(完整)初二数学分式计算化简解答精选100题
- 格式:doc
- 大小:468.02 KB
- 文档页数:10
初二数学分式化简法练习题分式化简是初中数学中的一个重要知识点,也是解决复杂算式的基础。
下面通过一些练习题来帮助你巩固和提升分式化简的能力。
练习题一:将下列分式化简为最简形式:1. $\frac{12x^2+18x}{6x}$解析:这个分式可以先将分子和分母同时除以6,得到$\frac{2x^2+3x}{x}$。
然后可以继续化简分式,得到2x+3。
答案:2x+32. $\frac{24a^2+30a+36}{12a+18}$解析:这个分式可以先将分子和分母同时除以6,得到$\frac{4a^2+5a+6}{2a+3}$。
然后可以继续化简分式,得到2a+3。
答案:2a+3练习题二:将下列分式化简为最简形式:1. $\frac{x^2-9}{x^2-x-6}$解析:这个分式可以先将分子和分母进行因式分解,得到$\frac{(x+3)(x-3)}{(x-3)(x+2)}$。
然后可以约去分子分母的公因式(x-3),得到最终答案为x+2。
答案:x+22. $\frac{16a^2-9b^2}{4a+3b}$解析:这个分式可以先将分子进行因式分解,得到$\frac{(4a+3b)(4a-3b)}{4a+3b}$。
然后可以约去分子分母的公因式(4a+3b),得到最终答案为4a-3b。
答案:4a-3b练习题三:将下列分式化简为最简形式:1. $\frac{3m^2-27}{m^2-9}$解析:这个分式可以先将分子和分母进行因式分解,得到$\frac{3(m+3)(m-3)}{(m+3)(m-3)}$。
然后可以约去分子分母的公因式(m+3)(m-3),得到最终答案为3。
答案:32. $\frac{x^2+2xy+y^2}{x^2-xy}$解析:这个分式可以先将分子进行因式分解,得到$\frac{(x+y)^2}{x(x-y)}$。
然后约去分子和分母的公因式x,得到最终答案为$\frac{(x+y)^2}{x(x-y)}$。
初二数学分式方程精华题(含答案)1.分式方程解:本题考查分式方程的解法,根据题意可列出方程:frac{x}{x+12}=\frac{1}{2}$$化简后得到:2x=x+12$$解得$x=6$,因此选项C正确。
2.若分式方程 $\frac{x}{a}=\frac{2}{x-4}$ 有增根,则a的值为()解:根据题意,可列出方程:frac{x}{a}=\frac{2}{x-4}$$移项化简得到:x^2-4ax-8=0$$由于有增根,因此判别式 $b^2-4ac<0$,即:4a)^2-4\times 1\times (-8)<0$$化简得到 $a^2+2>0$,因此 $a$ 可以取任意实数,选项中没有正确答案。
3.解关于x的方程 $\frac{x-3m}{x-1}=\frac{1}{x-1}$ 产生增根,则常数m的值等于()解:根据题意,可列出方程:frac{x-3m}{x-1}=\frac{1}{x-1}$$移项化简得到:x^2-4mx+3m=0$$由于有增根,因此判别式 $b^2-4ac<0$,即:16m^2-12m<0$$化简得到 $0<m<\frac{3}{4}$,因此选项C正确。
4.求 $\frac{1-x}{2-xx}=3$,去分母后的结果,其中正确的是()解:根据题意,可列出方程:frac{1-x}{2-xx}=3$$移项化简得到:x^2+3x-5=0$$解得$x=1$或$x=-5$,代入原式可知$x=-5$不合法,因此$x=1$是方程的唯一解。
将$x=1$代入原式得到:frac{1-x}{2-xx}=\frac{0}{1}=0$$因此选项A正确。
5.计算:$\frac{b^2+2b+2a}{2b^3-7a^2b}=?$解:根据题意,可将分子分母同时除以$b$,得到:frac{b^2+2b+2a}{2b^3-7a^2b}=\frac{\frac{b^2}{b}+\frac{2b}{b}+\frac{2a}{b}}{\frac{2 b^3}{b}-\frac{7a^2b}{b}}=\frac{b+2+\frac{2a}{b}}{2b^2-7a^2}$$因此答案为$\frac{b+2+\frac{2a}{b}}{2b^2-7a^2}$。
分式化简练习题精选及答案分式是数学中的基本概念,它在数学中起到了非常重要的作用。
在分式化简练习中,我们需要掌握基本的分式化简原理,并且需要广泛练习各种类型的分式化简题目。
下面是一些常见的分式化简练习题目以及解答方法,希望对大家的学习有所帮助。
一、简单的分式化简题目1. 将 $\frac{2x+4}{x+2}$ 化简为最简分式。
解:这个分式可以化简为 $\frac{2(x+2)}{x+2}$,然后可以简化为 $2$。
2. 将 $\frac{x^2-4}{x+2}$ 化简为最简分式。
解:这个分式可以化简为 $\frac{(x-2)(x+2)}{x+2}$,然后可以简化为 $x-2$。
3. 将 $\frac{x^2+4x+4}{x^2-4x+3}$ 化简为最简分式。
解:这个分式可以化简为 $\frac{(x+2)^2}{(x-1)(x-3)}$,然后可以简化为 $\frac{(x+2)^2}{(x-1)(x-3)}$。
二、含有多项式的分式化简题目1. 将 $\frac{x^3+8}{x^2-2x-24}$ 化简为最简分式。
解:这个分式可以化简为$\frac{(x+2)(x^2-2x+4)}{(x-6)(x+4)}$,然后可以简化为 $\frac{x^2-2x+4}{x-6}$。
2. 将 $\frac{x^3-4x^2-7x+10}{x^2+4x+4}$ 化简为最简分式。
解:这个分式可以化简为 $\frac{(x-2)(x+1)^2}{(x+2)^2}$,然后可以简化为 $\frac{x-2}{x+2}$。
三、复杂的分式化简题目1. 将$\frac{1}{x^2+4x+3}+\frac{1}{x^2+2x}$ 化简为最简分式。
解:首先找到这两个分式的公共分母,它是$(x+1)(x+3)x(x+2)$。
然后将每个分式乘以合适的因数得到通分式,最后将通分式加起来得到最简分式。
2. 将 $\frac{x+1}{x^3-1}-\frac{1}{x^2-x}$ 化简为最简分式。
分式的化简一、比例的性质:⑴ 比例的基本性质:a cad bc b d=⇔=,比例的两外项之积等于两内项之积. ⑵ 更比性(交换比例的内项或外项): ( ) ( ) ( )a bc d a c d cb d b a d bc a ⎧=⎪⎪⎪=⇒=⎨⎪⎪=⎪⎩交换内项 交换外项 同时交换内外项⑶ 反比性(把比例的前项、后项交换):a c b db d a c=⇒=⑷ 合比性:a c a b c d b d b d ±±=⇒=,推广:a c a kb c kdb d b d±±=⇒=(k 为任意实数) ⑸ 等比性:如果....a c m b d n ===,那么......a c m ab d n b+++=+++(...0b d n +++≠)二、基本运算分式的乘法:a c a cb d b d⋅⋅=⋅分式的除法:a c a d a db d bc b c ⋅÷=⨯=⋅乘方:()n nn n n a a aa a aa ab b bb b bb b⋅=⋅=⋅个个n 个=(n 为正整数) 整数指数幂运算性质:⑴m n m n a a a +⋅=(m 、n 为整数) ⑵()m n mn a a =(m 、n 为整数) ⑶()n n n ab a b =(n 为整数)⑷m n m n a a a -÷=(0a ≠,m 、n 为整数) 负整指数幂:一般地,当n 是正整数时,1n n a a-=(0a ≠),即n a -(0a ≠)是n a 的倒数 分式的加减法法则:知识点睛中考要求同分母分式相加减,分母不变,把分子相加减,a b a bc c c+±=异分母分式相加减,先通分,变为同分母的分式再加减,a c ad bc ad bcb d bd bd bd±±=±=分式的混合运算的运算顺序:先算乘方,再算乘除,后算加减,如有括号,括号内先算.结果以最简形式存在.一、分式的化简求值【例1】 先化简再求值:2111x x x---,其中2x = 【考点】分式的化简求值 【难度】2星 【题型】解答【关键词】2010年,湖南郴州【解析】原式()()111x x x x x =---()111x x x x-==-当2x =时,原式112x ==【答案】12【例2】 已知:2221()111a a a a a a a ---÷⋅-++,其中3a =【考点】分式的化简求值 【难度】2星 【题型】解答 【关键词】【解析】222221(1)()4111(1)a a a a a a a a a ---+÷⋅=-=--++-【答案】4-【例3】 先化简,再求值:22144(1)1a a a a a-+-÷--,其中1a =- 【考点】分式的化简求值 【难度】2星 【题型】解答【关键词】2010年,安徽省中考【解析】()()2221144211122a a a a a a a a a a a a --+-⎛⎫-÷=⋅= ⎪----⎝⎭- 当1a =-时,原式112123a a -===---【答案】1例题精讲【例4】 先化简,再求值:2291333x x x x x ⎛⎫-⋅ ⎪--+⎝⎭其中13x =. 【考点】分式的化简求值【难度】2星 【题型】解答【关键词】2010年,湖南省长沙市中考试题【解析】原式()()()33133x x x x x +-=⋅-+ 1x=当13x =时,原式3=【答案】3【例5】 先化简,再求值:211(1)(2)11x x x -÷+-+-,其中x =【考点】分式的化简求值 【难度】2星 【题型】解答【关键词】2010年,湖北省十堰市中考试题【解析】原式()()()111121x x x x x +-=⋅+-+-+ ()()12x x x =-+-22x =-当x 时,原式224=-=.【答案】4【例6】 先化简,后求值:22121(1)24x x x x -++÷--,其中5x =-. 【考点】分式的化简求值 【难度】2星 【题型】解答【关键词】2010年,广东省肇庆市中考试题【解析】22121(1)24x x x x -++÷--=221(1)2(2)(2)x x x x x -+-÷-+- =21(2)(2)2(1)x x x x x -+-⋅-- =21x x +- 当5-=x 时,原式21x x =+-521512+-=-=-. 【答案】12【例7】 先化简,再求值:532224x x x x -⎛⎫--÷⎪++⎝⎭,其中3x =. 【考点】分式的化简求值 【难度】2星 【题型】解答【关键词】2010年,湖北省武汉市中考试题【解析】原式2453(3)(3)2(2)22(2)22(3)3x x x x x x x x x x ---+-+=⨯=+++-=÷+,当3x =-时,原式=【答案】【例8】 先化简,再计算:231124a a a +⎛⎫+÷ ⎪--⎝⎭,其中3a =. 【考点】分式的化简求值 【难度】2星 【题型】解答【关键词】2010年,湖南省岳阳市中考试题【解析】原式()()2223221a a a a a a +--⎛⎫=+⨯ ⎪--+⎝⎭()()22121a a a a a +-+=⨯-+ 2a =+【答案】2a +【例9】 当12x =-时,求代数式22226124111x x x x x x x x ⎛⎫++-+-+÷ ⎪--+⎝⎭的值 【考点】分式的化简求值【难度】3星 【题型】解答 【关键词】【解析】原式2224(1)1(1)(1)2413x x x x x x x x x x -++=⨯==+--+- 【答案】13【例10】 先化简分式22222936931a a a a a a a a a ---÷-+-+-,然后在0,1,2,3中选一个你认为合适的a 值,代入求值.【考点】分式的化简求值 【难度】2星 【题型】解答【关键词】2010年,广东省深圳市中考试题【解析】原式()()()()223332313a a a a a a a a a a a a +-+-=⋅-=+=--+ 当0123a =,,,时,原式0246=,,, 【答案】0,2,4,6【例11】 先化简:22222a b ab b a a ab a ⎛⎫-+÷+ ⎪-⎝⎭,当1b =-时,再从22a -<<的范围内选取一个合适的整数a 代入求值.【考点】分式的化简求值 【难度】2星 【题型】解答【关键词】2010年,贵州省贵阳市中考试题【解析】原式()()()()22221a b a b a ab b a b a a a b a a a ba b +-+++=÷=⋅=-++在22a -<<中,a 可取的整数为101-,,,而当1b =-时, ①若1a =-,分式222a b a ab--无意义;②若0a =,分式22ab b a +无意义;③若1a =,分式1a b+无意义. 所以a 在规定的范围内取整数,原式均无意义(或所求值不存在)【答案】a 在规定的范围内取整数,原式均无意义(或所求值不存在)【例12】 已知212242xA B C x x x ===--+,,将它们组合成()A B C -÷或A B C -÷的形式,请你从中任选一种进行计算,先化简,再求值其中3=x .【考点】分式的化简求值 【难度】3星 【题型】解答【关键词】2010年,河南省中考试题【解析】选一:()()()21221242222x x x A B C x x x x x x x +⎛⎫-÷=-÷=⨯= ⎪--++--⎝⎭ 当3x =时,原式1132==- 选二:()21212124222x A B C x x x x x x x -÷=-÷=-=--+--,当3x =时,原式13=【答案】选一:当3x =时,原式1132==- 选二:当3x =时,原式13=【例13】 先化简,再求值:224125(2)2[2()](34)(2)a a a a a a a a +++÷--÷-+,其中4a = 【考点】分式的化简求值【难度】3星【题型】解答【关键词】【解析】原式2224(3)5(2)(2)[2](34)(2)a a aaa a a a+++=÷--÷-+4(3)(2)(2)5(34)(2)2a a aa a a+-+-=÷-++ 4(3)2(34)(2)(3)(3)a aa a a a++=⋅-+-+4(34)(3)a a=--当4a=时,原式441(34)(3)(344)(43)2a a=== --⨯--本题含分式乘方、加、减、乘、除混合运算;与分式四则混合运算类似,分式的四则混合运算的顺序是:先算乘方,再算乘除,后算加减,如有括号,括号内先算.【答案】1 2【例14】已知20102009x y==,,求代数式22xy y x yxx x⎛⎫---⎪⎝⎭÷的值.【考点】分式的化简求值【难度】2星【题型】解答【关键词】2010年,顺义一模试题【解析】22xy y x y xx x ⎛⎫---⎪⎝⎭÷222x xy y xx x y-+=-2()x y xx x y-=-x y=-当2010x=,2009y=时,原式=201020091x y-=-=.【答案】1【例15】已知22a b==a bb a-的值.【考点】分式的化简求值【难度】2星【题型】解答【关键词】2010年,湖北荆门市中考试题【解析】∵22a b=+=∴4a b+=,a b-=,1ab=而a bb a-22()()a b a b a bab ab-+-==∴a bb a-=()()a b a bab+-==【答案】【例16】 先化简,再求值:()()x yy x y x x y -++,其中11x y ==,. 【考点】分式的化简求值 【难度】2星 【题型】解答【关键词】2010年,湖南湘潭市中考试题【解析】原式()()22x y xy x y xy x y =-++ ()22x y xy x y -=+()()()x y x y xy x y -+=+x y xy-=当 11x y ==,时,11221x yxy--=== 【答案】2【例17】 化简,再求值:11-a b b a ⎛⎫+ ⎪+⎝⎭ab a b÷+.其中1a =, b =. 【考点】分式的化简求值 【难度】3星 【题型】解答【关键词】2010年,黄石市中考试题【解析】原式()()()()()2b a a b a b a b b a ab a b b++-+=⋅=-+-∵1a b ==,∴原式1b ==,∴=【例18】 先化简,再求值:22112b a b a b a ab b ⎛⎫-÷ ⎪-+-+⎝⎭,其中11a b ==-【考点】分式的化简求值 【难度】3星 【题型】解答【关键词】2010年,宣武一模试题【解析】原式()()()()()()22a b a b a b a b a b a b b a b+----=⋅=-++当11a b ==-==【答案】【例19】 先化简,再求值:22211x yx y x y x y⎛⎫+÷ ⎪-+-⎝⎭,其中11x y ==, 【考点】分式的化简求值 【难度】3星 【题型】解答【关键词】2010年,广西桂林中考试题 【解析】原式2222222x y x y x yx y x y x y ⎛⎫+-=+÷ ⎪---⎝⎭ 22222x y x y x y x y x y++--=⨯- 222x x y xy==当11x y ==,原式22131xy====-【答案】1【例20】 求代数式()()22222222222a b c a b c ab ac a a ab ab a b a b -----+⋅÷-++-的值,其中1a =,12b =-,23c =- 【考点】分式的化简求值 【难度】3星 【题型】解答 【关键词】【解析】()()22222222222a b ca b c ab ac a a ab ab a b a b -----+⋅÷-++- ()()()()()()()()()2a b c a a b c a b c a b a b a a b a b c a b c a b -+-+--+-=⋅⋅-+--++a b c a b --=+. ∴当1a =,12b =-,23c =-时,原式12123112++=-1313263=⨯=. 【答案】133二、条件等式化简求值1. 直接换元求值【例21】 已知:2244a b ab +=(0ab ≠),求22225369a b a b ba b a ab b a b--÷-++++的值. 【考点】分式的化简求值 【难度】3星 【题型】解答【关键词】2010年,石景山二模【解析】由2244a b ab+=得2b a=原式2 a ba b-=+当2b a=时,原式42a aa a-=+1=-【答案】1-【例22】已知x y z,,满足235x y z z x==-+,则52x yy z-+的值为()A.1B.13C.13- D.12【考点】分式的化简求值【难度】4星【题型】选择【关键词】2007年,全国初中数学联赛试题【解析】B;由235x y z z x==-+得332y x z x==,,∴5531 2333 x y x xy z x x--== ++【答案】1 3【例23】已知:34xy=,求2222222x y xy yx xy y x xy-+÷-+-的值【考点】分式的化简求值【难度】3星【题型】解答【关键词】【解析】2222222()()()3 2()()4 x y xy y x y x y y x y xx xy y x xy x y x x y y -++-+÷=÷== -+---【答案】3 4【例24】已知:220x-=,求代数式222(1)11x xx x-+-+的值.【考点】分式的化简求值【难度】2星【题型】解答【关键词】2010年,丰台一模【解析】原式=22 (1)1)(1)1 x x x x x-++-+(=2111 x x x x-+++=211x xx+-+.∵220x-=,∴22x=.∴原式=211111x x x x +-+==++.【答案】1【例25】 已知12=x y ,求2222222-⋅+-++-x x y y x xy y x y x y 的值. 【考点】分式的化简求值【难度】2星 【题型】解答【关键词】2010年,海淀一模【解析】y x y y x y x y xy x x-++-⋅+-2222222 22()()2()x x y x y yx y x y x y -+=⋅++-- 22()x y x y x y =+--2()()x y x y +=-.当21=y x 时,x y 2=. 原式2(2)6(2)x x x x +==--.【答案】6-【例26】 已知221547280x xy y -+=,求xy的值. 【考点】分式的化简求值 【难度】3星 【题型】解答 【关键词】【解析】221547280x xy y -+=,∴(37)(54)0x y x y ++=,∴370x y +=或540x y +=,由题意可知:0y ≠,73x y =-或45x y =-. 【答案】45-【例27】 已知22690x xy y -+=,求代数式2235(2)4x yx y x y +⋅+-的值.【考点】分式的化简求值 【难度】3星 【题型】解答【关键词】2010年,海淀二模【解析】22690x xy y -+=,2(3)0x y -=.∴ 3x y =. ∴原式35(2)(2)(2)x yx y x y x y +=⋅++-352x yx y +=-3(3)52(3)y yy y+=-145=. 【答案】145【例28】 已知x =,求351x x x++的值. 【考点】分式的化简求值 【难度】4星 【题型】解答【关键词】降次,整体置换【解析】21x -=21x x =+,0x ≠.则()233245555111x x x x x x x x x x x++++=====【例29】 已知20x y -=,求22()2x y xyy x x xy y -⋅-+的值.【考点】分式的化简求值 【难度】3星 【题型】解答【关键词】2010年,东城二模【解析】22()2x y xyy x x xy y -⋅-+=22222x y xyxy x xy y-⋅-+ =2()()()x y x y xyxy x y -+⋅- =x y x y+-. ∵20x y -=, ∴2x y =.∴x y x y +-=2332y y yy y y+==-. ∴原式3.=【答案】3【例30】 已知3a b =,23a c =,求代数式a b c a b c+++-的值. 【考点】分式的化简求值 【难度】3星 【题型】解答 【关键词】【解析】(法1)注意将未知数划归统一,2,33a a b c ==,123331233a a aa b c a b c a a a++++==+-+- (法2)3a b =,223233a c b b ==⨯=,32332a b c b b ba b c b b b ++++==+-+-【答案】3【例31】 已知123a b c a c ==++,求ca b+的值. 【考点】分式的化简求值【难度】4星 【题型】解答【关键词】第8届,华罗庚金杯复赛【解析】23b c a a c a +=⎧⎨+=⎩22b c a c a +=⎧⇒⎨=⎩02b c a =⎧⇒⎨=⎩,所以220c aa b a ==++.【答案】2【例32】 已知2232a b ab -=,0a >,0b >,求证:252a b a b +=- 【考点】分式的化简求值 【难度】4星 【题型】解答 【关键词】【解析】由已知可得22230a ab b --=,则(3)()0a b a b -+=,所以3a b =或a b =-∵0a >,0b >,∴3a b =,则23255322a hb b b a b b b b ++===--【答案】52【例33】 已知:2232a b ab -=,求2a ba b+-的值.【考点】分式的化简求值 【难度】3星【题型】解答【关键词】清华附中暑假作业【解析】变形可得:()(3)0a b a b +-=,所以a b =-或3a b =,所以212a b a b +=--或52. 【答案】12-或52【例34】 已知22(3)0x y a b -+-=,求32223322232332a x ab y b xya x ab y b xy++++的值.【考点】分式的化简求值 【难度】3星 【题型】解答【关键词】第9届,华罗庚金杯总决赛1试 【解析】由已知可得:2y x =,3a b =,故原式7297=. 【答案】7297【例35】 已知分式1x yxy+-的值是m ,如果用x ,y 的相反数代入这个分式,那么所得的值为n ,则m 、n 是什么关系?【考点】分式的化简求值 【难度】3星 【题型】解答 【关键词】【解析】由题可知:()()()1.1x ym xy x y n x y +⎧=⎪-⎪⎨-+-⎪=⎪---⎩,①②由②得:11x y x yn m xy xy--+==-=---.∴m n =-,∴0m n +=. 所以m n ,的关系为互为相反数.【答案】m n ,的关系为互为相反数【例36】 已知:233mx y +=,且()22201nx y x y -=≠≠-,.试用x y ,表示m n. 【考点】分式的化简求值 【难度】4星 【题型】解答 【关键词】【解析】∵0x ≠,∴由233mx y +=,得:()()231133y y y m x x+--==. 由222nx y -=,得:()222122y y n x x++==. ∵1y ≠-,∴0n ≠,∴231121y y y m n x x +-+=÷()231121y y x x y +-=⋅+312x y -=. 【答案】()312x y -【例37】 已知:230a b c -+=,3260a b c --=,且0abc ≠,求3332223273a b c ab bc a c-++-的值.【考点】分式的化简求值 【难度】4星 【题型】解答 【关键词】【解析】由题意可知:2303260a b c a b c -+=⎧⎨--=⎩,解得43a c b c =⎧⎨=⎩,333322233215173453a b c c ab bc a c c -+-==-+- 【答案】13-【例38】 已知方程组:230230x y z x y z -+=⎧⎨-+=⎩(0xyz ≠),求:::x y z【考点】分式的化简求值 【难度】3星 【题型】解答 【关键词】【解析】把z 看作已知数,解关于x 、y 的方程组,解得5y z =,7x z =,所以::7:5:1x y z =. 【答案】::7:5:1x y z =【例39】 若4360x y z --=,270x y z +-=(0xyz ≠),求222222522310x y z x y z +---的值.【考点】分式的化简求值 【难度】3星 【题型】解答【关键词】全国初数数学竞赛【解析】由43627x y z x y z -=⎧⎨+=⎩,得32x zy z =⎧⎨=⎩,代入得原式13=-.【答案】13-【例40】 设自然数x 、y 、m 、n 满足条件58x y m y m n ===,求的x y m n +++最小值. 【考点】分式的化简求值 【难度】5星 【题型】解答【关键词】黄冈市初中数学竞赛【解析】58x y =,58y m =,85m y =,864525n m y ==,从而y 是825200⨯=的倍数,当200y =586412520032051211578525x y m n y y y y +++=+++=+++=【例41】 设有理数a b c ,,都不为0,且0a b c ++=,则222222222111b c a c a b a b c+++-+-+-的值为___________。
