浙师大考博光荣榜
- 格式:doc
- 大小:233.00 KB
- 文档页数:13
教育学(一级学科博士学位点)
一、基本情况
我校教育学科由著名教育家郑晓沧先生等创建,本学科从1998年开始招收硕士研究生,2006年获教育学一级学科硕士点,2013年获教育学一级学科博士点。
目前,高等教育学、比较教育学、教育学原理、课程与教学论、教育技术学、学前教育学、非洲教育等7个方向招收博士生。
博士点负责人眭依凡教授是第七届国务院教育学学科评议组成员、教育部长江学者特聘教授,为高等教育领域国内具有重要学术影响的著名学者之一。
在2004教育部研究生教育与学位研究中心的一级学科评估中,我校教育学学科在20所参评大学中排名第11位;在2009年的评估中,共有34所大学参评(其中具有一级博士学位点学校9所,二级博士学位点学校7所),我校教育学学科排名第14位。
武汉大学中国科学评价研究中心2012年-2013年学科排名中,我校教育学一级学科研究生教育竞争力在159所高校中排名第30位,均在优秀学科门类和优秀一级学科之列。
上海软科2017年《中国最好学科排名》中,我校教育学科在全国高校中居于前10%,位列第11位。
二、学科特色优势
经过多年发展,教育学学科的高等教育学、比较教育学,尤其是大学文化研究、非洲教育研究居国内领先地位,大学理性、数字化学习环境设计、早期儿童发展与教育等研究领域具有独特学术影响。
本。
江淑玲的考博历程江淑玲,浙江师范大学外国语学院2010届英语课程与教学论专业硕士毕业生,考取北京大学教育学院教育学原理博士生,师从陈向明教授。
以下是她的考博过程自述。
我的考博历程我总认为我的考博经历没有太多要说的东西,仅就“备考”的过程来说是高度紧张和短暂的,而结局还比较幸运。
在此想先强调一下每个人的情况都是特殊的,选择考博要根据自己的实际情况制定计划。
回望自己的考博经历,是希望在曾经的徘徊和挣扎中,对自己有一个更清晰的认识。
在彷徨中坚定——选择我的情况比较特殊,不仅作为一名学生,在我的身上还有妻子、母亲、女儿等诸多角色。
因此出于对家庭、孩子还有自己现实情况的考虑,一直都没有决心考博。
但是身处师大外院这个大集体里,良好的学习与研究氛围,老师的悉心指导都对我产生了潜移默化的影响;在教育学院学习课程夯实了教育理论基础,老师们的指点也开阔了我的视野;多次基于现实考查基础上的写作,渐渐改变了我的学习与写作习惯,并加深了我对周围事物的理解。
上学期有两位老师都劝我试着考博,经过对诸多情况的深思熟虑,在圣诞节将至时,我终于走出彷徨——确定考博。
既然决定的事情就一定要做好,我告诉自己心态要好,态度要认真,要读就读自己感兴趣的方向。
由于我是从一名一线的教师考上硕士的,因此多年来我对教育教学和教师发展一直都十分关注,每一次当思想流于笔端,带来的是更深刻的反思;每一次写作,都根植于实践,都期待思想的提升,都分享着合作的喜悦……这些都让本是枯燥的学术写作在理性中闪烁着人性的光辉,变得丰富生动。
这也是质的研究和行动研究让我着迷的原因之一!而且身为一位基础教育的教师,我总觉得加深对教师的理解是一种责任,而对教育中的人的关注是我执着研究的信念源泉。
就这样,赶在北大网上报名的截止日期12月25日,我很认真地选择了报考对质的研究方法颇有造诣的陈向明教授的博士。
在困难中前行——初试报名之后,我上网查了一下别人的考博历程,才知道自己面临太多的困难,考上的几率太小,而且时间已经非常紧张!1月10日左右我才整理好所有的报名材料并寄送,其中包括读博阶段的研究计划书。
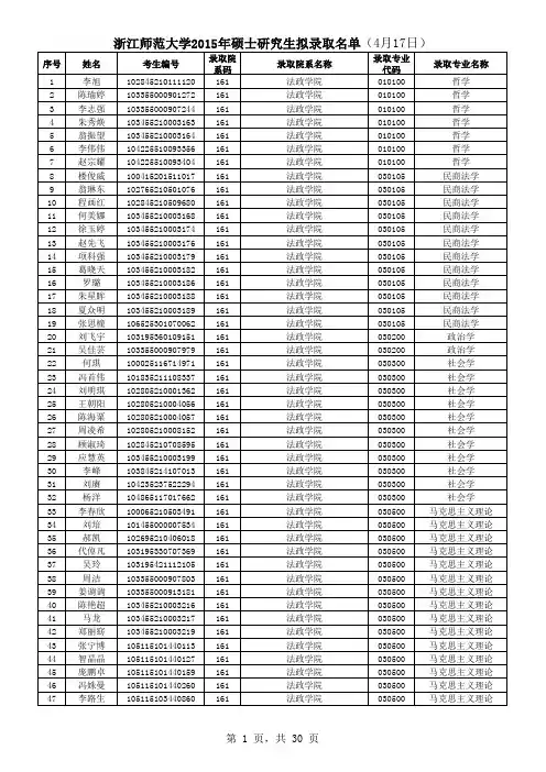
浙师大2014年全日制硕士研究生拟录取名单公示第一批序号准考证号姓名学院码学院名称专业码专业名称备注1 100274219010160 李想161 法政学院010100 哲学2 103354000908723 金生亮161 法政学院010100 哲学3 103454330703302 张明杰161 法政学院010100 哲学4 103454330703303 沈海华161 法政学院010100 哲学5 103454330703305 朱哲成161 法政学院010100 哲学6 103454370703307 车政伟161 法政学院010100 哲学7 107184231805646 李宏达161 法政学院010100 哲学8 102724000006746 刘亮183 经济与管理学院020202 区域经济学9 103454330701822 陈科183 经济与管理学院020202 区域经济学10 103454330701823 毛奕晴183 经济与管理学院020202 区域经济学11 103534210003193 杨宝平183 经济与管理学院020202 区域经济学12 100534002020744 汪梦亲161 法政学院030105 民商法学13 102764210500801 沈诚161 法政学院030105 民商法学14 103454103450001 张洛萌161 法政学院030105 民商法学推荐免试15 103454220703308 罗杰161 法政学院030105 民商法学16 103454330103309 陆勇161 法政学院030105 民商法学17 103454330203311 王栋辉161 法政学院030105 民商法学18 103454330703317 王艳洁161 法政学院030105 民商法学19 103454330803328 舒诗晗161 法政学院030105 民商法学20 104864106016087 张奥迪161 法政学院030105 民商法学21 103194347008681 刘娟161 法政学院030200 政治学22 103454330703334 唐永161 法政学院030200 政治学23 100024112202853 赵桂芝195 非洲研究院030200 政治学24 100404050000178 毛锐195 非洲研究院030200 政治学25 102464210003570 车能195 非洲研究院030200 政治学26 102474611512256 李昱195 非洲研究院030200 政治学27 103194321205402 薛陈炎195 非洲研究院030200 政治学28 103454330403338 吴文彬195 非洲研究院030200 政治学29 800004030206573 赵迎节195 非洲研究院030200 政治学30 102464210003655 林忠伟161 法政学院030300 社会学31 102694210801033 张晓敏161 法政学院030300 社会学32 102694210801043 郑夏楠161 法政学院030300 社会学33 102874211001655 程川161 法政学院030300 社会学34 103194340107512 周林昌161 法政学院030300 社会学35 103454103450002 童佳丽161 法政学院030300 社会学推荐免试36 103454370203344 王晨旭161 法政学院030300 社会学37 103844210530131 列永婵161 法政学院030300 社会学38 104864117007373 蔡聪颖161 法政学院030300 社会学39 104864117019311 徐宝161 法政学院030300 社会学40 104864117019325 高文翠161 法政学院030300 社会学41 103454120303346 聂天洋189 文化创意与传播学院030300 社会学42 103454140103347 张茜189 文化创意与传播学院030300 社会学43 103454141303350 霍文花189 文化创意与传播学院030300 社会学44 103454220503351 王燏嶓189 文化创意与传播学院030300 社会学45 103454330703352 阴卫189 文化创意与传播学院030300 社会学46 103454411303354 吴玉娟189 文化创意与传播学院030300 社会学47 103454411603356 李帅超189 文化创意与传播学院030300 社会学48 101404008004963 魏斌161 法政学院030500 马克思主义理论49 102474000002624 朱春杨161 法政学院030500 马克思主义理论50 102844210614661 闻申衍161 法政学院030500 马克思主义理论51 103354000908835 任思雨161 法政学院030500 马克思主义理论52 103454103450003 吴维维161 法政学院030500 马克思主义理论推荐免试53 103454150203361 王旭161 法政学院030500 马克思主义理论54 103454152603362 高娃161 法政学院030500 马克思主义理论55 103454321203364 陈璐婷161 法政学院030500 马克思主义理论56 103454330903366 金园园161 法政学院030500 马克思主义理论57 103454370103369 陈琴161 法政学院030500 马克思主义理论58 103454412703370 王凡161 法政学院030500 马克思主义理论59 103454610303359 程茹161 法政学院030500 马克思主义理论60 103584210000018 邹艳丽161 法政学院030500 马克思主义理论61 103844210550041 朱康161 法政学院030500 马克思主义理论62 104254540001922 郭琦161 法政学院030500 马克思主义理论63 105114101440228 刘琴161 法政学院030500 马克思主义理论64 105584250106099 李薇薇161 法政学院030500 马克思主义理论65 102694210805035 孙程洁161 法政学院035200 社会工作66 102854210904485 崔宝月161 法政学院035200 社会工作67 102874211002922 庞天琪161 法政学院035200 社会工作68 103454103450004 包露161 法政学院035200 社会工作推荐免试69 103454310602580 顾飞燕161 法政学院035200 社会工作70 103454330102582 向珊珊161 法政学院035200 社会工作71 103454330102583 郭庆161 法政学院035200 社会工作72 103454330102584 张超超161 法政学院035200 社会工作73 103454330102585 李艳161 法政学院035200 社会工作74 103454330702590 陈霄霄161 法政学院035200 社会工作75 103454330702595 金津艳161 法政学院035200 社会工作76 103454330702598 章丹晓161 法政学院035200 社会工作77 103454330702599 王雅丽161 法政学院035200 社会工作78 103454330902601 王一翠161 法政学院035200 社会工作79 103454331102602 虞竣翔161 法政学院035200 社会工作80 103454371302603 李淑一161 法政学院035200 社会工作81 103454410602604 曾耀强161 法政学院035200 社会工作82 103454501402606 陈珺瑶161 法政学院035200 社会工作83 103454520302608 姜泽会161 法政学院035200 社会工作84 100274219040697 徐丹163 教师教育学院040100 教育学85 100564001206558 邹昕163 教师教育学院040100 教育学86 101654000000586 黄盼盼163 教师教育学院040100 教育学87 101654000000853 杨洁163 教师教育学院040100 教育学88 101654000000880 董智慧163 教师教育学院040100 教育学89 102704000002977 吕荻163 教师教育学院040100 教育学90 102854210402010 何薇163 教师教育学院040100 教育学91 102854210402017 陈玮玮163 教师教育学院040100 教育学92 102854210402063 石永丽163 教师教育学院040100 教育学93 103194322306950 王雅婷163 教师教育学院040100 教育学94 103454103450005 孙增荣163 教师教育学院040100 教育学推荐免试95 103454103450006 谢坚坚163 教师教育学院040100 教育学推荐免试96 103454103450007 程孝丽163 教师教育学院040100 教育学推荐免试97 103454321901939 朱成宇163 教师教育学院040100 教育学98 103454322001941 张琪娜163 教师教育学院040100 教育学99 103454330301946 林昭汝163 教师教育学院040100 教育学100 103454330301947 郑炯163 教师教育学院040100 教育学101 103454330301948 尹菲163 教师教育学院040100 教育学102 103454330901964 张燕163 教师教育学院040100 教育学103 103454330901965 张智静163 教师教育学院040100 教育学104 103454331001880 李蓉163 教师教育学院040100 教育学105 103454331101971 姚淑媛163 教师教育学院040100 教育学106 103454340302053 曹云娟163 教师教育学院040100 教育学107 103454341001982 张静163 教师教育学院040100 教育学108 103454341201984 郭雅莲163 教师教育学院040100 教育学109 103454360701891 李伟民163 教师教育学院040100 教育学110 103454360701892 余晓芬163 教师教育学院040100 教育学111 103454360701989 黄光平163 教师教育学院040100 教育学112 103454360701990 杜绍锋163 教师教育学院040100 教育学113 103454360901894 倪素娟163 教师教育学院040100 教育学114 103454361001993 余春妹163 教师教育学院040100 教育学115 103454410502057 王英163 教师教育学院040100 教育学116 103454411301906 魏净霞163 教师教育学院040100 教育学117 103454411701912 安正美163 教师教育学院040100 教育学118 103454431502022 刘艳平163 教师教育学院040100 教育学119 103454432802029 邹成163 教师教育学院040100 教育学120 103454432902062 郑淑敏163 教师教育学院040100 教育学121 103454440702031 谢颖163 教师教育学院040100 教育学122 103454500202041 凌媛佳163 教师教育学院040100 教育学123 103454510602275 邵庆163 教师教育学院040100 教育学124 104864116019149 高田幸子 163 教师教育学院040100 教育学125 105324432701118 张姿163 教师教育学院040100 教育学126 106104120403025 陶晓芳163 教师教育学院040100 教育学127 107184130404045 师培培163 教师教育学院040100 教育学128 100284140900011 景海敏165 杭州幼儿师范学院040100 教育学129 102694211701083 白小绵165 杭州幼儿师范学院040100 教育学130 102694211701183 高孝品165 杭州幼儿师范学院040100 教育学131 102854210401940 李洋洋165 