潜水泵选型参数大全(2013年更新)
- 格式:doc
- 大小:618.50 KB
- 文档页数:13
井用潜水泵型号及参数井用潜水泵是一种以潜水方式工作的水泵,主要用于从井中抽取地下水或其他液体。
它一般由电机、泵体、联轴器、导叶管路、减振或减震装置等组成。
不同型号的井用潜水泵具有不同的参数,本文将介绍几个常见的井用潜水泵型号及其参数。
1.QJ型井用潜水泵QJ型井用潜水泵是一种多级离心潜水泵,适用于较深的井。
其主要参数包括:-流量:1~600m³/h-扬程:5~600m-功率:0.37~185kW-电压:380V- 进口直径:32~150mm- 出口直径:32~150mm- 转速:2850r/min2.QJD型井用潜水泵QJD型井用潜水泵是一种小型单级离心潜水泵,适用于浅井。
其主要参数包括:-流量:0.5~3.2m³/h-扬程:10~95m-功率:0.25~0.75kW-电压:220V- 进口直径:25~32mm- 出口直径:25~32mm- 转速:2850r/min3.QJR型井用热水泵QJR型井用热水泵是一种常用的高温潜水泵,适用于地热井等高温液体的抽取。
其主要参数包括:-流量:5~250m³/h-扬程:10~900m-功率:2.2~800kW-电压:380V- 进口直径:40~350mm- 出口直径:40~350mm- 转速:2950r/min4.QY型井用潜水泵QY型井用潜水泵是一种用于清洁水的单级离心潜水泵,适用于家庭或工业用途。
其主要参数包括:-流量:2~16m³/h-扬程:13~120m-功率:0.37~1.1kW-电压:220V- 进口直径:25~40mm- 出口直径:25~40mm- 转速:2850r/min井用潜水泵的型号及参数根据不同的使用需求和井口情况进行选择。
使用者在选购井用潜水泵时,需要根据井的深度、水位、需求流量和扬程等因素来确定合适的型号和参数。
同时,在使用过程中也需要根据实际情况进行维护保养,确保泵的正常运行和使用寿命。
潜水泵选型
本潜水泵选型内有性能图谱、型号规格、流量扬程功率、性能参数等供用户或设计院潜水泵选型设计【QW(WQ)系列无堵塞潜水排污泵】性能参数:
WQ、QW系列潜水式排污泵价格
【AS型撕裂式潜水排污泵】性能参数:
AS型无堵塞潜水排污泵价格
【AS型撕裂式潜水排污泵】性能型谱图:
AS型无堵塞潜水排污泵价格
【JYWQ系列自动搅匀潜水排污泵】性能参数:
JYWQ、JPWQ自动搅匀系列排污泵价格
【JYWQ系列自动搅匀潜水排污泵】性能曲线图:
JYWQ、JPWQ自动搅匀系列排污泵价格
【QJ型井用潜水泵(深井泵)】性能参数:
QJ系列井用潜水电泵价格
【QY型充油式潜水电泵】性能参数:
QY型充油式潜水泵价格
【WQK/QG系列切割式潜水排污泵】性能参数:
WQK高效无堵塞带切割装置型及带刀型污水污物潜水泵价格。
污水潜水泵型号及参数大全1. 引言污水潜水泵是一种专门用于排放和输送污水的设备,主要用于城市排水、污水处理厂、工业废水处理及农田灌溉等领域。
本文将介绍几种常见的污水潜水泵型号及其基本参数。
2. 型号一:XWQ污水潜水泵XWQ污水潜水泵是一种单级单吸轴向切割泵。
其主要特点如下:•扬程范围:2-50m•流量范围:8-550m³/h•功率范围:0.75-200kW•进口直径:50-350mm该型号的污水潜水泵适用于工业、市政污水处理及排水工程中,能有效切割纤维、塑料等颗粒物质,具有良好的排污性能。
3. 型号二:WQ宽通道污水潜水泵WQ宽通道污水潜水泵是一种多级、非堵塞式的污水潜水泵。
其主要特点如下:•扬程范围:5-40m•流量范围:5-2000m³/h•功率范围:0.75-350kW•进口直径:65-350mm宽通道设计使得该型号污水潜水泵能够有效排放含有大颗粒物的污水,适用于工业废水处理、市政污水、污水站等场合。
