2012-2013学年国家励志奖学金初审学生名单
- 格式:doc
- 大小:141.00 KB
- 文档页数:19
2013届毕业生2012-2013学年校内奖学金获奖名单环境工程学院:特等奖人数:(4)人孟红影江文文孙祎璠吴雨秋一等奖人数:(12)人陈兰李旦陈璐力慧孟丽君殷艳卞春梅郝晓洁许文静蔡俊美张怡俞璇二等奖人数:(24)人刘慎远翟菲陈雅君陈垚澎刘晴周彩云段修然王然李波胡燕杰刘星尤婷杨晶陆树云刘何平郝雅婷潘玲史梦姣孙雯雯高春英李泽华张建晶马骕喻鑫鑫三等奖人数:(41)人颜梅袁鎏鎏胡青张伟超刘伟张林恒张凯歌廖志鹏居露崔明明李淮袁君钱铖彬庄辉孙显程王健刘冠廷张建杨晓峰王斌李辰骁周倩沈荔钱泽霞吴冬梅吴秋霞陈丹秦柯柯席雨濛董海银周梅厉莉吴洁陈蒙蒙杨雨花马圆圆徐佳祎陈亚清花蕊包亚英刘忆骋数学与物理科学学院:特等奖人数:( 6 )人邹翠艳王敏李晴王伟祁健李庆峰一等奖人数:( 19 )人杜真真彭丹丹佟寒李小龙杨蓓蓓陈霞孙倩刘群孙明星吕正东吴莹华红飞陈天彤耿梦陵陈继周张文文刘霄霄胡佩佩张旭二等奖人数:( 39 )人张洁喻琳庞超群孙跃施莹莹张敏徐婷婷潘雨钱嘉琳包文文周肖张晓桐张倩程善亮顾一骏殷建秋沈悦璐王大超周涛樊冬玲陈红陈晓荣崔瀛董菁靳常伟谢云徐海峰史昌龙赵方超巫亮吴凡陈玉丹吕修伟丁添赵越莫琦肖翠花跃凯张欣皓三等奖人数:( 64 )人褚桥沈艳庞辰张浩卫青青陈凯华张婷陈招君孔婷刘大权曹璐璐李苏旦陆慧朱慧熊成杰季益梅沈小清崔聪邓暑萍王娅茹高燕吴伟军刘备姚凯月奚超杰秦伟郭湫钍吴金翠臧长伟刘欢陶志福张琼付明浩张旭徐亮袁兵高祥魏春林童长青丁辉朱旭芹姚兰赵晓洁邵伟程李媛媛李贺朱骏王生超郑贵鑫黄林林张俊李席席仇伟朱佳李雪芳李前文季檬孔令成钱梦婷张铭孟超陈熙董丽梅陶黎斌艺术学院:特等奖人数:(8)人张强房晓丽刘羽浩刘璐刘明轩王涵之陈倩伟郑婕钰一等奖人数:(23)人王宁徐静徐晨曦陈昌义程雁吴延智许文勇朱安源李换解梦雨刘帅李国勇罗艳艳李新星吕小龙于加段福芹仲娟李琳璐沈俐妮郭林吴春霞王怡二等奖人数:(45)人张羚李美霖王唱洪舒珣张洋陈志娟胡小星丁薇王梅李君姮龚连飞崔海洁邱月翟晓燕韩旭杜莉莉李咪顾燕青唐盛璐吴小娟王艳凤朱琳刘晓宇朱露唐斐然冯雨晴刘彬彬李伟眀悦卜慧秋戴艳霞李胜楠马菁王科晓陈迟李田田庞洁左玉竹徐萍张婷婷马心吴极张冉石纹景贾抒雁三等奖人数:(75)人靳伟潘艳花熊刘燕袁雪芬朱燕周家绪祝志倩徐静宁美莹于洪波彭露赵云谢寒张贵星刘宇维王冲明崔珊珊陈秀梅胡亚徽李佩茹王宏伟余慧慧刘艳吴超杨小凡夏嫣婷王慧卞林梅环贝贝李万里吴晓芹张溶溶张小梅胡莹刘慢赵金金王晓洁朱王磊刘云常静陈怡婷张念富束丽娟徐建孙成群秦余稹李杨左德威沈雯雯郭媛媛蒋甜甜李益欣李云霞赵晶晶车玲丁红军周小芳杨娟郭娜仲崇晓李洁张云刘苗苗刘入健汤无双雷珊珊王玲王赛赛江君梁兆勇孙星胡双王叶双王雅聃刘子涵外国语学院:特等奖人数:( 3 )人刘晓宛陈丽丽魏娜一等奖人数:( 10 )人候晨徐倩朱雯琴赵洁乔倩鲁琳洁刘青邵晶晶尹春霞任婷二等奖人数:( 21 )人姜懿珈郑瑛石坤培章春留王双停马生潇陈海燕陈佳蔡霞陈严明吴悦季亚赟王慧芳邱静左瑛刘璇余菲菲赵伟丽陈寓宗鑫香张小玲三等奖人数:( 35 )人蒋慧娴郭海萍张洁于晨菲王倩雯李苏园刘佳赵婷婷王灿郑梦张叶蔡敏爽徐杨姜鸳鸳吴美红丁爱芹屈会朱亚华徐文宽丁静范蕾邱丽兰杜银娟芮荷崔屹帆沈林徐丹孟骁徐传加张阳洋金顾婷张艳娟杨欢黄文静张婷婷化学化工学院:特等奖人数:( 3 )人王文诗徐曦郭倩一等奖人数:( 9 )人蔡玮吴小倩陈博张丽娟颜玉桂李茂媛郭亚玭周甜陈晓莉二等奖人数:( 17 )人董梦姣孙聪艳马文峰施燕鹏孙康杨洋万嫚嫚高源王琪朱崇菲戴宁平张驰李亮沈明张玉洁申美王雨杰三等奖人数:( 28 )人郭乃杭张洵汪明骏黄铖卞晓晨刘鑫张树峰姜伟阳杨阳苏扬陈雨衡思部王诗雨顾振浩陈庭程浩袁晓晓徐凯华施峰曹巧珍王沿方丁忠琴杨静沙春明宋政昊孙梦王欢孟祥云土木工程学院:特等奖人数:( 10 )人徐珊珊王硕王旭东王海江孙润曦蒋旭东李华雷韩飞飞苏川葛云菲一等奖人数:( 31 )人赵凤珍曹婷婷陈淑娟张德进周颖陈露宋明星王晓红朱良海汪丹丹潘闻闻李亚朱月陈雅南王瑜丁倩杜长松尹贝贝朱蓉马晓芸顾雯赵静张晓嫚瞿欢方诚梁若男张新满孟辉蔡田杨明英王士禄二等奖人数:( 63 )人孟宪旺姚金燕侍行涛孙晓鹏朱晓宇梁菊高世民陈聪余梦孙建壮张咪曹玉婷蔡成乐郭利张志黄永彬龚艳万其叶路慧况丽李红艳陈铃王兆南李涛李春城于丽霞汤艳红章俊南车文艳王锋薛春松王婷婷杨冰清封骏马璐顾明明钱钢李帆朱静秋王聪吕国栋颜凯臧雯雯陈万鹏王晶雅夏雪莲龚云周琴胥娟桂冉杨雄风齐中苗王乐乐王雯雯刁有为张国正孙灿灿袁丹丹黄海洋孙鹏帅邢威风刘广洋袁野三等奖人数:( 105 )人朱滔王志文吴科强蒋尧郑诣徐婕郝翔冯亚军张庆飞高洋陈志浩钱泽伦肖闯陈立雳肖其武王宇韩巍张伟张琦孟长征秦稳杨杰芮雪林夏亚平袁佳伟马骏柏海龙夏静陈萌刘骞季培培陈冰蒋元苗孔繁熙陈梦姣陈程陈海华徐骏王中欣胡晗吴平徐锡张庭恺许巍朱飞鹏相健丁长尉孙延盼王巍邢洁萍张昱许秋敏陈盼周弘诚张杰艳朱叶谢红邹春红胡清王琪谢蕾黄鹏陈海锋朱明明濮树丽楚淘刘羽稀施腾泉徐晶晶顾柳孙峰陆宵华顾明鹏翟昌骏费亚男王海艳崔小芳顾秀花薛轲顾冬谭鹤祺严锐籍朝阳刁娜丽朱仪建唐晓甜李凯朱培边兆旋张宏扬崔春晓孙安鑫魏名洋高志翔昝金强王超永宿启马亮孙伟金君锋冯晨晨贾义永周健耿双龙顾晓波机电工程学院:特等奖人数:( 12 )人张文波黄祖辉濮莎莎葛进国周宇刘晓莉刘洪燕卓永著薛瑶金晨孔晨光刘琳一等奖人数:( 35 )人唐宇牛欢欢周子易朱丹萍李泽新于凌云刘亚李磊磊张小婧朱晶晶顾敏孙婷赵景奇刘静雅万鹏飞刘芬李爱博刘立龙王彦博吴瑶黄晶晶冯亚菊陈熙亚祖慧敏张开祥陈晓燕余巧燕杨阳徐和平周雨蒙郑婷婷雷朝锋丁洁王香香陈美二等奖人数:( 70 )人赵恒茆文侯盼盼常凯王扣朱李娟高娜郭影影李宁虞威梁丹戚薇薇黄黎明熊成意许佳丽王涛朱红玉陈兰吉许锦凯郝婷婷张玥李广贤沈佳佳佘晓飞王辉何佳诺陈瑞吴晓秀王健波陈少东柏玥蒋云陈通马永王霜萍王梦繁黄月月王琳董云武王鹏盛雪琴赵文洁苏寅丰吴佳伟王锦张宇成松松潘晓晓周永洁姜梦金吴雷黄睿王文曹春骏杨冬玉王建斌曹庭乔恩强沈军柯孙绪达杨序月梁晴焦祥田国伟张岩朱成杨二枫杨三林吕梦秋薛飞三等奖人数:( 116 )人高力胡学卫顾丽丽俞立立胡岩孙林苏州邱伟朱精武潘杰张秀丽姜晶晶周瑞费芳胡锦成贾宜卫华佳杨新花郭云翔朱烨王鑫王静朱大鹏孙伟钧杨婷邵晴晴张明明王发瑞苏波亮袁士俊周小飞陈前祥刘雨妮李霞张琴裴子祥殷春江郑清之郑妮郁鑫仲啸峰杨申涛张年马超邱亮郭海洋杨洋周蓉蓉董丽君陆英陈守乐俞蕴哲王超周姚王杨葛路伟夏雨张俊杰吴明陈浩刘明杨阳顾凯驰周铭铭高鹏雅陈云侯军军王昆陈国骏张国庆徐毅赵健朱亮亮张钦周希凯孙继红顾鸿鸣李伟伟屠仁刚庄杰徐杨孙家伟韩扬吴春春吴捷李军伟冯伦洋谷攀张国胜朱培超穆群群施凯杰李伟韩守贤李文龙朱学康张诚贺锐叶玉洁吴鹏陈浩浩吴成保陈涛王森湛承东孙猛解松鹏胡梦梦齐同彬王骏李倩谢景利章海霞徐文宇王成王汪洋人文学院:特等奖人数:( 5 )人黄翩戴杨林王翔宇许文蔡肖肖一等奖人数:( 15 )人凌丽潘沉卢娜胡苗苗许梦颖钱佳翠石柳花夏蓓徐媛媛蔡平平王小燕吕文园李昀烨王建云王安琪二等奖人数:( 29 )人章洁吴梦芸蔡伟袁孝扬孟晔冯霞苏美玲冯洁权玉恽晴孙宜乐陈徐孙雨瑶方程朱彩萍张贤芬石敏叶诗雯朱娟顾雨婷刘欢朱敏慧胡玥蔡静雅邵彩云张文君陈妍伍星星朱加萌三等奖人数:( 49 )人许芳吴秋雨殷寻乌天宇顾丽丽朱红庄胜缪庆婷周烨徐芾苏珍徐含杨阳陈晓兰寇恒平陈萍赵阳张敏戴君言李雪姚慧苏华袁园张小苗施令媛张文宇刘冬琴宦晨露耿海燕徐艺文薛晓燕姜孝李宁王蕾蕾单梦瑶毛立未于孟娇倪慧慧张学慧黄丹丹刘夏李秋丽韩雨余伶艳王雪平陈丽哲徐莉邓文缘周佳佳食品(生物)工程学院:特等奖人数:( 7 )人孔璐邹琦樊继强卓玉凤陈亚庆伏曼王琪一等奖人数:( 20 )人田杨王然牛亚梅徐秋艳陈芳彭甜甜周钦威顾蓓蓓周玲曹婷婷王娅陈晓倩张培培周洁王灿徐小伟黄峰徐源薛陶陶成建娣二等奖人数:( 40 )人柴文波葛善臣于凌波严婷华丹曹芃蔡小燕王情徐洋黄海亮朱玲玲李益多王红云夏义泉王举婷徐杰杰郑进江岩陈婷朱兆丽李芬钱小丽刘彬倩白雪纯宋海燕李娜庄霄玲刘姗曹晨玉沈康周道波洪梦叶顾霜廷孟庆翠王帅岳剑岑李铭明赵云曹锐徐飞三等奖人数:( 66 )人王秀秀沈辉陆丽婷苏颖朱蒙蒙彭新华于天相何小莹李敬李凯燕陈智杰陆桑桑马文娟陈佩芝李振宇陈琨江徽许诺王庆芝蒋涵钟培培祁建婷周金芳王焕焕孙伟吕继丹张铭麟顾陆杨蔡俊良韩彩云江越颖奚兴祥陈瑞琪肖杨张军委陈文君陈圣勇徐檬鞠晶金雯霞纪伟蒋倩张永柱房明星王静娴季云陆晨袁娟蒋海侠吴双双刘飞刘小嘉赵涛陆倪娟吉海荣项达军王康丽王雅陈萤袁野沈紫云李玮曹文文朱小嘉秦帅何英管理学院:特等奖人数:( 15 )人冯茂良张芸肖旋邱文君高巧玲孙成魏爱荣周夏夏王晶晶徐通苏婉曾丽娟刘苏瑶吴昊李银娜一等奖人数:( 44 )人张金淋苏丹施静唐丽娟付双梅卜艳平徐丹蔡同黄吴珍红王龙霞周澹窦艳莉朱春花周月蔓杨芹陈月月赵艳秋刘丽丽闫梦园杨谋娟沈君慧陈醒何佳敏戴发佐周丽艳张蕾陆秋艳杨海燕刘佳雯王琳顾平朱珠徐艳婧孙珊赵阳肖春惠张宇沈莉莉周静朱季娴董小静李婷婷白婧周莹二等奖人数:( 88 )人顾洁姜淋淋张媛媛张颖董岩岩张亚黄娟张洁陈夏司苏琦汤岳琪蒋苏兰朱京莱金万刚马超曹玖华陈一太王远超赵洁刘金金把镇宗张健徐为为袁丹杨晶晶张巧华孟娣王倩马海梅高飒姿郭静秦照丹王玲玲张魏卫程娟陈世亚刘加茹王萍汪倩英徐亭亭俞海娟王璐王蕾邓颖丁荣荣吴姗姗徐颖闵翔杨傲李洁吉小月柏洁沈焙焙黄学领陆婷沈霞毛文骅胡静李蕾周欣宇朱红玉汪宝霞王赟谢凤钱明轩宗律张秋花谢凤文陆娅储开美陈菲菲王璐邱佩芝董敏李萌高翠鹏戴婷婷应丹妮李玉玲赵丹王睿喆李娜娜虞静朱素琴杨丹丁亚培李洁黄丽三等奖人数:( 146 )人李双剑李珊汪燕仲迪程慧芹单林刘芬芬胥小献龚佳楠董蕾花凤敏唐传星王红刘田王玉侠张建金祖宵李莹莹谢伟伟陶炎王凯悦经中伟周霞葛娇王智慧周晨雨葛娇娇王青青周培培张丹丹张开添季飞尤丹李聪朱雪媚罗甜姜菲朱君臣沈夏波崔苗苗孙正艳史杏杏朱甜赵双燕王婉欧昌玲蔡碧玮葛敏吴月月李婷婷曹元虎赵影影王会敏陈倩项汉嵚荣瑞王婷云杨婷马婷俞娇王桂林金彩霞罗万成孙静张洁魏晓慧张礼睿钱滟淋宋亚洲吴敏付琪秦双双沈春红严生辉葛培张磊管燕月段培刘群沈丽丽朱健华袁浩玥潘斌羌玉梅苏清丽陈飞虎陆薇陈倩倩刘欢毛敏陈燕舞杨语婷汤柳芝严美娟周冬平许红男顾文娟陈霞张亚王梓宇俞振杰张静仲利萍王思思朱庆庆孙佳菲杨环宇陈楚楚朱梦婷颜小娟钱海萍贺兴柱袁伟伟周剑婷仲杨李雪冯兰茵顾晓芸孙艺萍沈晓迪段玉力沈倩刘金丽姜雨徽孙灵解晓丽张婷张颖卢淑慧尚建芳昌志月赵晓芳周博文王艳丽景薇张婷婷张怀月崔晨魏祯袁小英郑丽娟吴序芬王馨陈玲许海燕薛云芸信电工程学院:特等奖人数:( 11 )人陈丽如林诚程波王涛陈强赵婷婷朱丽婷吴俊祥黄千里何峰刘红一等奖人数:( 33 )人徐琳仲钦钮赛丹蒋晓峰戴秋梦刘振光施秀峰杨广政周培王亚南查雨婷张亚旭葛柳飞陈伟严浩曹为玮付军卞慧娟陆婷张恬周成飞宣玖成莫守杰房茹祁力张超超李颖王旭辉王宝蕾朱帅唐国梁王晓峰吴亚梅二等奖人数:( 66 )人李琼储姣吴永超季春荣姚佳雨耿玉红展晶晶张婷婷强薇潘卫蛟李田田袁慧新陈香徐进珍陈远波於春新贲芳李天益蔡菊萍钱鑫吴凌云杨皓施军徐姗李娜朱孔芳孙媛媛王璇杜秋芳顾园园徐成胡适洋王小伟张东梅陈冬中贾智慧王阗姝孔为为袁涛向德铭孙士闯杨桃王静温春苗祝保莲沈丹丹张艳红卞小玲陈峰孙瀚马文张武华周婷王晶张伟伟王康肖圣兰王慧张丽丽马敏张家威王仕娟林庆群胡象明潘小清陈思伊三等奖人数:( 110 )人井刚山赵骏鲍海存秦余涛张志新崔恒月张锐朱园飞顾大庆童玲玲李晶陆皓严永王银徐婷张伟朱俊杰陈滨陆涛孙东俊施淋华潘义云孙伟师蕾王敏张亮周钦豹张正帮邵明腾衡亮刘玉蓉乔涛陈海波陈思敏侯敏袁志卞庭帅张贇媛李泰饷曹韦伟钟信星顾星星陈飞许森李峰黄家琳冯敏周欢耿天翼段亮王骥静田兴琅裴洋帆翟晓斐康维维徐智浩朱荣博周梅张家祥曹清梅李荣成陈香香程宁华黄小婷徐敏张建彬高翔李江峰沈苏豫夏霖沈阳贺晨阳张媛媛丁海芹张亮朱平樊鑫鑫季弘扬宋倩倩袁牧陆佳艳翟平平陆双双李帅杨阳罗来营王振王斌张盼卢烨陶红烨钱东敏孟祥列欧俊君陈捷施云凤祁思吉房雷梁扬炼李胜王海波赵月润李兵张鋆张麟燕钱云慧黄晨宗培培周霞夏晶经济学院:特等奖人数:( 8 )人庄青娟胡绘敏李靖成小雪王海迪陶慧陈晨纪海林一等奖人数:( 23 )人朱接弟张婉萍王汝阳张素梅臧婉邵丹凤魏晓婷郭雨莎赵静王容博朱列文张政王莹王梦洁郝荣梅朱敏刘莉孙欢欢尘晨张继芸王紫嫣孙月芹陈欣慧二等奖人数:(46 )人刘肖肖刘威含朱琦丹赵思思吴梦霞姜丹冯倩倩王聿之郝雪雪姚慧娟徐茂金周爱珠姜玉婷高明娟丁秀婷黄路玲赵桦张凯王丹吴思诗沈晨曦吴垠菲朱柠石旭冉李艳李珊郭潇倪嘉颢肖霞娇宫晓惠袁姝菡羊琰吴红彩张瑞娜张洪波朱丽王翔倪爱博刘飞朱海芳李丹丹吴文华苗芽芽孟巧云陈倩刘莉三等奖人数:( 76 )人崔佳佳高原陈文媛陈晨葛星池施倩倩陆俊蒋秋蓉卜瑞瑞姜孟丽和豆豆高芳常旭邵婷婷潘霆杨耀郑盼盼鲁进萍吴爱芬金海琴陈倩解庆苏杜超张婷汪香香任锦盛张飞郑专陈启祥周敏张辉李媛媛孙画王绪杰王钟沈冰冰董策吴丹吕秀邓莉莉赵宇蒙张田祥沈丽娜史婷婷曹敏余海玲崔建国燕蕊卞彩丽张月娇高翔刘先锋邱晴庆蒋艳付小宁张敏李心天章永平姜玲萍宋倩陆晨晓秦一天张景杨晨杨翠云李星星刘越王国庆黄敏王晔刘勇张涛王珍珠沈卫达邵长瑞陈倩教育科学与技术学院:特等奖人数:( 2 )人车丹陈晓一等奖人数:( 5 )人杨阳唐蓉徐璇周春莺曹克韦二等奖人数:( 10 )人周颖浦佩红钱志炎张静赵海伦刘丽娟李凤周磊燕陈占艳姜婷婷三等奖人数:( 16 )人徐超朱甜甜杨晴晴马晶晶王玥婷李甜甜周慧伏永杰季飞陈丹丹胡晨陈展张鑫翊李海宏薛薇袁孝华。
重文理学…2013‟号重庆文理学院关于评定2013年度国家奖学金、国家励志奖学金和国家助学金的通知各学院:为贯彻《国务院关于建立健全普通本科高校和中等职业学校家庭经济困难学生资助政策体系的意见》(国发[2007]13号)和《重庆市人民政府关于建立健全普通本科高校和高等职业院校家庭经济困难学生资助政策体系的意见》(渝府发[2007]107号)精神,为进一步做好高校家庭经济困难学生的资助工作,根据重庆市财政局和市教委《关于下达2013年普通本科和高等职业院校国家奖学金、国家励志奖学金和国家助学金名额控制数的通知》(渝财教[2012]222号)有关规定,结合我校实际,现就有关事宜通知如下:一、组织机构为做好2013年度国家奖学金、国家励志奖学金和国家助学金的评选、推荐工作,成立校、院两级领导小组和校、院、班三级评审和评议小组,具体负责评选工作的组织实施、推荐审核和报送工作。
(一)学校领导小组组长:万书辉成员:董刚蒋礼文金盛郑稷苏兴文各二级学院分管学生工作负责人(二)学校审定小组组长:董刚副组长:蒋礼文成员:谢荣成谢华琳叶莲刘明明胡守敏赵锋吕彬(三)二级学院领导小组组长:各二级学院党政主要负责人成员:各二级学院院级领导,学生工作办公室、教学办公室、党政办公室(副)主任、辅导员(四)二级学院评审小组组长:各二级学院分管学生工作负责人成员:各二级学院学工人员、教师代表2-4人(五)年级评议小组组长:各年级辅导员成员:各班班干部、团干部、学生代表(8—10人)二、奖励和资助对象(一)申请国家奖学金的学生为我校全日制本、专科学生中二年级以上(含二年级)特别优秀的学生。
专升本的学生进入本科阶段第2年起具备申请资格。
(二)申请国家励志奖学金的学生为我校全日制本、专科学生中二年级以上(含二年级)品学兼优的家庭经济困难学生。
专升本的学生进入本科阶段第2年起具备申请资格。
(三)申请国家助学金的学生为我校全日制本、专科学生中本学年被认定为家庭经济困难的学生。
2012-2013学年软件学院国家奖学金、国家励志奖学金、国家助学金及四川大学学年奖学金、优生、优干评选推荐公示名单国家奖学金2010级(共5人)赵赦杨佳颖贾贤艳印耶蓬严志涛2011级(共6人)杜袁茵陈正海黄卫智黄小卉袁珂杜东舫2012级(共6人)倪晨曦金润宇吴倩郭士嘉陈明毅张珂岩国家励志奖学金2010级(共14人)程雪梅翟宇鹏高艳梅李鹏飞韩笑琳王炀朱毅凡杜日鹏张宇光王雅婷袁静徐梦霖李璐王小天2011级(共14人)贺盼胡星秦华赟鲁亚男刘家豪张媛黄顺婷李朔冰刘利霞李珺冯梦莹郭梦影万梦玉郭泽颖2012级(共13人)李政祝佳磊曾煜妮陈枫褚佳伟辜祥宏闵钰吴锡浪梅鸿岑张芮杨豪肖蓉汤臣薇国家助学金2010级一等助学金(9人)王珊珊郭磊冯忠良唐有财徐海洋王金科唐军军刘玉会余佳伟二等助学金(56人)赵茂含雷正兴张烨林昌海赵鹤韩乔乔柴娜陈广瑞李莹夏有新郭南君李邦海覃亚芬尹邦杰陈伟张也但孝禹王浩左强边宇坤李广坡王耀婷林毅时金祥龙先建袁勤李旭涛刘俊文蒲大维刘廷勋邱亚楠李帅杨万坤米玉茂魏旭母佳璐李亭郑雪娅李心雅李婵张文静杨波陈鲱王治民刘春刚唐朝红冯江妹吴林志刘伟宇张力元郭彪彪岳海潮王振国严伟甘涛傅夏生三等助学金(30人)王丽男陈宇星郑世佳李娟娟张荣琴常翠娥高畅龚高锋秦松王彪郑宜龙崔勇郭萃李文婷王柯包皓戈李松柏林吉昌李路遥胡麦芳郭铭玥杨培志耿明谊韦广建李晓同赵长青郭娴刘晓威汤智红朱轩成2011级一等助学金(31人)李利娟邓婷宫孟孟姚淑慧刘旺肖强李雪莉梁杰徐超陈健王永清沈津生罗培马海生柴占惠侯艳华龙丽君李彪王海杰卢一兴殷小龙易铮王铭任腾达沈红颜沈智廖宏先曾维萍田洪亮曾玲李林二等助学金(14人)孔莉莉尹卫杰胡智勇李晓帅邓盈王旭杨红余瀚游邓舜之王启东张洪伟张望刘琪琪王兴三等助学金(61人)叶明臻王成汉王飔王鹏飞刘龙龙陈光辉邢世晗张若愚唐钰孟蓉蓉臧家华詹洋齐政浩付年年陈小林向文宇梁智徐何川胡柏松刘怀忠曾扬唐永春郭郁文敬峰蔡文豪刘飞鹏黄硕刘娅任启玲马万腾刘珊陈超徐国宏杨正春李镇喻鸿飞左杰周小燕余军柏靖云蔡静文胡伟刘松赵千李伟民杨都余方姝王熙沈政陈文杰左鑫陈凯伦陈朝董晖蔡丁丁骆涛孙云田高林峰郑艳梅刘艳周芳源