浙江省数学高三上学期理数第一次月考试卷
- 格式:doc
- 大小:1.79 MB
- 文档页数:22
一、选择题:本大题共10小题,每小题5分,共50分,在每小题给出的四个选项中,只有一项是符合题目要求的。
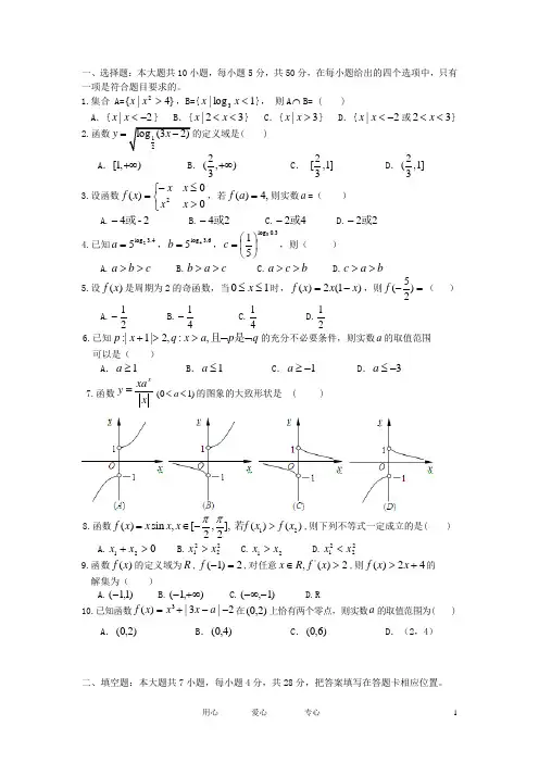
1.集合 A=}4|{2>x x ,B={1log |3<x x }, 则A ⋂B= ( )A .{2|-<x x }B .{|23x x <<}C .{|3x x >}D .{2|-<x x 或23x <<} 2.函数12log (32)y x =-的定义域是( )A .[1,)+∞B .2(,)3+∞C . 2[,1]3D .2(,1]33.设函数⎩⎨⎧>≤-=00)(2x xx x x f ,若,4)(=a f 则实数a =( ) A.2-4或- B.24或- C.42或- D.22或-4.已知4.3log 25=a ,6.3log 45=b ,3.0log 351⎪⎭⎫⎝⎛=c ,则( )A.c b a >>B.c a b >>C.b c a >>D.b a c >>5.设)(x f 是周期为2的奇函数,当10≤≤x 时,)1(2)(x x x f -=,则=-)25(f ( )A.21-B.41- C.41 D.216.已知q p a x q x p ⌝⌝>>+是且,:,2|1:|的充分不必要条件,则实数a 的取值范围可以是( ) A .1≥aB .1≤aC .1-≥aD .3-≤a7.函数xxa y x=(01)a <<的图象的大致形状是 ( )8.函数()sin ,[,],22f x x x x ππ=∈-12()()f x f x >若,则下列不等式一定成立的是( ) A.021>+x x B.2221x x > C.21x x > D.2221x x <9.函数)(x f 的定义域为R ,2)1(=-f ,对任意2)(,'>∈x f R x ,则42)(+>x x f 的解集为( )A.)1,1(-B.),1(+∞-C.)1,(--∞D.R10.已知函数2|3|)(3--+=a x x x f 在)2,0(上恰有两个零点,则实数a 的取值范围为( )A .)2,0(B .)4,0(C .)6,0(D .(2,4)二、填空题:本大题共7小题,每小题4分,共28分,把答案填写在答题卡相应位置。
杭州高级中学高三第一次月考数学试题(理科)说明: 1.本试卷满分为150分; 2.考试时间为120分钟,考试过程中不得使用计算器; 3.所有题目均做在答题卷上.一、选择题(本大题共10小题,每小题5 分,共50分):1.若集合{}2,1m A =,{}4,2=B ,则“2=m ”是“{}4=B A ”的 ( )A .充分不必要条件.B .必要不充分条件.C .充要条件.D .既不充分也不必要条件.2.函数()2()3log 6f x x x =+-的定义域是 ( )A .{}|6x x >B .{}|36x x -<<C .{}|3x x >-D .{}|36x x -<≤3.已知函数⎩⎨⎧=x x x f 2log )(2 )0()0(≤>x x若21)(=a f ,则a =( )A .1-B 2C .1-2D .1或2- 4.函数)23(log )(221+-=x x x f 的值域是( )A .),2()1,(+∞-∞B .(1,2)C .RD .[2,)+∞ 5.已知1>a ,10<<<y x ,则下列关系式中正确的是 ( )A .y x a a >B .a a y x >C .y x a a log log >D .a a y x log log >6. 当0x <时,()2211f x x x x x=+--最小值为 ( )A .94-B .0C .2D .47.函数)10(||<<=a x xa y x的图象的大致形状是 ( )8.已知函数)3(log )(22a ax x x f +-=在[2,+∞)上是增函数,则a 的取值范围是( )A .(]4,∞-B .(]2,∞-C .(]4,4-D .(]2,4-9.已知定义在R 上的偶函数)(x f ,满足)4()(x f x f --=,且当)4,2[∈x 时,)1(log )(2-=x x f ,则)2011()2010(f f +的值为( )A .2-B .1-C .1D .210.设函数()()21xf x x x =∈+R ,区间[](),M a b a b =<其中,集合(){},N y y f x x M ==∈,则使M N =成立的实数对(),a b 有 ( )A .1个B .3个C .2个D .0个二、填空题(本大题共7小题,每小题4 分,共28分): 11.已知函数11)(+-=x x x f ,则)1()(xf x f += 12.若定义运算⎩⎨⎧=b a b a * )()(b a b a ≥<,则函数x x x f -=3*3)(的值域是13.已知3()|log |f x x =,若()(2)f a f >,则a 的取值范围是 14.函数⎪⎩⎪⎨⎧--+=2)21(1|)1lg(|)(x x x f )1()1(-≤->x x ,则函数的零点的个数有 个15.