信息论与编码第二版-曹雪红张宗橙课后答案解析
- 格式:pdf
- 大小:3.49 MB
- 文档页数:85
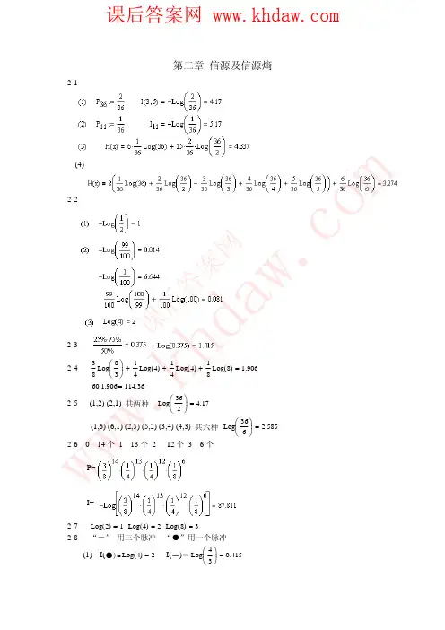
2-1.解:该一阶马尔可夫信源,由转移概率构成的转移矩阵为:对应的状态图如右图所示。
设各符号稳定概率为:1p ,2p ,3p 则可得方程组: 1p =211p +312p +313p 2p =211p +323p3p =322p1p +2p +3p =1解得各符号稳态概率为:1p =2510,2p =259,3p =256 2-2.解:该马尔可夫信源的符号条件概率矩阵为:状态转移概率矩阵为:对应的状态图如右图所示。
设各状态的稳态分布概率为1W ,2W ,3W ,4W ,则可得方程组为:1W =0.81W +0.53W 2W =0.21W +0.53W 3W =0.52W +0.24W4W =0.52W +0.84W1W +2W +3W +4W =1解得稳定分布的概率为:1W =145,2W =142,3W =142,4W =145 2-3.解:(1)“3和5同时出现”事件的概率为: p(3,5)=181故其自信息量为: I(3,5)=-㏒2181=4.17bit (2)“两个1同时出现”事件的概率为:p(1,1)=361故其自信息量为: I(1,1)=- ㏒2361=5.17bit (3)两个点数的各种组合构成的信源,其概率空间为:则该信源熵为: H(x 1)=6×361lb36+15×181lb18=4.337bit/事件(4)两个点数之和构成的信源,其概率空间为:则该信源的熵为: H(x 2)=2×361lb36+2×181lb18+2×121lb12+2×91lb9+2×365lb 536+61lb6=3.274bit/事件(5)两个点数中至少有一个是1的概率为: p(1)=3611 故其自信息量为:I(1)= -㏒23611=1.7105bit 2-7.解:(1)离散无记忆信源的每个符号的自信息量为I(x 1)= -㏒283=1.415bit I(x 2)= -㏒241=2bitI(x 3)= -㏒241=2bitI(x 4)= -㏒281=3bit(2)由于信源发出消息符号序列有12个2,14个0,13个1,6个3,故该消息符号序列的自信息量为: I(x)= -㏒2(83)14 (41)25 (81)6=87.81bit平均每个符号携带的信息量为: L H (x)=45)(x I =1.95bit/符号 2-10解:用1x 表示第一次摸出的球为黑色,用2x 表示第一次摸出的球为白色,用1y 表示第二次摸出的球为黑色,用2y 表示第二次摸出的球为白色,则(1)一次实验包含的不确定度为:H(X)=-p(1x )lbp(1x )-p(2x )lbp(2x )=-13lb 13-23lb 23=0.92 bit (2)第一次实验X 摸出的球是黑色,第二次实验Y 给出的不确定度: H(Y|1x )=-p(1y |1x )lb p(1y |1x )-p(2y |1x )lb p(2y |1x )= -27lb 27-57lb 57= 0.86 bit(3)第一次实验X 摸出的球是白色,第二次实验Y 给出的不确定度:H(Y|2x )=-p(1y |2x )lb p(1y |2x )-p(2y |2x )lb p(2y |2x )= -514lb 514-914lb 914= 0.94 bit(4)第二次Y 包含的不确定度:H (Y|X )= -(,)(|)i j j i ijp x y lbp y x å= p(1x ) H(Y|1x )+p(2x )H(Y|2x ) =0.91 bit 2-11 解:(1)仅对颜色感兴趣的不确定度: H(colour)=H (238,1838,1838)= -238lb 238- 2´1838lb 1838=1.24 bit (2) 对颜色和数字都感兴趣的平均不确定度: H(clour,number)=H(number)= -18´118lb 118= 5.25 bit (3)颜色已知的条件熵:H (number|colour )=H (colour,number )- H(colour)=(5.25-1.24) bit=4.01 bit 2-12 解:(1)实验X和Y的平均信息量: H(X,Y)= - (,)i j ijp x y ålb (,)i j p x y = -(,)i j ijr x y ålb (,)i j r x y=H(724,124,0,124,14,0,124,724) =2.3 bit/符号(2)由联合概率,可得p(1y )=11(,)p x y +21(,)p x y +31(,)p x y=11(,)r x y +21(,)r x y +31(,)r x y=724+124+0 =13同理可得P(2y )=p(3y )=13,则实验Y 的平均信息量:H(Y)=H(13,13,13)=1.58 bit/符号(3)在已知实验Y结果的条件下,实验X的平均信息量:H(X|Y)=H(X,Y)-H(Y)=(2.3-1.58) bit/符号=0.72 bit/符号2-13解:由X和Y的联合概率,可得P(x=0)=p(x=0,y=0)+p(x=0,y=1)= 18+38=12同理,p(x=1)= 