对口升学数学模拟试题(二)及答案
- 格式:pdf
- 大小:178.29 KB
- 文档页数:4
数学试题第Ⅰ卷(共50分)一、选择题:本大题共10个小题,每小题5分,共50分.在每小题给出的四个选项中,只有一项是符合题目要求的.1.若集合{2,1,0,1,2}A =--,集合{}3,2,0,1=B ,则=B A ( ) A.{1,2,3}B.{0,1,2}C.{0,1,2,3}D.{1,0,1,2,3}-2.复数2)1(i -等于( )A .2B .2-C .i 2D .i 2-【答案】D 【解析】试题分析:2(1)1212i i i -=--=-,选D. 考点:复数的运算.3.已知命题p : ∀x R ∈,2x >0,则( )A .非p :∃x R ∈,02<xB .非p :∀x R ∈,02≤x C .非p :∃x R ∈,02≤x D .非p :∀x R ∈,02<x【答案】C 【解析】试题分析:“∀”的否定是“∃”,否定命题即否定条件也否定结论,故命题p : ∀x R ∈,2x >0,的否命题是“∃x R ∈,02≤x ”,选C.考点:全称量词、命题及其关系.4.设()2xf x e =-,则函数)(x f 的零点位于区间 ( ) A .(0 ,1) B .(-1, 0) C .(1, 2) D .(2 ,3) 【答案】A 【解析】试题分析:因为()()010,120f f e =-<=->,由零点存在性定理知,()f x 在()0,1内有零点,有()f x 为单调函数,故存在()0,1唯一零点,选A. 考点:零点存在定理.5.设l ,m 是两条不同的直线,α是一个平面,则下列命题正确的是 ( ) A .若lm ⊥,m α⊂,则l α⊥ B .若l α⊥,l m //,则m α⊥C .l α//,m α⊂,则l m //D .若l α//,m α//,则l m //AD D'C'B'A'考点:直线与直线、直线与平面的位置关系.6.设等差数列{a n }的前n 项和为n S ,若91=a ,246=+a a , 则当n S 取最大值n 等于( )A .4B .5C .6D .77.已知⎪⎩⎪⎨⎧≥<<--≤+=)2(2)21()1(2)(2x x x x x x x f ,若3)(=x f ,则x 的值是 ( )A . 3B .1或32C .1,32或±3D .18.设0>b ,二次函数122-++=a bx ax y 的图象为下列之一,则a 的值为( )A ..-1-52 B .-1+52C .1D .1-【答案】D 【解析】试题分析:因为0b >,故对称轴不可能为y 轴,由给出的图可知对称轴在y 轴右侧,故0a <,所以二次函数的图象为第三个图,图象过原点,故210,1,a a -==±又0a <,所以1a =-,选D. 考点:二次函数图象和性质.9.偶函数b x x f a -=log )(,在)0,(-∞上单调递增,则)1(+a f )与)2(+b f 的大小关系是( )A. )2()1(+≥+b f a fB.)2()1(+<+b f a fC. )2()1(+≤+b f a fD. )2()1(+>+b f a f10.定义在[0,1]上的函数)(x f 满足)(21)5(,1)1()(,0)0(x f xf x f x f f ==-+=,且当 1021≤<≤x x 时,)20131().()(21f x f x f 则≤等于 ( )A .21 B .161 C .321 D .641第Ⅱ卷(共100分)二、填空题(每题5分,满分25分,将答案填在答题纸上)11.函数)13lg(+=x y 的定义域是 ___________ ; 【答案】,31(-+∞) 【解析】试题分析:要使)13lg(+=x y 有意义,需满足1310,3x x +>>-,所以定义域为1,3⎛⎫-+∞ ⎪⎝⎭. 考点:对数函数定义域.12.程序框图(即算法流程图)如图所示,其输出结果是_________;【答案】31 【解析】试题分析:根据流程线依次执行,1,3,7,15,3120a a a a a =====>输出,31a =. 考点:程序框图.13.设sin 2sin αα=-,(,)2παπ∈,则tan 2α的值是_________;14.设0>a ,则函数xxa x f ln )(=的单调递增区间是________. 【答案】()0,e 【解析】试题分析:令()2ln '0a a xf x x -=>,因为0a >,故ln 1,0x x e <<<,所以单调增区间为()0,e 考点:利用导数求函数单调区间.15.下列几个命题:①方程2(3)0x a x a +-+=有一个正实根,一个负实根,则0a <; ②函数2211y x x =-+-是偶函数,但不是奇函数;③设函数()y f x =定义域为R ,则函数(1)y f x =-与(1)y f x =-的图象关于y 轴对称;④一条曲线2|3|y x =-和直线 ()y a a R =∈的公共点个数是m ,则m 的值不可能是1.其中正确的有_______________.三、解答题 (本大题共6小题,共75分.解答应写出文字说明、证明过程或演算步骤.)16.(本题满分12分)如图,在四棱锥ABCD P -中,底面ABCD 是正方形,侧棱⊥PD 底面ABCD ,DC PD =,E 是PC 的中点.(Ⅰ)证明 ∥PA 平面EDB ; (Ⅱ)求EB 与底面ABCD 所成的角的正切值.ECABD P【答案】(Ⅰ)见解析;(Ⅱ)5 5.17.(本题满分12分)将一颗骰子先后抛掷2次,观察向上的点数,求:(Ⅰ)两数之和为5的概率;(Ⅱ)两数中至少有一个为奇数的概率.18.(本题满分12分) 已知函数21cos 2sin 23)(2--=x x x f ,x R ∈. (Ⅰ)求函数()f x 的最小值和最小正周期;(Ⅱ)设ABC ∆的内角A 、B 、C 的对边分别为a 、b 、c ,满足3c =()0f C =且sin 2sin B A =,求a 、b 的值.【答案】(Ⅰ)最小值为2-,最小正周期为π;(Ⅱ)1,2a b ==. 【解析】试题分析:(Ⅰ)将原函数化为一角一函数形式解答;(Ⅱ)由()0f C =得出3C π=,然后根据条件sin 2sin B A =得2b a =,利用余弦定理得2223c a b ab =+-=,联立解出1,2a b ==.19.(本题满分12分)已知数列{}n a 的前n 项和为n S ,且向量),(n S n a =,)3,4(+=n b 共线. (Ⅰ)求证:数列{}n a 是等差数列; (Ⅱ)求数列⎭⎬⎫⎩⎨⎧n na 1的前n 项和n T . 【答案】(Ⅰ)见解析;(Ⅱ)21nn + . 【解析】试题分析:(Ⅰ)由向量共线的坐标运算可求出n S ,然后利用,n n S a 的关系求出n a ;(Ⅱ)写出⎭⎬⎫⎩⎨⎧n na 1通项,裂项求和.试题解析:(Ⅰ)证明 ∵a =(n ,S n ),b =(4,n +3)共线,∴n (n +3)-4S n =0,∴S n =()34n n + …… 3分 ∴a 1=S 1=1,当n ≥2时,a n =S n -S n -1=n +12, ……5分又a 1=1满足此式,∴a n =n +12 ……6分∴a n +1-a n =12为常数,∴数列{a n }为首项为1,公差为12的等差数列 ……7分 (Ⅱ)∵1n na =()21n n +=2⎝ ⎛⎭⎪⎫1n -1n +1, ......9分 ∴T n =11a +212a + (1)na . =2⎝ ⎛⎭⎪⎫1-12+2⎝ ⎛⎭⎪⎫12-13+…+2⎝ ⎛⎭⎪⎫1n -1n +1=2n n +1…… 12分 考点:等差数列的通项公式、平面向量共线的坐标运算、裂项求和.20.(本题满分13分)定义在R 上的函数)0(),(f x f y =0≠,当0>x 时,1)(>x f ,且对任意的 R b a ∈,,有)()()(b f a f b a f =+,(Ⅰ)求证:1)0(=f ;(Ⅱ)求证:对任意的R x ∈,恒有0)(>x f ;(Ⅲ)证明:)(x f 是R 上的增函数.【答案】(Ⅰ)见解析;(Ⅱ)见解析;(Ⅲ)(0,3).【解析】试题分析:(Ⅰ)令0a b ==即可得证;(Ⅱ)令,a x b x ==-得,()()1f x f x -=,由已知x>0时,f(x)>1>0,当x<0时,-x>0,f(-x)>0,故对任意x ∈R ,f(x)>0;(Ⅲ)先证明()f x 为增函数:任取x 2>x 1,则210x x ->,()()120,0f x f x >>,故()()()()()2212111f x f x f x f x x f x =⋅-=->,故其为增函数. 试题解析:(Ⅰ)令0a b ==,则f (0)=[f (0)]2 ∵ f(0)≠0 ∴ f (0)=1……2分21.(本题满分14分)已知函数),(,)(R x R k kx e x f x∈∈-=(Ⅰ)若,e k =试确定函数)(x f 的单调区间;(Ⅱ)若0>k ,且对于任意0≥x ,0)(>x f 恒成立,求实数k 的取值范围;(Ⅲ)令,ln 2)(x e x g x -=若至少存在一个实数[]e x ,10∈,使)()(00x g x f <成立,求实数k 的取值范围.【答案】(Ⅰ)单调递增区间是()1,+∞,单调递减区间是(),1-∞;(Ⅱ)()0,k e ∈;(Ⅲ)0k >.【解析】试题分析:(Ⅰ)求出函数的导数,令导数大于零解得单调增区间,令导数小于零得单调减区间;(Ⅱ)令导数等于零得ln x k =,然后对k 在1处断开进行讨论,在0x ≥上求出函数的最小值,令其大于零解得k 的范围;(Ⅲ)由于存在0[1,]x e ∈,使00()()f x g x <,则002ln kx x >002ln x k x ⇔>,令2ln ()x F x x=,则k 大于()F x 的最小值.试题解析:(Ⅰ)由k e =得()x f x e ex =-,所以()'x f x e e =-.由()'0f x >得1x >,故()f x 的单调递增区间是()1,+∞, ……3分 由()'0f x <得1x <,故()f x 的单调递减区间是(),1-∞. ……4分。
2024年对口升学考试模拟试题数学(二)作者:***
来源:《山西教育·招考》2024年第01期
一、单项选择题(本大题共10小题,每小題3分,共计30分)
A.是偶函数
B.是奇函数
C.是非奇非偶函数
D.既是奇函数又是偶函数
6.已知椭圆的长轴长是短轴长的2倍,则椭圆的离心率为
10.从装有4个黑球、2个白球的袋中任取3个球,若事件A为“所取的3个球中至多有1个白球”,则与事件A互斥的事件是
A.所取的3个球中至少有一个白球
B.所取的3个球中恰有2个白球、1个黑球
C.所取的3个球都是黑球
D.所取的3个球中恰有1个白球、2个黑球
二、填空题(本大题共8小题,每小题4分,共计32分)
11.已知点A(4,-2),B(2,-6),则线段AB的中点坐标为.