2012级一等助学金:(28人)李瑶李嘉鑫何建清郑跃强周修文李博喜宁文潮向辉邓维佳王菁杨浩何战旗马海兵郭勇邢益阳杨建兵王胜强祁旭翔汪崇林曾杨冲汪义平向星瞾杨支岐涂宇陈朝辉文炼李素萍梁栋二等助学金:(38人)张颖李肖何梦圆胡昌武刘美东徐奇贺浩丁旭贾玉蛟吴志新黄鹏吴波冯亮吴杰周丹黄建周友辉谢凯丽孙恒黄融谢煦东刘晓伟黄敏羊欢张鹏宇孙元杰申文帝王卓为公杨博王泽宇周先花郝晨衍孙珊张帆周亭宇蒋凡杨莹李江涛三等助学金:(19人)郑晓华李潇周凯旋代俊钱波周毅罗耀东李程鹏贝永番张云川向永航李雨泽陈韵同刘艺莲罗宇睿叶亚雅胡豪吕岩聪王瑞文2013级一等助学金(3人)汤杰强张建国刘日海二等助学金(75人)张晓翠卢子永黄怡奇刘芳黄欣尹祥杨学锋陈纬闫蔺鸿严锐张婷董永辉周华淦高婷胡宏齐盼攀黄永进陈钊吴佳佳韩志勇韩珍辉吴仁钟彭小童陈代豪柳阳李刚张昌进冉茂松冯常明李剑陈松康贵权杨謦争郑叶欣刘鑫姚雪芹李冬王天宝汪航李佳琳符文睦甘伟平朱晓伟谭志怀杨晨晖张瑞周颖付维肖王小艳郑会雯虎东曹航刘墨隆缪长富刘露令亚洲高大伟马永潞吴秋桦杨勇易良川李俊彬马婷李雨琪张艺岑兴波杨旺王有广张正维程文靓谭雅兰刘胜杰蒙成崔家乐王宝华三等助学金(7人)陈佳赵春一宋才见雷卓超李嘉铭陈晨斐颜凡鹏综合一等奖学金2010级(5人)赵赦杨佳颖贾贤艳严志涛印耶蓬2011级(7人)杜袁茵陈正海黄卫智黄小卉袁珂杜东舫贺盼2012级(7人)倪晨曦金润宇吴倩陈琛郭士嘉陈明毅张珂岩综合二等奖学金2010级(13人)杜日鹏徐梦霖王炳琛韩笑琳程雪梅高艳梅张宇光袁静王炀王小天朱毅凡李璐王雅婷2011级(14人)胡星秦华赟许昕珑鲁亚男郑翰成刘家豪张媛黄顺婷李朔冰刘利霞李珺冯梦莹郭梦影万梦玉2012级(13人)盛栋梁李政邹凯涛李超张家铭祝佳磊曾煜妮陈枫田自强钟正南褚佳伟周娜薛平综合三等奖学金2010级(27人)李鹏飞翟宇鹏王珊珊王亦宁高冰妍刘婷婷石峰杜伊杨万坤张也邱亚楠向珊胡麦芳张昱馨李声龙杨飞尹邦杰赵鹤李莹陈伟冯梦佳李广坡薛文韬孙楠李炎武张荣琴郭铭玥2011级(32人)郭泽颖成柯葳邓婷张一鸣张云尧宫孟孟李亚娥邓舜之王雯鑫王启东张望刘智威胡智勇沈津生贺垚孔莉莉朱婷张世西吴德坤刘珊杨昭远邢世晗王旭李雪莉苑恺侯艳华杨红罗睿恒邓盈姚淑慧李晓帅刘星2012级(27人)何晨辜祥宏闵钰吴锡浪李洪锐徐子桓梅鸿岑张芮田亦然杨豪郜丹丹肖蓉汤臣薇吴启维杨皓森张超邢文竹王学敏陈希明张建晋代俊金灿然刘珂君郭怡吴雨夏之雨程天雯单项一等奖学金2010级(21人)赵学丹谢维柱李婧雯郭远晴钱贞峥吴林志傅夏生陆泽超徐超覃亚芬陈书书冯江妹王强高畅杨露曾嘉彦夏有新曹慧斌陈广瑞王小帅杨宝嵩2011级(25人)郑艳梅张锐陈超叶明臻张若愚梁彦翰吕志华林淑梦刘琪琪李康张雯邓蓉刘艳柏靖云王祎唐钰李利娟曾扬李鹤童刘飞鹏陈小林黄珏然夏亦谦孟蓉蓉蔡丁丁2012级(21人)甘甜李瑶周丹何战旗钟涵军李文倩张璐叶亚雅周先花罗杰向星瞾刘文通翟哲杨莹白玥刘鸿轩柴歆韵邓钰巧周凯旋徐方唯周修文单项二等奖学金2010级(40人)何涛王航但孝禹陈枝屈媛媛张晓霞王碧茜徐倩影李思嘉杨欣史雪莹王镜宇王浩李蓝杨梁稳周颖谭焱刘培宇陈宇星韩乔乔冯秋王丽男李松柏李大帅李文婷汤智红刘元辉刘骄阳张永鑫刘开文张烨唐军军蒙春年许宇帅陈曜李销刘爽时金祥仇一凡李娟娟2011级(45人)张明庆张雯王锐张梦琪孙运淼蔡静文唐彩焱余瀚游石岩松杨钰柯罗明东李潇瑶龚大东陈睿琦朱宇轩陈毅豪王兴喻鸿飞胡伟曾维萍戴陈卡罗培李马新周芳源杨达熊垚陈晨李伟民杨治杨文娟苏欣曾玲臧家华宋廷龙倪源江蒋丽君徐何川刘进谋薛恩泽胡祎詹洋田贝孙一炜徐国宏肖强2012级(40人)唐永秋杨一帆孙珊陈林李靖郭旗吴杰曾杨冲丁顗刘艺莲薛亮谢凯丽邵一鸣明小栋王菁李程鹏单斌陈韵同黄敏穆森穆乐文张帅李嘉鑫李博喜陈涛陈萱玮李肖宁文潮王培名蓝忠国吴志新毛玉婷李潇冯亮谢煦东王胜强黎大路魏光武曹正周友辉优秀学生2010级(30人)杨佳颖薛文韬杜伊王炀张也陆泽超冯江妹刘婷婷王雅婷赵学丹徐宇帅孙楠李蓝杨冯梦佳王镜宇徐超郭远晴任伟黄龙王炳琛陈宇星傅夏生王小天屈媛媛李松柏胡麦芳邱亚楠曾嘉彦杨露谭焱2011级(32人)郑翰成夏亦谦秦华赟张望刘星李利娟李朔冰胡星张锐孟蓉蓉李晓帅李雪莉张梦琪叶学智鲁亚男梁彦翰张一鸣张媛刘飞鹏刘珊宋廷龙邓盈杜东舫贺垚贺盼李伟民唐彩炎邓舜之陈毅豪李鹤童黄卫智王兴2012级(32人)金润宇陈明毅张珂岩盛栋梁李政邹凯涛张家铭祝佳磊钟正南褚佳伟薛平辜祥宏李洪锐梅鸿岑杨豪郜丹丹汤臣薇杨皓森王学敏金灿然刘珂君郭怡夏之雨何战旗刘文通白玥唐永秋李靖丁顗刘艺莲张帅陈萱玮优秀学生干部2010级(14人)刘娇阳李鹏飞徐梦霖仇一凡赵伟李文婷李娟娟张昱馨张宇光朱毅凡刘伟宇吴林志陈枝张瑞华2011级(16人)叶明臻李佳其刘家豪苏欣黄顺婷李政吕志华徐敏慧冯梦莹杨昭远石小林刘琪琪许昕珑曾扬臧家华尹卫杰2012级(13人)田自强张超张建晋叶亚雅郭旗单斌陈韵同蓝忠国吴志新翟哲罗杰王尹航叶皓诚省级优秀毕业生2010级(3人)陈伟袁静贾贤艳优秀毕业生(29人)2010级杨露杨佳颖薛文韬陈伟高畅贾贤艳王炀张也严志涛陆泽超刘婷婷印耶蓬王雅婷邱亚楠李蓝杨冯梦佳孙楠李声龙郭远晴谢维柱王炳琛高冰妍江天宇陈宇星赖清辉王小天屈媛媛胡麦芳杜日鹏优秀毕业生干部(10人)2010级赵赦李鹏飞王小帅王亦宁魏旭袁静程雪梅岳海潮朱毅凡张宇光杨宝嵩李娟娟徐梦霖杨梦媛。
云南师范大学2012-2013学年国家奖学金、省政府奖学金、国家励志奖学金和省政府励志奖学金评选结果公示根据《云南师范大学国家奖学金评选办法》(试行)、《云南师范大学省政府奖学金评选办法》(试行)、《云南师范大学国家励志奖学金评选办法》(试行)、和《云南师范大学省政府励志奖学金评选办法》(试行)的具体要求,在各学院认真组织评选的基础上,经学生工作部(处)审核,共初评出2012-2013学年国家奖学金52名,省政府奖学金71名,国家励志奖学金961名,省政府励志奖学金218名。
现将初评结果张榜公布,如有异议,请于10月28日前与学生工作部(处)学生资助管理办公室联系(电话:65911678)。
云南师范大学学生工作部(处) 2013年10月23日国家奖学金(52人)教管学院孔德柱陈雨霞胡雯静能环学院宋乔刚生科学院李艳闫俊梅李雪松数学学院贾文娇张素婷彭文婷外语学院金亚群董学敏范星星物电学院黎亚楠潘金银王大鑫体育学院刘禹张恒周敏化工学院纳敏张红梅经管学院陈丹萍常密密谭金秀赵建华史政学院仓睿陈正林沈聪燕文学院龚元妍杜茜严淑宏信息学院陈明生沈杰哲政学院吴登艳罗碧莹和智梅职教学院郭效丞何英辉柴红娇华文国语赵鹏飞吴忧陈维莲学院传媒学院王雪张若玉旅地学院任荣光刘清玲左文君艺术学院汤佳佳樊晓然晋家伸肖思沁王琦省政府奖学金(71人)教管学院王梦文陈红燕刘爽谭海艳能环学院朱洁娜邓春芳生科学院杨从举吴晨李娜数学学院朱佩珍陈倩王蕴萍高萌外语学院罗宇希杨雯张建菲槐媛媛物电学院王淑娟张选顺杨洪富张永跃体育学院杜泽美王伟俊陈红梅王丽娜化工学院魏艳郭敏杨建梅经管学院汪玲李悦董瑞云林晓丹杨文睿史政学院高旭段春羽张玲瑜文学院李云峰李欣晏芳马野信息学院李镇江余诗佳黄忠建哲政学院高娇沙晓芸赵朵丽周敏职教学院乔思瑜陈贝魏维安树杨艺梅段晓丹华文国语彭欢杨雪陶艳红张孟段应佳学院传媒学院李丽莎孙文杰吴迪旅地学院李君韩璐龚思思徐巧芝艺术学院王恩琴左宝牛玉婷李艺璇王韵寒杨婷国家励志奖学金(961人)教管学院郭婷黄新新胡鹏余霜鑫胡艺段利红赵佳丽马金枝杨楠詹云虹苏琳胡兴凤杨艳娇杨丽矣晓飞陈立丁咏春孙悦张丽萍邹小燕李慧玲杨红梅袁李兰史晓婷马丽谭阳梅吴雄张艳芳白蕊杨冬青茶宏翠苏彦芬范志刘娅苹李红彭圆圆高飞燕苏俊美崔晨胡育英李瑶张惠梅杨姣张娇高宇王林珍梁敏陈露胡燕张嫣能环学院田品董国俊彭竹夏思坤陈春燕朱妤婷崔红敖选赵秀英潘向川张文丽李娅男刘恋杨倪张继平张艳君贾梦涵曾锦杨淑娟郭任君何文萍李娟生科学院邓梦黄奕仁代媛乔焦周云奇杨忠芹赵德利孙淙南杨丽熊林涛李丹月赵思俊黄丽光唐梦益高建梅夏眴黄坤李应林陶雪梅杜江林王晓芸李银娥李慧敏杨曙关亚斌窦桢琦陈李梅娄建娣赵红梅李观燕文韵钱富明龚立新陶锦华杨贤英李开敬刘寅梅范娜唐梦灵王兴喜李顺昌张会如吴姣娇魏秀丽郑青霞常品珍黄升品数学学院杨新鹏赵孟娜罗天张林曹云霞刘晓旭段如甜高丙乾梁洪石云霞杨学娴杨云春闫玲朵玲红徐志志周梦玲邓伍丹孙雪斌黄雨虹赵云凤马艳娟王丽娜陆小凤付荣欢张蕾朱红桃张福艳高丹凤曹凤唐桂香蔺左翠陈艳敏罗金斗马仲江刘冉宋刚张利橙李雪艳解延红段寒金杨周荣麟杨林平杨芳灵周浩李青松陶鑫唐明超贾孟孟陈恭润邓隆江唐凡寓刀建凤李成仙武洋洋俞静外语学院余海婷唐林李林丽张瑜刘映清陈俊秀范秋月王艳杨朝艳龚方丽罗娜王艳平李昕罗音李思霖施丽芳孔令媛赵吉霞杨滢芬杨蕊朱敏董晓红刘成凤蔺越罗蕊王凤徐甜甜陈佳媛胡腾飞阮春兰宋德群邓悦花艳双康弘王书屏张兴兰武孔英袁麒张忠凤郭玉玉孙秋白严镭杨巧平李燚方连会石蕊杨云花严丽娇段薇黄玲秦春平王婷杨美仙黄雁杨超燕杨芳