定义区间)](,[2121x x x x <的长度为12x x -,已知函数|log |)(21x x f =的定义域为],[b a ,值域为]2,0[,则区间],[b a 的长度的最大值与最小值的差为16.已知a a xx e e e e x f ----=)(,若函数)(x f 在R 上是减函数,则实数a 的取值范围是17.设R b a ∈,,且2≠a ,若定义在区间),(b b -内的函数xaxx f 211lg)(++=是奇函数,则b a +的取值范围是三、解答题(本大题共72分,解答应写出文字说明,证明过程或演算步骤):18.(本题满分14分) 已知命题P :函数log (12)a y x =-在定义域上单调递增;命题Q :不等式2(2)2(2)40a x a x -+--<对任意实数x 恒成立.若Q P ∨是真命题,求实数a 的取值范围19.(本题满分14分)已知函数.(1) 求函数的定义域,并求)20101()20101(-+f f 的值 (2) 若11<<-a ,当],[a a x -∈时, )(x f 是否存在最小值, 若存在, 求出最小值; 若不存在, 请说明理由.20.(本题满分14分)已知函数)2lg()(-+=xax x f ,其中a 是大于0的常数 (1) 求函数)(x f 的定义域;(2) 当)4,1(∈a 时,求函数)(x f 在[2,)+∞上的最小值; (3) 若对任意),2[+∞∈x 恒有0)(>x f ,试确定a 的取值范围21.(本题满分15分)已知函数kx x f x ++=)14(log )(4)(R k ∈是偶函数. (1) 求k 的值;(2) 设)342(log )(4a a x g x -⋅=,若函数)(x f 与)(x g 的图象有且只有一个公共点,求实数a 的取值范围.22.(本题满分15分)已知函数21()22f x ax x =+,()g x lnx =. (1)如果函数()y f x =在[1,)+∞上是单调增函数,求a 的取值范围;(2)是否存在实数0a >,使得方程()()(21)g x f x a x '=-+在区间1(,)e e内有且只有两个不相等的实数根?若存在,请求出a 的取值范围;若不存在,请说明理由.参考答案一、选择题(本大题共10小题,每小题5 分,共50分):题号 1 2 3 4 5 6 7 8 9 10 答案ADCCDDDCCB二、填空题(本大题共7小题,每小题4 分,共28分): 11.0 ; 12.(0,1] 13.1(0,)(2,)2+∞ ;14.3 15.3; 16.0<a17.]23,2(--三、解答题(本大题共72分,解答应写出文字说明,证明过程或演算步骤): 18.(本题满分14分) 解:∵命题P :函数log (12)a y x =-在定义域上单调递增;∴10<<a ……………………………………………………………………(3分)又∵命题Q :不等式2(2)2(2)40a x a x -+--<对任意实数x 恒成立;∴2=a ………………………………………………………………………(2分) 或⎩⎨⎧<-+-=∆<-0)2(16)2(4022a a a , ………………………………………(3分) 即:22≤<-a ……………………………………………………………(1分)∵Q P ∨是真命题,∴a 的取值范围是22≤<-a ………………………(5分)19.(本题满分14分) 解:(1) 由011>+-xx得11<<-x ,∴函数)(x f 的定义域是)1,1(-…………(3分) ∵)(11ln 11ln )(x f xxx x x x x f -=+--=-++=-,∴)(x f 是奇函数 ∴)20101()20101(-+f f =0………………………………………(3分) (若直接代入计算也给分)(2) ∵013121)(222<--=---='x x x x f 对11<<-x 恒成立∴)(x f 在)1,1(-上是减函数………………………………(5分)∴aaa a f x f -++-==11ln)()(min …………………………(3分) 20.(本题满分14分) 解:(1) 由02>-+xax 得,022>+-x a x x解得:1>a 时,定义域为),0(+∞………………………………2分 1=a 时,定义域为0|{>x x 且}1≠x …………………1分10<<a 时,定义域为a x x --<<110|{或a x -+>11}……2分(2) 设2)(-+=xax x g ,当)4,1(∈a ,),2[+∞∈x 时 则01)(222>-=-='x a x x a x g 恒成立,∴2)(-+=x ax x g 在),2[+∞上是增函数∴)2lg()(-+=xax x f 在),2[+∞上是增函数…………………………3分∴)2lg()(-+=x a x x f 在),2[+∞上的最小值为2lg )2(af =……………2分 (3) 对任意),2[+∞∈x 恒有0)(>x f , 即:12>-+xax 对),2[+∞∈x 恒成立 ∴ 23x x a ->,而49)23(3)(22+--=-=x x x x h 在),2[+∞∈x 上是减函数∴2)2()(max ==h x h ,∴2>a ……………………………………5分21.