12.等轴双曲线的离心率是.。
数学试题 第I 卷(共60分)一、选择题:本大题共12小题,每小题5分,共60分.在每个小题给出的四个选项中,只有一项是符合题目要求的.1.已知全集{1,2,3,4,5}U =,集合{1,3,4}A =,集合{2,4}B =,则()U C A B 为A .{2,4,5}B .{1,3,4}C .{1,2,4}D .{2,3,4,5}2.复数22iz i-=+(i 为虚数单位)在复平面内对应的点所在象限为 A .第一象限B .第二象限C .第三象限D .第四象限3.已知实数y x ,满足不等式组⎪⎩⎪⎨⎧≥+-≥-+≤≤.02,02,20y x y x x 则目标函数y x z 43-=的最小值m 与最大值M 的积为 A .60- B .48-C .80-D .36【答案】A 【解析】试题分析:如图,约束条件表示的可行域为ABC ∆内部(含边界),再作出直线0:340l x y -=,平移直线0l ,当直线0l 过点,A C 时,34z x y =-分别取得最小值和最大值,计算得min 10z =-,max 6z =,积为60-.考点:线性规划.4.在△ABC 中,60A =,1b =,△ABC 的面积为3,则边a 的值为A .27B .21C .13D .35.如果log 8log 80a b >>,那么a 、b 间的关系是A .01a b <<<B .1a b <<C .01b a <<<D .1b a <<6.若1sin()63πθ-=,则2cos(2)3πθ+的值为 A .13B .13-C .79D .79-7.某学生一个学期的数学测试成绩一共记录了6个数据:12345652,70,68,55,85,90x x x x x x ======,执行如图所示的程序框图,那么输出的S 是A .1B .2C .3D .4【答案】D【解析】试题分析:本程序框图的算法是统计i x 中大于60的个数,因此最后输出的是4S =. 考点:程序框图.8.已知双曲线2221(0)9y x a a -=>的两条渐近线与以椭圆221259x y +=的左焦点为圆心、半径为165的圆相切,则双曲线的离心率为 A .54 B .53 C .43D .659.已知某几何体的三视图如右图所示,其中俯视图是圆,且该几何体的体积为1V ;直径为2的球的体积为2V .则12:V V = A .1:4B .1:1C .1:2D .2:1【答案】C 【解析】试题分析:由题意,该几何体是一个圆柱挖去一个圆锥得到的几何体,222211222113333V r h r h r h πππππ=-==⨯⨯=,3324441333V r πππ==⨯=,∴1212V V =.选B.考点:三视图,体积.10.已知函数2()(2),[2,)xf x x x e x =-∈-+∞,()f x '是函数()f x 的导函数,且()f x '有两个零点1x 和2x (12x x <),则()f x 的最小值为 A .1()f x B .2()f x C .(2)f -D .以上都不对11.已知直线)2(+=x k y (k >0)与抛物线2:8C y x =相交于A 、B 两点,F 为C 的焦点,若||2||FA FB =,则k 的值为A .13B .23C .223D .2312.()f x 是定义在[,]c c -上的奇函数,其图象如图所示,令()()g x af x b =+,则下列关于函数()g x 的叙述正确的是A .若0a <,则函数()g x 的图象关于原点对称B .若1,20a b =--<<,则方程()0g x =有大于2的实根C .若0,2a b ≠=,则方程()0g x =有两个实根D .若1,2a b ≥<,则方程()0g x =有两个实根第II 卷(共90分)本卷包括必考题和选考题两部分,第13题~第21题为必考题,每个试题考生都必须作答。
山西职业教育2024届中等职业学校6月对口升学模拟(数学)试题一、单项选择题:本题共8小题,在每小题给出的四个选项中,只有一项符合题目要求.1.已知集合{M x y ==,{}220N x x x =-<,则M N ⋂=()A.{}01x x << B.{}01x x <≤ C.{}12x x << D.{}12x x ≤<2.已知复数z 满足1i21iz +-=-(i 为虚数单位),则z =()A. B.2 D.33.已知132a =,2log 0.3b =,b c a =,则()A.a b c<< B.b a c<< C.c a b<< D.b c a<<4.若圆P 的半径为1,且圆心为坐标原点,过圆P 上一点作圆22(4)(3)4x y -+-=的切线,切点为Q ,则PQ 的最小值为()A. B. C.2D.45.《九章算术》是我国古代的一本数学名著.全书为方田、粟米、衰分、少广、商功、均输、盈不足、方程、勾股九章,收有246个与生产、生活实践有联系的应用问题.在第六章“均输”中有这样一道题目:“今有五人分五钱,令上二人所得与下三人等,问各得几何?”其意思为:“现有五个人分5钱,每人所得成等差数列,且较多的两份之和等于较少的三份之和,问五人各得多少?”在此题中,任意两人所得的最大差值为多少?()A.13B.23C.16D.566.函数π)()ex f x =的图象大致为()A. B.C. D.7.窗的运用是中式园林设计的重要组成部分,常常运用象征、隐喻、借景等手法,将民族文化与哲理融入其中,营造出广阔的审美意境.从窗的外形看,常见的有圆形、菱形、正六边形、正八边形等.如图,在平面直角坐标系xOy 中,O 为正八边形128PP P 的中心,18PP x ⊥轴,现用如下方法等可能地确定点M :点M 满足2i j OM OP OP ++=0 (其中1,8i j ≤≤且*,i j N ∈,i j ≠),则点M(异于点O )落在坐标轴上的概率为()A.35B.37C.38D.278.将函数()cos f x x =的图象向右平移2π3个单位长度,再将各点的横坐标变为原来的1(0)ωω>,得到函数()g x 的图象,若()g x 在π0,2⎡⎤⎢⎣⎦上的值域为1,12⎡⎤-⎢⎥⎣⎦,则ω范围为()A.48,33⎡⎤⎢⎥⎣⎦B.15,33⎡⎤⎢⎥⎣⎦C.4,3⎡⎫+∞⎪⎢⎣⎭ D.8,3⎡⎫+∞⎪⎢⎣⎭二、多项选择题:本题共4小题,在每小题给出的选项中,有多项符合要求.9.已知m ,n 为两条不重合的直线,α,β为两个不重合的平面,则()A.若//m α,βn//,//αβ,则//m nB.若m α⊥,n β⊥,αβ⊥,则m n ⊥C.若//m n ,m α⊥,n β⊥,则//αβD.若//m n ,n α⊥,αβ⊥,则//m β10.某校计划在课外活动中新増攀岩项目,为了解学生喜欢攀岩和性别是否有关,面向学生开展了一次随机调查,其中参加调查的男女生人数相同,并绘制如下等高条形图,则()参考公式:22()()()()()n ad bc K a b c d a c b d -=++++,n a b c d =+++.()20P K k ≥0.050.010k 3.8416.635A.参与调查的学生中喜欢攀岩的男生人数比喜欢攀岩的女生人数多B.参与调查的女生中喜欢攀岩的人数比不喜欢攀岩的人数多C.若参与调查的男女生人数均为100人,则有99%的把握认为喜欢攀岩和性别有关D.无论参与调查的男女生人数为多少,都有99%的把握认为喜欢攀岩和性别有关11.已知1(F ,2F 是双曲线C :22221(0,0)x y a b a b -=>>的焦点,A 为左顶点,O 为坐标原点,P 是C 右支上一点,满足2222()()0F P F A F P F A +⋅-=,2222F P F A F P F A +=- ,则()A.C 的方程为2244139x y -=B.C 的渐近线方程为y =C.过1F 作斜率为33的直线与C 的渐近线交于M ,N 两点,则OMN 的面积为38D.若点Q 是2F 关于C 的渐近线的对称点,则1QOF 为正三角形12.已知()f x 是定义域为(,)-∞+∞的奇函数,()1f x +是偶函数,且当(]0,1x ∈时,()()2f x x x =--,则()A.()f x 是周期为2的函数B.()()201920201f f +=-C.()f x 的值域为[-1,1]D.()f x 的图象与曲线cos y x =在()0,2π上有4个交点三、填空题:13.6212x x ⎛⎫- ⎪⎝⎭展开式中的常数项是.14.已知向量(cos θ= a ,1,tan 3θ⎛⎫= ⎪⎝⎭b ,且// a b ,则cos 2θ=________.15.已知椭圆22221(0)x y a b a b+=>>的焦点分别为1(,0)F c -,2(,0)(0)F c c >,两条平行线1l :y x c =-,2l :y x c =+交椭圆于A ,B ,C ,D 四点,若以A ,B ,C ,D 为顶点的四边形面积为22b ,则椭圆的离心率为________.16.已知ABC 是边长为4的等边三角形,D ,E 分别是AB ,AC 的中点,将ADE 沿DE 折起,使平面ADE ⊥平面BCED ,则四棱锥A BCED -外接球的表面积为________,若P 为四棱锥A BCED -外接球表面上一点,则点P 到平面BCED 的最大距离为________.山西职业教育2024届中等职业学校6月对口升学模拟(数学)试题答案解析一、单项选择题:本题共8小题,在每小题给出的四个选项中,只有一项符合题目要求.1.已知集合{M x y ==,{}220N x x x =-<,则M N ⋂=()A.{}01x x << B.{}01x x <≤ C.{}12x x << D.{}12x x ≤<【答案】B 【解析】【分析】求出集合,M N 后可得它们的交集.【详解】{(],1M x y ===-∞,{}()2200,2N x x x =-<=,故(]0,1M N = .故选:B.【点睛】本题考查集合的交运算以及一元一次不等式、一元二次不等式的解,考虑集合运算时,要认清集合中元素的含义,如(){}|,x y f x x D =∈表示函数的定义域,而(){}|,y y f x x D =∈表示函数的值域,()(){},|,x y y f x x D =∈表示函数的图象.2.已知复数z 满足1i21iz +-=-(i 为虚数单位),则z =()A. B.2 D.3【答案】C 【解析】【分析】利用复数的除法计算可得z ,再利用复数的模的计算公式可得z .【详解】因为1i 21i z +-=-,故()()1i 1i 222z i ++=+=+,故z =故选:C.【点睛】本题考查复数的乘法和除法以及复数的模,注意复数的除法是分子、分母同乘以分母的共轭复数,本题属于基础题.3.已知132a =,2log 0.3b =,b c a =,则()A.a b c << B.b a c<< C.c a b<< D.b c a<<【答案】D 【解析】【分析】根据对数函数的单调性和指数函数的单调性可得三者之间的大小关系.【详解】因为2log y x =为增函数,且0.31<,故22log 0.30log 1b =<=,又2x y =为增函数,且103>,故103221a =>=,又x y a =为增函数,且0b <,故001b a a c =<=<,故b c a <<.故选:D .【点睛】本题考查指数幂、对数式的大小关系,此类问题的关键是根据底数的形式构建合理的单调函数,必要时还需利用中间数来传递大小关系.4.若圆P 的半径为1,且圆心为坐标原点,过圆P 上一点作圆22(4)(3)4x y -+-=的切线,切点为Q ,则PQ 的最小值为()A. B. C.2D.4【答案】B 【解析】【分析】根据题意,分析圆22(4)(3)4x y -+-=的圆心以及半径,由勾股定理分析可得||PQ =,当||PC 最小时,||PQ 最小,由点与圆的位置关系分析||PC 的最小值,计算可得答案.【详解】由题意可知,点P 在圆221x y +=上,圆22(4)(3)4x y -+-=的圆心(4,3)C ,半径2r =过点P 作圆22(4)(3)4x y -+-=的切线,切点为Q ,则||PQ =当||PC 最小时,||PQ 最小又由点P 在圆221x y +=上,则||PC 的最小值为||114OC -==则||PQ==;故选:B.【点睛】本题主要考查了直线与圆位置关系,涉及直线与圆相切的性质,属于中档题.5.《九章算术》是我国古代的一本数学名著.全书为方田、粟米、衰分、少广、商功、均输、盈不足、方程、勾股九章,收有246个与生产、生活实践有联系的应用问题.在第六章“均输”中有这样一道题目:“今有五人分五钱,令上二人所得与下三人等,问各得几何?”其意思为:“现有五个人分5钱,每人所得成等差数列,且较多的两份之和等于较少的三份之和,问五人各得多少?”在此题中,任意两人所得的最大差值为多少?()A.13B.23C.16D.56【答案】B 【解析】【分析】设每人分到的钱数构成的等差数列为{}n a ,公差0d >,由题意可得,12345a a a a a ++=+,55S =,结合等差数列的通项公式及求和公式即可求解.【详解】解:设每人分到的钱数构成的等差数列为{}n a ,公差0d >,由题意可得,12345a a a a a ++=+,55S =,故113327a d a d +=+,15105a d +=,解可得,123a =,16d =,故任意两人所得的最大差值243d =.故选:B.【点睛】本题主要考查了等差数列的通项公式及求和公式在实际问题中的应用,属于基础题.6.函数π)()ex f x =的图象大致为()A. B.C. D.【答案】A 【解析】【分析】利用()10f <,结合选项运用排除法得解.【详解】解:1)(1)0ln f e=<,可排除选项BCD ;故选:A.【点睛】本题主要考查函数图象的识别和判断,利用特征值的符号是否与选项对应是解决本题的关键.7.窗的运用是中式园林设计的重要组成部分,常常运用象征、隐喻、借景等手法,将民族文化与哲理融入其中,营造出广阔的审美意境.从窗的外形看,常见的有圆形、菱形、正六边形、正八边形等.如图,在平面直角坐标系xOy 中,O 为正八边形128PP P 的中心,18PP x ⊥轴,现用如下方法等可能地确定点M :点M 满足2i j OM OP OP ++=0 (其中1,8i j ≤≤且*,i j N ∈,i j ≠),则点M(异于点O )落在坐标轴上的概率为()A.35B.37C.38D.27【答案】D 【解析】【分析】写出i j OP OP +所有可能结果,结合条件找到满足点M (异于点O )落在坐标轴上的结果,根据古典概率进行求解.【详解】由题意可知i j OP OP +所有可能结果有:12131415161718OP OP OP OP OP OP OP OP OP OP OP OP OP OP +++++++ ,,,,,,,232425262728OP OP OP OP OP OP OP OP OP OP OP OP ++++++ ,,,,,,3435363738OP OP OP OP OP OP OP OP OP OP +++++ ,,,,,45464748OP OP OP OP OP OP OP OP ++++ ,,,,565758OP OP OP OP OP OP +++ ,,,676878OP OP OP OP OP OP +++ ,,,共有28种;点M (异于点O )落在坐标轴上的结果有:23456718OP OP OP OP OP OP OP OP ++++,,,,14365827OP OP OP OP OP OP OP OP ++++,,,,共有8种;所以点M (异于点O )落在坐标轴上的概率为82287p ==.故选:D.【点睛】本题主要考查古典概率的求解,求出所有基本事件及符合题意的基本事件是解题关键,侧重考查数学建模的核心素养.8.将函数()cos f x x =的图象向右平移2π3个单位长度,再将各点的横坐标变为原来的1(0)ωω>,得到函数()g x 的图象,若()g x 在π0,2⎡⎤⎢⎣⎦上的值域为1,12⎡⎤-⎢⎥⎣⎦,则ω范围为()A.48,33⎡⎤⎢⎥⎣⎦B.15,33⎡⎤⎢⎥⎣⎦C.4,3⎡⎫+∞⎪⎢⎣⎭ D.8,3⎡⎫+∞⎪⎢⎣⎭【答案】A 【解析】【分析】由题意利用函数sin()y A x ωϕ=+的图象变换规律,余弦函数的单调性,得出结论.【详解】解:将函数()cos f x x =的图象向右平移23π个单位长度,可得2cos()3y x π=-的图象;再将各点的横坐标变为原来的1(0)ωω>,得到函数2()cos()3g x x πω=-的图象.若()g x 在[0,]2π上的值域为1[,1]2-,此时,22[33x ππω-∈-,2]23ωππ-,220233ωπππ∴-,求得4833ω ,故选:A.【点睛】本题主要考查函数sin()y A x ωϕ=+的图象变换规律,余弦函数的单调性,属于基础题.