12, p(y=0)=p(y=1)=12由于Z=XY,由X和Y的联合概率,可得P(z=0)= P(x=0,y=0)+P(x=1,y=0)+P(x=0,y=1)= 7 8P(z=1)=p(x=1,y=1)= 1 8P(x=0,z=0)= P(x=0,y=0)+ P(x=0,y=1)= 12, P(x=0,z=1)=0P(x=0,y=0)P(x=0,y=0) P(x=0,y=0) P(x=0,y=0)P(x=1,z=0)= P(x=1,y=0)= 38, P(x=1,z=1) =P(x=1,y=1)=18P(y=0,z=0)= 12P(y=0,z=1)=0 P(y=1,z=0)=38P(y=1,z=1)=18P(x=0,y=0,z=0)= 18P(x=0,y=0,z=1)=0 P(x=0,y=1,z=0)=38P(x=0,y=1,z=1)=0 P(x=1,y=0,z=0)= 38P(x=1,y=1,z=0)=0P(x=0,y=0,z=1)=0 P(x=0,y=1,z=1)=0 P(x=1,y=1,z=1)= 18,则:(1) H(X)=H(12,12)=1 bitH(Y)=H(12,12)=1 bitH(Z) =H(18,78)= 0.54 bitH(X,Z)=H(12,0,38,18)=1.41 bitH(Y,Z) =H(12,0,38,18)=1.41 bitH(X,Y,Z) =H(18,0,38,0,38,0,0,18)=1.8 bit(2) H(X,Y)=H(18,38,18, 38)=1.81 bitH(X|Y)= H(X,Y) – H(Y)=0.81 bit H(Y |X)= H(X,Y) – H(X)=0.81 bit H(X|Z)= H(X,Z) – H(Z)=0.87 bit H(Z|X)= H(X,Z) – H(X)=0.41 bit H(Y|Z)= H(Y ,Z) – H(Z)=0.87 bit H(Z|Y)=H(Y ,Z)-H(Y)=0.41bitH(X|Y ,Z)=H(X,Y ,Z)-H(Y ,Z)=0.4bit H(Y|X,Z)=H(X,Y ,Z)-H(X,Z)=0.4bit H(Z|X,Y)=H(X,Y ,Z)-H(X,Y)=0(3) I(X;Y)=H(X)-H(X|Y)=0.19bit I(X;Z)=H(X)-H(X|Z)=0.13bit I(Y;Z)=H(X)-H(Y|Z)=0.13bitI(X;Y|Z)=H(X|Z)-H(X|Y,Z)=0.47bit I(Y;Z|X)=H(Y|X)-H(Y|X,Z)=0.41bit I(X;Z|Y)=H(X|Y)-H(X|Y ,Z)=0.41bit 2-14 解:依题意,可得信道传输概率p(y=0|x=0)=1-p(y=1|x=0)=3/4, p(y=1|x=1)=1-p(y=0|x=1)=7/8 联合概率:p(x=0,y=0)=p(y=0|x=0)p(x=0)=3/8同理:p(x=0,y=1)=1/8,p(x=1,y=0)=1/16,p(x=1,y=1)=7/16 概率:p(y=0)=p(x=0,y=0)+p(x=1,y=0)=7/16 p(y=1)=p(x=0,y=1)+p(x=1,y=1)=9/16后验概率:p(x=0|y=0)=p(x=0,y=0)/p(y=0)=(3/8)/(7/16)=6/7 同理:p(x=1|y=0)=1/7,p(x=0|y=1)=2/9,p(x=1|y=1)=7/9,则(1) I (x;y=0)=(|0)(|0)log()i i ii p x y p x y p x ==å)22(0|0)(1|0)(0|0)log (1|0)log (0)(1)p x y p x y p x y p x y p x p x =======+====616177(log log )/0.41/117722bit bit =+=符号符号22222(|)()(|)log ()(0|0)(1|0)(0)(0|0)log (0)(1|0)log (0)(1)(0|1)(1|1)(0)(0|1)log (1)(1|1)log (0)(1)76(l 167i j j i j iji p x y p y p x y p x p x y p x y p y p x y p y p x y p x p x p x y p x y p y p x y p y p x y p x p x ========+=========+===+======å(2)I(X;Y)=222261277192977799og log log log )/111116716916922220.31/bit bit +++=符号符号21211111211212211212)(|)()(|)()(|)()112121722343412a P x a x a P x a P x a x a P x a P x a x a P x a =====+===+====???2-29 解:由已知起始概率和转移概率,可得:P(x 2223122211222122213255P(),()2424111111)(log log log ) 1.5224444111111H(|)(log log log ) 1.52244442211H(|)log 0log )0.9183333221H(|)log 333x a P x a bit bit x a bit bitx a bit bitx a =====---==---==-+-==--同理可得:由起始概率,可得:H(x 另外:21log 0)0.9183bit bit+=2111211222132332213122321333H(|)()(|)()(|)()(|)111( 1.50.9180.918) 1.209244H(|)()(|)()(|)()(|)755( 1.50.9180.918) 1.257122424x x P x a H x a P x a H x a P x a H x a bit bit x x P x a H x a P x a H x a P x a H x a bit bit H ==+=+==???