电设备(产品)淘汰目录(第二批)应淘汰的电机型号1、Y系列三相异步电动机Y80M1-2 额定功率:0.75 kW 效率:75.0%Y80M2-2 额定功率:1.1 kW 效率:76.2%Y80M1-4 额定功率:0.55kW 效率:71.0%Y80M2-4 额定功率:0.75kW 效率:73.0%Y90S-2 额定功率:1.5kW 效率:78.5%Y90L-2 额定功率:2.2kW 效率:81.0%Y90S-4 额定功率:1.1kW 效率:76.2%Y90L-4 额定功率:1.5kW 效率:78.5%Y90S-6 额定功率:0.75kW 效率:69.0%Y90L-6 额定功率:1.1kW 效率:72.0%Y100L-2 额定功率:3kW 效率:82.6%Y100L1-4 额定功率:2.2kW 效率:81.0%Y100L2-4 额定功率:3kW 效率:82.6%Y100L-6 额定功率:1.5kW 效率:76.0%Y132S1-2 额定功率:5.5kW 效率:85.7%Y132S2-2 额定功率:7.5kW 效率:87.0%Y132S-4 额定功率:5.5kW 效率:85.7%Y132M-4 额定功率:7.5kW 效率:87.0%Y132M1-6 额定功率:4kW 效率:82.0%1Y160M1-2 额定功率:11kW 效率:88.4%Y160M2-2 额定功率:15kW 效率:89.4%Y160L-2 额定功率:18.5kW 效率:90.0%Y160M-4 额定功率:11kW 效率:88.4%Y160L-4 额定功率:15kW 效率:89.4%Y160M-6 额定功率:7.5kW 效率:86.0%Y160L-6 额定功率:11kW 效率:87.5%Y180M-2 额定功率:22kW 效率:90.5%Y180M-4 额定功率:18.5kW 效率:90.0%Y180L-4 额定功率:22kW 效率:90.5%Y180L-6 额定功率:15kW 效率:89.0%Y200L1-2 额定功率:30kW 效率:91.4%Y200L2-2 额定功率:37kW 效率:92.0%Y200L-4 额定功率:30kW 效率:91.4%Y200L1-6 额定功率:18.5kW 效率:90.0%Y200L2-6 额定功率:22kW 效率:90.0%Y225M-2 额定功率:45kW 效率:92.5%Y225S-4 额定功率:37kW 效率:92.0%Y225M-4 额定功率:45kW 效率:92.5%Y225M-6 额定功率:30kW 效率:91.5%2Y250M-4 额定功率:55kW 效率:93.0%Y250M-6 额定功率:37kW 效率:92.0%Y280S-2 额定功率:75kW 效率:93.6%Y280M-2 额定功率:90kW 效率:93.9%Y280S-4 额定功率:75kW 效率:93.6%Y280M-4 额定功率:90kW 效率:93.9%Y280S-6 额定功率:45kW 效率:92.5%Y280M-6 额定功率:55kW 效率:92.8%Y315S-2 额定功率:110kW 效率:94.0%Y315M-2 额定功率:132kW 效率:94.5%Y315L1-2 额定功率:132kW 效率:94.5%Y315L2-2 额定功率:200kW 效率:94.8%Y315S-4 额定功率:110kW 效率:94.5%Y315M-4 额定功率:132kW 效率:94.8%Y315L1-4 额定功率:160kW 效率:94.9%Y315L2-4 额定功率:200kW 效率:94.9%Y315S-6 额定功率:75kW 效率:93.5%Y315M-6 额定功率:90kW 效率:93.8%Y315L1-6 额定功率:110kW 效率:94.0%Y315L2-6 额定功率:132kW 效率:94.2%3Y355L-2 额定功率:315kW 效率:95.4%Y355M-4 额定功率:250kW 效率:95.2%Y355L-4 额定功率:315kW 效率:95.2%Y355M1-6 额定功率:160kW 效率:94.5%Y355M2-6 额定功率:200kW 效率:94.5%Y355L-6 额定功率:250kW 效率:94.5%二、属于高耗能落后机电设备(产品)淘汰目录(第三批)应淘汰的电机型号4567891011121314151617。