王明珠尹涛王梅物电学院杨鹰倪红艳母斌续奇冲汤杰杨从锋陈燕燕李玲陈何超李佳文罗丹邱羽蔡和玲黄昌繁刘德归甘化国杨金万李树娟李希才字崇德杨欢宋芳王祥委杜静美杨国强马进平王静王翔杨润李巧玲岳宏伟李华富王浩吴丹赵艳婷张馨瑜刘娜罗朝斌郝玉君陈桃平李春燕李俊吴乾超王加鹏赵润年李琼胡润周华琼窦双团体育学院李祝甜杨跃菊刘昆焦彩和印鹏罗永强娄俊杨世友黄顺福王刚剑瞿祥省陈邦荣罗艳翠李治霖陆全芬姜云权施梦欢段乐罗文丽洪振兴王德杏吴少松刘金凤陈可丹朱丹丹曾国艳刘真璇杨熊超张春路罗云马鹤文张书杰廖俊杰赵欢苏志芬胡万香林园园李咸志施润蔡浩猛曾帅帅夏凉业永俊白艳芳何号陈姗姗李晓捷张燕杞濛赵嘉睿刘元猛杨美玲赵智威王红方聂恒岳化工学院温永平刁娅林李琼熊丽梅段俊蓉王勤陈跃超杨春琼吴玉萍白秀花徐飞云速小雨刘光姣陶映江业薇丽耿绍娟彭伟范浦漫吴焕曹慧杨爱美李银莹李成季李能丽方争荣刘伍宇苏莉武文红胡义考刘朝庆李成燕孟阳吴叶香陈云鹏任明丽郑贤丽迟宇前万银根杨碧娟杨明菊尹秀萍邹琳杨佛艳邓秀平经管学院欧阳清伟陈静涵崔红茶姜玉华蒋宣琴张福琴张莅黎陈美蓉马新宝曾维仙黄进洪解健跃李建香王永杰黄芹佐李天露李金娥王金花何粉张东梅叶小柳陈娇徐慧娟刘杰朱德秀盛天宇郁开云岩应满刘小媚许媛周迪朱玲玲尹冰洁郑艳君孟东波曹苑任定丽王珍爱李焕美李雪君张建婷尹文燕骆熙陈映霞王丽丽吕宇翔谭兆何陈瑞芳周元媛史瑢任正会杨建英万冬青解婵邓菊琼吕旭周学芳车东波高广飞董学礼刘雯娟成雪盈拉茸追玛李美旭魏云子郭亚辉史政学院吴李映罗书惠白小燕张艳丽谭密熊秋香郭丹杨永秋朱婷李江梅杨靖雯何菲菲陈云高乐华叶国欢张传娟张芝芝陈娅娜余俊颖龚芮杨志英贺伟马丽梅陈英尹国姣杨晓丽张仁秀杨慧芳罗玉英陈成金海瑞徐鑫昌张娜刘德萍段彦帆高乙群杨宏双张学赢杨勇贺德菲梁亚菲胡蕊马洪沙徐婧妍段子艳樊秀丽姚希仙文学院丁涛李金金向淑琴刘恋李诗白杨斌岳占响段晓静吴晓岚张月容李浩邹丽娟陈雪梅杨妍郑娅楠李穴峰周莎龙莎莎张艳梅陈丽仙杨春美刘佳常建争李学青米美琼金山许林李梦瑶阮淼淼白芳计娟王力冉李彦开刘美林王婵桂云美田武环吴玲玲卢晓倩苏有莲张仕龙汤越媚崔庆会陈蓉罗梅芳王馨翌凡克玉张天怡黄冬依巴菁邱瑞雪王自芬秦盼云段光润王宁李琦祁娜王萍信息学院普于航陈允珠唐曦妍付道丽彭正琼肖丽英邓荣黄金炳杨永苹杨军强朱红梅陈慧玉刘娇茶瑞东雷燕蓉王莲赵凤林付靖玲冯加方孔德毅席亚林伍微微张战春潘安宁李小朋王晓仙陈元祥彭兴阳王程磊游艳菊沈路秀王伟鲍桐王飘冯敏何静胡正琴浦珏施春蕾姜兴琼付小兵放茂荣刘梅刘义李平富哲政学院李绍仙陈蓉刘佳欣谭林杰文耀卿段凯烨梁晓露杨雁飞曾惟段生梅陶梅兰袁溪晨张晓元周道坤常有利方艳梅高旭芳刘敏张晓艳周权朱莉马宛儿段利炜李雅敏姚江萍杜航玉鲁桂莲熊志坤胡舰心陈蓉张雅洁袁菜琼杨应润陈玫黄文红黄雪黄娜董桂枝钱梅李燕贺传雯潘坤萍杨杰玉马力密徐敏慧欧伶俐高文园周梅梅刘姗李丽莉王康宇李顺云唐年李蓉许磊李超超职教学院陈路梅李双芹王正晞龚安如肖恒兴刘利荣孙平胡群余瑞娟王菁蒋弘卜尹俊熙凌瑞婕王菊梅柴玲杨嘉圆钟汝凤李芬张艳玄许三涛周平王梓晔常欢梁大飞周江黎杨天海潘瑞萍罗菲邓长庆胡秦铭李梅菊孙成何家伟刘淑华余婷李云鹏李仙钇马永仙曾天翠李银江谢函珂郭应芹张银棠熊义花胡雨张霞李超云袁虹杰张洁张云丽牟宏俐张思娅杨凤霞张翠萍岳秋菊金玲矣亚莉李瑜刘玉艳张凤清杨思娟夏永辉杨开华梁彩萍马国兰李亚华文国语杨素菁杜若伊杨喜娟吕珊罗正婷段裕萍徐丹学院赵莲王在敏朱兴舒姚海燕袁丽芳刘栩吟丁月坤李林波杨玉成许玲阳孔迪邱进蓉马文迪李慧明孙启超李锦梅刘印翠陶思琪杨春丽孙庭波虎燕秋董静马兵保春霞何元锐段丽萍尹红雪玉布嫩高露江涛严乔良张敏白纯李丹婷李超梅杨佳睿杨蕊桧丁晓梅杨红琼白秀兰陈洁龚谦楚刘灵桂李慧彭礼燕周一凡黃佑群穆玉娇凌静饶倩楠彭瑾汐杨家钰王思瑶崔强传媒学院马玮玮王瑞强庄梦君李璐辛姣姣郭浪栈沈宇李嘉睿陈诗涵李萌高安达王倩陈绍琪郑迪王星华徐思胡筱怡王鑫何敏祖航张润杉杨庆霖和蕾李成燕孙珩瑜郭炳辰廖巧蒋好著张明丽杨佳楠郑嘉嫄高兆琴乔茜马欣王紫燕臣熊浚亦李晓丹郭静李莎米丰刘璇旅地学院张江燕周凡力廖倩王崇应段彦芬廖君许云娜杨晓燕张林赵艺淞杨灿平李莉于海利李洪敏李万英郭汝军李天艳刘瑾吕檬王艳李平刘永梅张蓉李丹王娟刁冉郭雅萍陈礼玉刘坤朱叶莎肖茜成饶周柯彤刘艳慧段钰杉孙世万李瑞华阮雪玲兰银香李秋艳邓文佳安洪磊曹叶婷袁加芬邓召叶陈新波吴晓月邵本东陈文艳曹雨薇孙梦竹李娜娜谭玉涛陈静张蝶艺术学院徐江张娅萍蒋桂民杨容魏亚楠高亚云冯娜娜王亚娜张春兰杨继婷黄浩吴忠亮鲁效东董凯丽曹春洋杨双凤刀晓芳叶楚霞王君琳杨小丽周宇吴强李能记臧盈王登科常赵秀李志谷佳姗蔡文娇丁文圆杨贵仙贾曼莉王茹鹏周云云顾秀娜史凯丽张思良张亚南杨凯利刘卫龙王雅婷茶天泉顾进雪李武江王茹霞李春晓岳超陈丽刘梓璇何娟刘萍谢冬林井征佳李珊何胜婷高应斯程丹周翠唯许婷史瑞杰马万坤段娅娟张丹丹史国伟廖俊琴揭婧颖郭立清谢江敏王誉烨韩海涛张婷赵云央刘佳怡黄瑞李函宸田鑫绞凤玉杨姣王林博代晴张寒李松玲肖晓云舒继媛张思雨省政府励志奖学金(218人)教管学院后永庆王思懿袁丽萍陈朝香李萌杨娟王文冬游梦柔吕启辰杨玲玲邹海娴能环学院杨敏张春霜郭贵琴秦云美杜亚楠生科学院彭婷张晓娇李小珍郭先燕赵桂刚张接义王压凤姜祥春余艳萍王海霞张莉数学学院李娅楠谭映虹易帆吕雨桧王敏雪字利竹顾光泽肖丽娟母江艳张丽春王家见许永德王艳外语学院李园徐国娅赵晓果杨文英郑丽娟高亚鹅樊艳方其丽胡艳芳饶菊徐晓倩祁晓艳欧阳晓另物电学院缪通保段明亚杨夕叶苏建梅刘贵丹张晓晓洪焕灼郭丽君郭助伦刘艳张瑛体育学院华艳玲周宏思顾雪莲李文果陈姝颖李传猛韩晋峰彭瑶杨丽芳李丽红杨国栋马玉杰王克健化工学院马雪梅孔令怀曲云峰杨亚丹赵锦芝徐素蕊杨雪微母福荣杨开明张海燕经管学院成益粼钱丽云杨海霞邓虹刘馨愉水丹陶红何娇代光宇张江评何关潮刘丹高歌侯俊男张祥史政学院陆阅陈仔佳金丽丽李仕娟郑春林蒋红权刘秀芬浦丽红苏梦佳徐雪云曾兰兰文学院彭闯张艳丽余伟陈凤徐哲歆张应林罗如玉宋欣盈王婷何青蔓李王东邵惠珍杨丽佳信息学院杨萍许腾丹邓丽君段婷婷王雪洋高欢戈云霞候翠莲冯云黎青楠哲政学院赵仲月董素梅李明衡李雪杨琼赵有思龚海月杜进蝶杨晓雨岑珑娇王维攀刘洋杜林职教学院王千常红梅马金敏赵芳李卫平李素芹熊跃史佳佳徐丹王文君李志仙袁明丽何天龙徐文龙华文国语陶凤刘学杨金廷叶张磊史庆仙熊云凤宋友春学院朱慧梅陶宇凡赵建蓉雷羽杨友青莫唯高婷传媒学院刘锐唐瑾何梦馨和春婷张恒付静萍张辰成唐芝艳李睿思旅地学院崔雯波李春良杨建波王贵华金小叶张花蔡莹普艳李鹏孙成聪王星田维俊杨璐艺术学院张娅芳彭雪娇安忆赵东森朱玉琴徐亚芳张发萍郭雯斐万芳许旭宫加新施鑫陈信武赵艳陈磊罗文莉徐元婷陈秋艳黄莉。
公示
根据国家财政部、教育部和广东省教育厅助学中心的有关文件精神,现对我院2011-2012学年国家励志学金通过初审的学生名单予以公示。
国家奖学金评选范围及条件可登录广东药学院学生处网页查询。
单位或个人对公示对象的学习情况、家庭经济情况等方面存在的问题,可以书面、电话、来访等形式向生命科学与生物制药学院学生工作办公室反映。
单位反映问题的,须加盖公章;个人反映问题的,要求署真实姓名。
公示时间:2012年11月5日—2012年11月9日
公示受理部门:生命科学与生物制药学院学生工作办公室
地址:广州市番禺区大学城外环东路280号
邮编:510006
受理电话:(020)—39352014
生命科学与生物制药学院
二O一二年十一月五日。
南京理工大学2011-2012学年国家奖助学金的初审名单公示各位同学:现将2011-2012学年国家奖助学金的初审名单公示如下,如有意见或异议,请拨打84303118。