==+=+==???12,31213121213212,3(,)H()H(|)H(|)H()H(|)H(|)(1.5 1.209 1.257) 3.996(,) 3.996()/331.322/L x x x x x x x x x x x x x x bit bitH x x x H x bit bit =++=++=++====符号符号12312311321231231231122332)w w w 122w w 23311w w 4311w w 43w w w 1833w ,w ,w ,141414()w (|)(|)(|)833( 1.50.9180.918) 1.251141414r r r w w w w H x H x a w H x a w H x a bit bit¥++=+=+=++=====++=???,(设各稳定时的概率为,,则解得:该链的极限平均符号熵为000111220(3)log 3 1.58/ 1.2511(/)10.211.417883333(log log log ) 1.4137/1414141414141.251()10.1151.4171.251/H bit r y H H H bit bit H r y H H H bit r ¥¥¥====-=-=-==---==-=-=-===符号符号符号2-30解:依题意,状态转移图如下图所示,其状态转移概率矩阵为P=213310⎛⎫⎪ ⎪ ⎪⎝⎭设状态稳定概率为1W 、2W ,则:231W +2W =1W 131W =2W 解得:1W =34 ;2W =141W +2W =1则:H(X |1S )=-232log 23-132log 13=0.918bit H(X |2S )=0信源熵为:H (X )=1W H(X |1S )+2W H(X |2S )=(34*0.918+14*0)bit=0.688bit2-32解:(1)由状态图,可得状态转移概率矩阵为:P=122122122p p p p p p p p p ⎛⎫- ⎪ ⎪ ⎪- ⎪ ⎪ ⎪- ⎪⎝⎭设状态稳定概率为1W ,2W ,3W ,则: (1-p )1W +2p 2W +2p3W =1W2p1W + (1-p) 2W +2p3W =2W 解得:1W =2W =3W =13,2p1W +2p2W +(1-p) 3W =3W 即p(0)=p(1)=p(2)= 131W +2W +3W =1(2) H(X|0)=H(X|1)=H(X|2)= - (1-p) 2log (1-p) -2p 2log 2p -2p 2log 2p= - (1-p) 2log (1-p) - p 2log 2pH ∞(X)=p(0)H(X|0)+p(1)H(X|1)+p(2)H(X|2)= - (1-p) 2log (1-p) - p 2log 2p bit (3) H(X)= 2log 3=1.58bit(4) 令()0dH X dp ∞=,得lnln(1)1120ln 2(1)ln 2ln 2ln 2pp p p --+---=- 解得p=23,则: 当p=23时,H ∞(X)= (- 132log 13-232log 13)bit =1.58 bit当p=0 时, H(X)=0当p=1时,H(X)=13-1 解(1)由输入概率分布和概率转移,可得: 00(,)p x y =00(|)p y x 0()p x =23*34=12同理,可得:01(,)p x y =14; 10(,)p x y =112; 11(,)p x y =16,则:0()p y =00(,)p x y +10(,)p x y =12+112=7121()p y =01(,)p x y +11(,)p x y =14+16=512因此,H(X)=( - 342log 34- 142log 14) bit =0.811 bit H(X ,Y)=( - 122log 12- 142log 14 - 1122log 112-162log 16)bit=1.73bit H(Y)=( -7122log 712 - 5122log 512)bit=0.98bit H(Y|X)=H(X ,Y)-H(X)=(1.73-0.811)bit=0.919 bitH(X|Y )= H(X ,Y)-H(X)=(1.73-0.98)bit=0.75bit I(X ;Y)=H(X)-H(X|Y)=(0.811-0.75)bit=0.061bit (2)该信道是对称DMC 信道,信道容量为 C= 2log m -1log mijij j pp =∑= 2log 2 +23 