高一数学必修1期中考试题和详细答案
- 格式:doc
- 大小:277.50 KB
- 文档页数:6
2023-2024学年高一(上)期中数学试卷一、选择题:共8小题,每小题5分,共40分.在每小题给出的四个选项中,只有一项符合题目要求.1.(5分)已知集合A={1,2,3},集合B={x||x﹣1|<1},则A∩B=()A.∅B.{1}C.{1,2}D.{1,2,3} 2.(5分)已知x∈R,p:|x﹣2|<1,q:1<x<5,则p是q的()A.充分不必要条件B.必要不充分条件C.充要条件D.既不充分也不必要条件3.(5分)命题“∃x∈(1,+∞),x2+2<0”的否定是()A.∃x∈(﹣∞,1],x2+2<0B.∃x∈(1,+∞),x2+2≥0C.∀x∈(1,+∞),x2+2>0D.∀x∈(1,+∞),x2+2≥04.(5分)下列函数中,f(x)和g(x)表示同一个函数的是()A.B.f(x)=1,g(x)=x0C.D.f(x)=|x+2|,5.(5分)已知不等式ax2+bx+c>0的解集为{x|x1<x<x2}且x1>0,则不等式cx2+bx+a>0的解集为()A.{x|x1<x<x2}B.{x|x>x2或x<x1}C.D.或6.(5分)已知函数,若函数f(x)=max{﹣x+1,x2﹣3x+2,x﹣1},则函数f(x)的最小值为()A.0B.1C.2D.37.(5分)已知正实数x,y满足2x+y+6=xy,记xy的最小值为a;若m,n>0且满足m+n=1,记的最小值为b.则a+b的值为()A.30B.32C.34D.368.(5分)已知函数f(x)满足f(x)+f(4﹣x)=4,f(x+2)﹣f(﹣x)=0,且f(1)=a,则f(1)+f(2)+f(3)+⋯+f(51)的值为()A.96B.98+a C.102D.104﹣a二、选择题(共4小题,每小题5分,满分20分)(多选)9.(5分)下列不等关系一定成立的是()A.若a>b,则B.若,则ab>0C.若,则a>0>bD.若a>b,a2>b2,则a>b>0(多选)10.(5分)已知x∈(1,+∞),下列最小值为4的函数是()A.y=x2﹣4x+8B.C.D.(多选)11.(5分)下列说法正确的是()A.“a>1,b>1”是“(a﹣1)(b﹣1)>0”的充分不必要条件B.“0<a<4”是“ax2+ax+1>0在R上恒成立”的充要条件C.“a<1”是“f(x)=x2﹣ax在(1,+∞)上单调递增”的必要不充分条件D.已知a,b∈R,则“ab>0”是“a3+a2b﹣a2﹣ab+a+b>0”的既不充分也不必要条件(多选)12.(5分)已知x,y>0且满足x2+y2+1=(xy﹣1)2,则下列结论正确的是()A.xy≥2B.x+y≥4C.x2+y2≥8D.x+4y≥9三、填空题(共4小题,每小题5分,满分20分)13.(5分)已知函数,则函数f(x)的定义域为.14.(5分)已知函数f(x)满足,则函数f(x)的解析式为.15.(5分)已知函数,则f(﹣26)+f(﹣25)+⋯+f(﹣1)+f (1)+⋯+f(26)+f(27)的值为.16.(5分)已知x,y>0且满足x+y=1,若不等式恒成立,记的最小值为n,则m+n的最小值为.四、解答题:共6小题,共70分.解答应写出文字说明、证明过程或演算步骤. 17.(10分)已知集合A={x|x2﹣2x﹣3≤0},集合B={x|m﹣1<x<2m+1}.(1)当m=3时,求A∪B;(2)若“x∈A”是“x∈B”的必要不充分条件,求实数m的取值范围.18.(12分)已知函数f(x)=(2m2﹣m)x2m+3是幂函数,且函数f(x)的图象关于y轴对称.(1)求实数m的值;(2)若不等式(a﹣1)m<(2a﹣3)m成立,求实数a的取值范围.19.(12分)已知函数为定义在R上的奇函数.(1)求实数a,b的值;(2)求不等式|f(x)|≥3的解集.20.(12分)某高科技产品投入市场,已知该产品的成本为每件1000元,现通过灵活售价的方式了解市场,通过多日的市场销售数据统计可得,某店单日的销售额与日产量x(件)有关.当1≤x≤3时,单日销售额为(千元);当3≤x≤6时,单日销售额为(千元);当x>6时,单日销售额为21(千元).(1)求m的值,并求该产品日销售利润P(千元)关于日产量x(件)的函数解析式;(销售利润=销售额﹣成本)(2)当日产量x为何值时,日销售利润最大?并求出这个最大值.21.(12分)已知a,b,c是实数,且满足a+b+c=0,证明下列命题:(1)“a=b=c=0”是“ab+bc+ac=0”的充要条件;(2)“abc=1,a≥b≥c”是“”的充分条件.22.(12分)已知函数f(x)=ax2+bx+c(a≠0),满足f(0)=1,f(1)=3.(1)若函数f(x)有最小值,且此最小值为,求函数f(x)的解析式;(2)记g(a)为函数f(x)在区间[1,2]上的最大值,求g(a)的表达式.2023-2024学年高一(上)期中数学试卷参考答案与试题解析一、选择题:共8小题,每小题5分,共40分.在每小题给出的四个选项中,只有一项符合题目要求.1.(5分)已知集合A={1,2,3},集合B={x||x﹣1|<1},则A∩B=()A.∅B.{1}C.{1,2}D.{1,2,3}【分析】结合交集的定义,即可求解.【解答】解:集合A={1,2,3},集合B={x||x﹣1|<1}={x|0<x<2},故A∩B={1}.故选:B.【点评】本题主要考查交集及其运算,属于基础题.2.(5分)已知x∈R,p:|x﹣2|<1,q:1<x<5,则p是q的()A.充分不必要条件B.必要不充分条件C.充要条件D.既不充分也不必要条件【分析】根据题意,解绝对值不等式得1<x<3,结合充要条件的定义加以判断,即可得到本题的答案.【解答】解:根据题意,|x﹣2|<1⇒﹣1<x﹣2<1⇒1<x<3,由|x﹣2|<1可以推出1<x<5,且由1<x<5不能推出|x﹣2|<1.因此,若p:|x﹣2|<1,q:1<x<5,则p是q的充分不必要条件.故选:A.【点评】本题主要考查不等式的性质、充要条件的判断等知识,考查了计算能力、逻辑推理能力,属于基础题.3.(5分)命题“∃x∈(1,+∞),x2+2<0”的否定是()A.∃x∈(﹣∞,1],x2+2<0B.∃x∈(1,+∞),x2+2≥0C.∀x∈(1,+∞),x2+2>0D.∀x∈(1,+∞),x2+2≥0【分析】根据命题的否定的定义,即可求解.【解答】解:命题“∃x∈(1,+∞),x2+2<0”的否定是:∀x∈(1,+∞),x2+2≥0.故选:D.【点评】本题主要考查特称命题的否定,属于基础题.4.(5分)下列函数中,f(x)和g(x)表示同一个函数的是()A.B.f(x)=1,g(x)=x0C.D.f(x)=|x+2|,【分析】观察函数三要素,逐项判断是否同一函数.【解答】解:由题意得:选项A定义域不同,f(x)的定义域为R,g(x)中,x≠0;选项B定义域不同,f(x)的定义域为R,g(x)中,x≠0;选项C对应法则不同,g(x)=|x|;D项,三要素相同,为同一函数.故选:D.【点评】本题考查同一函数的判断,属于基础题.5.(5分)已知不等式ax2+bx+c>0的解集为{x|x1<x<x2}且x1>0,则不等式cx2+bx+a>0的解集为()A.{x|x1<x<x2}B.{x|x>x2或x<x1}C.D.或【分析】由题意可知,a<0,方程ax2+bx+c=0的两个根分别为x1,x2,再结合韦达定理求解即可.【解答】解:根据题意:a<0,方程ax2+bx+c=0的两个根分别为x1,x2,所以,,,,解得,即不等式的解集为{x|}.故选:C.【点评】本题主要考查了韦达定理的应用,考查了一元二次不等式的解法,属于基础题.6.(5分)已知函数,若函数f(x)=max{﹣x+1,x2﹣3x+2,x﹣1},则函数f(x)的最小值为()A.0B.1C.2D.3【分析】根据函数f(x)的定义可知,在一个坐标系中画出y=﹣x+1,y=x2﹣3x+2,y =x﹣1的图象,取最上面的部分作为函数f(x)的图象,由图象即可求出函数的最小值.【解答】解:根据题意,在同一个直角坐标系中,由﹣x+1=x2﹣3x+2,得x2﹣2x+1=0,解得x=1;由x2﹣3x+2=x﹣1,得x2﹣4x+3=0,解得x=3或x=1,所以f(x)=,同时画出函数y=﹣x+1,y=x2﹣3x+2,y=x﹣1,如图分析:所以函数f(x)的最小值为0.故选:A.【点评】本题考查利用函数的图象求函数的最值,属中档题.7.(5分)已知正实数x,y满足2x+y+6=xy,记xy的最小值为a;若m,n>0且满足m+n=1,记的最小值为b.则a+b的值为()A.30B.32C.34D.36【分析】由已知结合基本不等式先求出xy的范围,即可求a,然后利用乘1法,结合基本不等式可求b,进而可求a+b.【解答】解:∵xy=2x+y+6+6,当且仅当2x=y,即x=3,y=6时取等号,∴a=18.∵m+n=1,m>0,n>0.则=6,当且仅当n=3m且m+n=1,即m=,n=时取等号,∴,∴b=16;∴a+b=34.故选:C.【点评】本题主要考查了基本不等式在最值求解中的应用,属于基础题.8.(5分)已知函数f(x)满足f(x)+f(4﹣x)=4,f(x+2)﹣f(﹣x)=0,且f(1)=a,则f(1)+f(2)+f(3)+⋯+f(51)的值为()A.96B.98+a C.102D.104﹣a【分析】由已知结合函数的对称性先求出函数的周期,然后结合对称性及周期性即可求解.【解答】解:根据题意:函数f(x)满足f(x)+f(4﹣x)=4,可得函数f(x)关于点(2,2)成中心对称,函数f(x)满足f(x+2)﹣f(﹣x)=0,所以函数f(x)关于x=1对称,所以函数f(x)既关于x=1成轴对称,同时关于点(2,2)成中心对称,所以f(2)=2,T=4,又因为f(1)=a,所以f(3)=4﹣a,f(4)=f(﹣2)=f(﹣2+4)=f(2)=2,所以f(1)+f(2)+f(3)+f(4)=a+2+4﹣a+2=8,所以f(1)+f(2)+f(3)+⋯+f(51)=12[f(1)+f(2)+f(3)+f(4)]+f(1)+f(2)+f(3)=12×8+a+2+4﹣a=102.