滚动轴承选型计算
- 格式:xls
- 大小:51.50 KB
- 文档页数:2
滚动轴承计算在机械设计中,对于滚动轴承,主要是正确选择其类型、尺寸(型号)和合理进行轴与轴承的组合设计。
在选定滚动轴承的类型、尺寸(型号),应综合考虑轴承的固定,轴承的组合定位,间隙的调整,轴承座圈与其他零件的配合,轴承的装拆和润滑、密封等问题,正确设计轴承部件的组合结构,以保证轴系的正常工作。
而在设计轴时已初选轴承为滚子轴承,现只需计算校核。
一、安装蜗轮的轴的轴承计算在设计轴时初选圆锥滚子轴承30312,e=0.35,Y=17, 径向力:FrA=J-I+F ;=3247NFrB 二廊蒋工3408N派生力:外载轴向力:Fa=468.93N皂=0.29<e,所以X A =0.4,YA=17,XB=1FrBYB=O由于为一般载荷,则fp=12,故当量载荷为:PA=f p (XA p rA÷YAFaA)=4463.5N PB=fp(XBFrB+YBFaB)=4089.6N而C r =170kN,故轴承寿命1p=^—[C]=1°6f 17OOOθY θ=775602χ104h>292000h p60n 3∣k PJ60×4014463.5J因此选用该轴承没问题。
二、蜗杆轴轴承的校核设计轴时,两端均初选轴承30307,e=0.31,Y=19FdB=—=1002N QD 2γFFdA =寸=955N轴向力:FaA=FdB+Fa2=1424NFaB=FdB=1002N当量载荷:由于区=0.43>eF 川径向力:FrA 二际F=3327N派生力:⅛-=875.53N 2Y轴向力:FaA=FdB+Fa 广7110.5N 当量载荷:由于E 型二区=0.37>e,FrB FM由于为一般载荷,则fp=12,故当量载荷为: P A =f p (XF rA +YF aA )=17808.9N而C r =75.2kN,故轴承寿命IO 6(75200Y oz3 Q--------- B 上=1405.6X1()3h>292000h60x1440^17808.9;因此选用该轴承也没问题。
滚动轴承的选型计算一、滚动轴承的组成外圈、内圈、滚动体、保持架内圈:支撑轴外圈:支撑零件或轴系滚动体:滑动è滚动;保持架: 将滚动体分开优点:摩擦阻力小、启动灵敏、效率高、润滑简便、和易于互换等。
缺点:抗冲击能力差、高速时出现噪音滚动轴承的主要类型和特性二、轴承分类按载荷方向分向心轴承:主要承受径向力比如常用的(深沟球轴承)推力球轴承:主要承受轴向力比如推力球轴承按滚动体形状分:球轴承和滚子轴承球轴承主要用于转速较高承载较低使用滚子轴承主要用于承载较高及转速较低场合三、轴承的介绍调心球轴承代号 10000 极限转速中等允许角偏差2-3度主要承受径向载荷,同时也能承受少量轴向载荷。
因为外滚道表面是以轴承中点为中心的球面,故能调心。
调心滚子轴承代号20000C 极限转速低允许角偏差 0.5-2度能承受很大的径向载荷和少量轴向载荷。
承载能力大,具有调性能。
圆锥滚子轴承代号30000 极限转速中允许角偏差 2度能同时承受较大的径向、轴向联合载荷。
因线性接触,承载能力大,内外圈可分离,装拆方便,称对使用。
推力球轴承代号50000 极限转速低允许角偏差不允许只能承受轴向载荷,且作用线必需与轴线重合。
分为单、双向两种。
高速时,因滚动体离心力大,球与保持架摩擦发热严重,寿命较低,可用于轴向载荷大、转速不高之处。
推力球轴承50000极限转速低允许角偏差不允许只能承受轴向载荷,且作用线必需与轴线重合。
分为单、双向两种。
高速时,因滚动体离心力大,球与保持架摩擦发热严重,寿命较低,可用于轴向载荷大、转速不高之处深沟球轴承代号60000 极限转速高允许角偏差 8-16能同时承受较大的径向、轴向联合载荷。
因线性接触,承载能力大,内外圈可分离,装拆方便,成对使用。
角接触球轴承70000C(α=15˚)70000AC(α=25˚)70000B(α=40˚ )极限转速较高允许角偏差2-10能同时承受较大的径向、轴向联合载荷。
轴承的选型计算实例
轴承的选型计算实例
一、计算实例
假设一轴承的使用条件是:
1、轴承的负载:动载荷P=10kN,静载荷P=8kN;
2、轴承的精度要求:等级为P3级;
3、轴承有效的节温及润滑油:ΔT=45℃,油温及摩擦系数:μ=0.12;
4、轴承的使用寿命:LH=1.2×106次;
5、轴承外形尺寸:轴径d=100mm,衬套宽度B=20mm;
根据以上条件,进行轴承选型的计算.