2log 23+ 13 2log 13=0.082bit 达到信道容量时输入概率分布为:0()p x = 1()p x =123-2 解:(1)由信源的概率分布和转移概率,可得11(,)p x y =11(|)p y x 1()p x =12α 同理可得:12(,)p x y =12α,13(,)p x y =0 ,21(,)p x y =12(1-α), 22(,)p x y =14(1-α),23(,)p x y =14(1-α),则:1()p y =11(,)p x y +21(,)p x y =12α+12(1-α)=12,同理可得: 2()p y =14α+14;3()p y =14(1-α)因此,接收端的平均不确定度为:2222211111111log ()log ()(1)log (1)22444444311log (1)log (1)()244bit -??--??+??=-+?-?(2)由于噪声产生的不确定度为:22222111111111(|X )=l o g l o g 0l o g l o g l o g 22222244443()22H Y bit ????--?---¶=-由于互信息为:223113I X;Y)=H(Y)-(Y|X)=[-log (1)log (1)]24422+?抖+?-?-(()令(;)0dI X Y d =¶,可得:35?,则:(3(;)()0.161bit 5max i p a C I X Y C ==?=)3-6 解:该信道的概率转移矩阵为 110022110022P=11002211022骣÷ç÷ç÷ç÷ç÷ç÷ç÷ç÷÷ç÷ç÷ç÷ç÷ç÷ç÷ç÷÷ç÷ç÷ç÷ç÷ç÷ç÷ç÷÷ç桫 可见,该信道为对称DMC 信道,因此,该信道的信道容量为: 42222211111C log m log log 4log ()log ()12222ij ij j p p bit ==+=++=å3-7解:(1)由发送符号的概率分布和转移概率,可得: 1111111(,)(|)()0.536p x y p y x p x ==? 同理可得:12132122233132331121(,),(,),(,),(,)10151510113(,),(,),(,),(,)0103010p x y p x y p x y p x y p x y p x y p x y p x y ========11121311211()(,)(,)(,)615303p y p x y p x y p x y =++=++= 同理可得:2311(),()26p y p y ==;111111(,)16(|)1()23p x y p x y p y ===同理可得:21311222321323331221(|)(|)(|)(|)5555313(|)(|)(|)(|)05105p x y p x y p x y p x y p x y p x y p x y p x y ========,,,,,,因此,222222112233H Y)=p(y )log p(y )-p(y )log p(y )-p(y )log p(y )111111log log log 1.459332266bit=---=((2)H Y|X)=(;)log (|i j j i ijp x y p y x -å()222221113112213log log log log log 6210101551551010=----- 222131139log log log 101030101010--- 1.175bit =(3)当接收为2 y ,发出为2x 是正确,发出的是1x 和3x 为错误,由于各自概率为:122232113(|),(|),(|)555p x y p x y p x y === 因此,接收端收到一个符号2y 的错误概率为:123213(|)(|)0.855i p p x y p x y =+=+= (4)从接收端看的平均错误概率为:1213111232213233[(|)(|)]()[(|)(|)]()[(|)(|)]()e P p x y p x y p y p x y p x y p y p x y p x y p y =+++++ 213112321323(,)(,)(,)(,)(,)(,)p x y p x y p x y p x y p x y p x y =+++++ 211311153010101510=+++++0.733= (5)同理可得,从发送端看的平均错误概率为:__210.733e e p p == (6)从转移矩阵来看,正确发送的概率11x y -的概率为0.5,有一半失真;22x y -的概率为0.3,产生失真;33x y -的概率为0,完全失真。
《信息论与编码》-曹雪虹-课后习题答案 第二章一个马尔可夫信源有3个符号{}1,23,uu u ,转移概率为:()11|1/2p u u =,()21|1/2p u u =,()31|0p u u =,()12|1/3p u u =,()22|0p u u =,()32|2/3p u u =,()13|1/3p u u =,()23|2/3p u u =,()33|0p u u =,画出状态图并求出各符号稳态概率。