二、多项选择题:本题共4小题,在每小题给出的选项中,有多项符合要求.9.已知m ,n 为两条不重合的直线,α,β为两个不重合的平面,则()A.若//m α,βn//,//αβ,则//m nB.若m α⊥,n β⊥,αβ⊥,则m n ⊥C.若//m n ,m α⊥,n β⊥,则//αβD.若//m n ,n α⊥,αβ⊥,则//m β【答案】BC 【解析】【分析】根据直线和直线,直线和平面,平面和平面的位置关系,依次判断每个选项得到答案.【详解】若//m α,βn//,//αβ,则//m n 或,m n 异面,A 错误;若m α⊥,αβ⊥,则//m β或m β⊂,当//m β时,因为n β⊥,所以m n ⊥;当m β⊂时,由n β⊥结合线面垂直的性质得出m n ⊥,B 正确;若//m n ,m α⊥,则n α⊥,又n β⊥,则//αβ,C 正确;若//m n ,n α⊥,则m α⊥,又αβ⊥,则//m β或m β⊂,D 错误;故选:BC【点睛】本题考查了直线和直线,直线和平面,平面和平面的位置关系,意在考查学生的空间想象能力.10.某校计划在课外活动中新増攀岩项目,为了解学生喜欢攀岩和性别是否有关,面向学生开展了一次随机调查,其中参加调查的男女生人数相同,并绘制如下等高条形图,则()参考公式:22()()()()()n ad bcKa b c d a c b d-=++++,n a b c d=+++.()2P K k≥0.050.01k 3.841 6.635A.参与调查的学生中喜欢攀岩的男生人数比喜欢攀岩的女生人数多B.参与调查的女生中喜欢攀岩的人数比不喜欢攀岩的人数多C.若参与调查的男女生人数均为100人,则有99%的把握认为喜欢攀岩和性别有关D.无论参与调查的男女生人数为多少,都有99%的把握认为喜欢攀岩和性别有关【答案】AC【解析】【分析】由于参加调查的男女生人数相同,则设为m人,从而可求出男女生中喜欢攀岩的人数和不喜欢攀岩的人数,再代入2K公式中计算,可得结论.【详解】解:由题意设参加调查的男女生人数均为m 人,则喜欢攀岩不喜欢攀岩合计男生0.8m0.2m m 女生0.3m 0.7m m合计1.1m0.9m2m所以参与调查的学生中喜欢攀岩的男生人数比喜欢攀岩的女生人数多,A 对B 错;22222(0.560.06)501.10.999m m m m K m m m m -==⋅⋅⋅,当100m =时,2505010050.505 6.6359999m K ⨯==≈>,所以当参与调查的男女生人数均为100人,则有99%的把握认为喜欢攀岩和性别有关,C 对D 错,故选:AC【点睛】此题考查了独立性检验,考查了计算能力,属于基础题.11.已知1(F ,2F 是双曲线C :22221(0,0)x y a b a b -=>>的焦点,A 为左顶点,O 为坐标原点,P 是C 右支上一点,满足2222()()0F P F A F P F A +⋅-=,2222F P F A F P F A +=- ,则()A.C 的方程为2244139x y -=B.C 的渐近线方程为y =C.过1F 作斜率为3的直线与C 的渐近线交于M ,N 两点,则OMN 的面积为38D.若点Q 是2F 关于C 的渐近线的对称点,则1QOF 为正三角形【答案】ABD 【解析】【分析】由2222()()0F P F A F P F A +-= ,2222||||F P F A F P F A +=- ,可得22||||F A F P = ,22F A F P ⊥,及c =,再由a ,b ,c 之间的关系求出a ,b 的值,进而求出双曲线的方程及渐近线的方程,可得A ,B 正确;求过1F作斜率为3的直线方程,与C 的渐近线方程求出交点M ,N 的坐标,求出||MN 的值,再求O 到直线MN 的距离,进而求出OMN 的面积可得C 不正确;求出2F 关于渐近线的对称点Q 的坐标,进而求出||OQ ,1|OF |,1||QF 的值,可得1QOF 为正三角形,所以D 正确.【详解】解:由2222()()0F P F A F P F A +-= ,可得2222F P F A = ,即22||||F A F P = ,由2222||||F P F A F P F A +=- ,可得22F A F P ⊥,将x c ==代入双曲线的方程可得2||by a =,由题意可得2222b ac a c c a b ⎧=+⎪⎪⎪=⎨⎪=+⎪⎪⎩解得234a =,294b =,所以双曲线的方程为:2244139x y -=,渐近线的方程:b y x a =±=,所以A ,B 正确;C 中:过1F 作斜率为33的直线,则直线MN的方程为:x =,则x y ⎧=-⎪⎨=⎪⎩解得:2x =,32y =,即(2M ,32,则x y ⎧=-⎪⎨=⎪⎩,解得:4x =-,34y =,即(4N -,34,所以3||2MN ==,O 到直线MN的距离为2d ==,所以113||22228△=== MNO S MN d 所以C 不正确;D 中:渐近线方程为y =,设2F ,0)的关于渐近线的对称点(,)Q m n ,则32233n m ⎧+=⎪⎪⎨=-解得:m =,32n =,即(2Q -,32,所以||OQ ==,1||OF =,1||QF ==,所以1QOF 为正三角形,所以D 正确;故选:ABD.【点睛】本题考查由向量的关系线段的长度及位置关系,及点关于线的对称,和三角形的面积公式,属于中档题.12.已知()f x 是定义域为(,)-∞+∞的奇函数,()1f x +是偶函数,且当(]0,1x ∈时,()()2f x x x =--,则()A.()f x 是周期为2的函数B.()()201920201f f +=-C.()f x 的值域为[-1,1]D.()f x 的图象与曲线cos y x =在()0,2π上有4个交点【答案】BCD 【解析】【分析】对于A,由()f x 为R 上的奇函数,()1f x +为偶函数,得()()4f x f x =-,则()f x 是周期为4的周期函数,可判断A;对于B,由()f x 是周期为4的周期函数,则()()202000f f ==,()()()2019111f f f =-=-=-,可判断B.对于C,当(]01x ∈,时,()()2f x x x =--,有()01f x ≤<,又由()f x 为R 上的奇函数,则[)10x ∈-,时,()10f x -≤<,可判断C.对于D,构造函数()()cos g x f x x=-,利用导数法求出单调区间,结合零点存在性定理,即可判断D.【详解】根据题意,对于A,()f x 为R 上的奇函数,()1f x +为偶函数,所以()f x 图象关于1x =对称,(2)()()f x f x f x +=-=-即(4)(2)()f x f x f x +=-+=则()f x 是周期为4的周期函数,A 错误;对于B,()f x 定义域为R 的奇函数,则()00f =,()f x 是周期为4的周期函数,则()()202000f f ==;当(]0,1x ∈时,()()2f x x x =--,则()()11121f =-⨯-=,则()()()()201912020111f f f f =-+=-=-=-,则()()201920201f f +=-;故B 正确.对于C,当(]01x ∈,时,()()2f x x x =--,此时有()01f x ≤<,又由()f x 为R 上的奇函数,则[)10x ∈-,时,()10f x -≤<,(0)0f =,函数关于1x =对称,所以函数()f x 的值域[11]-,.故C 正确.对于D,(0)0f = ,且(]0,1x ∈时,()()2f x x x =--,[0,1],()(2)x f x x x ∴∈=--,[1,2],2[0,1],()(2)(2)x x f x f x x x ∴∈-∈=-=--,[0,2],()(2)x f x x x ∴∈=--,()f x 是奇函数,[2,0],()(2)x f x x x ∴∈-=+,()f x 的周期为4,[2,4],()(2)(4)x f x x x ∴∈=--,[4,6],()(4)(6)x f x x x ∴∈=---,[6,2],()(6)(8)x f x x x π∴∈=--,设()()cos g x f x x=-,当2[0,2],()2cos x g x x x x ∈=-+-,()22sin g x x x '=-++,设()(),()2cos 0h x g x h x x =''=-+<在[0,2]恒成立,()h x 在[0,2]单调递减,即()g x '在[0,2]单调递减,且(1)sin10,(2)2sin 20g g '=>'=-+<,存在00(1,2),()0x g x ∈'=,0(0,),()0,()x x g x g x ∈'>单调递增,0(,2),()0,()x x g x g x ∈'<单调递减,0(0)1,(1)1cos10,()(1)0,(2)cos20g g g x g g =-=->>>=->,所以()g x 在0(0,)x 有唯一零点,在0(,2)x 没有零点,即2(]0,x ∈,()f x 的图象与曲线cos y x =有1个交点,当[]24x ∈,时,,()()2cos 6+8cos x x g x f x x x =-=--,则()26+sin g x x x '=-,()()26+sin x x h x g x ='=-,则()2+cos >0h x x '=,所以()g x '在[]24,上单调递增,且()()3sin3>0,22+sin 20g g '='=-<,所以存在唯一的[][]12324x ∈⊂,,,使得()0g x '=,所以()12,x x ∈,()0g x '<,()g x 在()12,x 单调递减,()14x x ∈,,()>0g x ',()g x 在()14x ,单调递增,又()31cos30g =--<,所以()1(3)0g x g <<,又()()2cos 2>0,4cos 4>0g g =-=-,所以()g x 在()12,x 上有一个唯一的零点,在()14x ,上有唯一的零点,所以当[]24x ∈,时,()f x 的图象与曲线cos y x =有2个交点,,当[]46x ∈,时,同[0,2]x ∈,()f x 的图象与曲线cos y x =有1个交点,当[6,2],()(6)(8)0,cos 0x f x x x y x π∈=--<=>,()f x 的图象与曲线cos y x =没有交点,所以()f x 的图象与曲线cos y x =在()0,2π上有4个交点,故D 正确;故选:BCD.【点睛】本题考查抽象函数的奇偶性、周期性、两函数图像的交点,属于较难题.三、填空题:13.6212x x ⎛⎫- ⎪⎝⎭展开式中的常数项是.【答案】1516【解析】【详解】试题分析:通项为261231661()()(1)22r r rr r r r r T C x C x x---+=-=-,令1230r -=,得4r =,所以常数项为422456115()()216T C x x =-=.考点:二项展开式系数【方法点睛】求二项展开式有关问题的常见类型及解题策略(1)求展开式中的特定项.可依据条件写出第r+1项,再由特定项的特点求出r 值即可.(2)已知展开式的某项,求特定项的系数.可由某项得出参数项,再由通项写出第r+1项,由特定项得出r 值,最后求出其参数.14.已知向量(cos θ= a ,1,tan 3θ⎛⎫= ⎪⎝⎭b ,且// a b ,则cos 2θ=________.【答案】59-【解析】【分析】直接利用向量共线的充要条件列出方程求解,然后利用二倍角公式求解即可.【详解】解:向量(cos θ= a ,1,tan 3θ⎛⎫= ⎪⎝⎭ b ,且// a b ,∴可得tan cos 3θθ=,sin 3θ∴=,225cos 212sin 129θθ∴=-=-⨯=-.故答案为:59-.【点睛】本题考查向量共线的充要条件,二倍角的余弦函数的应用,考查计算能力,属于基础题.15.已知椭圆22221(0)x y a b a b+=>>的焦点分别为1(,0)F c -,2(,0)(0)F c c >,两条平行线1l :y x c =-,2l :y x c =+交椭圆于A ,B ,C ,D 四点,若以A ,B ,C ,D 为顶点的四边形面积为22b ,则椭圆的离心率为________.【答案】2【解析】【分析】直线CD 的方程与椭圆的方程联立求出两根之和及两根之积,进而求出弦长CD ,再求两条平行线间的距离,进而求出平行四边形的面积,再由题意可得a ,c 的关系,进而求出椭圆的离心率.【详解】解:设1(C x ,1)y ,2(D x ,2)y ,联立直线1l 与椭圆的方程:22221y x c x y ab =-⎧⎪⎨+=⎪⎩,整理可得:22222222()20a b x a cx a c a b +-+-=,212222a cx x a b +=+,22221222a c ab x x a b -=+,所以222||CD a b ==+,直线1l ,2l 间的距离d ==,所以平行四边形的面积2222||2S CD d b a b===+ ,整理可得:2220c a +-=,即220e +-=,解得:2e =±,由椭圆的性质可得,离心率2e =故答案为:2【点睛】本题考查椭圆的性质及直线与椭圆的综合,属于中档题.16.已知ABC 是边长为4的等边三角形,D ,E 分别是AB ,AC 的中点,将ADE 沿DE 折起,使平面ADE ⊥平面BCED ,则四棱锥A BCED -外接球的表面积为________,若P 为四棱锥A BCED -外接球表面上一点,则点P 到平面BCED 的最大距离为________.【答案】(1).52π3(2).3【解析】【分析】由题意画出图形,找出四棱锥外接球的球心,利用勾股定理求半径,代入球的表面积公式求球的表面积,再由球的对称性可知,球表面上的点到平面BCED 距离的最大值为半径加球心到面的距离.【详解】解:如图,取BC 的中点G ,连接,,DG EG AG ,AG 交DE 于K ,可知DG EG BG CG ===,则G 为等腰梯形BCED 的外接圆的圆心,过G 作平面BCED 的垂线,再过折起后的ADE 的外心作平面ADE 的垂线,设两垂线的交点为O ,则O 为四棱锥A BCED -外接球的球心,因为ADE 的边长为2,所以33OG HK ==,所以四棱锥A BCED -外接球的半径223392()33OB =+=,所以四棱锥A BCED -外接球的表面积为23952433ππ⎛⎫⨯= ⎪ ⎪⎝⎭,由对称性可知,四棱锥A BCED -外接球的表面上一点P 到平面BCED 的最大距离为:393393333++=故答案为:52π3;3933+【点睛】此题考查空间中点、线在、面间的距离计算,考查空间想象能力,属于中档题.。
数学试题第Ⅰ卷(选择题 共60分)一、选择题 (本大题共12个小题,每小题5分,共60分,在每小题给出的四个选项中,只有一项是符合题目要求的)1.设a ∈R ,函数32()(2)f x x ax a x =++-为奇函数,在点00(,())x f x 处的切线方程为2y x =-,则0()f x =( )A .1B .1-C .1或-1D .2-【答案】B2.曲线xy )21(=在0=x点处的切线方程是( )A .02ln 2ln =-+y xB . 012ln =-+y xC . 01=+-y xD . 01=-+y x【答案】B3.已知函数f(x)的定义域为[-1,4],部分对应值如下表,f(x)的导函数()y f x '=的图象如上图所示。
当1<a<2时,函数y=f(x)-a 的零点的个数为( )A .2B .3C .4D .5【答案】C4.已知对任意实数x ,使)()(),()(x g x g x f x f =--=-且0>x 时,0)(,0)(>'>'x g x f ,则0<x 时,有( )A . 0)(,0)(>'>'x g x fB . 0)(,0)(<'>'x g x fC . 0)(,0)(>'<'x g x fD .0)(,0)(<'<'x g x f【答案】B5.曲线x-y=0, x x y 22-=,所围成的图形的面积是( )A .1BC .9D 【答案】B 6.曲线326y x x =-上切线平行于x 轴的点的坐标是( )A .()1,4-B . ()1,4-C .()()1,41,4--或D .()()1,41,4--或【答案】D 7.若2()2'(1)f x x xf =+,则'(0)f 等于( )A .2B . 0C .-2D .-4【答案】D8.对任意x R ∈,函数32()7f x ax ax x =++不存在...极值点的充要条件是( ) A .021a ≤≤ B .021a <≤ C .0a <或21a > D .0a =或21a =【答案】A 9.由曲线x y e =,x y e -=以及1x =所围成的图形的面积等于( )A .2B .22e -C D 【答案】D10.满足f(x)=f ′(x)的函数是( )A . f(x)=1-xB . f(x)=xC . f(x)=0D .f(x)=1【答案】C11.已知定义域为R 的函数)(x f 满足1)1(=f ,且)(x f 的导函数的解集为( )A B C 【答案】D12.在△ABC 中,a ,b ,c 分别为∠A ,∠B ,∠C 的对边.如果a ,b ,c 成等差数列,∠B =30°,△ABC 的面积为23,那么b =( ) A .231+ B .1+3C .232+ D .2+3【答案】B第Ⅱ卷(非选择题 共90分)二、填空题 (本大题共4个小题,每小题5分,共20分,把正确答案填在题中横线上) 13.函数3()45f x x x =++在1x =处的切线与y 轴的交点为 。