(本题满分15分)解:(1) ∵ 函数kx x f x ++=)14(log )(4)(R k ∈是偶函数∴ kx kx x f x xx-+=-+=--)441(log )14(log )(44kx x k x x ++=+-+=)14(log )1()14(log 44恒成立∴ k k =+-)1(,则21-=k ………………………………………5分(2) )342(log )(4a a x g x -⋅=,函数)(x f 与)(x g 的图象有且只有一个公共点,即 方程)()(x g x f =只有一个解 由已知得:)342(log 21)14(log 44a a x x x -⋅=-+∴ )342(log 214log 44a a xx x -⋅=+方程等价于:⎪⎪⎩⎪⎪⎨⎧-⋅=+>-⋅a a a a x xx x3422140342 设t x =2)0(>t ,则0134)1(2=---at t a 有一解若01>-a ,设134)1()(2---=at t a x h ,∵01)0(<-=h ,∴恰好有一正解∴ 1>a 满足题意若01=-a ,即1=a 时,不满足题意若01<-a ,即1<a 时,由0)1(4)34(2=-+-=∆a a ,得3-=a 或43=a当3-=a 时,21=t 满足题意 当43=a 时,2-=t (舍去)综上所述:实数a 的取值范围是}31|{-=>a a a 或……………………10分22.(本题满分15分) 解:(1) 当0a =时,()2f x x =在[1,)+∞上是单调增函数,符合题意. 当0a >时,()y f x =的对称轴方程为2x a=-, 由于()y f x =在[1,)+∞上是单调增函数,所以21a-≤,解得2a ≤-或0a >,所以0a >. 当0a <时,不符合题意.综上,a 的取值范围是0a ≥.……5分(2)把方程()()(21)g x f x a x '=-+整理为2(21)lnxax a x=+-+,即为方程2(12)0ax a x lnx +--=. 设2()(12)H x ax a x lnx =+-- (0)x >,原方程在区间(1,e e)内有且只有两个不相等的实数根, 即为函数()H x 在区间(1,e e )内有且只有两个零点. 1()2(12)H x ax a x'=+-- 22(12)1(21)(1)ax a x ax x x x+--+-==令()0H x '=,因为0a >,解得1x =或12x a=-(舍) 当(0,1)x ∈时, ()0H x '<, ()H x 是减函数; 当(1,)x ∈+∞时, ()0H x '>,()H x 是增函数.()H x 在(1,e e)内有且只有两个不相等的零点, 只需min 1()0,()0,()0,H e H x H e ⎧>⎪⎪<⎨⎪>⎪⎩⇒ 1212-+<<e e e a ……………………10分。
浙江省杭州市数学高三理数第一次联考试卷试卷(1月份)姓名:________ 班级:________ 成绩:________一、单选题 (共12题;共24分)1. (2分)设全集U={1,2,3,4,5,6,7,8},集合A={1,2,3,5},B={2,4,6},则图中的阴影部分表示的集合为()A . {2}B . {4,6}C . {1,3,5}D . {4,6,7,8}2. (2分) (2017高二下·临川期末) 在复平面内,复数z = 对应的点位于()A . 第一象限B . 第二象限C . 第三象限D . 第四象限3. (2分)(2018·河北模拟) 抛物线的准线交轴于点,过点的直线交抛物线于两点,为抛物线的焦点,若,则直线的斜率为()A . 2B .C .D .4. (2分)有四个游戏盘,将它们水平放稳后,在上面扔一颗玻璃小球,若小球落在阴影部分,则可中奖,小明要想增加中奖机会,应选择的游戏盘是()A .B .C .D .5. (2分)(2018·保定模拟) 已知向量,向量,函数,则下列说法正确的是()A . 是奇函数B . 的一条对称轴为直线C . 的最小正周期为D . 在上为减函数6. (2分)已知三棱锥的底面是边长为的正三角形,其正视图与俯视图如图所示,则其侧视图的面积为()A .B .C .D .7. (2分)程序框图是算法思想的重要表现形式,程序框图中不含()A . 流程线B . 判断框C . 循环框D . 执行框8. (2分) (2018高一下·黑龙江期末) 如图,在四棱锥中,底面为正方形,且,其中,,分别是,,的中点,动点在线段上运动时,下列四个结论:① ;② ;③ 面;④ 面 .其中恒成立的为()A . ①③B . ③④C . ①④D . ②③9. (2分) (2015高三上·枣庄期末) 已知实数x,y满足,则x+y的最小值为()A . 2B . 3C . 4D . 510. (2分) (2018高二上·佛山期末) 已知双曲线,以原点为圆心,双曲线的实半轴长为半径的圆与双曲线的两条渐近线相交于四点,四边形的面积为,则双曲线的离心率为()A .B . 2C .D . 411. (2分) (2016高二下·南城期末) 设命题p:“若ex>1,则x>0”,命题q:“若|x﹣3|>1,则x>4”,则()A . “p∧q”为真命题B . “p∨q”为真命题C . “¬p”为真命题D . 