解:状态图如下状态转移矩阵为:1/21/201/302/31/32/30p ⎛⎫ ⎪= ⎪ ⎪⎝⎭设状态u 1,u 2,u 3稳定后的概率分别为W 1,W 2、W 3由1231WP W W W W =⎧⎨++=⎩得1231132231231112331223231W W W W W W W W W W W W ⎧++=⎪⎪⎪+=⎪⎨⎪=⎪⎪⎪++=⎩计算可得1231025925625W W W ⎧=⎪⎪⎪=⎨⎪⎪=⎪⎩由符号集{0,1}组成的二阶马尔可夫链,其转移概率为:(0|00)p =,(0|11)p =,(1|00)p =,(1|11)p =,(0|01)p =,(0|10)p =,(1|01)p =,(1|10)p =。
画出状态图,并计算各状态的稳态概率。
解:(0|00)(00|00)0.8p p == (0|01)(10|01)0.5p p ==(0|11)(10|11)0.2p p == (0|10)(00|10)0.5p p == (1|00)(01|00)0.2p p == (1|01)(11|01)0.5p p == (1|11)(11|11)0.8p p == (1|10)(01|10)0.5p p ==于是可以列出转移概率矩阵:0.80.200000.50.50.50.500000.20.8p ⎛⎫ ⎪⎪= ⎪ ⎪⎝⎭状态图为:设各状态00,01,10,11的稳态分布概率为W 1,W 2,W 3,W 4 有411i i WP W W ==⎧⎪⎨=⎪⎩∑ 得 13113224324412340.80.50.20.50.50.20.50.81W W W W W W W W W W W W W W W W +=⎧⎪+=⎪⎪+=⎨⎪+=⎪+++=⎪⎩ 计算得到12345141717514W W W W ⎧=⎪⎪⎪=⎪⎨⎪=⎪⎪⎪=⎩同时掷出两个正常的骰子,也就是各面呈现的概率都为1/6,求:(1) “3和5同时出现”这事件的自信息; (2) “两个1同时出现”这事件的自信息; (3) 两个点数的各种组合(无序)对的熵和平均信息量;(4) 两个点数之和(即2, 3, … , 12构成的子集)的熵;(5) 两个点数中至少有一个是1的自信息量。
《信息论与编码(第二版)》曹雪虹答案第二章2.1一个马尔可夫信源有3个符号{}1,23,u u u ,转移概率为:()11|1/2p u u =,()21|1/2p u u =,()31|0p u u =,()12|1/3p u u =,()22|0p u u =,()32|2/3p u u =,()13|1/3p u u =,()23|2/3p u u =,()33|0p u u =,画出状态图并求出各符号稳态概率。
解:状态图如下状态转移矩阵为:1/21/201/302/31/32/30p ⎛⎫ ⎪= ⎪ ⎪⎝⎭设状态u 1,u 2,u 3稳定后的概率分别为W 1,W 2、W 3由1231WP W W W W =⎧⎨++=⎩得1231132231231112331223231W W W W W W W W W W W W ⎧++=⎪⎪⎪+=⎪⎨⎪=⎪⎪⎪++=⎩计算可得1231025925625W W W ⎧=⎪⎪⎪=⎨⎪⎪=⎪⎩ 2.2 由符号集{0,1}组成的二阶马尔可夫链,其转移概率为:(0|00)p =0.8,(0|11)p =0.2,(1|00)p =0.2,(1|11)p =0.8,(0|01)p =0.5,(0|10)p =0.5,(1|01)p =0.5,(1|10)p =0.5。
画出状态图,并计算各状态的稳态概率。
解:(0|00)(00|00)0.8p p == (0|01)(10|01)0.5p p ==(0|11)(10|11)0.2p p == (0|10)(00|10)0.5p p == (1|00)(01|00)0.2p p == (1|01)(11|01)0.5p p ==(1|11)(11|11)0.8p p == (1|10)(01|10)0.5p p == 于是可以列出转移概率矩阵:0.80.200000.50.50.50.500000.20.8p ⎛⎫ ⎪⎪= ⎪ ⎪⎝⎭状态图为:设各状态00,01,10,11的稳态分布概率为W 1,W 2,W 3,W 4 有411i i WP W W ==⎧⎪⎨=⎪⎩∑ 得 13113224324412340.80.50.20.50.50.20.50.81W W W W W W W W W W W W W W W W +=⎧⎪+=⎪⎪+=⎨⎪+=⎪+++=⎪⎩ 计算得到12345141717514W W W W ⎧=⎪⎪⎪=⎪⎨⎪=⎪⎪⎪=⎩2.3 同时掷出两个正常的骰子,也就是各面呈现的概率都为1/6,求: (1) “3和5同时出现”这事件的自信息; (2) “两个1同时出现”这事件的自信息;(3) 两个点数的各种组合(无序)对的熵和平均信息量; (4) 两个点数之和(即2, 3, … , 12构成的子集)的熵; (5) 两个点数中至少有一个是1的自信息量。
《信息论与编码(第二版)》曹雪虹答案第二章2.1一个马尔可夫信源有3个符号{}1,23,u u u ,转移概率为:()11|1/2p u u =,()21|1/2p u u =,()31|0p u u =,()12|1/3p u u =,()22|0p u u =,()32|2/3p u u =,()13|1/3p u u =,()23|2/3p u u =,()33|0p u u =,画出状态图并求出各符号稳态概率。