杭州幼儿师范学院040100 教育学132 103194320803555 徐芳165 杭州幼儿师范学院040100 教育学133 103454103450008 方莹165 杭州幼儿师范学040100 教育学推荐免院试134 103454130202075 陈郁雯165 杭州幼儿师范学院040100 教育学135 103454131002077 鲁梦洁165 杭州幼儿师范学院040100 教育学136 103454310602089 李婵165 杭州幼儿师范学院040100 教育学137 103454330602287 柴丽慧165 杭州幼儿师范学院040100 教育学138 103454341102121 杨艳165 杭州幼儿师范学院040100 教育学139 103454360702292 唐泉165 杭州幼儿师范学院040100 教育学140 103454361002136 李小婷165 杭州幼儿师范学院040100 教育学141 103454410102159 陈思曼165 杭州幼儿师范学院040100 教育学142 103454412302193 雷晓茹165 杭州幼儿师范学院040100 教育学143 103454421102196 罗妹165 杭州幼儿师范学院040100 教育学144 103454421602301 李鹏165 杭州幼儿师范学院040100 教育学145 103454432102302 廖婷165 杭州幼儿师范学院040100 教育学146 103454511302221 胡凤蝶165 杭州幼儿师范学院040100 教育学147 103454640102235 朱娅婷165 杭州幼儿师范学院040100 教育学148 107184370104371 王园165 杭州幼儿师范学院040100 教育学149 107184612202885 李园园165 杭州幼儿师范学院040100 教育学150 100284410100001 崔丽莉187 工学院、职业技术教育学院040100 教育学151 102694211101087 韩静187 工学院、职业技术教育学院040100 教育学152 102694211301120 王静187 工学院、职业技术教育学院040100 教育学153 102694211502023 查国硕187 工学院、职业技术教育学院040100 教育学154 102844211210470 蒋小佩187 工学院、职业技术教育学院040100 教育学155 102874211001684 许译心187 工学院、职业技术教育学院040100 教育学156 102944210901252 权盼盼187 工学院、职业技术教育学院040100 教育学157 102954212000021 韩丹丹187 工学院、职业技术教育学院040100 教育学158 102954212004047 梅玲187 工学院、职业技术教育学院040100 教育学159 102954212004904 颜磊187 工学院、职业技术教育学院040100 教育学160 103454103450009 包辉煌187 工学院、职业技术教育学院040100 教育学推荐免试161 103454103450010 方晨187 工学院、职业技术教育学院040100 教育学推荐免试162 105744000000876 李豆豆187 工学院、职业技术教育学院040100 教育学163 100274219040242 王晓惠201 田家炳教育科学研究院040100 教育学164 100284131500001 段海霞201 田家炳教育科学研究院040100 教育学165 100564014613329 王才伟201 田家炳教育科学研究院040100 教育学166 102694211301049 汤春红201 田家炳教育科学研究院040100 教育学167 102844211210327 常晨201 田家炳教育科学研究院040100 教育学168 102854210401920 张倩201 田家炳教育科学研究院040100 教育学169 102854210402007 浦琳琳201 田家炳教育科学研究院040100 教育学170 102854210402008 魏李飞201 田家炳教育科学研究院040100 教育学171 102854210402032 沈明珠201 田家炳教育科学研究院040100 教育学172 102854210402056 张升芸201 田家炳教育科学研究院040100 教育学173 102854210402078 李玉奇201 田家炳教育科学研究院040100 教育学174 102864320202049 何羽婷201 田家炳教育科学研究院040100 教育学175 102874211001680 赵燕清201 田家炳教育科学研究院040100 教育学176 102884500006287 李雨潜201 田家炳教育科学研究院040100 教育学177 103194131000366 姚菲201 田家炳教育科学研究院040100 教育学178 103354000907757 顾沈静201 田家炳教育科学研究院040100 教育学179 103354000908661 徐薇201 田家炳教育科学研究院040100 教育学180 103454321102237 刘蕊201 田家炳教育科学研究院040100 教育学181 103454371102253 路杨201 田家炳教育科学研究院040100 教育学182 103454613902262 姜凡201 田家炳教育科学研究院040100 教育学183 107184130404050 赵蕊201 田家炳教育科学研究院040100 教育学184 100564001507327 孙金玲163 教师教育学院040200 心理学185 101654000004249 张伯翰163 教师教育学院040200 心理学186 102694211601076 杨佳琪163 教师教育学院040200 心理学187 102844210710827 李雪163 教师教育学院040200 心理学188 102844210710828 路璐163 教师教育学院040200 心理学189 102854210402211 余润鑫163 教师教育学院040200 心理学190 103194320803552 鲁甜甜163 教师教育学院040200 心理学191 103194320803581 罗思晨163 教师教育学院040200 心理学192 103194370309529 刘东海163 教师教育学院040200 心理学193 103354000903367 朱耀铭163 教师教育学院040200 心理学194 103354000905941 朱琼嫦163 教师教育学院040200 心理学195 103454130202456 李昂163 教师教育学院040200 心理学196 103454220502464 曹警元163 教师教育学院040200 心理学197 103454321902377 戴扬慧163 教师教育学院040200 心理学198 103454330102378 胡欢婧163 教师教育学院040200 心理学199 103454330102379 叶爽163 教师教育学院040200 心理学200 103454330302388 韩张慧163 教师教育学院040200 心理学201 103454340102480 许晏菁163 教师教育学院040200 心理学202 103454340602403 蒋山花163 教师教育学院040200 心理学203 103454341002486 梅晶163 教师教育学院040200 心理学204 103454351202411 吕沛泓163 教师教育学院040200 心理学205 103454360902416 周永兰163 教师教育学院040200 心理学206 103454410102347 王凌霄163 教师教育学院040200 心理学207 103454410102501 骆明阳163 教师教育学院040200 心理学208 103454410502349 卫丽163 教师教育学院040200 心理学209 103454410502350 胡韩瑜163 教师教育学院040200 心理学210 103454410702433 骆振冰163 教师教育学院040200 心理学211 103454410702507 齐飞航163 教师教育学院040200 心理学212 103454421902441 郑英163 教师教育学院040200 心理学213 103454421902442 蔡宇潇163 教师教育学院040200 心理学214 103454431802357 昌维163 教师教育学院040200 心理学215 103454440402447 张咏瑜163 教师教育学院040200 心理学216 103454442102523 董丹婷163 教师教育学院040200 心理学217 103454450102358 霍航丰163 教师教育学院040200 心理学218 103454510602453 王淞佳163 教师教育学院040200 心理学219 104594410810044 王一帆163 教师教育学院040200 心理学220 105114105442075 杨琪163 教师教育学院040200 心理学221 105114105442323 施美玲163 教师教育学院040200 心理学222 105594210000177 蒋白赟佶 163 教师教育学院040200 心理学223 105594210000994 程茹含163 教师教育学院040200 心理学224 105594210001163 王峰163 教师教育学院040200 心理学225 105744000002046 尹航163 教师教育学院040200 心理学226 105744000002334 杨亚坤163 教师教育学院040200 心理学227 106354306371181 李小月163 教师教育学院040200 心理学228 103454103450011 郑娴165 杭州幼儿师范学院040200 心理学推荐免试229 105594210000373 崔艳妮165 杭州幼儿师范学院040200 心理学230 106354306365371 梁益标165 杭州幼儿师范学院040200 心理学231 100434201410064 汤圣军167 体育与健康科学学院040300 体育学232 100434201410291 冯祖阚167 体育与健康科学学院040300 体育学233 100434201410373 李婉君167 体育与健康科学学院040300 体育学234 100434201410554 李姗姗167 体育与健康科学学院040300 体育学235 100434201420756 燕起超167 体育与健康科学学院040300 体育学236 100434201431444 吴勇167 体育与健康科学学院040300 体育学237 102854210502711 刘高才167 体育与健康科学学院040300 体育学238 103194131500439 王典167 体育与健康科学学院040300 体育学239 103194370309525 王晓晓167 体育与健康科学学院040300 体育学240 103454103450012 王国权167 体育与健康科学学院040300 体育学推荐免试241 103454103450013 钟玉婷167 体育与健康科学学院040300 体育学推荐免试242 103454103450014 陈俊炜167 体育与健康科学学院040300 体育学推荐免试243 103454141703427 赵换娟167 体育与健康科学学院040300 体育学244 103454340103414 程庆敏167 体育与健康科学学院040300 体育学245 103454372303417 王长江167 体育与健康科学学院040300 体育学246 103454372903420 姜兆云167 体育与健康科学学院040300 体育学义务兵役,初试总分加10分247 103454411503410 刘福伟167 体育与健康科学学院040300 体育学248 103454411503411 王锌铮167 体育与健康科学学院040300 体育学249 103454411503421 马卫明167 体育与健康科学学院040300 体育学250 103454421103423 马俊锋167 体育与健康科学学院040300 体育学251 103454421603408 廖玲秀167 体育与健康科学学院040300 体育学252 103454613803426 黄晓乐167 体育与健康科学学院040300 体育学253 105744000005778 冯菲菲167 体育与健康科学学院040300 体育学254 105744000005788 黄寅森167 体育与健康科学学院040300 体育学255 105744000005800 刘金167 体育与健康科学学院040300 体育学256 103454103450015 郑雅静163 教师教育学院045102 学科教学(思政)推荐免试257 103454103450016 包佳佳163 教师教育学院045102 学科教学(思政)推荐免试258 103454330102811 余夏华163 教师教育学院045102 学科教学(思政)259 103454330102812 董伟强163 教师教育学院045102 学科教学(思政)260 103454370102819 沈良峰163 教师教育学院045102 学科教学(思政)261 103454441102820 阮丽琴163 教师教育学院045102 学科教学(思政)262 103454103450017 郑婉瑶163 教师教育学院045103 学科教学(语文)推荐免试263 103454103450018 李路瑶163 教师教育学院045103 学科教学(语文)推荐免试264 103454103450019 李圆月163 教师教育学院045103 学科教学(语文)推荐免试265 103454103450020 蒋惠163 教师教育学院045103 学科教学(语文)推荐免试266 103454103450021 沈颖163 教师教育学院045103 学科教学(语文)推荐免试267 103454103450022 任晓红163 教师教育学院045103 学科教学(语文)推荐免试268 103454103450023 徐曼依163 教师教育学院045103 学科教学(语文)推荐免试269 103454120402821 付于云163 教师教育学院045103 学科教学(语文)270 103454131702828 薛晶163 教师教育学院045103 学科教学(语文)271 103454152302829 周菲菲163 教师教育学院045103 学科教学(语文)272 103454330102838 沈杭艳163 教师教育学院045103 学科教学(语文)273 103454330102843 佘姣平163 教师教育学院045103 学科教学(语文)274 103454330302847 张莹163 教师教育学院045103 学科教学(语文)275 103454330402850 吴琼163 教师教育学院045103 学科教学(语文)276 103454330402852 陆佳辉163 教师教育学院045103 学科教学(语文)277 103454330402853 张阳荔163 教师教育学院045103 学科教学(语文)278 103454330702860 章晓倩163 教师教育学院045103 学科教学(语文)279 103454330702862 王哲垠163 教师教育学院045103 学科教学(语文)280 103454330702869 李谨163 教师教育学院045103 学科教学(语文)281 103454330702873 江桂馨163 教师教育学院045103 学科教学(语文)282 103454341102882 朱晓燕163 教师教育学院045103 学科教学(语文)283 103454360102885 李珍163 教师教育学院045103 学科教学(语文)284 103454370202890 吴雪珂163 教师教育学院045103 学科教学(语文)285 103454370602892 王宁宁163 教师教育学院045103 