以上都不对12. (2分)已知对任意的x∈(0,1)都成立,则实数a的最小值为()A . ﹣eB . ﹣eln2C .D .二、填空题 (共4题;共4分)13. (1分)的二项展开式中常数项是________.(用数字作答)14. (1分) (2016高二下·佛山期末) 已知向量夹角为45°,且,则=________.15. (1分)有五条线段,长度分别为1,3,5,7,9,从中任意取三条,一定能构成三角形的概率是________16. (1分) (2019高二下·临川月考) 已知数列的通项公式为,数列的通项公式为,若数列递增,则的取值范围是________.三、解答题 (共7题;共75分)17. (10分)(2018·如皋模拟) 在某城市街道上一侧路边边缘某处安装路灯,路宽为米,灯杆长4米,且与灯柱成角,路灯采用可旋转灯口方向的锥形灯罩,灯罩轴线与灯的边缘光线(如图, )都成角,当灯罩轴线与灯杆垂直时,灯罩轴线正好通过的中点.(1)求灯柱的高为多少米;(2)设,且,求灯所照射路面宽度的最小值.18. (10分)(2020·河南模拟) 如图,在三棱锥中, 是等边三角形,,点是的中点,连接.(1)证明:平面平面 ;(2)若 ,且二面角为 ,求直线与平面所成角的正弦值.19. (10分) (2018高二下·中山月考) 我校的课外综合实践研究小组欲研究昼夜温差大小与患感冒人数多少之间的关系,他们分别到市气象观测站与市博爱医院抄录了1至6月份每月10号的昼夜温差情况与因患感冒而就诊的人数,得到如下资料:日期1月10日2月10日3月10日4月10日5月10日6月10日昼夜温差(°C)1011131286就诊人数(个)222529261612该综合实践研究小组确定的研究方案是:先从这六组数据中选取2组,用剩下的4组数据求线性回归方程,再用被选取的2组数据进行检验.参考数据:;.参考公式:回归直线,其中 .(1)若选取的是1月与6月的两组数据,请根据2至5月份的数据,求出关于的线性回归方程.(2)若由线性回归方程得到的估计数据与所选出的检验数据的误差均不超过2人,则认为得到的线性回归方程是理想的,试问该小组所得线性回归方程是否理想?20. (15分)(2017·上海) 在平面直角坐标系xOy中,已知椭圆Γ: =1,A为Γ的上顶点,P为Γ上异于上、下顶点的动点,M为x正半轴上的动点.(1)若P在第一象限,且|OP|= ,求P的坐标;(2)设P(),若以A、P、M为顶点的三角形是直角三角形,求M的横坐标;(3)若|MA|=|MP|,直线AQ与Γ交于另一点C,且,,求直线AQ的方程.21. (15分) (2017高二下·溧水期末) 定义在区间[﹣2,t](t>﹣2)上的函数f(x)=(x2﹣3x+3)ex (其中e为自然对数的底).(1)当t>1时,求函数y=f(x)的单调区间;(2)设m=f(﹣2),n=f(t),求证:m<n;(3)设g(x)=f(x)+(x﹣2)ex,当x>1时,试判断方程g(x)=x的根的个数.22. (5分)在平面直角坐标系xOy中,直线m的参数方程为(t为参数);在以O为极点、射线Ox为极轴的极坐标系中,曲线C的极坐标方程为ρsin2θ=8cosθ.若直线m与曲线C交于A、B两点,求线段AB的长.23. (10分)(2017·湖北模拟) 已知函数f(x)=|x﹣2a|+|x+ |(1)当a=1时,求不等式f(x)>4的解集;(2)若不等式f(x)≥m2﹣m+2 对任意实数x及a恒成立,求实数m的取值范围.参考答案一、单选题 (共12题;共24分)1-1、2-1、3-1、4-1、5-1、6-1、7-1、8-1、9-1、10-1、11-1、12-1、二、填空题 (共4题;共4分)13-1、14-1、15-1、16-1、三、解答题 (共7题;共75分) 17-1、17-2、18-1、18-2、19-1、19-2、20-1、20-2、20-3、21-1、21-2、21-3、22-1、23-1、23-2、。
浙江省杭州市高三数学第一次月考试题 理 新人教A 版一、选择题:本大题共10小题,每小题5分,共50分,在每小题给出的四个选项中,只有一项是符合题目要求的。
1.集合 A=}4|{2>x x ,B={1log |3<x x }, 则A ⋂B= ( )A .{2|-<x x }B .{|23x x <<}C .{|3x x >}D .{2|-<x x 或23x <<} 2.函数12log (32)y x =-的定义域是( )A .[1,)+∞B .2(,)3+∞C . 2[,1]3D .2(,1]33.设函数⎩⎨⎧>≤-=00)(2x x x x x f ,若,4)(=a f 则实数a =( ) A.2-4或- B.24或- C.42或- D.22或-4.已知4.3log 25=a ,6.3log 45=b ,3.0log 351⎪⎭⎫ ⎝⎛=c ,则( )A.c b a >>B.c a b >>C.b c a >>D.b a c >>5.设)(x f 是周期为2的奇函数,当10≤≤x 时,)1(2)(x x x f -=,则=-)25(f ( )A.21-B.41-C.41D.21 6.已知q p a x q x p ⌝⌝>>+是且,:,2|1:|的充分不必要条件,则实数a 的取值范围可以是( ) A .1≥aB .1≤aC .1-≥aD .3-≤a7.