故选:C.【点评】本题主要考查了函数的奇偶性,对称性及周期性在函数求值中的应用,属于中档题.二、选择题(共4小题,每小题5分,满分20分)(多选)9.(5分)下列不等关系一定成立的是()A.若a>b,则B.若,则ab>0C.若,则a>0>bD.若a>b,a2>b2,则a>b>0【分析】由已知举出反例检验选项A,D;结合不等式的性质检验B,C即可判断.【解答】解:当a=1,b=﹣1时,A显然错误;若,则=<0,所以ab>0,B正确;若,即b﹣a<0,则=>0,所以ab<0,所以b<0<a,C正确;当a=2,b=﹣1时,D显然错误.故选:BC.【点评】本题主要考查了不等式的性质在不等式大小比较中的应用,属于基础题.(多选)10.(5分)已知x∈(1,+∞),下列最小值为4的函数是()A.y=x2﹣4x+8B.C.D.【分析】根据二次函数的性质检验选项A,结合基本不等式检验选项BCD即可判断.【解答】解:根据题意:选项A,y=x2﹣4x+8,根据二次函数的性质可知,x=2时取最小值4,故选A;,当且仅当时取最小值,不在x∈(1,+∞)范围内,故选项B错误;选项C,=,当且仅当,即x=3时成立,故选项C正确;选项D,,令,原式为,当且仅当t=,即t=2时等式成立,不在范围内,故选项D错误.故选:AC.【点评】本题主要考查了基本不等式及二次函数性质在最值求解中的应用,属于中档题.(多选)11.(5分)下列说法正确的是()A.“a>1,b>1”是“(a﹣1)(b﹣1)>0”的充分不必要条件B.“0<a<4”是“ax2+ax+1>0在R上恒成立”的充要条件C.“a<1”是“f(x)=x2﹣ax在(1,+∞)上单调递增”的必要不充分条件D.已知a,b∈R,则“ab>0”是“a3+a2b﹣a2﹣ab+a+b>0”的既不充分也不必要条件【分析】根据充分必要条件的定义,对各个选项中的两个条件进行正反推理论证,即可得到本题的答案.【解答】解:对于选项A,a>1,b>1⇒a﹣1>0,b﹣1>0⇒(a﹣1)(b﹣1)>0,反之,若(a﹣1)(b﹣1)>0,则可能a=b=0,不能得出a>1,b>1.故“a>1,b>1”是“(a﹣1)(b﹣1)>0”的充分不必要条件,A正确;对于选项B,ax2+ax+1>0在R上恒成立,当a=0时,可得1>0恒成立,而区间(0,4)上没有0,故“0<a<4”不是“ax2+ax+1>0在R上恒成立”的充要条件,B不正确;对于选项C,f(x)=x2﹣ax在(1,+∞)上单调递增,可以推出是a⩽2的子集,故“a<1”是“f(x)=x2﹣ax在(1,+∞)上单调递增”的充分不必要条件,C不正确;对于选项D,a3+a2b﹣a2﹣ab+a+b=a2(a+b)﹣a(a+b)+(a+b)=(a+b)(a2﹣a+1),,ab>0⇎(a+b)>0,因此,“ab>0”是“a3+a2b﹣a2﹣ab+a+b>0”的既不充分也不必要条件,D正确.故选:AD.【点评】本题主要考查了充分条件与必要条件的判断、不等式的性质、二次函数的单调性等知识,属于基础题.(多选)12.(5分)已知x,y>0且满足x2+y2+1=(xy﹣1)2,则下列结论正确的是()A.xy≥2B.x+y≥4C.x2+y2≥8D.x+4y≥9【分析】将所给等式化简整理,得到(x+y)2=x2y2,结合x,y>0可得x+y=xy,.由此出发对各个选项逐一加以验证,即可得到本题的答案.【解答】解:根据题意,x2+y2+1=(xy﹣1)2,即x2+y2=x2y2﹣2xy,整理得x2+y2+2xy =x2y2,所以x2+y2+2xy=x2y2,即(x+y)2=x2y2,而x、y均为正数,故x+y=xy,可得.对于A,,两边平方得x2y2≥4xy,可得xy≥4,故A错误;对于B,由A的计算可知x+y=xy≥4,当且仅当x=y=2时取到等号,故B正确;对于C,x2+y2=x2y2﹣2xy=(xy﹣1)2+1≥32﹣1=8,当且仅当x=y=2时取到等号,故C正确;对于D,,当且仅当x=2y,即时取到等号,故D正确.故选:BCD.【点评】本题主要考查了不等式的性质、基本不等式及其应用等知识,考查了计算能力、逻辑推理能力,属于中档题.三、填空题(共4小题,每小题5分,满分20分)13.(5分)已知函数,则函数f(x)的定义域为[﹣2,1].【分析】根据函数的解析式,列出使函数解析式有意义的不等式组,求出解集即可.【解答】解:函数∴﹣x2﹣x+2⩾0,解得﹣2⩽x⩽1.∴函数的定义域为[﹣2,1].故答案为:[﹣2,1].【点评】本题主要考查函数定义域的求解,属于基础题.14.(5分)已知函数f (x )满足,则函数f (x )的解析式为.【分析】利用解方程组的方法求函数解析式即可.【解答】解:根据题意:①,令代替x ,可得②,①﹣②×2得:,∴函数f (x )的解析式为.故答案为:.【点评】本题考查求函数解析式,属于基础题.15.(5分)已知函数,则f (﹣26)+f (﹣25)+⋯+f (﹣1)+f(1)+⋯+f (26)+f (27)的值为.【分析】根据已知条件,结合偶函数的性质,即可求解.【解答】解:令函数,可得函数f (x )=g (x )+2,∵函数为奇函数,∴g (﹣x )=﹣g (x )⇒g (﹣x )+g (x )=0,f (﹣26)+f (﹣25)+⋯+f (﹣1)+f (1)+⋯+f (26)+f (27)=g (﹣26)+g (﹣25)+⋯+g (﹣1)+g (1)+⋯+g (26)+g (27)+2×53=g (27)+2×53=.故答案为:.【点评】本题主要考查函数值的求解,属于基础题.16.(5分)已知x ,y >0且满足x +y =1,若不等式恒成立,记的最小值为n ,则m +n 的最小值为.【分析】由恒成立,可知左边的最小值大于等于9,因此求的最小值,结合基本不等式求出m+n的最小值.【解答】解:∵实数x,y>0满足x+y=1,∴x+y+1=2,而=,当时,等号成立,所以,解得m⩾8.而=,令,则原式,当时,等号成立,∴实数n的值为,可得实数m+n的最小值为.故答案为:.【点评】本题主要考查基本不等式及其应用,考查了计算能力、逻辑推理能力,属于基础题.四、解答题:共6小题,共70分.解答应写出文字说明、证明过程或演算步骤. 17.(10分)已知集合A={x|x2﹣2x﹣3≤0},集合B={x|m﹣1<x<2m+1}.(1)当m=3时,求A∪B;(2)若“x∈A”是“x∈B”的必要不充分条件,求实数m的取值范围.【分析】(1)把m=3代入求得B,再由并集运算求解;(2)“x∈A”是“x∈B”的必要不充分条件,得B⫋A,然后分B=∅和B≠∅分别求解m 的范围,取并集得答案.【解答】解:(1)∵集合A={x|x2﹣2x﹣3⩽0},由x2﹣2x﹣3⩽0,即(x+1)(x﹣3)⩽0,解得﹣1⩽x⩽3,∵集合B={x|m﹣1<x<2m+1},当m=3时,即B={x|2<x<7},∴A∪B={x|﹣1⩽x<7}.(2)“x∈A”足“x∈B”的必要不充分条件,可得集合B是集合A的真子集,当m﹣1⩾2m+1⇒m⩽﹣2时,集合B为空集,满足题意;当m﹣1<2m+1⇒m>﹣2时,集合B是集合A的真子集,可得,∴实数m的取值范围为{m|m⩽﹣2或0⩽m⩽1}.【点评】本题考查并集的运算,考查分类讨论思想,是中档题.18.(12分)已知函数f(x)=(2m2﹣m)x2m+3是幂函数,且函数f(x)的图象关于y轴对称.(1)求实数m的值;(2)若不等式(a﹣1)m<(2a﹣3)m成立,求实数a的取值范围.【分析】(1)结合幂函数的性质,以及偶函数的性质,即可求解;(2)结合函数的性质,即可求解.【解答】解:(1)由题意可知,2m2﹣m=1,解得m=或1,又∵函数f(x)关于y轴对称,当,满足题意;当m=1⇒f(x)=x5,此时函数f(x)为奇函数,不满足题意,∴实数m的值为;(2)函数,分析可得该函数在(0,+∞)单调递减,∴由(a﹣1)m<(2a﹣3)m可得:.∴实数a的取值范围为.【点评】本题主要考查函数的性质,是基础题.19.(12分)已知函数为定义在R上的奇函数.(1)求实数a,b的值;(2)求不等式|f(x)|≥3的解集.【分析】(1)当x<0时,﹣x>0,代入已知函数解析式,对比函数解析式即可求解a,b;(2)结合奇函数的对称性及二次不等式的求法即可求解.【解答】解:(1)根据题意:当x<0时,﹣x>0,则f(x)=﹣f(﹣x)=﹣[(﹣x)2+2(﹣x)]=﹣x2+2x,故a=﹣1,b=2;(2)当x⩾0时,|f(x)|⩾3可得f(x)⩾3,即x2+2x⩾3⇒x2+2x﹣3⩾0,解得x⩾1,根据奇函数可得:|f(x)|⩾3的解集为{x|x⩾1或x⩽﹣1}.【点评】本题主要考查了奇函数的定义在函数解析式求解中的应用,还考查了奇函数的对称性在不等式求解中的应用,属于中档题.20.(12分)某高科技产品投入市场,已知该产品的成本为每件1000元,现通过灵活售价的方式了解市场,通过多日的市场销售数据统计可得,某店单日的销售额与日产量x(件)有关.当1≤x≤3时,单日销售额为(千元);当3≤x≤6时,单日销售额为(千元);当x>6时,单日销售额为21(千元).(1)求m的值,并求该产品日销售利润P(千元)关于日产量x(件)的函数解析式;(销售利润=销售额﹣成本)(2)当日产量x为何值时,日销售利润最大?并求出这个最大值.【分析】(1)根据单日销售额函数,列方程求出m的值,再利用利润=销售额﹣成本,即可得出日销售利润函数的解析式.(2)利用分段函数求出每个区间上的最大值,比较即可得出结论.【解答】解:(1)根据题意知,单日销售额为f(x)=,因为f(3)=+6+3=+9,解得m=,因为利润=销售额﹣成本,所以日销售利润为P(x)=,化简为P (x )=.