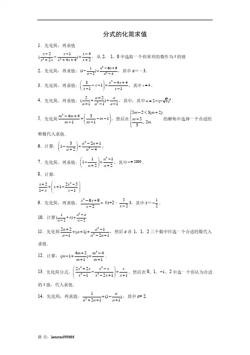
微 信:letaotao999666分式的化简求值1.先化简,再求值 22214()2442x x x x x x x x −−−−÷++++,从-2,-1,0中选取一个你喜欢的数作为x 的值2.先化简,再求值:22169(1)24a a a a −+−÷−−,其中a =﹣3. 3.先化简,再求值:2344111x x x x x −+⎛⎫−−÷ ⎪−−⎝⎭,其中4x =.4.先化简,再求值:222()111a aa a a ++÷+−−,其中,其中02(a =−. 5.先化简2443111m m m m m −+⎛⎫÷−− ⎪−−⎝⎭,然后在523(2)523m m m m −<+⎧⎪+⎨⎪⎩…的解集中选择一个合适的整数代入求值.6.计算:22321124−+⎛⎫−÷⎪+−⎝⎭a a a a ; 7.先化简,再求值:211122a a a −⎛⎫−÷⎪++⎝⎭,其中2000a =. 8.计算:2225111x x x x x ⎛⎫+−÷+− ⎪−−⎝⎭9.先化简,再求值:2692x x x −+−÷(x +2﹣52x −),其中x =12−.10.计算21()22a aa a a −+÷−− 11.先化简22221(1)121a a a a a a +−÷++−−+,然后a 在-1,1,2三个数中任选一个合适的数代入求值.12.计算:2454(1)11m m m m m +−−+÷++.13.先化简分式:2222221211x x x x xx x x x ⎛⎫+−−÷ ⎪−−++⎝⎭,然后在0,1,1−,2中选一个你认为合适的x 值,代入求值. 14.先化简,再求值:21(1)211aa a a ÷−+++,其中a =-2.15.先化简,再求值:222131111x x x x x x x ⎛⎫⎛⎫++−÷− ⎪ ⎪−−−⎝⎭⎝⎭,其中x 的值从不等式组23230x x −≤⎧⎨−<⎩的整数解中选取.16.如果2230m m +−=,求22442m m m m m+++÷的值.17.已知:269a a −+与|1|b −互为相反数.求代数式211122a a a a a a a a −⎛⎫−÷− ⎪+++⎝⎭的值.18.先化简再求值:22221(1)11x x x x x x −−÷−−−+,其中x 是不等式组10233x x x +>⎧⎪−⎨≤+⎪⎩的最大整数解.19.计算 22121121x x x x x x −−⎛⎫−+÷ ⎪+++⎝⎭20.已知a 2-6a +9与|b -1|互为相反数,求式子(1a b ++1a b −)÷2222a a ab b −+的值.21.先化简,再求值:2224124421x x xx x x x ⎛⎫−−−⋅⎪−+−+⎝⎭,其中5x =.22.计算22169122y y y y y ⎛⎫−+−÷⎪−−⎝⎭23.先化简,再求值:2232214()2442x x x x x x x x x +−−−÷−−+− , 其中x =324.先化简,再求值:2211()1121x x x x x x x +++÷−−−+,其中x =2.25.先化简,再求值:2111111x x x ⎛⎫−÷ ⎪+−⎝−⎭,其中12x =.26.先化简:2311144x x x x −⎛⎫+⋅ ⎪−−+⎝⎭,再从1,2,3中选取一个适当的数代入求值.27.先化简,再求值:2336m m m −−÷(1﹣12m −),其中m =4.微 信:letaotao99966628.先化简2344111a a a a a −+⎛⎫−+÷ ⎪++⎝⎭,然后从22a −<≤的范围内选择一个合适的整数作为a 的值代入求值29.计算:24816455x x x x x x +−+⎛⎫++÷ ⎪−−⎝⎭.30.化简:224114422a a a a a a ⎛⎫−+−÷⎪−+−+⎝⎭31.化简:2121122a a a a −+⎛⎫−÷ ⎪−⎝⎭,并选择一个你喜欢的a 值代入求值.32.计算 524223m m m m −⎛⎫++⋅⎪−−⎝⎭;33.计算22214244x x x x x x x x +−−⎛⎫−÷⎪−−+⎝⎭.34.先化简,再求值:2441(1)11x x x x x −++÷−−,其中x 是满足不等式组21323x x +>−⎧⎨+≤⎩的最小整数.35.先化简再求值:211122x x x −⎛⎫÷− ⎪++⎝⎭,其中13x =.36.已知210m m −−=,求23211m m m m m −⎛⎫⋅− ⎪−⎝⎭的值.37.先化简:352242a a a a −⎛⎫÷+− ⎪−−⎝⎭,再从1,2,3,4中选择一个合适的数作为a 的值代入求值.38.先化简:2221x x x x x÷−+,其中12x −剟,且x 是整数,再求值.39.先化简,再求值:(2241442a a a a−−−+−)÷222a a −,其中a =﹣1.40.先化简,再求值:526222m m m m −⎛⎫+−÷⎪−−⎝⎭,其中212m −⎛⎫= ⎪⎝⎭41.先化简,再求值:22424422x x x x x −⎛⎫−÷⎪−+−⎝⎭,其中2260x x +−=.42.先化简,再求值:2269111x x x x −+⎛⎫−÷⎪−−⎝⎭,请从0,1,2,3四个数中选取一个你喜欢的数x 代入求值.43.化简代数式22293211x x x x x x ⎛⎫−−÷+ ⎪+++⎝⎭,并求当7x =时此代数式的值.44.先化简22211326x x x x −+⎛⎫+÷⎪⎝⎭−−,然后从1、2、3中任选一个合适的x 的值,代入求值.45.先化简,再求值:293111x x x x x ⎛⎫++÷ ⎪−−−⎝⎭,其中2x =.46.先化简,再求值:211(1)422x x x x−+÷+−−,其中6x =.47.先化简,再求值:223211·1131x x x x x x −++⎛⎫÷+ ⎪−−−⎝⎭,其中x =2.48.先化简:2241193x x x −⎛⎫÷− ⎪−+⎝⎭,再从不等式237x −<的正整数解中选取一个使原式有意义的数代入求值.49.先化简,再求值:24512(1)()11a a a a a a−+−÷−−−−,其中a =﹣1.50.先化简,再求值(1﹣43a +)÷22219a a a −+−,其中a =﹣2.微 信:letaotao99966651.先化简,再求值:2111244a a a a −⎛⎫+÷ ⎪−−+⎝⎭,取一个你喜欢的数作为a 代入求值.52.先化简232(1)11x xx x x −+−÷−−,再从0≤x ≤4中选一个适合的整数代入求值.53.先化简,再求值:228161212224x x x x x x x −+⎛⎫÷−−− ⎪+++⎝⎭,其中1x =.54.先化简22111121x x x x −⎛⎫−÷ ⎪+++⎝⎭,再从22x −<≤中选一个合适的整数作为x 的值代入求值.55.先化简,再求值:(2﹣1xx −)•2144x x x −−+,请在﹣1,0,1,2中选一个数代入求值.56.先化简22211369x x x x −⎛⎫−÷ ⎪+++⎝⎭,然后从12x −≤<中选出一个合适的整数作为x 的值代入求值.57.先化简,再求值:224114422a a a a a a ⎛⎫−+−÷⎪−+−+⎝⎭,其中a =﹣1.58.先化简再求值:222914()2,6933x x x x x x x−+−÷−−+−−,其中x =4.59.先化简,再求值:235(2)22x x x x x −÷+−−−,其中x 2+3x ﹣5=0.60.先化简代数式2221(1)21a a a a a a −−÷+++,再选择一个合适的a 的值代入求值.61.先化简,再求值:2211224x x x ⎛⎫+÷ ⎪+−−⎝⎭,其中1x =−.62.先化简,再求值:(1﹣21x −)÷22691x x x −+−,并从1,2,3中选取一个合适的数作为x 的值代入求值.63.先化简,再求值:221y x x y x y ⎛⎫÷− ⎪−+⎝⎭,其中1x y =+.64.先化简,再求值:22244242a a a a a a+++⋅÷−,其中a =3.65.先化简,再求值:(11x +﹣1)÷22121x x x −++,其中x =2021.66.先化简,再求值:2221m mm m +++÷(111m m −+),其中m =﹣2.67.计算:22214244y yy y y y y y ⎛⎫+−−+÷ ⎪−−+⎝⎭.68.计算:2211121a a a a a a −+⎛⎫−÷⎪−−+⎝⎭.69.先化简,再求值:221112111x x x x x⎛⎫−−÷⎪−+−−⎝⎭,其中12x =;70.先化简,再求值:53222x x x x −⎛⎫+−÷⎪−−⎝⎭,其中3x =.71.化简:226116933m m m m m −⎛⎫÷+ ⎪−++−⎝⎭.72.先化简,再求值2211xyx y x y x y ⎛⎫+÷ ⎪−+−⎝⎭,其中2x =,2y =−.73.先化简代数式22111211a a a a a ⎛⎫++÷ ⎪−−+−⎝⎭,然后确定使原式有意义的a 的取值范围,再选取一个a 的值代入求值.74.先化简,再求值.微 信:letaotao9996662222121111+−+⋅−−−+a a a a a a a ,再从﹣1≤a ≤2的整数中选取一个你喜欢的a 的值代入求值.75.先化简,再求值.(x ﹣1﹣81x +)÷22231x x x+−−,其中x =﹣2.76.先化简,再求代数式2121211a a a a +⎛⎫÷+ ⎪−+−⎝⎭的值,其中(011a =+.77.先化简,再求值22222212a b a b a b ab ab ⎛⎫−+÷− ⎪+⎝⎭,其1a =−,2b =.78.先化简,再求值:31111a a a a a −−⎛⎫−÷⎪++⎝⎭,其中a =2.79.先化简,再求值:(1﹣11a +)÷21aa −,其中a =3.80.先化简22211121x x x x x x ⎛⎫−−+÷ ⎪+++⎝⎭,再从-1、0、1中选择合适的x 值代入求值. 81.化简并求值:22121111x x x x x −⎛⎫+÷ ⎪+−−⎝⎭,其中0x =. 82.先化简,再求值:231111x x x x −⎛⎫+÷ ⎪+−⎝⎭,x 是不等式组1120x x x −−⎧−>⎪⎨⎪>⎩的整数解. 83.先化简,再求值222214244a a a a a a +⎛⎫−÷ ⎪−−++⎝⎭;其中a 是满足12a −<≤的一个整数,择一个合适数,代入求值.84.先化简,再求值:22344111x x x x −+⎛⎫−÷⎪+−⎝⎭,其中3x =.85.先化简再求值:2643211x x x x x +⎛⎫+÷ ⎪−−−⎝⎭,其中2x =.86.先化简,再求值:222221412()x x x x x x x x−+−+÷−+,2x =.。
专题5.25分式的化简与求值100题(巩固篇)(专项练习)1.计算:(1)22421x x x --+;(2)222228224x x x x x ⎛⎫+--÷ ⎪--⎝⎭.2.先化简22211(1)11x x x x x x -+-÷-++-,然后从2-,1-,0,1选取一个合适的整数作为x 的值代入求值.3.先化简,再求值:2222144121426a a a a a a a ++⎛⎫-÷ ⎪--⎝⎭,其中34a =-.4.先化简,再求值:22111,211x x x x -⎛⎫÷- ⎪+++⎝⎭其中x 的值从22x -<<的整数解中选取.5.先化简,再求值:22226951222a ab b b a b a ab a b a ⎛⎫-+÷--- ⎪--⎝⎭,其中,a b 满足51a b a b +=⎧⎨-=⎩.6.先化简,再求值:22691(122a a a a a -+÷---,请从0、1、2、3中选一个适合的数作为a 的值代入求值.7.先化简,再求值:2169122x x x x -+⎛⎫-÷ ⎪--⎝⎭,其中5x =.8.先化简,再求值:111a a a b b a b -⎛⎫-+ ⎪-⎝⎭,其中3a =,13b =.9.化简(1)2223m n m n m n --+-;(2)2344111a a a a a ++⎛⎫-+÷ ⎪++⎝⎭10.求值:(1)已知3x y -=-,2xy =,求33222x y xy x y +-的值;(2)先化简532224a a a a -⎛⎫--÷ ⎪++⎝⎭,然后从2-,2,3-,3四个数中选取一个合适的数作为a 的值代入求值.11.化简:2241244a a a a a -⎛⎫+÷ ⎪--+⎝⎭,并在2-,0,2中选择一个合适的a 值代入求值.12.已知分式:221221211a a a a a a a a ---⎛⎫-÷ ⎪++++⎝⎭及一组数据﹣1,0,1.请先将已知分式化简,再从已知数据中选取一个合适的数代入a 并求值.13.(1)计算:()211422x x x ⎛⎫+⋅- ⎪-+⎝⎭(2)先化简,再求值:()()()22a b a b a b a +-+-,其中2a =,3b =-.14.(1)化简:()()13122121x x x x x x +⎛⎫÷-+- +-+-⎝⎭(2)化简并求值:233211x x x +---其中13x =-15.王老师在黑板上写了一道题目,计算:22221244x y x y x y x xy y ---÷+++.爱民同学做得最快,立刻拿给王老师看(如图),王老师看完摇了摇头,让爱民同学回去认真检查.请你仔细阅读爱民同学的计算过程,帮助爱民同学改正错误.(1)上述计算过程中,哪一步开始..出现错误?______;(用序号表示)(2)从①到②是否正确?________;(填“是”或“否”)若不正确,错误的原因是_______;(3)请你写出此题完整正确的解答过程.并求出当()1012023π,22x y -⎛⎫=+-= ⎪⎝⎭时的值.16.先化简,再求值:22244244x x x x x x -⎛⎫+÷ ⎪+--⎝⎭,其中从2-,0,1,2中选取一个合适的数作为x 的值代入求值.17.先化简,再求值:22341121a a a a a -⎛⎫-+÷ ⎪+++⎝⎭,其中a 在一组未排序的数据7、9、6、a 、8、5中,已知这组数据的极差是6.18.化简求值221312221x x x x x x -⎛⎫÷-+- ⎪+++⎝⎭,其中x 是绝对值不大于2的整数.19.先化简,再求代数式53222m m m m -⎛⎫+-÷ ⎪--⎝⎭的值,其中m 为满足04m <<的整数.20.先化简,再求值.221211221x x x x x x +÷+-+-+,请从不等式组52030x x -≥⎧⎨+>⎩的整数解中选择一个你喜欢的求值.21.先化简,再求值:23211236x x x x -+⎛⎫-÷ ⎪++⎝⎭,其中4x =.22.先化简,再求值:2222339x x x x x x +⎛⎫+÷ ⎪---⎝⎭,其中2x =.23.先化简,再求值:222122244a a a a a -⎛⎫-÷ ⎪---⎝⎭,其中2a +.24.化简:2233393969x x x x x x -⎛⎫-÷ ⎪---+⎝⎭,然后从3-,1,3中选一个合适的值代入求解.25.先化简,再求代数式2211333x x x x x -⎛⎫÷+ ⎪-+-⎝⎭的值,其中4x =-.26.已知实数x 满足510x x -+=,求441x x +的值.27.先化简244224x x x x x -⎛⎫-÷ ---⎝⎭,再从2、3、4中选一个合适的数作为x 的值代入求值.28.先化简22221211x x x x x x x+÷-++++,然后选一个合适的x 值代入,求出代数式的值.29.化简:(1)2y x y x y y x -+--;(2)1211x x x -⎛⎫-÷ ⎪-⎝⎭.30.先化简,再求值:2395222x x x x x -⎛⎫÷+- ⎪--⎝⎭,其中13x =.31.已知代数式22381631a a a a a a ++⎛⎫+-÷ ⎪++⎝⎭.(1)化简已知代数式;(2)若a 满足410a a--=,求已知代数式的值.32.先化简,再求值:2291()333x x x x x---+ 其中13x =.33.先化简,再求值:22111m m m m +-⎛⎫-÷ ⎪⎝⎭,其中2m =.34.先化简,再求值:(1)先化简,再求值:22913321x x x x x x ⎛⎫-+÷ ⎪---+⎝⎭,其中x 满足2220250x x +-=.(2)先化简,再求值:24442244m m m m m m --⎛⎫--÷ ⎪--+⎝⎭,在2,3,4中选一个合适的数作为m 的值代入求值.35.化简求值:2222m n n nm n m n m -++--,其中2m =,3n =.36.先化简,再求值:2222422x y x y x xy y x y--÷+++,其中1x =,2y =.37.先化简,再求值:(1)224()2122a a a a a ---+ ,其中1a =;(2)26435()111x x x x ++÷---,其中2x =.38.先化简,再求值:2123121a a a a a -⎛⎫++⋅ ⎪--⎝⎭,其中3a =.39.先化简,再求值:2221121x x x x x x ⎛⎫--÷ ⎪+++⎝⎭,请你从22x -<<的整数解中选择—个你喜欢的x 的值代入并求值.40.先化简,再求值:2212111a a a a +⎛⎫-÷ ⎪---⎝⎭,其中1a =.41.先化简,后求值:22222212a a a a ab a ab b a b a b ⎛⎫⎛⎫-÷-+ ⎪ ⎪--++-⎝⎭⎝⎭,其中1a =,2b =.42.先化简,再求值:2443111x x x x x -+⎛⎫÷+- ⎪--⎝⎭,其中11(3)32x x -=-.43.先化简,再求值.(1)()()2211x x x x x --+-,其中12x =;(2)221112111x x x x x x x-+-÷⋅-+-+,其中12x =.44.先化简,再求值:2234221121x x x x x x ++⎛⎫-÷ ⎪---+⎝⎭,其中x 是不等式组40251x x +>⎧⎨+<⎩的整数解.45.化简求值,35222x x x x -⎛⎫÷-- ⎪--⎝⎭,请选择一个你喜欢的数代入求值.46.(1)计算:()()31121xx x x -+-+-;(2)先化简,再求值:2111442a a a a -⎛⎫÷+ -+-⎝⎭,请从1,2,3中选一个合适的数作为a 的值,代入求值.47.(1)计算:2322y x x y ⎛⎫⎛⎫-⨯- ⎪⎪⎝⎭⎝⎭(2)先化简:22111369a a a a a a ⎛⎫-+--÷ ⎪--+⎝⎭,然后从1-,0,1,3中选择一个合适的数作为a 的值代入求值.48.已知230x x --=,求分式2112x x x +-+-的值.49.计算:(1)()()()2412525x x x +-+-(2)22222233a b a ba a ab a b a bb +-⎛⎫⋅-÷ ⎪-+-⎝⎭50.计算:(1)()()1201911|7|20195π-⎛⎫---⨯-+- ⎪⎝⎭;(2)2221211x x x x x x x ++⎛⎫-÷ ⎪--⎝⎭.51.先化简,再求值:222111x x x x x ++---,其中x 满足不等式组1030x x -≥⎧⎨-<⎩,且x 为整数.52.先化简,再求值:2344111a a a a a -+⎛⎫--÷⎪++⎝⎭,请在-1、1、2三个数中选择一个合适的整数代入求值.53.先化简211111x x x x ⎛⎫+÷ ⎪+--⎝⎭;再从1-,0,1x 的值代入求值.54.先化简,再求值:22311244x x x x -⎛⎫-÷ ⎪+++⎝⎭,其中2022x =.55.化简再求值:2221211x x x x x x +⎛⎫÷- ⎪-+-⎝⎭.其中2x =-.56.先化简,再求值:22212211211m m m m m m m m ++-⎛⎫+÷- ⎪--+-⎝⎭,其中m 满足22m -≤≤,取一个整数即可.57.已知2470m m --=,求代数式2241(1)39m m m m m --++÷+-的值.58.先化简2234244111x x x x x x +++⎛⎫-÷⎪--+⎝⎭,然后在22x -≤≤的范围内选择一个合适的整数作为x 的值代入求值.59.(1)按要求填空:小明计算22142x x x --+的过程如下:解:22142x x x --+()()21222x x x x =-+-+……第一步()()()()222222x x x x x x -=-+-+-……第二步()()2222x x x x --=+-……第三步()()222x x x -=+-……第四步12x =+①小明计算的第一步是___________(填“整式乘法”或“分解因式”);②计算过程的第___________步出现错误;③直接写出正确的结果是___________.(2)先化简,再求值:244422a a a a a a --⎛⎫÷-- ⎪-⎝⎭,其中2a =60.