解:状态图如下状态转移矩阵为:1/21/201/302/31/32/30p ⎛⎫ ⎪= ⎪ ⎪⎝⎭设状态u 1,u 2,u 3稳定后的概率分别为W 1,W 2、W 3由1231WP W W W W =⎧⎨++=⎩得1231132231231112331223231W W W W W W W W W W W W ⎧++=⎪⎪⎪+=⎪⎨⎪=⎪⎪⎪++=⎩计算可得1231025925625W W W ⎧=⎪⎪⎪=⎨⎪⎪=⎪⎩ 2.2 由符号集{0,1}组成的二阶马尔可夫链,其转移概率为:(0|00)p =0.8,(0|11)p =0.2,(1|00)p =0.2,(1|11)p =0.8,(0|01)p =0.5,(0|10)p =0.5,(1|01)p =0.5,(1|10)p =0.5。
画出状态图,并计算各状态的稳态概率。
解:(0|00)(00|00)0.8p p == (0|01)(10|01)0.5p p ==(0|11)(10|11)0.2p p == (0|10)(00|10)0.5p p == (1|00)(01|00)0.2p p == (1|01)(11|01)0.5p p == (1|11)(11|11)0.8p p == (1|10)(01|10)0.5p p ==u 1u 2u 31/21/21/32/32/31/3于是可以列出转移概率矩阵:0.80.200000.50.50.50.500000.20.8p ⎛⎫ ⎪⎪= ⎪ ⎪⎝⎭状态图为:000110110.80.20.50.50.50.50.20.8设各状态00,01,10,11的稳态分布概率为W 1,W 2,W 3,W 4 有411i i WP W W ==⎧⎪⎨=⎪⎩∑ 得 13113224324412340.80.50.20.50.50.20.50.81W W W W W W W W W W W W W W W W +=⎧⎪+=⎪⎪+=⎨⎪+=⎪+++=⎪⎩ 计算得到12345141717514W W W W ⎧=⎪⎪⎪=⎪⎨⎪=⎪⎪⎪=⎩2.3 同时掷出两个正常的骰子,也就是各面呈现的概率都为1/6,求: (1) “3和5同时出现”这事件的自信息; (2) “两个1同时出现”这事件的自信息;(3) 两个点数的各种组合(无序)对的熵和平均信息量; (4) 两个点数之和(即2, 3, … , 12构成的子集)的熵; (5) 两个点数中至少有一个是1的自信息量。
《信息论与编码》-曹雪虹-课后习题答案 第二章2.1一个马尔可夫信源有3个符号{}1,23,u u u ,转移概率为:()11|1/2p u u =,()21|1/2p uu =,()31|0p u u =,()12|1/3p u u =,()22|0p u u =,()32|2/3p u u =,()13|1/3p u u =,()23|2/3p u u =,()33|0p u u =,画出状态图并求出各符号稳态概率。
解:状态图如下 状态转移矩阵为:设状态u 1,u 2,u 3稳定后的概率分别为W 1,W 2、W 3由1231WP W W W W =⎧⎨++=⎩得1231132231231112331223231W W W W W W W W W W W W ⎧++=⎪⎪⎪+=⎪⎨⎪=⎪⎪⎪++=⎩计算可得1231025925625W W W ⎧=⎪⎪⎪=⎨⎪⎪=⎪⎩ 2.2 由符号集{0,1}组成的二阶马尔可夫链,其转移概率为:(0|00)p =0.8,(0|11)p =0.2,(1|00)p =0.2,(1|11)p =0.8,(0|01)p =0.5,(0|10)p =0.5,(1|01)p =0.5,(1|10)p =0.5。
画出状态图,并计算各状态的稳态概率。
解:(0|00)(00|00)0.8p p == (0|01)(10|01)0.5p p ==于是可以列出转移概率矩阵:0.80.200000.50.50.50.500000.20.8p ⎛⎫ ⎪⎪= ⎪ ⎪⎝⎭状态图为:设各状态00,01,10,11的稳态分布概率为W 1,W 2,W 3,W 4 有411i i WP W W ==⎧⎪⎨=⎪⎩∑ 得 13113224324412340.80.50.20.50.50.20.50.81W W W W W W W W W W W W W W W W +=⎧⎪+=⎪⎪+=⎨⎪+=⎪+++=⎪⎩ 计算得到12345141717514W W W W ⎧=⎪⎪⎪=⎪⎨⎪=⎪⎪⎪=⎩2.3 同时掷出两个正常的骰子,也就是各面呈现的概率都为1/6,求:(1) “3和5同时出现”这事件的自信息; (2) “两个1同时出现”这事件的自信息; (3) 两个点数的各种组合(无序)对的熵和平均信息量;(4) 两个点数之和(即2, 3, … , 12构成的子集)的熵;(5) 两个点数中至少有一个是1的自信息量。
信息论与编码-曹雪虹-课后习题答案《信息论与编码》-曹雪虹-课后习题答案 第二章2.1一个马尔可夫信源有3个符号{}1,23,u u u ,转移概率为:()11|1/2p u u =,()21|1/2p uu =,()31|0p u u =,()12|1/3p u u =,()22|0p u u =,()32|2/3p u u =,()13|1/3p u u =,()23|2/3p u u =,()33|0p u u =,画出状态图并求出各符号稳态概率。