(2)根据题意分析:①日销售利润P (x )=+x +3=+(x +1)+2,令t =x +1=2,3,4,所以函数为,分析可得当t =2时,取最大值,其最大值为;②日销售利润P (x )=+2x =+2x =﹣+2x ,该函数单调递增,所以当x =6时,P (x )取最大值,此最大值为15;③日销售利润P (x )=21﹣x ,该函数单调递减,所以当x =7时,P (x )取最大值,此最大值为14;综上知,当x =6时,日销售利润最大,最大值为15千元.【点评】本题考查了分段函数模型应用问题,也考查了运算求解能力,是中档题.21.(12分)已知a ,b ,c 是实数,且满足a +b +c =0,证明下列命题:(1)“a =b =c =0”是“ab +bc +ac =0”的充要条件;(2)“abc =1,a ≥b ≥c ”是“”的充分条件.【分析】(1)根据完全平方公式,等价变形,可证出结论;(2)利用基本不等式,结合不等式的性质加以证明,即可得到本题的答案.【解答】证明:(1)∵(a +b +c )2=a 2+b 2+c 2+2ab +2bc +2ac ,充分性:若a =b =c =0,则ab +bc +ac =0,充分性成立;必要性:若ab +bc +ac =0,由a +b +c =0,得(a +b +c )2=a 2+b 2+c 2+2ab +2bc +2ac ,所以a 2+b 2+c 2=0,可得a =b =c =0,必要性成立.综上所述,a =b =c =0是ab +bc +ac =0的充要条件;(2)由a ⩾b ⩾c ,且abc =1>0,可知a >0,b <0,c <0,由a +b +c =0,得,当且仅当b =c 时等号成立,由,得,a 3⩾4,可知≤a =﹣b ﹣c ≤﹣2c ,解得,因此,abc=1且a⩾b⩾c是的充分条件.【点评】本题主要考查等式的恒等变形、不等式的性质与基本不等式等知识,考查了计算能力、逻辑推理能力,属于基础题.22.(12分)已知函数f(x)=ax2+bx+c(a≠0),满足f(0)=1,f(1)=3.(1)若函数f(x)有最小值,且此最小值为,求函数f(x)的解析式;(2)记g(a)为函数f(x)在区间[1,2]上的最大值,求g(a)的表达式.【分析】(1)根据题意,由f(0)=1,f(1)=3分析可得f(x)=ax2+(2﹣a)x+1,由二次函数的最小值求出a的值,进而计算可得答案;(2)根据题意,由二次函数的性质分a>0与a<0两种情况讨论,分析g(a)的解析式,综合可得答案.【解答】解:(1)根据题意,函数f(x)=ax2+bx+c满足f(0)=1,f(1)=3,则有f(0)=c=1,f(1)=a+b+c=3,变形可得b=2﹣a,函数f(x)=ax2+(2﹣a)x+1,∵函数f(x)有最小值,∴a>0,函数f(x)的最小值为=,解可得:a=4或1,∴当a=4时,b=﹣2,函数f(x)的解析式为f(x)=4x2﹣2x+1;当a=1时,b=1,函数f(x)的解析式为f(x)=x2+x+1.(2)根据题意,由(1)的结论,f(x)=ax2+(2﹣a)x+1,是二次函数,分2种情况讨论:①当a>0时,i.当对称轴时,函数f(x)在区间[1,2]上的最大值g(a)=f(2)=2a+5,ii.当对称轴时,与a>0矛盾,故当a>0时,函数f(x)在区间[1,2]上的最大值g(a)=2a+5;②当a<0时,i.当对称轴时,函数f(x)在区间[1,2]上的最大值g(a)=f(1)=3,ii.当对称轴时,函数f(x)在区间[1,2]上的最大值,iii.当对称轴时,函数f(x)在区间[1,2]上的最大值g(a)=f(2)=2a+5.综上所述,【点评】本题考查函数的最值,涉及二次函数的性质,属于中档题.。
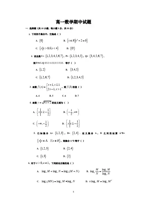
高一数学期中试题一. 选择题(共10小题,每小题5分,共50分)1. 下列四个集合中,空集是( )A.{}0 B. {}220x R x ∈+= C. {}84x x x ><或 D. {}∅2. 设全集U={}1,2,3,4,5,6,7,P= {}1,2,3,4,5,Q= {}3,4,5,6,7. 则P ∩C U Q 错误!未找到引用源。
等于( )A.{}1,2 B. {}3,4,5 C. {}1,2,6,7 D. {}1,2,3,4,53. 函数1,1()21,1x x f x x x +≤⎧=⎨->⎩,则(3)f 的值( ) A. 4 B. 5 C. 6 D. 74. 函数42y x =+的定义域为( )A. 12x x ⎧⎫≥-⎨⎬⎩⎭B. 1,2⎛⎫-+∞ ⎪⎝⎭C. 1,2⎛⎫-∞- ⎪⎝⎭D. 12x x ⎧⎫≤-⎨⎬⎩⎭ 5. 已知集合A= {}1,2,3,B= {}2,4.定义集合A ,B 之间的运算A*B= {}x x A x B ∈∉,且,则集合A*B 等于( )A.{}1,2,3 B. {}2,4 C.{}1,3 D. {}2 6. 对于0,1a a >≠,下列结论正确的是( )A. log log log ()a a a M N M N +=+B. log log log a a a M M N N =C. l o g ()l o g l og a a a M N M N =∙ D. log log n a a n M M =7. 212333222(),(),()335的大小关系是( ) A. 122333222()()()335>> B. 122333222()()()353>> C.212333222()()()533>> D. 212333222()()()335>> 8. 下列函数中,是偶函数的是( ) A.4()f x x = B. ]2,(3,3y x x =∈- C. y x= D. 0.9x y = 9. 如果2,(0,1)aN a a =>≠,则有( ) A.2log N a = B. 2log a N = C. log 2N a = D. log 2a N =10. 下列函数中在(),0-∞上是增函数的是( ) A.lg y x = B. 3x y = C. 1y x -= D. 2(1)y x =-+二.填空题(共4小题,每小题5分,共20分)11.函数()y f x =的图像与函数12log y x = (0)x >的图像关于直线y x =对称,则()f x =_____________.12. 计算:()643log log log 81⎡⎤⎣⎦=_____________. 13. 计算:23log 52+=__________.14. 已知幂函数()y f x =的图像过点()2,2,则此函数当81x =时,其函数值为__________.三.解答题(共5小题,每小题10分,共50分) 15. 计算:41log 50.50532527()()24ln lg200lg2168e π-+-+-+-。
高一数学期中考试测试题(必修一含答案)高一年级上学期期中考试数学试题一、选择题(本大题共12小题,每小题5分,共60分。
给出的四个选项中,只有一项是符合题目要求的)1.设全集U={1,2,3,4,5},集合A={1,2},B={2,3},则A ∩C U B A .{}45, B .{}23, C .{}1 D .{}2 2.下列表示错误的是(A )0?Φ (B ){}12Φ?,(C ){}{}21035(,)3,4x y x y x y +=-== (D )若,A B ?则A B A ?=3.下列四组函数,表示同一函数的是A .f (x )=2x ,g (x )=x B .f (x )=x ,g (x )=2x xC .2(),()2ln f x lnx g x x ==D .33()log (),()xa f x a a g x x =>0,α≠1=4.设1232,2,log (1), 2.(){x x x x f x -<-≥=则f ( f (2) )的值为A .0B .1C .2D .35.当0<a <1时,在同一坐标系中,函数xy a -=与log a y x =的图象是6.令0.760.76,0.7,log 6a b c ===,则三个数a 、b 、c 的大小顺序是A .b <c <aB .b <a <cC .c <a <bD .c <b <a 7.函数2()ln f x x x=-的零点所在的大致区间是 A .(1,2) B .(2,3)C .11,e ?? ???和(3,4) D .(),e +∞ 8.若2log 31x =,则39xx+的值为A .6B .3C .52 D .129.若函数y = f (x )的定义域为[]1,2,则(1)y f x =+的定义域为A .[]2,3B .[]0,1C .[]1,0-D .[]3,2-- 10.已知()f x 是偶函数,当x <0时,()(1)f x x x =+,则当x >0时,()f x = A .(1)x x - B .(1)x x -- C (1)x x + D .(1)x x -+11.设()()f x x R ∈为偶函数,且()f x 在[)0,+∞上是增函数,则(2)f -、()f π-、(3)f 的大小顺序是A .()(3)(2)f f f π->>-B .()(2)(3)f f f π->->C .()(2)f f f π-<(3)<-D .()(2)(3)f f f π-<-<12 已知函数f(x)的图象是连续不断的,x 与f(x)的对应关系见下表,则函数f(x)在区间[1,6] 上的零点至少有(A) 2(B) 3(C) 4(D) 5第Ⅱ卷(非选择题共90分)二、填空题(本大题共4小题,每小题4分,共16分。
人教版高一数学上学期期中考试数学试题(满分150分时间120分钟)一、单选题(12小题,每题5分)。