函数xxa y x=(01)a <<的图象的大致形状是 ( )8.函数()sin ,[,],22f x x x x ππ=∈-12()()f x f x >若,则下列不等式一定成立的是( ) A.021>+x x B.2221x x > C.21x x > D.2221x x <9.函数)(x f 的定义域为R ,2)1(=-f ,对任意2)(,'>∈x f R x ,则42)(+>x x f 的解集为( )A.)1,1(-B.),1(+∞-C.)1,(--∞D.R10.已知函数2|3|)(3--+=a x x x f 在)2,0(上恰有两个零点,则实数a 的取值范围为( ) A .)2,0( B .)4,0( C .)6,0( D .(2,4)二、填空题:本大题共7小题,每小题4分,共28分,把答案填写在答题卡相应位置。
高三第一次月考数学试卷(理科)注意事项:1.本试卷考试时间为120分钟,满分为150分,不得使用计算器; 2.答案一律做在答卷页上.第I 卷 (选择题,共50分)一、选择题:本大题共10小题,每小题5分,共50分,在每小题给出的四个选项中,只有一项是符合题目要求的。
1.集合 A=}4|{2>x x ,B={1log |3<x x }, 则A ⋂B= ( )A .{2|-<x x }B .{|23x x <<}C .{|3x x >}D .{2|-<x x 或23x <<} 2. 下列函数中,既是偶函数又在()+∞,0单调递增的函数是( )A.3x y =B.1+=x yC.13+-=x yD.xy -=23. 设函数⎩⎨⎧>≤-=00)(2x xx x x f ,若,4)(=a f 则实数a =( ) A.2-4或- B.24或- C.42或- D.22或-4. 已知4.3log 25=a ,6.3log 45=b ,3.0log 351⎪⎭⎫⎝⎛=c ,则( )A.c b a >>B.c a b >>C.b c a >>D.b a c >>5. 设)(x f 是周期为2的奇函数,当10≤≤x 时,)1(2)(x x x f -=,则=-)25(f ( )A.21-B.41- C.41 D.216.右图是函数32()f x x bx cx d =+++图象,则函数2233c y x bx =++的单调递增区间为( )A.]2,(--∞B.),3[+∞C.]3,2[-D.),2[+∞7.已知q p a x q x p ⌝⌝>>+是且,:,2|1:|的充分不必要条件,则实数a 的取值范围 可以是( ) A .1≥a B .1≤a C .1-≥a D .3-≤a 8.函数()sin ,[,],22f x x x x ππ=∈-12()()f x f x >若,则下列不等式一定成立的是( )A.021>+x xB.2221x x >C.21x x >D.2221x x <9.函数)(x f 的定义域为R ,2)1(=-f ,对任意2)(,'>∈x f R x ,则42)(+>x x f 的解集为( )A.)1,1(-B.),1(+∞-C.)1,(--∞D.R10.设集合{}x x f x M ==)(,集合{}x x f f x =))((,若已知函数)(x f y =是R 上的增函数,记N M ,是N M ,中元素的个数,则下列判断一定正确的是( ) A.N M = B.N M > C.N M < D.1=-N M第Ⅱ卷(非选择题 共100分)二、填空题:本大题共7小题,每小题4分,共28分,把答案填写在答题卡相应位置。
绝密★启用前数学试题学校:___________姓名:___________班级:___________考号:___________注意事项:1、答题前填写好自己的姓名、班级、考号等信息 2、请将答案正确填写在答题卡上本试卷分选择题和非选择题两部分.满分150分,考试时间120分钟. 参考公式:如果事件B A ,互斥,那么 柱体的体积公式)()()(B P A P B A P +=+; V Sh =如果事件B A ,相互独立,那么 椎体的体积公式)()()(B P A P B A P ⋅=⋅; 13V Sh =如果事件A 在一次试验中发生的概率是P ,那么 球的表面积公式n 次独立重复试验中事件A 恰好发生k 次的概率 24S R π=kn k kn n P P C k P --=)1()((k = 0,1,…,n). 球的体积公式台体的体积公式 343V R π=1(+3V h S S =+下上选择题部分(共40分)一、 选择题 : 本大题共10小题, 每小题4分, 共40分. 在每小题给出的四个选项中, 只有一项是符合题目要求的.1. 设集合则},2,1,2{},2,1{},2,1,0,1,2{--==--=B A U ()U A C B =U ( )A. {1}B. {1,2}C. {2}D. {0,1,2} 2. 复数)31(i i z -=的虚部是 ( )A. -1B. 1C. iD. 33. 双曲线2213x y -=的离心率是 ( )A.3C. 2D.34. 若变量x 、y 满足约束条件6321x y x y x +≤⎧⎪-≤⎨⎪≥⎩,则23z x y =+的最大值为 ( )A. 17B. 13C. 5D. 1 5. 