学科教学(语文)286 103454412202898 纪星163 教师教育学院045103 学科教学(语文)287 103454412702899 杨培培163 教师教育学院045103 学科教学(语文)288 102314045104021 张冬梅163 教师教育学院045104 学科教学(数学)289 102694212304098 王智宇163 教师教育学院045104 学科教学(数学)290 103454330102914 郭卓玮163 教师教育学院045104 学科教学(数学)291 103454330402922 邵宗鑫163 教师教育学院045104 学科教学(数学)292 103454330602924 路亚飞163 教师教育学院045104 学科教学(数学)293 104914302214373 王月163 教师教育学院045104 学科教学(数学)294 105114111445879 刘美兰163 教师教育学院045104 学科教学(数学)295 105114111445940 魏晓培163 教师教育学院045104 学科教学(数学)296 105204101512103 王雅君163 教师教育学院045104 学科教学(数学)297 103454103450024 周嘉仪163 教师教育学院045105 学科教学(物理)推荐免试298 103454103450025 鲍成章163 教师教育学院045105 学科教学(物理)推荐免试299 103194220501132 冯晓旭163 教师教育学院045106 学科教学(化学)300 103194331007367 安双马163 教师教育学院045106 学科教学(化学)301 103454103450026 陈霞163 教师教育学院045106 学科教学(化学)推荐免试302 103454103450027 傅熠163 教师教育学院045106 学科教学(化学)推荐免试303 103454130902947 刘成宇163 教师教育学院045106 学科教学(化学)304 103454330302951 胡诗迪163 教师教育学院045106 学科教学(化学)305 103454330502953 吴西京163 教师教育学院045106 学科教学(化学)306 103454331002967 金夏梦163 教师教育学院045106 学科教学(化学)307 104454690002023 张佳宁163 教师教育学院045106 学科教学(化学)308 105424431807534 何佳琪163 教师教育学院045106 学科教学(化学)309 103194330107186 俞谦163 教师教育学院045107 学科教学(生物)310 103454103450028 李鸿波163 教师教育学院045107 学科教学(生物)推荐免试311 103454103450029 陆子辰163 教师教育学院045107 学科教学(生物)推荐免试312 103454103450030 陈林林163 教师教育学院045107 学科教学(生物)推荐免试313 103454330102978 姚丽虹163 教师教育学院045107 学科教学(生物)314 103454331002987 魏燎群163 教师教育学院045107 学科教学(生物)315 103454360702989 刘志强163 教师教育学院045107 学科教学(生物)316 103454410502992 胡玉萍163 教师教育学院045107 学科教学(生物)317 103454610302996 金荔红163 教师教育学院045107 学科教学(生物)318 103454650602997 黄彬彬163 教师教育学院045107 学科教学(生物)319 103454103370031 陈柯梦171 外国语学院045108 学科教学(英语)推荐免试320 103454103450032 夏颖171 外国语学院045108 学科教学(英语)推荐免试321 103454103450033 郑丽单171 外国语学院045108 学科教学(英语)推荐免试322 103454103450034 朱维霞171 外国语学院045108 学科教学(英语)推荐免试323 103454103450035 俞纯子171 外国语学院045108 学科教学(英语)推荐免试324 103454330102636 张力萍171 外国语学院045108 学科教学(英语)325 103454330102642 王冬艳171 外国语学院045108 学科教学(英语)326 103454330102643 竺路171 外国语学院045108 学科教学(英语)327 103454330102644 刘晨171 外国语学院045108 学科教学(英语)328 103454330102645 胡红171 外国语学院045108 学科教学(英语)329 103454330102647 吴彬芳171 外国语学院045108 学科教学(英语)330 103454330102651 葛欣滢171 外国语学院045108 学科教学(英语)331 103454330102657 洪怡171 外国语学院045108 学科教学(英语)332 103454330102659 施奇171 外国语学院045108 学科教学(英语)333 103454330202668 王浩171 外国语学院045108 学科教学(英语)334 103454330202669 郑音171 外国语学院045108 学科教学(英语)335 103454330202670 沈慧平171 外国语学院045108 学科教学(英语)336 103454330202671 韩建华171 外国语学院045108 学科教学(英语)337 103454330302677 徐杉珊171 外国语学院045108 学科教学(英语)338 103454330402680 范珍萍171 外国语学院045108 学科教学(英语)339 103454330602685 包莉莉171 外国语学院045108 学科教学(英语)340 103454330702691 朱芝落171 外国语学院045108 学科教学(英语)341 103454330702702 郑玲晓171 外国语学院045108 学科教学(英语)342 103454330802715 何婷婷171 外国语学院045108 学科教学(英语)343 103454331002718 梁珍晶171 外国语学院045108 学科教学(英语)344 103454341102734 汤郭萍171 外国语学院045108 学科教学(英语)345 103454371302763 杜碗碗171 外国语学院045108 学科教学(英语)346 103454410502772 理晓辉171 外国语学院045108 学科教学(英语)347 103454420502788 芮甜甜171 外国语学院045108 学科教学(英语)348 103454421902792 王琳171 外国语学院045108 学科教学(英语)349 103454441102800 童文171 外国语学院045108 学科教学(英语)350 103454510602804 周倩倩171 外国语学院045108 学科教学(英语)351 102704000002395 毛静163 教师教育学院045109 学科教学(历史)352 103354000908659 赵华栋163 教师教育学院045109 学科教学(历史)353 103454103450036 许弥丽163 教师教育学院045109 学科教学(历史)推荐免试354 103454103450037 卓佳盛163 教师教育学院045109 学科教学(历史)推荐免试355 103454330203003 潘凯163 教师教育学院045109 学科教学(历史)356 103464330100587 徐漪163 教师教育学院045109 学科教学(历史)357 103454103450038 张柳青185 地理与环境科学学院045110 学科教学(地理)推荐免试358 103454103450039 贺蕾185 地理与环境科学学院045110 学科教学(地理)推荐免试359 103454330702611 许佳禄185 地理与环境科学学院045110 学科教学(地理)360 103454330702612 黄杰185 地理与环境科学学院045110 学科教学(地理)361 103454360102614 张冰颜185 地理与环境科学学院045110 学科教学(地理)362 105114114447239 刘佳185 地理与环境科学学院045110 学科教学(地理)363 103454103450040 郑晨雨173 音乐学院045111 学科教学(音乐)推荐免试364 103454103450041 李婉雨173 音乐学院045111 学科教学(音乐)推荐免试365 103454103450042 熊斯悦173 音乐学院045111 学科教学(音乐)推荐免试366 103454103450104 陈柯如173 音乐学院045111 学科教学(音乐)农师计划367 103454331003011 王天奇173 音乐学院045111 学科教学(音乐)368 102854210502710 耿晓珊167 体育与健康科学学院045112 学科教学(体育)369 102854210502826 泮正杰167 体育与健康科学学院045112 学科教学(体育)370 102854210502888 伍萌167 体育与健康科学学院045112 学科教学(体育)371 103454103450043 姜哲挺167 体育与健康科学学院045112 学科教学(体育)推荐免试372 104594410760138 王帅哲167 体育与健康科学学院045112 学科教学(体育)373 102694212501026 张馨175 美术学院045113 学科教学(美术)374 102694212501044 周灿175 美术学院045113 学科教学(美术)375 103194320803284 郭瑶瑶175 美术学院045113 学科教学(美术)376 103454330703960 吴荐婷175 美术学院045113 学科教学(美术)377 105744000006851 严小芳175 美术学院045113 学科教学(美术)378 103454103450044 金虹波163 教师教育学院045115 小学教育推荐免试379 103454103450045 陈佳阳163 教师教育学院045115 小学教育推荐免试380 103454103450046 徐婉羚163 教师教育学院045115 小学教育推荐免试381 103454103450047 潘迅馨163 教师教育学院045115 小学教育推荐免试382 103454131803030 贺晓玉163 教师教育学院045115 小学教育383 103454321903032 田苏阳163 教师教育学院045115 小学教育384 103454330303039 陈海静163 教师教育学院045115 小学教育385 103454330603041 岑文婷163 教师教育学院045115 小学教育386 103454330603042 郭佳佳163 教师教育学院045115 小学教育387 103454330703047 朱丹163 教师教育学院045115 小学教育388 103454330703051 丰徐俊163 教师教育学院045115 小学教育389 103454330703053 徐玮163 教师教育学院045115 小学教育390 103454331003059 刘丽雅163 教师教育学院045115 小学教育391 103454331103028 傅芬芬163 教师教育学院045115 小学教育392 103454370803064 张翠华163 教师教育学院045115 小学教育393 103454371403066 贾静静163 教师教育学院045115 小学教育394 102854210402538 方毛163 教师教育学院045117 科学与技术教育395 103194330107188 王杏娣163 教师教育学院045117 科学与技术教育396 103454103450048 余彬倩163 教师教育学院045117 科学与技术教育推荐免试397 103454103450049 茹吉163 教师教育学院045117 科学与技术教育推荐免试398 103454331002945 邵文格163 教师教育学院045117 科学与技术教育399 102004120400198 裴羚亦165 杭州幼儿师范学院045118 学前教育400 102004120400199 贾志华165 杭州幼儿师范学院045118 学前教育401 102854210401992 陆鸣165 杭州幼儿师范学院045118 学前教育402 103194153100989 贺志鹏165 杭州幼儿师范学院045118 学前教育403 103454103450050 章瑶瑶165 杭州幼儿师范学院045118 学前教育推荐免试404 103454103450051 庄盈媚165 杭州幼儿师范学院045118 学前教育推荐免试405 103454103450105 王晓兰165 杭州幼儿师范学院045118 学前教育农师计划406 103454103450106 孙佳琪165 杭州幼儿师范学院045118 学前教育农师计划407 103454103450107 袁丹萍165 杭州幼儿师范学院045118 学前教育农师计划408 103454103450108 陈赛165 杭州幼儿师范学院045118 学前教育农师计划409 103454103450109 王叶影165 杭州幼儿师范学院045118 学前教育农师计划410 103454103450110 邓乃亭165 杭州幼儿师范学院045118 学前教育农师计划411 103454103450111 金霞霞165 杭州幼儿师范学院045118 学前教育农师计划412 103454103450112 陈洁165 杭州幼儿师范学院045118 学前教育农师计划413 103454103450113 胡艳165 杭州幼儿师范学院045118 学前教育农师计划414 103454103450114 方倩颖165 杭州幼儿师范学院045118 学前教育农师计划415 103454103450115 郑裕江165 杭州幼儿师范学院045118 学前教育农师计划416 103454103450116 张筱群165 杭州幼儿师范学院045118 学前教育农师计划417 103454103450117 顾菲菲165 杭州幼儿师范学院045118 学前教育农师计划418 103454103450118 刘从梅165 杭州幼儿师范学院045118 学前教育农师计划419 103454103450119 王翠165 杭州幼儿师范学院045118 学前教育农师计划420 103454103450120 傅思颖165 杭州幼儿师范学院045118 学前教育农师计划421 103454103450121 张学学165 杭州幼儿师范学院045118 学前教育农师计划422 103454103450122 周炜熔165 杭州幼儿师范学院045118 学前教育农师计划423 103454322303069 陈劲草165 杭州幼儿师范学院045118 学前教育424 103454322303070 安琪165 杭州幼儿师范学院045118 学前教育425 103454422103082 杨洋165 杭州幼儿师范学院045118 学前教育426 100434201431016 何庆167 体育与健康科学学院045201 体育教学427 100434201431098 王海龙167 体育与健康科学学院045201 体育教学428 103454103450052 曹舒晴167 体育与健康科学学院045201 体育教学推荐免试429 103454103450053 卢雁燕167 体育与健康科学学院045201 体育教学推荐免试430 103454131603087 王娜167 体育与健康科学学院045201 体育教学431 103454330103089 翁旭园167 体育与健康科学学院045201 体育教学432 103454330703098 王登斌167 体育与健康科学学院045201 体育教学433 