高耗能落后机电设备(产品)
淘汰目录(第二批)
中华人民共和国工业和信息化部公告
2012年?第14号
Y系列电动机是上世纪80年代全国统一设计的产品,其导磁材料使用热轧硅钢片,能耗高、效率低、环保性能差,不符合国家相应的现行标准。
二○一二年四月
目录
一、电动机 (1)
二、工业锅炉 (7)
三、电器 (8)
四、变压器 (13)
五、电焊机 (13)
六、机床 (14)
七、锻压设备 (18)
八、热处理设备 (20)
九、制冷设备 (20)
十、阀 (20)
十一、泵 (21)
十二、其他 (21)
一、电动机
二、工业锅炉
三、电器
四、变压器
五、电焊机
六、机床
七、锻压设备
八、热处理设备
九、制冷设备
十、阀
十一、泵
十二、其他。
一、属于高耗能落后机电设备(产品)淘汰目录(第二批)应淘汰的电机型号1、Y系列三相异步电动机Y80M1-2 额定功率: kW 效率:%Y80M2-2 额定功率: kW 效率:%Y80M1-4 额定功率:效率:%Y80M2-4 额定功率:效率:%Y90S-2 额定功率:效率:%Y90L-2 额定功率:效率:%Y90S-4 额定功率:效率:%Y90L-4 额定功率:效率:%Y90S-6 额定功率:效率:%Y90L-6 额定功率:效率:%Y100L-2 额定功率:3kW 效率:%Y100L1-4 额定功率:效率:%Y100L2-4 额定功率:3kW 效率:%Y100L-6 额定功率:效率:%Y132S1-2 额定功率:效率:%Y132S2-2 额定功率:效率:%Y132S-4 额定功率:效率:%Y132M-4 额定功率:效率:%Y132M1-6 额定功率:4kW 效率:%Y132M2-6 额定功率:效率:%Y160M2-2 额定功率:15kW 效率:% Y160L-2 额定功率:效率:%Y160M-4 额定功率:11kW 效率:% Y160L-4 额定功率:15kW 效率:% Y160M-6 额定功率:效率:%Y160L-6 额定功率:11kW 效率:% Y180M-2 额定功率:22kW 效率:% Y180M-4 额定功率:效率:%Y180L-4 额定功率:22kW 效率:% Y180L-6 额定功率:15kW 效率:% Y200L1-2 额定功率:30kW 效率:% Y200L2-2 额定功率:37kW 效率:% Y200L-4 额定功率:30kW 效率:% Y200L1-6 额定功率:效率:%Y200L2-6 额定功率:22kW 效率:% Y225M-2 额定功率:45kW 效率:% Y225S-4 额定功率:37kW 效率:% Y225M-4 额定功率:45kW 效率:% Y225M-6 额定功率:30kW 效率:% Y250M-2 额定功率:55kW 效率:% Y250M-4 额定功率:55kW 效率:%Y280S-2 额定功率:75kW 效率:% Y280M-2 额定功率:90kW 效率:% Y280S-4 额定功率:75kW 效率:% Y280M-4 额定功率:90kW 效率:% Y280S-6 额定功率:45kW 效率:% Y280M-6 额定功率:55kW 效率:% Y315S-2 额定功率:110kW 效率:% Y315M-2 额定功率:132kW 效率:% Y315L1-2 额定功率:132kW 效率:% Y315L2-2 额定功率:200kW 效率:% Y315S-4 额定功率:110kW 效率:% Y315M-4 额定功率:132kW 效率:% Y315L1-4 额定功率:160kW 效率:% Y315L2-4 额定功率:200kW 效率:% Y315S-6 额定功率:75kW 效率:% Y315M-6 额定功率:90kW 效率:% Y315L1-6 额定功率:110kW 效率:% Y315L2-6 额定功率:132kW 效率:% Y355M-2 额定功率:250kW 效率:% Y355L-2 额定功率:315kW 效率:% Y355M-4 额定功率:250kW 效率:%Y355M1-6 额定功率:160kW 效率:%Y355M2-6 额定功率:200kW 效率:%Y355L-6 额定功率:250kW 效率:%二、属于高耗能落后机电设备(产品)淘汰目录(第三批)应淘汰的电机型号。