先化简,再求值:(1)()()()()22525424x x x x x +-+++-,其中x(2)21122a a a a a a a ⎛⎫+-+-÷++⎝⎭其中2a =.61.若0a >,12a M a +=+,23a N a +=+.(1)当5a =时,计算M 、N 的值;(2)猜想M 与N 的大小关系,并证明你的猜想.62.先化简,再求值:21(1)11aa a +÷--,其中3a =-.63.先化简2211211x xx x x --++++,然后从0,1,1-,2四个数中选取一个合适的数作为x 的值代入求值.64.先化简:2444122x x x x -+⎛⎫÷- ⎪++⎝⎭,然后从2,0,2-中选一个合适的数代入求值.65.先化简分式:211(1)1m m m---),然后在0,1,2中选一个你认为合适的x 的值,代入求值.66.先化简,后求值:2344111x x x x x -+⎛⎫--÷ ⎪--⎝⎭,然后在0,1,2三个数中选一个适合的数,代入求值.67.先化简,再求值:2221211a a a a a a +⎛⎫÷- ⎪-+-⎝⎭,并在32a -<<中选取一个使式子有意义的整数代入求值.68.先化简,再求代数式222112111a a a a a a a ⎛⎫-+÷+ -+--⎝⎭的值,其中0120232a -=+.69.先化简,再求值:2212124a a a a a a a--+÷-+-,其中3a =.70.先化简231122x x x -⎛⎫-+⎪++⎝⎭,再从1,0,2-中选一个使原式有意义的数代入并求值.71.计算:222222322a bb b a a ab b a b a b-+⎛⎫+÷ ⎪-+--⎝⎭72.计算:2244222xx x x x x -+⎛⎫-÷ ⎪+++⎝⎭.73.(1)计算:)2112-⎛⎫+- ⎪⎝⎭(2)化简:211(1211x x x ÷-+++74.计算(1)()()()2222-++-x y x y x y (2)22944333x x x x x x --+⎛⎫-+÷ ⎪++⎝⎭75.计算:212(1)11x xx x --÷++.76.化简求值:211(1)(11x x x -++-,其中12x -=.77.化简:23311x x x -+--.方方的解答如下:3(1)3(1)(1)(1)(1)x x x x x x +--+-+-原式=2(1)(1)(1)x x x -=+-=313(1)(1)x x x x +--+-21x =+方方的解答正确吗?如果不正确,请写出正确的解答过程.78.计算(1)2m n m nn m m n n m-++---(2)23651x x x x x+----79.计算:(1)111a a a +++(2)2211121a a a a a +⎛⎫-÷ ⎪+++⎝⎭80.(1)计算:()235423a a a a ⎡⎤⋅+÷⎢⎥⎣⎦;(2)计算:2223m nm n m n --+-81.老师所留的作业中有这样一个分式的计算题22511x x x +++-,甲、乙两位同学完成的过程分别如下:甲同学:22511x x x +++-=25(1)(1)(1)(1)x x x x x +++-+-第一步=25(1)(1)x x x +++-第二步=7(1)(1)x x x ++-第三步乙同学:22511x x x +++-=2(1)5(1)(1)(1)(1)x x x x x x -+++-+-第一步=225x x -++第二步=33x +第三步老师发现这两位同学的解答过程都有错误.(1)请你从甲、乙两位同学中,选择一位同学的解答过程,帮助他分析错因,并加以改正.我选择______同学的解答过程进行分析(填“甲”或“乙”).该同学的解答从第____步开始出现错误,错误的原因是_______;(2)请重新写出完成此题的正确解答过程:22511x x x +++-82.下面是小彬同学进行分式化简的过程,请认真阅读并完成相应任务.22211(1)(1)12122(1)2(1)x x x x x x x x x x --+---=-+++++…第一步1112(1)x x x x --=-++…第二步2(1)12(1)2(1)x x x x --=-++…第三步2(1)(1)2(1)x x x ---=+…第四步2212(1)x x x ---=+…第五步322x x -=+…第六步任务一:填空:(1)以上化简步骤中,第一步进行的运算是_________.A .整式乘法B .因式分解(2)以上化简步骤中,第______步是进行分式的通分,通分的依据是_________.(3)第________步开始出现错误,这一步错误的原因:___________________.任务二:补充正确的解题过程,已知x 是满足x <x 的值代入求值;任务三:除纠正上述错误外,请你根据平时的学习经验,就分式化简时还需要注意的事项给其他同学提一条建议:______________.83.(1)已知1212x x ++-计算结果是(1)(2)mx x x +-,求常数m 的值;(2)已知32A B x x ++-计算结果是34(3)(2)x x x ++-,求常数A 、B 的值.84.先化简,再求值:224242442x x x x x x --⎛⎫÷-- ⎪+++⎝⎭,其中||2x ≤且x 为整数.85.先化简,再求值:22693339()x x x x x x x -+-+÷÷--,其中x 为不等式组40512(1)x x x +>⎧⎨+<-⎩的整数解.86.计算:(1)()()()2224a b a b a b +---(2)22221211x x x x x x x ⎛⎫-+-- ⎪-+-⎝⎭87.计算:(1)()()()224x y x y x y --+-(2)22442242x x x x x x -+-⎛⎫÷-- ⎪-+⎝⎭88.计算:(1)()()()22021032412π5-+⨯---+-;(2)2244311-+⎛⎫÷-+ ⎪++⎝⎭x x x x x x .89.先化简,再求值:222142442a a a a a a a a +--⎛⎫-÷ ⎪--+-⎝⎭,其中a 满足方程:2250a a --=.90.(1)先化简,再求值2799(1)x x x x x--+-÷,其中5x =-.(2)若114a b -=,求323a b a ab b-+-值.91.(1)计算:()202122022π32π-⎛⎫-+-+--- ⎪⎝⎭.(2)先化简,再求值:222569122x x x x x x --+⎛⎫-÷ ⎪--⎝⎭,然后选择一个你喜欢的数代入求值.92.先化简,再求值:2224393a a a a a a -+÷--+,其中a ,2,4为ABC 的三边长,且a 为整数.93.(1)先化简,再求值:24421x x x x -+⎛⎫÷- ⎪⎝⎭,其中4x =.(2)已知113x y -=,求分式2322x xy y x xy y+---的值.94.先化简,再求值(1)222142442a a a a a a a a ---⎛⎫-÷ ⎪++++⎝⎭,其中a 是满足33a a -=-的最大整数.(2)2311144x x x x x -⎛⎫--⋅ ⎪--+⎝⎭,其中3x =-95.计算:(1)()2332y y xy x x-÷⋅.(2)先化简:312224a a a a +⎛⎫++÷ ⎪--⎝⎭,再从12a -≤≤的整数中选取一个你喜欢的a 的值代入求值.96.计算:(1)21x y x y -+-.(2)21111m m m ⎛⎫-÷ ⎪++⎝⎭.97.先化简,再求值:2144111a a a a ++⎛⎫+÷ ⎪++⎝⎭,从2-,1-,1中选择合适的a 的值代入求值.98.化简:2121442x x x x x +÷-⎛⎫ ⎝+++⎭+,再从1,0,1-,2-中选一个喜欢的数求值.99.先化简22424422x x x x x x x ⎛⎫--+÷ ⎪-++-⎝⎭,从不等式组()3421213212x x x x ⎧-≤-⎪⎪⎨+⎪-<⎪⎩的整数解中,选取一个你最喜欢的x 的值代入求值.100.计算:(1)2221651565a a a a a a a a a --+⋅÷++++;(2)29(2)33666x x x x x x --+--+-.参考答案1.(1)22x x -(2)22x +【分析】(1)利用提公因式和平方差公式进行计算即可;(2)利用提公因式和平方差公式进行计算即可.解:(1)22421x x x--+()()()42111x x x x =-+-+()()()42111x x x x x --=+-()()2211x x x x +=+-22x x=-;(2)222228224x x x x x ⎛⎫+--÷ ⎪--⎝⎭()()22222228224x x x x x x x +-⎡⎤+=-÷⎢---⎣⎦()()()2222222244x x x x x x +-⎛⎫=⋅ ⎪⎝⎭-+-+()()()22222244x x x x x +-⋅-+=+22x +=.【点拨】本题考查了分式的混合运算,熟练运用分式运算法则和平方差公式是解题的关键.2.1x-;当2x =-时,原式12=【分析】原式括号中两项通分并利用异分母分式的减法法则计算,同时利用除法法则变形,约分即可得到结果,再根据分式有意义的条件,取2x =-代入求解即可.解:原式2(1)1[(1)](1)(1)1x x x x x x --=÷--+-+2(1)1[(1)](1)(1)1x x x x x x --=÷--+-+11(1)(1)11x x x x x x ----+=÷++211111x x x x x -+=⋅+--+211111x x x x x -+=⋅+--+1(1)x x x -=--1x=-,当=1x -,0,1时,原式没有意义;当2x =-时,原式12=.【点拨】本题主要考查了分式的化简求值以及分式有意义的条件,熟练掌握因式分解和分式的性质是解题的关键.3.321a a +,92【分析】根据分式混合运算,先化简,再将34a =-代入化简后的代数式求值即可得到答案.解:2222144121426a a a a a a a ++⎛⎫-÷ ⎪--⎝⎭()()222121212216a a a a a a ⎡⎤+=-÷⎢⎥--⎣⎦()()()22241622122121a a a a a a a ⎡⎤=-⨯⎢⎥--+⎣⎦()()22241622121a a a a a -=⨯-+22(21)(21)62(21)(21)a a a a a a +-=⨯-+321a a =+,当34a =-时,原式339432214⎛⎫⨯- ⎪⎝⎭==⎛⎫⨯-+ ⎪⎝⎭.【点拨】本题考查分式化简求值,熟练掌握分式混合运算法则化简是解决问题的关键.4.1x x--,当1x =时,原式0=.【分析】先根据分式的混合计算法则化简,然后根据分式有意义的条件结合不等式组选取合适的值代值计算即可.解:22111211x x x x -⎛⎫÷- ⎪+++⎝⎭()()()2111111x x x x x +-=--÷++()()()21111x x x x x +--=÷++()()()21111x x x x x +-+=-+1x x -=-∵22x -<<的整数解为1-,0,1,其中只有1能使得原分式有意义,∴当1x =时,原式0=.【点拨】本题主要考查了分式的化简求值,求不等式组的整数解,正确计算是解题的关键.5.23a b-+,29-【分析】先将所有分式的分子与分母因式分解,同时计算括号内的减法,再计算乘法,最后计算加减法化简,再解方程组求出a ,b 的值代入计算即可.解:原式()()()()223512222a b b a a b a b a ab a b -+--=÷---()()()()2321233a b a b a a b b a b a a--=⋅--+-()313a b a b a a -=--+23a b=-+,∵51a b a b +=⎧⎨-=⎩,∴32a b =⎧⎨=⎩,∴原式22233329a b =-=-=-++⨯.【点拨】此题考查了分式的混合运算及化简求值,解二元一次方程组,正确掌握各运算法则是解题的关键.6.3a a-,2-【分析】根据分式的混合运算法则把原式化简,根据分式有意义的条件确定a 的值,代入计算即可.解:原式2(3)21()(2)22a a a a a a --=÷----2(3)2·(2)3a a a a a --=--3a a-=,∵0a ≠,20a -≠,30a -≠,∴0a ≠、2、3,当1a =时,原式1321-==-.【点拨】本题考查的是分式的化简求值、分式有意义的条件,掌握分式的混合运算法则是解题的关键.7.11;32x -【分析】先对分式通分、因式分解、约分等化简,化成最简分式,后代入求值.解:2169122x x x x -+⎛⎫-÷ ⎪--⎝⎭=()2321233x x x x x --⨯=---,当5x =时,1113532x ==--.【点拨】本题考查了分式的化简求值,运用因式分解,通分,约分等技巧化简是解题的关键.8.a b,9【分析】先通分计算括号里的,再算乘除,最后算加减并化到最简,将字母值代入即可得到答案;解:原式111a a b a a a a b ab b b b--+-=⨯+==-当3a =,13b =时,原式3913==.【点拨】本题考查分式的化简求值,解题的关键是在化简时要化到最简及注意符号选取.9.(1)1m n -;(2)22a a -+.【分析】(1)根据异分母分式的减法化简即可;(2)根据分式的加减乘除混合运算化简即可.(1)解:()()222323m n m n m n m n m n m n m n ---=-+-++-()()()()()()23223m n m n m n m nm n m n m n m n -----+==+-+-()()1m n m n m n m n +==+--;(2)解:()()()22311344111112a a a a a a a a a a --++++⎛⎫-+÷=⋅ ⎪+++⎝⎭+()()()222222a a a a a +--==++.【点拨】本题考查分式的加减乘除混合运算,掌握分式的加减乘除混合运算法则正确化简是解题的关键.10.(1)18(2)26a +,当2a =时,原式10=;当3a =-时,原式0=【分析】(1)先进行因式分解,再代值计算即可;(2)先运算分式的运算法则,进行化简,再代值计算即可.(1)解:∵3x y -=-,2xy =,∴()233222x y xy x y xy x y =+--()223=⨯-18=;(2)解:原式()2224523a a a a +--=⋅+-()2293a a -=-26a =+;∵20,30a a +≠-≠,∴2,3a a ≠-≠,当2a =时,原式10=;当3a =-时,原式0=.【点拨】本题考查因式分解,分式的化简求值.熟练掌握因式分解的方法,以及分式的运算法则,是解题的关键.11.22a+,1【分析】原式括号中两项通分并利用同分母分式的加减法法则计算,同时利用除法法则变形,约分得到最简结果,把a 的值代入计算即可求出值.解:原式22a a a-+=-•()()2(2)2222a a a a -=-+-•()()2(2)22a a a --+22a =+,当2a =-或2时,原式没有意义;当0a =时,原式220==+1.【点拨】此题考查了分式的化简求值,熟练掌握运算法则是解本题的关键.12.21a a+,当1a =时,原式12=【分析】先根据分式的混合计算法则化简,然后根据分式有意义的条件确定a 的值,最后代值计算即可.解:221221211a a a a a a a a ---⎛⎫-÷ ⎪++++⎝⎭()()21211211a a a a a a a ⎡⎤--=-⋅⎢⎥+-+⎢+⎥⎣⎦()()22221221111a a a a a a a a a ⎡⎤--=-⋅⎢⎥-+++⎢⎥⎣⎦()2212111a a a a a -=+⋅-+21a a=+,∵分式要有意义,∴()10210a a a ⎧+≠⎨-≠⎩,∴0a ≠且1a ≠-且12a ≠,∴当1a =时,原式2111112a a ===++.【点拨】本题主要考查了分式的化简求值,正确计算是解题的关键.13.(1)2x ;(2)22ab b -,24-【分析】(1)先算括号里面,再算乘法即可;(2)先展开各项,再合并同类项,最后代入求值即可.解:(1)()211422x x x ⎛⎫+⋅- ⎪-+⎝⎭()()()()()()22222222x x x x x x x x ⎛⎫+-=+⋅-+ ⎪ ⎪-+-+⎝⎭()()()()22222x x x x x =⋅-+-+2x =;(2)()()()22a b a b a b a +-+-222222a ab ab b ab a =+--+-22ab b =-当2a =,3b =-时,原式()()222232324ab b =-=⨯--⨯-=-.【点拨】本题考查了分式的化简,整式的化简求值,熟记相关运算法则及运算顺序是解题的关键.14.(1)21x x -;(2)11x -,34-【分析】(1)根据分式的混合计算法则求解即可;(2)先约分,然后根据同分母分式减法化简,最后代值计算即可.解:(1)()()13122121x x x x x x +⎛⎫÷-+- ⎪+-+-⎝⎭()()2143121221x x x x x x x⎛⎫+-=÷+- ⎪+-++-⎝⎭()()214312121x x x x x x +-+=÷-+-+-()()21112121x x x x x x+-=÷-+-+-()()()()11112121x x x x x x x +-+=÷-+-+-()()()()12121111x x x x x x x ++=⋅-+-+--()21111x x =+--2111x x +-=-21x x =-;(2)233211x x x +---()()()312111x x x x +=-+--3211x x =---11x =-,当13x =-时,原式131413==---.【点拨】本题主要考查了分式的混合计算,分式的化简求值,正确计算是解题的关键.15.(1)①(2)否;错用去括号法则(3)25-【分析】(1)根据运算顺序,先算除法可知,第①步开始出现错误;(2)去括号时,出现错误;(3)按照分式的运算法则和运算顺序,进行计算,根据负整数指数幂和零指数幂的法则,求出x 的值,将,x y 的值代入化简后的式子中,进行计算求值即可.(1)解:根据分式的运算顺序,应该先算除法,爱民同学第①步先算的减法,∴从第①步开始出现错误;故答案为:①;(2)解:在去括号时,括号前面是“-”号,括号里面的每一项都要变号,爱民同学括号里的第二项没有变号,出现错误,∴从①到②不正确,错用去括号法则;故答案为:否,错用去括号法则;(3)解:原式()()()2212x y x y x y x y x y +-=-++-21x y x y +=-+2x y x y x y x y++=-++2x y x yx y+--=+y x y=-+;∵()1012023π213,22x y -⎛⎫=+-=+== ⎪⎝⎭,∴原式22325-==-+.【点拨】本题考查分式的化简求值.熟练掌握分式的运算法则和运算顺序,零指数幂,负整数指数幂的法则,是解题的关键.16.244x x+,54【分析】先根据分式的混合运算顺序和运算法则化简原式,再选取使分式有意义的x 的值代入计算即可.解:原式22244244x x x x x x --⎛⎫=+⨯ ⎪+-⎝⎭()()22244244422x x x x x x xx x --=⨯+⨯+-+-()2142x x -=+244444x x x x x-+=+244x x+=2x ≠± ,0,∴当1x =时,原式21441+=⨯54=.【点拨】本题考查分式化简求值,解题的关键是明确分式加法和除法的运算法则,注意:分式取值一定要使分式有意义.17.1a --,当11a =时,原式12=-;当3a =时,原式4=-【分析】先根据分式的混合计算法则化简,然后根据极差的定义求出a 的值,最后代值计算即可.解:22341121a a a a a -⎛⎫-+÷ ⎪+++⎝⎭()()2211341121a a a a a a a -+⎡⎤-=-÷⎢⎥++++⎣⎦()()()()22223111a a a a a --=÷+-++()()()2214122a a a a a +-=⋅++-()()()()()2222211a a a a a a +=⋅++--+1a =--;当数据7、9、6、a 、8、5中a 为最大值时,则56a -=,即11a =,当11a =时,原式11112=--=-;当数据7、9、6、a 、8、5中a 为最小值时,则96a -=,即3a =,当3a =时,原式314=--=-.【点拨】本题主要考查了分式的化简求值,极差,正确计算是解题的关键.18.21x x +;16【分析】先将分式的分子分母因式分解来化简,然后x 取值要避免取到使得分式分母为0的整数.解:221312221x x x x x x -⎛⎫÷-+- ⎪+++⎝⎭(1)(1)(2)(2)31(2)221x x x x x x x x x -+-+⎡⎤=÷+-⎢⎥++++⎣⎦2(1)(1)(4)31(2)21x x x x x x x ⎡⎤-+-+=÷-⎢+++⎣⎦(1)(1)(1)(1)1(2)21x x x x x x x x -+-+⎡⎤=÷-⎢⎥+++⎣⎦111x x =-+1(1)(1)x x x x x x +=-++1(1)x x =+21x x=+∵x 是绝对值不大于2的整数,∴0x =或1±或±2∵221312221x x x x x x -⎛⎫÷-+- ⎪+++⎝⎭中,0x ≠且1x ≠±且2x ≠-,∴2x =∴原式22111226x x ===++.【点拨】此题考查分式的化简求值,解题关键是将分式因式分解化简,取值时需令值使得分母不为0.19.3m +,4【分析】先把除法变成乘法,再计算括号内的,最后约分化简即可,根据分式有意义的条件结合m 的取值范围确定出m 的值.解:原式(2)(2)5223m m m m m +---=⨯--(3)(3)223m m m m m +--=⨯--3m =+∵53222m m m m -⎛⎫+-÷ ⎪--⎝⎭有意义,∴2m ≠,3m ≠.又∵m 为满足04m <<的整数,∴1m =∴原式134=+=.【点拨】本题考查分式的化简求值,分式的相关运算,以及分式有意义的条件,能够熟练掌握分式有意义的条件是解决本题的关键.20.212x x +;x 取1-时,值为1-,x 取2时,值为18.【分析】先将能够进行因式分解的分子或分母进行因式分解,然后算除法,再算加法,即可化简.分别解不等式确定不等式组的整数解,最后根据分式有意义的条件选取合适的x 的值代入求值即可.解:原式21(1)11(2)2x x x x x -=⋅+-++11(2)2x x x x -=+++1(2)x xx x -+=+212x x=+,52030x x -≥⎧⎨+>⎩①②,解不等式①,可得52x ≤,解不等式②,可得3x >-,∴不等式组的解集为532x -<≤,∴不等式组的整数解为2-、1-、0、1、2,又∵2()0x x +≠,10x -≠,∴0x ≠且1x ≠且2x ≠-,∴x 可取1-或2.当x 取1-时,原式211(1)2(1)==--+⨯-,当x 取2时,原式2812212==+⨯.【点拨】本题考查分式的化简求值,解一元一次不等式组,掌握分式混合运算的运算顺序(先算乘方,然后算乘除,最后算加减,有小括号先算小括号里面的)和计算法则,熟知“同大取大;同小取小;大小小大中间找;大大小小找不到”的原则是解题关键.21.31x -,1【分析】先根据分式的混合计算法则化简,然后代值计算即可.解:23211236x x x x -+⎛⎫-÷ ⎪++⎝⎭()()22322132x x x x x +⎛⎫=-÷ ⎪++⎝-+⎭()()2222133x x x x +-=⋅+-+()()231221x x x x -=⋅++-31x =-,当4x =时,原式3141==-.【点拨】本题主要考查了分式的化简求值,熟知分式的混合计算法则是解题的关键.22.3x x+,52【分析】先根据分式的混合计算法则化简,然后代值计算即可.