二、计算过程
1、计算轴承的能量品质值(F)
根据轴承能量品质值计算公式:
F=(0.008×P+0.08×C)/d2=(0.008×18+0.08×45)/1002=0.006
2、根据轴承的使用条件,查询选型数据,找出符号条件的轴承型号
根据上述条件,从选型数据中找出符合条件的轴承型号:
(1)轴承型号现有:QJ100;
(2)型号内轴承外形尺寸:d=100mm,B= 22mm;
(3)轴承能量品质值:F=0.006;
(4)轴承等级要求:等级为P3级;
(5)轴承的使用寿命:LH=1.2×106次。
综上所述,可选择符合条件的轴承型号为:QJ100-P3-LH。
三、结论
根据上述计算分析,可以这个轴承的选型为:QJ100-P3-LH。
机械简单的选型计算公式在机械设计中,选型计算是非常重要的一步,它直接关系到机械设备的性能和使用寿命。
选型计算需要考虑多个因素,包括负载、速度、功率等,而这些因素又会涉及到多个物理量的计算。
本文将介绍一些机械简单的选型计算公式,帮助读者更好地进行选型计算。
1. 轴承选型计算。
在机械设备中,轴承是承载转动部件的重要组成部分,它的选型计算需要考虑到负载、转速、轴承寿命等因素。
一般来说,轴承的额定动载荷可以通过以下公式计算:P = (C/P) (F0.3)。
其中,P为额定动载荷,C为基本动载荷,P为实际载荷。
基本动载荷可以通过轴承型录中的数据获取,实际载荷需要根据实际情况进行计算。
2. 传动带选型计算。
传动带是机械设备中常用的传动元件,它的选型计算需要考虑到功率、转速、中心距等因素。
传动带的带速可以通过以下公式计算:V = π D n。
其中,V为带速,D为传动带的直径,n为转速。
通过带速的计算,可以进一步计算传动带的长度和张紧力等参数。
3. 齿轮选型计算。
齿轮是机械设备中常用的传动元件,它的选型计算需要考虑到功率、转速、齿轮模数等因素。
齿轮的模数可以通过以下公式计算:m = (π D) / z。
其中,m为模数,D为齿轮的直径,z为齿数。
通过模数的计算,可以进一步计算齿轮的模数、齿宽等参数。
4. 泵选型计算。
泵是机械设备中常用的流体传动元件,它的选型计算需要考虑到流量、扬程、效率等因素。
泵的功率可以通过以下公式计算:P = (Q H ρ g) / η。
其中,P为功率,Q为流量,H为扬程,ρ为流体密度,g为重力加速度,η为泵的效率。
通过功率的计算,可以进一步计算泵的轴功率、电机功率等参数。
以上是机械简单的选型计算公式,希望对读者有所帮助。
在进行选型计算时,需要根据实际情况综合考虑多个因素,确保选型计算的准确性和可靠性。
同时,也可以借助计算软件和在线计算工具进行选型计算,提高工作效率和准确性。
滚动轴承的选择及校核计算根据条件,轴承的预计寿命 h L h45568283568=⨯⨯⨯=' 一.蜗杆轴上的轴承的选择和寿命计算1.轴承的选择采用角接触球轴承,其型号为7212AC ,主要参数如下: mm mm mm B D d 2211060⨯⨯=⨯⨯基本额定静载荷kN C or 2.46=基本额定动载荷kN C r 2.58=极限转速m in /5300max r V =2.寿命计算因为蜗杆所受的轴向力向左N d T F F a t 49021121===N d T F F t a 323222221===N F F F t r r 1507tan 221===α该轴承所受的径向力N F F r r 5.753211== 对于7000AC 型轴承,查P322表13-7轴承派生轴向力r d F F 68.0=12d ae d F F F =+kN F F d a 4.51222=='kN F F F ae d a 4.374421=+=' 又e F F r a =>=68.03.4所以可得出87.0,41.0==Y X当量动载荷N YF XF P a r 6.3566=+=因为是球轴承,所以取指数3ε=轴承寿命计算h P C n L h 50498)57.32.58(14306010)(6010366=⨯⨯=='ε 所以该轴承满足寿命要求。