103454330703100 丁磊167 体育与健康科学学院045201 体育教学434 103454361003416 潘智敏167 体育与健康科学学院045201 体育教学435 105344431400117 刘芳芳167 体育与健康科学学院045201 体育教学436 105744000002394 郭锐167 体育与健康科学学院045201 体育教学437 105744000002408 王芳167 体育与健康科学学院045201 体育教学438 103194411511047 裴军凯167 体育与健康科学学院045202 运动训练439 103194421111577 余斌167 体育与健康科学学院045202 运动训练440 104594410760139 唐鹤玲167 体育与健康科学学院045202 运动训练441 105744000002567 于洋167 体育与健康科学学院045202 运动训练442 102904211105869 吴新峰167 体育与健康科学学院045204 社会体育指导443 107274161380030 杨三明167 体育与健康科学学院045204 社会体育指导444 100334109210139 沈琪191 国际文化与教育学院045300 汉语国际教育445 100524011103027 李慧玲191 国际文化与教育学院045300 汉语国际教育446 102464210004064 翁思思191 国际文化与教育学院045300 汉语国际教育447 102704000000125 韩丽娜191 国际文化与教育学院045300 汉语国际教育448 103194611412559 刘杰191 国际文化与教育学院045300 汉语国际教育学院450 103454103450054 吴璐霞191 国际文化与教育学院045300 汉语国际教育推荐免试451 103454103450055 张琳芳191 国际文化与教育学院045300 汉语国际教育推荐免试452 103454120303159 庞丽辉191 国际文化与教育学院045300 汉语国际教育453 103454131703166 林檬191 国际文化与教育学院045300 汉语国际教育454 103454141703170 常亚男191 国际文化与教育学院045300 汉语国际教育455 103454153203172 韩晓宇191 国际文化与教育学院045300 汉语国际教育456 103454210403173 顾晓佳191 国际文化与教育学院045300 汉语国际教育457 103454220403174 刘丽萍191 国际文化与教育学院045300 汉语国际教育458 103454231903176 邵照椅191 国际文化与教育学院045300 汉语国际教育459 103454321103178 万旋191 国际文化与教育学院045300 汉语国际教育460 103454330403185 黄嫣琪191 国际文化与教育学院045300 汉语国际教育461 103454330603192 朱瑜191 国际文化与教育学院045300 汉语国际教育462 103454330703195 吴真辉191 国际文化与教育学院045300 汉语国际教育463 103454330703196 丁喆191 国际文化与教育学院045300 汉语国际教育464 103454330703197 金晓玲191 国际文化与教育学院045300 汉语国际教育465 103454330703199 胡慧敏191 国际文化与教育学院045300 汉语国际教育466 103454330703201 薛燕燕191 国际文化与教育学院045300 汉语国际教育467 103454331003204 李柳蒙191 国际文化与教育学院045300 汉语国际教育468 103454340103206 朱惠敏191 国际文化与教育学院045300 汉语国际教育469 103454340603207 李标191 国际文化与教育学院045300 汉语国际教育学院471 103454340803210 翁小婉191 国际文化与教育学院045300 汉语国际教育472 103454360103211 李炎杰191 国际文化与教育学院045300 汉语国际教育473 103454360803213 金璐萍191 国际文化与教育学院045300 汉语国际教育474 103454370503218 江玲玲191 国际文化与教育学院045300 汉语国际教育475 103454410303222 周芳芳191 国际文化与教育学院045300 汉语国际教育476 103454410303223 李世侨191 国际文化与教育学院045300 汉语国际教育477 103454410403224 李梓玉191 国际文化与教育学院045300 汉语国际教育478 103454410403226 高培丽191 国际文化与教育学院045300 汉语国际教育479 103454410403228 刘月梅191 国际文化与教育学院045300 汉语国际教育480 103454411303230 黄佳露191 国际文化与教育学院045300 汉语国际教育481 103454411503231 李宁宁191 国际文化与教育学院045300 汉语国际教育482 103454412303234 徐阿珍191 国际文化与教育学院045300 汉语国际教育483 103454413003236 胡潇191 国际文化与教育学院045300 汉语国际教育484 103454413003238 王晓静191 国际文化与教育学院045300 汉语国际教育485 103454431903241 岑仁秀191 国际文化与教育学院045300 汉语国际教育486 103454440403242 安妮191 国际文化与教育学院045300 汉语国际教育487 103454441203243 张丹丹191 国际文化与教育学院045300 汉语国际教育488 103454520103245 陈瑶191 国际文化与教育学院045300 汉语国际教育489 103454613903248 陈姿191 国际文化与教育学院045300 汉语国际教育490 103454614103249 罗丹荔191 国际文化与教育学院045300 汉语国际教育。
2014年浙师大全日制硕士研究生拟录取名单公示第一批序号 准考证号 姓名学院码学院名称 专业码 专业名称 备注 1 100274219010160 李想 161 法政学院 010100 哲学 2 103354000908723金生亮 161 法政学院 010100 哲学 3 103454330703302张明杰 161 法政学院 010100 哲学 4 103454330703303沈海华 161 法政学院 010100 哲学 5 103454330703305朱哲成 161 法政学院 010100 哲学 6 103454370703307车政伟 161 法政学院 010100 哲学 7 107184231805646李宏达161法政学院010100 哲学8 102724000006746 刘亮 183 经济与管理学院 020202 区域经济学 9 103454330701822 陈科 183 经济与管理学院 020202 区域经济学 10 103454330701823毛奕晴 183 经济与管理学院 020202 区域经济学 11 103534210003193杨宝平 183 经济与管理学院 020202 区域经济学 12 100534002020744汪梦亲161法政学院 030105 民商法学 13 102764210500801 沈诚 161 法政学院 030105 民商法学 14 103454103450001张洛萌161法政学院 030105 民商法学 推荐免试 15 103454220703308 罗杰 161 法政学院 030105 民商法学 16 103454330103309 陆勇 161 法政学院 030105 民商法学 17 103454330203311王栋辉 161 法政学院 030105 民商法学 18 103454330703317王艳洁 161 法政学院 030105 民商法学 19 103454330803328舒诗晗 161 法政学院 030105 民商法学 20104864106016087张奥迪161法政学院030105 民商法学21 103194347008681 刘娟 161 法政学院 030200 政治学 22 103454330703334 唐永 161 法政学院 030200 政治学 23 100024112202853赵桂芝195非洲研究院 030200 政治学 24 100404050000178 毛锐 195 非洲研究院 030200 政治学 25 102464210003570 车能 195 非洲研究院 030200 政治学 26 102474611512256 李昱 195 非洲研究院 030200 政治学 27 103194321205402薛陈炎 195 非洲研究院 030200 政治学 28 103454330403338吴文彬 195 非洲研究院 030200 政治学 29 800004030206573赵迎节 195 非洲研究院 030200 政治学 30 102464210003655林忠伟 161 法政学院 030300 社会学 31 102694210801033张晓敏 161 法政学院 030300 社会学 32 102694210801043郑夏楠161法政学院 030300 社会学 33 102874211001655 程川 161 法政学院 030300 社会学 34 103194340107512周林昌 161 法政学院 030300 社会学 35 103454103450002童佳丽 161 法政学院 030300 社会学 推荐免试 36 103454370203344王晨旭 161 法政学院 030300 社会学 37 103844210530131列永婵 161 法政学院 030300 社会学 38 104864117007373蔡聪颖161法政学院 030300 社会学 39 104864117019311 徐宝 161 法政学院 030300 社会学 40 104864117019325高文翠 161 法政学院 030300 社会学 41 103454120303346聂天洋189文化创意与传播学院030300 社会学 42 103454140103347 张茜 189 文化创意与传播学院030300 社会学 43 103454141303350霍文花 189 文化创意与传播学院030300 社会学 44103454220503351王燏嶓189文化创意与传播学院030300 社会学45 103454330703352 阴卫 189 文化创意与传播学院030300 社会学 46 103454411303354吴玉娟 189 文化创意与传播学院030300 社会学 47 103454411603356李帅超189文化创意与传播学院 030300 社会学48 101404008004963 魏斌 161 法政学院 030500 马克思主义理论 49 102474000002624朱春杨 161 法政学院 030500 马克思主义理论 50 102844210614661闻申衍 161 法政学院 030500 马克思主义理论 51 103354000908835任思雨 161 法政学院 030500 马克思主义理论 52 103454103450003吴维维161法政学院 030500 马克思主义理论 推荐免试 53 103454150203361 王旭 161 法政学院 030500 马克思主义理论 54 103454152603362 高娃 161 法政学院 030500 马克思主义理论 55 103454321203364陈璐婷 161 法政学院 030500 马克思主义理论 56 103454330903366金园园161法政学院 030500 马克思主义理论 57 103454370103369 陈琴 161 法政学院 030500 马克思主义理论 58 103454412703370 王凡 161 法政学院 030500 马克思主义理论 59 103454610303359 程茹 161 法政学院 030500 马克思主义理论 60 103584210000018邹艳丽161法政学院 030500 马克思主义理论 61 103844210550041 朱康 161 法政学院 030500 马克思主义理论 62 104254540001922 郭琦 161 法政学院 030500 马克思主义理论 63 105114101440228 刘琴 161 法政学院 030500 马克思主义理论 64 105584250106099李薇薇 161 法政学院 030500 马克思主义理论 65 102694210805035孙程洁 161 法政学院 035200 社会工作 66 102854210904485崔宝月 161 法政学院 035200 社会工作 67 102874211002922庞天琪161法政学院 035200 社会工作 68 103454103450004 包露 161 法政学院 035200 社会工作 推荐免试 69103454310602580顾飞燕161法政学院035200 社会工作70 103454330102582向珊珊161 法政学院 035200 社会工作 71 103454330102583 郭庆 161 法政学院 035200 社会工作 72 103454330102584张超超161法政学院 035200 社会工作 73 103454330102585 李艳 161 法政学院 035200 社会工作 74 103454330702590陈霄霄 161 法政学院 035200 社会工作 75 103454330702595金津艳 161 法政学院 035200 社会工作 76 103454330702598章丹晓 161 法政学院 035200 社会工作 77 103454330702599王雅丽 161 法政学院 035200 社会工作 78 103454330902601王一翠 161 法政学院 035200 社会工作 79 103454331102602虞竣翔 161 法政学院 035200 社会工作 80 103454371302603李淑一 161 法政学院 035200 社会工作 81 103454410602604曾耀强 161 法政学院 035200 社会工作 82 103454501402606陈珺瑶 161 法政学院 035200 社会工作 83 103454520302608姜泽会161法政学院 035200 社会工作 84 100274219040697 徐丹 163 教师教育学院 040100 教育学 85 100564001206558 邹昕 163 教师教育学院 040100 教育学 86 101654000000586黄盼盼163教师教育学院 040100 教育学 87 101654000000853 杨洁 163 教师教育学院 040100 教育学 88 101654000000880董智慧163教师教育学院 040100 教育学 89 102704000002977 吕荻 163 教师教育学院 040100 教育学 90 102854210402010 何薇 163 教师教育学院 040100 教育学 91 102854210402017陈玮玮 163 教师教育学院 040100 教育学 92 102854210402063石永丽 163 教师教育学院 040100 教育学 93103194322306950王雅婷163教师教育学院040100 教育学94 103454103450005孙增荣 163 教师教育学院 040100 教育学 推荐免试 95 103454103450006谢坚坚 163 教师教育学院 040100 教育学 推荐免试 96 103454103450007程孝丽 163 教师教育学院 040100 教育学 推荐免试 97 103454321901939朱成宇 163 教师教育学院 040100 教育学 98 103454322001941张琪娜 163 教师教育学院 040100 教育学 99103454330301946林昭汝163教师教育学院 040100 教育学 100 