截止时间为2012年10月28日学生工作处2012年10月22日国家奖学金(140):1机械学院(19)任昕元黄汋龚成明李鹏顾小雨余家泉崔仁洁季宇雷周强雷晓云童心朱雨晗单新有袁祖龙陈昊刘欣宇周清泉周黎高科2化工学院(10)王戈修健敏徐琳童红鑫杨瑞权吴蓉张卞阳洋胡冲孙小伟叶雪梅3电光学院(24)冯丹萍邬小敏黄志伟程国枭张军宋亚敏徐云沈善普邹玉江李静雪章勤杰邱文斌余英瑞于佳玮曹肖阳庞伟余劲同秦颖邵亚男王丹姚越越刘昊宇刘兴民李培4计算机学院(11)刘艺吴难难杨海祥薛斌金梦洁郑济达刘利闵大为丁陈梅吴灿强杨増光5经管学院(11)杨阳刘莹张宇婧丁慧君喻姝瑶李玢戴碧芸庄云侠宛思嘉马琳娟刘秋艳6能动学院(8)苗龙朱丽瑶应遥瑶柴敏胡一东沈倩李涛孟翔宇7自动化学院(18)臧林怡张铭辉马晗怡郑旭娟苏娜娜杨丰源蒋力李波章心忆汤雪萍周文强孙璐李勇奇周雨琪左金鑫陆宇朱琳穆志洋8理学院(9)沈兰张凯文刘霞李桂璞杨爱华俞凯丽陈祺朱兵夏骏14国防生学院(3)杨猛朱小祥邓金球13设传学院(4)张郅政崔岳云郑竹薇方秋棠10外语学院(4)吴春晓鲁娇安蒋珏贡浴滢9人文学院(5)秦荧张丽君袁丽丽毕海燕季肖菡11材料学院(8)王向戴丽华洪蔚陆嘉伟沈家骏唐海燕孙蕾徐丽璇12环生学院(3)姚佳斌罗李娜卢晋秋15校级实验班(3)侯璐朱庄翟耿晓玉国家励志奖学金(435):1机械学院(62)陈海华张菲菲李英玉严金凤潘彬彬吴陈飞陈海军王晓浩蔡鹏鹏李坤杜家磊周昊罗鑫左军成蒋晶王宝军刘小杰亓新新贾晋杰徐秀霖陈静张梦妹陈伊琳单丹凤樊琦张婷熊伟李志华周健黄宣彬陈帅张超于情波朱建军夏镇娟蒋明飞周祥祥高强孔上峰莫杭杰姚元元徐锦顺黄晨晨刘颖姜启福刘雪松聂守成李永昆张志立张琦高超姚雨馨刘方彬姚学斌贺敏谭亚平沈杰王丽群陈晓雅姚中兵牛建成张姝娴2化工学院(45)夏佳伟尹新星安晓芸程莹李林玲张彩星张琳李成印刘鹏陈雨虹于兰兰卜梅杰唐乐王泽浦焦新艳张健力张云秀费翔石珍王文倩刘君君邱志强施烨晖王海军张磊张泽豪冯周舟吴芬于冉孔峰沈云任志伟卜慧璇范星刘欢欢温丰叶惠丽刘亚徐勇勇匡桐刘文杰赵自豪曹美乔刘雅阿不都你赛布尔·阿3电光学院(65)李静王莹孟栋梁朱亚秋杜筱佳杨恒张新鹏吴青青杨钰婷王愈周游宇刘星炯龙永刚方君婷胡芬罗莎赵加玉李子龙方超刘方范事成沈汉文王淑芬舒余飞张磊华滟凌陈奇杨振兴刘心璇李华荣李康徐文文刘雪梅陈浩孔富城马啸白凯丽肖晶吴雄洲朱文华刘浩罗端廖树日詹健王萌乔露露朱林董丹丹黄菲赵佳敏匡伟陈颖李智伟吴兴旺谭晶石慧涂智华程莹李新梦查衡许伟朱江刘丽华潘锦涛王建博4计算机学院(29)刘佳佳吴小雄郭婷婷赵军旺李锋晶王增忠张金康郑奇峰刘晓迁张晓玲陈娜吴欢欢杨洁吴根蔚刘善翼张军宋家臣张鹏于鹏程邵叶青王荣郑士梁周磊刘忠耿赵亮李克南韩晗刘文华杨蓓5经管学院(41)赵嘉婧赵芹艺郭洪梅郭瑜张梦辰白楠楠刘浩卢海陵陈蝶付涵洪萍萍朱晓晨李红梅吴小丽陈彩慧马刘彬姜媛媛王静王彩霞张晶彭月李爽龚思兰唐燕花涂霞杨淑霞梁敏张丽赵棋楠江慧贤陈丽芝唐兰琴唐丽娜胡江南蔡晓瑜姜海燕史小欢郑伟男武春丽范佳林贡文东6能动学院(34)赵莉黄永平沈杰谭浩朱小萌孟丹钟芬潘浩冉应燕徐秋坪卢艺杰阳维佀婷婷汪丽旭杨智惠陈玲廖吟霜武震袁祥张瑞华陈培林王雷吴凌峰赵斌郑思源贺辉辉苏杭孙博康月李志立缪云飞杨建东冯利佳周焰红7自动化学院(41)袁凤程光敏徐丹罗孝美王志彬邹城秦冬亮耿旭东刘冶王荀杨彬彬章伟丁翠玲雷鹏飞牛新平施盼罗兰李月婷刘中华吴立珠祝明乐刘俊妧沈丹丹陈龚吴芬张梦甜丁棋炳王薇林燕贞李京伟邹文成孙璐沈宏丽石青白惠文黄书华王树磊徐彬彬秦文静俞赛艳李光彦8理学院(29)胡军史伟强陈亮周超伟吴晓宇王静李红兵郑健周伟达凌洁徐晓尤东森董士军高凯刘欣欣徐树李徽秋施志俊赵亚运朱志鹏秦建华陈绍齐高方宥苏勇倪浩浩秦枭苏潇阳张天齐翟晓凯14国防生学院(5)周钰鑫贺达超马建业徐鑫王烁13设传学院(11)邓中良刘伟时天骑南议波杨琴秀刘运良陈琳琳嵇苏婷韩秋月周威远付中焱10外语学院(15)管宇辰王慧玲朱凤成陈妍青李梦如赵燕刘力王蓉宁笑翡张金婷陈严刘玉茹王崧卜王梓宁范琳琳9人文学院(12)吉成英陶凝芝王庭庭刘斌颜文俊张龙周露晶曹杏曾超李冰雪田委陈明11材料学院(31)韩军杰陈田朱蒋红黄显浩赵浩川陈珊洪小娟刘苇马庆飞李蓉张波黄亚兰尚梦诗范李鹏李玲针薛洁汤琴师建行陈婷婷徐玉青李梦思闫健单宇晨刘志颖刘艳南李洪强魏鹏李金翠邢雪君段然李磊12环生学院(10)陈荣王鹏娟胡明英刘聪聪周甜陈彤彤尹昌平杨美君肖鑫陈伟15校级实验班(5)孙栋任鹏商玉霞陈涛杨英国家助学金(2134):1机械学院(310)黄庆赵琴蔡凤北杜恩武乐联华刘宗驰骆程鹏肖宗康陈大俊丁坤隋树浩易鹏梁超翔林育盛倪超王军谢佩闫欢欢张康乐张兴朱明俊高海振李文航刘太素刘武刘云云祁景枫谭健于小康常永寿陈泽嵩乔新永宋志伟苏岑杨鑫侯静杨雪叶青窦春生李银平刘明皓刘宇张天斌王亚王钰韩强何亚军李飞张艳兵张征何有为马启明杨相礼张涛郑志礼朱桂利董蕾刘凤鸣白晓宇汪亚峰吴喜富吾斯曼·托合提张武凤王亮肖雄杨松张乐张强赵朋龙廉雅景皮小芹蔡升强费晓伟刘国华刘经兴吕润程伟王浩然崔兴梅夏晴余闯童楷杰肖凯张洁秦保侠裴凤雀叶道辉钟惠昌刘新越刘军沙亚雄沈琪峰施祥玲宋珂宋伟张希武时晓露曹鑫韩勇蒋杰李雪茹李凤娇朱雪飞代兴超高欣高兴李慧谭选龙李芳樊永富钱志远孙祥青肖治顺于永强张林威张念薄慕婷刘晓霞陈志群李旭东刘丙凯朱奇峰曹帅何坤胡孟磊苏浩鄢章渝杨永亮徐琪陈雄高兴全李磊林怀雄刘闯刘鹏秦朝轩刘超超陆武倪庆乐严登超赵鹏韬陈绵炎沈轩吴英秀夏权方段登桂庞博文唐剑于金山李辉韩雪永赵聪聪任洁谢登玲李耀光林晶乔媛媛郭向阳黄磊贾玉林任旭晨杨林峰刘柏松谭鑫张传起卜庆伟采海洋黄兴同马毓孟德龙王咸锋伍力杨震张富禄葛丛李珺罗富溶朴禹滈孙锡亮徐志鹏张育朱立坤朱朔陈舒婷万明燕冯尔奋盘富华吴旭炯张晓明赵浩周凯冯洁黑希鹏李金山李敬国邵城杨宏展姚志超钟晓良何立宏黎座辰李泽峰宋琦谢政龙杨海涛周宇侯辉赖华锦林书豪邱宏荣姚发袁登偕徐灿鲁伟俊罗杰宁伟秦潮许文超刘婷婷蔡昀彤苌方元陈代平李金城彭野余皎任朋飞苏凯王绍辉杨红伟郑立臻常诚汲鹏举曾庆德邹德祺阿勒马王凌朱莹莹高敏杰郭嘉伟江午阳斯·叶肯贾婷婷车玉亮谌秋生豆国涛黄家栋黄伟黄鑫井泽明李琦潘忠祥李亚萍陈宝骞彭煌沈康苏尔艾提·阿卜来提李树立刘军涛牛明杰齐鹏冉亚龙石博博孙建聪陶宏洲汪清宝温广鑫徐新照闫时雨尤祺袁堂晓张晓光赵金鑫林笑陈昌远代伟费树波龚秋云郇久成奎宗文李武李鑫李跃飞梁防伟刘礼刘涛马元尹路越师军飞覃旭耀唐德荣田硕王江波王士欣王遊于文燕杨戬赵建鹏赵紫月周都陈志伟戴海腾狄豪付条奇王超张世平周海成杨晨光高勇刚江毕进刘佩洋燕中山2化工学院(248)阿依吐拉·艾李温超王芳魏晓婷查道松高凡琛李志永鲁亦杉陶涛丁静韩萌萌许丽张林芝陈璟黄程峰尼瓦赖宝程李彤李洋任金辉代佳鑫迪娜冉·热合曼李靖廖逢辉石小瑶王杰群张娜王升杰颜明强张明杨张想周旋陈晓娟董瑞英符星琴甘露姜丽刘琼娜扎开提·肉孜王美莎王亚运陈威游峰阿尔祖亚·多力空古丽努尔·艾尼刘玉婷王美玲林志强宋冬冬田承耀张袁斌成臣刘茹茹谢慧敏郑再芳朱琳侯果文卢加相欧腾达依不拉音·艾合买提张庆霖赵文清郑国强蔡莉郭觅罗玉婷钱沁莱张贺周鹤陈瑞吴尧徐毅代秀李玲玉潘珍珍詹彬鑫张茜茜赖习军孙广元孙亚威汪李杨翟顺张旭敏胡亚君彭琪琪陈帅陈忠洋杜康海热提·赛达合买李圆李征辉王永旭殷有军邓雅西韩建美李菲李智姗于佳佳袁凡舒陈焕陈会男盖石琨彭雪峰徐晶晶许洋洋林雅玫郭涛章佳威郭翠玲车玉亭成语崔宇高泽志许建兵杨帅张强龙周志强丁晨迪冯晶高亚东陆嘉伟鲜磊张健杨秋秋邓睿鑫何敏萨其日叶雪尹雯陈亮陈苏杭郭棒热那提·海米提王飞王凯隆王云坤胥垚徐聪杨锐武张凡周彦霖郝冰洁闵梦珂夏克丽娅·艾合买提杨艳潘胜米娜瓦尔·买买提曾晚婷张彩霞卢新璋汤鹤阳王圣苏华玺王云杨丽筠赵晓娟韩亮李芦苇王凯张少凯赵萌宁漂荣晓娇石小卫杨笔晶陈伟坤侯王蒙刘新峰马牧野邢季张迪赵普林朱申鹏葛彩云李萌萌袁园庄新颖迟斌凡川徐超建陈瑞迟中良柯香袁威张金杰郑军军支星星罗腾肖桂蓉张鑫安石陈亚杰郭祥友黄博刘金马军喜毛吾列提别克·肯杰别克屈明和杨建垒叶斯哈提·阿地里汉阿尔曼·塔力木汗别梦瑶陈瑶邓银璐迪丽尼哥尔·迪里夏提蔡荣斌丁卫平董利君耿雪其龚莉萍郭艳飞纪晓林焦雨晨方路季清思李刚李冰李君华刘凤平李凯罗凯沈玉环孙园园王秋梅欧阳东旭施源鹏唐大明田清岭王康王三源王扬顺吴克林吴星亮王悦吴玉婷薛晓东谢炯杨铭杨喜付于亚林杨秋辰岳金如张咪赵璐佳赵媛媛赵伟郑介明钟学鹏宗子厚3电光学院(273)俞文全再乃普·阿卜杜克热木何明孟栋梁唐良勇耿秀华张敏美尔孜提·莫合太石继桥刘瑶沈丹萍孙红磊周云唐露露吴佳均倪磊祝遵坤董利娟刘淼苗慧陈海兵徐俊周显陈红何曦鹏胡仕明李龙吴赛男牛世伟赵耀张程程周璐冯涛国少卿李三江杨锡政刘立超盛海林陈浙锋李巧沈磊王华林叶东华雅雯刘欢欢乔磊曹琪陈晓兵颜俊男杨震霄蔡云吴姿妍范冲吴晨阳徐栋张志远刘晓莹唐秋香艾尔西丁·阿布拉赵少腾陈旭贤阴盼强崔祖亭王谦刘凯旋暴敏梁军赵玲林伟陆佳元吾吉阿卜杜拉·米吉提郭瑞王清华杨诗倩曹征洋杨挺郑浩罗磊权双龙侯云飞陆乐王丽君努尔艾合麦提·图尔荪朱乃洪李静伍晓慧蒋跃王凯歌薛志勇杨硕李亚飞彭政张超张家庆陈春花汤雪娇王丽芸马如鹏赵付胜孙希峰吴传奇张黎张以明孙金山杨洋陈浩徐凌云杨德良姚哲毅林春汉谭周燚吴代磊许剑南张浩张宇仵娜杨小丹张娟李冬许杰桂能林李雄周斌斌徐华周建强邓文康刘程威罗浩魏明君邓锋吴凯朱梅虹檀毛琴王萌蒋华熔王涛朱熠良葛玲玉毛崇雪肉孜·艾沙王威韩璐霞宛安琪印倩于杏李庆威王凯徐海艳张枫霞库尔班·玉苏甫廖志成刘世会图尔洪·艾斯克尔王允何婷杨金彭树根杨梦林张宇航陈朝霞张少玲匡伟周文忠白婵娟李玲徐亭亭唐丛林迟英朋邓炼刘新张政季爽巩洪川徐皖峰郑茂丁敏李培汤亚洲杨文涛张瑞张伟梁爽肖悦曹振华王陈光张敏亮赵龙李之秀张吉璇黄明成孔永刚张劲松宋雯炼汪丽高青松厉申博赵阳莹吴李勇陶文武潘泽光张成舒肖云陈东旭曹睿阿迪力·阿比地力赖佳彬刘新新罗童童廖俊杰努尔艾力江·穆合塔尔孟倩邱佳伟沈珈靓王佳佳王萍王闯魏一鸣张学友蔡怡范婉华陈波匡鑫李亚周林晓峰卢加文马雪珂张亚君夏雨闫孝天张若曦季伟钢唐小林宫玉琴刘蕾杨维黄能魏久富张小强耿嘉范利光范聿杰李明东刘腾元牟向阳王炜鹏张渴陈倩王清蒿岭李浩宇李锐熊琴琴朱素梅唐小东王大成肖晓尤国庆于振华詹坤烽高超廖杰蒲黎明张壮陈小康陈子威候西亮李想