二.涡轮轴上轴承的选择和寿命计算1.轴承的选择选择角接触轴承,其型号为7213AC ,主要参数如下: mm mm mm B D d 2312065⨯⨯=⨯⨯基本额定静载荷kN C or 5.52=基本额定动载荷kN C r 5.66=2.计算涡轮轴的径向力N F F F a r V r 75.373160224880221=⨯-⨯= N F F F V r r V r 25.1133122=-=N F F t H r 16161608021== N F F F H r r H r 1616122=-=所以可以得出N F F F H r V r r 7.165821211=+=N F F F H r V r r 8.197322222=+=对于7000AC 型号的轴承r d F F 68.0=N F F r d 9.112768.011==N F F r d 2.134268.022==所以可得N F F F d ae a 2.1832221=+=N F F d a 2.134222== 又68.08.19732.134222==r a F F 所以可以得出0,1==Y X 轴承的当量动载荷N F P r 8.197322==h P C n L h 445726)97.15.66(14306010)(6010363262=⨯⨯== 68.093.08.19732.183211>==r a F F 所以有87.0,41.0==Y X 当量动载荷N YF XF P a r 2274111=+=h P C n L h 291478)(60103161==。
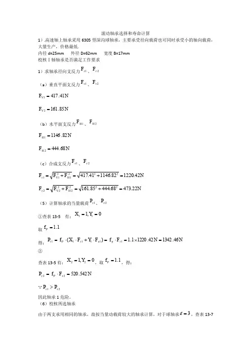
滚动轴承选择和寿命计算1).高速轴上轴承采用6305型深沟球轴承,主要承受径向载荷也可同时承受小的轴向载荷,大量生产,价格最低.内径d=25mm 外径D=62mm 宽度B=17mm校核Ⅰ轴轴承是否满足工作要求1)求轴承径向支反力1r F 、2r F(a )垂直平面支反力1v F 、2v FNF V 41.4171= N F V 85.1612=(b )水平面支反力1H F 、2H FN F H 82.11461=N F H 68.4442=(c )合成支反力1r F 、2r FNF F F H V r 42.122082.114641.4172221211=+=+= N F F F H V r 22.47368.44485.1612222222=+=+=(5)计算轴承的当量载荷1r P 、2r P①查表13-5 有:0,111==Y X取1.1=P f得:N N F f F Y F X f P r p a r P r 46.134242.12201.1)(111111=⨯=⋅=⋅+⋅⋅= ②查表13-5有:0,122==Y X ,取1.1=P f ,得:N F f P r P r 542.52022=⋅=21r r P P >因此轴承1危险。
(6)校核所选轴承由于两支承用相同的轴承,故按当量动载荷较大的轴承计算,对于球轴承3=ε,查表13-7取温度系数=t f 1 ,计算轴承工作寿命:6310()60r h C L n P =h 95.36513)46.134217200(960601036=⨯=满足使用寿命要求结论:轴承型号最终确定为:63052).中间轴上轴承采用6306型深沟球轴承,主要承受径向载荷也可同时承受小的轴向载荷,大量生产,价格最低.