解:2222339x x x x x x +⎛⎫+÷ ⎪---⎝⎭()()()33322x x x x x x +++÷--=()()()33223x x x x x x +-=⋅-++3x x+=,当2x =时,原式23522+==.【点拨】本题主要考查了分式的化简求值,熟知分式的混合计算法则是解题的关键.23.12a -,2【分析】先计算括号内的分式的减法,再把除法化为乘法运算,约分后可得结果,再把2a代入化简后的代数式进行计算即可.解:222122244a a a a a -⎛⎫-÷ ⎪---⎝⎭()()()()()2222222a a a a a a a -++-=-+-12a =-,∵2a =,∴原式=【点拨】本题考查的是分式的化简求值,掌握“分式的加减乘除混合运算的运算顺序”是解本题的关键.24.33x +,当1x =时,原式34=【分析】先化简括号内的式子,再算括号外的除法,然后从3-,1,3中选择一个使原分式有意义的值代入化简后的式子计算即可.解:原式()()()()()()()23333333333x x x x x x x x ⎡⎤+-=-⋅⎢⎥-+-+-⎢⎥⎣⎦()()()39333x x x -=⋅-+33x =+,当3x =±时,原分式无意义,∴1x =,∴原式33134==+.【点拨】本题考查了分式的化简求值,熟练掌握运算法则是解题的关键.25.()()322x x -+,3【分析】先算括号内的加法,再把除化为乘,分子分母分解因式约分,化简后将4x =-代入即可得到答案.解:2211333x x x x x -⎛⎫÷+ ⎪-+-⎝⎭()()()333323x x x x x x x -++=÷-+--()()()33322x x x x x x +-=⋅--()()223x x =-+当4x =-时,原式()()434322-+=-=-【点拨】本题考查分式化简求值,解题的关键是掌握分式混合运算的顺序及相关运算的法则.26.527【分析】根据等式的性质求得1x x +的值,然后利用平方差公式求出221x x +的值,再继续利用平方差公式求出441x x +的值.解:由2510x x -+=得0x ≠,∴15x x+=,∴21()25x x+=∴22123x x +=,∴42224211()2232527x x x x +=+-=-=【点拨】此题考查完全平方公式的应用,解题关键是反复使用完全平方公式.27.2x +,当3x =时,原式325=+=【分析】先根据分式的混合计算法则化简,然后根据分式有意义的条件确定x 的值,最后代值计算即可.解:244224x x x x x -⎛⎫-÷ ⎪---⎝⎭()()44222x x x x x --=÷-+-()()22424x x x x x +--=⋅--2x =+,∵要使分式244224x x x x x -⎛⎫-÷ ---⎝⎭有意义,∴20x -≠,20x +≠,40x -≠,∴x 不能为2,2-,4,∴取3x =,当3x =时,原式325=+=.【点拨】本题主要考查了分式的化简求值,正确计算是解题的关键.28.()221x x +,1【分析】先根据分式的加减乘除混合运算进行化简,再根据分式有意义的条件选择合适的x 的值,代入计算即可解:()()222222121121111x x x x x x x x x x x x x +++÷-=⋅-++++++()()()22222111x x x x x x x x +=-=+++.∵0x ≠且1x ≠-,∴取1x =代入上式,原式1=.【点拨】本题考查分式的化简求值,解题的关键是掌握分式的加减乘除混合运算,正确化简.29.(1)−1(2) 1xx -【分析】(1)根据同分母分式的减法法则进行计算即可;(2)先计算括号内的,再把除法转换为乘法,再进行约分即可得到答案.解:(1)2y x y x y y x -+--2y x y x y x y-=---y xx y-=-=−1;(2)1211x x x -⎛⎫-÷ ⎪-⎝⎭11=11x x x -⎛⎫- ⎪--⎝⎭2x x -÷2·1x x -=-2x x -1xx =-【点拨】本题主要考查了分式的混合运算,熟练掌握运算法则是解答本题的关键.30.33x x +,310【分析】先对分式通分、因式分解、约分等化简,化成最简分式,后代入求值.解:2395222x x x x x -⎛⎫÷+- --⎝⎭=()()()33225222x x x x x x x -+-⎛⎫÷- ⎪---⎝⎭=()()()333322x x x x x x -+-÷--=()()()332233x x x x x x --⨯-+-=33x x +,当13x =时,33x x +=133311033⨯=+.【点拨】本题考查了分式的化简求值,运用因式分解,通分,约分等技巧化简是解题的关键.31.(1)24a a +(2)1【分析】(1)首先算括号内的及进行因式分解,再把除法运算变为乘法运算,即可求得结果;(2)由题意得24a a =+,再把此式代入化简后的式子,即可求得结果.(1)解:22381631a a a a a a ++⎛⎫+-÷ ⎪++⎝⎭()()224411a a a a a a ++=÷++()()()24114a a a a a a ++=⨯++24a a =+;(2)解:由410a a--=,得24a a =+,所以,原式22214a a a a ===+.【点拨】本题考查了分式的混合运算,代数式求值问题,准确计算是解决本题的关键.32.1x,3【分析】先对分式通分、因式分解、约分等化简,化成最简分式,后代入求值.解:2291(333x x x x x---+ =()29133x x x x -⨯-+=()()()33133x x x x x -+⨯-+=1x ,当13x =时,1x =1313=.【点拨】本题考查了分式的化简求值,运用因式分解,通分,约分等技巧化简是解题的关键.33.11m -;1【分析】先对分式通分、因式分解、约分等化简,化成最简分式,后代入求值.解:22111m m m m +-⎛⎫-÷ ⎪⎝⎭=()()2111m m m m m m -+⎛⎫⨯ ⎪+-⎝⎭=()()111m m m m m +⨯+-=11m -,当2m =时,111121m ==--.【点拨】本题考查了分式的化简求值,运用因式分解,通分,约分等技巧化简是解题的关键.34.(1)223x x +-,2022;(2)22m m -+,当3m =时,原式3=-;【分析】(1)将括号内通分,然后运用平方差公式和完全平方公式进行分式化简,再代入计算即可;(2)将括号内通分,然后运用平方差公式和完全平方公式进行分式化简,由20m -≠,40m -≠确定m 的值再代入计算即可.(1)解:2220250x x +-= ,222025x x ∴+=,22913321x x x x x x ⎛⎫-+÷ ⎪---+⎝⎭()2291331x x x x x ⎛⎫-=-÷ ⎪---⎝⎭()2219·31x x x x --=--()()()2331·31x x x x x +--=--()()31x x =+-223x x =+-,当222025x x +=时,原式20253=-2022=;(2)24442244m m m m m m --⎛⎫--÷ ⎪--+⎝⎭()24442244m m m m m m --⎡⎤=-+÷⎢⎥--+⎣⎦()()()222444222m m m m m m m ⎡⎤+---=-÷⎢⎥---⎣⎦()222444224m m m m m m -⎛⎫--=-⨯ ⎪---⎝⎭()22244424m m m m m ---+=⨯--()()24224m m m m m --=⨯--()2m m =--22m m =-+,20m -≠ ,40m -≠,2m ∴≠,4m ≠,当3m =时,原式2323=-+⨯3=-.【点拨】本题考查了分式的化简求值;灵活运用公式正确化简求值即可.35.m n m n -+,15【分析】先通分,再加减,化简后,再代入求值即可.解:2222m n n n m n m n m -++--=222()()2()()m mn mn n n m n m n --+++-=2()()m n m n m n -+-()=m n m n-+.当2m =,3n =时原式=321325-==+.【点拨】本题考查的是分式的化简求值、有理数的混合运算.解题的关键是熟记有理数的混合运算顺序,运算时需要注意符号.36.2x y x y ++,53【分析】利用公式法进行因式分解,然后根据分式的混合运算法则化简,最后代入计算即可.解:原式2(2)(2)2=()2x y x y x y x y x y x y x y+-++⋅=+-+,将1x =,2y =时,原式1225123+⨯==+.【点拨】本题主要考查了分式化简求值,熟练掌握相关运算法则是解题关键.37.(1)1a ,1(2)21x +,23【分析】(1)根据平方差公式和提取对分式进行化解,再代入求值即可;(2)将分式进行通分化解,将除法换算成乘法,即可对分式进行化解,代入求值即可.(1)解:224()2122a a a a a---+ 222412a a aa =-+-()(2)(2)212a a a a a +-=-+ 1a=当1a =时,原式1=;(2)解:26435()111x x x x ++÷---()()6(1)411135x x x x x ++=⨯--++1635101x x x =⨯+++21x =+当2x =时,原式22213==+.【点拨】本题考查分式的化简求值,解题的关键是熟练掌握平方差公式的应用.38.4a ,12【分析】原式括号中两项通分并利用同分母分式的减法法则计算,约分得到最简结果,把a 的值代入计算即可求出值.解:原式()2213221a a a a a a a --⎛⎫=++⋅ ⎪---⎝⎭()21321a a a a a a --=+⋅--3a a=+4a =,把3a =代入得:原式43=⨯12=.【点拨】本题主要考查了分式的化简求值,解题的关键是掌握分式混合运算顺序和运算法则.39.1x x --;0【分析】先计算括号内的分式的减法,再把除法化为乘法,约分后得到化简的结果,再确定使分式有意义的x 的整数值,代入计算即可.解:2221121x x x x x x ⎛⎫--÷ ⎪+++⎝⎭()()()2221111x x x x x x x +--=++- ()()()21111x x x x x +-=++- 1xx =--∵22x -<<,x 为整数,且1x ≠,1x ≠-∴0x =,∴原式0=.【点拨】本题考查的是分式的化简求值,分式有意义的条件,掌握“分式的混合运算的运算顺序”是解本题的关键.40.122a +,4【分析】先根据分式的加减运算法则计算括号内,再将除法转化为乘法进行分式乘法运算进行化简原式,再代值求解即可.解:2212111a a a a +⎛⎫-÷ ⎪---⎝⎭()()()211211a a a a a +-+-=⋅+-21112a a a +--=⋅+1112a =⋅+()121a =+122a =+,当1a =时,原式4==.【点拨】本题考查分式的化简求值,熟记平方差公式,掌握分式的混合运算法则和运算顺序,正确求解是解答的关键.41.2a a b-;2-【分析】先算括号内的减法,再把除法转化为乘法来做,通过分解因式,约分化为最简,最后把数代入计算.解:原式=(()22a a a b a b ---)÷(()()2a a a b a b a b -++-)+1()()()()()222a a b a a a b a a b a b a b ----=÷++--1()()()()()222a a b a a b a b a a b a a b --+-=⨯+---1a b a b +=+-12a a b=-,当12a b ==,时,原式2212==--.【点拨】此题考查的是分式的除法和减法的混合运算,有括号的先算括号,还要注意符号的变化.42.22x x -+;15【分析】根据分式混合运算法则进行化简,然后再解方程得出x 的值,最后代入数据求值即可.解:原式22(2)13111x x x x x ⎛⎫--=÷- ⎪---⎝⎭22(2)411x x x x --=÷--2(2)11(2)(2)x x x x x --=⨯-+-22x x -=+,∵11(3)32x x -=-,∴2639x x -=-,解得:3x =,将3x =代入上式得:23212325x x --==++.【点拨】本题主要考查了分式化简求值,解一元一次方程,解题的关键是熟练掌握分式混合运算法则,准确计算.43.(1)22x x -+;0(2)11x x -+;13【分析】(1)直接利用整式的混合运算法则化简,进而把x 的值代入得出答案;(2)将分式中能分解因式的进行因式分解,再化简求出答案.(1)解:原式=()3223x x x x x --+-,=3232x x x x x ---+,22x x =-+,当12x =时,原式2112022⎛⎫=-⨯+= ⎪⎝⎭.(2)解:221112111x x x x x x x-+-÷⋅-+-+,2(1)(1)11(1)11x x x x x x x +---=⋅-++ ,11x x-=+;把12x =代入上式得∶原式1112;1312-==+【点拨】此题主要考查了整式及分式的化简求值,正确分解因式进而化简分式是解题关键.44.11x x -+,2【分析】先根据分式的混合运算化简,然后求得不等式的整式解,代入化简结果进行计算即可求解.解:原式()()2342221121x x x x x x x +--+=÷+--+=22(1)(1)(1)2x x x x x +-⋅+-+=11x x -+解不等式组40251x x +>⎧⎨+<⎩得:4-<x 2<-.其整数解为:x 3=-.当x 3=-时,原式=3131---+2=【点拨】本题考查了分式的化简求值,求一元一次不等式组的整数解,正确的计算是解题的关键.45.1134x +,【分析】先根据分式混合运算的法则把原式进行化简,再选出合适的x 的值代入进行计算即可.解:35222x x x x -⎛⎫÷-- ⎪--⎝⎭()35222x x x x 轾-=¸-+犏犏--臌()()2235222x x x x x x 轾+--犏=¸-犏---臌()254322x x x x 轾---犏=¸犏--犏臌()()32233x x x x x --=´--+13x =+.当1x =时,原始14=.【点拨】本题考查了分式的化简求值,分式有意义的条件.解题的关键在于熟练掌握完全平方公式与通分.46.(1)12x -+;(2)12a -,1.【分析】(1)根据分式的四则运算求解即可;(2)根据分式的四则运算进行化简,然后代数求解即可.解:(1)()()31121x x x x -+-+-()()()()()()()()()2123121212x x x x x x x x x x +-+=-+-+-+-+()()2232212x x x x x x --++-=-+()()112xx x -=-+12x =-+(2)2111442a a a a -⎛⎫÷+ -+-⎝⎭()21122a a a a --⎛⎫=÷ ⎪-⎝⎭-()21212a a a a --⎛⎫=⨯ ⎪-⎝⎭-12a =-,由题意可得:20a -≠,10a -≠∴1a ≠,2a ≠将3a =代入得,原式1132==-.【点拨】此题考查了分式的四则运算,化简求值,解题的关键是熟练掌握分式的四则运算以及分式的有关知识.47.(1)44y x -;(2)26a -;选择0a =时,266a -=-;选择1a =时,264a -=-【分析】(1)先算乘方,然后根据分式乘法运算法则进行计算即可;(2)先根据分式混合运算法则进行化简,然后再代入合适的数,求值即可.解:(1)2322y x x y ⎛⎫⎛⎫-⨯- ⎪ ⎪⎝⎭⎝⎭32624y x x y =-⨯44y x =-;(2)22111369a a a a a a ⎛⎫-+--÷ ⎪--+⎝⎭()()()221311333a a a a a a a +-⎡⎤-+=-÷⎢⎥---⎣⎦()222312331a a a a a a ---++=⋅-+()()221331a a a a +-=⋅-+()23a =-26a =-,∵30a -≠,10a +≠,∴3a ≠,1a ≠-,如果选择0a =,则原式2066=⨯-=-;如果选择1a =,则原式2164=⨯-=-.【点拨】本题主要考查了分式化简求值,分式有意义的条件,解题的关键是熟练掌握分式混合运算法则,准确计算.48.225,2x x x x ----2-【分析】先根据230x x --=,得到23-=x x ,再将2112x x x +-+-变形为22412x x x x -----,。
分式的化简求值练习50题1、先化简,再求值:(1﹣)÷,其中12x =.2、先化简,再求值:2121(1)1a a a a++-+,其中1a =.3、先化简,再求值:22(1)2()11x xx x x+÷---,其中x =4、先化简,再求值:211(1)x x x -+÷,其中12x =5先化简,再求值22122()121x x x xx x x x ----÷+++,其中x 满足x 2﹣x ﹣1=0.6、先化简22144(1)11x x x x -+-÷--,然后从-2≤x ≤2的范围内选取一个合适的整数作为x 的值代入求值.7、先化简,再求值:2222211221a a a a a a a a -+--÷+++,其中2a =a .8、先化简211111x x x x -÷-+-(),再从﹣1、0、1三个数中,选择一个你认为合适的数作为x 的值代入求值.9、先化简,再求值:2(1)11x xx x +÷--,其中x =2.10、先化简,再求值:231839x x ---,其中3x =。
11、先化简242()222x x x x x++÷--,再从2,﹣2,1,0,﹣1中选择一个合适的数进行计算..12、先化简,再求值:21(2)1x x x x---,其中x =2.13、先化简,再求值:211()1211x xx x x x++÷--+-,其中x =14、先化简22()5525x x xx x x -÷---,然后从不等组23212x x --≤⎧⎨<⎩的解集中,选一个你认为符合题意的x 的值代入求值.15、先化简,再求值:62296422+-÷++-a a a a a ,其中5-=a .16、先化简,再求值:232()111x x x x x x--÷+--,其中x =.17、先化简。
提升课堂托辅中心初二数学分式计算化简解答精选100题2013年1月25日一、填空1当1x 时,_________112xx ;当x 、y 满足时,)(3)(2y xy x 的值为32。
2当_____x 时,x11的值为负数;当x时,分式21612xx 的值为非负数。
3分式xx 212中,当____x时,分式没有意义,当____x时,分式的值为零。
4当____x 时,23xx 无意义,当x 、y 满足时,分式xyyx 的值为零。
5若分式yxxy 中x 、y 都扩大3倍,则分式值;若xy x 23中x 、y 都缩小12倍,则分式值。
6当____x 时,分式8x 32x 无意义;若分式2x 1x 有意义,则x 应满足。
7若1233215,7xyzxyz,则111xyz;若x +y =-1,则_____222xyy x。
8当m=_____时,分式23)3)(1(2m mm m 的值为0;当m=__ ___时,分式无意义。
9已知yx11=3,则分式yxy xy xy x 2232= ;若x 2+xy+y 2=O ,则xy +yx =。
10若分式13-x的值为整数,则整数x=;若14x 为整数时,x 的值共有个。
11若非零实数a ,b 满足4a 2+b 2=4ab ,则ab =_____;若实数x 满足4x 2-4x +l=O ,则2x +x21=_______。
12若x +x1=3,则2x +21x=,4x +41x =;若01x 4x2则______122xx。
13已知a 2-6a+9与|b -1|互为相反数,则(ab ba )÷(a +b )=______。
14、用科学计数法表示:0000012.0米=米。
二、选择题1下列式子yxyxy x 122;cab a aca b ;1baa b ;yxy x yxy x 中正确的是()A 、1个B 、2 个C 、 3 个D 、 4 个2能使分式122xx x值为零的x 值是()A0x B 1x C 0x 或1x D 0x 或1x3下列说法(1)分式的分子、分母都乘以(或除以)2a ,分式值不变;(2)分式y83的值能等于零;(3)12xx的最小值为零;其中正确的说法有()A 1个 B2 个 C 3个 D 4 个4已知0x,x x x31211等于() Ax 21 Bx61 Cx 65 Dx 6115下列x y xy,3xy y ,-310,25y,3x,4x xy,xx x xy xx x 2225,1,2,34,151中,分式有()A .4B .5C .6D .76下列分式221x x x ,22x y x y,11x x ,2222x y xy,最简分式有()个A. 4 B. 3 C. 2 D. 17计算)21(22xxx 的结果为()A .x B .x 1 C .x1D .x x 28下面各式,正确的是()A. 326xxxB. ba cb c aC. 1bab a9分式xx x x35352变形成立条件是()A 、x <0 B 、x >0 C 、x ≠0 D 、x ≠0且x ≠310不改变分式23.015.0x x 值,把分子和分母中各项系数都化为整数,结果为()A、2315x x B、203105xx C 、2312x x D 、2032x x 11下列等式中不成立的是()A 、yxy x22=x -y B 、y x yxyxy x222 Cyxyxyxxy 2D 、xyx yyx xy 2212如果从一卷粗细均匀的电线上截取1米长的电线, 称得它的质量为a 克,再称得剩余电线的质量为b克, 那么原来这卷电线的总长度是 ( )A .b+1a米 B.(ba +1)米 C .(a+b a +1)米 D .(ab+1)米13已知a ,b 为实数,且ab=1,设M=11bb a a ,N=1111ba,则M ,N 的大小关系是()A 、M>N B、M=N C 、M<N D 、不确定14下列分式的运算中,其中结果正确的是()A 、a1+bab21 B 、323)(a aa C 、bab a22=a+b D 、319632aaaa 15当x 为任意实数时,下列分式一定有意义的是()A .212xB .122xC .22x D .21x16已知两个分式:244Ax,1122Bxx,其中2x ,则A 与B 的关系是 4A.相等B.互为倒数C.互为相反数D.A 大于 B17下列分式的运算中,其中结果正确的是()A 、a 1+ba b21 B 、323)(a aa C 、bab a22=a+b D 、319632a a aa 18下列各式从左到右的变形正确的是()A.122122xy x y xyx yB.0.220.22a b a b ab abC.11x x xyxyD.a b a b a bab19当x 为任意实数时,下列分式一定有意义的是()A .212xB .122xC .22xD .21x20若有m 人a 天完成某项工程,则(m+n )个同样工作效率的人完成这项工程需要的天数是()A 、a+m B、nmma C、nma D 、manm 21在一段坡路,小明骑自行车上坡的速度为每小时V 1千米,下坡时的速度为每小时V 2千米,则他在这段路上、下坡的平均速度是每小时()。
初二分式的化简求值练习题化简分式是初中数学中重要的基础知识之一,对于初二学生来说,熟练掌握化简分式的方法和技巧是非常重要的。
本文将介绍一些初二分式的化简求值练习题,并提供详细的解题步骤和方法,帮助同学们更好地理解和掌握相关知识。
1. 化简分式 $\frac{3x^2-8}{6x^2-18x+12}$解析:首先,我们观察分子和分母的因式,发现它们都可以因式分解为$3(x-2)(x+1)$和$6(x-1)(x-2)$。