103454330301947 郑炯 163 教师教育学院 040100 教育学 101 103454330301948 尹菲 163 教师教育学院 040100 教育学 102 103454330901964 张燕 163 教师教育学院 040100 教育学 103 103454330901965张智静163教师教育学院 040100 教育学 104 103454331001880 李蓉 163 教师教育学院 040100 教育学 105 103454331101971姚淑媛 163 教师教育学院 040100 教育学 106 103454340302053曹云娟163教师教育学院 040100 教育学 107 103454341001982 张静 163 教师教育学院 040100 教育学 108 103454341201984郭雅莲 163 教师教育学院 040100 教育学 109 103454360701891李伟民 163 教师教育学院 040100 教育学 110 103454360701892余晓芬 163 教师教育学院 040100 教育学 111 103454360701989黄光平 163 教师教育学院 040100 教育学 112 103454360701990杜绍锋 163 教师教育学院 040100 教育学 113 103454360901894倪素娟 163 教师教育学院 040100 教育学 114 103454361001993余春妹163教师教育学院 040100 教育学 115 103454410502057 王英 163 教师教育学院 040100 教育学 116 103454411301906魏净霞 163 教师教育学院 040100 教育学 117 103454411701912 安正163教师教育学院040100 教育学美118 103454431502022刘艳平163教师教育学院 040100 教育学 119 103454432802029 邹成 163 教师教育学院 040100 教育学 120 103454432902062郑淑敏163教师教育学院 040100 教育学 121 103454440702031 谢颖 163 教师教育学院 040100 教育学 122 103454500202041凌媛佳163教师教育学院 040100 教育学 123 103454510602275 邵庆 163 教师教育学院 040100 教育学 124 104864116019149 高田幸子 163教师教育学院 040100 教育学 125 105324432701118 张姿 163 教师教育学院 040100 教育学 126 106104120403025陶晓芳 163 教师教育学院 040100 教育学 127 107184130404045师培培 163 教师教育学院 040100 教育学 128 100284140900011景海敏 165 杭州幼儿师范学院040100 教育学 129 102694211701083白小绵 165 杭州幼儿师范学院040100 教育学 130 102694211701183高孝品 165 杭州幼儿师范学院040100 教育学 131 102854210401940李洋洋165杭州幼儿师范学院040100 教育学 132 103194320803555 徐芳 165 杭州幼儿师范学院040100 教育学 133 103454103450008 方莹 165 杭州幼儿师范学院040100 教育学 推荐免试 134 103454130202075陈郁雯 165 杭州幼儿师范学院040100 教育学 135 103454131002077鲁梦洁165杭州幼儿师范学院040100 教育学 136 103454310602089 李婵 165 杭州幼儿师范学院040100 教育学 137 103454330602287柴丽慧165杭州幼儿师范学院040100 教育学 138 103454341102121 杨艳 165 杭州幼儿师范学院040100 教育学 139 103454360702292 唐泉 165杭州幼儿师范学院040100 教育学140 103454361002136李小婷 165 杭州幼儿师范学院040100 教育学 141 103454410102159陈思曼 165 杭州幼儿师范学院040100 教育学 142 103454412302193雷晓茹165杭州幼儿师范学院040100 教育学 143 103454421102196 罗妹 165 杭州幼儿师范学院040100 教育学 144 103454421602301 李鹏 165 杭州幼儿师范学院040100 教育学 145 103454432102302 廖婷 165 杭州幼儿师范学院040100 教育学 146 103454511302221胡凤蝶 165 杭州幼儿师范学院040100 教育学 147 103454640102235朱娅婷165杭州幼儿师范学院040100 教育学 148 107184370104371 王园 165 杭州幼儿师范学院040100 教育学 149 107184612202885李园园 165 杭州幼儿师范学院040100 教育学 150 100284410100001崔丽莉187工学院、职业技术教育学院 040100 教育学 151 102694211101087 韩静 187 工学院、职业技术教育学院 040100 教育学 152 102694211301120 王静 187 工学院、职业技术教育学院 040100 教育学 153 102694211502023查国硕 187 工学院、职业技术教育学院 040100 教育学 154 102844211210470蒋小佩 187 工学院、职业技术教育学院 040100 教育学 155 102874211001684许译心 187 工学院、职业技术教育学院 040100 教育学 156 102944210901252权盼盼 187 工学院、职业技术教育学院 040100 教育学 157 102954212000021韩丹丹187工学院、职业技术教育学院 040100 教育学 158 102954212004047 梅玲 187 工学院、职业技术教育学院 040100 教育学 159 102954212004904 颜磊 187 工学院、职业技术教育学院 040100 教育学 160 103454103450009包辉煌187工学院、职业技术教育学院040100 教育学推荐免试161 103454103450010 方晨 187 工学院、职业技术教育学院 040100 教育学 推荐免试 162 105744000000876李豆豆 187 工学院、职业技术教育学院 040100 教育学 163 100274219040242王晓惠 201 田家炳教育科学研究院 040100 教育学 164 100284131500001段海霞 201 田家炳教育科学研究院 040100 教育学 165 100564014613329王才伟 201 田家炳教育科学研究院 040100 教育学 166 102694211301049汤春红201田家炳教育科学研究院 040100 教育学 167 102844211210327 常晨 201 田家炳教育科学研究院 040100 教育学 168 102854210401920 张倩 201 田家炳教育科学研究院 040100 教育学 169 102854210402007浦琳琳 201 田家炳教育科学研究院 040100 教育学 170 102854210402008魏李飞 201 田家炳教育科学研究院 040100 教育学 171 102854210402032沈明珠 201 田家炳教育科学研究院 040100 教育学 172 102854210402056张升芸 201 田家炳教育科学研究院 040100 教育学 173 102854210402078李玉奇 201 田家炳教育科学研究院 040100 教育学 174 102864320202049何羽婷 201 田家炳教育科学研究院 040100 教育学 175 102874211001680赵燕清 201 田家炳教育科学研究院 040100 教育学 176 102884500006287李雨潜201田家炳教育科学研究院 040100 教育学 177 103194131000366 姚菲 201 田家炳教育科学研究院 040100 教育学 178 103354000907757顾沈静201田家炳教育科学研究院 040100 教育学 179 103354000908661 徐薇 201 田家炳教育科学研究院 040100 教育学 180 103454321102237 刘蕊 201 田家炳教育科学研究院 040100 教育学 181 103454371102253 路杨 201田家炳教育科学研究院040100 教育学182 103454613902262 姜凡 201 田家炳教育科学研究院 040100 教育学 183 107184130404050 赵蕊 201 田家炳教育科学研究院 040100 教育学 184 100564001507327孙金玲 163 教师教育学院 040200 心理学 185 101654000004249张伯翰 163 教师教育学院 040200 心理学 186 102694211601076杨佳琪163教师教育学院 040200 心理学 187 102844210710827 李雪 163 教师教育学院 040200 心理学 188 102844210710828 路璐 163 教师教育学院 040200 心理学 189 102854210402211余润鑫 163 教师教育学院 040200 心理学 190 103194320803552鲁甜甜 163 教师教育学院 040200 心理学 191 103194320803581罗思晨 163 教师教育学院 040200 心理学 192 103194370309529刘东海 163 教师教育学院 040200 心理学 193 103354000903367朱耀铭 163 教师教育学院 040200 心理学 194 103354000905941朱琼嫦163教师教育学院 040200 心理学 195 103454130202456 李昂 163 教师教育学院 040200 心理学 196 103454220502464曹警元 163 教师教育学院 040200 心理学 197 103454321902377戴扬慧 163 教师教育学院 040200 心理学 198 103454330102378胡欢婧163教师教育学院 040200 心理学 199 103454330102379 叶爽 163 教师教育学院 040200 心理学 200 103454330302388韩张慧 163 教师教育学院 040200 心理学 201 103454340102480许晏菁 163 教师教育学院 040200 心理学 202 103454340602403蒋山花163教师教育学院 040200 心理学 203 103454341002486 梅晶 163 教师教育学院 040200 心理学 204 103454351202411吕沛泓163教师教育学院040200 心理学205 103454360902416周永兰 163 教师教育学院 040200 心理学 206 103454410102347王凌霄 163 教师教育学院 040200 心理学 207 103454410102501骆明阳163教师教育学院 040200 心理学 208 103454410502349 卫丽 163 教师教育学院 040200 心理学 209 103454410502350胡韩瑜 163 教师教育学院 040200 心理学 210 103454410702433骆振冰 163 教师教育学院 040200 心理学 211 103454410702507齐飞航163教师教育学院 040200 心理学 212 103454421902441 郑英 163 教师教育学院 040200 心理学 213 103454421902442蔡宇潇163教师教育学院 040200 心理学 214 103454431802357 昌维 163 教师教育学院 040200 心理学 215 103454440402447张咏瑜 163 教师教育学院 040200 心理学 216 103454442102523董丹婷 163 教师教育学院 040200 心理学 217 103454450102358霍航丰 163 教师教育学院 040200 心理学 218 103454510602453王淞佳 163 教师教育学院 040200 心理学 219 104594410810044王一帆163教师教育学院 040200 心理学 220 105114105442075 杨琪 163 教师教育学院 040200 心理学 221 105114105442323施美玲163教师教育学院 040200 心理学 222 105594210000177 蒋白赟佶 163教师教育学院 040200 心理学 223 105594210000994程茹含163教师教育学院 040200 心理学 224 105594210001163 王峰 163 教师教育学院 040200 心理学 225 105744000002046 尹航 163 教师教育学院 040200 心理学 226 105744000002334杨亚坤 163 教师教育学院 040200 心理学 227 106354306371181李小月163教师教育学院040200 心理学228 103454103450011 郑娴 165 杭州幼儿师范学040200 心理学推荐免院试 229 105594210000373崔艳妮 165 杭州幼儿师范学院040200 心理学 230 106354306365371梁益标 165 杭州幼儿师范学院040200 心理学 231 100434201410064汤圣军 167 体育与健康科学学院040300 体育学 232 100434201410291冯祖阚 167 体育与健康科学学院040300 体育学 233 100434201410373李婉君 167 体育与健康科学学院040300 体育学 234 100434201410554李姗姗 167 体育与健康科学学院040300 体育学 235 100434201420756燕起超167体育与健康科学学院040300 体育学 236 100434201431444 吴勇 167 体育与健康科学学院040300 体育学 237 102854210502711刘高才167体育与健康科学学院040300 体育学 238 103194131500439 王典 167 体育与健康科学学院040300 体育学 239 103194370309525王晓晓 167 体育与健康科学学院040300 体育学 240 103454103450012王国权 167 体育与健康科学学院040300 体育学 推荐免试 241 103454103450013钟玉婷 167 体育与健康科学学院040300 体育学 推荐免试 242 103454103450014陈俊炜 167 体育与健康科学学院040300 体育学 推荐免试 243 103454141703427赵换娟 167 体育与健康科学学院040300 体育学 244 103454340103414程庆敏 167 体育与健康科学学院040300 体育学 245 103454372303417王长江 167体育与健康科学学院040300 体育学246 103454372903420姜兆云 167 体育与健康科学学院040300 体育学义务兵役,初试总分加10分247 103454411503410刘福伟 167 体育与健康科学学院040300 体育学 248 103454411503411 王锌167体育与健康科学040300 体育学铮学院249 103454411503421马卫明 167 体育与健康科学学院040300 体育学 250 103454421103423马俊锋 167 体育与健康科学学院040300 体育学 251 103454421603408廖玲秀 167 体育与健康科学学院040300 体育学 252 103454613803426黄晓乐 167 体育与健康科学学院040300 体育学 253 