内径d=30mm 外径D=72mm 宽度B=19mm校核Ⅱ轴轴承是否满足工作要求(1)求轴承径向支反力1r F 、2r F(a )垂直平面支反力1v F 、2v FN F V 46.8621=NF V 75.10342= (b )水平面支反力1H F 、2H FN F H 79.1661=N F H 68.19792=(c )合成支反力1r F 、2r FN F F F H V r 44.87879.16646.8622221211=+=+=NF F F H V r 79.223368.197975.10342222222=+=+=(5)计算轴承的当量载荷1r P 、2r P①查表13-5 有:0,111==Y X 取1.1=P f得:N F f F Y F X f P r p a r P r 28.96644.8781.1)(111111=⨯=⋅=⋅+⋅⋅= ②查表13-5有:0,122==Y X ,取1.1=P f ,得:N F f P r P r 169.245722=⋅=12r r P P >因此轴承2危险。
轴承选型计算内部编号:(YUUT-TBBY-MMUT-URRUY-UOOY-DBUYI-0128)第十章滚动轴承一.主要内容滚动轴承是各类机械中普遍使用的重要支撑标准件,并由专业厂大批量生产。
本章是本课程的重点章节之一,由于滚动轴承的类型,尺寸以及精度等级等已有国家标准,因此,在机械设计中需要解决的问题主要有:(1)根据工作条件合理选择滚动轴承的类型;(2)滚动轴承的承载能力计算;(3)滚动轴承部件的组合设计。
1.滚动轴承类型的选择选择滚动轴承的类型时,首先应熟悉轴承的结构,特点,并与十一章滑动轴承的特点比较,借以区别良种轴承的适用场合。
此外,还应熟悉表征滚动轴承工作性能的三要素,即游隙,接触角,偏位角,以及它们的含义和对轴承工作性能的影响。
还应掌握滚动轴承的分类,特点及代号表示法,以及滚动轴承的选择原则。
按轴承内部结构和所承受的载荷方向不同,滚动轴承可分为三大类:(1)向心轴承——主要承受径向载荷;(2)向心推力轴承——可同时承受较大的径向及轴向载荷;(3)推力轴承——只能承受轴向载荷;推力向心轴承——可在承受轴向载荷的同时,还可承受较小的径向载荷。
国家标准规定我国生产的滚动轴承分为十个标准类型,其中常用的标准类型有:单列向心轴承(0000系列),双列向心球面球轴承(1000系列),单列向心短圆柱滚子轴承(2000系列),单列向心推力球轴承(6000系列),单列圆锥滚子(7000系列)和单向推力球轴承(8000系列)。
滚动轴承的代号表示法,是为了便于选择和使用而规定的。
学习时特别是上述几种轴承的代号中段从右数四位数字和精度等级的表示方法要熟悉。
应能根据给出的轴承代号,正确判断出轴承的精度等级,类型,直径系列和内径尺寸,并能指出该轴承的结构,特点及应用场合。
通常在机械设计中,滚动轴承类型的选择,要根据轴承所承受的载荷大小,方向,性质,工作转速的高低,轴颈的偏转情况等要求,并结合不同轴承的类型特点进行。
滚动轴承的选择及校核计算滚动轴承的选择及校核计算根据根据条件,轴承预计寿命16×365×5=29200小时1、计算输入轴承(1)已知nⅡ=78.048r/min两轴承径向反力:F R1=F R2 =369.2906N初先两轴承为角接触球轴承7206AC型轴承内部轴向F S=F R则F S1=F S2=F R1=369.2906N(2) ∵F S1+Fa=F S2Fa=0故任意取一端为压紧端,现取1端为压紧端F A1=F S1=369.2906N F A2=F S2=369.2906N(3)求系数x、y/F A1/F R1=1F A2/F R2=1根据课本表得e=1F A1/F R1y1=0 y2=0(4)计算当量载荷P1、P2根据课本表取f P=1.5P1=f P(x1F R1+y1F A1)=1.5×(1X369.2906+0)=553.9359N P2=P1=553.9359N(5)轴承寿命计算∵P1=P2故取P=553.9359N∵角接触球轴承ε=2根据手册得7206AC型的Cr=23000NL