将分子和分母进行因式分解后,化简分式为:$\frac{3x^2-8}{6x^2-18x+12}=\frac{3(x-2)(x+1)}{6(x-1)(x-2)}$然后,我们可以将分子和分母进行约分,消去公共因式$(x-2)$,得到最简形式的分式:$\frac{3(x+1)}{6(x-1)}=\frac{1}{2}\cdot\frac{x+1}{x-1}$所以,化简后的分式为$\frac{1}{2}\cdot\frac{x+1}{x-1}$。
2. 求值分式 $\frac{2x+1}{3}-\frac{5x+2}{2}$,其中$x=4$解析:将$x=4$代入分式中,得到:$\frac{2(4)+1}{3}-\frac{5(4)+2}{2}$计算分子和分母的值,化简分式为:$\frac{9}{3}-\frac{22}{2}$然后,我们可以对分式进行通分,得到同分母的分式:$\frac{9}{3}-\frac{22}{2}=\frac{9\cdot2}{3\cdot2}-\frac{22\cdot3}{2\cdot3}$继续化简分式,得到:$\frac{18}{6}-\frac{66}{6}$最后,我们可以将分式进行减法运算,得到结果:$\frac{18}{6}-\frac{66}{6}=\frac{18-66}{6}=-\frac{48}{6}=-8$所以,当$x=4$时,求值分式的结果为$-8$。
1.先化简,再求值:12112---x x ,其中x =-2.2、先化简,再求值:,其中a=﹣1.3、先化简,再求值:,其中x=.4、先化简,再求值:,其中.5先化简,再求值,其中x 满足x 2﹣x ﹣1=0.6、化简:ba b a ba b 3a -++--7、先化简,再求值:,其中a=.8、先化简211111x x x x -÷-+-(),再从﹣1、0、1三个数中,选择一个你认为合适的数作为x 的值代入求值. 9、先化简,再求值:(+1)÷,其中x=2.10、先化简,再求值:–,其中x =–311、先化简下列式子,再从2,﹣2,1,0,﹣1中选择一个合适的数进行计算..12、先化简,再求值:12-x x (xx 1--2),其中x =2。
13、先化简,再求值:,其中.14、先化简22()5525x x xx x x -÷---,然后从不等组23212x x --≤⎧⎨<⎩的解集中,选取一个你认为符合题意的x 的值代入求值.15、先化简,再求值:62296422+-÷++-a a a a a ,其中5-=a .16、先化简,再求值:232()111x x x x x x --÷+--,其中32x =. 17、先化简。
再求值:2222121111a a a a a a a +-+⋅---+,其中12a =-。
18.先化简,再求值:)÷,其中x =-5.19. 先化简再计算:22121x x x x x x --⎛⎫÷- ⎪+⎝⎭,其中x 是一元二次方程2220xx --=的正数根.20化简,求值:111(11222+---÷-+-m m m m m m ),其中m =3.21、(1)化简:÷.(2)化简:22a b ab b a (a b )a a ⎛⎫--÷-≠ ⎪⎝⎭22、先化简,再求值:,其中.23请你先化简分式2223691,x 1211x x x x x x x +++÷+--++再取恰的的值代入求值. 24、先化简再求值()121112222+--++÷-+a a a a a a 其中a=3+125、化简,其中5-=a26.先化简,再求值:(-2)÷,其中x =-4. 27、先化简,再求值:÷-,其中x =2。
初二数学分式化简练习题一、基础练习题1. 化简下列分式:(1)$\frac{12x^2y^3}{6xy^2}$(2)$\frac{24x^2}{4xy}$(3)$\frac{3a^2b^4}{6ab}$(4)$\frac{4x^3y^2z}{2x^2z^3}$(5)$\frac{8ab^3c^2}{12b^2c}$二、综合练习题1. 化简下列分式,结果需要写成最简形式:(1)$\frac{6x^2 + 9x}{3x}$(2)$\frac{4x^3y - 2xy^2}{2xy}$(3)$\frac{15a^3bc^2 - 10abc^3}{5abc}$(4)$\frac{3x^2y^3z - 2xy^2z^2}{xyz^2}$(5)$\frac{16a^2b^3c^2 - 8ab^2c^3}{4abc^2}$三、挑战练习题1. 按照最简形式化简下列分式:(1)$\frac{a^2 + 5ab}{3a + 15b}$(2)$\frac{2x^2y^2 - 6xy}{xy - 3y^2}$(3)$\frac{2m^3n - 4mn^2}{3mn^2 - 6n^3}$(4)$\frac{x^3 + 2xy - 3x^2}{x^2 - 3xy}$(5)$\frac{3a^2b^2c - 2a^2bc^2}{abc^2 - 2ab^2c}$四、解答题1. 小明将一个正整数的平方根的倒数的平方化简为一个最简分式,结果为$\frac{3}{50}$,那么这个正整数是多少?2. 已知$a \neq 0$,将$\frac{40a^2 - 100a}{2a^2}$化简为最简分式。
3. 将$\frac{12x^2 - 4xy}{2xy}$化简为最简分式。
4. 将$\frac{3}{\frac{1}{2} - \frac{3}{x+2}}$化简为最简分式。
5. 将$\frac{(2a - b)^2 - 4(2a - b) + 4}{a^2 - b^2}$化简为最简分式。
完整版)初中数学分式计算题及答案分式计算题精选1.计算 $x+y$。
2.化简 $\dfrac{a^2+4a}{a+2}+\dfrac{2a}{a+2}$,其结果是$\dfrac{a^2+6a}{a+2}$。
3.化简 $\dfrac{x^2-4}{4x-16}$。
4.化简 $\dfrac{3x^2-15x}{6x^2-18x}$。
5.化简 $\dfrac{x^2+4x+4}{x^2-4}$。
6.计算 $\dfrac{2x-1}{x+1}+\dfrac{2x+1}{x-1}$。
7.化简 $\dfrac{a^2-1}{a^2+1}-\dfrac{a}{a+1}$。
8.化简 $\dfrac{3}{2x-2}-\dfrac{2}{3x-3}$。
9.化简 $\dfrac{a^2-4a+4}{a^2-4}-\dfrac{a-2}{a+2}$。
10.计算 $\dfrac{2}{x+1}-\dfrac{3}{x-2}$。
11.计算 $\dfrac{2x^2+5x-3}{x^2-4x+3}\div \dfrac{x^2-3x}{x^2-2x-3}$。
12.解方程$\dfrac{2}{x-1}+\dfrac{3}{x+2}=\dfrac{1}{x}$。
13.解方程 $\dfrac{2x-1}{x-2}+\dfrac{3x+1}{x+1}=4$。
14.解方程$\dfrac{x}{x+1}+\dfrac{x+1}{x}=\dfrac{10}{3}$。
15.解方程 $\dfrac{x-1}{x+2}+\dfrac{2x+1}{x-1}=0$。
16.已知 $a,b,c$ 为实数,且满足 $\dfrac{b-3}{a-b}=\dfrac{c-2}{a-c}$,求 $\dfrac{11a}{b-c}$ 的值。
17.解方程 $\dfrac{x-1}{x+1}+\dfrac{2x+3}{x-2}=\dfrac{2x-1}{x-1}$。
初中数学分式的化简求值专项训练题(精选历年60道中考题 附答案详解)1.化简求值 :22244(4)2x x x x x+--÷+,其中2x = 2.先化简、再求值:352242a a a a -⎛⎫÷-- ⎪--⎝⎭,其中a3. 3.()1化简:21111x x x ⎛⎫÷+ ⎪--⎝⎭然后选择你喜欢且符合题意的一个x 的值代入求值. ()2分解因式:22344xy x y y --4.先化简再求值:211122x x x -⎛⎫÷- ⎪++⎝⎭,其中x =135.先化简(2341x x +-﹣21x -)÷2221x x x +-+,再从﹣2,﹣1,0,1,2中选一个你认为合适的数作为x 的值代入求值.6.2316133962x x x x x x --⎛⎫÷-- ⎪+--+⎝⎭7.先化简再求值:(2221244x x x x x x ---+++)÷42x x -+,其中x =(﹣1)0. 8.先化简,再求值:22214244a a a a a a a a +--⎛⎫-÷⎪--+⎝⎭,其中3a =. 9.先化简,再求值: 2295(2)242y y y y y -÷----,其中y =. 10.先化简,再求值:(2241x x x -+-+2-x)÷2441x x x++-,其中x-2. 11.化简求值:22111m m m m +-⎛⎫-÷ ⎪⎝⎭,其中m12.(1)计算:22214()244x x x x x x x x+---÷--+; (2)解分式方程:1121x x x -=+-. 13.(1)化简2422x x x+-- (2)先化简,再求值221111x x x ⎛⎫÷+ ⎪--⎝⎭,其中x 为整数且满足不等式组11622x x --⎧⎨+≥⎩>.14.先化简,再求值:(11x +﹣1)÷21x x -,其中x =2 15.(1)化简:2112x x x x x ⎛⎫++÷- ⎪⎝⎭; (2)化简分式:2221121x x x x x x x x -⎛⎫-÷ ⎪---+⎝⎭,并从13x -≤≤中选一个你认为适合的整数x 代人求值.16.先化简,再求值:211()1211x x x x x x ++÷--+-,其中x=3. 17.先化简,再求值:(522a a -++a ﹣2)÷22a a a -+,其中a =2+1. 18.如图,作业本上有这样一道填空题,其中有一部分被墨水污染了,若该题化简的结果为1x 3+.(1)求被墨水污染的部分;(2)原分式的值能等于17吗?为什么? 19.先化简,再求值:2211()3369x x x x x x --÷---+,其中x 满足240x +=. 20.先化简再求值2221111a a a a a --⎛⎫÷-- ⎪-+⎝⎭,其中a 是方程x 2-x =2017的解. 21.化简求值:22a 2ab b 2a 2b-+÷-(11b a -),其中a 2=1,b 2=1. 22.(1)解方程 :21124x x x -=-- (2)先化简,再求值:22112()2a a b a b a ab b+÷+--+,其中269a a -+与|1|b -互为相反数. 23.先化简,再求值:(1﹣11a -)÷2244a a a a-+-,其中2.24.先化简,再求值:2221111a a a a a ⎛⎫++-÷ ⎪--⎝⎭,其中a =﹣3. 25.(1)计算:23(3)3x x x x--- (2)计算:22111121x x x x x x x ++⎛⎫+÷ ⎪---+⎝⎭ (3)先化简,再求值: 已知a b =3,求222443a ab b b a b a b a b ⎛⎫++÷-- ⎪--⎝⎭的值. 26.计算:(1)2111a a a a -++-; (2)2222421121a a a a a a a ---÷+--+; (3)先化简再求值:(132x -+)212x x x -÷+-,其中x 是﹣2,1,2中的一个数值. 27.先化简,再求值:2221()211a a a a a a+÷--+-,其中a 是方程2230x x +-=的解. 28.先化简,再求代数式214(1)33x x x -+÷--的值,其中3tan 3022cos 45x =- 29.()1解方程:28124x x x -=-- ()2先化简后求值2221412211a a a a a a --⋅÷+-+-,其中a 满足20a a -= 30.若13x x +=,求: (1)221x x+的值; (2)1x x-的值; (3)221x x -的值. 31.先化简再求值:221111x x x x ⎛⎫-÷ ⎪-+-⎝⎭,其中3x =-.32.先化简,再求值:233()111a a a a a -+÷--+,其中. 33.先化简,再求值22111211a a a a -⎛⎫÷+ ⎪-+-⎝⎭,其中a =2.34.先化简再求值:22221111x x x x x x --⎛⎫÷-- ⎪-+⎝⎭,其中x 是不等式组30223x x x +>⎧⎪-⎨<+⎪⎩的最大整数解.35.(1)先化简22121211x x x x x ÷---++,然后从-1,0,2中选一个合适的x 的值,代入求值. (2)解不等式组3(2)2513212x x x x +>+⎧⎪⎨+-<⎪⎩36.先化简,再取一个你喜欢的x 的值带入并求值21211()()111x x x x x x +⨯--+-+ 37.先化简,再求值:2282442x x x x x ⎛⎫÷-- ⎪-+-⎝⎭,其中2x ≠. 38.已知,求的值.39.化简:222524(1)244x x x x x x -+-+÷+++,并求当=-123x 40.先化简,再求值:265222x x x x -⎛⎫÷-- ⎪--⎝⎭,其中x =﹣1. 41.先化简,再求值:2112111x x x x +⎛⎫-÷⎪-+-⎝⎭,其中x 满足240x -=. 42.先化简(22444a a a -+-﹣2a a +)÷12a a -+,再从a ≤2的非负整数解中选一个适合的整数代入求值.43.先化简,再求值:2222444x x x x x x x--+-÷-,其中1x =. 44.化简求值:2121(1)m m m m--+÷,从-1,0, 1,2中选一个你认为合适的m 值代入求值.45.(1)计算:()()322423523a a a a ⎡⎤⋅+-÷⎢⎥⎣⎦; (2)先化简,再求值:524223x x x x-⎛⎫++⋅ ⎪--⎝⎭,其中5x =.46.(1)先化简,再求值:24512111a a a a a a -⎛⎫⎛⎫+-÷- ⎪ ⎪---⎝⎭⎝⎭,其中4a = (2)解分式方程:28142y y y +=-- 47.先化简,再求值.(1﹣32x +)÷212x x -+的值,其中x=2.48.化简求值:244()33x x x x x ---÷--,其中-249.先化简,再求值:222a b 2ab b a a a ⎛⎫--÷- ⎪⎝⎭,其中,a 1b 1=+=. 50.先化简,再求值:223232442x x x x x x -⎛⎫-÷ ⎪--+-⎝⎭,其中3x =. 51.先化简,再求值22214244a a a a a a a a +--⎛⎫+÷⎪--+⎝⎭并从04a ≤≤中选取合适的整数代入求值. 52.先化简,再求值:23(1)11x x x x -÷----,其中1x =- 53.化简并求值:2x+221x 111x x x --÷+--,其中x=﹣3. 54.先化简,再求值:(1)()223(2)(2)844a b a b a b ab ab +---÷其中2,1a b ==(2)22224242x x x x x x --⎛⎫÷-- ⎪-+⎝⎭其中3x =. 55.先化简,再求值231(1)22x x x --÷++的值,其中2sin 45x ︒=︒.56.先化简,再求值:22(1)x y x y x y -÷--,其中x 2,y =11()2-. 57.先化简再求值2324()422x x x x x --÷---,其中x=3tan30°-4cos60°. 58.先化简,再求值:2443111a a a a a -+⎛⎫÷-+ ⎪++⎝⎭,其中3a =. 59.化简分式222x x x x x 1x 1x 2x+1-⎛⎫-÷ ⎪---⎝⎭,并从﹣1≤x≤3中选一个你认为合适的整数x 代入求值.60.(1)解方程:2236111x x x +=+-- (2)计算:3a(2a 2-9a+3)-4a(2a-1)(3)计算:(×(-1|+(5-2π)0(4)先化简,再求值:(xy 2+x 2y )222222x x y x xy y x y ⋅÷++-,其中,y=2.参考答案 1.2x -;2.【解析】 【分析】 原式括号中两项通分并利用同分母分式的减法法则计算,现时利用除法法则变形,约分得到最简结果,再把x 的值代入计算即可.【详解】22244(4)2x x x x x+--÷+ =244(2)(2)(2)x x x x x x x +-+-÷+ =2(2)(2)(2)(2)x x x x x x -+⨯+- =2x -; 当22x =+时,原式=2222+-=.【点睛】此题考查了分式的化简求值,熟练掌握运算法则是解本题的关键.2.1-2(3+a),【解析】【详解】解:原式=35(2)(2)2(2)22a a a a a a ⎡⎤--+⎛⎫÷- ⎪⎢⎥---⎝⎭⎣⎦322(2)(3)(3)12(3)a a a a a a --=-⋅--+=-+ 当33时,原式=3-3.(1)11x+,取x=2,得原分式的值为13(答案不唯一);(2)-y(2x-y)2.【解析】【分析】(1)先根据分式的运算法则进行化简,再选一个使原分式有意义的x的值代入求值即可;(2)先提取公因式,再利用完全平方公式进行二次分解即可.【详解】解:(1)原式=1111 (1)(1)1(1)(1)1x x x xx x x x x x x-+-÷=⨯= +--+-+,取x=2代入上式得,原式11213==+.(答案不唯一)(2)原式=y(4xy-4x2-y2)=-y(2x-y)2.【点睛】本题考查分式的化简求值以及因式分解,掌握基本运算法则和乘法公式是解题的关键.4.化简的结果是1x-;2 3 -.【解析】【分析】先计算括号里的减法,将21x-进行因式分解,再将除法运算化为乘法运算,约分得到最简结果,将x的值代入计算即可求出值.【详解】解:211122xx x-⎛⎫÷-⎪++⎝⎭=(1)(1)122x x xx x-++÷++=(1)(1)221x x xx x-++⋅++=1x-,当x=13时,原式=113-=23-【点睛】此题考查了分式的化简求值,以及解分式方程,分式的加减运算关键是通分,通分的关键是找最简公分母;分式的乘除运算关键是约分,约分的关键是找公因式.5.原式=11xx-+,当x=0时,原式=﹣1.【解析】【分析】括号内先通分进行分式的加减法运算,然后再进行分式的除法运算,最后选择使分式的意义的x 的值代入进行计算即可得.【详解】原式=()()()()()23422211111x x x x x x x x ⎡⎤+++-÷⎢⎥+-+--⎢⎥⎣⎦ =()()()212·112x x x x x -++-+ =11x x -+, ∵x≠±1且x≠﹣2,∴x 只能取0或2,当x=0时,原式=﹣1.【点睛】本题考查了分式的化简求值,熟练掌握分式混合运算的运算顺序以及运算法则是解题的关键.6.2-【解析】【分析】先算括号内分式的减法,得()()269233x x x x -+-+-,根据完全平方公式化简得()()()23233x x x --+-,再根据分式的除法法则计算即可.【详解】 2316133962x x x x x x --⎛⎫÷-- ⎪+--+⎝⎭ ()()232612433233x x x x x x x -+--+-=÷++- ()()23693233x x x x x x --+-=÷++-()()()2333233x x x x x ---=÷++- ()()()2233333x x x x x +--=⨯+-- 2=-.【点睛】本题考查了分式的化简运算,掌握分式的运算法则以及完全平方公式是解题的关键. 7.212x x +,13【解析】【分析】直接将括号里面通分运算,再计算除法,化简后,再代入x 的值得出答案.【详解】 解:原式=2214[](2)(2)2x x x x x x x ----÷+++ =22(2)(2)(1)4[](2)(2)2x x x x x x x x x x -+---÷+++ =222244[](2)(2)2x x x x x x x x x ----÷+++ =242(2)4x x x x x -++- =1(2)x x + =212x x+ 当x =(﹣1)0=1时,原式=2111213=+⨯ 【点睛】本题主要考查分式的化简求值,掌握分式加减乘除混合运算顺序和法则是解题的关键.8.21(2)a -,1 【解析】【分析】根据分式的混合运算法则化简,再将a 的值代入化简后的式子计算即可.【详解】 解:22214244a a a a a a a a +--⎛⎫-÷ ⎪--+⎝⎭ 221(2)(2)4a a a a a a a ⎡⎤+-=-⋅⎢⎥---⎣⎦ 22(2)(2)(1)(2)(2)4a a a a a a a a a a ⎡⎤+--=-⋅⎢⎥---⎣⎦ 2224(2)4a a a a a a a --+=⋅-- 24(2)4a a a a a -=⋅-- 21(2)a =- 当3a =时,22111(2)(32)a ==--. 【点睛】 本题考查了分式的化简求值问题,解题的关键是掌握分式混合运算的法则,正确化简.9.12y 【解析】【分析】先把原式化简,化为最简后再代数求值即可.【详解】解:原式=()()3y)3y 22y y +-÷-([52y --()()222y y y +--] =()()()()3y)3y 522222y y y y y +--+-÷--(=()()()3y)3y 2223y)3y y y y +--⨯-+-(( =12y当y =时,原式=4. 【点睛】本题考查了化简求值问题,正确化简是解题的关键.10.-12x +【解析】【分析】先用乘法的分配律去括号,利用分式的加减进行化简后代入数值即可.【详解】 原式=2241x x x -+-2(1)(2)x x --+-(x -2) 2(1)(2)x x --+ =-2224(2)x x x -+++2(1)(2)(2)x x x --+ =()()2222432(2)x x x x x --++-++ =2(2)(2)x x -++ =-12x + 当x-2=-6【点睛】 本题考查的是分式的化简求值,掌握分式的运算法则和二次根式的化简是关键.11.11m --【解析】【分析】原式括号中两项通分并利用同分母分式的减法法则计算,同时利用除法法则变形,约分得到最简结果,把m 的值代入计算即可求出值.【详解】22111m m m m +-⎛⎫-÷ ⎪⎝⎭ ()()2111m m m mm m --=+- ()()111m m mm m +=-+- 11m =--当1m =时,原式===. 【点睛】本题主要考查了分式的化简求值,解题的关键是掌握分式混合运算顺序和运算法则及分式有意义的条件.12.(1)21(2)x -;(2)x =0. 【解析】【分析】 (1)原式括号中两项通分并利用同分母分式的减法法则计算,利用除法法则变形,约分即可得到结果;(2)分式方程去分母转化为整式方程,求出整式方程的解得到x 的值,经检验即可得到分式方程的解.【详解】(1)原式=[221](2)(2)4x x x x x x x +-----=2224(2)x x x x x --+-•4x x - =21(2)x -; (2)方程两边乘(x +2)(x ﹣1),得x (x ﹣1)﹣(x +2)(x ﹣1)=x +2,整理得:x 2﹣x ﹣(x 2+x ﹣2)=x +2解得,x =0,检验:当x =0时,(x +2)(x ﹣1)≠0,所以,原分式方程的解为x =0.【点睛】此题考查了解分式方程,以及分式的混合运算,熟练掌握运算法则是解本题的关键. 13.(1)x +2;(2)1x x +,当x =﹣2时,原式=2. 【解析】【分析】(1)根据分式的混合运算顺序和运算法则计算可得;(2)先根据分式的混合运算顺序和运算法则化简原式,解不等式组求出不等式组的整数解,从中找到符合分式的整数,代入计算可得.【详解】 (1)原式2422x x x =--- 242x x -=- ()()222x x x +-=- =x +2;(2)原式()()2111x x x x x =÷+-- ()()211x x x =+-•1x x-1x x =+, 解不等式组11622x x --⎧⎨+≥⎩>①②解不等式①得x <2;解不等式②得x≥-2;∴不等式组的解集是﹣2≤x <2,所以该不等式组的整数解为﹣2、﹣1、0、1,因为x ≠±1且x ≠0,所以x =﹣2, 则原式221-==-+2. 【点睛】本题主要考查分式的化简求值与解不等式组,解题的关键是熟练掌握分式的混合运算顺序和运算法则及解不等式组的能力.14.