罗民斯涛吴长强赵晨旭周剑朱国强4计算机学院(145)邓佳顾小妹焦雪李刚汪向东王世杰江志浩李少朋尚景浩毕瑞华零文燕高安坤刘红玉赵丹丹董家成邵帅杨镒铭姚凌翔卡比努林晓翠吴丽霞杨铃刘岩威陆胜伟韦腾俞兴华袁志伟张文军黄龙霞牛永波尔·巴热杨基隆龚雪芳唐娇娇党二涛邓奥林曾英杰范晓雷芦深圳孙智仲王改革冯新淇刘高见许小强穆晶晶周迎春代坤鹏吕志鹏赵慧潮周杏朱艺楠刘海青张莹莹黄超谢伟康苑俊旺张鹏李凤兰陈龙石霖艾热夏提·吾司曼谭逢杰万洲翟义强蒋冬菊李雨含宋丹丹毛磊王清远赵雄王倩舒薛欣颖张亚慧钟丽宾李涛史恒飞张天任张信仁张洁张梦月崔清伟杜仲舒胡建洪张鹏飞黄晓晴龙娟娟马显明薛鹏曾文涛郝丽媛干伦郭长庚刘航宇罗长兵苏理阳于秀周珍珍董坤范良悦王丹夏丽张从凤高玉立郭赛南曹伟鑫常震陈祥禄陈晓涛高锦博韩仁松何诗远何宇侯鑫候梦男雷茜黄名堡贾军李高杰李天砚李婷婷陆平平刘骏刘一驰宋佰超秦均玲施宇孙安宁王光明王焕章王佩强韦军韦金利魏小莹翁鑫波杨双婷吴晴吴玮吴震熊丹闫铭杨晨尘杨杰平余德丛张超张富尧张泽鹏5经管学院(195)李小杨汪梦洁吴佳云张朴真陈尚尚亚博朱小星金荣荣徐楠楠许鹏飞王学娟向鹏周磊陈婷姜桂萍石云霞徐婷婷岳梅蔡尚格秦朋秦渝宋超颖宋佳陈晗吴仙云殷乐刘蒙尼玛欧珠陈红丽刘莉洛桑卓玛庞雅文吴丽琴张建霞陈强刘长春马东升唐贵丁玲兰佘诗明石玲张晶晶袁碧张杰进张俊杰张帅帅邹房颖付杨高利陶杨琴王婷婷伍娟娟徐小庆周婷叶鹏程董晶晶罗慧张冬雪曾东湘马大莹王静田胜强杨学祥洪妹秘璐瑶王帅彬康静芳梁芸廖弼君徐子苏张甜甜张新君郑佳玉庄云侠丁燕刘进王晓喻凤熙刘攀虎陈明慧黎亚男刘曼芹张倩楠钟雪娟曹飞陈俊君张照森曹金蕾高文静刘佳琪努尔布布·阿曼盛秀娟夏贝贝赵华赵洁丛宇清李小军张天旭黄美瑶孙陆祎夏库热木·帕尔哈提杨金娇阿卜杜克尤木·艾散宋庆尹晓维张建广王越张瑞冬江慧贤彭雪纯陈小丽唐兰琴郑银国旦增罗养潘孝全王路胡江南张欣艾力·艾则孜俞圆圆扎堆旺久张林尧姜海燕刘美花史小欢杨联印杨磊郑伟男葛遥陈海燕何芳李冬琼魏本营徐学敏陈坤刁立国范佳林尹行攀贡文东艾金金丁倩陈帆陈英杰刘青刘孝霞尼卡·伊力哈木王婷尚文浩提滨舟王仕国殷杰张笛杨文强云红程莹莹何得娟胡乐胡莹李丹刘露洁罗兰陈锦元顾宝笙梅龙云秦利达王莹吴丽君吴星吴艳芳夏洪张凤霞张慧慧尹志坚张子帅巴张玉代斌董梦媛侯小芳贾国琼师婷鲍方郎崔树勇胡成周月华宋万成郑文强布热比亚·买买提依明蔡瑶池雪花高星刘娟刘英英吴静麦色提·麦麦提郑琛琛经管学院王丽淑双学位(5)王晶晶王倩傅青松余志伟6能动学院(173)巴哈达提·吐尔汗别克郑明珠苏听听陈金星丁诚江庆阳王远保朱镭马艳许青青张敏豆松松李宝星叶荣帅詹志刚周永杰朱文波帕丽达·吉恩斯贾胜彬梁鹏王春龙伊力亚尔·库尔班江张仲月赵跃朱鑫黄晓红宋真真陈健伟黄旋峰罗永成马超马海涛毛岸杰任金磊史君良张克石张欣尉周军秦蕊朱伍军卢洁丽白浩郝雅君廖磊刘敏彭伟唐国诚杨尉张彬华家雨佀婷婷徐赵研许欢陈建强段小伟廉海浔马龙泽马杨苏松林庄军涛艾莉菲热·艾海提阿巴丝·力提甫陈家林侯扬光林绿亮马学清文艺吾仁武震雪合热提·依沙克邱林莉赵乐李店员李松林庆育宋飞飞苏宪飞汪健强徐先彬冶海顺张杨白福川符盼马小兵邱杰阙刚翟冀南邹家标冀晨曦姜绍光彭国楷张本敬张竹伟郑思源美热古丽努尔孜娅古丽·赛迪尔丁阿布都拉·艾沙贺优优黄贤坤买买提江·马热木米热迪力江·热合曼涂俊宣丰楠安亚飞陈谢健党建涛范匆胡雨博黄成黄生航逯峤麻永晶马金龙唐林王富生王家祥王琦魏明胜杨进朱一萍车春文陈浪李赛邱汉杰施哲栋王鹏许蛟杨俊翔周乐园刘岩马萍萍陈升富陈园飞胡敬超贾彭辉雷凯李鹏飞李延平刘海龙龙家豪王永光徐廷喜叶春霖张博放依再提古丽·阿不力克木艾尼瓦尔江·巴拉提布音巴特·布亚方雷梁继刈马热木·木纳瓦尔宁金璐如则托合提·如则麦麦提宋宁王付刚王景弘王凯平王新华杨国于佳兴陈俊君哈依那儿别克·买的特汉贺智亮李金帅李泽鹏刘剑刘文华陆营波普承恩余海丰赵康王君康天山杨云辉7自动化学院(187)阿斯古丽·依沙古丽吉娜特·居马西张倩珩刘康隋永贺童晓鹏王晓东吴日学卞辰耀田少雄金金林莎曹鹏程胡星东张明慧黄雨晴纪俊彬贾鹏辉路旭明岳凯旋张亚洲赵祺杨明芳付武辉高业杰郭鑫赖志成温贤海吴昶夏方涛易腾蛟袁晓超冷博阳刘楠苏娅姚胜男谢治鹏姚睿凯郑冉丁亚男史海花胡晨辉涂昕杨武尹振峰胡芝佳黄开珍李丽兰刘亚玲马丽许光胜张正刚李哲居青马爱华沈婷婷段海军刘鑫荣聂建高范蕾林逵葛景黄荣锋李威刘大成汪飞王文辉张君健张笑乾宋橙橙韩缪勇刘雷卢贺虞啸川胡婷平林朝峰刘琦盛沈阳徐洋超鞠彬朱莹玲冯明军马陈强孙汝龙李梅李薛丽吴妍张文娟赵玲朱姣姣刘明胜龙竹青王洋赵鑫马学燕那孜依古力·帕尔阿卜杜热依木·艾孜则艾力·爱不的拉斯陈诚陆凯健吴文强谢文俊宣守旺王冲范颖李佳美王希俞爱娟朱羽韩旭李明磊陆炳姚思辉张俊飞郝英杰霍旺谢桥格让佐黄琳雁黄志雄刘攀宋晓健姚仕林张天玉凌云翟桐陈路李华龙林立斌刘屹东向旭东王丽洋向露何闻亭李小强杨晨严惠刘小壮张兴江阿卜杜克热穆·图荪托合提艾买尔·吾布力佧米力江·达吾提米沙力江·赛麦提乔宇伊力阿尔·伊敏哈孜吴中山魏巍吴瑶周影韩亚涛李福印李青陆叶青马福龙彭思清汪拓严威杨涛云珂董朵朵黄月影孙玉娟阿地力·阿不都米吉提鲁骏彭刚童浩万广弟吴海涛王佳骐阿扎提江·阿布德克热木丛子荃贺小林刘孝禹陆帅米尔阿迪力·阿力木肉孜麦提·吾斯曼孙斌唐杨图布星巴义尔王立新王智刚魏小忠张泽陈兰浪丁海龙胡雪冰李志翔8理学院(167)冯鸿雁赵俊李金龙梁跃东刘代春钟仁顺陈成丁俊飞李楠宁偲任豪朱正天赖盛英马合木提·吐尓迪南朋玉王傲严志鸿周福顺谢颖翟丽辉艾克热木江·艾尔肯程增辉王帅曾星宇马佳侠朱文康蔡启俊程君董少博姜子龙李金涛王俊提陈小阳陈渊钊邓鹏管凌飞韩祝文李俊伟吴坤张日艺陈奇鹏黄小龙吕韩彭扬朱继业柳代权董大鼎侯德华侯阳阳朱少成杨欢张宇亭帕尔丁·再依丁王学正曾凡喜章泽华朱丽博木牙斯沙尔·卡地尔李志健刘剑穆萨江·纳斯尔渠向举张乾方谭红梅王舒舒李梦梦木尔提扎·努尔买王文超邢福存也力下提·地力木拉提潘胜兰周毛毛李将李远林梅达邵传东叶涛郑红俊郭圆圆梅璐璐王春伟蔡新林樊晓康甘梦翔高业唐奎肖柳青王燕者李万业南选红康宝蕾唐俊杰袁广鲁张博涵张梦西任古丽·依斯拉英黄哲强宋见龙许军赵雄涛闫丹赵婷婷敖黎铭陈鹏郭恩来李春光陈鹏龚浩龙李金多李新亮刘康康马强王佳林王云奇袁子骞江雯雯程万健丁伟梅晓亮王勇肖前勇赵宇航顾志娟陶政王勇志闫好博严明坤朱浩浩臧梦玲张燕李文欣马骏李杰李瑞刘宇熊明张玉伟甄甜党山清邓力升黄瑞涛刘琦蒙辉辉向汉林薛朝勋张培德巴飞飞郭超黄振李浩全宋发安王岗周洋鑫邓淑真耿志卿卢懿宗汤纪豹张中建胡肖勤刘洋洋岳苗陈志岩杜宏祥黄赫李露雄汤亮吴俊13设传学院(63)卡特儿·巴力何情梅霜谢小茹孙宗飘王敏文靓吴洋洋戴苹刘玲周德洋巢静洁德吉卓嘎姜泉华阿来·司拉木汉胡翔翔普布色珍陈丛哲陈鑫多吉卓玛杜亚玲吕志伟赵娜潘明吴成委尚静司玉莹储晓慧李琳买热木古丽·加帕尔其美玉珍向静陈静静李君平罗明红马文赵罗曼龙湘泉叶尚荣范丽娟何赵芸徐红姚娜娜王晓晖朱莲莉程乾葛叶虎达瓦央宗格桑卓嘎刘巧红高醒星瞿单刘亚贤罗露马羽汐许青张虹张晓令苗丰涛吴洪昆吴青桥张立平赵彬10外语学院(65)李玲玉王慧玲姚燕朱凤成陈妍青李梦如梁言陆红霞孙茹吴春晓吴雪梅龚凌霄毛林尚珍珍余林孔莎莎任亚婷张冰邓娟娟胡笛风赵燕刘力王蓉张春红郑玉婷柳尧熊乐刘苗苗童丹陈昊祎张晓龙宁笑翡沈娟娟张金婷陈严贡浴滢胡启苓刘玉茹汪乐王崧卜袁森白雪莹倪菁汤颖丁倩倩袁修灯陈颖杜茜韩婷黄魏贾亚男刘岩祁婷婷沈思仪武秀枝张莉张欣赵露露王浩王宁张岳黄颖张霞赵雯珊高鑫9人文学院(57)吉成英陶凝芝白玛贡吉边巴措王庭庭韩超侯无双孙璇赵丽莎陈康文龚鸿翔刘斌苏悠悠周腾涛桑姆措姆。
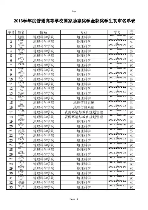