4. 型号三:AS潜水排污泵AS潜水排污泵是一种双吸、轴向分离式结构的污水潜水泵。
其主要特点如下:•扬程范围:5-125m•流量范围:7-1340m³/h•功率范围:1.5-400kW•进口直径:50-800mmAS潜水排污泵具有结构紧凑、噪音低、性能可靠等特点,适用于污水处理厂、化工厂及矿山工程等场合。
5. 型号四:QW液下混合流污水潜水泵QW液下混合流污水潜水泵是一种能同时输送清水和污水的潜水泵。
其主要特点如下:•扬程范围:3-30m•流量范围:10-460m³/h•功率范围:2.2-300kW•进口直径:65-600mm该型号污水潜水泵适用于排水系统、污水处理厂及污水站,具有高效能、稳定性好的优点。
6. 型号五:YW液下排污泵YW液下排污泵是一种立式、轴向流式的污水潜水泵。
其主要特点如下:•扬程范围:5-50m•流量范围:12-3500m³/h•功率范围:2.2-400kW•进口直径:150-1200mm该型号污水潜水泵适用于市政、工业污水处理站,可有效排放含有固体颗粒物的污水。
潜水泵选型参数大全1.泵的扬程:扬程是指水泵能够把水抬升的高度。
在选购潜水泵时,要根据实际使用场景确定所需的扬程。
通常情况下,扬程越高,所需的功率也越大。
2.泵的流量:流量是指单位时间内通过泵的水量。
根据需要排水或供水的量来选择合适的流量。
流量越大,所需的功率也越大。
3.泵的效率:效率是指泵转换的功率与输入的功率之比。
选择高效率的潜水泵可以减少能源消耗和运行成本。
4.泵的材质:潜水泵常见的材质有铸铁、不锈钢和塑料等。
不同的材质具有不同的耐腐蚀性和耐磨性,可以根据实际使用环境选择适合的泵材质。
5.泵的电压和功率:潜水泵通常需要接入电源供电。
选择适合的电压和功率可以确保潜水泵正常工作。
6.泵的类型:根据不同的使用场景和要求,潜水泵的类型也有所不同。
常见的潜水泵类型包括深井潜水泵、污水潜水泵、清水潜水泵、潜水潜水泵等。
7.泵的防护等级:潜水泵通常需要在水下长时间运行,所以具备良好的防护性能非常重要。
选择具有足够的防护等级的潜水泵可以保证其在水下运行时不受水压和水温的影响。
8.泵的安装方式:潜水泵可以选择水平安装或垂直安装。
根据实际使用场景和空间限制选择合适的安装方式。
9.泵的维护和保养:潜水泵的维护和保养对于延长泵的使用寿命和保持正常运行非常重要。
选择易于维护和保养的潜水泵可以减少后期维护成本。
10.泵的价格和品牌:根据预算和品牌信誉选择合适的潜水泵。
价格和品牌是选择潜水泵时需要考虑的重要因素。
总之,选购潜水泵时要综合考虑扬程、流量、效率、材质、电压和功率、类型、防护等级、安装方式、维护和保养以及价格和品牌等因素,选择适合的潜水泵参数可以确保其能够正常工作并满足使用需求。
潜水泵选型
本潜水泵选型内有性能图谱、型号规格、流量扬程功率、性能参数等供用户或设计院潜水泵选型设计【QW(WQ)系列无堵塞潜水排污泵】性能参数:
WQ、QW系列潜水式排污泵价格
【AS型撕裂式潜水排污泵】性能参数:
AS型无堵塞潜水排污泵价格
【AS型撕裂式潜水排污泵】性能型谱图:
AS型无堵塞潜水排污泵价格
【JYWQ系列自动搅匀潜水排污泵】性能参数:
JYWQ、JPWQ自动搅匀系列排污泵价格
【JYWQ系列自动搅匀潜水排污泵】性能曲线图:
JYWQ、JPWQ自动搅匀系列排污泵价格
【QJ型井用潜水泵(深井泵)】性能参数:
QJ系列井用潜水电泵价格
【QY型充油式潜水电泵】性能参数:
QY型充油式潜水泵价格
【WQK/QG系列切割式潜水排污泵】性能参数:
WQK高效无堵塞带切割装置型及带刀型污水污物潜水泵价格。
潜水泵型号及参数说明