1.已知集合(){}{}0222>==-==x ,y x B ,x x lg y x A x,是实数集,则()A.B.C.D.以上都不对2.下列函数中,是偶函数且在上为减函数的是()A.2xy = B.xy -=2C.2-=x y D.3xy -=3.下列各组函数中,表示同一函数的是()A.2xy =和()2x y =B.()12-=x lg y 和()()11-++=x lg x lg y C.2x log y a =和xlog y a 2= D.x y =和xa alog y =4.已知3110220230...c ,b ,.log a ===,则c ,b ,a 的大小关系是()A.cb a << B.b ac << C.bc a << D.ac b <<5.在同一直角坐标系中,函数()()()x log x g ,x x x f a a=≥=0的图像可能是()A. B. C. D.6.若132=log x ,则x x 93+的值为()A.3B.C.6D.7.函数()x x x f 31+-=的单调递增区间是()A.B.C.D.8.某同学求函数()62-+=x x ln x f 零点时,用计算器算得部分函数值如下表所示:则方程062=-+x x ln 的近似解(精确度0.1)可取为()A.2.52B.2.625C.2.66D.2.759.函数()xx lg x f 1-=的零点所在的区间是()A.(0,1)B.(1,10)C.(10,100)D.(100,+∞)10.已知函数()2211xxx f -+=,则有()A.()x f 是奇函数,且()x f x f -=⎪⎭⎫⎝⎛1 B.()x f 是奇函数,且()x f x f =⎪⎭⎫⎝⎛1C.()x f 是偶函数,且()x f x f -=⎪⎭⎫⎝⎛1 D.()x f 是偶函数,且()x f x f =⎪⎭⎫⎝⎛111.如图,向放在水槽底部的烧杯注水(流量一定),注满烧杯后,继续注水,直至注满水槽,水槽中水面上升高度h 与注水时间t 之间的函数关系,大致是()A. B. C. D.12.已知函数()⎪⎩⎪⎨⎧>+-≤<=0621100x ,x x x ,x lg x f ,若a ,b ,c 均不相等,且()()()c f b f a f ==,则abc的取值范围是A.(1,10)B.(5,6)C.(10,12)D.(20,24)二、填空题(4小题,每题5分)13.若对数函数()x f 与幂函数()x g 的图象相交于一点(2,4),则()()=+44g f ________.14.对于函数f (x )的定义域中任意的x 1,x 2(x 1≠x 2),有如下结论:①f (x 1+x 2)=f (x 1)f (x 2);②f (x 1x 2)=f (x 1)+f (x 2);③()()02121>--x x x f x f .当f (x )=e x 时,上述结论中正确结论的序号是______.15.已知3102==b,lg a ,用a,b 表示=306log _____________.16.设全集{}654321,,,,,U =,用U 的子集可表示由10,组成的6位字符串,如:{}42表示的是第2个字符为1,第4个字符为1,其余均为0的6位字符串010100,并规定空集表示的字符串为000000.(1)若,则M C U 表示6位字符串为_____________.(2)若,集合表示的字符串为101001,则满足条件的集合的个数为____个.三、解答题。
2024-2025学年高一数学上学期期中模拟卷01
注意事项:
1.答卷前,考生务必将自己的姓名、准考证号填写在答题卡上。
2.回答选择题时,选出每小题答案后,用铅笔把答题卡上对应题目的答案标号涂黑。
如需改动,用橡皮擦干净后,再选涂其他答案标号。
回答非选择题时,将答案写在答题卡上。
写在本试卷上无效。
3.考试结束后,将本试卷和答题卡一并交回。
4.测试范围:人教A版2019必修第一册第一章~第三章。
5.难度系数:0.65。
第一部分(选择题共58分)
一、选择题:本题共8小题,每小题5分,共40分。
在每小题给出的四个选项中,只有一项是符合题目要求的。
或C或D
由图知:()040f x x >⇒-<<.故选D.
二、选择题:本题共3小题,每小题6分,共18分.在每小题给出的选项中,有多项符合题目要求.全部
选对的得6分,部分选对的得部分分,有选错的得0分.
第二部分(非选择题共92分)三、填空题:本题共3小题,每小题5分,共15分。
四、解答题:本题共5小题,共77分。
解答应写出文字说明、证明过程或演算步骤。
15.(13分)
的取值范围为.
16.(15分)
17.(15分)
18.(17分)
19.(17分)。
高一数学必修一期中试卷及答案1、已知,当时,求(). [单选题] * A.7B.-7(正确答案)C.0D.无法确定2. 下列语句中是集合的是() [单选题] *A.浙江的所有高楼大厦的全体B.面积较小的三角形的全体C.与0相差不多的数的全体D.中国队的女排运动员的全体(正确答案)3.的定义域是(). [单选题] *A.(-∞,0)B.(0,+∞)C.(-∞,+∞)(正确答案)D.∅4.函数,则当时,(). [单选题] *A.1B.10(正确答案)C.-10D.-35.已知 A={a,0},B={1,2}, A∩B={1},则(). [单选题] * A.1(正确答案)B.1,2C.2D.06.,此函数是()函数. [单选题] *A.一次函数B.二次函数(正确答案)C.反比例函数D.正比例函数7.选出下列选项中正确的一项,4(). [单选题] * A.∈(正确答案)B.∉C.D.8.,,则的结果是(). [单选题] *A.{1,2,3,4,5,6}B.{1,2,3,4,6}C.{2,6}(正确答案)D.∅9.集合,用区间的形式表示出来是(). [单选题] *A. (-∞,7)B. (0,7)C. (7, +∞)(正确答案)D.∅10.已知m,n为实数,则∣m∣=∣n∣是的()条件. [单选题] * A.充分B.必要C.既不充分也不必要D.充分必要(正确答案)11.比较大小() [单选题] *A.>B.<(正确答案)C.≥D.≤12. 下列关系正确的是() [单选题] *A.0∈c80937d345258f239c80937d345258f239b630bd428ad-20221229-13401620.png' />B.π∈QC. ∈R(正确答案)D. ∈Q13.下列关系中,正确的是() [单选题] *A. ∅∈{a}B.a∉{a}C.{a}∈{a,b}D.a∈{a,b}(正确答案)14. 设集合M={x|x},a=4,则下列正确的关系是() [单选题] *A.a∉M(正确答案)B.{a}∈MC. a∈MD.{a}∉M15. 集合M={x|2≤x≤8,且x Z},则集合M元素个数为() [单选题] *A.6B.64C.7(正确答案)D.12816. 集合A={1,2,4,7,9},B={1,3,5,6,7,9},则A B=() [单选题] *A.{1,2,3,4,5,6,7,9}B.{1,7,9}(正确答案)C.{2,4,3,5}D. ∅17. 若M={2,4,6},N={1,3},则M N=() [单选题] *A.{1,2,4}B.{1,2,3,4,6}(正确答案)C. ∅D.{ ∅}18. 集合M={(x ,y)|x+y=2},N={(x ,y)|x-y=4},则集合M N为() [单选题] *A.x=3,y=-1B.(3,-1)C.{3, -1}D.{(3,-1)}(正确答案)19. 设集合A={1},B={1,2},C={1,2,3},则(A B) C=() [单选题] *A.{1,2,3}B.{1,2}(正确答案)C.{1}D.{3}20. 已知全集U=R,A={x|x1},则=() [单选题] *A.{x|x>1}B.{x|0C.{x|x<1}(正确答案)D. ∅21.下列命题正确的是() [单选题] *A. 若a>-(正确答案)b,则c+a>c-bB.若a>b,则a-b>2d则ac>bdD.若a>b,c>b,则a>c22.若a>b,则(). [单选题] *A.b ²≤a ²B.a²>b²C.a²≤b²D.以上都不对(正确答案)23.若,则下列关系式中正确的是(). [单选题] * A. 2x>x²>xB. x²>2x>xC. 2x>x>x²(正确答案)D. x²>x>2x24.不等式的解集为(). [单选题] *A. (-∞,2)∪(3, +∞)B. (-∞,-1) ∪(6, +∞)(正确答案)C.(2,3)D.(-1,6)25.不等式+->0的解集为(). [单选题] *A.(–1,3)(正确答案)B.(–3,1)C.(-∞,–1 )∪(3,+ ∞)D.(-∞,3)26.解集为{x|x<–2或x>3}的不等式为(). [单选题] * A.(x+1)(x-2)<0B.(x+2)(x-3)>0(正确答案)C.x2–2x–3>0D.x2-2x-3<027.若不等式的解集是(-4,3),则c的值等于(). [单选题] * A.12B.-12(正确答案)C.11D.-1128.若|m-5|=5-m,则m的取值是(). [单选题] *A.m >5B.m≥5C.m<5D.m≤5.(正确答案)29.求不等式︱-1︱≤2的解集为(). [单选题] *A.(-∞,3]B.[-1,+∞)C.[-1,3](正确答案)D.(-∞,-1)∪(3,+∞)30.设不等式的解集为(-1,2),则=(). [单选题] *A.1/4B.1/2C.2/3D.3/2(正确答案)31.已知函数的定义域是() [单选题] * A.{x|x≥1}(正确答案)B.{x|x≤1}C. {x|x>1}D. {x|x<1}32.与函数相等的函数是() [单选题] * A. y=(x+1) ºB. y=t+1(正确答案)C.D. y=|x+1|33.设函数f(x)=则f(3)=() [单选题] * A.0.2B.3C.2/3(正确答案)D.13/934.函数的定义域为() [单选题] * A. (1, +∞)B. [1, +∞)C. [1,2)D.[1,2) ∪(2, +∞)(正确答案)35.已知函数,其定义域为() [单选题] *A.{x|x≥1或x≤-3}B. {x|-1≤x≤3}C.{x|x≥3或x≤-1}(正确答案)D. {x|-3≤x≤1}36.已知函数,则f(f(4))=() [单选题] *A.