2012-2013学年国家励志奖学金初审学生名单机电工程学院:2010级:26人:贾亚昌黄一杰张阳阳刘晓阳葛曼飞李其超孙成龙刘广森徐文静李华鲁欣丁振闫向哲闫冉翟康毛二娜张猛冯冠华邱方方卢明轩杨久春韩若琰李雪艳曹贝贝衡俊平韩清波2011级27人:张亚辉李令令陶明芳袁林于蕊瑞白连胜陈晶莹李新乐陈玉昊李森王松李金霞胡永乐陈鹏辉李少川夏贺鹏张静练淑君李艳聪刘松波王欣徐军领周永庆孟晓洁胡金龙赵鹏飞卢成2012级27人:张明锴宋永锋张恒王梦姣曹军杰刘帆位永兴张浩李海洋罗盼温培科周占生张增玲刘广玉乔杰付铜铜苏超乾张锐杨王海波潘智博鲁文然丁银亭王政委王晓瑜刘志强陈孟会苏家明医工学院:代晓燕符克慧常茉莉张琼刘晓潞董仕桢闫彬李红良张宽汤婷婷王欣王会刘顺顺徐莹莹李萍萍梁红秋徐梦丽杨静波徐佰杰隗英赵冬冬韩月张颖超材料学院:医学院:乔伟强付强李斌周洁郝洁雅叶静纳袁晓晗张春盼许小亮何云霞齐小峰雷霖张中琳简历李文雅孙雅静朱洋洋朱康张娜万亚会吴晴晴景东帅王苏丹王娟巴点点高珍珠李青春马转珍许倩陈珂姚小静关见梅陈林刘畅李香魏丹李文龙罗改改董佳利石瑞苌晨帆李林谢敏管清春李国洋于甜甜李瑞华占树华李国超张丽娜闫志刚梁利彩段佩养李倩倩王冰冯祥阳张春芳占辉代燕芬裴玉新谭子煊孔迎博班慧玲郑亚珍刘清清赵真王莲丽曹玉李相禹罗楠李元颖董音汝徐建军石梦辉蒋梦雨徐雪艳涂浩田吕玉亭冯丹丹韩泽森白倩杨芳孔红娇苑停停雷亚静张艳芳杜晓东邱佳刘洋赵美华朱大权曹凯伦孟亮李昆贾雪华王立坤王清华李静宋戈李府臣张栋栋高成恩周仙草杨丹丹原正荣国防生大队:曹凯、王晓莉、张聚、郭晓明外国语学院:康家欣吴婷婷尚亚博苏凯丽赵影华刘亚云李俊生王韧闫宁徐影胡晓格郑盼盼晏平谷艳慧罗肖蒙扶丹安祎王琳瑶王婷窦红娟任俣歆刘娇张梦云张玉焕朱曼曼马君君李晓萌杨晨李晓斌逯锦王瑞莹李秧秧谭鹏飞李凡秦思妤宁丽燕程若楠凌美山刘昂体育学院:陈记者刘瑞王路宽夏辉善张站军高凤相郭志明曹曙光刘银威张仁义信息工程学院:杨丽孔袁莉徐雪南丁飒孙莹莹宋云俏李文婧崔潇婷饶丽花秦卫燕张慧丁翠玲黄晓燕郭浩东邢文慧孙乾程顾记清冯巧遇陈成表刘志远杨浩波曹彦娜李雪林张文博张伊晓李凌波叶燕华范冰新王奥运吴苑郑瑶瑶曾玉路黄亚青丁李平李海港程梦娇程冉王健胡展张鹤张艳杰李春鸣何威周文业董程凤丰园园李西亚张润民赵霞飞曾晓旭陈云飞刘记平刘晓真王博文吴洋王真真土木工程学院:潘露露宋志远史久畅朱若菲魏子椋赵彩云郝新月吴金河邱凤华王换敏胡玉小楚亚会梁云帅刘亚栋郭文豪付文轩栗琼琼李盼杰王静丽崔彦博陈通邵艳丽杨影赵小朋聂华杰唐雷振王磊邢春燕何亚洲苗舒齐万金庭刘浩庞然贾永强逯瑶王小静禹富有刘少勇陈忠梅刘畅王小孩杨永睿谭青梅张延青樊晓盼农学院:10级:(17人)农学101 李璐璐农学101 苏亚丽农学102 田秀苓农学103 李佩芳农学104 刘爱梅生技101 梁韶生技102 李培丹生技103 夏少攀生技103 刘双委生技104 崔然然生科101 张贝生科102 郭祎波生科103 杨卉慧生科103 李莹资环101 高婷资环101 袁雪红资环102 李金珠11级:(17人)农学111 张雪玲农学112 乔青农学112 梁飞农学113 王雪萍生技111 李庆生技112 闫臻生技113 张薇薇生技114 张红楠生技114 杨会平生科111 韩启换生科112 贾慧源生科112 刘盼盼生科113 杜晓洁资环111 马幸利资环112 张晓龙种子111 刘艳艳种子111 陈静静12级:(17人)农学122 司磊农学122 李荣荣农学123 杨秀农学122 张文涛生技121 卢继科生技122 黄书杰生技121 郝广龙生技124 王雅楠生技124 梁红莲生科121 熊太甜生科123 岳试超生科122 王敏生科122 赵艳娜资环122 史晓帆资环121 常晓华资环121 霍科豪种子121 何庆飞经济学院:10级李静阳刘万青李迪代凡罗燕秋薛梦珠付丽娜周蕾徐芳11级耿曼曼王丽丽连小英张婷李雪艳芦迪于盼盼李莎莎陈雅妮石卫琪12级杨洁谢珍珠王琪琪林楚天王婷婷李桃利杨含贾璐陈玥李婧文陈富豪杨艳国际教育学院:杨丽薇原宇叶祯郭明娟李冰雪张强刘娜娜吴有箫潘坤王苹梅涛王恒李艳豪张小伟武云鹤蔡海凤吕雪勤王贺刘洋唐潇彩张玮琪付亚伟高雷飞程腾王鲜伟刘建朋苏立远陈浩刘园园吴迪申冬勤梅慧慧王红燕刘亚韩东梅李文雅郭晓明崔文龙路艳娜杜月王晓萍付肖雪王田玉张凤王黑旦王亚飞陈义忠王军龙刘金波张震樊浩杰牛驾祥王诗杰罗秋慧艺术与设计学院:史磊刚张萍萍张秋雨林晓青刘玄王亚丽李绿林蔡青杨敏刘娜王冬雪刘亚培罗凤阳熊康康张敏周旋郭亚柯贾越清王涵涵张念晨张梦洁彭肖康张争磊朱自华刘丽芳吴烨泓冯珍汪红升刘桐妤闫祯杰周青青李雪艳李梦烨黄雪赵珂珂叶南松程瑞民张笑璇张金权池笑雨食品学院:王润博张秀敏陈豪魏丽娟张钵鑫刘彬蔡天娇裴静静王苹普张莉君郭周航段小雪张桦洋于东艳杨明伟任丹丹张婷于斌李柯宏赵晓波李丽王兰英钱亚波宋迪李宁叶未奇黄静芳郑瑞萍党筱筱李婉婉王伟光朱敏仲玉备王伟洁陈慧李珂马丽娜李政军赵玉珍林亚楠徐晶晶葛俊苗陈丹阳李亚娟侯淑鸽刘贺卢雪司梦瑶房雅刘蓓蕾刘志静张玉琳潘素歌王倩朱晓琳金星数学与统计学院:髙健人王晨李会珍李倩祁显萍魏少辉徐文洪张翠霞王李鹏张争争王富华杨国国李玲艳纪兵权朱晓敏李雅莉张艳娜严莉于洪敏周继华耿肖倩孙卡王朵李辉孙宁华魏丹婷赵伟杰管理学院:白歌,范丽亚,彭传梅,王宇,刘利利,罗萌萌,蒋明明,信兰云,李伟婷,姬晶晶,韩朋蕊,姜小飞,张艳华,李盼,毛蓓蓓,兰静,王婷婷,付媛媛,杨丽歌,余秋霞,杨丽君,常瑞雪,王韶娟,任凯,陈银涛,高望炜,李亚琼,叶鑫,宋珺,王静,常小乐,田方,林艳花,王梦君,郑改红,张丽,陈耀贞,杜亚洲,高香香,符晓宁,张贞贞,布新琳,田锐,李召杰,杨宾,宋转芳,梁香丽,郭晓,孟东亮,曾越,任彩霞,刘卓昊,陈晓莲,白贝贝,段娜娜苏媛,赵新莉,谢东梅,王翠翠,曹恒亚,孙辉,翟久潇软件学院:白家鸣刘金金王营李豪丁珂赵天靓张安岐何梦丽尚风珍何东豪李博翀王彬刘留凤王丽丽张振石志远冉祎航运晓楠牛勤超崔家豪张晓云李永鑫王永盛动科学院:2010级:(16人):崔红艳刘丹田艳彩王小雪张丽华谭锦锦孟晓鹤刘琪刘丽慧李爽杜秋婉王科杰张莹赵晓李幸萍高焕杰2012级专升本:(2人):闫珍申亚丽2011级:(15人)陆敏杰赵明亮肖红芝张玉香师田田闫会晓曾珍珍朱广飞刘子茵张景云高冉罗讯王二鑫白景英李亚男2012级:(15人):王书文崔家杰宋明芳蒋姗姗仝晓丹李俊姣刘佩王艳艳唐天悦李晓开单玲玲姜芳芳王萍王俊阳董丹丹林学院:10级(15人)李贝贝陈浩然李晓冰牛欢欢鄢岩柴璐丁琳琳张高洁王小宁房淑娟宋苗苗余静何东梅李巧刘聪聪11级(14人)杨华丽郭雯李冰清何童童关云霄陈瑞婷高鸿雁王方方王雅琼贾宁侯玲伟郑新芳陈蕊李慧12级(15人)麻金金李晓阳黎纺刘莹袁秀锦张亚红徐嫚嫚张琼琼董凤李创赵梁怡董爽董利娜唐璐张秀娟人文学院:2010级(14人):外汉101:宋丹丹王笑王展邱楠楠汉语101:牛亚博刘晓红张媛贾璐社工:徐珺玉吴琼李晋芳曹明昕历史:戴浴宇霍晶晶2011级(13人)外汉:姚文婷李家慧杨新新汉语言:李海楠薛姣任婷婷李晋白雪社工:李浩楠许金凤陈真真邝兵成历史:苏浩浩赵静2012级(13人)外汉:张晓斌,金霞,方宇中,马志文。
绍兴文理学院2011-2012学年
国家奖学金、国家励志奖学金初审获奖学生名单公示根据《浙江省财政厅浙江省教育厅关于分配2012年普通高校国家奖学金国家励志奖学金和国家助学金名额的通知》(浙财教[2012]264号)文件精神,我校开展了2011-2012学年国家奖学金、国家励志奖学金评选工作。
经学生本人申请,学院推荐审核,校奖学金评审小组审定,刘晓娟等48位同学通过国家奖学金评选初审,丁海娜等740位同学通过国家励志奖学金评选初审。
现予以公示(具体名单见附件)。
公示的有关要求:
1.广大师生可用书面或口头形式向河西体育馆南阶梯楼下校学生工作部(处)学生事务中心(3)反映公示对象在“德、智、体、美”等方面存在的问题,并请写上真实姓名和联系方法;
2.要实事求是反映情况;
3.公示时间为五天,从公示之日算起。
公示联系电话:88341839,联系人:谭奇峰,E-mail:tqf@另请各学院在各自的宣传窗上张贴公示。
校学生工作部(处)
二○一二年十一月三日
附件1:
附件2:。
关于做好2013年国家奖学金和国家励志奖学金评定工作的通知各班级:现将2013年国家奖学金和国家励志奖学金评定的有关事项通知如下:一、总体要求严格按照《中国海洋大学国家奖学金管理暂行办法》(海大学字[2007]67号)、《中国海洋大学国家励志奖学金管理暂行办法》(海大学字[2007]70号)进行评定,坚持公开、公平、公正的原则。
二、评定机制国家奖学金和国家励志奖学金实行申报制。
凡我校全日制本科学生,符合条件者均有资格提出申请,本人未提出申请不能获奖,不缴纳学费的学生不能获奖。
国家奖学金和国家励志奖学金不可兼得。
各学院(系、中心)国家奖学金推荐包括候补名额。
三、评定范围、条件(一)国家奖学金1、评定范围二、三、四年级本科学生。
2、评定条件(1)热爱社会主义祖国,拥护中国共产党的领导;在当年学校学生素质测评中,“思想政治素质”评定为“优秀”;(2)自觉遵守宪法和法律,遵守学校的各项规章制度;(3)诚实守信,道德品质优良;(4)在校期间学习成绩优异,获得当年学校学习优秀一等奖学金;(5)社会实践、创新能力、综合素质等方面特别突出。
(二)国家励志奖学金1、评定范围二、三、四年级本科学生中的家庭经济困难学生,以2013-2014学年家庭经济困难学生信息档案为准。
2、评定条件(1)热爱社会主义祖国,拥护中国共产党的领导;在当年学校学生素质测评中,“思想政治素质”评定一般应为“优秀”;(2)自觉遵守宪法和法律,遵守学校的各项规章制度;(3)诚实守信,道德品质优良;(4)在校期间学习成绩优异,获得当年学校学习优秀奖学金;(5)家庭经济困难,生活俭朴;(6)同等条件下,家庭经济特殊困难学生优先。
推荐名额:国家奖学金候选人每班推选最多2名,励志最多中国海洋大学学生工作处通知2013年第55号主题:关于做好2013年国家奖学金和国家励志奖学金评定工作的通知推选5名,国奖励志条件都符合的按照国奖报,同时参评国奖和励志。