-1【解析】【分析】先对括号内的式子进行通分,再将除法转化为乘法,并对分子、分母因式分解,最后约分即可得到最简形式1-x ;接下来将x=2代入化简后的式子中进行计算即可求得答案.【详解】 解:原式=x x+x-x+1x -(1)(1) =﹣x+1当x =2时原式=﹣2+1=﹣1.【点睛】本题考查分式的混合运算,求代数式的值.在对分式进行化简时,先观察分式的特点,运用合适的运算法则进行化简. 15.(1)21x -;(2)1x x +,x=3时,34【解析】【分析】(1)根据分式的减法和除法法则即可化简题目中的式子;(2)根据分式的减法和除法可以化简题目中的式子,再从13x -≤≤中选取一个使得原分式有意义的整数代入即可解答本题.【详解】解:(1)原式221212x x x x x=+--÷ ()()122111x x x x x x +⨯=+--=; (2)原式()()()()()()()22111111111x x x x x x x x x x x x x x x +---⨯=⨯=+--+-+, 当3x =时,原式33314==+. 【点睛】本题考查了分式的化简求值,熟练掌握运算法则是解本题的关键.16.3,12x x - 【解析】【分析】根据分式的乘法和减法可以化简,然后将x 的值代入即可.【详解】2111211x x x x x x +⎛⎫+÷ ⎪--+-⎝⎭ =()()()()22111111x x x x x x ⎛⎫+-- ⎪+⨯ ⎪--⎝⎭ =()2211x x xx -⨯- =1x x -; 当x=3时,原式=33312=-. 【点睛】考查分式的化简求值,解答本题的关键是明确分式化简求值的计算方法.17.1a a-,2. 【解析】【分析】先根据分式的混合运算顺序和运算法则化简原式,再将a 的值代入计算可得.【详解】 解:原式=252422(1)a a a a a a -+-+⨯+- =2(1)22(1)a a a a a -+⨯+-=1a a -,当a +1时,=2. 【点睛】本题主要考查分式的化简求值,解题的关键是掌握分式的混合运算顺序和运算法则. 18.(1)x-4;(2)不能,见解析.【解析】试题分析:(1)设被墨水污染的部分是A ,计算即可得到结论;(2)令1137x =+,解得x =4,而当x =4时,原分式无意义,所以不能. 试题解析:解:(1)设被墨水污染的部分是A ,则2443193(3)(3)3x A x x x x x x A x ---÷=⋅=--+-+,解得:A = x -4; (2)不能,若1137x =+,则x =4,由原题可知,当x =4时,原分式无意义,所以不能. 19.31x x -+,5. 【解析】【分析】原式括号中利用同分母分式的减法法则计算,同时利用除法法则变形,约分得到最简结果,求出已知方程的解得到x 的值,代入计算即可求出值.【详解】原式=21(3)3(1)(1)x x x x x --⨯-+-=31x x -+, 由2x+4=0,得到x=﹣2,则原式=5.20.1(1)a a -,12017. 【解析】【分析】先计算括号内的分式减法,再计算分式的除法即可化简,然后根据方程的解定义得出一个关于a 的等式,最后代入求解即可.【详解】2221111a a a a a --⎛⎫÷-- ⎪-+⎝⎭ 22(1)(1)21111a a a a a a a --+-⎡⎤=÷-⎢⎥-++⎣⎦ 222121()111a a a a a a ---=÷--++ 222211a a a a a --=÷-+ 21(1)(1)(2)a a a a a a -+=⋅+-- 1(1)a a =- 因a 是方程22017x x -=的解,则22017a a -= 将其代入得,原式211(1)20171a a a a -===-. 【点睛】本题考查了分式的化简求值、一元二次方程的解定义,熟记分式的运算法则是解题关键. 21.ab 2,12 【解析】【分析】根据分式的混合运算,先化简,再代入求值,即可得到答案.【详解】原式()2(a b)a b 2a b ab--=÷- a b 2-=•ab a b- ab 2=, 当a =1,b =1时,原式)112=212-=12=. 【点睛】本题主要考查分式的化简求值,掌握分式的约分和通分,是解题的关键.22.(1)x=32-;(2)a b a b -+;12. 【解析】【分析】(1)把方程两边同时乘以最简公分母x 2-4,去分母得整式方程,解整式方程可求出x 的值,把x 的值代入最简公分母检验即可得答案;(2)先把括号内的分式通分,除式的分母因式分解,再根据分式除法法则化简得出最简结果,根据平方和绝对值的非负数性质可求出a 、b 的值,代入化简后的式子计算即可得答案.【详解】(1)21124x x x -=-- 方程两边同时乘以最简公分母x 2-4得:x(x+2)-(x 2-4)=1,整理得:2x=-3,解得:x=32-,检验:当x=32-时,x 2-4≠0, ∴x=32-是原分式方程的解. (2)22112()2a a b a b a ab b+÷+--+ =22()()()a b a b a a b a b a b -++÷+-- =22()()()2a a b a b a b a-⋅+- =a b a b-+, ∵269a a -+与|1|b -互为相反数,∴2(3)a - +|1|b -=0,∴a-3=0,b-1=0,解得:a=3,b=1,当a=3,b=1时,原式=a b a b -+=3131-+=12. 【点睛】本题考查分式的混合运算——化简求值及解分式方程,解分式方程的基本思想是转化思想,把分式方程转化成整式方程再解方程,注意最后要检验是否有增根;熟练掌握分式的混合运算法则及非负数的性质是解题关键23.原式=2a a -+1. 【解析】分析:先根据分式混合运算顺序和运算法则化简原式,再将a 的值代入计算可得. 详解:原式=211(2)(11(1)a a a a a a ---÷---) =22(1)•1(2)a a a a a ---- =2a a -当原式1=. 点睛:本题主要考查分式的混合运算,解题的关键是熟练掌握分式混合运算顺序和运算法则.24.11a +;12【解析】【分析】原式括号中两项通分并利用同分母分式的减法法则计算,同时利用除法法则变形,约分得到最简结果,把a 的值代入计算即可求出值.【详解】 解:原式=21(1)(1)11(1)1a a a a a a a -++-⋅=-++, 当a =﹣3时,原式=﹣12. 【点睛】本题主要考查了分式的混合运算,灵活的利用通分、约分进行分式的化简是解题的关键. 25.(1)22(3)x x -;(2)x ﹣1;(3)22a b b a+-,﹣5. 【解析】【分析】(1)直接通分运算进而利用分式的混合运算法则计算得出答案;(2)直接将括号里面通分进而利用分式的混合运算法则计算得出答案;(3)直接将括号里面通分进而利用分式的混合运算法则计算得出答案.【详解】解:(1)原式2223(3)(3)(3)x x x x x x +-==--; (2)原式2221(1)(1)(1)(1)1(1)(1)1(1)(1)1x x x x x x x x x x x x x +++-+-=⋅=⋅=--++-++; (3)原式222(+2)3()()(+2)2(2)(2)2a b b a a b b a b a b a b a b a b a b a b b a b a b a-----+=÷=⋅=---+--∵3a b=, ∴a =3b ,所以原式=32523b b b b +=--. 【点睛】本题考查的知识点是分式的化简求值,掌握分式化简的一般步骤以及分式的混合运算法则是解此题的关键,注意化简过程中各项的符号变化.26.(1)1;(2)21a +;(3)x ﹣1,x =2时,原式=1. 【解析】【分析】(1)先约分,再相加即可求解;(2)先因式分解,将除法变为乘法约分,再通分,相减即可求解;(3)先计算括号里面的减法,再因式分解,将除法变为乘法约分化简,再把x =2代入计算即可求解.【详解】 (1)2111a a a a -++-, =111a a a +++, =11a a ++, =1;(2)2222421121a a a a a a a ---÷+--+, =222(2)(1)1(1)(1)2a a a a a a a ---⋅++--, =22(1)11a a a a --++, =22(1)1a a a --+, =21a +; (3)(132x -+)212x x x -÷+-, =23(1)(2)21x x x x x +--+⋅+-, =x ﹣1,∵x +2≠0,x ﹣1≠0,∴x ≠﹣2,x ≠1,当x =2时,原式=2﹣1=1.【点睛】此题考查分式的混合运算及化简求值,正确将分式的分子与分母因式分解是解题的关键.27.2a a 1-,910-. 【解析】【分析】先把分式化简后,再解方程确定a 的值,最后代入求值即可.【详解】解:原式=2(1)2(1)(1)(1)a a a a a a a +--÷-- =2(1)(1)(1)1a a a a a a +-⋅-+ =2a a 1- 由2230x x +-=,得11x =,232x =-又10a -≠∴32a =-. ∴原式=23()9231012-=---. 【点睛】本题考查分式的化简求值;一元二次方程的解法,掌握计算法则正确计算是解题关键. 28.12x +,3【解析】【分析】 先去括号,再算乘法约去公约数,即可完成化简,化简3tan 3022cos 45x =-,先算三角函数值,再算乘法,再算减法,再将化简后x 的值代入原式求解即可.【详解】 原式313()33(2)(2)x x x x x x --=+•--+- 233(2)(2)x x x x x --=•-+- 12x =+当33tan 3022cos 453232x =-=⨯-=时原式3=== 【点睛】本题考查了整式的混合运算,掌握整式混合运算的法则是解题的关键.29.(1)无解;(2)22a a --,-2【解析】【分析】(1)根据解分式方程的步骤计算即可;(2)先根据分式的混合运算顺序和运算法则化简原式,再整体代入计算可得.【详解】(1)两边都乘以(x +2)(x ﹣2),得:x (x +2)﹣(x +2)(x ﹣2)=8,解得:x =2,当x =2时,(x +2)(x ﹣2)=0,∴x =2是增根,∴原分式方程无解;(2)原式12a a -=+•()()222(1)a a a +--•(a +1)(a ﹣1) =(a ﹣2)(a +1)=a 2﹣a ﹣2.当a 2﹣a =0时,原式=﹣2.【点睛】本题考查了分式的化简求值,解答本题的关键是掌握分式的混合运算顺序和运算法则及解分式方程的步骤.30.(1)2217x x +=;(2)1x x -=(3)221x x -=±. 【解析】【分析】(1)利用完全平方公式对已知等式变形,即可求得答案;(2)利用(1)的结论运用配方法即可求得;(3)利用(2)的结论结合已知等式,运用平方差公式即可求解.【详解】(1)∵13x x+=, ∴219x x ⎛⎫+= ⎪⎝⎭, 整理,得,22129x x ++=, ∴2217x x +=; (2)由(1)知2217x x+=, ∴22125x x +-=,即215x x ⎛⎫-= ⎪⎝⎭,∴1x x-=(3)∵1x x -=13x x +=,∴11x x x x ⎛⎫⎛⎫-⋅+=± ⎪ ⎪⎝⎭⎝⎭即221x x-=±; 【点睛】本题考查了分式的化简求值,熟练掌握并灵活运用完全平方公式、平方差公式进行变形是解本题的关键.31.3x x+;0. 【解析】【分析】原式括号中两项通分并利用同分母分式的减法法则计算,同时利用除法法则变形,约分得到最简结果,将x 的值代入计算即可求出值.【详解】221111x x x x ⎛⎫-÷ ⎪-+-⎝⎭ ()()()()()()()()211111111x x x x x x x x x ⎡⎤+-+-=-⋅⎢⎥+-+-⎣⎦()()()()()()2111111x x x x x x x +--+-=⋅+- 221x x x+-+= 3x x+=; 当3x =-时, 原式3303-+==-. 【点睛】本题考查了分式的化简求值,熟练掌握运算法则是解本题的关键.32.【解析】【分析】根据分式的运算法则即可求出答案.【详解】当时,原式=()()333111a a a a a a++-+⨯-+ =()()4111a a a a a+⨯-+ =41a -.【点睛】本题考查分式的运算,解题的关键的是熟练运用分式的运算法则.33.1a a +;32. 【解析】【分析】原式括号中的两项通分并利用同分母分式的加法法则计算,同时利用除法法则变形,约分得到最简结果,把a 的值代入计算即可求出值.【详解】解:原式=2(1)(1)(1)a a a +--÷1a a - =2(1)(1)(1)a a a +--•1a a - =1a a+, 当a =2时,原式=32. 【点睛】本题考查的是分式的化简求值,熟知分式混合运算的法则是解答此题的关键.34.13-【解析】【分析】先将分式化简,再求出不等式组,利用分式有意义时分母不等于0,求出x 的值代入即可解题.【详解】 解:原式2(2)121(1)1(1)x x x x x x x ⎛⎫---+=÷ ⎪+⎝-⎭+(1)(1)(2)x x x x =•+-- =11x - ∵x 2﹣1≠0,x ﹣2≠0,x≠0∴x≠±1且x≠2,且x≠0解不等式组,得﹣3<x≤2,则x 整数解为x =﹣2,﹣1,0,1,2,∴x =﹣2 原式=13-.【点睛】本题考查了分式方程的化简求值,不等式组的求解,中等难度,正确化简并利用分式有意义的条件求出x 的值代入是解题关键.35.(1)1x-,12-;(2)13x 【解析】【分析】(1)根据分式的各个运算法则化简,然后选择一个使原分式有意义的x 的值代入即可;(2)根据不等式的基本性质解不等式组即可.【详解】 (1)原式=21(1)2(1)(1)1x x x x x -⋅-+-+ 12(1)(1)x x x x x x -=-++ (1)(1)x x x -+=+ 1x=- 根据原分式有意义的条件:1,0x ≠±当2x =时,原式=12-(2)13212x x ⎪⎨+-<⎪⎩② 解①得,1x >解②得,3x <∴该不等式组的解集为13x【点睛】此题考查的是分式的化简求值题和解不等式组,掌握分式的各个运算法则和不等式的基本性质是解决此题的关键. 36.224421x x x ---,x=2时值为2. 【解析】【分析】先对分式进行化简,要是分式有意义,则需要使在整个运算过程中的分母不为0,取值时避开这些使分母为0的数即可.【详解】 解:原式2221211=+111x x x x x x x x ++-⎛⎫⎛⎫⨯-- ⎪ ⎪--⎝⎭⎝⎭ ()()()()()()()()()()()()22222122=+1111421114211141211114421x x x x x x x x x x x x x x x x x x x x x x x x x +⎛⎫⨯- ⎪+-⎝⎭+=⨯-+-+=-++--=-+-+---=- 要使分式有意义,则x ≠0,1,-1则当=2x 时,代入得2244244422=2141x x x --⨯-⨯-=--【点睛】 本题主要考查的是分式的化简求值以及使分式有意义的条件,掌握这两个知识点并正确的运用是解题的关键. 37.22x -,12- 【解析】 【分析】先化简括号内的式子,再根据分式的除法进行计算即可化简原式,然后将2x =-代入化简后的式子即可解答本题. 【详解】 解:原式228(2)(2)(2)22x x x x x x ⎡⎤+-=÷-⎢⎥---⎣⎦22284(2)2x x x x -+=÷-- 282(2)4x x -=⋅- =22x -. ∵2x =,∴2x =±,2x =舍,当2x =-时,原式21222==---. 【点睛】本题考查了分式的化简求值,解题的关键是明确分式化简求值的方法.38.,当x=+1时,原式= 【解析】试题分析:先将括号里面的通分后,将除法转换成乘法,约分化简,然后代x 的值,进行二次根式化简.试题解析:, 当时,原式.考点:1.分式的化简;2.二次根式化简.39.2x -【解析】【分析】根据分式的混合运算法则,先化简,再代入求值,即可求解.【详解】原式=22522(2)2(2)(2)x x x x x x x -++++⨯++- =22(2)(2)2(2)(2)x x x x x -+⨯++- =2x -,当=1x -2= 【点睛】本题主要考查分式的混合运算法则,掌握分式的通分与约分进行化简,是解题的关键. 40.﹣23x +,﹣1 【解析】【分析】原式括号中两项通分并利用同分母分式的减法法则计算,同时利用除法法则变形,约分得到最简结果,把x 的值代入计算即可求出值.【详解】 解:原式=2(3)2x x --÷5(2)(2)2x x x -+-- =2(3)22(3)(3)x x x x x --⋅--+- =﹣23x +, 当x =﹣1时,原式=﹣1.【点睛】此题考查了分式的化简求值,熟练掌握运算法则是解本题的关键.41.22x ,12. 【解析】【分析】根据分式混合运算的法则把原式进行化简,再求出x 的值代入进行计算即可. 【详解】 原式11(1)(1)()112x x x x x +-=-⨯-++ 1122x x x x +-=-++ 22x =+ 因为:240x -=2x =当2x =时,原式12=. 【点睛】本题考查分式的化简求值,熟练掌握计算法则是解题关键.42.21a --,2 【解析】【分析】先将分式的分子和分母分解因式,再根据分式的化简求值的过程计算即可求解. 【详解】 解:原式=2(2)2(2)(2)21a a a a a a a ⎡⎤-+-⋅⎢⎥-++-⎣⎦, 22()221a a a a a a -+=-⋅++-, 2221a a a +=-⋅+-, 21a =--. ∵a ≤2的非负整数解有0,1,2,又∵a ≠1,2,∴当a =0时,原式=2.【点睛】此题考察分式的化简求值,化简时需先分解因式约去公因式得到最简分式,求值时选的数需满足分母不为0的数才可代入求值.43.12x +;13【解析】【分析】先根据分式混合运算的法则把原式进行化简,再把x 的值代入进行计算即可.【详解】 解:原式222(2)(2)(2)x x x x x x x -=-⋅+-- 22(2)(2)(2)(2)x x x x x x +=-+-+- ()()222x x x -=+- 12x =+ 当1x =时,原式11123==+. 【点睛】 本题考查的是分式的化简求值,熟知分式混合运算的法则是解答此题的关键.44.11m +,13【解析】【分析】根据分式的混合运算法则运算即可,注意m 的值只能取2.【详解】解:原式=2121()m m m m m-+-÷=1(1)(1)m m m m m -⎛⎫⋅ ⎪-+⎝⎭ =11m+ 把m=2代入得,原式=13. 【点睛】本题考查了分式的化简求值问题,解题的关键是掌握分式的运算法则.45.(1)13-;(2)62x --;16-【解析】【分析】(1)根据单项式乘单项式法则、合并同类项法则和单项式除以单项式法则计算即可;(2)根据分式的各个运算法则化简,然后代入求值即可.【详解】解:(1)()()322423523a a a a ⎡⎤⋅+-÷⎢⎥⎣⎦ =()()666589a a a ⎡⎤+-÷⎣⎦ =()()6639aa -÷ =13- (2)524223x x x x-⎛⎫++⋅ ⎪--⎝⎭ =24524223x x x x x ⎛⎫--+⋅ ⎪---⎝⎭=()222923x x x x--⋅-- =()()()332223x x x x x+--⋅-- =()23x -+将5x =代入,得原式=62516--⨯=-【点睛】此题考查的是整式的混合运算和分式的混合运算,掌握整式的各个运算法则和分式的各个运算法则是解决此题的关键.46.(1)22a a -,8;(2)原方程无解【解析】【分析】(1)现根据分式的运算法则化简分式,再将a 的值代入即可;(2)先变形,再把分式方程转化成整式方程,求出方程的解,再进行检验即可.【详解】解:(1)原式=2145211(1)a a a a a a a ⎛⎫⎡⎤----÷ ⎪⎢⎥---⎣⎦⎝⎭=244(1)12a a a a a a -+-⨯--=2(2)(1)12a a a a a --⨯--=(2)a a -=22a a -,当a =4时,原式=24248-⨯=;(2)解:解:原方程化为:81,(2)(2)2y y y y +=+-- 方程两边都乘以(y+2)(y-2)得:284(2),y y y +-=+化简得,2y=4,解得:y=2,经检验:y=2不是原方程的解.原方程无解.【点睛】本题考查了分式的化简求值以及解分式方程,分式的化简求值注意运用运算法则先化简再代入计算;解分式方程的关键能把分式方程转化成整式方程并注意要检验.47.13.试题分析:先按分式的相关运算法则将原式化简,再代值计算即可.试题解析:原式=()()232211x x x x x +-+⋅++- =11x + 当x=2时,原式=13.48.22x x -+,33- 【解析】【分析】根据分式的各个运算法则化简,然后代入求值即可.【详解】 解:244()33x x x x x ---÷-- =()()22234333x x x x x x x x +-⎛⎫---÷ ⎪---⎝⎭=()()2443322x x x x x x -+-•-+- =()()()223322x x x x x --•-+- =22x x -+将-2代入,得原式=33- 【点睛】此题考查的是分式的化简求值题,掌握分式的各个运算法则是解决此题的关键.49.-【解析】【分析】根据分式混合运算的法则把原式进行化简,再把a 、b 的值代入进行二次根式化简即可.【详解】解:原式=()()()()()222a b a b a b a b 2ab b a a a b a a a a ba b +-+---+÷=⋅=----.当a 1b 1=+=-=2==-. 50.33x x-;0. 【解析】【分析】先把括号内的分式的分母因式分解,再根据分式除法法则,利用乘法分配律化简得出最简结果,最后把x=3代入求值即可.【详解】原式=()()2322232x x x x x ⎡⎤---⋅⎢⎥--⎢⎥⎣⎦()312=223x x x x ⎛⎫--⋅ ⎪ ⎪--⎝⎭()3212=2323x x x x x --⋅-⋅-- 11=3x - =33x x-. 当3x =时,原式=33033-=⨯. 【点睛】本题考查分式的运算——化简求值,熟练掌握分式的混合运算法则是解题关键.51.21(2)a -,1. 【解析】【分析】将原式化简成()212a -,由已知条件a 为04a ≤≤中的整数,原式有意义可知0,2,4a a a ≠≠≠,从而得出1a =或3a =,将其代入()212a -中即可求出结论.【详解】 22214244a a a a a a a a +--⎛⎫+÷ ⎪--+⎝⎭ 221(2)(2)4a a a a a a a ⎡⎤+-=-⨯⎢⎥---⎣⎦ 22224(2)(2)4a a a a a a a a a ⎡⎤--=-⨯⎢⎥---⎣⎦ 24(2)4a a a a a -=⨯-- 21(2)a =- ∵04a ≤≤且为整数,且0a ≠,2,4.∴取1a =,原式211(12)==-.或取3a =,原式211(32)==- 【点睛】分式的化简考查了分式的运算,主要涉及分式的加减法、分式的乘除法,分式的加减法关键是化异分母为同分母,分式的除法关键是将除法转化为乘以除式的倒数;求值部分,尤其是这类选取适当的数代入求值时,千万要注意未知数取值的限制,所有使分母等于零的数都不能取,使使除号后紧跟的分式的分子为零的数也不能取避免进入分式无意义的雷区,例如本题已知条件04a ≤≤中选取的合适的整数只有1和3.52.12x -+;1-【分析】 根据分式的化简,通过通分、约分化简得到的式子,把1x =-代入求值即得.【详解】原式223111x x x x --+=÷-- 211(2)(2)x x x x x --=⨯-+- 12x =-+, 把1x =-代入得原式1112=-=--+. 【点睛】考查分式的化简求值,化简中用到因式分解、约分,注意因式分解,约分符号问题,最后使得式子最简.53.2.