-2B.0C.4(正确答案)D.1637.已知函数f(x)=ax³+bx+4(a,b不为零),且,则等于() [单选题] *A.-10B.-2(正确答案)C.-6D.1438.设函数f(x)=x²+2(4-a)x+2在区间 (-∞,3]上是减函数,则实数a的取值范围是() [单选题] *A.a≥-7B.a≥7(正确答案)C.a≥3D.a≤-739.已知函数,若,则的值是(). [单选题] * A.-2(正确答案)B.2或-2.5C.2或-2D.2或-2或-2.540.一个偶函数定义在[-7,7]上,它在[0,7]上的图象如图所示,下列说法正确的是()[单选题] *A.这个函数仅有一个单调增区间B.这个函数有两个单调减区间C.这个函数在其定义域内有最大值是7(正确答案)D.这个函数在其定义域内有最小值是-741.如果偶函数在区间(0,1)上是减函数且最大值为3,则在区间(-1,0)上是() [单选题] *A.增函数且最大值为3(正确答案)B.增函数且最小值为3C.减函数且最大值为3D.减函数且最小值为342.本场考试需要2小时,在本场考试中,钟表的时针转过的弧度数为() [单选题] *A.B.(正确答案)C.D.43.930°=() [单选题] *A.B.C.D.(正确答案)44.将轴正半轴绕原点逆时针旋转30°,得到角α,则下列与α终边相同的角是() [单选题] *A.330°B.-330°(正确答案)C.210°D.-210二、判断题,正确的打√,错误的打×(每小题2分,共6题,共12分)1. 集合可以写成. [判断题] *对(正确答案)错2.是一个函数解析式. [判断题] *对错(正确答案)3.集合,集合,则集合. [判断题] *对错(正确答案)4.是空集. [判断题] *对错(正确答案)5.. [判断题] *对(正确答案)错6.,其中元素一共有5个. [判断题] *对(正确答案)错。
高一数学必修一期中考试试题及答案一、选择题1.(20 13年高考四川卷)设集合a={1,2,3},集合b={ -2,2},则a∩b等于( b )(a) (b){2}(c){-2,2} (d){-2,1,2,3}解析:a∩b={2},故挑选b.(a){2} (b){0,2}(c){-1,2} (d){-1,0,2}解析:依题意得集合p={-1,0,1},(a)1个 (b)2个 (c)4个 (d)8个4.(年高考全国新课标卷ⅰ)已知集合a={x|x2-2x>0},b={x|-(a)a∩b= (b)a∪b=r解析:a={x|x>2或x<0},∴a∪b=r,故挑选b.5.已知集合m={x ≥0,x∈r},n={y|y=3x2+1,x∈r},则m∩n等于( c )(a) (b){x|x≥1}(c){x|x>1} (d){x|x≥1或x<0}解析:m={x|x≤0或x>1},n={y|y≥1}={x|x≥1}.∴m∩n={x|x>1},故选c.6.设子集a={x + =1},子集b={y - =1},则a∩b等同于( c )(a)[-2,- ] (b)[ ,2](c)[-2,- ]∪[ ,2] (d)[-2,2]解析:集合a表示椭圆上的点的横坐标的取值范围a=[-2,2],集合b表示双曲线上的点的纵坐标的取值范围b=(-∞,- ]∪[ ,+∞),所以a∩b=[-2,- ]∪[ ,2].故选c.二、填空题7.( 年高考上海卷)若集合a={x|2x+1>0},b={x||x-1|<2},则a∩b=.解析:a={x x>- },b={x|-1所以a∩b={x -答案:{x -解析:因为2∈a,所以 <0,即(2a-1)(a- 2)>0,Champsaura>2或a< .①若3∈a,则 <0,即为( 3a-1)(a-3)>0,解得a>3或a< ,①②挑关连得实数a的值域范围就是∪(2,3].答案: ∪(2,3]若a≠0,b=(- ),∴- =-1或- =1,∴a=1或a=-1.所以a=0或a=1或a=-1组成的集合为{-1,0,1}.答案:{-1,0,1}10.已知集合a={x|x2+ x+1=0},若a∩r= ,则实数m的取值范围是.解析:∵a∩r= ,∴a= ,∴δ=( )2-4<0,∴0≤m<4.答案:[0,4)11.已知集合a={x|x2-2x-3>0},b={x|x2+ax+b≤0},若a∪b=r,a∩b={x| 3解析:a={x|x<-1或x>3},∵a∪b=r,a∩b={x|3∴b={x|-1≤x≤4},即方程x2+ax+b=0的两根为x1=-1,x2=4.∴a=-3,b=-4,∴a+b=-7.答案:-7三、解答题12.未知子集a={-4,2a-1,a2},b={a-5,1-a,9},分别谋适宜以下条件的a的值.(1)9∈(a∩b);(2){9}=a∩b.解:(1) ∵9∈(a∩b),∴2a-1= 9或a2=9,∴a=5或a=3或a=-3.当a=5时,a={-4,9,25},b={0,-4,9};当a=3时,a-5=1-a=-2,不满足集合元素的互异性;当a=-3时,a={-4,-7,9},b={-8,4,9},所以a=5或a=-3.(2)由(1)所述,当a=5时,a∩b={-4,9},相左题意,当a=-3时,a∩b={9}.所以a=- 3.13.已知集合a={x|x2-2x-3≤0};b={x|x2-2mx+m2-4≤0,x∈r,m∈r}.(1)若a∩b=[0,3],谋实数m的值;解:由已知得a={x|-1≤x≤3},b={x|m-2≤x≤m+2}.(1)∵a∩b=[0,3],∴∴m=2.∴m-2>3或m+2<-1,即m>5或m<-3.14.设u=r,子集a={x |x2+3x+2=0},b={x|x2+(m+1)x+m=0},若解:a={x|x=-1或x=-2},方程x2+(m+1)x+m=0的根是x1=-1,x2=-m,当-m=-1,即m=1时,b={-1},当-m≠-1,即m≠1时,b={-1,-m},∴-m=-2,即m=2.所以m=1或m=2.集合的三个特性(1)无序性指集合中的元素排列没有顺序,如集合a={1,2},集合b={2,1},则集合a=b。
普通高中数学必修一期中测试题(含答案)普通高中数学必修一期中测试题(含答案)一、选择题1. 已知函数 f(x) = 2x - 3,求 f(4) 的值。
A. -5B. 1C. 5D. 82. 某数的平方根与其本身之和等于20,求该数。
A. 5B. 6C. 10D. 163. 设 a、b 为正整数,且 a > b,下列四个不等式中,哪个一定成立?A. a + b > a - bB. a + b > a * bC. a - b > a * bD. a - b > a + b4. 若 a、b 是两个互异的不等于 0 的实数,下列四个等式中,哪个一定成立?A. |a - b| = |b - a|B. a * b = b * aC. a + b = b + aD. a^2 = b^25. 若一组数据的方差为 0,那么这组数据的所有元素将是相等的。
正确或错误?二、填空题1. 在正方形 ABCD 中,AE 是 CD 的中点,若 AC 的长度为 12cm,则△AED 的面积为 _______ 平方厘米。
2. 若直线 y = -2x + 6 与 y = 3x + b 在第一象限内的交点的横坐标相同,那么 b 的值为 _______。
3. 若直线 2x + y - 4 = 0 与直线 x - 3y - 2 = 0 的交点坐标为 (1, 1),那么这两条直线的夹角为 _______ 度。
三、计算题1. 若a = 2 + √3,b = 3 - √3,求 ab 的值。
2. 已知函数 f(x) = x^2 + 3x - 4,求 f(3) + f(-1) 的值。
3. 化简以下分式,结果写成最简形式:(4x^3 + 12x^2 + 8x) ÷ (2x^2 + 4x)。
四、解答题1. 现有一长方形花坛,长与宽的比为 3:2。
如果长方形的周长为50m,求长方形的长和宽各是多少米。
解:设长为 3x 米,宽为 2x 米,则有 2(3x + 2x) = 50。
高一级第一学期期中调研考试数学考生注意:1.本试卷分选择题和非选择题两部分。
满分150分,考试时间120分钟。
2.考生作答时,请将答案答在答题卡上。
选择题每小题选出答案后,用2B 铅笔把答题卡上对应题目的答案标号涂黑;非选择题请用直径0.5毫米黑色墨水签字笔在答题卡上各题的答题区域内作答,超出答题....区域书写的答案无效.........,在试题卷....、草稿纸上作答无效........。
3.本卷命题范围:新人教版必修第一册第一章~第四章。
一、选择题:本题共8小题,每小题5分,共40分。
在每小题给出的四个选项中,只有一项是符合题目要求的。
1.若集合{123}A =,,,{}223B x x x =->,则A B =A .{12},B .∅C .{23},D .{1}2.命题“R x ∃∈,||0x ”的否定是A .R x ∀∈,||0x ≥B .R x ∃∈,||0x <C .R x ∀∈,||0x <D .R x ∃∉,||0x <3.若a b >,则下列不等式中成立的是 A .11<a bB .33a b >C .22a b >D .a b >4.函数y =的定义域为 A .(12)-,B .(02),C .[12)-,D .(12]-,5.某企业一个月生产某种商品x 万件时的生产成本为2()410C x x x =++(万元)。
一万件售价是30万元,若商品能全部卖出,则该企业一个月生产该商品的最大利润为 A .139万元B .149万元C .159万元D .169万元6.已知集合2{Z |Z}1A x x =∈∈-,则集合A 的真子集的个数为 A .13B .14C .15D .167.若0.33a =,3log 0.3b =,13log 3c =,则a ,b ,c 的大小关系为 A .b c a <<B .c a b <<C .a b c <<D .b a c <<8.若函数()f x 是奇函数,且在定义域R 上是减函数,(2)3f -=,则满足3(3)3f x -<-<的实数x 的取值范围是 A .(15),B .(24),C .(36),D .(25),二、选择题:本题共4小题,每小题5分,共20分。