2022年江苏省扬州市普通高校对口单招数学二模测试卷(含答案)一、单选题(20题)1.已知全集U={1,2,3,4,5},集合A={1,2,5},={1,3,5},则A∩B=()A.{5}B.{2}C.{1,2,4,5}D.{3,4,5}2.不等式lg(x-1)的定义域是( )A.{x|x<0}B.{x|1<x}C.{x|x∈R}D.{x|0<x<1}3.椭圆9x2+16y2=144短轴长等于()A.3B.4C.6D.84.已知log N10=,则N的值是()A.B.C.100D.不确定5.A.B.C.D.6.如图,在长方体ABCD—A1B1C1D1中,AB=AD=3cm,AA1=2cm,则四棱锥A—BB1D1D的体积为()cm3.A.5B.6C.7D.87.A.B.C.D.8.设a=log32,b=log52,c=log23,则()A.a>c>bB.b>c>aC.c>b>aD.c>a>b9.同时掷两枚质地均匀的硬币,则至少有一枚出现正面的概率是()A.lB.3/4C.1/2D.1/410.已知向量a=(1,3)与b=(x,9)共线,则实数x=()A.2B.-2C.-3D.311.下列函数中,既是偶函数又在区间(0,+∞)上单调递减的是()A.y=1/xB.y=e xC.y=-x2+1D.y=lgx12.用简单随机抽样的方法从含有100个个体的总体中依次抽取一个容量为5的样本,则个体m被抽到的概率为()A.1/100B.1/20C.1/99D.1/5013.不等式-2x2+x+3<0的解集是()A.{x|x<-1}B.{x|x>3/2}C.{x|-1<x<3/2}D.{x|x<-1或x>3/2}14.已知向量a=(sinθ,-2),6=(1,cosθ),且a⊥b,则tanθ的值为()A.2B.-2C.1/2D.-1/215.设a,b为实数,则a2=b2的充要条件是()A.a=bB.a=-bC.a2=b2D.|a|=|b|16.不等式-2x22+x+3<0的解集是()A.{x|x<-1}B.{x|x>3/2}C.{x|-1<x<3/2}D.{x|x<-1或x>3/2}17.已知全集U={2,4,6,8},A={2,4},B={4,8},则,等于()A.{4}B.{2,4,8}C.{6}D.{2,8}18.设集合={1,2,3,4,5,6,},M={1,3,5},则C U M=()A.{2,4,6}B.{1.3,5}C.{1,2,4}D.U19.函数y=lg(1-x)(x<0)的反函数是()A.y=101-x(x<0)B.y=101-x(x>0)C.y=1-10x(x<0)D.y=1-10x(x>0)20.设则f(f(-2))=()A.-1B.1/4C.1/2D.3/2二、填空题(20题)21.设集合,则AB=_____.22.23.24.双曲线3x2-y2=3的渐近线方程是。
数学试题一、选择题(每小题5分,共60分).已知集合{1,2},{1,,}A B a b ==,则“2a =”是“A ”的( ) )充分不必要条件 (B )必要不充分条件)充要条件 (D )既不充分也不必要条件 i 是虚数单位,321i i-=( ).1+i B .-1+i C .1-i D .-1-i若函数()sin 3cos ,f x x x x R =+∈则()f x 的值域是 ( )A. ]1,3⎡⎣ B. ]1,2⎡⎣ C.10,10⎡⎤-⎦⎣ D.0,10⎡⎤⎦⎣执行如图所示的程序框图,输出的M 值是( )2 B .1- C .12D .2-.若变量,x y 满足约束条件120y x x y ≤⎧⎪≤⎨⎪-≥⎩,则3z x y =+的最大值是( A. 2 B. 3 C. 4 D. 5 已知某几何体的三视图(单位:cm)如图所示,则该几何体的体积是 )108 cm 3 B .100 cm 3 C .92 cm 3 D .84 cm 3若双曲线-=1的左焦点与抛物线y 2=-8x 的焦点重合的值( )(A)3 (B)4 (C)5 (D)6实验测得四组(x,y)的值分别为(1,2),(2,3),(3,4),(4,4)y 与间的线性回归方程是( )y =-1+x B .y =1+x C .y =1.5+0.7x D .y =1+任意画一个正方形,再将这个正方体各边的中点相连得到第二个正方形,依此类推,这样一共画了4个正方形,如图X16-1所示.若向图形中随机投一点,则所投点落在第四个正方形的概率是( ) 24B.14C.18D.116开始M=2i=1i<5?1-Mi=i+1结束否是10.已知A ,B ,C ,D 是函数sin()(0,0)2y x πωω=+Φ><Φ<一个周期内的图象上的四个点,如图所示,(,0),6A π-B 为y 轴上的点,C 为图像上的最低点,E 为该函数图像的一个对称中心,B 与D 关于点E 对称,CD 在x 轴上的投影为12π,则,ωΦ的值为( ) A.2,3πω=Φ=B .2,6πω=Φ=C.1,23πω=Φ= D .1,26πω=Φ= 11. 已知函数f (x )=|ln x |,若1c>a >b >1,则f (a ),f (b ),f (c )比较大小关系正确的是( ). A .f (c )>f (b )>f (a ) B .f (b )>f (c )>f (a ) C .f (c )>f (a )>f (b ) D .f (b )>f (a )>f (c ) 12.设()f x 是定义在x R ∈上以2为周期的偶函数,已知(0,1)x ∈,()()12log 1f x x =-,则函数()f x 在(1,2) 上( )A .是增函数且()0f x <B .是增函数且()0f x >C .是减函数且()0f x <D .是减函数且()0f x >二、填空题(每小题5分,共20分)13. 已知圆x 2+y 2-4x -9=0与y 轴的两个交点A ,B 都在某双曲线上,且A ,B 两点恰好将此双曲线的焦距三等分,则此双曲线的标准方程为________. 14. 对于数列{a n },定义数列{a n +1-a n }为数列{a n }的“差数列”,若a 1=1.{a n }的“差数列”的通项公式为a n +1-a n =2n,则数列{a n }的前n 项和S n =________. 15. 已知各顶点都在同一个球面上的正四棱锥高为3,体积为6,则这个球的表面积是_____.16. 已知P 为双曲线C :22916x y -=1上的点,点M 满足| OM |=1,且OM ·PM =0,则当| PM |取得最小值时的点P 到双曲线C 的渐近线的距离为_____. 三、解答题(每小题12分,共60分)17. 已知向量1sin ,22x a ⎛⎫= ⎪⎝⎭,)1,2sin 2cos 3(x x b -= ,函数b a x f ⋅=)(,ABC ∆ 三个内角,,A B C 的对边分别为,,a b c .(1)求()f x 的单调递增区间;(2)若()1,f B C +=3,1a b ==,求ABC ∆的面积S .18. 如图,在三棱柱ABC -A 1B 1C 1中,侧棱AA 1⊥底面ABC ,AB ⊥BC ,D 为AC 的中点,AA 1=AB =2,BC =3. (1)求证:AB 1∥平面BC 1D ;(2)求四棱锥B -AA 1C 1D 的体积.19.某产品的三个质量指标分别为x,y,z,用综合指标S=x+y+z 评价该产品的等级.若S ≤4,则该产品为一等品.现从一批该产品中,随机抽取10件产品作为样本,其质量指标列表如下:(1)利用上表提供的样本数据估计该批产品的一等品率; (2)在该样本的一等品中,随机抽取2件产品, ①用产品编号列出所有可能的结果;②设事件B 为“在取出的2件产品中,每件产品的综合指标S 都等于4”,求事件B 发生的概率.20. 已知椭圆C0a b >>)且过点,设A ,B是C M的横坐标为12-中垂线交椭圆C 于P ,Q 两点. (1)求椭圆C 的方程; (221.已知定义在R 上的函数2()(3)f x x ax =-,其中a 为常数.⑴ 若1x =是函数()f x 的一个极值点,求a 的值;⑵ 若[0,2]x ∈时,函数()()'()g x f x f x =+在0x =处取得最大值,求正数a 的取值范围. 请考生在第22,23,24题中任选一题做答,如果多做,则按所做的第一题计分,做答时请写清楚题号。
2023年河北省普通高等学校对口招生文化考试模拟试题数 学一、选择题(本大题共15小题,每小题3分,共45分,每小题所给出的四个选项中,只有一个符合题目要求)1.已知集合2{|1}A x x =<,且a A ∈,则a 的值可能为( ). A .2-B .-3C .0D .22.下列命题中正确的是( ). A .若a b >,则ac bc > B .若,a b c d >>,则a c b d ->- C .若0,ab a b >>,则11ab<D .若,a b c d >>,则a b cd<3. “直线l 与平面α平行”是“直线l 与平面α内无数条直线平行”的( ). A .充分不必要条件 B .必要不充分条件C .充分必要条件D .既不充分也不必要条件4. 已知函数()()2212f x x a x =+-+在区间(],4-∞上是减函数,则实数a 的取值范围是( ). A .3a -B .3a -C .5aD .3a5. 下列各组函数中,表示同一函数的是( ).A .3y =和y x =B .2y =和y x =C .y 2y =D .3y =和2x y x=6. 若三点A (-2,12),B (1,3),C (m ,-6)共线,则m 的值为( ). A .3 B .4 C .-3 D .-47. 两平行直线5x +12y +3=0与10x +24y +5=0之间的距离是( ). A .213 B .113 C .126 D .5268. 函数f (x )=sin (2x -2π),x ∈R ,则f (x )是( ). A .最小正周期为π的奇函数 B .最小正周期为π的偶函数 C .最小正周期为2π的奇函数 D .最小正周期为2π的偶函数9. 已知等差数列{a n }的前n 项和为S n ,且a 5+a 9=50,a 4=13,则S 10=( ). A .170 B .180 C .189 D .190 10. 在△ABC 中,若222sin sin sin A B C +<,则△ABC 的形状是( ). A . 锐角三角形 B .直角三角形 C . 钝角三角形 D .不能确定 11. 直线1y kx =+被圆222x y +=截得的弦长为2,则k 的值为( ). A .±1 B.2±C .12D .0 12. 有5列火车停在某车站并排的5条轨道上,若火车A 不能停在第1轨道上,则5列火车的停车方法共有( ).A .96种B .24种C .120种D .12种 13.在10(x -的展开式中,x 6的系数是( ).A .-27610CB .27410C C .-9610CD .9410C14. 已知点F (2 ,0)是双曲线2233(0)x my m m -=>的一个焦点,则此双曲线的离心率为( ).A .12BC .2D .415. 已知椭圆C :22221x y a b += (a >b >0)的左、右焦点分别为F 1,F 2,离心率为3,过F 2的直线l 交C 于A ,B 两点.若△AF 1B的周长为C 的方程为( ).A . 221128x y +=B .221124x y += C . 2213x y += D . 22132x y += 二、填空题(本大题共15小题,每小题2分,共30分)16. 设函数1122,1()1log ,1x x f x x x -⎧⎪=⎨>⎪⎩,则((2))f f =________. 17. 设集合A ={1,2,4},{}2|40B x x x m =-+=.若A B = {1},则集合B 用列举法表示为________.18. 已知12315,log ,ln22a b c ===,则a ,b ,c 从大到小为________. 19. 32log 420223202213327lg 0.012sin()C 6π----+等于________. 20. 已知向量a =(1,3),a +b =(–2,6),向量a 与b 的夹角为θ,则cos θ=________. 21. 在长方体ABCD -A 1B 1C 1D 1中,若AB =AD =1,AA 1=2,则异面直线A 1C 1与B 1C 所成的角的余弦值为________.22. 要得到函数sin 23y x π⎛⎫=- ⎪⎝⎭的图象,只需将函数sin 2y x =的图象向____平移_____个单位.23. 双曲线25x 2-16y 2=400的两条渐近线方程为______.(用斜截式表示) 24. 如图,平行四边形ABCD 中,AB ⊥BD ,沿BD 将△ABD 折起,使平面ABD ⊥平面BCD ,连接AC ,则在四面体ABCD 的四个面中,互相垂直的平面的对数为________.24.线段AB 是平面α的斜线段,斜足为B ,点A 到平面α的距离是3AB 在α内的射影长为2,那么AB 与平面α所成的角为________.25. 一个口袋内装有大小相同的6个白球和2个黑球,从中取3个球,则共有_______种不同的取法26. 已知7270127(12)x a a x a x a x -=++++,则127...a a a +++=________.27.函数12()log (2)f x x =-的单调递增区间是________. 28. 函数y =|sin x ·cos x |的最小正周期是________. 29.方程()222log 2log 80x x --=的解集为________.30. 箱子里放有编号分别为1,2,3,4,5的5个小球,5个小球除编号外其他均相同,从中随机摸出2个小球,则摸到1号球的概率为________. 三、解答题(本大题共7个小题,共45分.要写出必要的文字说明、证明过程和演算步骤)31.(5分)已知集合22{|340A x x ax a =-->,(0)}a >,{|2}B x x =>,若B A ⊆,求实数求的取值范围.32.(6分)某商店销售一种进价50元/件的商品,经市场调查发现:该商品的每天销售量y (件)是售价x (元/件)的一次函数,其售价、销售量对应值如下表:(1)求每天销售量y (件)与售价x (元/件)的函数关系式?(2)设该商店销售商品每天获得的利润为W (元),求W 与x 之间的函数关系式,并求出当销售单价定为多少时,该商店销售这种商品每天获得的利润最大?33.(7分)已知数列{a n }为等差数列,a 7-a 2=10,且a 1,a 6,a 21依次成等比数列.(1)求数列{a n }的通项公式; (2)设11n n n b a a +=,求数列{b n }的前n 项和为S n . 34.(6分)已知函数f (x )=2a sin x cos x +2b cos 2x ,且f (0)=8,f (6π)=12. (1)求实数a ,b 的值;(2)求函数f (x )的最大值及取得最大值时x 的值.35.(7分)如图所示.已知线段PD 垂直于菱形ABCD 所在的平面,点D 为垂足.PD =2,菱形的边长为2,且ADC ∠=60O .(1)求证:平面P AC ⊥平面PBD ; (2)求二面角P -AC -D 的正切值.36.(7分)已知双曲线225x y m-=1与抛物线y 2=12x 有共同的焦点F 2,经过双曲线的左焦点F 1作倾斜角为π4的直线与双曲线相交于A ,B 两点.求: (1)直线AB 的方程和双曲线的标准方程; (2)△F 2AB 的面积. 37.(7分)一个袋中装有6个形状和大小都相同的小球,其中2个红球和4个白球.