H=16670/n(f t Cr/P)ε=16670/78.048×(1×23000/553.9359)2=368222.6h>29200h∴预期寿命足够2、计算输出轴承(1)已知nⅢ=78.048r/minFa=0 F R=F AZ=290.78N试选7207AC型角接触球轴承根据课本得F S=0.063F R,则F S1=F S2=0.63F R=0.63×290.78=182.7N(2)计算轴向载荷F A1、F A2∵F S1+Fa=F S2Fa=0∴任意用一端为压紧端,1为压紧端,2为放松端两轴承轴向载荷:F A1=F A2=F S1=182.7N(3)求系数x、yF A1/F R1=0.63F A2/F R2=0.63根据课本表得:e=0.68∵F A1/F R1y1=0∵F A2/F R2y2=0(4)计算当量动载荷P1、P2根据表取f P=1.5P1=f P(x1F R1+y1F A1)=1.5×(1×182.7)=274.05 N P2=fP(x2F R2+y2F A2)=1.5×(1×182.7)=274.05N (5)计算轴承寿命L H ∵P1=P2故P=274.05 ε=1根据手册7207AC型轴承Cr=30500N根据课本表得:ft=1L h=16670/n(ftCr/P)ε=16670/78.048×(1×30500/274.05)=23770.8h>29200h∴此轴承合格。
机械设计中的轴承选型计算要点轴承是机械设备中的关键部件,承担着支撑和传递载荷的重要功能。
为了确保机械设备的正常运转和长时间的使用寿命,合理选型和计算轴承至关重要。
本文将介绍机械设计中轴承选型时需要考虑的关键要点。
1. 轴承类型选择在进行轴承选型计算之前,首先需要确定所需的轴承类型。
常见的轴承类型包括滚动轴承、滑动轴承和滚珠丝杠。
不同的工作条件和要求会对轴承的类型提出不同的要求。
例如,滚动轴承适用于高速旋转和轴向载荷较大的场合,而滑动轴承适用于低速和高载荷的情况。
2. 轴承载荷计算轴承的选型计算离不开对载荷的合理估计。
在计算载荷时,需要考虑轴向载荷、径向载荷和瞬时载荷等多个因素。
轴承的寿命与所承受的载荷大小和方向有关,因此准确计算轴承的各项载荷是选型的关键。
3. 寿命计算轴承的寿命是指在标准工况下,轴承在规定限额内最长可连续运转的时间。
寿命的计算既要考虑寿命理论,也要考虑实际工况因素。
一般采用滚动轴承的额定寿命进行计算,确保轴承在设计寿命内正常工作。
4. 轴承尺寸计算根据载荷和寿命的计算结果,可以确定轴承的尺寸。
对于滚动轴承,需要考虑内径、外径和宽度等参数。
为了保证轴承的正常工作,需要参考相关的标准和规范,计算出合适的轴承尺寸。
5. 温度和润滑计算轴承在工作过程中会产生热量,因此需要计算轴承的工作温度。
温度过高会对轴承寿命和性能造成不良影响,因此需要合理选择润滑方式和材料,保证轴承的工作温度在可接受范围内。
6. 安装和维护要求在进行轴承选型之前,需要考虑轴承的安装和维护要求。
轴承的正确安装和定期的维护保养对于确保轴承的正常工作和延长轴承寿命非常重要。
7. 选型软件的应用为了简化轴承选型计算过程,可以借助各种轴承选型软件来辅助计算。
这些软件不仅可以提供轴承选型的准确计算结果,还能提供更多关于轴承的技术参数和性能指标,帮助设计人员更好地选择合适的轴承。
总结在机械设计中,轴承的选型计算是一个复杂的过程,需要综合考虑多个因素。
起重机车轮组滚动轴承的计算通用桥门式起重机系列大、小车车轮组(含水平轮)所用的轴承有三个系列,调心球轴承、单列圆锥滚子轴承和双列调心滚子轴承,轴承代号及标准号见下表:银起厂桥门吊系列大、小车轮组(含水平轮)采用的轴承型号规格参数见下表:注:1.有轴向载荷的起重机大车轮采用双“单列圆锥滚子轴承”且制造安装均能保证载荷均布时,稳定动负荷并不是单列轴承的两倍,对线接触是27/9=1.71倍。