高一年级第一学期期中考试数学试卷考试时间120分钟,满分150分。
卷Ⅰ(选择题共60分)一.选择题(共12小题,每小题5 分,计60分。
在每小题给出的四个选项中,只有1个选项符合题意)1.已知集合A={x|x2-2x-3<0},集合B={x|2x+1>1},则C B A= ()A. B. C. D.2.若a=log20.5,b=20.5,c=0.52,则a,b,c三个数的大小关系是()A. B. C. D.3.函数y=的图象是()A. B. C. D.4.幂函数在时是减函数,则实数m的值为A. 2或B.C. 2D. 或15.若函数y=f(x)的定义域是(0,4],则函数g(x)=f(x)+f(x2)的定义域是()A. B. C. D.6.在下列区间中,函数的零点所在的区间为()A. B. C. D.7.已知函数y=f(x)是定义在R上的奇函数,当x≥0时,,则当x<0时,f(x)表达式是()A. B. C. D.8.函数f(x)在(-∞,+∞)上单调递减,且为奇函数.若f(1)=-1,则满足-1≤f(x-2)≤1的x的取值范围是()A. B. C. D.9.已知函数f(x)=|lg x|,若0<a<b,且f(a)=f(b),则a+2b的取值范围是()A. B. C. D.10.若函数f(x)=,且满足对任意的实数x1≠x2都有>0成立,则实数a的取值范围是()A. B. C. D.11.若在区间上递减,则a的取值范围为()A. B. C. D.12.已知函数f(x)=则函数g(x)=f[f(x)]-1的零点个数为()A. 1B. 3C. 4D. 6卷Ⅱ(非选择题共90分)二、填空题(本大题共4小题,共20分)13.方程的一根在内,另一根在内,则实数m的取值范围是______.14.若函数的图象与x轴有公共点,则m的取值范围是______ .15.当x∈(1,3)时,不等式x2+mx+4<0恒成立,则m的取值范围是______ .16.已知函数的定义域为D,当x∈D时,f(x)≤m恒成立,则实数m的取值范围是______三、解答题(本大题共6小题,共70分,其中17题10分,18-22题12分)17.计算下列各式的值:(1)(2).18.已知集合A={x|m-1≤x≤2m+3},函数f(x)=lg(-x2+2x+8)的定义域为B.(1)当m=2时,求A∪B、(∁R A)∩B;(2)若A∩B=A,求实数m的取值范围.19.已知函数,且.(1)求的定义域;(2)判断的奇偶性并予以证明;(3)当时,求使的的解集.20.已知定义域为R的函数是奇函数.(1)求b的值;(2)判断函数f(x)的单调性,并用定义证明;(3)当时,f(kx2)+f(2x-1)>0恒成立,求实数k的取值范围.21.“绿水青山就是金山银山”,随着我国经济的快速发展,国家加大了对环境污染的治理力度,某环保部门对其辖区内的一工厂的废气排放进行了监察,发现该厂产生的废气经过过滤排放后,过滤过程中废气的污染物数量千克/升与时间小时间的关系为,如果在前个小时消除了的污染物,(1)小时后还剩百分之几的污染物(2)污染物减少需要花多少时间(精确到小时)参考数据:22.设函数是增函数,对于任意x,都有.求;证明奇函数;解不等式.第一学期期中考试高一年级数学试卷答案1.【答案】A解:因为A={x|x2-2x-3<0}={x|-1<x<3},B={x|2x+1>1}={x|x>-1},则C B A=[3,+∞) ,故选A.2.【答案】C解:a=log20.5<0,b=20.5>1,0<c=0.52<1,则a<c<b,则选:C.3.【答案】B解:函数y=是奇函数,排除A,C;当x=时,y=ln<0,对应点在第四象限,排除D.故选B.4.【答案】B解:由于幂函数在(0,+∞)时是减函数,故有,解得m =-1,故选B.5.【答案】A解:∵函数f(x)的定义域为(0,4],∴由,得,即0<x≤2,则函数g(x)的定义域为(0,2],故选:A.6.【答案】C解:∵函数f(x)=e x+4x-3在R上连续,且f(0)=e0-3=-2<0,f()=+2-3=-1=-e0>0,∴f(0)f()<0,∴函数f(x)=e x+4x-3的零点所在的区间为(0,).故选C.7.【答案】D解:设x<0,则-x>0,∵当x≥0时,,∴f(-x)=-x(1+)=-x(1-),∵函数y=f(x)是定义在R上的奇函数,∴f(x)=-f(-x),∴f(x)=x(1-),故选D.8.【答案】D解:∵函数f(x)为奇函数,若f(1)=-1,则f(-1)=-f(1)=1,又∵函数f(x)在(-∞,+∞)上单调递减,-1≤f(x-2)≤1,∴f(1)≤f(x-2)≤f(-1),∴-1≤x-2≤1,解得:1≤x≤3,所以x的取值范围是[1,3].故选D.9.【答案】C解:因为f(a)=f(b),所以|lg a|=|lg b|,所以a=b(舍去),或,所以a+2b=又0<a<b,所以0<a<1<b,令,由“对勾”函数的性质知函数f(a)在a∈(0,1)上为减函数,所以f(a)>f(1)=1+=3,即a+2b的取值范围是(3,+∞).故选C.10.【答案】D解:∵对任意的实数x1≠x2都有>0成立,∴函数f(x)=在R上单调递增,∴,解得a∈[4,8),故选D.11.【答案】A解:令u=x2-2ax+1+a,则f(u)=lg u,配方得u=x2-2ax+1+a=(x-a)2 -a2+a+1,故对称轴为x=a,如图所示:由图象可知,当对称轴a≥1时,u=x2-2ax+1+a在区间(-∞,1]上单调递减,又真数x2-2ax+1+a>0,二次函数u=x2-2ax+1+a在(-∞,1]上单调递减,故只需当x=1时,若x2-2ax+1+a>0,则x∈(-∞,1]时,真数x2-2ax+1+a>0,代入x=1解得a<2,所以a的取值范围是[1,2)故选:A.由题意,在区间(-∞,1]上,a的取值需令真数x2-2ax+1+a>0,且函数u=x2-2ax+1+a在区间(-∞,1]上应单调递减,这样复合函数才能单调递减.本题考查复合函数的单调性,考查学生分析解决问题的能力,复合函数单调性遵从同增异减的原则.12.【答案】C解:令f(x)=1,当时,,解得x1=-,x2=1,当时,,解得x3=5,综上f(x)=1解得x1=-,x2=1,x3=5,令g(x)=f[f(x)]-1=0,作出f(x)图象如图所示:由图象可得当f(x)=-无解,f(x)=1有3个解,f(x)=5有1个解,综上所述函数g(x)=f[f(x)]-1的零点个数为4,故选C.13.【答案】(1,2)解:设f(x)=x2-2mx+m2-1,则f(x)=0的一个零点在(0,1)内,另一零点在(2,3)内.∴,即,解得1<m<2.故答案为(1,2).14.【答案】[-1,0)解:作出函数的图象如下图所示,由图象可知0<g(x)≤1,则m<g(x)+m≤1+m,即m<f(x)≤1+m,要使函数的图象与x轴有公共点,则,解得-1≤m<0.故答15.案为[-1,0).【答案】.解:∵解:利用函数f(x)=x2+mx+4的图象,∵x∈(1,3)时,不等式x2+mx+4<0恒成立,∴,即,解得m-5.∴m的取值范围是.故答案为:..利用一元二次函数图象分析不等式在定区间上恒成立的条件,再求解即可.本题考查不等式在定区间上的恒成立问题.利用一元二次函数图象分析求解是解决此类问题的常用方法.16.【答案】[5,+∞)解:函数的定义域为:x≤2,当x∈D时,f(x)≤m恒成立,令t=≥0,可得2x=4-t2,所以f(t)=5-t2-t,是开口向下的二次函数,t≥0,f(t)≤5,当x∈D时,f(x)≤m恒成立,则实数m的取值范围是:m≥5.故答案为:[5,+∞).求出函数的定义域,利用换元法结合函数的性质,求解实数m的取值范围.本题考查函数的最值的求法,换元法的应用,函数恒成立体积的应用,是基本知识的考查.17.【答案】解:(1)原式===;-----------(5分)(2)原式===log39-9=2-9=-7.----(10分)18.【答案】解:(1)根据题意,当m=2时,A={x|1≤x≤7},B={x|-2<x<4},----(1分)则A∪B={x|-2<x≤7},----(3分)又∁R A={x|x<1或x>7},则(∁R A)∩B={x|-2<x<1};----(5分)(2)根据题意,若A∩B=A,则A⊆B,分2种情况讨论:①当A=∅时,有m-1>2m+3,解可得m<-4,----(7分)②当A≠∅时,若有A⊆B,必有,解可得-1<m<,----(11分)综上可得:m的取值范围是:(-∞,-4)∪(-1,).----(12分)19.【答案】解:(1),若要式子有意义,则,即,所以定义域为. ----(4分)(2)f(x)的定义域为,且所以f(x)是奇函数. ----(8分)(3)又f(x)>0,即,有.当时,上述不等式,解得. ----(12分)20.【答案】解:(1)因为f(x)是定义在R上的奇函数,所以f(0)=0,即,则b=1,经检验,当b=1时,是奇函数,所以b=1;----(3分)(2),f(x)在R上是减函数,证明如下:在R上任取,,且,则,因为在R上单调递增,且,则,又因为,所以,即,所以f(x)在R上是减函数; ----(7分)(3)因为,所以,而f(x)是奇函数,则,又f(x)在R上是减函数,所以,即在上恒成立,令,,,,因为,则k<-1.所以k的取值范围为. ----(12分)21.【答案】解:(1)由已知,∴,当时,,故小时后还剩的污染物. ----(5分)(2)由已知,即两边取自然对数得:,∴,∴污染物减少需要花32小时. ----(12分)22.【答案】解:(1)由题设,令x=y=0,恒等式可变为f(0+0)=f(0)+f(0),解得f(0)=0;----(3分)(2)证明:令y=-x,则由f(x+y)=f(x)+f(y)得f(0)=0=f(x)+f(-x),即f(-x)=-f(x),故f(x)是奇函数;----(7分)(3)∵,,即,又由已知f(x+y)=f(x)+f(y)得:f(x+x)=2f(x),∴f(x2-3x)>f(2x),由函数f(x)是增函数,不等式转化为x2-3x>2x,即x2-5x>0,∴不等式的解集{x|x<0或x>5}.----(12分)2019-2020学年第一学期期中考试高一数学试题说明:本试卷分为第I 卷和第Ⅱ卷两部分,共三个大题,22个小题。