(1)若从中无放回地任取2球,求取到白球的概率;(2)若每次取1个球,有放回地取3次,求取到红球个数ξ的概率分布.2022年河北省普通高等学校对口招生文化考试模拟试题数学答案一、选择题1.C2.C3.A4.A5.A6.B7.C8.B9.D 10.C 11.D 12.A 13.D 14.C 15.D 二、填空题16.1 17. {}1,3 18. a c b >>19.-1 2021. 1010 22. 右6π 23. y =±54x 24. 3π25.56 26.-2 27. (,2)-∞28.2π 29. 1164x x ==或 30. 25 三、解答题 31.解:集合22{|340A x x ax a =-->,(0)}a >{|(4)()0x x a x a =-+>,(0)}a > {|x x a =<-或4x a >,(0)}a >,∵{|2}B x x =>,B A ⊆, ∴042a <,解得102a<. ∴实数a 的取值范围是10,2⎛⎤⎥⎝⎦.32. 解:(1)依题意设y kx b =+,则有55906570k b k b +=⎧⎨+=⎩,解得:2200k b =-⎧⎨=⎩,所以2200y x =-+,y 与x 关系式为2200y x =-+,(2)由题意知:(50)(2200)w x x =--+,2230010000x x =-+-,22(75)1250x =--+,当销售单价定为75元时,该商店销售这种商品每天获得的利润最大,为1250元.1(23n +++b cos 2x +b 由f (0)=8,f (6)=12可得a =43,b =4; (2)f (x )=4sin2x +4cos2x +4=8sin (2x +6π)+4. 所以当2x +6π=2kπ+2π,即x =kπ+6π,k ∈Z 时,函数f (x )取最大值为12. 35. (1)证明:四边形ABCD 为菱形,AC ⊥BD PD ⊥平面ABCD ,AC ⊆平面ABCD ,PD ⊥AC BD ,PD ⊆平面PBD ,所以AC ⊥平面PBD . 因AC ⊆平面P AC ,所以平面P AC ⊥平面PBD (2)解:因AC ⊥平面PBD ,PO 、OD ⊆平面PBD 所以∠POD 为二面角P -AC -D 的平面角因PD ⊥平面ABCD ,BD ⊆平面ABCD ,所以,PD ⊥BD ﹐则△POD 为直角三角形 又四边形ABCD 是边长为2的菱形,∠ADC =60o所以,BD 为∠ADC 的平分线,且BD ⊥AC ,所以∠ODC =30°在Rt △CDO 中,OD =CD cos30︒=2在Rt △POD 中, D tan PO PD OD ∠=36. 解:(1)∵抛物线y 2=12x 的焦点(3,0)为双曲线225x y m-=1的右焦点F 2(3,0),∴m +5=9,解得m =4,∴双曲线的标准方程为2254x y -=1.∵双曲线的左焦点F 1(-3,0), 故,直线过点F 1(-3,0)且斜率k =tanπ4=1 ∴直线AB 的方程为y =x +3,即x -y +3=0.(2)由2230,1,54x y x y -+=⎧⎪⎨-=⎪⎩消去y 得x 2+30x +65=0,设A (x 1,y 1),B (x 2,y 2),则x 1+x 2=-30, ∴|AB |=∵双曲线的左焦点F 1(3,0) ∵点F 1到直线AB 的距离d=∴S △OAB =12 |AB |·d=12⨯ 37. 解:(1)设A ={无放回地任取2个,取到白球},则P (A )= 11224426C C C C +=1415.(2)ξ的可能取值为0,1,2,3.033128(0)()()3327P C ξ==⨯⨯=; 1123124(1)()()339P C ξ==⨯⨯=2213122(2)()()339P C ξ==⨯⨯=330312(3)()()37123P C ξ===⨯⨯∴ξ的概率分布为。
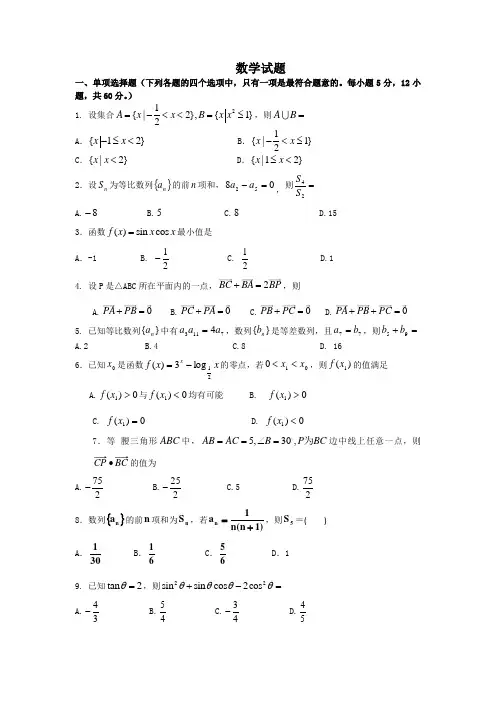
数学试题一、单项选择题(下列各题的四个选项中,只有一项是最符合题意的。
每小题5分,12小题,共60分。
)1. 设集合21{|2},{1}2A x xB x x =-<<=≤,则A B = A .{12}x x -≤< B .1{|1}2x x -<≤C .{|2}x x <D .{|12}x x ≤<2.设n S 为等比数列{}n a 的前n 项和,0852=-a a ,则=24SSA.8-B.5C.8D.15 3.函数()sin cos f x x x =最小值是 A .-1 B. 12-C. 12 D.14. 设P 是△ABC 所在平面内的一点,2BC BA BP +=,则A.0PA PB +=B.0PC PA +=C.0PB PC +=D.0PA PB PC ++= 5. 已知等比数列}{n a 中有71134a a a =,数列}{n b 是等差数列,且77b a =,则=+95b b A.2B.4C.8D. 166.已知0x 是函数x x f x21log 3)(-=的零点,若010x x <<,则)(1x f 的值满足A.0)(1>x f 与0)(1<x f 均有可能B. 0)(1>x fC. 0)(1=x fD. 0)(1<x f7.等 腰三角形ABC 中,5,30,AB AC B P BC ==∠=为边中线上任意一点,则BC CP •的值为A.752-B.252-C.5D.7528.数列{}n a 的前n 项和为n S ,若)1n (n 1a n +=,则5S =( )A .301 B .61 C .65D .19. 已知tan 2θ=,则22sin sin cos 2cos θθθθ+-= A.43-B.54C.34-D.4510. 函数()sin()(0,0)f x A x A ωϕω=+>>的部分图象如图所示.若函数()y f x =在区间[,]m n 上的值域为[2], 则n m -的最小值是A .4B .3C .2D .111.设F 为抛物线26y x =的焦点,A 、B 、C 为该抛物线上三点。
数学试题一、选择题:本大题共10个小题,每小题5分,共50分.在每小题给出的四个选项中,只有一项是符合题目要求的.1.设集合{|1}A x x =≥,)}2(log |{2+==x y x B ,则=A BA .)1,2(-B .]1,2(-C .)1,2[-D .]1,2[- 2.已知i 为虚数单位,a 为实数,复数(2i)i z a =-在复平面内对应的点为M , 则“2a <-”是“点M 在第四象限”的A .充分而不必要条件B .必要而不充分条件C .充要条件D .既不充分也不必要条件 3.已知等比数列}{n a 中,公比0q >,若42=a , 则321a a a ++的最值情况为A .有最小值4-B .有最大值4-C .有最小值12D .有最大值12 4.由两个完全相同的正四棱锥组合而成的空间几何体的 正(主)视图、侧(左)其中四边形ABCD 是边长为1的正方形,则该几何体的表面积为A .34B .33C .32D .3 5.执行如图所示的程序框图,输出的S 是A . 0B .12C . 1D .1-6.下列四个命题中,正确的有①两个变量间的相关系数r 越小,说明两变量间的线性相关程度越低;②命题p :“R ∈∃0x ,01020>--x x ”的否定p ⌝:“R ∈∀x ,012<--x x ”; ③用相关指数2R 来刻画回归效果,若2R 越大,则说明模型的拟合效果越好; ④若23.0=a ,3.02=b ,2log 3.0=c ,则b a c <<.A .①③B .①④C .②③D .③④7.把正奇数数列按第一个括号一个数,第二个括号两个数,第三个括号三个数,第四个括号一个数,第五个括号两个数,第六个括号三个数,….依次划分为)1(,)5,3(,)11,9,7(,)13(,)17,15(,)23,21,19(,)25(,….则第50个括号内各数之和为A .396B .394C .392D .390 8.已知函数)(x f y =的定义域是R ,若对于任意的正数a ,函数)()()(a x f x f x g --= 都是其定义域上的减函数,则函数)(x f y =的图象可能是A .B .C .D .9.已知定点)0,2(-A ,)0,2(B ,N 是圆O :122=+y x 上任意一点,点A 关于点N 的对称点为M ,线段AM 的中垂线与直线BM 相交于点P ,则点P 的轨迹是 A .椭圆 B .双曲线 C .抛物线 D .圆 10.设函数)(x f 在区间I 上可导,若I x x ∈∀,0,总有))(()()(000x x x f x f x f -'+≥,则称)(x f y =为区间I 上的U 函数. 在下列四个函数2x y =,xx y 1+=,xy e -=,x y 2cos =中,在区间)0,1(-上为U 函数的个数是A .1B .2C .3D .4 二、填空题:本大题共5小题,考生作答4小题,每小题5分,满分20分. (一)必做题:11、12、13题为必做题. 11.如图,菱形ABCD 的边长为2,︒=∠60A ,M 为DC 的中点,则AB AM ⋅的值为 .12.设x ,y 满足约束条件⎪⎩⎪⎨⎧≥≥-≥+≤0,0121y x x y x y ,若目标函数z mx y =+(0m >)的最大值为35,则m 的值为 .第11题图13.设1>a ,则当xa y =与x y a log =两个函数图象有且只有一个公共点时,=a ln ln .(二)选做题:第14、15题为选做题,考生只能从中选做一题. 14.(坐标系与参数方程选做题)在平面直角坐标系xOy 中,直线l 的参数方程为⎪⎪⎩⎪⎪⎨⎧+-=-=t y t x 23221(t 为参数),以原点O为极点,x 轴正半轴为极轴建立极坐标系,曲线C 的极坐标方程为θρcos 2=,则l 上的动点P 与C 上的动点Q 间的最短距离为 . 15.(几何证明选讲选做题)如图,四边形ABCD 是边长为2的正方形,以D 为圆心,DA 为半径的圆弧与以BC 为直径的圆O 交于点F ,连接CF 并延长CF 交AB 于E .则线段BF 的长为 .三、解答题:本大题共6小题,满分80分.解答须写出文字说明、证明过程和演算步骤. 16.(本小题满分13分)某校为了解高三年级不同性别的学生对体育课改上自习课的态度(肯定还是否定),进行了如下的调查研究.全年级共有630名学生,男女生人数之比为10:11,现按分层抽样方 法抽取若干名学生,每人被抽到的概率均为16. (1)求抽取的男学生人数和女学生人数;(2)通过对被抽取的学生的问卷调查,得到如下22⨯列联表:①完成列联表;第15题图②能否有97.5%的把握认为态度与性别有关?(3)若一班有5名男生被抽到,其中4人持否定态度,1人持肯定态度;二班有4名女生被抽到,其中2人持否定态度,2人持肯定态度.现从这9人中随机抽取一男一女进一步询问所持态度的原因,求其中恰有一人持肯定态度一人持否定态度的概率.解答时可参考下面临界值表:17.(本小题满分12分)设ABC ∆的三个内角A ,B ,C 所对的边分别为a ,b ,c .已知sin()cos 6A A π-=.(1)求角A 的大小;(2)若2a =,求b c +的最大值.18.(本小题满分14分)在四棱锥ABCD P -中,︒=∠=∠90ACD ABC ,︒=∠=∠60CAD BAC ,⊥PA 面ABCD ,E 为PD 的中点,42==AB PA .(1)求证:AE PC ⊥; (2)求证://CE 面PAB ; (3)求三棱锥ACE P -的体积V .PABCDE第18题图已知数列}{n a 的前n 项和为n S ,若21=a ,()11++=⋅+n n S a n n n ,*N ∈n . (1)求数列}{n a 的通项公式: (2)令n nn S T 2=,*N ∈n . ①当n 为何正整数值时,1+>n n T T ;②若对一切正整数n ,总有m T n ≤,求m 的取值范围.20.(本小题满分14分)如图,点F 是椭圆12222=+by a x (0>>b a )的左焦点,点A ,B 分别是椭圆的左顶点和上顶点,椭圆的离心率为21,点C 在x 轴上,且BC BF ⊥,过点A 作斜率为(0)k k >的直线l 与由三点B ,F ,C 确定的圆M 相交于D ,E 两点,满足221a ME MD -=⋅.(1)若BOF ∆(2)直线l 的斜率是否为定值?证明你的结论.第20题图已知函数1)1(ln )(+--=x x a x x f (R ∈a ,0≠a ),x x x g +=2)(. (1)求函数(1)()ln ()1a x h x a x g x x -=-⋅+的单调区间,并确定其零点个数;(2)若)(x f 在其定义域内单调递增,求a 的取值范围; (3)证明不等式 1ln 121715131+<+++++n n (*N ∈n ).参考答案一、选择题:本大题共10个小题,每小题5分,共50分.在每小题给出的四个选项中,只有一项是符合题目要求的.二、填空题:本大题共5小题,考生作答4小题,每小题5分,满分20分.11. 4 12. 16 13.1- 14.2 15.5三、解答题:本大题共6小题,满分80分.解答须写出文字说明、证明过程和演算步骤. 16.(本小题满分13分)某校为了解高三年级不同性别的学生对体育课改上自习课的态度(肯定还是否定),进行了如下的调查研究.全年级共有630名学生,男女生人数之比为10:11,现按分层抽样方 法抽取若干名学生,每人被抽到的概率均为16. (1)求抽取的男学生人数和女学生人数;(2)通过对被抽取的学生的问卷调查,得到如下22⨯列联表:①完成列联表;②能否有97.5%的把握认为态度与性别有关?(3)若一班有5名男生被抽到,其中4人持否定态度,1人持肯定态度;二班有4名女生被抽到,其中2人持否定态度,2人持肯定态度.现从这9人中随机抽取一男一女进一步询问所持态度的原因,求其中恰有一人持肯定态度一人持否定态度的概率.解答时可参考下面临界值表解:(1)共抽取6306105÷=人,…………………………………………………………1分男生 111055521⨯=人, 女生101055021⨯=人,……………………………3分 (2)①…………4分② 假设0H : 学生对体育课改上自习课的态度与性别无关220()105(45201030) 6.110()()()()75305550n ad bc k a c b d a b c d -⨯-⨯==≈++++⨯⨯⨯因为 6.110 5.024>, 2( 5.024)0.025P K ≥=所以 有97.5%的把握认为态度与性别有关.………………………………8分(3)记一班被抽到的男生为1234,,,,A A A A a ,1234,,,A A A A 持否定态度,a 持肯定态度;二班被抽到的女生为1212,,,B B b b ,12,B B 持否定态度,12,b b 持肯定态度. 则所有抽取可能共有20种:11(,)A B ,12(,)A B ,11(,)A b ,12(,)A b ;21(,)A B ,22(,)A B ,21(,)A b ,22(,)A b ;31(,)A B ,32(,)A B ,31(,)A b ,32(,)A b ;41(,)A B ,42(,)A B ,41(,)A b ,42(,)A b ;1(,)a B ,2(,)a B ,1(,)a b ,2(,)a b .………10分其中恰有一人持否定态度一人持肯定态度的有10种:11(,)A b ,12(,)A b ,21(,)A b ,22(,)A b ,31(,)A b ,32(,)A b ,41(,)A b ,42(,)A b ,1(,)a B ,2(,)a B .……11分记“从这9人中随机抽取一男一女,其中恰有一人持肯定态度一人持否定态度”事件为M ,则101()202P M ==. ……………………………………………………12分答:(1)抽取男生55人,女生50人;(2)有有97.5%的把握认为态度与性别有关;(3)恰有一人持肯定态度一人持否定态度的概率为12.……………………………13分17.(本小题满分12分)设ABC ∆的三个内角A ,B ,C 所对的边分别为a ,b ,c .已知sin()cos 6A A π-=.(1)求角A 的大小;(2)若2a =,求b c +的最大值. 解:(1)由已知有sin coscos sincos 66A A A ππ⋅-⋅=,………………………………1分得1cos cos 2A A A -=,则sin A A =,………………3分tan A =………………………………………………………………4分又0A π<<,故3A π=.……………………………………………………5分(2)(法一)由正弦定理得sin 2sin sin sin 3a B B b B A π⋅⋅===, sin 2sin sin sin 3a C C c C A π⋅⋅===,则sin )b c B C +=+.……………………………………………7分 而21sin sin sin sin()sin sin )32B C B B B B B π+=+-=++31sin cos ))226B B B B B π=+=+=+.