2.两套向心球轴承或向心滚子轴承并排安装且作为整体运转时,计算其额定动载荷时,应按一套双列轴承来考虑。
太重集团“工厂标准”-主(从)动车轮TZQ7163/4-1989,科尼公司1998系列计算书中给出的起重机车轮组所采用的轴承型号规格见下表:近年来,由于单列圆锥滚子轴承(含为避免会产生的附加轴向力而成对配制时)轴向游隙的大小对能否良好工作影响很大,装配及使用过程中又不便调整,故寿命较差,已为双列调心滚子轴承所代替,这可从太重和科尼的产品得到证实。
本次系列设计,车轮组使用双列调心滚子轴承(GB288-1994),按手册推荐“应优先选用经结构优化设计的类别”的原则,全部选用22200C/W33或22300C/W33型(C-经设计改进,加强型;W33-轴承外圈上有三个油槽和3个油孔)。
本次设计采用的大小车轮轴承见下表:一.滚动轴承的选用程序1.滚动轴承按照需要确定类型后,应该按实际承受的载荷计算出当量动载荷,再根据所需要的寿命计算出额定动载荷C和额定静载荷C O,按照不大于轴承性能表中的额定值查选型号规格;2. 选择轴承的精度、游隙、与轴及轮毂的配合,润滑剂及润滑方法3. 轴承的密封及轴向的固定二. 按标准推荐的方法计算选择轴承的型号规格车轮组轴承属于低速旋转的轴承,宜按额定动载荷和额定静载荷的计算值,取其中较大者查滚动轴承性能表选择轴承。
1.基本额定动载荷C的计算C=(f h f m f d/f n f T)P<Cr上式中:f h-寿命因数,按相应的工作级别规定的使用寿命值查表7-2-23选取。
滚动轴承的选择计算16. 3 滚动轴承的选择计算16.3.0滚动轴承类型的选择1.轴承的载荷大小:滚子轴承优于球轴承方向:径向R(6、1、N)轴向A(5)R+ A(7、3、6)轴承的载荷方向2.轴承的转速极限转速n:滚动轴承允许的最高工作转速称为lim 极限转速。
对高转速的轴承:1).优先选用球轴承(润滑的阻力)2).轻系列轴承优于中、重系列(离心力) 3).实体保持架优于冲压保持架(易形成油膜减小摩擦)4).提高公差等级、改善润滑条件等推力轴承的主要承载能力表现在轴向,离心力过大时无法通过径向反力平衡,将引起较大的反力,发热大,极限转速较低3. 轴承的调心性能表16-24. 轴承的安装与拆卸5. 经济性:球比滚子便宜,精度适宜比较球轴承和滚子轴承有:16.3.1滚动轴承的工作情况分析1.运动关系:内外圈相对回转;滚动体既自转又公转。
2.轴承中载荷的分布: ,推力轴承 F=F/z 0 a,向心轴承,在载荷F 的作用下,根据变形关系,轴承r下部中间滚动体受力最大,向两边逐渐减小。
也就是说~最多只有半圈滚动体受载~且各滚动体的受载大小也不同。
应力循环特性:内、外圈~滚动体的受力可以认为是脉动循环。
16.3.2 滚动轴承的失效形式及设计准则设计失效形式准则点蚀(一般轴承) 寿命计算静载永久变形荷计算密封;磨损、烧伤润滑、散热限制胶合极限转速元件破裂,重新正确安装。
对可分离的高精度轴承不能互换安装.在正确使用下,滚动轴承的最主要的失效形式是点蚀,点蚀可能发生在滚动体和任意座圈上,由于滚动轴承的接触应力较大,通常不按永久寿命设计,设计滚动轴承的寿命是滚动轴承设计的重要内容.由于滚动轴承工作中的接触应力较大,在接触应力作用下元件表面可能发生塑性变形,过大的塑性变形会影响轴承的工作平稳性和旋转精度,除过大的工作应力会造成塑性变形以外,拆卸和装配中的不正确操作也会引起塑性变形;在润滑不良的情况下,会造成轴承磨损,在使用滚动轴承中应保证充足的润滑,在设计中应为正确的润滑提供条件,应为添加润滑剂和保持润滑剂的合理量设置必要的装置,如加油孔,油面显示装置等。
完整的轴承选型计算方法轴承是一种机械零件,用于支撑旋转机械部件,在旋转过程中减小摩擦和传递载荷。
轴承选型是确定轴承类型、尺寸和载荷等参数的过程,旨在满足旋转机械的工作要求。