潜水泵的型号及参数主要根据井径、流量、扬程、配用功率的不同而不同,就奥特泵业型号为AT250QJ80-300/10-110Kw的潜水泵来说明,AT表示的是奥特泵业的产品简称,250表示使用井径不小于250毫米,QJ表示井用潜水泵(潜井的首字母),80表示流量为80m³/h (即80吨每小时),300表示扬程为300米,10表示叶轮串联级数为10级,110表示配用功率为110Kw。
型号说明:
□ - WQ D - □ - □ - □
| | | | | | 电机功率(KW)
| | | | | 额定扬程(m)
| | | | 额定流量(m3/h)
| | | 配单相电机(配三相不标注)
| | 污水潜水电泵
| 口径
以下是一些常见潜水泵型号及参数的说明表格仅供参考。
潜水泵选型参数大全更新潜水泵是一种在水中工作的泵,通常用于排水、供水、调节水位等应用中。
选择合适的潜水泵参数对于保证设备的正常运行非常重要。
下面是潜水泵选型参数的详细介绍:1. 出口直径(mm):潜水泵的出口直径决定了泵水的流量和压力。
一般来说,出口直径越大,流量和压力越大。
根据实际需求,选择合适的出口直径可以确保泵水的工作效果。
2.流量(m³/h):潜水泵的流量是指单位时间内泵水的体积。
根据实际需求和工作条件,确定所需的泵水流量。
通常情况下,流量与出口直径有关,出口直径越大,流量越大。
3.扬程(m):潜水泵的扬程是指泵水能够提升的高度。
扬程越高,泵水能够提升的高度越大。
根据实际需求和使用条件,确定所需的扬程。
4. 功率(kw):潜水泵的功率是指泵水所需的电力。
功率越大,泵水的工作效率越高。
根据实际需求和供电条件,选择合适的功率可以确保设备的正常运行。
5.电压(V):潜水泵的电压是指泵水所需的电压。
根据供电条件,选择合适的电压。
6.频率(Hz):潜水泵的频率是指泵水工作所需的频率。
根据供电条件,选择合适的频率。
7. 最大颗粒物直径(mm):潜水泵的最大颗粒物直径是指泵水所能容纳的最大颗粒物的直径。
根据实际工况,选择合适的最大颗粒物直径可以避免泵水的堵塞和损坏。
8.工作介质:潜水泵的工作介质是指泵水的性质。
根据实际需求,选择适合的工作介质可以确保设备的正常运行。
9.材料:潜水泵的材料是指泵体、叶轮等部件的制造材料。
根据工作条件和介质特性,选择适合的材料可以确保设备的正常运行和使用寿命。
10.防护等级:潜水泵的防护等级是指泵体的防护能力。
根据工作条件和使用环境,选择适合的防护等级可以确保设备的安全运行。
11.安装方式:潜水泵的安装方式是指泵体的固定方式。
根据实际使用情况,选择合适的安装方式可以确保设备的稳定性。
12.高温工作能力:潜水泵的高温工作能力是指设备在高温环境下的正常运行能力。
根据实际使用条件,选择具有良好高温工作能力的设备可以确保设备的安全运行。
潜水泵型号及参数以下几款潜水泵型号及参数供用户或设计院选型设计【QW(WQ)系列无堵塞潜水排污泵】型号意义:WQ、QW系列潜水式排污泵价格编号型号规格流量(m³扬程转速WQ(铸铁) WQP(普WQP(304WQP(316自动耦合铸铁叶轮不锈钢叶带循环水【QW(WQ)系列无堵塞潜水排污泵】性能参数:WQ、QW系列潜水式排污泵价格【AS型撕裂式潜水排污泵】型号意义:AS型无堵塞潜水排污泵价格编号型号规格流量(m³/h)扬程(m)功率(KW)转速(r/min)电压(V)配用胶管内径(mm)AS 叶轮自耦装置GAK一控一全保自动控制柜配浮球一控二、一用二备全保自动控制柜配浮球1 AS10-2W/CB 15 4 1.1 2850 220 76 1182 192 973 1043 16682 AS10-2CB 15 4.5 1.1 2900 380 76 1112 192 973 1043 16683 AS16-2CB 29 7.6 1.5 2900 380 76 1321 192 973 1043 