105744000005778冯菲菲 167 体育与健康科学学院040300 体育学 254 105744000005788黄寅森167体育与健康科学学院040300 体育学 255 105744000005800 刘金 167 体育与健康科学学院040300 体育学256 103454103450015郑雅静 163 教师教育学院 045102 学科教学(思政) 推荐免试 257 103454103450016包佳佳 163 教师教育学院 045102 学科教学(思政) 推荐免试 258 103454330102811余夏华 163 教师教育学院 045102 学科教学(思政) 259 103454330102812董伟强 163 教师教育学院 045102 学科教学(思政) 260 103454370102819沈良峰 163 教师教育学院 045102 学科教学(思政) 261 103454441102820阮丽琴 163 教师教育学院 045102 学科教学(思政) 262 103454103450017郑婉瑶 163 教师教育学院 045103 学科教学(语文) 推荐免试 263 103454103450018李路瑶 163 教师教育学院 045103 学科教学(语文) 推荐免试 264 103454103450019李圆月163教师教育学院 045103 学科教学(语文) 推荐免试 265 103454103450020 蒋惠 163 教师教育学院 045103 学科教学(语文) 推荐免试 266 103454103450021 沈颖 163 教师教育学院 045103 学科教学(语文) 推荐免试 267 103454103450022任晓红 163 教师教育学院 045103 学科教学(语文) 推荐免试 268 103454103450023徐曼依163教师教育学院045103 学科教学(语文)推荐免试269 103454120402821付于云163 教师教育学院 045103 学科教学(语文) 270 103454131702828 薛晶 163 教师教育学院 045103 学科教学(语文) 271 103454152302829周菲菲 163 教师教育学院 045103 学科教学(语文) 272 103454330102838沈杭艳 163 教师教育学院 045103 学科教学(语文) 273 103454330102843佘姣平163教师教育学院 045103 学科教学(语文) 274 103454330302847 张莹 163 教师教育学院 045103 学科教学(语文) 275 103454330402850 吴琼 163 教师教育学院 045103 学科教学(语文) 276 103454330402852陆佳辉 163 教师教育学院 045103 学科教学(语文) 277 103454330402853张阳荔 163 教师教育学院 045103 学科教学(语文) 278 103454330702860章晓倩 163 教师教育学院 045103 学科教学(语文) 279 103454330702862王哲垠163教师教育学院 045103 学科教学(语文) 280 103454330702869 李谨 163 教师教育学院 045103 学科教学(语文) 281 103454330702873江桂馨 163 教师教育学院 045103 学科教学(语文) 282 103454341102882朱晓燕163教师教育学院 045103 学科教学(语文) 283 103454360102885 李珍 163 教师教育学院 045103 学科教学(语文) 284 103454370202890吴雪珂 163 教师教育学院 045103 学科教学(语文) 285 103454370602892王宁宁163教师教育学院 045103 学科教学(语文) 286 103454412202898 纪星 163 教师教育学院 045103 学科教学(语文) 287 103454412702899杨培培 163 教师教育学院 045103 学科教学(语文) 288 102314045104021张冬梅 163 教师教育学院 045104 学科教学(数学) 289 102694212304098王智宇 163 教师教育学院 045104 学科教学(数学) 290 103454330102914郭卓玮 163 教师教育学院 045104 学科教学(数学) 291 103454330402922邵宗鑫 163 教师教育学院 045104 学科教学(数学) 292 103454330602924 路亚163教师教育学院045104 学科教学(数学)飞293 104914302214373 王月 163 教师教育学院 045104 学科教学(数学) 294 105114111445879刘美兰 163 教师教育学院 045104 学科教学(数学) 295 105114111445940魏晓培 163 教师教育学院 045104 学科教学(数学) 296 105204101512103王雅君 163 教师教育学院 045104 学科教学(数学) 297 103454103450024周嘉仪 163 教师教育学院 045105 学科教学(物理) 推荐免试 298 103454103450025鲍成章 163 教师教育学院 045105 学科教学(物理) 推荐免试 299 103194220501132冯晓旭 163 教师教育学院 045106 学科教学(化学) 300 103194331007367安双马163教师教育学院 045106 学科教学(化学) 301 103454103450026 陈霞 163 教师教育学院 045106 学科教学(化学) 推荐免试 302 103454103450027 傅熠 163 教师教育学院 045106 学科教学(化学) 推荐免试 303 103454130902947刘成宇 163 教师教育学院 045106 学科教学(化学) 304 103454330302951胡诗迪 163 教师教育学院 045106 学科教学(化学) 305 103454330502953吴西京 163 教师教育学院 045106 学科教学(化学) 306 103454331002967金夏梦 163 教师教育学院 045106 学科教学(化学) 307 104454690002023张佳宁 163 教师教育学院 045106 学科教学(化学) 308 105424431807534何佳琪163教师教育学院 045106 学科教学(化学) 309 103194330107186 俞谦 163 教师教育学院 045107 学科教学(生物) 310 103454103450028李鸿波 163 教师教育学院 045107 学科教学(生物) 推荐免试 311 103454103450029陆子辰 163 教师教育学院 045107 学科教学(生物) 推荐免试 312 103454103450030陈林林 163 教师教育学院 045107 学科教学(生物) 推荐免试 313 103454330102978姚丽虹163教师教育学院045107 学科教学(生物)314 103454331002987魏燎群 163 教师教育学院 045107 学科教学(生物) 315 103454360702989刘志强 163 教师教育学院 045107 学科教学(生物) 316 103454410502992胡玉萍 163 教师教育学院 045107 学科教学(生物) 317 103454610302996金荔红 163 教师教育学院 045107 学科教学(生物) 318 103454650602997黄彬彬 163 教师教育学院 045107 学科教学(生物) 319 103454103370031陈柯梦171外国语学院 045108 学科教学(英语) 推荐免试 320 103454103450032 夏颖 171 外国语学院 045108 学科教学(英语) 推荐免试 321 103454103450033郑丽单 171 外国语学院 045108 学科教学(英语) 推荐免试 322 103454103450034朱维霞 171 外国语学院 045108 学科教学(英语) 推荐免试 323 103454103450035俞纯子 171 外国语学院 045108 学科教学(英语) 推荐免试 324 103454330102636张力萍 171 外国语学院 045108 学科教学(英语) 325 103454330102642王冬艳171外国语学院 045108 学科教学(英语) 326 103454330102643 竺路 171 外国语学院 045108 学科教学(英语) 327 103454330102644 刘晨 171 外国语学院 045108 学科教学(英语) 328 103454330102645 胡红 171 外国语学院 045108 学科教学(英语) 329 103454330102647吴彬芳 171 外国语学院 045108 学科教学(英语) 330 103454330102651葛欣滢171外国语学院 045108 学科教学(英语) 331 103454330102657 洪怡 171 外国语学院 045108 学科教学(英语) 332 103454330102659 施奇 171 外国语学院 045108 学科教学(英语) 333 103454330202668 王浩 171 外国语学院 045108 学科教学(英语) 334 103454330202669 郑音 171 外国语学院 045108 学科教学(英语) 335 103454330202670沈慧平 171 外国语学院 045108 学科教学(英语) 336 103454330202671韩建华 171 外国语学院 045108 学科教学(英语) 337 103454330302677徐杉珊171外国语学院045108 学科教学(英语)338 103454330402680范珍萍 171 外国语学院 045108 学科教学(英语) 339 103454330602685包莉莉 171 外国语学院 045108 学科教学(英语) 340 103454330702691朱芝落 171 外国语学院 045108 学科教学(英语) 341 103454330702702郑玲晓 171 外国语学院 045108 学科教学(英语) 342 103454330802715何婷婷 171 外国语学院 045108 学科教学(英语) 343 103454331002718梁珍晶 171 外国语学院 045108 学科教学(英语) 344 103454341102734汤郭萍 171 外国语学院 045108 学科教学(英语) 345 103454371302763杜碗碗 171 外国语学院 045108 学科教学(英语) 346 103454410502772理晓辉 171 外国语学院 045108 学科教学(英语) 347 103454420502788芮甜甜171外国语学院 045108 学科教学(英语) 348 103454421902792 王琳 171 外国语学院 045108 学科教学(英语) 349 103454441102800 童文 171 外国语学院 045108 学科教学(英语) 350 103454510602804周倩倩171外国语学院 045108 学科教学(英语) 351 102704000002395 毛静 163 教师教育学院 045109 学科教学(历史) 352 103354000908659赵华栋 163 教师教育学院 045109 学科教学(历史) 353 103454103450036许弥丽 163 教师教育学院 045109 学科教学(历史) 推荐免试 354 103454103450037卓佳盛163教师教育学院 045109 学科教学(历史) 推荐免试 355 103454330203003 潘凯 163 教师教育学院 045109 学科教学(历史) 356 103464330100587 徐漪 163 教师教育学院 045109 学科教学(历史) 357 103454103450038张柳青185地理与环境科学学院045110 学科教学(地理) 推荐免试 358 103454103450039 贺蕾 185 地理与环境科学学院045110 学科教学(地理) 推荐免试 359 103454330702611许佳禄185地理与环境科学学院045110 学科教学(地理) 360 103454330702612 黄杰 185地理与环境科学学院045110 学科教学(地理)361 103454360102614张冰颜185地理与环境科学学院045110 学科教学(地理) 362 105114114447239 刘佳 185 地理与环境科学学院 045110 学科教学(地理) 363 103454103450040郑晨雨 173 音乐学院 045111 学科教学(音乐) 推荐免试 364 103454103450041李婉雨 173 音乐学院 045111 学科教学(音乐) 推荐免试 365 103454103450042熊斯悦 173 音乐学院 045111 学科教学(音乐) 推荐免试 366 103454103450104陈柯如 173 音乐学院 045111 学科教学(音乐) 农师计划 367 103454331003011王天奇 173 音乐学院 045111 学科教学(音乐) 368 102854210502710耿晓珊 167 体育与健康科学学院045112 学科教学(体育) 369 102854210502826泮正杰167体育与健康科学学院045112 学科教学(体育) 370 102854210502888 伍萌 167 体育与健康科学学院045112 学科教学(体育) 371 103454103450043姜哲挺 167 体育与健康科学学院045112 学科教学(体育) 推荐免试 372 104594410760138王帅哲167体育与健康科学学院 045112 学科教学(体育) 373 102694212501026 张馨 175 美术学院 045113 学科教学(美术) 374 102694212501044 周灿 175 美术学院 045113 学科教学(美术) 375 103194320803284郭瑶瑶 175 美术学院 045113 学科教学(美术) 376 103454330703960吴荐婷 175 美术学院 045113 学科教学(美术) 377 105744000006851严小芳 175 美术学院 045113 学科教学(美术) 378 103454103450044金虹波 163 教师教育学院 045115 小学教育 推荐免试 379 103454103450045陈佳阳 163 教师教育学院 045115 小学教育 推荐免试 380 103454103450046徐婉羚 163 教师教育学院 045115 小学教育 推荐免试 381 103454103450047潘迅馨 163 教师教育学院 045115 小学教育 推荐免试 382 103454131803030 贺晓163教师教育学院045115 小学教育玉383 103454321903032田苏阳 163 教师教育学院 045115 小学教育 384 103454330303039陈海静 163 教师教育学院 045115 小学教育 385 103454330603041岑文婷 163 教师教育学院 045115 小学教育 386 103454330603042郭佳佳163教师教育学院 045115 小学教育 387 103454330703047 朱丹 163 教师教育学院 045115 小学教育 388 103454330703051丰徐俊163教师教育学院 045115 小学教育 389 103454330703053 徐玮 163 教师教育学院 045115 小学教育 390 103454331003059刘丽雅 163 教师教育学院 045115 小学教育 391 103454331103028傅芬芬 163 教师教育学院 045115 小学教育 392 103454370803064张翠华 163 教师教育学院 045115 小学教育 393 103454371403066贾静静163教师教育学院 045115 小学教育 394 102854210402538 方毛 163 教师教育学院 045117 