…9分 则 4sin()6b c B π+=+.又 203B π<<, 所以5666B πππ<+<.……………………………10分 所以 当且仅当62B ππ+=,即3B π=时,sin()6B π+取得最大值1,11分故 max ()4b c +=. …………………………………………………………12分(法二)由余弦定理得22222cos3b c bc π=+-,即224b c bc =+-, …………7分则 24()3b c bc =+-,又 2()2b c bc +≤则 10分 22()()434b c b c ++-≤⋅…………………10分 得 2()16b c +≤, 故 4b c +≤,当且仅当b c =时,max ()4b c +=.…… ………………………………………12分18.(本小题满分14分)在四棱锥ABCD P -中,︒=∠=∠90ACD ABC ,︒=∠=∠60CAD BAC ,⊥PA 面ABCD ,E 为PD 的中点,42==AB PA .(1)求证:AE PC ⊥; (2)求证://CE 面PAB ; (3)求三棱锥ACE P -的体积V .解:(1)证明 取PC 中点F ,连接,AF EF . ……1分在Rt ABC ∆中,2AB =,60BAC ∠=, 则 BC =4AC =. 而 4PA =则 在等腰三角形APC 中 PC AF ⊥. ① ………………2分又 在PCD ∆中,,PE ED PF FC ==,则 EF ∥CD ……………………………………………………………………3分因 PA ⊥面ABCD ,CD ⊂面ABCD , 则 PA ⊥CD ,又 90ACD ∠=,即CD AC ⊥, 则 CD ⊥面PAC ,……………………4分CD PC ⊥,所以 EF PC ⊥. ② ………………5分 由①②知 PC ⊥面AEF .故 PC ⊥AE .…………………………6分 (2)(法一)取AD 中点M ,连接,EM CM . 则 在PAD ∆中, EM ∥PA . 又 EM ⊄面PAB , PA ⊂面PAB则 EM ∥面PAB , …………………………………………………………………7分 在Rt ACD ∆中,60CAD ∠= 所以ACM ∆为正三角形,则 60ACM *∆= ……………………………………………………………………8分 又 60BAC ∠= 则 MC ∥AB .又 MC ⊄面PAB , AB ⊂面PAB则 MC ∥面PAB , …………………………………………………………………9分PA DBCEF MPABCDE第18题图而 EM MC M =,所以 面EMC ∥面PAB . …………………………………………………………10分 又 EC ⊂面EMC则 EC ∥面PAB . ………………………………………………………………11分 (法二)延长,DC AB 交于N ,连接PN . …………………………………………7分 在AND ∆中,60NAC DAC ∠=∠=,AC ⊥CD ,则 C 为ND 的中点…………………………………………………………………9分又 PE ED =所以 EC ∥PN ……………………………………………………………………10分 又 EC ⊄面PAB , PN ⊂面PAB则 EC ∥面PAB .…………………………………………………………………11分(3)由(1)(2)知 4AC =, CD =12EF CD ==因 CD ⊥面PAC , EF ∥CD 则 EF⊥面PAC ,……………………………………………………………12分而 1144822Rt PAC S PA AC ∆=⋅=⨯⨯=………………………………………13分故 11833P AECE PAC Rt PAC V V S EF --∆==⋅=⨯⨯=14分19.(本小题满分13分)已知数列}{n a 的前n 项和为n S ,若21=a ,()11++=⋅+n n S a n n n ,*N ∈n . (1)求数列}{n a 的通项公式: (2)令n nn S T 2=,*N ∈n . ①当n 为何正整数值时,1+>n n T T ;②若对一切正整数n ,总有m T n ≤,求m 的取值范围.解:(1)在()11++=⋅+n n S a n n n 中令1n =,得2111(11)a S ⨯=+⨯+又12a =,则24a =,所以212a a -=. ………………………………………1分 当2n ≥时,()11++=⋅+n n S a n n n1(1)(1)n n n a S n n --=+-相减得 11(1)2n n n n na n a S S n +---=-+ ……………………………………3分 即 1(1)2n n n na n a a n +--=+,整理得 12(2)n n a a n +-=≥ ………4分 结合到 212a a -=,所以 数列{}n a 是以2为首项,2为公差的等差数列,………………………5分 则 2(1)2n a n =+-⨯,即2n a n =.…………………………………………6分(2)①(法一) (22)(1)2n n nS n n +==+…………………………………………7分 则 (1)22n n n nS n n T +==………………………………………………………8分 1111(1)(2)(1)1(1)(2)(22)2222n n n n n n n n n n n n n T T n n +++++++++--=-=+-=由 10n n T T +-<……………………………………………………………9分 得 2n >,即n 取不小于3的正整数. …………………………………10分 (法二) 把 12(1)n a n +=+代入()11++=⋅+n n S a n n n得 ()2(1)1n n n S n n ⨯+=++所以 (1)n S n n =+.……………………………………………7分以下同法一.② 由①知 数列{}n T 各项的大小情况为 12345T T T T T <=>>>.11分则 {}n T 的各项中数值最大的项为3222(21)322T T +===,………12分 因为对一切正整数n ,总有m T n ≤,则 32m ≥……………………13分20.(本小题满分14分)如图,点F 是椭圆12222=+by a x (0>>b a )的左焦点,点A ,B 分别是椭圆的左顶点和上顶点,椭圆的离心率为21,点C 在x 轴上,且BC BF ⊥,过点A 作斜率为(0)k k >的直线l 与由三点B ,F ,C 确定的圆M 相交于D ,E 两点,满足221a ME MD -=⋅.(1)若BOF ∆(2)直线l 的斜率是否为定值?证明你的结论.解:(1)由已知可得12c a =,12cb =2分 又222a b c =+,解得2222,6,8c b a ===. …………3分所求椭圆方程为22186x y +=.…………4分 (2)由12c a =得b =,则 (,0),F c B - 因BC BF ⊥则1-=⋅BF BC k k (斜率显然存在且不为零)……………6分 而 FB k ==设 (,0)C t , 则BC k ==得 c t 3=,所以)0,3(c C ……………………………………………………7分则圆心M 的坐标为(,0)M c ,半径为2r c =………………………………………8分 据题意 直线l 的方程可设为 (2)y k x c =+,即20kx y ck -+=………………9分由 221a ME MD -=⋅得 2122cos 2c c DME a ⨯⨯∠=-………………………10分即 2122cos (2)2c c DME c ⨯⨯∠=-,得1cos 2DME ∠=-,而0DME π≤∠≤所以 23DME π∠=…………………………………………………………………11分在等腰三角形MED 中 由垂径定理可得点M 到直线l 的距离为c .………………12分则c =…………………………………………………………………13分解得4k =± 而0k > 故4k =(定值)……………………………14分21.(本小题满分14分)已知函数1)1(ln )(+--=x x a x x f (R ∈a ,0≠a ),x x x g +=2)(. (1)求函数(1)()ln ()1a x h x a x g x x -=-⋅+的单调区间,并确定其零点个数;(2)若)(x f 在其定义域内单调递增,求a 的取值范围; (3)证明不等式1ln 121715131+<+++++n n (*N ∈n ). 解:(1)2()ln (0)h x a x ax ax x =-+> …………………………………………1分则 1()(21)(0)h x a x x x'=-+>2(21)a x x x --=-12(1)()2a x x x-+=-……………………………………………2分 (i )若0a >,则当(0,1)x ∈时,()0h x '>;当(1,)x ∈+∞时,()0h x '<所以 (0,1)为()h x 的增区间,(1,)+∞为()h x 的减区间. ………………3分 极大值为0111ln )1(2=⨯+⨯-=a a a h 所以)(x h 只有一个零点1=x .(ii )若0a <,则当(0,1)x ∈时,()0h x '<;当(1,)x ∈+∞时,()0h x '> 所以 (0,1)为()h x 的减区间,(1,)+∞为()h x 的增区间.极小值为0111ln )1(2=⨯+⨯-=a a a h ……………………………………4分 所以)(x h 只有一个零点1=x . 综上所述,当0a <时,(0,1)为()h x 的减区间,(1,)+∞为()h x 的增区间,)(x h 有且只有一个零点;当0a >时,(0,1)为()h x 的增区间,(1,)+∞为()h x 的减区间,)(x h 有且只有一个零点.……………………………………………………………………5分 (2) 21[1(1)]()(1)a x x f x x x +--'=-+212(1)a x x =-+ 22(22)1(0)(1)x a x x x x +-+=>+……………………………………6分 由)(x f 在其定义域内单调递增,可知(0,)x ∀∈+∞,()0f x '≥恒成立.则 2(22)10x a x +-+≥ (0,)x ∀∈+∞ 恒成立.…………………………7分(法一)由二次函数的图象(开口向上,过定点(0,1))可得10a -≤或100a ->⎧⎨∆≤⎩………………………………………………………8分则 1a ≤或210(22)40a a ->⎧⎨--≤⎩ 则 1a ≤或102a a >⎧⎨≤≤⎩得 2a ≤.可以验证 当2a =时)(x f 在其定义域(0,)+∞内单调递增故 2a ≤ (9)分(法二)分离变量 122(0)a x x x≤++> 因 12224x x++≥+= (当且仅当1x x =,即1x =时取到等号)…8分所以 24a ≤, 则2a ≤.可以验证 当2a =时)(x f 在其定义域(0,)+∞内单调递增故 2a ≤……………………………………………………………………9分(3)由(2)可知 当2a =时,2(1)()ln 1x f x x x -=-+在(0,)+∞内单调递增, 而2(11)(1)ln1011f -=-=+ 所以当1x >时,()(1)0f x f >= 即 2(1)ln (1)1x x x x ->>+ (10)分令 *11()x n N n=+∈,则 12(11)1ln(1)111n n n+-+>++ (11)分则 12ln21n n n +>+ 所以 2ln 121n n n >--,22ln 323n n n ->--,…… , 32ln 25>,22ln 13>, 以上n 个式子累加可得132222lnln ln ln 212212153n n n n n n +++++>++++-+-…………………………………12分则 131111ln(2)2()12212153n nn n n n +⋅⋅⋅>++++-+- 则 1111ln(1)2()212153n n n +>+++++-…………………………13分则 11111ln(1)2212153n n n +>+++++- 故 111135721n ++++<+(*N ∈n ).………………14分。
数学试题一、填空题:本大题共14小题,每小题5分,共计70分.请把答案填写在答题卡相应位置.......上.. 1.若集合{}1,0,1A =-,{}21,B x x m m ==+∈R ,则B A = ▲ .2.设i 是虚数单位,复数1i3ia +-为纯虚数,则实数a 的值为 ▲ . 3.已知样本7,8,9,,x y 的平均数是8,且60xy =,则此样本的标准差是 ▲ .4.在集合{|,1,2,,10}6n M x x n π===中任取一个元素,所取元素恰好满足方程1cos 2x = 的概率是 ▲ . 5.已知双曲线与椭圆2212xy +=有相同的焦点,且它们的 离心率互为倒数,则该双曲线的方程为 ▲ . 6.已知某算法的伪代码如右,根据伪代码,若函数7.()()g x f x m =-在R 上有且只有两个零点,则实数m 的取值范围是 ▲ .7.已知32cos()23απ+=-,则cos2α= ▲ .8.有一个正四面体的棱长为3,现用一张圆形的包装纸将其完全包住(不能裁剪纸,但可以折叠),那么包装纸的最小半径为 ▲ .9.过点(1,1)P 的直线将圆224x y +=分成两段圆弧,要使这两段弧长之差最大,则该直线的方程为 ▲ .10.已知数列{}n a 的前n 项和21()2n S n kn k *=-+∈N ,且n S 的最大值为8,则=2a▲ .11.已知中心为O 的正方形ABCD 的边长为2,点,M N 分别为线段,BC CD 上的两个不同点,且1MN =,则OM ON 的取值范围是 ▲ .12.在数列{}n a 中,已知13a =,22a =,当2n ≥时,1n a +是1n n a a -⋅的个位数,则2013a = ▲ .13.已知2()log (1)f x x =-,若实数n m ,满足()()2f m f n +=,则mn 的最小值是▲ .Read xIf x ≤1- Thenf (x )←x +2Else If 1-<x ≤1 Then f (x )←x 2Elsef (x )←x -+2End If End IfPrint f (x )(第6题图)14.设曲线()1e x y ax =-在点()01,A x y 处的切线为1l ,曲线()1e x y x -=-在点()02,A x y 处的切线为2l .若存在030,2x ⎡⎤∈⎢⎥⎣⎦,使得12l l ⊥,则实数a 的取值范围是 ▲ .二、解答题: 本大题共6小题,共计90分.请在答题卡指定的区域........内作答,解答时应写出文字说明、求证过程或演算步骤. 15.(本小题满分14分)设ABC △的内角,,A B C 所对的边分别为,,a b c .已知1a =,2b =,12CA CB =. ⑴求边c 的长; ⑵求()C A -cos 的值.16.(本小题满分14分)如图,在四棱锥P ABCD -中,PA ⊥平面ABCD ,四边形ABCD 是平行四边形,且AC CD ⊥,PA AD =,M ,Q 分别是PD ,BC 的中点.(1)求证:MQ平面PAB ;(2)若AN PC ⊥,垂足为N ,求证:MN PD ⊥.17.(本小题满分14分)某人2002年底花100万元买了一套住房,其中首付30万元,70万元采用商业贷款.贷款的月利率为5‰,按复利计算,每月等额还贷一次,10年还清,并从贷款后的次月开始还贷.⑴这个人每月应还贷多少元?PABDCMNQ(第16题图)⑵为了抑制高房价,国家出台“国五条”,要求卖房时按照差额的20%缴税.如果这个人现在将住房150万元卖出,并且差额税由卖房人承担,问:卖房人将获利约多少元? (参考数据:120(10.005) 1.8≈+)18.(本小题满分16分)已知椭圆E :()222210x y a b a b =>>+的离心率为12,右焦点为F ,且椭圆E 上的点到点F 距离的最小值为2.⑴求椭圆E 的方程;⑵设椭圆E 的左、右顶点分别为,A B ,过点A 的直线l 与椭圆E 及直线8x =分别相交于点,M N .(ⅰ)当过,,A F N 三点的圆半径最小时,求这个圆的方程;(ⅱ)若cos AMB ∠=,求ABM △的面积.19.(本小题满分16分)已知数列{}n a ,其前n 项和为n S .⑴若对任意的n *∈N ,2-12+12,,n n n a a a 组成公差为4的等差数列,且1=1a ,220132nS n=,求n 的值; ⑵若数列{+}nnS a a 是公比为(1)q q ≠-的等比数列,a 为常数,求证:数列{}n a 为等比数列的充要条件为1=1+q a.20.