1668【AS型撕裂式潜水排污泵】性能参数:AS型无堵塞潜水排污泵价格【JYWQ系列自动搅匀潜水排污泵】型号意义:JYWQ、JPWQ自动搅匀系列排污泵价格编号型号规格排出口径(mm)流量(m³/h)扬程(m)搅匀直径(mm)转速(r/min)功率(KW) 效率(%) JYWQ\JPWQ1 40-12-15-1200-1.5 40 12 15 1200 2900 1.5 48 11822 50-20-7-1200-0.75 50 20 7 1200 2900 0.75 62 9043 50-10-10-1200-1.1 50 10 10 1200 2900 1.1 54 9734 50-15-15-1200-2.2 50 15 15 1200 2900 2.2 51 13215 50-15-10-1200-1.5 50 15 10 1200 2900 1.5 65 1182【JYWQ系列自动搅匀潜水排污泵】性能参数:JYWQ、JPWQ自动搅匀系列排污泵价格【QJ型井用潜水泵(深井泵)】型号意义:QJ系列井用潜水电泵价格编号型号功率单价编号型号功率单价编号型号功率单价(kw) (元) (kw) (元) (kw) (元)1 100QJ2-50/10 0.75 1001 26 100QJ8-85/17 4 2752 51 150QJ20-33/53 28362 100QJ2-80/16 1.1 1112 27 100QJ8-95/19 5.5 3406 52 150QJ20-39/6 4 28773 100QJ2-100/20 1.5 1195 28 100QJ8-150/30 7.5 4003 53 150QJ20-52/8 5.5 31554 100QJ2-140/28 1.5 1265 29 100QJ10-48/10 2.2 1724 54 150QJ20-59/9 5.5 3197【QJ型井用潜水泵(深井泵)】性能参数:QJ系列井用潜水电泵价格【QY型充油式潜水电泵】型号意义:QY型充油式潜水泵价格型号流量扬程功率(m3/h)(m)(kw)电压毛重管径单价型号流量扬程功率(m3/h)(m)(kw)电压毛重管径单价(v) kg mm/寸(v) kg mm/寸QY8.4-40/2-2.2 380 45 38/1.5 1112 QY15-60/2-4 380 65 50*2 1571 QY15-26-2.2 380 41 50*2 1001 QY25-38/2-4 380 65 63/2.5 1571 QY25-17-2.2 380 41 63/2;5 1001 QY40-21-4 380 56 75*3 1473 QY40-12-2.2 380 42 75/3* 1001 QY65-13-4 380 5B 100/4 1473【QY型充油式潜水电泵】性能参数:QY型充油式潜水泵价格。
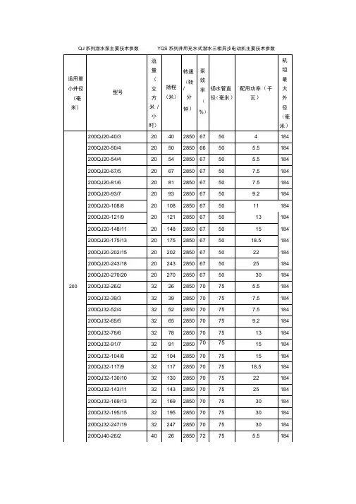
200QJ系列潜水泵主要技术参数表150QJ系列潜水泵主要技术参数表175QJ系列潜水泵主要技术参数表250QJ系列潜水泵主要技术参数表250---机座号QJ---潜水泵10----流量-34——杨程300QJ系列潜水泵主要技术参数表400QJ系列潜水泵主要技术参数表常用水泵型号代号DL------多级立式清水泵BX——消防固定专用水泵ISG------单级立式管道泵IS——单级卧式清水泵DA1——多级卧式清水泵QJ——潜水泵泵型号意义:如40LG12 - 15 40 —进出口直径(mm )LG —高层建筑给水泵(高速)12 —流量(m3/h )15-单级扬程(M)QJ---潜水电泵20—流量20m3/h 108---扬程108M8---级数8级水泵的基本构成:电机、联轴器、泵头(体)及机座(卧式)。
水泵的主要参数有:流量,用Q表示,单位是M3/H ,L/S。