【解析】试题分析:先将2x+221x 111x x x --÷+--进行化简,再将x 的值代入即可; 试题解析: 原式=﹣•(x ﹣1)==,当x=﹣3时,原式=﹣2.54.(1)242a ab -,12;(2)12x -,1 【解析】【分析】(1)原式第一项利用平方差公式化简,第二项利用多项式除以单项式法则计算,合并得到最简结果,将a 与b 的值代入计算即可求出值;(2)首先计算括号里面的进而利用分式乘除运算法则计算得出最简结果,将x 的值代入计算即可求出值.解:(1)()223(2)(2)844a b a b a b abab +---÷, = ()22242a b ab b---=242a ab -,当2,1a b ==时,原式=242221=164⨯-⨯⨯-=12; (2)22224242x x x x x x --⎛⎫÷-- ⎪-+⎝⎭=()()()()()222242222x x x x x x x x x --+⎡⎤-÷-⎢⎥-+++⎣⎦=2222x x x x x -÷++ =()222x x x x x +⋅+- =12x -, 当x=3时,原式=132-=1. 【点睛】本题考查分式的化简求值以及整式的混合运算,正确进行分式的混合运算是解题关键.55.11x +;2【解析】【分析】先算括号里面的,再算除法,根据特殊角的三角函数值先得出x ,再代入即可.【详解】 原式2231()2x 22x x x x +-=-÷+++ 223122x x x x +--=÷++ 21221x x x x -+=⨯+-122(1)(1)x x x x x -+=⨯++- 11x =+.当21x ==时,原式11x ===+. 【点睛】本题考查了分式的化简求值以及特殊角的三角函数值,是基础知识要熟练掌握.56.x +y .【解析】试题分析:根据分式的减法和除法可以化简题目中的式子,然后将x 、y 的值代入即可解答本题.试题解析:原式=()()x x y x y x y x y y -++-⋅- =()()y x y x y x y y+-⋅-=x +y ,当x 2,y =11()2-=2时,原式57【解析】【分析】先根据分式混合运算的法则把原式进行化简,再求出x 的值代入进行计算即可【详解】 原式32(2)2(2)(2)(2)(2)4x x x x x x x x ⎡⎤+-=-•⎢⎥+-+--⎣⎦ 3242421(2)(2)4(2)(2)42x x x x x x x x x x x x -----=•=•=+--+--+134232x =⨯-⨯=∴原式== 【点睛】此题考查分式的化简求值,掌握运算法则是解题关键58.22a a -+,15-. 【解析】【分析】先对括号里的式子进行通分化简运算,然后进一步化简,最后代入求值即可.【详解】 原式2(2)3(1)(1)11a a a a a ---+=÷++ 22(2)411a a a a --=÷++ 2(2)11(2)(2)a a a a a -+=⋅++- 22a a-=+. ∴当3a =时,原式231235-==-+. 【点睛】本题主要考查了分式的化简求值,熟练掌握相关法则是解题关键.错因分析 容易题.失分原因是:①括号内通分时,忘记变号;②将除法变为乘法时,忘记分子分母调换位置.59.x x+1;x=2时,原式=23. 【解析】【分析】先将括号内的分式通分,再按照分式的除法法则,将除法转化为乘法进行计算.最后在﹣1≤x≤3中取一个使分式分母和除式不为0的数代入求值.【详解】解:原式=()()()()()()()()()()()222x x+1x x 1x 1x x x ==x+1x 1x+1x 1x+1x 1x x 1x+1x 1⎡⎤---÷⋅⎢⎥-----⎢⎥⎣⎦. ∵﹣1≤x≤3的整数有-1,0,1,2,3,当x=﹣1或x=1时,分式的分母为0,当x=0时,除式为0,∴取x 的值时,不可取x=﹣1或x=1或x=0.不妨取x=2,此时原式=22=2+13.60.(1)分式方程无解;(2)326a 35?a 13a +﹣;(3)(4 【解析】【分析】(1)去分母化为整式方程求解即可,求出未知数的值要验根;(2)先算单项式与多项式的乘法,再合并同类项即可;(3)第一项按二次根式的乘法计算,第二项按化简绝对值的意义化简,第三项按零指数幂的意义化简,然后进一步合并化简即可;(4)先根据分式的运算法则把所给代数式化简,再把. 【详解】(1)去分母得:2x-2+3x+3=6,解得:x=1,经检验x=1是增根,分式方程无解;(2)原式322326a 27a 9a 8a 4a 6a 35?a 13a =++=+﹣﹣﹣;(3)原式=11+=(4)原式=xy (x+y )()()()22x y x y xx y x y +-⋅⋅+=x ﹣y ,代入得当,y=2时,原式22= 【点睛】 本题考查了解分式方程,实数的混合运算,整式的混合运算,分式的化简求值,熟练掌握各知识点是解答本题的关键.。
分式的化简求值练习50题1、先化简,再求值:(1﹣)÷,其中12x =.2、先化简,再求值:2121(1)1a a a a++-+,其中1a =.3、先化简,再求值:22(1)2()11x x x x x+÷---,其中x =4、先化简,再求值:211(1)x x x-+÷,其中12x =5先化简,再求值22122()121x x x x x x x x ----÷+++,其中x 满足x 2﹣x ﹣1=0.6、先化简22144(1)11x x x x -+-÷--,然后从-2≤x ≤2的范围内选取一个合适的整数作为x 的值代入求值.7、先化简,再求值:2222211221a a a a a a a a -+--÷+++,其中2a =a .8、先化简211111x x x x -÷-+-(),再从﹣1、0、1三个数中,选择一个你认为合适的数作为x 的值代入求值.9、先化简,再求值:2(1)11x x x x +÷--,其中x =2.10、先化简,再求值:231839x x ---,其中3x =。
11、先化简242()222x x x x x++÷--,再从2,﹣2,1,0,﹣1中选择一个合适的数进行计算..12、先化简,再求值:21(2)1x x x x---,其中x =2.13、先化简,再求值:211()1211x x x x x x++÷--+-,其中x =14、先化简22()5525x x x x x x -÷---,然后从不等组23212x x --≤⎧⎨<⎩的解集中,选一个你认为符合题意的x 的值代入求值.15、先化简,再求值:62296422+-÷++-a a a a a ,其中5-=a .16、先化简,再求值:232()111x x x x x x --÷+--,其中x =17、先化简。
分式的化简求值精选题44道一.选择题(共20小题)1.若分式,则分式的值等于()A.﹣B.C.﹣D.2.如果a2+2a﹣1=0,那么代数式(a﹣)•的值是()A.﹣3B.﹣1C.1D.33.已知m2+n2=n﹣m﹣2,则﹣的值等于()A.1B.0C.﹣1D.﹣4.如果a、b、c是非零实数,且a+b+c=0,那么的所有可能的值为()A.0B.1或﹣1C.2或﹣2D.0或﹣25.如果a﹣b=2,那么代数式(﹣b)•的值为()A.B.2C.3D.46.已知x2+3x+1=0,则x4+=()A.81B.64C.47D.307.已知abc=1,a+b+c=2,a2+b2+c2=3,则的值为()A.﹣1B.C.2D.8.如果a2﹣ab﹣1=0,那么代数式的值是()A.﹣1B.1C.﹣3D.39.如果a2+3a﹣2=0,那么代数式()的值为()A.1B.C.D.10.已知x=﹣1,y=+1,那么代数式的值是()A.2B.C.4D.211.如果m2+2m﹣2=0,那么代数式(m+)•的值是()A.﹣2B.﹣1C.2D.312.如果a2+3a+1=0,那么代数式()•的值为()A.1B.﹣1C.2D.﹣213.如果a+b=﹣,那么代数式(﹣a)•的值为()A.﹣B.C.3D.214.当|a|=3时,代数式(1﹣)÷的值为()A.5B.﹣1C.5或﹣1D.015.若m+n﹣p=0.则m(﹣)+n(﹣)﹣p(+)的值是()A.﹣3B.﹣1C.1D.316.若=≠0,则代数式(+1)÷的值为()A.2B.1C.﹣1D.﹣2 17.若,则的值为()A.B.3C.5D.718.如果x2+x﹣3=0,那么代数式(﹣1)÷的值为()A.﹣B.0C.D.319.若,则等于()A.﹣1B.1C.2D.320.已知abc≠0且a+b+c=0,则a()+b()+c()的值为()A.0B.1C.﹣1D.﹣3二.填空题(共17小题)21.已知=,则代数式的值是.22.若a2+5ab﹣b2=0,则的值为.23.已知+=3,则代数式的值为.24.若x2+3x=﹣1,则x﹣=.25.数学活动课上,小云和小王在讨论张老师出示的一道代数式求值问题:已知实数a,b同时满足a2+2a=b+2,b2+2b=a+2,求代数式的值.结合他们的对话,请解答下列问题:(1)当a=b时,a的值是.(2)当a≠b时,代数式的值是.26.当m=2015时,计算:﹣=.27.已知=,则的值为.28.已知a是满足不等式组的整数解,求代数式:(1+)÷的值.29.若x、y、z满足3x+7y+z=1和4x+10y+z=2001,则分式的值为.30.如果a2﹣a﹣1=0,那么代数式(1﹣)÷的值是.31.如果代数式a2﹣a﹣1=0,那么代数式(a﹣)的值为.32.如果m=n+4,那么代数式的值是.33.已知m﹣n=2,则•(﹣)的值为.34.已知:a2﹣7a+1=0,则a2+=.35.已知a2+=5,则a+的值是.36.若x2﹣3x=﹣5,则x+=.37.如果a﹣3b=0,那么代数式的值是.三.解答题(共7小题)38.先化简,再求值:(x﹣2+)÷,其中x=﹣.39.先化简:(﹣a+1)÷,并从0,﹣1,2中选一个合适的数作为a的值代入求值.40.先化简,再求值:÷(2+),其中x=﹣1.41.先化简:(﹣)÷,再从﹣3、﹣2、﹣1、0、1中选一个合适的数作为a的值代入求值.42.先化简,再求值:(﹣)÷,其中x满足x2﹣2x﹣2=0.43.先化简,再求值:(﹣)÷,请在2,﹣2,0,3当中选一个合适的数代入求值.44.先化简,再求值:(1﹣)÷,从﹣1,2,3中选择一个适当的数作为x值代入.分式的化简求值精选题44道参考答案与试题解析一.选择题(共20小题)1.若分式,则分式的值等于()A.﹣B.C.﹣D.【分析】根据已知条件,将分式整理为y﹣x=2xy,再代入则分式中求值即可.【解答】解:整理已知条件得y﹣x=2xy;∴x﹣y=﹣2xy将x﹣y=﹣2xy整体代入分式得====.故选:B.【点评】由题干条件找出x﹣y之间的关系,然后将其整体代入求出答案即可.2.如果a2+2a﹣1=0,那么代数式(a﹣)•的值是()A.﹣3B.﹣1C.1D.3【分析】根据分式的减法和乘法可以化简题目中的式子,然后对a2+2a﹣1=0变形即可解答本题.【解答】解:(a﹣)•===a(a+2)=a2+2a,∵a2+2a﹣1=0,∴a2+2a=1,∴原式=1,故选:C.【点评】本题考查分式的化简求值,解答本题的关键是明确分式化简求值的方法.3.已知m2+n2=n﹣m﹣2,则﹣的值等于()A.1B.0C.﹣1D.﹣【分析】把所给等式整理为2个完全平方式的和为0的形式,得到m,n的值,代入求值即可.【解答】解:由m2+n2=n﹣m﹣2,得(m+2)2+(n﹣2)2=0,则m=﹣2,n=2,∴﹣=﹣﹣=﹣1.故选:C.【点评】考查分式的化简求值,把所给等式整理为2个完全平方式的和为0的形式是解决本题的突破点;用到的知识点为:2个完全平方式的和为0,这2个完全平方式的底数为0.4.如果a、b、c是非零实数,且a+b+c=0,那么的所有可能的值为()A.0B.1或﹣1C.2或﹣2D.0或﹣2【分析】根据a、b、c是非零实数,且a+b+c=0可知a,b,c为两正一负或两负一正,按两种情况分别讨论代数式的可能的取值,再求所有可能的值即可.【解答】解:由已知可得:a,b,c为两正一负或两负一正.①当a,b,c为两正一负时:;②当a,b,c为两负一正时:.由①②知所有可能的值为0.应选A.【点评】本题考查了分式的化简求值,涉及到绝对值、非零实数的性质等知识点,注意分情况讨论未知数的取值,不要漏解.5.如果a﹣b=2,那么代数式(﹣b)•的值为()A.B.2C.3D.4【分析】先将括号内通分,再计算括号内的减法、同时将分子因式分解,最后计算乘法,继而代入计算可得.【解答】解:原式=(﹣)•=•=,当a﹣b=2时,原式==,故选:A.【点评】本题主要考查分式的化简求值,解题的关键是熟练掌握分式的混合运算顺序和运算法则.6.已知x2+3x+1=0,则x4+=()A.81B.64C.47D.30【分析】根据x2+3x+1=0,可以得到x+的值,然后平方变形,再平方,再变形,即可求得所求式子的值.【解答】解:∵x2+3x+1=0,∴x+3+=0,∴x+=﹣3,∴(x+)2=9,∴x2+2+=9,∴x2+=7,∴(x2+)2=49,∴x4+2+=49,∴x4+=47,故选:C.【点评】本题考查分式的化简求值,解答本题的关键是明确分式化简求值的方法.7.已知abc=1,a+b+c=2,a2+b2+c2=3,则的值为()A.﹣1B.C.2D.【分析】由a+b+c=2,a2+b2+c2=3,利用两个等式之间的平方关系得出ab+bc+ac=;再根据已知条件将各分母因式分解,通分,代入已知条件即可.【解答】解:由a+b+c=2,两边平方,得a2+b2+c2+2ab+2bc+2ac=4,将已知代入,得ab+bc+ac=;由a+b+c=2得:c﹣1=1﹣a﹣b,∴ab+c﹣1=ab+1﹣a﹣b=(a﹣1)(b﹣1),同理,得bc+a﹣1=(b﹣1)(c﹣1),ca+b﹣1=(c﹣1)(a﹣1),∴原式=++=====﹣.故选:D.【点评】本题考查了分式的化简其中计算,解题时,充分运用已知条件变形,使分式能化简通分,得出结果.8.如果a2﹣ab﹣1=0,那么代数式的值是()A.﹣1B.1C.﹣3D.3【分析】根据分式的加法和乘法可以化简题目中的式子,然后根据a2﹣ab﹣1=0,即可求得所求式子的值.【解答】解:===a(a﹣b)=a2﹣ab,∵a2﹣ab﹣1=0,∴a2﹣ab=1,∴原式=1,故选:B.【点评】本题考查分式的化简求值,解答本题的关键是明确分式化简求值的方法.9.如果a2+3a﹣2=0,那么代数式()的值为()A.1B.C.D.【分析】原式括号中两项通分并利用同分母分式的加法法则计算,约分得到最简结果,把已知等式代入计算即可求出值.【解答】解:原式=•=,由a2+3a﹣2=0,得到a2+3a=2,则原式=,故选:B.【点评】此题考查了分式的化简求值,熟练掌握运算法则是解本题的关键.10.已知x=﹣1,y=+1,那么代数式的值是()A.2B.C.4D.2【分析】先将分式化简,再代入值求解即可.【解答】解:原式==x+y当x=﹣1,y=+1,原式=﹣1++1=2.故选:D.【点评】本题考查了分式的化简求值,解决本题的关键是掌握分式的化简.11.如果m2+2m﹣2=0,那么代数式(m+)•的值是()A.﹣2B.﹣1C.2D.3【分析】先把括号内通分,再把分子分解后约分得到原式=m2+2m,然后利用m2+2m﹣2=0进行整体代入计算.【解答】解:原式=•=•=m(m+2)=m2+2m,∵m2+2m﹣2=0,∴m2+2m=2,∴原式=2.故选:C.【点评】本题考查了分式的化简求值:先把分式化简后,再把分式中未知数对应的值代入求出分式的值.在化简的过程中要注意运算顺序和分式的化简.化简的最后结果分子、分母要进行约分,注意运算的结果要化成最简分式或整式.12.如果a2+3a+1=0,那么代数式()•的值为()A.1B.﹣1C.2D.﹣2【分析】根据分式的加法和乘法可以化简题目中的式子,然后根据a2+3a+1=0,即可求得所求式子的值.【解答】解:()•===2a(a+3)=2(a2+3a),∵a2+3a+1=0,∴a2+3a=﹣1,∴原式=2×(﹣1)=﹣2,故选:D.【点评】本题考查分式的化简求值,解答本题的关键是明确分式化简求值的方法.13.如果a+b=﹣,那么代数式(﹣a)•的值为()A.﹣B.C.3D.2【分析】先根据分式的混合运算顺序和运算法则化简原式,再将a+b的值代入即可.【解答】解:原式=(﹣)•=•=•=﹣(a+b),当a+b=﹣时,原式=.故选:B.【点评】本题主要考查分式的化简求值,解题的关键是掌握分式的混合运算顺序和运算法则.14.当|a|=3时,代数式(1﹣)÷的值为()A.5B.﹣1C.5或﹣1D.0【分析】先根据分式的混合运算顺序和运算法则化简原式,再由分式有意义的条件和绝对值性质得出a=﹣3,最后代入计算可得.【解答】解:原式=•=a+2,∵|a|=3,且a﹣3≠0,∴a≠3,当a=﹣3时,原式=﹣3+2=﹣1,故选:B.【点评】本题主要考查分式的化简求值,解题的关键是熟练掌握分式的混合运算顺序和运算法则.15.若m+n﹣p=0.则m(﹣)+n(﹣)﹣p(+)的值是()A.﹣3B.﹣1C.1D.3【分析】先由m+n﹣p=0,得出m﹣p=﹣n,m+n=p,n﹣p=﹣m,再根据m(﹣)+n(﹣)﹣p(+)=+﹣代入化简即可.【解答】解:∵m+n﹣p=0,∴m﹣p=﹣n,m+n=p,n﹣p=﹣m,∴m(﹣)+n(﹣)﹣p(+)=﹣+﹣﹣﹣=+﹣=+﹣=﹣1﹣1﹣1=﹣3;故选:A.【点评】此题考查了分式的化简求值,用到的知识点是约分、分式的加减,关键是把原式变形为+﹣.16.若=≠0,则代数式(+1)÷的值为()A.2B.1C.﹣1D.﹣2【分析】根据分式的加法和除法可以化简题目中的式子,然后根据=≠0,即可解答本题【解答】解:(+1)÷===,∵=≠0,∴2b=3a,∴原式===2,故选:A.【点评】本题考查分式的化简求值,解答本题的关键是明确分式化简求值的方法.17.若,则的值为()A.B.3C.5D.7【分析】法1:已知等式整理得到关系式5=(+)(a+b),计算即可求出值;法2:已知等式左边通分并利用同分母分式的加法法则运算,整理后得到a2+b2=3ab,原式变形后代入计算即可求出值.【解答】解:法1:∵+=,∴5=(+)(a+b)=2++,则+=5﹣2=3;法2:已知等式变形得:=,即(a+b)2=5ab,整理得:a2+2ab+b2=5ab,即a2+b2=3ab,则+===3.故选:B.【点评】此题考查了分式的化简求值,熟练掌握运算法则是解本题的关键.18.如果x2+x﹣3=0,那么代数式(﹣1)÷的值为()A.﹣B.0C.D.3【分析】先把分式化简后,再把分式中未知数对应的值代入求出分式的值.在化简的过程中要注意运算顺序和分式的化简.化简的最后结果分子、分母要进行约分,注意运算的结果要化成最简分式或整式.【解答】解:原式=()÷=•=∵x2+x﹣3=0,∴x2+x=3,∴原式=,故选:C.【点评】本题考查了分式的化简求值,熟练掌握分式混合运算法则是解题的关键.19.若,则等于()A.﹣1B.1C.2D.3【分析】根据分式的通分和完全平方公式可以将所求式子化简,然后根据,可以得到xy和(x+y)2的关系,然后代入化简后的式子即可解答本题.【解答】解:==,∵,∴,∴xy=(x+y)2,当xy=(x+y)2时,原式===﹣1,故选:A.【点评】本题考查分式的化简求值,解答本题的关键是明确分式化简求值的方法.20.已知abc≠0且a+b+c=0,则a()+b()+c()的值为()A.0B.1C.﹣1D.﹣3【分析】先利用乘法的分配律得到原式=+++++,再把同分母相加,然后根据abc≠0且a+b+c=0得到a+c=﹣b,b+c=﹣a,a+b=﹣c,把它们代入即可得到原式的值.【解答】解:原式=+++++=++∵abc≠0且a+b+c=0,∴a+c=﹣b,b+c=﹣a,a+b=﹣c,∴原式=﹣1﹣1﹣1=﹣3.故选:D.【点评】本题考查了分式的化简求值:先把分式根据已知条件进行变形,然后利用整体代入的方法进行化简、求值.二.填空题(共17小题)21.已知=,则代数式的值是9.【分析】由已知条件变形得到a﹣b=3ab,再把原式变形得到原式=,接着把a﹣b=3ab代入,然后把分子分母合并后,最后约分即可.【解答】解:∵=,∴a﹣b=3ab,∴原式===9.故答案为9.【点评】本题考查了分式的化简求值:先把分式化简后,再把分式中未知数对应的值代入求出分式的值.在化简的过程中要注意运算顺序和分式的化简.化简的最后结果分子、分母要进行约分,注意运算的结果要化成最简分式或整式.22.若a2+5ab﹣b2=0,则的值为5.【分析】先根据题意得出b2﹣a2=5ab,再由分式的减法法则把原式进行化简,进而可得出结论.【解答】解:∵a2+5ab﹣b2=0,∴b2﹣a2=5ab,∴﹣===5.故答案为:5.【点评】本题考查的是分式的化简求值,分式求值题中比较多的题型主要有三种:转化已知条件后整体代入求值;转化所求问题后将条件整体代入求值;既要转化条件,也要转化问题,然后再代入求值.23.已知+=3,则代数式的值为﹣.【分析】已知等式左边通分并利用同分母分式的加法法则计算,整理得到a+2b=6ab,原式变形后代入计算即可求出值.【解答】解:∵+=3,∴=3,即a+2b=6ab,则原式===﹣.故答案为:﹣【点评】此题考查了分式的化简求值,熟练掌握运算法则是解本题的关键.24.若x2+3x=﹣1,则x﹣=﹣2.【分析】根据分式的减法可以将所求式子化简,然后根据x2+3x=﹣1,可以得到x2=﹣1﹣3x,代入化简后的式子即可解答本题.【解答】解:x﹣==,∵x2+3x=﹣1,∴x2=﹣1﹣3x,∴原式====﹣2,故答案为:﹣2.【点评】本题考查分式的化简求值,解答本题的关键是明确分式化简求值的方法.25.数学活动课上,小云和小王在讨论张老师出示的一道代数式求值问题:已知实数a,b同时满足a2+2a=b+2,b2+2b=a+2,求代数式的值.结合他们的对话,请解答下列问题:(1)当a=b时,a的值是﹣2或1.(2)当a≠b时,代数式的值是7.【分析】(1)将a=b代入方程,然后解一元二次方程求解;(2)联立方程组,运用加减消元法并结合完全平方公式,求得a2+b2和ab的值,然后将原式通分化简,代入求解.【解答】解:(1)当a=b时,a2+2a=a+2,a2+a﹣2=0,(a+2)(a﹣1)=0,解得:a=﹣2或1,故答案为:﹣2或1;(2)联立方程组,将①+②,得:a2+b2+2a+2b=b+a+4,整理,得:a2+b2+a+b=4③,将①﹣②,得:a2﹣b2+2a﹣2b=b﹣a,整理,得:a2﹣b2+3a﹣3b=0,(a+b)(a﹣b)+3(a﹣b)=0,(a﹣b)(a+b+3)=0,又∵a≠b,∴a+b+3=0,即a+b=﹣3④,将④代入③,得a2+b2﹣3=4,即a2+b2=7,又∵(a+b)2=a2+2ab+b2=9∴ab=1,∴,故答案为:7.【点评】本题考查分式的化简求值及完全平方公式的运用,掌握完全平方公式的公式结构和分式的化简计算法则准确计算是解题关键.26.当m=2015时,计算:﹣=2013.【分析】原式利用同分母分式的减法法则计算,约分得到最简结果,把m的值代入计算即可求出值.【解答】解:原式===m﹣2,当m=2015时,原式=2015﹣2=2013.故答案为:2013.【点评】此题考查了分式的化简求值,熟练掌握运算法则是解本题的关键.27.已知=,则的值为.【分析】根据分式的除法可以化简题目中的式子,然后将=代入化简后的式子即可解答本题.【解答】解:=﹣1,当=,原式=﹣1=,故答案为:.【点评】本题考查分式的化简求值,解答本题的关键是明确分式化简求值的方法.28.已知a是满足不等式组的整数解,求代数式:(1+)÷的值.【分析】根据分式的加法和除法可以化简题目中的式子,然后根据a是满足不等式组的整数解,可以得到a的值,然后选取一个使得原分式有意义的整数代入化简后的式子即可解答本题.【解答】解:(1+)÷===,由不等式组,得0<a≤2,∵a是满足不等式组的整数解,(a+1)(a﹣1)≠0,∴a=2,当a=2时,==,故答案为:.【点评】本题考查分式的化简求值、一元一次不等式组的整数解,解答本题的关键是明确分式化简求值的方法.29.若x、y、z满足3x+7y+z=1和4x+10y+z=2001,则分式的值为﹣3999.【分析】分式=,视x+3y与x+y+z为两个整体,对方程组进行整体改造后即可得出答案.