解:状态图如下状态转移矩阵为:1/21/201/302/31/32/30p ⎛⎫ ⎪= ⎪ ⎪⎝⎭设状态u 1,u 2,u 3稳定后的概率分别为W 1,W 2、W 3由1231WP W W W W =⎧⎨++=⎩得1231132231231112331223231W W W W W W W W W W W W ⎧++=⎪⎪⎪+=⎪⎨⎪=⎪⎪⎪++=⎩计算可得1231025925625W W W ⎧=⎪⎪⎪=⎨⎪⎪=⎪⎩2.2 由符号集{0,1}组成的二阶马尔可夫链,其转移概率为:(0|00)p =0.8,(0|11)p =0.2,(1|00)p =0.2,(1|11)p =0.8,(0|01)p =0.5,(0|10)p =0.5,(1|01)p =0.5,(1|10)p =0.5。
画出状态图,并计算各状态的稳态概率。
解:(0|00)(00|00)0.8p p == (0|01)(10|01)0.5p p ==(0|11)(10|11)0.2p p == (0|10)(00|10)0.5p p == (1|00)(01|00)0.2p p == (1|01)(11|01)0.5p p == (1|11)(11|11)0.8p p == (1|10)(01|10)0.5p p ==于是可以列出转移概率矩阵:0.80.200000.50.50.50.500000.20.8p ⎛⎫ ⎪⎪= ⎪ ⎪⎝⎭状态图为:设各状态00,01,10,11的稳态分布概率为W 1,W 2,W 3,W 4 有411i i WP W W ==⎧⎪⎨=⎪⎩∑ 得 13113224324412340.80.50.20.50.50.20.50.81W W W W W W W W W W W W W W W W +=⎧⎪+=⎪⎪+=⎨⎪+=⎪+++=⎪⎩ 计算得到12345141717514W W W W ⎧=⎪⎪⎪=⎪⎨⎪=⎪⎪⎪=⎩2.3 同时掷出两个正常的骰子,也就是各面呈现的概率都为1/6,求:(1) “3和5同时出现”这事件的自信息; (2) “两个1同时出现”这事件的自信息; (3) 两个点数的各种组合(无序)对的熵和平均信息量;(4) 两个点数之和(即2, 3, … , 12构成的子集)的熵;(5) 两个点数中至少有一个是1的自信息量。
《信息论与编码》-曹雪虹-课后习题答案 第二章一个马尔可夫信源有3个符号{}1,23,uu u ,转移概率为:()11|1/2p u u =,()21|1/2p u u =,()31|0p u u =,()12|1/3p u u =,()22|0p u u =,()32|2/3p u u =,()13|1/3p u u =,()23|2/3p u u =,()33|0p u u =,画出状态图并求出各符号稳态概率。
解:状态图如下状态转移矩阵为:1/21/201/302/31/32/30p ⎛⎫ ⎪= ⎪ ⎪⎝⎭设状态u 1,u 2,u 3稳定后的概率分别为W 1,W 2、W 3由1231WP W W W W =⎧⎨++=⎩得1231132231231112331223231W W W W W W W W W W W W ⎧++=⎪⎪⎪+=⎪⎨⎪=⎪⎪⎪++=⎩计算可得1231025925625W W W ⎧=⎪⎪⎪=⎨⎪⎪=⎪⎩由符号集{0,1}组成的二阶马尔可夫链,其转移概率为:(0|00)p =,(0|11)p =,(1|00)p =,(1|11)p =,(0|01)p =,(0|10)p =,(1|01)p =,(1|10)p =。
画出状态图,并计算各状态的稳态概率。
解:(0|00)(00|00)0.8p p == (0|01)(10|01)0.5p p ==(0|11)(10|11)0.2p p == (0|10)(00|10)0.5p p == (1|00)(01|00)0.2p p == (1|01)(11|01)0.5p p == (1|11)(11|11)0.8p p == (1|10)(01|10)0.5p p ==于是可以列出转移概率矩阵:0.80.200000.50.50.50.500000.20.8p ⎛⎫ ⎪⎪= ⎪ ⎪⎝⎭状态图为:设各状态00,01,10,11的稳态分布概率为W 1,W 2,W 3,W 4 有411i i WP W W ==⎧⎪⎨=⎪⎩∑ 得 13113224324412340.80.50.20.50.50.20.50.81W W W W W W W W W W W W W W W W +=⎧⎪+=⎪⎪+=⎨⎪+=⎪+++=⎪⎩ 计算得到12345141717514W W W W ⎧=⎪⎪⎪=⎪⎨⎪=⎪⎪⎪=⎩同时掷出两个正常的骰子,也就是各面呈现的概率都为1/6,求:(1) “3和5同时出现”这事件的自信息; (2) “两个1同时出现”这事件的自信息; (3) 两个点数的各种组合(无序)对的熵和平均信息量;(4) 两个点数之和(即2, 3, … , 12构成的子集)的熵;(5) 两个点数中至少有一个是1的自信息量。