扬程,用H表示,单位是M 对清水泵,必需汽蚀余量(M)参数非常重要,特别是用于吸上式供水设备时。
对潜水泵,额定电流参数(A)非常重要,特别是用于变频供水设备时。
电机的主要参数:电机功率(KW),转速(r/min ),额定电压(V),额定电流(A)水泵型号代表水泵的构造特点工作性能和被输送介质的性质等。
由于水泵的品种繁多,规格不一,所以型号也较紊乱,这里只列岀一些常见的水泵型号。
BA型泵单级单吸悬臂式离心泵,流量为4.5〜360米3时,扬程为8~98米,介质温度在80 C以下。
以8BA——18A为例:8――代表吸入管接头为8英寸;BA ――代表单级单吸悬臂式离心泵;18――代表缩小1/10后化为整数的比转数;A――代表缩小了外径的叶轮。
SH型泵单级双吸泵壳水平中开的卧式离心泵,流量为102~12500米3时,扬程为9〜140米,介质温度小于80 Co如48SH-22 :48 代表吸入管接头为48英寸,即入口直径为1.2米;SH――代表单级双吸泵壳水平中开的卧式离心泵;22――代表缩小了1/10后化为整数的比转数,即ns- 220.DA型泵单吸多级分段式离心泵,流量为25〜350米3时,扬程为25〜550米。
潜水泵型号及参数说明潜水泵是一种将电机和泵体结合在一起的设备,能够将液体从一处抽送到另一处。
潜水泵常用于家庭排水、市政污水处理、农田灌溉、工业排水等领域。
下面将介绍几种常见的潜水泵型号及其参数说明。
1.QDX系列潜水泵QDX系列潜水泵是一种小型潜水泵,适用于家庭排水、农田灌溉等场合。
其参数包括:-流量:最大流量为5立方米/小时;-扬程:最大扬程为40米;-功率:功率范围从0.25千瓦到1.1千瓦;-电压:220V。
2.QJR系列不锈钢潜水泵QJR系列不锈钢潜水泵适用于清洁水或极少含有颗粒的液体。
其参数包括:-流量:最大流量为25立方米/小时;-扬程:最大扬程为120米;-温度范围:介质温度范围从-15摄氏度到+120摄氏度;-功率:功率范围从0.4千瓦到7.5千瓦;-电压:380V。
3.QY系列潜水泵QY系列潜水泵适用于农田排灌、市政污水处理等领域。
其参数包括:-流量:最大流量为50立方米/小时;-扬程:最大扬程为220米;-温度范围:介质温度范围从0摄氏度到40摄氏度;-功率:功率范围从0.75千瓦到11千瓦;-电压:380V。
4.QS系列潜水泵QS系列潜水泵适用于大型工业排污、市政工程等场合。
其参数包括:-流量:最大流量为980立方米/小时;-扬程:最大扬程为380米;-温度范围:介质温度范围从0摄氏度到40摄氏度;-功率:功率范围从2.2千瓦到45千瓦;-电压:380V。
总结:以上介绍了几种常见的潜水泵型号及其参数。
根据不同的应用场合和要求,选择适合的潜水泵可以提高工作效率和效果。
在购买潜水泵时,除了关注型号和参数外,还需考虑品牌信誉、售后服务等因素,以确保选择到适合自己需求的产品。
潜水泵型号及参数说明
潜水泵的型号及参数主要根据井径、流量、扬程、配用功率的不同而不同,就奥特泵业型号为AT250QJ80-300/10-110Kw 的潜水泵来说明,AT 表示的是奥特泵业的产品简称,250表示使用井径不小于250毫米,QJ 表示井用潜水泵(潜井的首字母),80表示流量为80m ³/h (即80吨每小时),300表示扬程为300米,10表示叶轮串联级数为10级,110表示配用功率为110Kw 。
型号说明:
□ - WQ D - □ - □ - □
| | | | | | 电机功率(KW) | | | | | 额定扬程(m) | | | |
额定流量(m3/h)
| | | 配单相电机(配三相不标注) | | 污水潜水电泵 | 口径
以下是一些常见潜水泵型号及参数的说明表格仅供参考
Welcome To Download !!!