下列函数为偶函数的是 ( )A .cos sin y x x =+B .cos sin y x x =⋅C .xxy e e -=- D .xxy e e -=+6. 设等差数列{}n a 的前n 项和为n S ,则670a a +>是93S S ≥的( )A .充分但不必要条件B .必要但不充分条件C .充要条件D .既不充分也不必要条件7. 函数sin 2cos 2y x x =+的图像可由函数sin 2y a x =的图像向左平移b 个单位得到,则有序数对(,)a b 的取值可以是( ) A 、(1,)8πB、)4πC、()8πD、5()8π 8 . 已知向量a ,b ,c 满足|a |=|b |=a •b =2,(a -c )•(b -2c )=0,则|b -c |的最小值为( )ABCD9. 等腰直角ABC V 斜边CB 上一点P 满足14CP CB ≤,将CAP V 沿着AP 翻折至C AP '∆,使二面角C AP B '--为60°,记直线,,C A C B C P '''与平面APB 所成角分别为,,αβγ,则( ) A 、αβγ<<B 、αγβ<<C 、βαγ<<D 、γαβ<<10. 设f (x )是定义在(0,)+∞上的单调增函数,且对任意的正数x ,都有1(())f f x x+1()f x =, 则f (1) = ( ) (A)12 (B)12+ (C)12 (D)12+ 非选择题部分(共110分)二、填空题:本大题共7个小题,多空题每题6分,单空题每题4分,共36分. 11. 一个几何体的三视图如图所示,则这个几何体的体积等于__,表面积等于 ___(第11题图) 12. 随机变量ξ的分布列如下:ξ 1- 0 1Pabc其中a b c ,,成等差数列,若3E ξ=,则D ξ的值是 . 13、设函数()31,1,2,1xx x f x x -<⎧=⎨≥⎩则8(log 9)f =_________,满足()()2f f a ≥的a 取值范围是_______14、在ABC ∆中,角,,A B C 所对应的边分别为,,a b c ,其中222a bc c b =-+且321+=b c ,则A ∠__,=▲B tan __.=▲ 15、已知1021001210(1)(1)(1)(1),x a a x a x a x +=+-+-++-L 则08__,__a a ==▲▲.16、设6,,1≤≤z y x ,且自然数x ,y ,z 的乘积能被10整除,则有序自然数组(,,)x y z 共有 组.17、正项递增数列{}n a 满足*121()n n na a n N a +=+-∈,则首项1a 的取值范围为____ 三、简答题:本大题共5小题,共74分.解答应写出文字说明、证明过程和演算步骤. 18.(本小题14分)已知函数22sin c ()2cos os x x x x f +=(x R ∈). (Ⅰ)求()f x 的最小正周期,并求()f x 的最小值.(Ⅱ)令π()18g x f x ⎛⎫=+- ⎪⎝⎭,若()2g x a <-对于[,]63x ππ∈-恒成立,求实数a 的取值范围.19. (本小题15分)如图,直三棱柱111C B A ABC -中,121AA BC AC ==,D 是棱1AA的中点,BD DC ⊥1 (Ⅰ) 证明:BC DC ⊥1(Ⅱ) 求二面角11C BD A --的大小.20. (本小题15分)设n S 是数列{}n a 的前n 项和,11=a ,)2(212≥⎪⎭⎫⎝⎛-=n S a S n n n . ⑴求{}n S 及{}n a 的通项; ⑵设22n n S b n =+,若数列{}n b 的前n 项和为n T ,证明12n T <;21. (本小题15分)已知抛物线C :2x y =.过点)5,1(M 的直线l 交C 于A ,B 两点,抛物线C 在点A 处的切线与在点B 处的切线交于P .(Ⅰ)求抛物线C 的焦点坐标及准线方程; (Ⅱ) 求PAB ∆面积的最小值.22. (本小题15分)已知函数121()(1)(0)2x f x f ef x x -'=-+.(Ⅰ) 求)(x f 的解析式及单调区间;(Ⅱ) 若b ax x x f ++≥221)(,求b a )1(+的最大值数学试题参考答案及评分标准 一、 选择题 : 本大题共10小题, 每小题4分, 共40分. 在每小题给出的四个选项中, 只有一项是符合题目要求的.二、填空题:本大题共7个小题,多空题每题6分,单空题每题4分,共36分.11. 12.5923a ≥ 14. 132π, 15. 1024,180 16. 72 17. 112a <<三、简答题:本大题共5小题,共74分.解答应写出文字说明、证明过程和演算步骤.18、解(Ⅰ)()sin 2cos 21214f x x x x π⎛⎫=++=++ ⎪⎝⎭, …..3分其最小正周期是22T ππ==, …..5分 又当2242x k πππ+=-+,即()38x k k Z ππ=-∈时,sin 24x π⎛⎫+ ⎪⎝⎭取得最小值1-,所以函数()x f 的最小值是1x 的集合为3|,8x x k k Z ππ⎧⎫=-∈⎨⎬⎩⎭. ….. 7分(Ⅱ)ππ()12()228842g x f x x x x ππ⎛⎫⎛⎫⎛⎫=+-=++=+= ⎪ ⎪ ⎪⎝⎭⎝⎭⎝⎭….. 