A高一数学(必修1)第I 卷 选择题(共60分)一、选择题:(本大题共12小题,每小题5分,共60分.在每小题给出的四个选项中,只有一项是符合题目要求的)1.已知全集U ={0,1,2,3,4},M ={0,1,2},N ={2,3},则(C u M )∩N =A .B .C .D .{}4,3,2{}2{}3{}4,3,2,1,02.设集合,,给出如下四个图形,其中能表示从集{}02M x x =≤≤{}02N y y =≤≤合到集合的函数关系的是M NA .B .C .D .3. 设,用二分法求方程内近似解的过程中()833-+=x x f x()2,10833∈=-+x x x在得,则方程的根落在区间()()()025.1,05.1,01<><f f f A. B. C. D. 不能确定(1,1.25)(1.25,1.5)(1.5,2)4. 二次函数的值域为])5,0[(4)(2∈-=x x x x f A. B. C. D.),4[+∞-]5,0[]5,4[-]0,4[-5. =+--3324log ln 01.0lg 2733e A .14 B .0C .1 D . 66. 在映射,,且,则中B A f →:},|),{(R y x y x B A ∈==),(),(:y x y x y x f +-→A 中的元素在集合B 中的像为)2,1(-A . B .C .D . )3,1(--)3,1()1,3()1,3(-7.三个数,,之间的大小关系为231.0=a 31.0log 2=b 31.02=c A .a <c <b B .a <b <c C .b <a <cD .b <c <a8.已知函数在上为奇函数,且当时,,则当时,()y f x=R0x≥2()2f x x x=-0x<函数的解析式为()f xA. B.()(2)f x x x=-+()(2)f x x x=-C. D.()(2)f x x x=--()(2)f x x x=+9.函数与在同一坐标系中的图像只可能是xy a=log(0,1)ay x a a=->≠且A. B. C. D.10.设,则2log2log<<baA. B.10<<<ba10<<<abC . D.1>>ba1>>ab11.函数在区间上的最大值为5,最小值为1,则实数m的取值54)(2+-=xxxf],0[m范围是A. B.[2,4] C. [0,4] D.),2[+∞]4,2(12.若函数()f x为定义在R上的奇函数,且在(0,)+∞内是增函数,又(2)f0=,则不等式的解集为)(<xxfA.(2,0)(2,)-+∞B.(,2)(0,2)-∞-C.(,2)(2,)-∞-+∞D.)2,0()0,2(-高一数学(必修1)答题卷题 号一二三总分得 分一、选择题:(本大题小共12题,每小题5分,共60分.在每小题给出的四个选项中,只有一项是符合题目要求的)题号123456789101112答案第II 卷 非选择题(共90分)二、填空题:(本大题共4小题,每小题4分,共16分)13.函数,则的值为.⎩⎨⎧≥<--=-)2(2)2(32)(x x x x f x )]3([-f f 14.计算:.=⋅8log 3log 9415.二次函数在区间上是减少的,则实数k 的取值范围为 842--=x kx y ]20,5[.16.给出下列四个命题:①函数与函数表示同一个函数;||x y =2)(x y =②奇函数的图像一定通过直角坐标系的原点;③函数的图像可由的图像向右平移1个单位得到;2)1(3-=x y 23x y =④若函数的定义域为,则函数的定义域为;)(x f ]2,0[)2(x f ]4,0[⑤设函数是在区间上图像连续的函数,且,则方程()x f []b a ,()()0<⋅b f a f 在区间上至少有一实根;()0=x f []b a ,得分评卷人得分评卷人其中正确命题的序号是 .(填上所有正确命题的序号)三、解答题:(本大题共6小题,共74分,解答应写出文字说明、证明过程或演算步骤)17.(本题满分12分)已知全集,集合,,R U ={}1,4>-<=x x x A 或{}213≤-≤-=x x B (1)求、;B A )()(BC A C U U (2)若集合是集合A 的子集,求实数k 的取值范围.{}1212+≤≤-=k x k x M 18. (本题满分12分)已知函数.1212)(+-=x x x f ⑴判断函数的奇偶性,并证明;)(x f ⑵利用函数单调性的定义证明:是其定义域上的增函数.)(x f 19. (本题满分12分)已知二次函数在区间上有最大值,求实数的值2()21f x x ax a =-++-[]0,12a 20. (本题满分12分)函数)1,0)(3(log )(≠>-=a a ax x f a (1)当时,求函数的定义域;2=a )(x f (2)是否存在实数,使函数在递减,并且最大值为1,若存在,求出的值;a )(x f ]2,1[a 若不存在,请说明理由.21. (本题满分13分)广州亚运会纪念章委托某专营店销售,每枚进价5元,同时每销售一枚这种纪念章需向广州亚组委交特许经营管理费2元,预计这种纪念章以每枚20元的价格销售时该店一年可销售2000枚,经过市场调研发现每枚纪念章的销售价格在每枚20元的基础上每减少一元则得分评卷人增加销售400枚,而每增加一元则减少销售100枚,现设每枚纪念章的销售价格为元.x (1)写出该专营店一年内销售这种纪念章所获利润(元)与每枚纪念章的销售价格(元)y x 的函数关系式(并写出这个函数的定义域);(2)当每枚纪念章销售价格为多少元时,该特许专营店一年内利润(元)最大,并求出x y 最大值.22. (本题满分13分)设是定义在R 上的奇函数,且对任意a 、b ,当时,都有)(x f R ∈0≠+b a .0)()(>++ba b f a f (1)若,试比较与的大小关系;b a >)(a f )(b f (2)若对任意恒成立,求实数k 的取值范围.0)92()329(>-⋅+⋅-k f f xx x ),0[+∞∈x 高一数学参考答案一、选择题:题号123456789101112答案CDBCBDCAABBD二、填空题:13.14. 15. 16. ③⑤8143101,0()0,( -∞三、解答题:17. (1){}{}32213≤≤-=≤-≤-=x x x x B ………2分,∴{}31≤<=x x B A ………4分{}3,1)()(>≤=x x x B C A C U U 或 ………6分(2)由题意:或, 112>-k 412-<+k ………10分解得:或. 1>k 25-<k ………12分18. (1)为奇函数.)(x f ………1分 的定义域为,,012≠+x∴)(x f R ………2分又 )(121221211212)(x f x f x x x x xx -=+--=+-=+-=--- 为奇函数.)(x f ∴………6分(2)1221)(+-=x x f 任取、,设,1x R x ∈221x x <)1221(1221()()(2121+--+-=-x x x f x f )121121(212+-+=x x )12)(12()22(22121++-=x x x x , 又,022********<-∴<∴<x x x x x x 或 12210,210x x +>+>.在其定义域R 上是增函数.)()(0)()(2121x f x f x f x f <∴<-∴或)(x f ∴………12分19. 函数的对称轴为:,)(x f x a =当时,在上递减,,即; 0<a ()f x ]1,0[2)0(=∴f 1,21-=∴=-a a ………4分当时,在上递增,,即; 1>a ()f x ]1,0[2)1(=∴f 2=a ………8分当时,在递增,在上递减,,即,01a ≤≤()f x ],0[a ]1,[a 2)(=∴a f 212=+-a a 解得:与矛盾;综上:或 251±=a 01a ≤≤1a =-2=a ………12分20. (1)由题意:,,即,)23(log )(2x x f -=023>-∴x 23<x 所以函数的定义域为;)(x f 23,(-∞………4分(2)令,则在上恒正,,在ax u -=3ax u -=3]2,1[1,0≠>a a ax u -=∴3上单调递减,]2,1[,即023>⋅-∴a )23,1()1,0( ∈a ………7分又函数在递减,在上单调递减,,即)(x f ]2,1[ax u -=3 ]2,1[1>∴a )23,1(∈a ………9分又函数在的最大值为1,, )(x f ]2,1[1)1(=∴f 即,1)13(log )1(=⋅-=a f a 23=∴a ………11分与矛盾,不存在. 23=a )23,1(∈a a ∴………12分21. (1)依题意⎩⎨⎧∈<<---∈≤<--+=++N x x x x N x x x x y ,4020),7)](20(1002000[,207),7)](20(4002000[ ∴, ⎪⎩⎪⎨⎧∈<<---∈≤<---=++N x x x N x x x y ,4020],41089)247[(100,207],81)16[(40022………5分定义域为{}407<<∈+x N x ………7分 (2) ∵,⎪⎩⎪⎨⎧∈<<---∈≤<---=++N x x x N x x x y ,402041089247[(100,207],81)16[(40022∴ 当时,则,(元)020x <≤16x =max 32400y =………10分当时,则,(元)2040x <<472x =max 27225y =综上:当时,该特许专营店获得的利润最大为32400元. 16x =………13分22. (1)因为,所以,由题意得:b a >0>-b a ,所以,又是定义在R 上的奇函数,0)()(>--+ba b f a f 0)()(>-+b f a f )(x f ,即.)()(b f b f -=-∴0)()(>-∴b f a f )()(b f a f >………6分(2)由(1)知为R 上的单调递增函数,)(x f ………7分对任意恒成立,0)92()329(>-⋅+⋅-k f f x x x ),0[+∞∈x ,即,)92()329(k f f x x x -⋅->⋅-∴)92()329(x x x k f f ⋅->⋅-………9分,对任意恒成立,x x x k 92329⋅->⋅-∴x x k 3293⋅-⋅<∴),0[+∞∈x 即k 小于函数的最小值. ),0[,3293+∞∈⋅-⋅=x u xx………11分令,则,xt 3=),1[+∞∈t 13131(323329322≥--=-=⋅-⋅=∴t t t u x x .1<∴k (13)。