《信息论与编码(第二版)》曹雪虹答案第二章一个马尔可夫信源有3个符号{}1,23,u u u ,转移概率为:()11|1/2p u u =,()21|1/2p u u =,()31|0p u u =,()12|1/3p u u =,()22|0p u u =,()32|2/3p u u =,()13|1/3p u u =,()23|2/3p u u =,()33|0p u u =,画出状态图并求出各符号稳态概率。
解:状态图如下状态转移矩阵为:1/21/201/302/31/32/30p ⎛⎫ ⎪= ⎪ ⎪⎝⎭设状态u 1,u 2,u 3稳定后的概率分别为W 1,W 2、W 3由1231WP W W W W =⎧⎨++=⎩得1231132231231112331223231W W W W W W W W W W W W ⎧++=⎪⎪⎪+=⎪⎨⎪=⎪⎪⎪++=⎩计算可得1231025925625W W W ⎧=⎪⎪⎪=⎨⎪⎪=⎪⎩ 由符号集{0,1}组成的二阶马尔可夫链,其转移概率为:(0|00)p =,(0|11)p =,(1|00)p =,(1|11)p =,(0|01)p =,(0|10)p =,(1|01)p =,(1|10)p =。
画出状态图,并计算各状态的稳态概率。
解:(0|00)(00|00)0.8p p == (0|01)(10|01)0.5p p ==(0|11)(10|11)0.2p p == (0|10)(00|10)0.5p p == (1|00)(01|00)0.2p p == (1|01)(11|01)0.5p p == (1|11)(11|11)0.8p p == (1|10)(01|10)0.5p p ==于是可以列出转移概率矩阵:0.80.200000.50.50.50.500000.20.8p ⎛⎫ ⎪⎪= ⎪ ⎪⎝⎭状态图为:设各状态00,01,10,11的稳态分布概率为W 1,W 2,W 3,W 4 有411i i WP W W ==⎧⎪⎨=⎪⎩∑ 得 13113224324412340.80.50.20.50.50.20.50.81W W W W W W W W W W W W W W W W +=⎧⎪+=⎪⎪+=⎨⎪+=⎪+++=⎪⎩ 计算得到12345141717514W W W W ⎧=⎪⎪⎪=⎪⎨⎪=⎪⎪⎪=⎩同时掷出两个正常的骰子,也就是各面呈现的概率都为1/6,求: (1) “3和5同时出现”这事件的自信息; (2) “两个1同时出现”这事件的自信息;(3) 两个点数的各种组合(无序)对的熵和平均信息量; (4) 两个点数之和(即2, 3, … , 12构成的子集)的熵; (5) 两个点数中至少有一个是1的自信息量。
《信息论与编码》-雪虹-课后习题答案第二章2.1一个马尔可夫信源有3个符号{}1,23,u u u ,转移概率为:()11|1/2p u u =,()21|1/2p uu =,()31|0p u u =,()12|1/3p u u =,()22|0p u u =,()32|2/3p u u =,()13|1/3p u u =,()23|2/3p u u =,()33|0p u u =,画出状态图并求出各符号稳态概率。
解:状态图如下状态转移矩阵为:1/21/201/302/31/32/30p ⎛⎫ ⎪= ⎪ ⎪⎝⎭设状态u 1,u 2,u 3稳定后的概率分别为W 1,W 2、W 3由1231WP W W W W =⎧⎨++=⎩得1231132231231112331223231W W W W W W W W W W W W ⎧++=⎪⎪⎪+=⎪⎨⎪=⎪⎪⎪++=⎩计算可得1231025925625W W W ⎧=⎪⎪⎪=⎨⎪⎪=⎪⎩2.2 由符号集{0,1}组成的二阶马尔可夫链,其转移概率为:(0|00)p =0.8,(0|11)p =0.2,(1|00)p =0.2,(1|11)p =0.8,(0|01)p =0.5,(0|10)p =0.5,(1|01)p =0.5,(1|10)p =0.5。
画出状态图,并计算各状态的稳态概率。
解:(0|00)(00|00)0.8p p == (0|01)(10|01)0.5p p ==(0|11)(10|11)0.2p p == (0|10)(00|10)0.5p p == (1|00)(01|00)0.2p p == (1|01)(11|01)0.5p p == (1|11)(11|11)0.8p p == (1|10)(01|10)0.5p p == 于是可以列出转移概率矩阵:0.80.200000.50.50.50.500000.20.8p ⎛⎫ ⎪⎪= ⎪ ⎪⎝⎭状态图为:设各状态00,01,10,11的稳态分布概率为W 1,W 2,W 3,W 4 有411i i WP W W ==⎧⎪⎨=⎪⎩∑ 得 13113224324412340.80.50.20.50.50.20.50.81W W W W W W W W W W W W W W W W +=⎧⎪+=⎪⎪+=⎨⎪+=⎪+++=⎪⎩ 计算得到12345141717514W W W W ⎧=⎪⎪⎪=⎪⎨⎪=⎪⎪⎪=⎩2.3 同时掷出两个正常的骰子,也就是各面呈现的概率都为1/6,求:(1) “3和5同时出现”这事件的自信息; (2) “两个1同时出现”这事件的自信息; (3) 两个点数的各种组合(无序)对的熵和平均信息量;(4) 两个点数之和(即2, 3, … , 12构成的子集)的熵;(5) 两个点数中至少有一个是1的自信息量。