下面是完整的轴承选型计算方法。
第一步:确定载荷类型和大小在轴承选型计算中,首先需要确定旋转机械所承受的载荷类型和大小。
载荷类型包括径向载荷、轴向载荷和倾斜载荷等。
通过分析和测量,确定这些载荷的大小和方向。
第二步:计算等效载荷当轴承同时承受多种载荷时,需要将各种载荷转化为等效载荷,便于计算和比较。
常见的等效载荷计算方法有等效径向载荷、等效轴向载荷和等效最小荷重等。
第三步:选择轴承类型根据旋转机械的工作要求和等效载荷,选择合适的轴承类型。
常见的轴承类型有滚动轴承(如球轴承和滚子轴承)和滑动轴承。
根据旋转速度和摩擦系数等参数,确定最适合的轴承类型。
第四步:计算轴承尺寸根据等效载荷和旋转机械的工作要求,计算轴承的尺寸。
轴承的尺寸包括内径、外径、宽度和接触角等。
通过使用轴承选型手册、计算软件和公式等,确定最佳的轴承尺寸。
第五步:验证轴承寿命通过计算和验证,确定所选轴承的额定寿命是否符合要求。
在计算寿命时需要考虑轴承材料、润滑方式、运行温度和启停次数等因素。
第六步:选择润滑方式根据旋转机械的工作条件,选择合适的润滑方式。
常见的润滑方式有油润滑、脂润滑和固体润滑等。
根据轴承的工作速度和温度等参数,确定最佳的润滑方式。
第七步:检查轴承安装方式根据旋转机械的结构和工作条件,检查轴承的安装方式。
轴承的安装方式包括定位安装、自由安装和预装方式等。
根据轴承的类型和尺寸,选择最适合的安装方式。
第八步:考虑其他因素在轴承选型计算中,还需要考虑其他因素,如轴承的精度要求、密封方式、减震和降噪要求等。
根据工作条件和特殊要求,选择合适的轴承配件和附件。
以上是完整的轴承选型计算方法。
通过对载荷、轴承类型、尺寸、寿命、润滑、安装方式和其他因素的综合分析和计算,可以选择最合适的轴承,满足旋转机械的工作要求。
机械设计中的轴承选型与计算在机械设计中,轴承的选型和计算是至关重要的步骤。
正确选择和计算轴承可以确保机械设备的正常运转,延长轴承的使用寿命,并提高设备的可靠性和效率。
本文将介绍轴承选型和计算的基本知识和方法。
一、轴承选型1. 轴承类型的选择在进行轴承选型时,首先需要确定所使用的轴承类型。
常见的轴承类型包括滚动轴承和滑动轴承。
滚动轴承分为深沟球轴承、圆锥滚子轴承、调心滚子轴承等;滑动轴承分为滑动滚子轴承和滑动瓦轴承等。
根据不同的工况和要求,选择适当的轴承类型。
2. 轴承负载的计算轴承负载的计算是选型的重要依据。
负载包括轴向负载、径向负载和振动负载等。
根据实际工况和受力情况,计算轴承所受的各项负载,并选择适当的轴承承载能力。
3. 轴承额定寿命的估算轴承额定寿命是指在给定负载和速度下,轴承可以满足90%以上设备的寿命。
根据负载、速度和运转时间等参数,参考轴承制造商提供的额定寿命数据,估算轴承的使用寿命。
二、轴承计算1. 轴承额定动载荷的计算轴承额定动载荷是指在标准试验条件下,轴承在一定寿命下可承受的最大负载。
根据负载、转速和寿命要求等参数,计算轴承的额定动载荷。
2. 轴承寿命的估算轴承的寿命受到多种因素的影响,如负载、转速、润滑方式、清洁度等。
根据轴承的基本额定寿命和修正系数等参数,估算轴承的实际寿命。
3. 轴承尺寸的计算根据轴承的负载和运转条件,计算轴承的尺寸和结构参数。
这包括轴承的内径、外径、宽度、接触角等。
通过计算,确定最适合的轴承尺寸。
三、轴承选用的注意事项1. 考虑安装空间和轴承刚度在选择轴承时,需要考虑机械设备的安装空间和对轴承刚度的要求。
根据实际情况,选择合适尺寸的轴承,并评估其刚度性能。
2. 选择适当的轴承材料和润滑方式根据工作环境和工作条件,选择合适的轴承材料和润滑方式。
常见的轴承材料有钢、陶瓷等;润滑方式包括油润滑和脂润滑等。
选择合适的材料和润滑方式,可以提高轴承的使用寿命和性能。
滚动轴承的选择和计算滚动轴承是一种常见的机械传动元件,广泛应用于各种机械设备中。