9分由[,]63x ππ∈-,得22[,]33x ππ∈-,则1cos 2[,1]2x ∈-, ….. 11分()2[2g x x ∴=∈-, ….. 12分若()2g x a <-对于[,]63x ππ∈-恒成立,则max 2()2a g x a ->=> ….. 15分 19、解(Ⅰ) 证明:设112AC BC AA a ===, Q 直三棱柱111C B A ABC -,1DC DC ∴==, 12CC a =,22211DC DC CC ∴+=,1DC DC ∴⊥. …..3分又1DC BD ⊥,1DC DC D =I ,1DC ∴⊥平面BDC . 又BC ⊂平面BDC ,1DC BC ∴⊥. …..7分(Ⅱ)由 (Ⅰ)知,1DC =,1BC =,又已知BD DC ⊥1,BD ∴=.在Rt ABD △中,,,90BD AD a DAB ==∠=o ,AB ∴=.222AC BC AB ∴+=,AC BC ∴⊥. …..9分法一:取11A B 的中点E ,则易证1C E ⊥平面1BDA ,连结DE ,则1C E ⊥BD ,已知BD DC ⊥1,BD ∴⊥平面1DC E ,BD ∴⊥DE ,1C DE ∴∠是二面角11C BD A --平面角. …..11分在1Rt C DE △中,1111sin 2C EC DE C D∠===,130C DE ∴∠=o .即二面角11C BD A --的大小为30o. …..15分法二:以点C 为坐标原点,为x 轴,CB 为y 轴,1CC 为z 轴,建立空间直角坐标系C xyz -.则()()()()11,0,2,0,,0,,0,,0,0,2A a a B aD a a C a . …..9分()()1,,,,0,DB a a a DC a a =--=-u u u r u u u u r ,设平面1DBC 的法向量为()1111,,n x y z =u r,则11111100n DB ax ay az n DC ax az ⎧=-+-=⎪⎨=-+=⎪⎩r u u u r g r u u u u r g ,不妨令11x =,得112,1y z ==,故可取()11,2,1n =u r.同理,可求得平面1DBA 的一个法向量()21,1,0n =u u r. …..12分设1n u r 与2n u u r 的夹角为θ,则1212cos n n n n θ⋅===u r u u ru r u u r 30θ∴=o. 由图可知, 二面角的大小为锐角,故二面角11C BD A --的大小为30o. ....15分1211(2)11()()()22n n n nn n n n n a S S n S a S S S S --=-≥∴=-=--Q 20、解()由题意2111122n n n n n S S S S S --=--+ …..3分 化简得:1121n n n S S S --=+1112n n S S -∴=+ 即1{}n S 是公差为2 的等差数列,又11111S a ==, *1121,()21n n n S n N S n ∴=-=∈- …..6分 111,1,111,2,22123n n n n a n a S S n n n n -=⎧=⎧⎪∴==⎨⎨-≥-≥⎩⎪--⎩, …..8分 (2)11111()22(21)(22)(21)(21)22121n n S b n n n n n n n ==<=-+-+-+-+ …..12分12111...(1)2212n n T b b b n ∴=+++<-<+ …..15分(其他证明可酌情给分)21、解: (Ⅰ)(0,14) ,直线14y =-; …..4分 (Ⅱ)16设直线l 的方程为y =k (x -1)+5,设点A (x 1,y 1),B (x 2,y 2).由⎩⎨⎧=+-=25)1(xy x k y ,消去y 整理得 x 2-kx +k -5=0,x 1+x 2=k , x 1x 2=k -5,又因为y ′=(x 2) ′=2x ,所以,抛物线y =x 2在点A ,B 处的切线方程分别为y =2x 1x -21x , y =2x 2x -22x .得两切线的交点P (2k,k -5). ….8分 所以点P 到直线l 的距离为1220422++-=k k k d . ….10分又因为|AB |204122+-+k k k .….12分设△PAB 的面积为S ,所以S =12|AB |·d =32)16)2((41+-k ≥16(当k =2时取到等号).所以△PAB 面积的最小值为16. ….15分22、解: (Ⅰ) 1()(1)(0)x f x f ef x -''=-+, ....1分令1x =得,(0)1f =, 再由121()(1)(0)2x f x f ef x x -'=-+,令0x =得()1f e '=.所以)(x f 的解析式为21()2xf x e x x =-+. ....3分 ()1x f x e x '=-+,易知()1x f x e x '=-+是R 上的增函数,且(0)0f '=.