【解答】解:由x、y、z满足3x+7y+z=1和4x+10y+z=2001,得出:,解得:,∴=,==﹣3999.故答案为:﹣3999.【点评】本题考查了分式的化简求值与三元一次方程组的应用,难度较大,关键是视x+3y 与x+y+z为两个整体,对方程组进行整体改造.30.如果a2﹣a﹣1=0,那么代数式(1﹣)÷的值是1.【分析】首先计算括号里面的加法,然后再算括号外的除法,化简后可得答案.【解答】解:原式=(﹣)•=•=a(a﹣1)=a2﹣a,∵a2﹣a﹣1=0,∴a2﹣a=1,∴原式=1,故答案为:1.【点评】此题主要考查了分式的化简求值,关键是正确把分式进行化简.31.如果代数式a2﹣a﹣1=0,那么代数式(a﹣)的值为3.【分析】根据题意得到a2﹣a=1,根据分式的混合运算法则把原式化简,代入计算即可.【解答】解:∵a2﹣a﹣1=0,∴a2﹣a=1,(a﹣)===3a2﹣3a=3(a2﹣a)=3,故答案为:3.【点评】本题考查的是分式的化简求值,掌握分式的混合运算法则是解题的关键.32.如果m=n+4,那么代数式的值是8.【分析】先化简分式,然后将m﹣n的值代入计算即可.【解答】解:原式===2(m﹣n),∵m=n+4,∴m﹣n=4,∴原式=2×4=8,故答案为8.【点评】本题考查了分式的化简求值,熟练掌握分式混合运算法则是解题的关键.33.已知m﹣n=2,则•(﹣)的值为﹣.【分析】根据分式的混合运算法则把原式化简,整体代入计算即可.【解答】解:原式=•=•=,当m﹣n=2,即n﹣m=﹣2时,原式=﹣,故答案为:﹣.【点评】本题考查的是分式的化简求值,掌握分式的混合运算法则是解题的关键.34.已知:a2﹣7a+1=0,则a2+=47.【分析】先根据已知方程得出a+=7,再两边平方即可得出答案.【解答】解:∵a2﹣7a+1=0,∴a﹣7+=0,则a+=7,∴(a+)2=49,∴a2+2+=49,则a2+=47,故答案为:47.【点评】本题主要考查分式的化简求值,解题的关键是掌握分式的基本性质和完全平方公式.35.已知a2+=5,则a+的值是.【分析】先根据完全平方公式得出(a+)2=a2++2•a•,代入后求出(a+)2=7,再开平方即可.【解答】解:∵a2+=5,∴(a+)2=a2++2•a•=5+2=7,∴a+=±=,故答案为:±.【点评】本题考查了完全平方公式和分式的化简与求值,能正确根据完全平方公式进行变形是解此题的关键.36.若x2﹣3x=﹣5,则x+=2.【分析】求出x2﹣x=﹣5+2x,通分得出原式=,再求出答案即可.【解答】解:∵x2﹣3x=﹣5,∴x2﹣x=﹣5+2x,∴x+======2,故答案为:2.【点评】本题考查了分式的混合运算和求值,能选择适当的方法求解是解此题的关键.37.如果a﹣3b=0,那么代数式的值是.【分析】根据分式的运算法则得到最简结果,把已知等式变形后代入计算即可求出值.【解答】解:当a﹣3b=0时,即a=3b,∴原式=•=•===.故答案为:.【点评】本题考查分式的运算法则,解题的关键是熟练运用分式的运算法则,本题属于基础题型.三.解答题(共7小题)38.先化简,再求值:(x﹣2+)÷,其中x=﹣.【分析】先根据分式的混合运算顺序和运算法则化简原式,再将x的值代入计算可得.【解答】解:原式=(+)•=•=2(x+2)=2x+4,当x=﹣时,原式=2×(﹣)+4=﹣1+4=3.【点评】本题主要考查分式的化简求值,在化简的过程中要注意运算顺序和分式的化简.化简的最后结果分子、分母要进行约分,注意运算的结果要化成最简分式或整式.39.先化简:(﹣a+1)÷,并从0,﹣1,2中选一个合适的数作为a的值代入求值.【分析】根据分式的加法和除法可以化简题目中的式子,然后在0,﹣1,2中选一个使得原分式有意义的值代入即可解答本题.【解答】解:(﹣a+1)÷===,当a=0时,原式=.【点评】本题考查分式的化简求值,解答本题的关键是明确分式化简求值的方法.40.先化简,再求值:÷(2+),其中x=﹣1.【分析】先把括号内通分,再把除法运算化为乘法运算,然后把分子分母因式分解,约分后得到原式=,再把x的值代入计算.【解答】解:原式=÷=÷=•=,当x=﹣1时,原式==.【点评】本题考查了分式的化简求值:先把分式的分子或分母因式分解,再进行通分或约分,得到最简分式或整式,然后把满足条件的字母的值代入计算得到对应的分式的值.也考查了二次根式.41.先化简:(﹣)÷,再从﹣3、﹣2、﹣1、0、1中选一个合适的数作为a的值代入求值.【分析】原式括号中两项通分并利用同分母分式的减法法则计算,同时利用除法法则变形,约分得到最简结果,把a的值代入计算即可求出值.【解答】解:原式=•===,当a=﹣3,﹣1,0,1时,原式没有意义,舍去,当a=﹣2时,原式=﹣.【点评】此题考查了分式的化简求值,熟练掌握运算法则是解本题的关键.42.先化简,再求值:(﹣)÷,其中x满足x2﹣2x﹣2=0.【分析】先根据分式的混合运算顺序和运算法则化简原式,再由x2﹣2x﹣2=0得x2=2x+2=2(x+1),整体代入计算可得.【解答】解:原式=[﹣]÷=•=,∵x2﹣2x﹣2=0,∴x2=2x+2=2(x+1),则原式==.【点评】本题主要考查分式的化简求值,解题的关键是掌握分式的混合运算顺序和运算法则.43.先化简,再求值:(﹣)÷,请在2,﹣2,0,3当中选一个合适的数代入求值.【分析】先化简分式,然后根据分式有意义的条件即可求出m的值,从而可求出原式的值.【解答】解:原式=(﹣)×=×﹣×=﹣=,∵m≠±2,0,∴当m=3时,原式=3【点评】本题考查分式的化简求值,解题的关键是熟练运用分式的运算法则,本题属于基础题型.44.先化简,再求值:(1﹣)÷,从﹣1,2,3中选择一个适当的数作为x值代入.【分析】先根据分式混合运算的法则把原式进行化简,再选取合适的x的值代入进行计算即可.【解答】解:原式=•=,当x=3时,原式==3.【点评】本题考查的是分式的化简求值,熟知分式混合运算的法则是解答此题的关键.。
精品文档初二数学分式化简求值练习题及答案2、先化简,再求值:12?2,其中x,,2( x?1x?1,其中a=,1(3、先化简,再求值:4、先化简,再求值:5先化简,再求值6、化简:7、先化简,再求值:,其中(,其中x=(,其中x满足x,x,1=0(2a?3ba?b? a?ba?b,其中a=(先化简x11?)?2,再从,1、0、1三个数中,选择一个你认x?1x?1x?1为合适的数作为x的值代入求值(1 / 26精品文档9、先化简,再求值:先化简下列式子,再从2,,2,1,0,,1中选择一个合适的数进行计算(12、先化简,再求值:13、先化简,再求值:,其中((318+1)?,其中x=2(x?1x,其中x=2.xx?1??x?2?3xx2x?)?14、先化简?2x?1x?1x?12a?1a2?2a?111a????值:2,其中。
2a?1a2?aa?11x,2x,118(先化简,再求值:??1,x,2?x2,4x,,5(??x2?1?2x?1?22 / 26精品文档??x?19. 先化简再计算:2?,其中x是一元二次方程x?2x?2?0的正数根. x?x?x?2m2?2m?1m?120 化简,求值: )其中m=( ? aa??x?3x2?6x?91?2?,再取恰的x的值代入求值.3请你先化简分式2x?1x?2x?1x?12a?2a2?1??a?1??224、先化简再求值其中a=+1 a?1a?2a?125、化简,其结果是(x2,16x26(先化简,再求值:?,其中x3,4(x,2x,2xx2,4x,4x,22x27、先化简,再求值:,x,2.x,162x,8x,428、先化简,再求值:?2,其中x?4( x?2x?2x?42aa3 / 26精品文档?)?a,其中a?1. a?11?a30、先化简,再求值:?a,其中aa2?11?a2?1?x?1(?1???x?x?1a?1?aab2a?b)?32(?a2?b2a?bb?a2??233先化简,再求值:?a?1???a?1,其中a1( a?1????34化简:(35(先化简,再求值:11?a2a?,其中( ?221-a1?a4 / 26精品文档x2,2x,1x36、.先化简,x值代入求值.x,1x,1x22x?1?39(当x??2时,求的值( x?1x?1x2?42?xx?)?40先化简,再把x取一个你最喜欢的数代入求值:42、先化简,再求值:43、先化简:先化简,再求值(+x(其中45、先化简,再求值,?(再从1,2,3中选一个你认为2(+)?,其中x=2(1化简,再从,1,1两数中选取一个适当的数作为x的值代x?1入求值(全国初中数学竞赛辅导第四讲分式的化简与求值分式的有关概念和性质与分数相类似,例如,分式的分母的值不能是零,即分式只有在分母不等于零时才有意义;也像分数一样,分式的分子与分母都乘以同一个不等于5 / 26精品文档零的整式,分式的值不变,这一性质是分式运算中通分和约分的理论根据(在分式运算中,主要是通过约分和通分来化简分式,从而对分式进行求值(除此之外,还要根据分式的具体特征灵活变形,以使问题得到迅速准确的解答(本讲主要介绍分式的化简与求值(例1 化简分式:分析直接通分计算较繁,先把每个假分式化成整式与真分式之和的形式,再化简将简便得多(,,--+,说明本题的关键是正确地将假分式写成整式与真分式之和的形式(例求分式当a=2时的值(分析与解先化简再求值(直接通分较复杂,注意到平方差公式:a-b=,可将分式分步通分,每一步只通分左边两项(22例若abc=1,求分析本题可将分式通分后,再进行化简求值,但较复杂(下面介绍几种简单的解法(解法1 因为abc=1,所以a,b,c都不为零(解法因为abc=1,所以a?0,b?0,c?0(6 / 26精品文档例化简分式:分析与解三个分式一齐通分运算量大,可先将每个分式的分母分解因式,然后再化简(说明互消掉的一对相反数,这种化简的方法叫“拆项相消”法,它是分式化简中常用的技巧(例化简计算:似的,对于这个分式,显然分母可以分解因式为,而分子又恰好凑成+,因此有下面的解法(解说明本例也是采取“拆项相消”法,所不同的是利用例已知:x+y+z=3a,求分析本题字母多,分式复杂(若把条件写成++=0,那么题目只与x-a,y-a,z-a有关,为简化计算,可用换元法求解(解令x-a=u,y-a=v,z-a=w ,则分式变为u+v+w+2=0(由于x,y,z不全相等,所以u,v,w不全为零,所以u+v+w?0,从而有7 / 26精品文档222222说明从本例中可以看出,换元法可以减少字母个数,使运算过程简化(下例同:例化简分式:变形,化简分式后再计算求值(适当22=3,即x-8x+13,0(原式分子=+++10432322分式练习题及答案初二1、当x为何值时,分式x2 8 / 26精品文档?1x2?x?2有意义,当x为何值时,分式x2?1 x2?x?2的值为零,2、计算: a2?4x2a?2??a?2??1a?22x?x?2?x? ??1??1?x??xx?2??? x2?2x ?22?x?y??x?y?1124?3x?x?y??x?y?3x????9 / 26精品文档?x1?x?1?x?1?x2?1?x43、计算已知x2x2?2?1,求11??x的值。
分式化简计算题带答案在数学中,分式是由一个数的比例表达式构成的。
它包含了一个分子和一个分母,分子表示分式的上部分,分母表示分式的下部分。
分式化简是指将一个复杂的分式表达式化简为最简形式的过程。
本文将介绍一些常见的分式化简计算题,并给出详细的解答。
希望通过学习这些例题,读者能够更好地理解分式化简的方法和技巧。
1. 分式化简计算题1.1 例题一化简下列分式,并求出最简形式:$$ \\frac{12}{18} $$1.2 例题二化简下列分式,并求出最简形式:$$ \\frac{28}{35} $$1.3 例题三化简下列分式,并求出最简形式:$$ \\frac{48}{64} $$2. 分式化简计算题的解答2.1 例题一的解答首先,我们可以将分子和分母的公因子提取出来:$$ \\frac{12}{18} = \\frac{2 \\times 6}{3 \\times 6} $$然后,我们可以将分子和分母进行约分,取消它们的公因子:$$ \\frac{2 \\times 6}{3 \\times 6} = \\frac{2}{3} $$所以,分式 $\\frac{12}{18}$ 化简为最简形式 $\\frac{2}{3}$。
2.2 例题二的解答同样地,我们可以将分子和分母的公因子提取出来:$$ \\frac{28}{35} = \\frac{7 \\times 4}{7 \\times 5} $$然后,我们可以将分子和分母进行约分,取消它们的公因子:$$ \\frac{7 \\times 4}{7 \\times 5} = \\frac{4}{5} $$所以,分式 $\\frac{28}{35}$ 化简为最简形式 $\\frac{4}{5}$。
2.3 例题三的解答同样地,我们可以将分子和分母的公因子提取出来:$$ \\frac{48}{64} = \\frac{4 \\times 12}{4 \\times 16} $$然后,我们可以将分子和分母进行约分,取消它们的公因子:$$ \\frac{4 \\times 12}{4 \\times 16} = \\frac{12}{16} $$接下来,我们可以继续约分,找到分子和分母的最大公因子,并将其约去:$$ \\frac{12}{16} = \\frac{3 \\times 4}{4 \\times 4} = \\frac{3}{4} $$所以,分式 $\\frac{48}{64}$ 化简为最简形式 $\\frac{3}{4}$。
提升课堂托辅中心初二数学分式计算化简解答精选100题2013年1月25日一、填空 1当1-=x 时,_________112-+x x;当x 、y满足 时,)(3)(2y x y x ++的值为32。
2当_____x 时,x --11的值为负数;当x 时,分式21612x x+-的值为非负数。
3分式xx -+212中,当____=x 时,分式没有意义,当____=x 时,分式的值为零。
4当____=x 时,23-x x 无意义,当x 、y 满足 时,分式xyyx +的值为零。
5若分式y x xy -中x 、y 都扩大3倍,则分式值 ;若xy x 23+中x 、y 都缩小12倍,则分式值 。
6当____x 时,分式8x 32x +-无意义;若分式2x 1x --有意义,则x 应满足 。
7若1233215,7x y z x y z ++=++=,则111x y z++= ;若x +y =-1,则_____222=++xy y x 。
8当m=_____时,分式23)3)(1(2+---m m m m 的值为0;当m=__ ___时,分式无意义。
9已知y x 11-=3,则分式y xy x y xy x ---+2232= ;若x 2+xy+y 2=O ,则x y +yx = 。
10若分式13-x 的值为整数,则整数x= ;若14+x 为整数时,x 的值共有 个。
11若非零实数a ,b 满足4a 2+b 2=4ab ,则ab =_____;若实数x 满足4x 2-4x +l=O ,则2x +x 21=_______。
12若x +x 1=3,则2x +21x = ,4x +41x = ;若01x 4x 2=++则______122=+xx 。
13已知a 2-6a+9与|b -1|互为相反数,则(ab b a -)÷(a +b )=______。
14、用科学计数法表示:0000012.0-米= 米。
二、选择题 1下列式子y x y x y x -=--122;c a b a a c a b --=--;1-=--ba ab ;y x y x y x y x +-=--+-中正确的是( ) A 、1个 B 、2 个 C 、 3 个 D 、 4 个2能使分式122--x xx 值为零的x 值是( )A 0=x B 1=x C 0=x 或1=x D 0=x 或1±=x3下列说法(1)分式的分子、分母都乘以(或除以)2+a ,分式值不变;(2)分式y-83的值能等于零;(3)12+x x 的最小值为零;其中正确的说法有( )A 1个 B2 个 C 3 个 D 4 个4已知0≠x ,x x x 31211++等于( ) A x 21 B x 61 C x 65 D x6115下列x y x y +-,3xy y -,-310,25y +,3x ,4xxy ,()x x x x y x x x 2225 ,1,2 ,34 ,151+---π中,分式有( ) A .4 B .5 C .6 D .76下列分式221x x x -+,22x y x y +-,11x x --+,2222x y x y +-,最简分式有( )个A. 4 B. 3 C. 2D. 17计算)21(22x x x -÷-的结果为()A .x B .x1-C .x 1D .x x 2--8下面各式,正确的是( )A. 326x x x =B. b a c b c a =++C. 1=++b a ba9分式xx xx 35352-=-变形成立条件是( )A 、x <0 B 、x >0 C 、x ≠0 D 、x ≠0且x ≠3 10不改变分式23.015.0+-x x 值,把分子和分母中各项系数都化为整数,结果为( )A 、2315+-x xB 、203105+-x xC 、2312+-x xD 、2032+-x x11下列等式中不成立的是( )A 、y x y x --22=x -yB 、y x y x y xy x -=-+-222C yx yxy x xy -=-2 D 、xy x y y x x y 22-=-12如果从一卷粗细均匀的电线上截取1米长的电线, 称得它的质量为a 克,再称得剩余电线的质量为b 克, 那么原来这卷电线的总长度是 ( ) A .b+1a 米 B .(b a +1)米 C .(a+b a +1)米 D .(a b +1)米13已知a ,b 为实数,且ab=1,设M=11+++b b a a ,N=1111+++b a ,则M ,N 的大小关系是( ) A 、M>N B 、M=N C 、M<N D 、不确定14下列分式的运算中,其中结果正确的是( )A 、a 1+b a b +=21B 、323)(a a a = C 、b a b a ++22=a+b D 、319632-=+--a a a a 15当x 为任意实数时,下列分式一定有意义的是( )A .212-x B .122+x C .22xD .21+x 16已知两个分式:244A x =-,1122B x x=++-,其中2x ≠±,则A 与B 的关系是4 A.相等 B.互为倒数 C.互为相反数 D.A 大于B17下列分式的运算中,其中结果正确的是( )A 、a 1+b a b +=21B 、323)(a a a = C 、b a b a ++22=a+b D 、319632-=+--a a a a 18下列各式从左到右的变形正确的是( )A.122122x yx y x y x y --=++ B.0.220.22a b a b a b a b ++=++ C.11x x x y x y +--=-- D.a b a b a b a b +-=-+ 19当x 为任意实数时,下列分式一定有意义的是( )A .212-x B .122+x C .22xD .21+x 20若有m 人a 天完成某项工程,则(m+n )个同样工作效率的人完成这项工程需要的天数是( )A 、a+mB 、n m ma + C 、n m a + D 、manm + 21在一段坡路,小明骑自行车上坡的速度为每小时V 1千米,下坡时的速度为每小时V 2千米,则他在这段路上、下坡的平均速度是每小时( )。
A 、221v v +千米 B 、2121v v v v +千米 C 、21212v v v v +千米 D 无法确定22学生有m 个,若每n 个人分配1间宿舍,则还有一人没有地方住,问宿舍的间数为( ).(A )1m n + (B )1m n - (C )1m n - (D )1mn + 23若3x =时,代数式x1x 21x x 1x x-÷⎪⎭⎫ ⎝⎛+--的值是( ) A .213- B .231- C .233- D .233+ 24化简2222a ab b ab ab b a ----的结果是( )A .a b b a 22+- B .b a C .b a- D .ab b 2a 22+ 25下面的计算中,正确的是( )A .21x x1x 11x =----- B .2244222322ab b a b a b a b a b a =÷=⋅÷C .1ba ab b a b a b a m mm m m m m 3m 3m 2m 2=⋅=⋅÷D .0)1x (x)1x (x )x 1(x )1x (x 6666=---=-+- 26计算⎪⎭⎫ ⎝⎛-+÷⎪⎭⎫ ⎝⎛-+1x 111x 112的结果是( )A .1B .x +1C .x 1x + D .1x 1-三、化简计算1.xy yy x x 222-+- 2.112---a a a3.11211122-+----x x x x 4.22653233a a a a ---+-5.)1(111112-⎪⎭⎫ ⎝⎛-++-x x x 6.b a a b a +--27.x x x x x 2)2422+÷-+- 8.÷--23x x (25-x -x -2)9.ab b a ab b a b a 21(222222++÷--) 10.22193m m m -=-+11.13+a a -1+a a 12.(m 1+n 1)÷n n m +13.24111a a a a++-- 14. x -1x ÷(x -1x ).15.222)2222(x x x x x x x --+-+- 16.xx x x x x x x 4)44122(22-÷+----+17.2144122++÷++-a a a a a 18 22111()a b a b b a÷+-+- 19.)2x 2x 5(2x 6x 2---÷-- 20. 2244)2)(1(22-÷⎥⎦⎤⎢⎣⎡--+--+a a a a a a a a a21.4x 24x 216x 42--++- 22.x 1x 3x 2x 1x x 3x 1x 2222+÷⎪⎪⎭⎫ ⎝⎛-----+23.⎪⎭⎫ ⎝⎛--+÷--252423m m m m 24.32162-+-a a a+8616452222+--÷-+++a a a a a a a25.ba ab a b b b a -⋅⎪⎭⎫ ⎝⎛-+-1; 26. 1-2222442b ab a b a b a b a ++-÷+-;四、计算求值: 1. 若1=ab ,求221111ba +++的值2. 若ab b a 322=+,求分式)21)(21(222b a bba b -+-+的值3. 已知23=-+b a b a ,求分式ab b a 22-的值4. 已知211=+y x ,求分式yx xy y y x x 33233++++的值 5. 已知51,41,31=+=+=+c a ac c b bc b a ab ,求bc ac ab abc ++的值.6. 已知a=2,求22111244a a a a a a a ---÷-+++的值7. 计算22213(1)69x x x x x x x-+÷-•+++,并在0、1、2、3中任取其一求值8. 先化简11112-÷⎪⎭⎫ ⎝⎛-+x x x ,再选恰当x 值代人并求值.9. 请你先化简,再选取一个你喜欢的数代入并求值: 11)1(212--+-+a a a a .10. 221111121x x x x x +-÷+--+,其中1x =.11.已知23y 32x -=+=,,求yx y x )y x (2244++÷-的值.12.先化简代数式)n m ()n m (mn2n m n m n m n m 22222-+÷⎪⎪⎭⎫ ⎝⎛+---+,然后请你自取一组a 、b 的值代入求值13.已知122y 22x -=-=,,求2y xy 2x y x y x y x 2222-++-++-.14.已知实数x 、y 满足04y 2x 32|1y x 2|=+-++-,求代数式2222y 4xy 4x y x y 2x y x 1+--÷---的值.五、解答题1. 已知22221111x x x y x x x x+++=÷-+--。