在选择和计算滚动轴承时,需要考虑多个因素,包括轴承类型、负荷、转速、寿命等。
本文将从这些方面进行介绍和分析。
一、轴承类型滚动轴承的类型有很多种,包括深沟球轴承、圆锥滚子轴承、调心球轴承、圆柱滚子轴承等。
不同类型的轴承适用于不同的工况和负荷。
例如,深沟球轴承适用于轻负荷和高速运转的场合,而圆柱滚子轴承适用于重负荷和低速运转的场合。
因此,在选择轴承时,需要根据实际工况和负荷情况来确定合适的轴承类型。
二、负荷负荷是影响轴承选择和计算的重要因素之一。
负荷包括径向负荷和轴向负荷。
径向负荷是指垂直于轴线的力,轴向负荷是指沿着轴线方向的力。
在计算轴承负荷时,需要考虑实际工况下的最大负荷和工作周期。
根据负荷大小和方向,可以选择合适的轴承类型和规格。
三、转速转速是指轴承在工作时的转速。
转速越高,轴承的磨损和热量就越大,寿命也会相应缩短。
因此,在选择轴承时,需要根据实际工况和转速要求来确定合适的轴承类型和规格。
同时,还需要考虑轴承的润滑方式和润滑剂的选择,以保证轴承的正常运转和寿命。
四、寿命轴承的寿命是指在一定条件下,轴承能够正常运转的时间。
轴承的寿命与负荷、转速、润滑方式、轴承材料等因素有关。
在选择轴承时,需要根据实际工况和寿命要求来确定合适的轴承类型和规格。
同时,还需要注意轴承的安装和维护,以延长轴承的寿命。
五、计算方法在选择和计算轴承时,可以采用多种方法。
常用的方法包括手算法、计算机辅助设计软件和轴承厂家提供的选型软件。
手算法适用于简单的轴承计算,但对于复杂的工况和轴承类型,计算量较大,容易出错。
计算机辅助设计软件可以快速准确地计算轴承的负荷、寿命等参数,但需要掌握软件的使用方法。
轴承厂家提供的选型软件可以根据实际工况和要求,快速选择合适的轴承类型和规格,但需要注意软件的准确性和可靠性。
选择和计算滚动轴承需要考虑多个因素,包括轴承类型、负荷、转速、寿命等。
八、 滚动轴承的选择和寿命计算 (一) 高速轴轴承1. 计算两轴承受到的径向载荷由轴的受力分析可知,两轴承所受的径向载荷分别为N N F F F NH NV r 15895.15535.3352221211=+=+= N N F F F NH NV r 17595.15538252222222=+=+=2. 计算两轴承所受到的轴向力查参考资料2表15-5得,对于30208型圆锥滚子轴承, Y=1.6,则由径向力产生的派生轴向力分别为N N Y F F r d 4976.121589211=⨯==,N N Y F F r d 5506.121759222=⨯== 两派生轴向力的方向见下图N F N N F F d a d 550122272549721=>=+=+,故轴左移,2端压紧,1端放松,则两轴承的轴向力分别为N F F N N F F F d a a d a 497,12227254971112===+=+=3. 求轴承的当量动载荷查参考资料2表15-5,30208型圆锥滚子轴承,e=0.3737.031.0158949711=<==e F F r a ,37.069.01759122222=>==e F F r a 查参考资料1表13-6,取载荷系数1.1=p f ,则轴承的当量动载荷为()()N N YF XF f P a r p r 292512226.117594.01.1222=⨯+⨯⨯=+=N N F f P r p r 174815891.111=⨯==4. 验算轴承寿命查参考资料2表15-5,30208型圆锥棍子轴承的基本额定动载荷为63.0kN ,减速器的寿命h h L h 480001610300=⨯⨯='因为12r r P P >,因此用轴承2进行验算'>=⎪⎪⎭⎫ ⎝⎛⨯⨯⨯=⎪⎪⎭⎫ ⎝⎛=h r r h L h h P C n L 10296392925100.634506010601031036226ε, 因此轴承满足寿命要求。