科学与技术教育 395 103194330107188王杏娣 163 教师教育学院 045117 科学与技术教育 396 103454103450048余彬倩163教师教育学院 045117 科学与技术教育 推荐免试 397 103454103450049 茹吉 163 教师教育学院 045117 科学与技术教育 推荐免试 398 103454331002945邵文格 163 教师教育学院 045117 科学与技术教育 399 102004120400198裴羚亦 165 杭州幼儿师范学院045118 学前教育 400 102004120400199贾志华165杭州幼儿师范学院045118 学前教育 401 102854210401992 陆鸣 165 杭州幼儿师范学院045118 学前教育 402 103194153100989贺志鹏 165 杭州幼儿师范学院045118 学前教育 403 103454103450050章瑶瑶 165 杭州幼儿师范学院045118 学前教育推荐免试 404 103454103450051 庄盈165杭州幼儿师范学045118 学前教育推荐免媚院试 405 103454103450105王晓兰 165 杭州幼儿师范学院045118 学前教育 农师计划 406 103454103450106孙佳琪 165 杭州幼儿师范学院045118 学前教育 农师计划 407 103454103450107袁丹萍165杭州幼儿师范学院045118 学前教育 农师计划 408 103454103450108 陈赛 165 杭州幼儿师范学院045118 学前教育 农师计划 409 103454103450109王叶影 165 杭州幼儿师范学院045118 学前教育 农师计划 410 103454103450110邓乃亭 165 杭州幼儿师范学院045118 学前教育 农师计划 411 103454103450111金霞霞165杭州幼儿师范学院045118 学前教育 农师计划 412 103454103450112 陈洁 165 杭州幼儿师范学院045118 学前教育 农师计划 413 103454103450113 胡艳 165 杭州幼儿师范学院045118 学前教育 农师计划 414 103454103450114方倩颖 165 杭州幼儿师范学院045118 学前教育 农师计划 415 103454103450115郑裕江 165 杭州幼儿师范学院045118 学前教育 农师计划 416 103454103450116张筱群 165 杭州幼儿师范学院045118 学前教育 农师计划 417 103454103450117顾菲菲 165 杭州幼儿师范学院045118 学前教育 农师计划 418 103454103450118刘从梅165杭州幼儿师范学院045118 学前教育 农师计划 419 103454103450119 王翠 165 杭州幼儿师范学院045118 学前教育 农师计划 420 103454103450120傅思颖 165 杭州幼儿师范学院045118 学前教育 农师计划 421 103454103450121张学学 165 杭州幼儿师范学院045118 学前教育 农师计划 422 103454103450122周炜熔 165 杭州幼儿师范学院045118 学前教育 农师计划 423 103454322303069陈劲草165杭州幼儿师范学院045118 学前教育 424 103454322303070 安琪 165杭州幼儿师范学院045118 学前教育425 103454422103082 杨洋 165 杭州幼儿师范学院045118 学前教育 426 100434201431016 何庆 167 体育与健康科学学院045201 体育教学 427 100434201431098王海龙 167 体育与健康科学学院045201 体育教学 428 103454103450052曹舒晴 167 体育与健康科学学院045201 体育教学 推荐免试 429 103454103450053卢雁燕167体育与健康科学学院045201 体育教学 推荐免试 430 103454131603087 王娜 167 体育与健康科学学院045201 体育教学 431 103454330103089翁旭园 167 体育与健康科学学院045201 体育教学 432 103454330703098王登斌167体育与健康科学学院045201 体育教学 433 103454330703100 丁磊 167 体育与健康科学学院045201 体育教学 434 103454361003416潘智敏 167 体育与健康科学学院045201 体育教学 435 105344431400117刘芳芳167体育与健康科学学院045201 体育教学 436 105744000002394 郭锐 167 体育与健康科学学院045201 体育教学 437 105744000002408 王芳 167 体育与健康科学学院045201 体育教学 438 103194411511047裴军凯167体育与健康科学学院045202 运动训练 439 103194421111577 余斌 167 体育与健康科学学院045202 运动训练 440 104594410760139唐鹤玲167体育与健康科学学院045202 运动训练 441 105744000002567 于洋 167 体育与健康科学学院045202 运动训练 442 102904211105869吴新峰 167 体育与健康科学学院045204 社会体育指导 443 107274161380030杨三明167体育与健康科学学院045204 社会体育指导 444 100334109210139 沈琪 191 国际文化与教育学院045300 汉语国际教育 445 100524011103027李慧玲191国际文化与教育学院045300 汉语国际教育思 学院447 102704000000125韩丽娜191国际文化与教育学院045300 汉语国际教育 448 103194611412559 刘杰 191 国际文化与教育学院045300 汉语国际教育 449 103354000900672郑园园 191 国际文化与教育学院045300 汉语国际教育 450 103454103450054吴璐霞 191 国际文化与教育学院045300 汉语国际教育 推荐免试 451 103454103450055张琳芳 191 国际文化与教育学院045300 汉语国际教育 推荐免试 452 103454120303159庞丽辉191国际文化与教育学院045300 汉语国际教育 453 103454131703166 林檬 191 国际文化与教育学院045300 汉语国际教育 454 103454141703170常亚男 191 国际文化与教育学院045300 汉语国际教育 455 103454153203172韩晓宇 191 国际文化与教育学院045300 汉语国际教育 456 103454210403173顾晓佳 191 国际文化与教育学院045300 汉语国际教育 457 103454220403174刘丽萍 191 国际文化与教育学院045300 汉语国际教育 458 103454231903176邵照椅191国际文化与教育学院045300 汉语国际教育 459 103454321103178 万旋 191 国际文化与教育学院045300 汉语国际教育 460 103454330403185黄嫣琪191国际文化与教育学院045300 汉语国际教育 461 103454330603192 朱瑜 191 国际文化与教育学院045300 汉语国际教育 462 103454330703195吴真辉191国际文化与教育学院045300 汉语国际教育 463 103454330703196 丁喆 191 国际文化与教育学院045300 汉语国际教育 464 103454330703197金晓玲 191 国际文化与教育学院045300 汉语国际教育 465 103454330703199胡慧敏 191 国际文化与教育学院045300 汉语国际教育 466 103454330703201薛燕燕191国际文化与教育学院045300 汉语国际教育蒙 学院468 103454340103206朱惠敏191国际文化与教育学院045300 汉语国际教育 469 103454340603207 李标 191 国际文化与教育学院045300 汉语国际教育 470 103454340603208 王冰 191 国际文化与教育学院045300 汉语国际教育 471 103454340803210翁小婉 191 国际文化与教育学院045300 汉语国际教育 472 103454360103211李炎杰 191 国际文化与教育学院045300 汉语国际教育 473 103454360803213金璐萍 191 国际文化与教育学院045300 汉语国际教育 474 103454370503218江玲玲 191 国际文化与教育学院045300 汉语国际教育 475 103454410303222周芳芳 191 国际文化与教育学院045300 汉语国际教育 476 103454410303223李世侨 191 国际文化与教育学院045300 汉语国际教育 477 103454410403224李梓玉 191 国际文化与教育学院045300 汉语国际教育 478 103454410403226高培丽 191 国际文化与教育学院045300 汉语国际教育 479 103454410403228刘月梅 191 国际文化与教育学院045300 汉语国际教育 480 103454411303230黄佳露 191 国际文化与教育学院045300 汉语国际教育 481 103454411503231李宁宁 191 国际文化与教育学院045300 汉语国际教育 482 103454412303234徐阿珍191国际文化与教育学院045300 汉语国际教育 483 103454413003236 胡潇 191 国际文化与教育学院045300 汉语国际教育 484 103454413003238王晓静 191 国际文化与教育学院045300 汉语国际教育 485 103454431903241岑仁秀191国际文化与教育学院045300 汉语国际教育 486 103454440403242 安妮 191 国际文化与教育学院045300 汉语国际教育 487 103454441203243张丹丹191国际文化与教育学院045300 汉语国际教育。
附件学位获得者名单一、博士学位获得者(24名)杨学跃周学勤马明霞陈青周晶刘杰于光建马艾马冬雅聂君王战平赵文娟谭亚云冯克鹏李金燕李娟刘俊俏徐坤马春燕麻冬梅马甜吴晓玲杭佳马明德二、硕士学位获得者名单(787名)岳磊磊马静景翔田建国田佳佳马姣王荣荣王小梅张晓丽刘琪高丽珺赵文婷雷晓萍安希龙杨冬燕黄峰程蕾吴艳袁琼赵术萍杨伊刘培育杨院院李媛媛刘卓陈芳木崔鹏鲍莹张雅静张愉商西静李明丽周慧洁李芸霞王会贤马汉贵刘璐尚丹贾娜张元欣魏涛杨柳魁妍刘青张冬梅周莉李云轩沈小枫杜军高睿周霞张玉杜华君丁喜芬邵骏鹏赵明谢丽君董瑾王宇白雪军杨泗斌陈菁华陈小宁赵雅茹陈楠楠杨金艳梁洁张运河尚久荻李黎明赵华鹏雷漫飞董湘漪马娟白君涛谢亚欣刘静徐丽祁晓莉岳芳孙瑜赵杰王远曹阳陈阳程杨帆张煜坤韩超任韧吴宜聪马玲玲曾鸣何玫玫魏曌刘昭张钰晨曹琳周鹏吴书霞靳希黄彦珽王玲王娜冯英华刘璐胡皓洋宋喆张若琳李立刘迪刘菲袁陈媛周蕾刘姣马琳玮宋兴芳贾丽娜郭春燕齐巧玲李晓光张曼冯之余黄梦婷李聪魏娜黄鑫刘爱亮赵鹏赵娜张瑞雪张晓慧袁栋梁刘小林何培云李静马瑞芳刘飞范玲娜杨群秦泗海齐菊李冬冬王娜赵婷常清张璞齐冀程建艳杨参张伟马爽石贵利杜琳周雅婕梁睿琪暴卿王娜娜霍晓敏王一涵王君贾文梅陈小娜任惠敏刘海莲商海萍张如王艺玮杨涛梁银院白艳玲蒋磊王轶凡曲云云杨柳贾荣慧王洁徐文洋薛蓉杨丽梅张飞张蒙蒙欧阳乐安悦悦张芳马晓霞胡晓旭马莲邓文韬崔玉谦赵焕震杨风光魏亚丽骆艳金洪成续小磊马丁严洁马艳利张圆圆金智兰斌薛文强杨晴汪向艳张倩杜玉龙杨淳偓张盼盼庞胜军米力阳李建晶高志文王亚星琚俊梅张哲王登位孟凡振胡领马建乐沈悦张丽梅刘锐王文晶李韵龚瑞琴杨捷冯兵张利琴徐南巩俊龙潘璠赵瑾罗劲松吴江波顾钰彪尹云飞赵宁张卫平王亚妮张瑞张洪岩郭东旭郭晓菊张晓霞王晓芳万朔祁锡朱向芬官茜刘渊施健郑彩英张小娥周鑫金灵余婷李雪洁高霞毕吉利王玥马琳尤江王凤芝刘伟张玉粉袁妮妮马志宁张瑞李晓静徐建谢昊谢一民龚艳茹陈兵兵伍秀萍姚军康张青春王俊梅叶维晶余然焦明扬窦元运赵淑玲钟波马丽萍吴淑萍张娟岳祥龙李媛媛王重玲吴昕燕王茜茜肖绪培仲俊涛马振宁薛晨浩张少春张欢王继霞苏晓芳陈姝睿马静程淑杰苏胜亮陈亚萍雷晓婷郑丽萍康艳梅白宇张文清赵笑白少星包少文李龙山靳继凯牟红珍慕家琪苏雅静杨小萍侯玉婷沙金龙鲁晓丽丁国平马瑞朱娇玲吴明朝杨佳丽石娟陈青王长军周薇张娟红王冰李淑君邓鑫陈娟王兴杨菁贾倩民杨明秀马海鸽赵永全潘宏鑫朱楠陈云龙武辉皎余阳孙昕王银春崔莹蒋喆杨荣王文孟杨福海姜晓楠杜俊松詹冬章慧兰李尚蔚母彩霞李淑娟李雨佳宋露露尚鑫梁晨璟周磊王怀博张琴杨静沙朋朋张莹赵国成昋永强陈虎张济涛张小于王景阳虎鑫李亚蓉谢翠芳邢坤李先清郭舂磊闫文斗张增李朋亮刘畅姬琛周虹燕思振华苏洁汪春明张丽宏张娟金风霞安磊汪洋陈芳王辉秦越杨玉蓉高彩琴林聪黄学春王蓉朱英司海丽杨洁马玲陶君施明周星辰刘文惠施安魏荣荣侯鹏霞杨晓莉刘敏邢智华眭丹李侠张燕丽李潮朱凡孙文龙白丽娟张蕾蕾杨萌萌马超范明明王英俊贾晓静王雪梅李瑞范文广陈伟王荣李海涛马绮龙张和阳苏媛曹美涛赵姣杨琳胡婷婷周素霞李倩倩杜运威郁卫国车孟子朱蕾李婧程小倩孙文静胡小飞姚洋张方汤婷婷宋一涵阿麦特郭磊莫北马杰杨丽田蔓崔静华马萍赵帅梁非哲邓芳丁敏张舟马俊卞昊蔡淼霖陈琰崔静丁祎付杨高丽耿宏兵龚冠诚顾甜甜郭建忠郭璇郭祖光侯春生霍四红靳媛媛康乐融亢建忠黎亮李健李林涛李妍蔺亚娟刘琦刘永亮罗文婷马杰马明德孟文娟牛芳欧小山彭博钱丽丽乔雪秦岩孙惠娟孙倩田春雷王琛王芳王婧王明录王瑞王珊王晓王雪韦雪娇夏蕾夏勇肖国炜谢娜徐福兰闫婷杨光杨静杨民杨明婧尹训荣张海立张娜张媛媛张跃赵高涛赵华周蓉蓉周英豪李元博任倩倩赵悦王曦田瑞雪李艳丽李小丽田雅静白娜娜曹文涛陈靖崔冠男高鸿黄梦迪江培培姜晨雪蒋新雯李佳璐刘芬刘楠马英孟珍潘琼庞智黠邵俊俊史宇宋超田爱玲童赛王浩王珏王舒琪王玉娇未宏龙伍嫘肖司璐杨昆尹荣张璐张珊珊张莹莹赵文明赵小蕊赵旭芳张嫽张玲陈晨崔娟娟关秋玥冷亚李旋林东生刘燕罗思宇马琴宋晓璐王智慧杨珊朱杰邹昕曲方圆张潇俪陈超郭梓萌金姝颖田如吴坤冯汝源郭文娟麻常悦马秀芳许叶杨万芳张妮张夕芮张辛张媛霍雯吴佳曹健陈琳高红红顾妍何艾玲胡斌胡伟李晓辉刘金锋刘三亚刘双林刘宇芦燕乔文娟史崇升史振桐孙川川谭伟田汪静王珮珮王腾王琬杨国龙杨萌杨珊珊姚静张宁宁张鑫周栋周世文朱金艳朱裔晗党小荣吴晶晶董莉李金霞闵越张娇娇张静段斌马萌白慧慧卞辰超陈莉娜崔海云高新华郭玉琼黄浩孔祥明李国栋李建芳马海娥马凌马娜蒙艳丽沈丹王力梅王丽王婷邢明顺薛瑞姚新波雍海波张环惠张燕折俊鑫申晓晶白剑曹璐陈娴李翠玲雒倞豪马成功王金枝王淼王婷王莹徐安正于丹朱洁刘梓林彭伟邢丽华陆海龙邹建坤高志强康烨雷婷李红娟李茂强李倩龙孟元元潘德俊孙学川王铭升吴凯武世敏刘璐虎德钰李昱钱丽娟刘洁卢芳任磊沈甜孙茜田兴武王培杨文雅朱倩楠赵涛王丽娟万鑫张勇安慧慧柏丽孙烈荣党薇俞鸿千胡聪刘威刘洋马奇虎苏文浩吴龙国徐薇薇张令标张伟威周静周世平张玉张玲玲曾伟婷孙立龚雪韩冰刘静蒙莉姜涛何建民郭婧王姮乔瑞玲丁玲尤金霞盛军王莉胡晓亮徐佳佳杨丽莉白蓓瑶陈胜来王艳李海河张颖刘俭李勇李元任岚崔丽娜张静轩张宏金静刘少丽张春艳蔺旺军王雅婷李怡张帅。