(本小题满分16分)已知函数()ln a f x x x =+,21()222g x bx x =-+,,a b ∈R . ⑴求函数()f x 的单调区间;⑵记函数()()()h x f x g x =+,当0a =时,()h x 在(0,1)上有且只有一个极值点,求实数b 的取值范围;⑶记函数()()F x f x =,证明:存在一条过原点的直线l 与()y F x =的图象有两个切点.参考答案一、填空题:1.{1} 2.3 34.0.2 5.22221x y -= 6.(,0){1}-∞ 7.7981-8. 9.20x y +-= 10.5211.[2 12.6 13.9 14.31,2⎡⎤⎢⎥⎣⎦二、解答题: 15.⑴由12CA CB =,得1cos 2ab C =.………………………………………………2分 因为1a =,2b =,所以1cos 4C =,…………………………………………………4分所以2222cos 1414c a b ab C =-=-=++,所以2c =.…………………………………………………………………………… 7分⑵因为1cos 4C =,(0,)C π∈,所以sin C =,…………………………………9分所以sin 4sin 2a C A c ===,……………………………………………………11分 因为a c <,所以A C <,故A 为锐角,所以7cos 8A ,所以7111cos()cos cos sin sin 8416A C A C A C -==⨯=+. …………14分16.(1)取PA 的中点E ,连结ME ,BE ,因为M 是PD 的中点,所以ME AD ,12ME AD =,又因为Q 是BC 中点,所以12BQ BC =,因为四边形ABCD 是平行四边形;所以BC AD ∥,所以BQ ME ∥,所以四边形MQBE 是平行四边形,…………4分所以MQ BE .因为BE ⊂平面PAB , MQ ⊄平面PAB ,所以MQ 平面PAB .……………………6分 (2)因为PA ⊥平面ABCD ,CD ⊂平面ABCD , 所以PA CD ⊥,又因为AC CD ⊥,PA AC A =,PABDCM N QE (第16题图)PA ⊂平面PAC ,AC ⊂平面PAC ,所以CD ⊥平面PAC ,又AN ⊂平面PAC , 所以AN CD ⊥. ……………………………9分又AN PC ⊥,PC CD C =,PC ⊂平面PCD ,CD ⊂平面PCD ,所以AN ⊥平面PCD ,又PD ⊂平面PCD ,所以AN PD ⊥,……………………12分 又PA AD =,M 是PD 中点,所以AM PD ⊥,……………………………………13分 又AM AN A =,AM ⊂平面AMN ,AN ⊂平面AMN ,所以PD ⊥平面AMN ,又MN ⊂平面AMN ,所以MN PD ⊥.……………………………………………………14分17.⑴设每月应还贷x 元,共付款1210120⨯=次,则有2119120[1(10.005)(10.005)(10.005)]700000(10.005)x =++++++++,…………4分所以1201207000000.005(10.005)7875(10.005)1x ⨯⨯==-++(元).………………………………6分答:每月应还贷7875元.………………………………………………………………7分 ⑵卖房人共付给银行7875120945000⨯=元, 利息945000700000245000-=(元),………………………………………………10分 缴纳差额税(15000001000000)0.2100000-⨯=(元),………………………………12分500000(245000100000)155000-=+(元). 答:卖房人将获利约155000元.………………………………………………………14分18.⑴由已知,12c a =,且2a c -=,所以4a =,2c =,所以22212b a c =-=,所以椭圆E 的方程为2211612x y =+.………………………………………………………3分⑵(ⅰ)由⑴,(4,0)A -,(2,0)F ,设(8,)N t .设圆的方程为220x y dx ey f =++++,将点,,A F N 的坐标代入,得21640,420,6480,d f d f t d et f ⎧-=⎪=⎨⎪=⎩+++++++解得2,72,8,d e t t f =⎧⎪⎪=--⎨⎪=-⎪⎩……………………………………………6分 所以圆的方程为22722()80x y x t y t--=+++, 即222172172(1)[()]9()24x y t t t t-=+++++,因为2272()t t +≥,当且仅当72t t=±+故所求圆的方程为22280x y x ±-=++.………………………………………9分 (ⅱ)由对称性不妨设直线l 的方程为(4)(0)y k x k =>+.由22(4),1,1612y k x x y =⎧⎪⎨=⎪⎩++得222121624(,)3434k k M k k -++,……………………………………………11分所以222424(,)3434kMA k k --=++,2223224(,)3434k k MB k k -=++,所以cos 24MA MB AMB MA MB∠===, 化简,得42164090k k --=,…………………………………………………………14分解得214k =,或294k =,即12k =,或32k =, 此时总有3M y =,所以ABM △的面积为183122⨯⨯=.…………………………16分19.⑴因为21212,,n n n a a a -+成公差为4的等差数列,所以21212214,8)n n n n a a a a n *+---==+∈N (,……………………………………………2分 所以1352121,,,,,n n a a a a a -+是公差为4的等差数列,且2462135218n n a a a a a a a a n -++++=+++++, ……………………………4分又因为11a =,所以()21352128n n S a a a a n-=+++++2(1)2[4]8462(23)2n n n n n n n n -=⨯==++++,所以22320132n Sn n ==+,所以1005n =.……………………………………………6分⑵因为1(1)n n n Sa a q a -+=+,所以1(1)n n n n S a q a aa -=+-, ①所以111(1)n n n n S a q a aa +++=+-, ②②-①,得11(1)(1)[(1)]n n n n a q a a a q a -++-=-+, ③ ……………………………8分(ⅰ)充分性:因为11q a=+,所以0,1,1a q a aq ≠≠+=,代入③式,得 1(1)(1)n n n n q q a q a +-=-,因为1q ≠-,又1q ≠,所以11n n a a q+=,*n ∈N ,所以{}n a 为等比数列,……………………………………12分(ⅱ)必要性:设{}n a 的公比为0q ,则由③得10(1)(1)(1)n n a q q a a q -+-=-+,整理得()()00111()n a q a a q q q+-=+-,……………………………………………14分此式为关于n 的恒等式,若1q =,则左边0=,右边1=-,矛盾;1q ≠±若,当且仅当00(1,1(1(1)a q a a q a q+=⎧⎪⎨+=+⎪⎩))时成立,所以11q a =+.由(ⅰ)、(ⅱ)可知,数列{}n a 为等比数列的充要条件为1=1+q a.…………………16分20.(1)因为221()a x af x x x x-'=-+=,①若0a ≤,则()0f x '≥,()f x 在(0,)+∞上为增函数,…………………………2分 ②若0a >,令()0f x '=,得x a =,当0x a <<时,()0f x '<;当x a >时,()0f x '>.所以(0,)a 为单调减区间,(,)a +∞为单调增区间. 综上可得,当0a ≤时,(0,)+∞为单调增区间,当0a >时,(0,)a 为单调减区间, (,)a +∞为单调增区间. ……………4分(2)0a =时,21()()()22ln 2h x f x g x bx x x =+=-++,2121()2bx x h x bx x x-+'=-+=, ……………………………………………………5分 ()h x 在(0,1)上有且只有一个极值点,即()0h x '=在(0,1)上有且只有一个根且不为重根,由()0h x '=得2210bx x -+=, ………………………………………………………6分(i )0b =,12x =,满足题意;…………………………………………………………7分 (ii )0b >时,212110b ⋅-⋅+<,即01b <<;………………………………………8分 (iii )0b <时,212110b ⋅-⋅+<,得1b <,故0b <;综上得:()h x 在(0,1)上有且只有一个极值点时,1b <. ……………………………9分 注:本题也可分离变量求得. (3)证明:由(1)可知:(i )若0a ≤,则()0f x '≥,()f x 在(0,)+∞上为单调增函数,所以直线l 与()y F x = 的图象不可能有两个切点,不合题意.……………………10分 (ⅱ)若0a >,()f x 在x a =处取得极值()1ln f a a =+.若1ln 0a +≥,1ea ≥时,由图象知不可能有两个切点.…………………………11分故10ea <<,设()f x 图象与x 轴的两个交点的横坐标为,s t (不妨设s t <), 则直线l 与()y F x =的图象有两个切点即为直线l 与1ln ,(,)ay x x s t x=--∈和2ln ,(,)ay x x t x=+∈+∞的切点.1221a a x y x x x -'=-=,2221a x a y x x x-'=-+=, 设切点分别为1122(,),(,)A x y B x y ,则120x x <<,且 111122111ln a x y x a x x x x -==--,222222222ln x a y x a x x x x -==+,122212a x x ax x --=, 即1121ln ax x =-, ① 2221ln ax x =-, ② 12122212()x x x x a x x +=+,③①-②得:11212222ln ln ln x a ax x x x x -=-+=-,由③中的a 代入上式可得:121212212122()22()ln x x x x x x x x x x +-=-+, 即22121221222()ln x x x x x x -=+, ……………………………………………………………14分令12(01)x k k x =<<,则22(1)ln 22k k k +=-,令22()(1)ln 22(01)G k k k k k =+-+<<,因为213()10e e G =->,2414()0e eG =-<,故存在0(0,1)k ∈,使得()00G k =,即存在一条过原点的直线l 与()y F x =的图象有两个切点.………………16分。
2022年福建省厦门市普通高校对口单招数学二模测试卷(含答案)一、单选题(20题)1.A.(-2.3)B.(2,3]C.[2,3)D.[-2,3]2.在△ABC中,角A,B,C所对边为a,b,c,“A>B”是a>b的()A.充分条件B.必要条件C.充要条件D.既不充分也不必要条件3.函数f(x)=x2+2x-5,则f(x-1)等于()A.x2-2x-6B.x2-2x-5C.x2-6D.x2-54.设集合={1,2,3,4,5,6,},M={1,3,5},则C U M=()A.{2,4,6}B.{1.3,5}C.{1,2,4}D.U5.函数和在同一直角坐标系内的图像可以是()A.B.C.D.6.(1 -x)4的展开式中,x2的系数是( )A.6B.-6C.4D.-47.直线以互相平行的一个充分条件为()A.以都平行于同一个平面B.与同一平面所成角相等C.平行于所在平面D.都垂直于同一平面8.若集合M={3,1,a-1},N = {-2,a2},N为M的真子集,则a的值是( )A.-1B.1C.0D.9.函数f(x)=的定义域是( )A.(0,+∞)B.[0,+∞)C.(0,2)D.R10.在空间中垂直于同一条直线的两条直线一定是( )A.平行B.相交C.异面D.前三种情况都有可能11.过点M(2,1)的直线与x轴交与P点,与y轴交与交与Q点,且|MP|=|MQ|,则此直线方程为()A.x-2y+3=0B.2x-y-3=0C.2x+y-5=0D.x+2y-4=012.函数在(-,3)上单调递增,则a的取值范围是()A.a≥6B.a≤6C.a>6D.-813.函数的定义域为()A.(0,1]B.(0,+∞)C.[1,+∞)D.(—∞,1]14.已知函数f(x)=㏒2x,在区间[1,4]上随机取一个数x,使得f(x)的值介于-1到1之间的概率为A.1/3B.3/4C.1/2D.2/315.下列函数中是奇函数的是A.y=x+3B.y=x2+1C.y=x3D.y=x3+116.在ABC中,C=45°,则(1-tanA)(1-tanB)=()A.1B.-1C.2D.-217.正方形ABCD的边长为12,PA丄平面ABCD,PA=12,则点P到对角线BD的距离为()A.12B.12C.6D.618.已知等差数列{a n}满足a2+a4=4,a3+a5=它的前10项的和S n()A.138B.135C.95D.2319.下列句子不是命题的是A.B.C.D.20.已知平面向量a=(1,3),b(-1,1),则ab=A.(0,4)B.(-1,3)C.0D.2二、填空题(20题)21.设集合,则AB=_____.22.在△ABC中,C=60°,AB=,BC=,那么A=____.23.函数的定义域是_____.24.不等式(x-4)(x + 5)>0的解集是。
河北省对口升学数学模拟试题二(含答案)本试卷分第Ⅰ卷(选择题)和第Ⅱ卷两部分,共120分 。
考试时间120分钟。
一.选择题:(本大题有15个小题,每小题3分,共30分。
在每小题所给出的四个选项中,只有一个符合题目要求,请把所选项前的字母填在该小题的括号内。
多选、错选、均不得分。
)1.已知集合{,}{,,}a b A a b c ⋃=,则符合条件的集合A 的个数为( )A .1个B .2个C .3个D .4个2.、23.0,3.02,3.0log 2这三个数的大小顺序是( )A. 23.0<3.02<3.0log 2 B. 23.0<3.0log 2<3.02C .3.0log 2<23.0<3.02D .3.0log 2<3.02<23.03.“ac b =2”是“a ,b ,c 成等比数列”的 ( )A.充分不必要条件B.必要不充分条件C.充分必要条件D.既不充分也不必要条件4.已知函数1()31xf x m =++是奇函数,则(1)f -的值为( ) A .12- B. 14 C .14- D. 545.函数x 31log (x ∈R ,且x ≠0) ( )A .为奇函数,且在(一∞,0)上是减函数B .为奇函数,且在(一∞,0)上是增函数C .为偶函数,且在(0,+∞)上是减函数 D. 为偶函数,且在(0,+∞)上是增函数 6.a x y -=与x y a log在同一坐标系下的图象可能是( )7.一个集合有8个不同的元素组成,这个集合中包含三个元素的子集有()A. 56个B. 256 个C. 336个D. 512个 8.2sin ,3sin ,4sin 的大小关系是: ( )A .2sin >3sin >4sin B.2sin > 4sin >3sin C .3sin >2sin >4sin D. 4sin >3sin >2sin9.ABC ∆的三个内角A 、 B 、 C 的对边分别为a 、b 、c 则下列表述正确的是( ) A.若3:2:1::=C B A ,则3:2:1::=c b a B.若b a B A :cos :cos =, 则ABC ∆是等腰三角形C. 若A 、 B 、 C 成等差数列,则A 、 B 、 C 分别为 30、 60和90 D. B ac c a b cos 2222=--10.椭圆1422=+y x 的焦点坐标是 ( )A. )23,0(±B. )0,23(±C. )0,23(±D. )23,0(± 11.下列几个命题正确的个数为 ( ) (1)垂直于同一直线的两直线平行 (2)垂直于同一直线的两平面平行 (3)垂直于同一平面的两直线平行 (4)垂直于同一平面的两个平面平行 A .1个 B . 2个 C . 3个 D .4个12..函数)2sin(ϕ+=x y 的简图如图所示,则ϕ的值为(A.6π B.12π C. 12π- D. 6π-13.直线0643=+-y x ,与圆4)3()2(22=-+-y x 的位置关系是 ( ) A .相离 B.相切 C. 相交并过圆心 D .相交但不过圆心14.甲,乙两个人各进行一次射击,甲击中目标的概率伪0.7,乙击中目标的概率为0.2那么至少有一个人击中目标的概率为 ( )A. 0.24B. 0.56C. 0.06D. 0.76 15、等比数列前3则第四项是( )A 、-1B 、1 C第Ⅱ卷(非选择题 共75分)二、填空题:(本大题有15个空,每空2分,共30分。