欢迎您的下载,资料仅供参考!。
三相潜水泵规格参数表1、QW50-15-25-2.2型潜水泵参数:流量15m3/h,扬程25m,电机功率2.2kw,转速2900r/min;2、QW50-30-30-7.5型潜水泵参数:流量30m3/h,扬程30m,电机功率7.5kw,转速2900r/min;3、QW65-25-15-2.2型潜水泵参数:流量25m3/h,扬程15m,电机功率2.2kw,转速2900r/min;4、QW65-30-40-7.5型潜水泵参数:流量30m3/h,扬程40m,电机功率7.5kw,转速2900r/min;5、QW80-40-15-4型潜水泵参数:流量40m3/h,扬程15m,电机功率4kw,转速2900r/min;6、QW100-100-25-11型潜水泵参数:流量100m3/h,扬程25m,电机功率11kw,转速1450r/min;7、QW100-80-30-15型潜水泵参数:流量80m3/h,扬程30m,电机功率15kw,转速1450r/min;8、QW125-130-20-15型潜水泵参数:流量130m3/h,扬程20m,电机功率15kw,转速1450r/min;9、QW150-200-10-15型潜水泵参数:流量200m3/h,扬程10m,电机功率15kw,转速1450r/min;10、QW150-250-22-30型潜水泵参数:流量250m3/h,扬程22m,电机功率30kw,转速1450r/min;11、QW150-160-45-45型潜水泵参数:流量160m3/h,扬程45m,电机功率45kw,转速1450r/min;12、QW200-310-13-22型潜水泵参数:流量310m3/h,扬程13m,电机功率22kw,转速1450r/min;13、QW200-250-35-45型潜水泵参数:流量250m3/h,扬程35m,电机功率45kw,转速1450r/min;14、QW250-700-10-37型潜水泵参数:流量700m3/h,扬程10m,电机功率37kw,转速1450r/min;15、QW300-800-10-37型潜水泵参数:流量800m3/h,扬程10m,电机功率37kw,转速980r/min;16、QW300-800-36-132型潜水泵参数:流量800m3/h,扬程36m,电机功率132kw,转速1450r/min;17、QW400-1300-10-55型潜水泵参数:流量1300m3/h,扬程10m,电机功率55kw,转速980r/min;18、QW400-1700-30-200型潜水泵参数:流量1700m3/h,扬程30m,电机功率200kw,转速980r/min;19、QW500-3000-15-200型潜水泵参数:流量3000m3/h,扬程15m,电机功率200kw,转速740r/min。
潜水泵型及参数说明 WEIHUA system office room 【WEIHUA 16H-WEIHUA WEIHUA8Q8-
潜水泵型号及参数说明
潜的型号及参数主要根据井径、流量、扬程、配用功率的不同而不同,就奥特泵业型号为AT250QJ80-300/10-110Kw的来说明,AT表示的是奥特泵业的产品简称,250表示使用井径不小于250毫米,QJ表示(潜井的首字母),80表示流量为80m3/h(即80吨每小时),300表示扬程为300米,10表示叶轮串联级数为10级,110表示配用功率为110Kw。
型号说明:
□ - WQ D - □ - □ - □
| | | | | | 电机功率(KW)
| | | | | 额定扬程(m)
| | | | 额定流量(m3/h)
| | | 配单相电机(配三相不标注)
| | 污水潜水电泵
| 口径
以下是一些常见潜及参数的说明表格仅供参考。