控制系 2010 级拟录取研究生公示日期:2010-04-26 15:03准考证号 103350106141805 103350104871793 103350106101802 103350104871794 103350105331799 103350103351756 103350104861792 103350106141806 103350103351754 103350106101803 103350103351755 103350103351749 103350103351757 103350102481782 103350102881789 103350103371759 103350104861791 103350103371760 103350103351752 103350102481785 103350103351758 103350101451778 103350105611800 103350106101801 103350009100310 103350104871798 103350100071775 103350103351745 103350103351768 103350103351769 103350103351772 103350103371773 103350103351770 103350103351771 103350106101804 103350101451777 103350102481784 103350104871797 103350101451777姓名 蔡盛盛 陈文伟 陈雪兰 谌婷 段琪辉 冯皓 郜旭凯 胡红亮 黄健 黄秋兰 李俊堃 李深 李元实 潘正 舒元超 王杰 王学飞 叶昕鑫 殷鹏辉 尹翔 詹剑波 张志飞 郑晓平 左琴 倪利平 李翠云 刘苏 朱峰 许勤能 丁阳 郭诚 胡幸江 魏世恒 于广宁 张鹏蔡佳 丁晟 傅翀 高学敏录取类别 非定向一等助学金 非定向一等助学金 非定向一等助学金 非定向一等助学金 非定向一等助学金 非定向一等助学金 非定向一等助学金 非定向一等助学金 非定向一等助学金 非定向一等助学金 非定向一等助学金 非定向一等助学金 非定向一等助学金 非定向一等助学金 非定向一等助学金 非定向一等助学金 非定向一等助学金 非定向一等助学金 非定向一等助学金 非定向一等助学金 非定向一等助学金 非定向一等助学金 非定向一等助学金 非定向一等助学金 非定向一等助学金 非定向一等助学金 非定向一等助学金 非定向一等助学金 非定向一等助学金 非定向一等助学金 非定向一等助学金 非定向一等助学金 非定向一等助学金 非定向一等助学金 非定向一等助学金 非定向一等助学金 非定向一等助学金 非定向一等助学金 非定向一等助学金录取专业 序号 初试分数 081101 控制理论与控制工程 1 免推 081101 控制理论与控制工程 2 免推 081101 控制理论与控制工程 3 免推 081101 控制理论与控制工程 4 免推 081101 控制理论与控制工程 5 免推 081101 控制理论与控制工程 6 免推 081101 控制理论与控制工程 7 免推 081101 控制理论与控制工程 8 免推 081101 控制理论与控制工程 9 免推 081101 控制理论与控制工程 10 免推 081101 控制理论与控制工程 11 免推 081101 控制理论与控制工程 12 免推 081101 控制理论与控制工程 13 免推 081101 控制理论与控制工程 14 免推 081101 控制理论与控制工程 15 免推 081101 控制理论与控制工程 16 免推 081101 控制理论与控制工程 17 免推 081101 控制理论与控制工程 18 免推 081101 控制理论与控制工程 19 免推 081101 控制理论与控制工程 20 免推 081101 控制理论与控制工程 21 免推 081101 控制理论与控制工程 22 免推 081101 控制理论与控制工程 23 免推 081101 控制理论与控制工程 24 免推 081101 控制理论与控制工程 25 免推 081104 模式识别与智能系统 26 推免 081104 模式识别与智能系统 27 推免 081104 模式识别与智能系统 28 推免 081105 导航、制导与控制 29 免推 430111 控制工程 30 免推 430111 控制工程 31 免推 430111 控制工程 32 免推 430111 控制工程 33 免推 430111 控制工程 34 免推 430111 控制工程 35 免推 081102 检测与自动化装置 36 免推 081102 检测与自动化装置 37 免推 081102 检测与自动化装置 38 免推 081102 检测与自动化装置 39 免推103350104871796 103350102691783 103350102511786 103350101451780 103350104871795 103350101451781 103350101451779 103350103351762 103350100131774 103350100561776103350102471788 103350106981807何慧梅 贾逸龙 罗耀锋 牛海峰 彭鑫 宋洋 王健军 赵龙舫 郑会 周颖李果 吕复强103350009320302 103350009320047 103350009320129 103350009320072 103350009320367 103350009320227 103350009320123 103350009320354 103350009320045 103350009320351 103350009320293 103350009320181 103350009320038 103350009320355 103350009320107 103350009320234 103350009320069 103350009320260 103350009320213 103350009320052 103350009320080 103350009320070 103350009320243 103350009320087 103350009320092 103350009320074 103350009320153 103350009320233 103350009320304 103350009320140蔡星 黄龙诚 李海 李智鹏 刘道远 尚春刚 王超 王旭 吴帅军 颜福才 张博 张红光 朱阳 邹娟 邹亚楠 柴东新 陈玥 仇广金 李洋 李振煜 刘喆 汤爱中 王淑杰 吴长青 吴宇 武尚智 肖锋 徐升继 许畅 许文博非定向一等助学金 非定向一等助学金 非定向一等助学金 非定向一等助学金 非定向一等助学金 非定向一等助学金 非定向一等助学金 非定向一等助学金 非定向一等助学金 非定向一等助学金 非定向一等助学金 非定向一等助学金 非定向一等助学金 非定向一等助学金 非定向一等助学金 非定向一等助学金 非定向一等助学金 非定向一等助学金 非定向一等助学金 非定向一等助学金 非定向一等助学金 非定向一等助学金 非定向一等助学金 非定向一等助学金 非定向一等助学金 非定向一等助学金 非定向一等助学金 非定向一等助学金 非定向一等助学金 非定向一等助学金 非定向一等助学金 非定向一等助学金 非定向一等助学金 非定向一等助学金 非定向一等助学金 非定向一等助学金 非定向一等助学金 非定向一等助学金 非定向一等助学金 非定向一等助学金 非定向一等助学金 非定向一等助学金081102 081102 081102 081102 081102 081102 081102 081102 081102 081102 081103 081103 081101 081101 081101 081101 081101 081101 081101 081101 081101 081101 081101 081101 081101 081101 081101 081102 081102 081102 081102 081102 081102 081102 081102 081102 081102 081102 081102 081102 081102 081102检测与自动化装置 检测与自动化装置 检测与自动化装置 检测与自动化装置 检测与自动化装置 检测与自动化装置 检测与自动化装置 检测与自动化装置 检测与自动化装置 检测与自动化装置 系统工程 系统工程 控制理论与控制工程 控制理论与控制工程 控制理论与控制工程 控制理论与控制工程 控制理论与控制工程 控制理论与控制工程 控制理论与控制工程 控制理论与控制工程 控制理论与控制工程 控制理论与控制工程 控制理论与控制工程 控制理论与控制工程 控制理论与控制工程 控制理论与控制工程 控制理论与控制工程 检测与自动化装置 检测与自动化装置 检测与自动化装置 检测与自动化装置 检测与自动化装置 检测与自动化装置 检测与自动化装置 检测与自动化装置 检测与自动化装置 检测与自动化装置 检测与自动化装置 检测与自动化装置 检测与自动化装置 检测与自动化装置 检测与自动化装置40 41 42 43 44 45 46 47 48 49 50 51 1 2 3 4 5 6 7 8 9 10 11 12 13 14 15 16 17 18 19 20 21 22 23 24 25 26 27 28 29 30免推 免推 免推 免推 免推 免推 免推 免推 免推 免推 免推 免推 387 357 346 381 354 406 322 387 375 339 394 398 359 358 382 379 398 380 392 400 332 382 371 386 363 363 405 402 397 324103350009320303 103350009320235103350009320056张楠 朱晓明陈聪103350009320050 103350009320125 103350009320206 103350009320261 103350009320040 103350009320127 103350009320005 103350009320085 103350009320166 103350009320035 103350009320364 103350009320141 103350009320209 103350009320043 103350009320126 103350009320352 103350009320231 103350009320363 103350009320110 103350009320295 103350009320308 103350009320317 103350009320152 103350009320263 103350009320026 103350009320257 103350009320314 103350009320286 103350009320163 103350009320366 103350009320277 103350009320322 103350009320353 103350009320098 103350009320238 103350009320313 103350009320316 103350009320255奂金龙 嵇婷 李浩 刘蒙蒙 念杰 孙建良 王俊 谢飞 赵利 何雨辰 李林军 吴汉 许源 姚捷 周维 周秀军 明倩 白静 陈毅夫 冯禹 郭琛 计琴 贾士博 李子月 梁超 凌从礼 潘衍 施晓珍 石畅 王明旭 王玉涛 王征宇 魏勇 吴炎 徐超 姚亚 余祖应 张同心非定向一等助学金 非定向一等助学金 非定向一等助学金 非定向一等助学金 非定向一等助学金 非定向一等助学金 非定向一等助学金 非定向一等助学金 非定向一等助学金 非定向一等助学金 非定向一等助学金 非定向一等助学金 非定向一等助学金 非定向一等助学金 非定向一等助学金 非定向一等助学金 非定向一等助学金 非定向一等助学金 非定向一等助学金 非定向自筹 非定向自筹 非定向自筹 非定向自筹 非定向自筹 非定向自筹 非定向自筹 非定向自筹 非定向自筹 非定向自筹 非定向自筹 非定向自筹 非定向自筹 非定向自筹 非定向自筹 非定向自筹 非定向自筹 非定向自筹 非定向自筹 非定向自筹 非定向自筹 非定向自筹081102 081102 081103 081103 081103 081103 081103 081103 081103 081103 081103 081103 081104 081104 081104 081104 081104 081104 081104 081104 430111 430111 430111 430111 430111 430111 430111 430111 430111 430111 430111 430111 430111 430111 430111 430111 430111 430111 430111 430111 430111检测与自动化装置 检测动化装置 系统工程 系统工程 系统工程 系统工程 系统工程 系统工程 系统工程 系统工程 系统工程 系统工程 模式识别与智能系统 模式识别与智能系统 模式识别与智能系统 模式识别与智能系统 模式识别与智能系统 模式识别与智能系统 模式识别与智能系统 模式识别与智能系统 控制工程 控制工程 控制工程 控制工程 控制工程 控制工程 控制工程 控制工程 控制工程 控制工程 控制工程 控制工程 控制工程 控制工程 控制工程 控制工程 控制工程 控制工程 控制工程 控制工程 控制工程31 32 33 34 35 36 37 38 39 40 41 42 43 44 45 46 47 48 49 1 2 3 4 5 6 7 8 9 10 11 12 13 14 15 16 17 18 19 20 21 22323 400 390 383 342 359 372 402 368 389 340 364 348 357 355 353 368 408 379 338 343 334 357 363 362 360 332 356 356 349 350 363 342 368 336 350 325 348 377 361 375103350009320241 103350009320359 103350009320240 103350009320384 103350009320397 103350009320388 103350009320385 103350009320403张玉 赵敏 赵文涛 姜宇超 鞠永涛 姚建辉 朱媞媞 马翔楠非定向自筹 非定向自筹 非定向自筹 委培 委培 委培 委培 定向430111 430111 430111 081102 081102 081102 081102控制工程 控制工程 控制工程 检测与自动化装置 检测与自动化装置 检测与自动化装置 检测与自动化装置081102 检测与自动化装置23 24 25 大庆 大庆 大庆 大庆 强军 计划355 384 363。
第 1 页,共 49 页第 2 页,共 49 页第 3 页,共 49 页第 4 页,共 49 页第 5 页,共 49 页第 6 页,共 49 页第 7 页,共 49 页第 8 页,共 49 页第 9 页,共 49 页第 10 页,共 49 页第 11 页,共 49 页第 12 页,共 49 页第 13 页,共 49 页第 14 页,共 49 页第 15 页,共 49 页第 16 页,共 49 页第 17 页,共 49 页第 18 页,共 49 页第 19 页,共 49 页第 20 页,共 49 页第 21 页,共 49 页第 22 页,共 49 页第 23 页,共 49 页第 24 页,共 49 页第 25 页,共 49 页第 26 页,共 49 页第 27 页,共 49 页第 28 页,共 49 页第 29 页,共 49 页第 30 页,共 49 页第 31 页,共 49 页第 32 页,共 49 页第 33 页,共 49 页第 34 页,共 49 页第 35 页,共 49 页第 36 页,共 49 页第 37 页,共 49 页第 38 页,共 49 页第 39 页,共 49 页第 40 页,共 49 页第 41 页,共 49 页第 42 页,共 49 页第 43 页,共 49 页第 44 页,共 49 页第 45 页,共 49 页第 46 页,共 49 页第 47 页,共 49 页第 48 页,共 49 页第 49 页,共 49 页。
浙江省高等学校图书情报工作委员会关于表彰浙江省高校图书馆2005—2007年度
先进集体、优秀馆长及先进个人的通知
浙高图秘字(2008)11号
经全省各高校图书馆推荐,浙江省高校图工委七届三次常务委员会评选,省教育厅高教处同意,授予浙江大学图书馆等10家单位先进图书馆荣誉称号,授予浙江海洋大学图书馆期刊部等20个部室先进部室荣誉称号,授予高跃新等10名同志优秀馆长荣誉称号,授予金国强等76名同志先进个人荣誉称号。
现予以公布(名单附后)。
希望受到表彰的单位和个人再接再厉,为进一步繁荣浙江省高校图书馆事业做出新的贡献。
希望全省高校图书馆工作者勤奋工作、勇于创新,为推动图书馆事业新发展,为构建社会主义和谐社会做出更大的贡献。
附件:浙江省高校图书馆2005-2007年度先进集体、优秀馆长及先进个人名单
浙江省高校图书情报工作委员会
二○○八年五月十二日
浙江省高校图书馆2005—2007年度先进图书馆
浙江省高校图书馆2005—2007年度先进部(室)
浙江省高校图书馆2005—2007年度优秀馆长
浙江省高校图书馆2005—2007年度先进工作者。