数学试题第I 卷(选择题)请点击修改第I 卷的文字说明 评卷人 得分一、选择题(题型注释)1.已知幂函数y=f (x )的图象过(4,2)点,则=( )A .B .C .D .2.已知向量(1,)a x =,(8,4)b =,且a b ⊥,则x =( ) A. 12B.2C. 2-D. 2± 3.B4.执行右图程序框图,如果输入的N 是6,那么输出的p 是( )A.120B.720C.1440D.50405.如右图是某位篮球运动员8场比赛得分的茎叶图,其中一个数据染上污渍用x 代替,则这位运动员这8场比赛的得分平均数不小于得分中位数的概率为( )A .102B . 103C .106D .1076.已知抛物线x y M 4:2=,圆222)1(:r y x N =+-(其中r 为常数,r >0)过点)0,1(的直线l 交圆N 于D C ,两点,交抛物线M 于B A ,两点,且满足BD AC =的直线l 只有三条的必要条件是 ( )A .(0,1]r ∈ B. (1,2]r ∈ C. 3(,4)2r ∈ D. 3[,)2r ∈+∞7.若集合12{|,01}A y y x x ==<≤,1{|2,01}B y y x x==-<≤,则A B 等于( ) (A)(],1-∞ (B)(]0,1 (C)φ (D){1}8.函数)(x f y =为定义在R 上的减函数,函数)1(-=x f y 的图像关于点(1,0)对称, ,x y 满足不等式0)2()2(22≤-+-y y f x x f ,(1,2),(,)M N x y ,O 为坐标原点,则当41≤≤x 时,OM ON ⋅的取值范围为 ( ) A .[)+∞,12 B .[]3,0C .[]12,3D .[]12,00 1 2 7 8 0 7 x 9 3 1运动员第II 卷(非选择题)二、填空题(题型注释)9.命题“存在x ∈R,使得x2+2x+5=0”的否定是__________.10.函数)1lg()(-=x x f 的定义域是______________.11.在△ABC 的内角A 、B 、C 的对边分别为a 、b 、c ,若2=a ,32=c ,3π=C ,则=b .12.在n x )3(-的展开式中,若第3项的系数为27,则=n .13.若圆1)1(22=-+y x 的圆心到直线:n l 0=+ny x (*N n ∈)的距离为n d ,则=∞→n n d lim .14.设1e 、2e 是平面内两个不平行的向量,若21e e a +=与21e e m b -=平行,则实数=m .三、解答题(题型注释)15.(本小题满分12分) 某市对该市小微企业资金短缺情况统计如下表:(I)试估计该市小微企业资金缺额的平均值;(II)某银行为更好的支持小微企业健康发展,从其第一批注资的A 行业3家小微企业和B 行业的2家小微企业中随机选取3家小微企业,进行跟踪调研.求选取的3家小微企业中A 行业的小微企业至少有2家的概率.16.(本小题满分12分)如图,在直三棱柱111ABC A B C -中,12=2AA AC AB ==,且11BC A C ⊥.(Ⅰ)求证:平面1ABC ⊥平面11A ACC ;(Ⅱ)设D 是11A C 的中点,判断并证明在线段1BB 上是否存在点E ,使DE ‖平面1ABC ;若存在,求三棱锥1E ABC -的体积.17.(本小题满分10分)已知关于x 的不等式2|21||1|log x x a +--≤(其中0a >)。
永昌县职业中学数学模拟试卷(二) 1永昌县职业中学对口升学考试数学模拟试卷(二)一、选择题:(本大题共7小题,每小题3分,共21分.)1.已知A ={0,1,2},B ={2,4},那么A ∩B = ( )A .{0};B .{2} ;C .{1,2} ;D .{0,1,2, 4}.2.集合{x | -1<x ≤3}用区间表示正确的是 ( )A .(-1,3)B .[-1,3)C .(-1,3]D .[-1,3] 3.化简log 38-log 32可得 ( )A .log 34B . 23C .3D .44.下列图象表示的函数中,偶函数是 ( )5.下列结论中,正确的是 ( )A .cos(-α) = cos α B.sin(π-α) = -sin α C .tan(π+α) = -tan α D .sin(α+180°) = sin α6.下列数列不是等比数列的是 ( )A .1,1,1,1B .0,2,4,8C .1111842--,,, D .3241,239--,, 7.若某射手射击一次射中10环,9环,8环,7环的概率分别是0.2,0.3,0.1,0.1,计算这名射手射击一次,则射中10环或9环的概率为 ( )A .0.2 ;B .0.3;C .0.5 ;D .0.6.二、填空题:(本大题共4小题,每小题3分,共12分.)8.已知球的半径为2,则它的表面积为 .9.已知|a|=3,|b|=4, a 与b 的夹角为30︒,则a ⋅b= . 10. 则f (3)= .11.075= rad .三、解答题:(本大题共3小题,共17分.)12.(5分)求函数f (x .13.(6分)求满足下列条件的直线方程. (1)经过点(-1,1),且斜率为2; (2)过A (1,-3),B (2,-2)两点.14.(6分)已知等差数列1,-1,-3,-5,……,求:(1)-17是这个数列的第几项?(2)通项公式.附加题. 当a=-1时,求代数式234211610222-+⋅⎪⎭⎫ ⎝⎛--÷⎪⎭⎫⎝⎛-+--a a a a a a a 的值.ABC。
数学试题一、选择题(本大题共8个小题,每小题4分,共32分,在每小题给出的四个选项中只有一个是符合题目要求的)1. ,则( ) A. 第6项 B. 第7项 C. 第8项 D. 第9项2. 设a ,b 是非零实数,若a<b ,则下列不等式成立的是( )A.a 2<b 2B.ab 2<a 2bC.2211ab a b <D.b a a b< 3. 不等式12x x -+>0的解集是( ) A.{x|x<-2或x>1}B.{x|-2<x<1}C.{x|x<-1或x>2}D.{x|-1<x<2}4. 已知正项数列{n a }中,22212111,2,2(2)n n n a a a a a n +-===+≥,则6a 等于( )A.16B.8C.D.4 5. 在等差数列{}n a 中,已知5710a a +=,n S 是数列{}n a 的前n 项和,则11S =( )A.45B.50C.55D.60.6. 甲、乙两人下棋,甲获胜的概率是40%,甲不输的概率为90%,则甲、乙两人下成和棋的概率为( )A.60%B.30%C.10%D.50%7. 数列{n a }的前n 项和为n S ,若2217Sn n n =-,则当n S 取得最小值时,n 的值为( ) A. 4或5 B. 5或6 C. 4 D. 58. 一只小蜜蜂在一个棱长为30的正方体玻璃容器内随意地飞行,若蜜蜂在飞行过程中与正方体玻璃容器6个表面中至少有一个面的距离不大于10,则就有可能撞到玻璃上而不安全,若始终保持与正方体玻璃容器6个表面的距离均大于10,则飞行是安全的. 假设蜜蜂在正方体玻璃容器内飞行到每一位置的可能性相同,那么蜜蜂飞行是安全的概率是( ) A.18 B.116 C.127 D.38二、填空题(本大题共6个小题,每小题4分,共24分)9.2+与2的等比中项是_________.10. 2x2+5x-3<0的解集为________________.11. 一辆汽车原来每天行驶x km,如果该汽车每天行驶的路程比原来多19km,那么在8天内它的行程将超过2200km,用不等式表示为.12. 下列事件:①对任意实数x,有x2<0;②三角形的内角和是180°;③骑车到十字路口遇到红灯;④某人购买福利彩票中奖;其中是随机事件的为__________.13. 已知等比数列的前20项的和为30,前30项的和为70,则前10项的和为_______.14. 一种专门占据内存的计算机病毒开始时占据内存2KB,然后每3分钟自身复制一次,复2制后所占内存是原来的2倍,那么开机后_______分钟,该病毒占据内存32MB(1 MB=10 KB).三、解答题(本大题共4个小题,共44分,解答应写出文字说明,证明过程或演算步骤) 15.(本题10分)袋子中装有除颜色外其他均相同的编号为a,b的2个黑球和编号为c,d,e的3个红球,从中任意摸出2个球.(1)写出所有不同的结果;(2)求恰好摸出1个黑球和1个红球的概率.16.(本题10分)关于x的不等式22(1)(1)10a x a x----<的解集为R,求实数a的取值范围.17.(本题12分)设数列{a n}的前n项和为S n , 且S n=4a n-3(n=1,2,…).(1)证明: 数列{a n}是等比数列;(2)若数列{b n}满足b n+1=a n+b n(n=1,2,…),b1=2,求数列{b n}的通项公式.18.(本题12分)已知正项等差数列{a n}的前n项和为S n,若S3=12,且2a1,a2,a3+1成等比数列.(1)求{a n }的通项公式;(2)记b n =3n na 的前n 项和为T n ,求T n .答案一、选择题(8小题,每小题4分,共32分)1B , 2C , 3A , 4D , 5C , 6D , 7C , 8C.二、填空题(6小题,每小题4分,共24分)9. ±1; 10. {x |-3<x <12}; 11. 8(x+19)>2200; . 12. ③④; 13. 10; 14.42.三、解答题(4大题,共44分)15.(本题10分)袋子中装有除颜色外其他均相同的编号为a ,b 的2个黑球和编号为c ,d ,e 的3个红球,从中任意摸出2个球.(1)写出所有不同的结果;(2)求恰好摸出1个黑球和1个红球的概率.解:(1)用树状图表示所有的结果为所以所有不同的结果是ab,ac,ad,ae,bc,bd,be,cd,ce,de.---------------------------------5分(2)记“恰好摸出1个黑球和1个红球”为事件A,则事件A 包含的基本事件为ac,ad,ae,bc,bd,be,共6个基本事件,----------7分所以P(A)=610=0.6,即恰好摸出1个黑球和1个红球的概率为0.6. ---------------10分16.(本题10分)关于x 的不等式22(1)(1)10a x a x ----<的解集为R ,求实数a 的取值范围.【解】 (1)若a 2-1=0,即a =±1时,——————————1分 若a =1,不等式变为-1<0,解集为R ;——————————2分若a =-1,不等式变为2x -1<0,解集为{x|x<12}.——————3分∴a =1时满足条件.(2)若a 2-1≠0,即a ≠±1时,原不等式解集为R 的条件是22210(1)4(1)0a a a ⎧-<⎪⎨∆=-+-<⎪⎩.——————6分 解得-35<a<1.————————9分.综上所述,当-35<a ≤1时,原不等式解集为R.——————-10分17.(本题12分)设数列{a n }的前n 项和为S n , 且S n =4a n -3(n=1,2,…).(1)证明: 数列{a n }是等比数列;(2)若数列{b n }满足b n+1=a n +b n (n=1,2,…),b 1=2,求数列{b n }的通项公式.(1)证明:因为S n =4a n -3(n=1,2,…),则S n-1=4a n-1-3(n=2,3,…),当n ≥2时,a n =S n -S n-1=4a n -4a n-1,————————3分整理,得143n n a a -=.————————4分 由S n =4a n -3,令n=1,得a 1=4a 1-3,解得a 1=1.————————5分 所以{a n }是首项为1,公比为的等比数列.————————6分(2)解:由(1)得a n =143n -⎛⎫ ⎪⎝⎭,————————8分由b n+1=a n +b n (n=1,2,…),得b n+1-b n =143n -⎛⎫ ⎪⎝⎭. 则b n =b 1+(b 2-b 1)+(b 3-b 2)+…+(b n -b n-1) =2+114143314313n n --⎛⎫- ⎪⎛⎫⎝⎭=⨯- ⎪⎝⎭-(n ≥2).————————10分 当n=1时,14313n -⎛⎫⨯- ⎪⎝⎭=2=b 1,————————11分所以b n =14313n -⎛⎫⨯- ⎪⎝⎭.————————12分18.(本题12分)已知正项等差数列{a n }的前n 项和为S n ,若S 3=12,且2a 1,a 2,a 3+1成等比数列.(1)求{a n }的通项公式;(2)记b n =3n n a 的前n 项和为T n ,求T n . . 解:(1)设等差数列{a n }的公差为d , ∵2a 1,a 2,a 3+1成等比数列,∴22a =2a 1·(a 3+1),————————2分∴(a 1+d )2=2a 1(a 1+2d+1). 则有21111()2(21)3(31)3122a d a a d a d ⎧+=++⎪⎨⨯-+=⎪⎩,————————4分 解得a 1=1,d=3或a 1=8,d=-4(舍去),————————5分 ∴a n =a 1+(n-1)d=1+(n-1)3=3n-2.————————6分(2)b n =3n n a =(3n-2)·13n , ∴T n =1×13+4×213+7×313+…+(3n-2)×13n .①———————7分 ①×13得,13T n =1×213+4×313+7×413+…+(3n-5)×13n +(3n-2)×113n +,②————8分 ①-②,得23T n =13+3×213+3×313+3×413+…+3×13n -(3n-2)×113n +——————9分 =13+3×2111333113n -⨯--(3n-2)×113n +=56-11123n -⨯-(3n-2)×113n +.——10分 ∴T n =251132144323n n n ---⨯-⨯ =5651443n n +-⨯.————————12分.。
2024届山西省对口升学考试数学模拟试题及答案2024届山西省对口升学考试数学模拟试题及答案一、选择题1、下列函数中,在其定义域内为增函数的是() A. y=x^2 B. y=log(x)C. y=1/xD. y=|x| 答案:D2、已知角α终边在第二象限,那么[α-π/2,(3π)/2-α]的值是() A. 递减 B. 递增 C. 先增后减 D. 先减后增答案:B3、已知长方体的一个顶点上的三条棱长分别是3,4,5,则这个长方体对角线长是() A. 5 B. 5√2 C. 10 D. 25 答案:B4、已知函数f(x)在R上可导,且lim(x→0) [f(x) - f(-x)] / x = -1,则曲线y = f(x)在原点处的切线方程为() A. y = -x B. y = x C. y = 0 D. y = 2x 答案:A5、已知数列{an}的通项公式为an=(-1)^(n-1) * (4n-3),则其前11项的和为() A. -44 B. 44 C. -22 D. 22 答案:D二、填空题6、已知向量a = (1,2),b = (3,4),则a与b的夹角为____度。
答案:9061、已知f(x) = x^3 + ax^2 + bx + 5,过点P(1,4)且在x= - 1处有极值,则a =,b =。
答案:a = 3,b = -3611、在半径为1的圆内,任意给定一条弦,其长度超过圆内接等边三角形的边长的概率等于____。
答案:1/4三、解答题9、求函数y = x^3 - 6x^2 + 9x - 10的单调区间、极值点及对应的函数值。
答案:单调递增区间为(1,3),单调递减区间为(3,∞);极值点为x = 3,对应的函数值为f(3) = -1;极大值点为x = 1,对应的函数值为f(1) = -6。
91、已知{an}为等比数列,且a2 + a4 = 9,s3 = 6,求a1及公比q 的值。