2024-2025学年高一数学上学期期中试卷注意事项:1.答卷前,考生务必将自己的姓名、准考证号填写在答题卡上。
2.回答选择题时,选出每小题答案后,用铅笔把答题卡上对应题目的答案标号涂黑。
如需改动,用橡皮擦干净后,再选涂其他答案标号。
回答非选择题时,将答案写在答题卡上。
写在本试卷上无效。
3.考试结束后,将本试卷和答题卡一并交回。
4.测试范围:北师大版2019必修第一册第一章~第三章。
5.难度系数:0.65。
第一部分(选择题共58分)一、选择题:本题共8小题,每小题5分,共40分。
在每小题给出的四个选项中,只有一项是符合题目要求的。
.B.C.D.【答案】D二、选择题:本题共3小题,每小题6分,共18分.在每小题给出的选项中,有多项符合题目要求.全部选对的得6分,部分选对的得部分分,有选错的得0分.第二部分(非选择题共92分)三、填空题:本题共3小题,每小题5分,共15分。
四、解答题:本题共5小题,共77分。
解答应写出文字说明、证明过程或演算步棸。
15.(13分)16.(15分)设集合{}|(3)()0,R A x x x a a =--=∈,{}2|540B x x x =-+=.(1)当4a =时,求A B ⋂,A B ;(2)记C A B = ,若集合C 的真子集有7个,求:所有实数a 的取值所构成的集合.【解析】(1)当4a =时,{}}|(3)(4)R {30,4,x x x a A ==∈=--,2540x x -+=,即(4)(1)0x x --=,解得4x =或1,{1,4}B ∴=,{4}A B ∴= ,{1,3,4}A B ⋃=.(7分)(2)若集合C 的真子集有7个,则217n -=,可得3n =,即C A B = 中的元素只有3个,而(3)()0x x a +-=,解得3x =或a ,则{3,}A a =,由(1)知{1,4}B =,则当1,3,4a =时,{1,3,4}C A B == ,故所有实数a 的取值所构成的集合为{1,3,4}.(15分)17.(15分)18.(17分)19.(17分)。
高一数学必修1期中考试题
本试题满分150分,考试时间为100分钟.
一.选择题(本题共12小题,每题5分,共60分).
1.全集{}8,7,6,5,4,3,2,1=U ,集合{}7,5,3,1=M ,{}8,5,2=N 则=⋂N M ( )。
(A )U (B) {
}7,3,1 (C ) {}8,2 (D) {}5 2.集合{2,4,6,8}的子集的个数是 ( )。
(A )16 (B)15 (C)14 (D) 13
3.函数()lg(31)f x x =-的定义域 ( )
A .R
B .1(,)3-∞
C .1
[,)3
+∞ D .1(,)3
+∞
4.已知函数f (x )=lg ,0
12,0x x x x >⎧⎨+≤⎩
,则f (-10)的值是( ).
A .2
B .-1
C .0
D .-2
5.已知定义在R 上的函数f (x )的图象是连续不断的,且有如下对应值表:
那么函数f (x )一定存在零点的区间是 ( )
A . (-∞,1)
B . (1,2)
C . (2,3)
D . (3,+∞)
6.指数函数y =a x 的图像经过点(2,16)则a 的值是 ( )
A .
41 B .2
1
C .2
D .4 7.下列各组函数中,表示同一函数的是( )。
A .x
x
y y ==,1 B .1,112-=+⨯-=x y x x y
C .33,x y x y ==
D . 2)(|,|x y x y ==
8.已知()x f 是偶函数,且()54=f ,那么()()44-+f f 的值为( )。
(A ) 5 (B) 10
(C ) 8 (D) 不确定
9. 函数f (x )=2x 2-3x +1的零点是 ( )
A .-12,-1
B .-12,1
C .12, -1
D . 1
2
,1
10.下列函数为奇函数的是 ( )
A .1+=x y
B .2
x y = C .x x y +=2
D .3
x y = 11.若372log πlog 6log 0.8a b c ===,,,则 ( )
A .a b c >>
B .b a c >>
C .c a b >>
D .b c a >>
12. 函数2
23y x x =--,[]1,2x ∈-的值域是 ( )
A 、R
B 、{}|4y y ≥-
C 、[]3,0-
D 、[]4,0- 二、填空题:本大题共4小题,每小题5分,共20分。
13. 22log 6log 3-= .
14.函数1
()2f x x
=-的定义域为_____________ 15.若21
2x x
π
π
-->,则x 的取值范围为 .
16.
= .
三、解答题:本大题共5小题,共70分 17.(本题满分14分)计算
(1)6log 4
3log 32log 222+- (2)23
0678()6⨯-+
18.(本题满分14分)设}012{2=++=ax x x A ,}023{2=++=b x x x B ,}2{=B A (1)求b a ,的值 (2) 用列举法分别表示B A ,;
19.(本小题14分)、已知集合{|37},{|210},{|}A x x B x x C x x a =≤<=<<=<,全集为实数集R 。
(1)求A
B ,()
R C A B ; (2)如果A C ≠∅,求实数a 的取值范围.
20.(本小题16分)、已知函数()2a
f x x x
=-,且(1)3f = (1)求a 的值;
(2)判断函数的奇偶性;
(3)证明函数()f x 在(1,)+∞上是增函数。
21.(12分)已知函数⎪⎩
⎪⎨⎧≥<<--≤+=)2(2)21()1(2)(2
x x x x x x x f 。
(1)求)4(-f 、)3(f 、[(2)]f f -的值; (2)若10)(=a f ,求a 的值.
高一数学必修1期中考试题答案
一、选择题(本题共12题,每题5,共60分,并把正确答案填在下表中)
二、填空题:本大题共4小题,每小题5分,共20分。
13. 1 .
14. ﹛x ︱x ≥-1,且x ≠2﹜ .
15. x ﹥1 .
16. 51
2
a b -
三、解答题:本大题共5小题,共70分。
17.(14分)
解:(1)6log 43log 32log 22
2+-82log )643
32(log 822==⨯÷=;……..7分 另解:8358log 5)4
3
6(log 56log 43log 32log 22222=+=+=÷+=+-
( 2 )原式=23
3
66(2
)14427112⨯+⋅=+⨯=……………….14分
18. (14分)
(1){}2=⋂B A 801224-=⇒=++∴a a
50264-=⇒=++b b ……7分
( 2 ) {
}
{}6,201282=⇒=+-=⇒A x x x A
{}{}2,501032
-=⇒=-+=B x x
x B …… 14分
19. (14分)
解:(1){|210}A B x x =<<;………….4分
{|73}R C A x x x =≥<或;
()
{|23710}R C A B x x x =<<≤<或…………..10分
(2){|37},A x x A C =≤<≠∅,
3a ∴> …………….14分
20. (16分)
解:(1)1a =- …… 3分 (2)由(1)得函数1
()2f x x x
=+ 函数1
()2f x x x =+
的定义域为{|0}x x ≠ 1()2()f x x x -=-+-11
2(2)()x x f x x x =--=-+=-
∴函数1
()2f x x x
=+为奇函数. …… 8分
(3)函数()f x 在(1,)+∞上是增函数,证明如下:
任取12,(1,)x x ∈+∞,不妨设12x x <, 则有
2112121212121212
1212121212
1111
()()2(2)2()()2()()()(21)1
()(2)x x f x f x x x x x x x x x x x x x x x x x x x x x x x --=+
-+=-+-=-+--=--
=
12,(1,)x x ∈+∞且12x x < 1212120,210,0x x x x x x ∴-<->>
12()()0f x f x ∴-< 即12()()f x f x < ()[1,)f x ∴+∞函数在上是增函数. …………16分
21. (12分)
(1)(4)f -=-2,)3(f =6,[(2)]f f -=(0)0f = …… 6分
(2)当a ≤-1时,a +2=10,得:a =8,不符合;
当-1<a <2时,a 2
=10,得:a =10±,不符合;
当a ≥2时,2a =10,得a =5, 所以,a =5 …… 12分。