学年国家励志奖学金初审学生名单
机电工程学院:
级:人:
贾亚昌黄一杰张阳阳刘晓阳葛曼飞李其超
孙成龙刘广森徐文静李华鲁欣丁振
闫向哲闫冉翟康毛二娜张猛冯冠
华邱方方卢明轩杨久春韩若琰李雪艳曹
贝贝衡俊平韩清波
级人:
张亚辉李令令陶明芳袁林于蕊瑞白连胜
陈晶莹李新乐陈玉昊李森王松李金霞
胡永乐陈鹏辉李少川夏贺鹏张静练淑君
李艳聪刘松波王欣徐军领周永庆孟晓洁
胡金龙赵鹏飞卢成
级人:
张明锴宋永锋张恒王梦姣曹军杰刘帆
位永兴张浩李海洋罗盼温培科周占生
张增玲刘广玉乔杰付铜铜苏超乾张锐杨
王海波潘智博鲁文然丁银亭王政委王晓瑜
刘志强陈孟会苏家明
医工学院:
代晓燕符克慧常茉莉张琼刘晓潞董仕桢闫彬李红良张宽汤婷婷王欣王会刘顺顺徐莹莹李萍萍梁红秋徐梦丽杨静波徐佰杰隗英赵冬冬韩月张颖超
材料学院:
医学院:
乔伟强付强李斌周洁郝洁雅叶静纳袁晓晗张春盼许小亮何云霞齐小峰雷霖张中琳简历李文雅孙
雅静朱洋洋朱康张娜万亚会吴晴晴景东帅王苏丹王娟巴点点高珍珠李青春马转珍许倩陈珂姚小静关见梅陈林刘畅李香魏丹李文龙罗改改董佳利石瑞苌晨帆李林谢敏管清春李国洋于甜甜李瑞华占树华李国超张丽娜闫志刚梁利彩段佩养李倩倩王冰冯祥阳张春芳占辉代燕芬裴玉新谭子煊孔迎博班慧玲郑亚珍刘清清赵真王莲丽曹玉李相禹罗楠李元颖董音汝徐建军石梦辉蒋梦雨
徐雪艳涂浩田吕玉亭冯丹丹韩泽森白倩杨芳孔红娇苑停停雷亚静
张艳芳杜晓东邱佳刘洋赵美华朱大权曹凯伦孟亮李昆贾雪华
王立坤王清华李静宋戈李府臣张栋栋高成恩周仙草杨丹丹原正荣
国防生大队:
曹凯、王晓莉、张聚、郭晓明
外国语学院:
康家欣吴婷婷尚亚博苏凯丽赵影华刘亚云李俊生王韧闫宁徐影胡晓格郑盼盼晏平谷艳慧
罗肖蒙扶丹安祎王琳瑶王婷窦红娟任俣歆
刘娇张梦云张玉焕朱曼曼马君君李晓萌杨晨
李晓斌逯锦王瑞莹李秧秧谭鹏飞李凡秦思妤
宁丽燕程若楠凌美山刘昂
体育学院:
陈记者刘瑞王路宽夏辉
善张站军高凤相郭志
明曹曙光刘银威张仁
义
信息工程学院:
杨丽孔袁莉徐雪南丁飒孙莹莹宋云俏李文婧崔潇婷饶丽花秦卫燕张慧丁翠玲黄晓燕郭浩东邢文慧孙乾程顾记清冯巧遇陈成表刘志远杨浩波曹彦娜李雪林张文博张伊晓李凌波叶燕华范冰新
王奥运吴苑郑瑶瑶曾玉路黄亚青丁李平李海港程梦娇程冉王健胡展张鹤张艳杰李春鸣何威周文业董程凤丰园园李西亚张润民赵霞飞曾晓旭陈云飞刘记平刘晓真王博文吴洋王真真
土木工程学院:
潘露露宋志远史久畅朱若菲魏子椋赵彩云郝新月吴金河邱凤华王换敏胡玉小楚亚会梁云帅刘亚栋郭文豪付文轩栗琼琼李盼杰
王静丽崔彦博陈通邵艳丽杨影赵小朋聂华杰唐雷振王磊邢春燕何亚洲
苗舒齐万金庭刘浩庞然贾永强
逯瑶王小静禹富有刘少勇陈忠梅刘畅王小孩杨永睿谭青梅张延青樊晓盼
农学院:
级:(人)
农学李璐璐农学苏亚丽农学田秀苓
农学李佩芳农学刘爱梅生技梁韶
生技李培丹生技夏少攀生技刘双委
生技崔然然生科张贝生科郭祎波
生科杨卉慧生科李莹资环高婷
资环袁雪红资环李金珠
级:(人)
农学张雪玲农学乔青农学梁飞
农学王雪萍生技李庆生技闫臻
生技张薇薇生技张红楠生技杨会平
生科韩启换生科贾慧源生科刘盼盼
生科杜晓洁资环马幸利资环张晓龙
种子刘艳艳种子陈静静
级:(人)
农学司磊农学李荣荣农学杨秀
农学张文涛生技卢继科生技黄书杰
生技郝广龙生技王雅楠生技梁红莲
生科熊太甜生科岳试超生科王敏
生科赵艳娜资环史晓帆资环常晓华
资环霍科豪种子何庆飞
经济学院:
级
李静阳刘万青李迪代凡罗燕秋薛梦珠付丽娜周蕾徐芳
级
耿曼曼王丽丽连小英张婷李雪
艳芦迪于盼盼李莎莎陈雅妮石卫琪
级
杨洁谢珍珠王琪琪林楚天王婷
婷李桃利杨含贾璐
陈玥李婧文陈富豪杨艳
国际教育学院:
杨丽薇原宇叶祯郭明娟李冰
雪张强刘娜娜
吴有
箫潘坤王苹梅涛王恒
李艳豪张小伟
武云鹤蔡海凤吕雪
勤王贺刘洋唐潇彩张玮琪
付亚伟高雷飞程腾王鲜伟刘建
朋苏立远陈浩
刘园园吴迪申冬勤梅慧慧王红
燕刘亚韩东梅
李文雅郭晓明崔文龙路艳
娜杜月王晓萍付肖雪
王田玉张凤王黑旦王亚飞陈义
忠王军龙刘金波
张震樊浩杰牛驾祥王诗杰罗秋慧
艺术与设计学院:
史磊刚张萍萍张秋雨林晓青刘玄王亚丽李绿林蔡青杨敏刘娜王冬雪刘亚培罗凤阳熊康康张敏周旋郭亚柯贾越清王涵涵张念晨张梦洁彭肖康张争磊朱自华刘丽芳吴烨泓冯珍汪红升刘桐妤闫祯杰周青青李雪艳李梦烨黄雪赵珂珂叶南松程瑞民张笑璇张金权池笑雨
食品学院:
王润博张秀敏陈豪魏丽娟张钵鑫刘彬蔡天娇裴静静王苹普张莉君郭周航段小雪张桦洋于东艳杨明伟任丹丹张婷于斌李柯宏赵晓波李丽
王兰英钱亚波宋迪李宁叶未奇黄静芳郑瑞萍党筱筱李婉婉王伟光朱敏仲玉备王伟洁陈慧李珂马丽娜李政军赵玉珍林亚楠徐晶晶葛俊苗陈丹阳李亚娟侯淑鸽刘贺卢雪司梦瑶房雅刘蓓蕾刘志静张玉琳潘素歌王倩朱晓琳金星
数学与统计学院:
髙健人王晨李会珍李倩祁显萍魏少辉徐文洪张翠霞王李鹏张争争王富华杨国国李玲艳纪兵权朱晓敏李雅莉张艳娜严莉于洪敏周继华耿肖倩孙卡王朵李辉孙宁华魏丹婷赵伟杰
管理学院:
白歌,范丽亚,彭传梅,王宇,刘利利,罗萌萌,蒋明明,信兰云,李伟婷,姬晶晶,韩朋蕊,姜小飞,张艳华,李盼,毛蓓蓓,兰静,王婷婷,付媛媛,杨丽歌,余秋霞,杨丽君,常瑞雪,王韶娟,任凯,陈银涛,高望炜,李亚琼,叶鑫,宋珺,王静,常小乐,田方,林艳
花,王梦君,郑改红,张丽,陈耀贞,杜亚洲,高香香,符晓宁,张贞贞,布新琳,田锐,李召杰,杨宾,宋转芳,梁香丽,郭晓,孟东亮,曾越,任彩霞,刘卓昊,陈晓莲,白贝贝,段娜娜苏媛,赵新莉,谢东梅,王翠翠,曹恒亚,孙辉,翟久潇
软件学院:
白家鸣刘金金王营李豪丁珂赵天靓张安岐何梦丽
尚风珍何东豪李博翀王彬刘留凤王丽丽张振石志远
冉祎航运晓楠牛勤超崔家豪张晓云李永鑫王永盛
动科学院:
级:(人):
崔红艳刘丹田艳彩王小雪张丽华谭锦锦
孟晓鹤刘琪刘丽慧李爽杜秋婉王科杰
张莹赵晓李幸萍高焕杰
级专升本:(人):
闫珍申亚丽
级:(人)
陆敏杰赵明亮肖红芝张玉香师田田闫会晓曾珍珍朱广飞刘子茵张景云高冉罗讯王二鑫白景英李亚男
级:(人):
王书文崔家杰宋明芳蒋姗姗仝晓丹李俊姣刘佩王艳艳唐天悦李晓开单玲玲姜芳芳王萍王俊阳董丹丹
林学院:
级(人)
李贝贝陈浩然李晓冰牛欢
欢鄢岩柴璐丁琳琳张高洁
王小宁房淑娟宋苗苗余静何东
梅李巧刘聪聪
级(人)
杨华丽郭雯李冰清何童童关云
霄陈瑞婷高鸿雁王方方
王雅琼贾宁侯玲伟郑新
芳陈蕊李慧
级(人)
麻金金李晓阳黎纺刘莹袁秀
锦张亚红徐嫚嫚张琼琼
董凤李创赵梁怡董爽董利
娜唐璐张秀娟
人文学院:
级(人):
外汉:宋丹丹王笑王展邱楠楠
汉语:牛亚博刘晓红张媛贾璐
社工:徐珺玉吴琼李晋芳曹明昕
历史:戴浴宇霍晶晶
级(人)
外汉:姚文婷李家慧杨新新
汉语言:李海楠薛姣任婷婷李晋白雪
社工:李浩楠许金凤陈真真邝兵成
历史:苏浩浩赵静
级(人)
外汉:张晓斌,金霞,方宇中,马志文。
汉语言:叶春凤,王芬,周雪晴,王利敬
社工:房亚南,马艳丽,余春香
历史:刘楠,黄海荣
化工与制药学院:
王文鑫张贝贝袁军亚周攀黄倩倩徐赛玉马嘉琳许欣贾涛王雅辉关凤杰殷俊栗丽莎张
瑞玲陈潇王梦可王静静黄利李智超李秀莲李萍杨丹蕾宜瑶瑶方运海师梦珍王小娇刘园张若冲王红光路常攀王永爱舒凡李贝邵亚敏宋莉曹海勤张伟杰李强翟亚飞刘一琼吴伟祎赵振芳吴金芝
物理工程学院:
张春丽秦琰琰谢记涛李德船黄东张宗源田晓敏刘书丽肖顺亮赵晓琳周华新周洋李书超曹华亮方瑾李兵兵丁晨阳高波
农业工程学院:
丁要刚李双亚王乐乐王文煜李双双高园杨军强李冰燕杜省王丽杨玉婉张盼盼张晨迪高旭马跃培刘晓欢刘明明杨文静董彪吴卉月
电气学院:
杨洁黄真真王明郭喜风丁于倩王晓琴杨敏捷李真真吕威力冯程魏元璋王巧云薛慧敏韩笑笑童青青武鹏飞
罗俊欢皮先德吴梦尧孙榕泽陈文倩朱健楠
法学院:
李蔚法学班雷永翠法学班刘凯丽法学班
吴彩虹法学班李萌法学班张杜娟法学班
孙随随法学班王玉兰法学班熊玉法学班
王利新法学班方帅法学班黄冰冰法学班
袁亚茹法学班王真真法学班郭文娟法学班
付然法学班舒艳法学班刘景珠法学班
雷慧法学班徐辉法学班乔朔法学班
护理学院:
级:马会丽、王翠娜;
级:王子文、李晓华、汲冬冬;
级:李明莉、刘云、李亚芳;
级:刘冰、邱立帅、张永乐、蔺婷婷
建筑学院:
刘欢欢、衡秋歌、赵邵曼、陶健、李玉良、仝兴亚、邱佳月、贾中全、陶玉琳、李双玉、秦彬、王东楠、周梦珂、刘凤楚
法医学院:
级:王小怡赵晓华刘成
级:陈硕臻张玉霞李小静李映映
级:李焕徐倩楠李永林卓佩佩
级:张杰郭然
车辆学院:
级:
吕梦男李子繁毕研永王帅张强强张少华徐磊李明月王龙龙姚丽珍李冰张文权李英李婉笛孙静丽贾雪迎张静静
级:
朱彦涛涂小斐陈曦邢勤勇贾德明贾义李俊隆祖国强罗盼孟杰克黄涛王国徽潘为霞张秋香赵瑞宽
级:
朱岩辉林海云宗君朋牛喜渊王青云张胜利王猛王坤宁刘亚彬马鹏丽孙家辉贾江峰彪建洋汪留辉李建伟。