所以()00,()00,f x x f x x ''>⇔><⇔<所以函数)(x f 的增区间为()0,+∞,减区间为(),0-∞. ....6分 (Ⅱ) 若b ax x x f ++≥221)(恒成立, 即()()21()102x h x f x x ax b e a x b =---=-+-≥恒成立, ()()1x h x e a '=-+Q ,(1)当10a +<时,()0h x '>恒成立, ()h x 为R 上的增函数,且当x →-∞时,()h x →-∞,不合题意;(2)当10a +=时,()0h x >恒成立, 则0b ≤,(1)0a b +=; ....8分 (3)当10a +>时, ()()1xh x e a '=-+为增函数,由()0h x '=得()ln 1x a =+,故()()()0ln 1,()0ln 1,f x x a f x x a ''>⇔>+<⇔<+当()ln 1x a =+时, ()h x 取最小值()()()()ln 111ln 1h a a a a b +=+-++-. ....10分 依题意有()()()()ln 111ln 10h a a a a b +=+-++-≥, 即()()11ln 1b a a a ≤+-++,10a +>Q ,()()()()22111ln 1a b a a a ∴+≤+-++, ....12分令()()22ln 0 u x x x x x =->,则()()22ln 12ln u x x x x x x x '=--=-,()00()0u x x u x x ''>⇔<<<⇔>所以当x =, ()u x 取最大值2eu=.故当1a b +==时, ()1a b +取最大值2e. 综上, 若b ax x x f ++≥221)(,则 b a )1(+的最大值为2e . ....15分。
浙江省台州市高三上学期数学第一次月考试卷姓名:________ 班级:________ 成绩:________一、单选题 (共8题;共16分)1. (2分) (2016高一上·杭州期中) 已知集合A={1,2,3,4},B={2,4,6},则A∩B的元素个数()A . 0个B . 2个C . 3个D . 5个2. (2分)在等比数列{an}(n∈N*)中,若a1=1,a4=,则该数列的前12项和为()A . 2﹣B . 2﹣C . 2﹣D . 2﹣3. (2分)函数f(x)=Msin(ωx+φ)(ω>0)在区间[a,b]上是增函数,且f(b)=M,f(a)=-M,则函数g(x)=Mcos(ωx+φ)在区间[a,b]上()A . 是增函数B . 是减函数C . 可取得最大值MD . 可取得最小值-M4. (2分)(2017·长沙模拟) 已知函数,则函数的大致图象是()A .B .C .D .5. (2分)已知cos θ=-,θ∈(-π,0),则sin +cos =()A .B .C .D .6. (2分)下列函数中,与函数y=的奇偶性相同,且在(﹣∞,0)上单调性也相同的是()A . y=-B . y=x2+2C . y=x3﹣3D . y=7. (2分) (2019高一上·鹤岗月考) 若函数同时满足下列三个性质:①最小正周期为;②图象关于直线对称;③在区间上单调递增,则的解析式可以是()A .B .C .D .8. (2分)(2017·武汉模拟) 已知O是坐标原点,点A(﹣1,0),若M(x,y)为平面区域上的一个动点,则 |的取值范围是()A .B .C . [1,2]D .二、填空题 (共6题;共7分)9. (1分)(1﹣x2)4()5的展开式中的系数为________.10. (1分) (2019高一下·巴音郭楞月考) 已知的三内角,,的对边分别为,,,若, , ,则边 ________.11. (1分)(2017·海淀模拟) 小明、小刚、小红等5个人排成一排照相合影,若小明与小刚相邻,且小明与小红不相邻,则不同的排法有________种.12. (1分)(2019·石家庄模拟) 已知向量,,,若,则________;13. (1分)已知函数f(x)=(1+ tanx)cosx,x∈[0, ],则f(x)的最大值为________14. (2分) (2020高二上·珠海月考) 若,不等式的解集为,则实数的取值范围是________.三、解答题 (共6题;共50分)15. (15分) (2020高三上·新疆月考) 已知函数的部分图象如图所示.(1)求的解析式;(2)将图象上所有点向左平行移动个单位长度,得到图象,求函数在上的单调递增区间.16. (5分)(2018·南充模拟) 某种产品的质量以其质量指标值来衡量,质量指标值越大表明质量越好,记其质量指标值为,当时,产品为一级品;当时,产品为二级品,当时,产品为三级品,现用两种新配方(分别称为配方和配方)做实验,各生产了100件这种产品,并测量了每件产品的质量指标值,得到下面的试验结果:(以下均视频率为概率)配方的频数分配表指标值分组频数10304020配方的频数分配表指标值分组频数510154030(Ⅰ)若从配方产品中有放回地随机抽取3件,记“抽出的配方产品中至少1件二级品”为事件,求事件发生的概率;(Ⅱ)若两种新产品的利润率与质量指标满足如下关系:其中,从长期来看,投资哪种配方的产品平均利润率较大?17. (10分) (2016高三上·南通期中) 已知函数(a>0).(Ⅰ)当a=1时,求函数f(x)在点(2,f(2))处的切线方程;(Ⅱ)求函数f(x)的单调区间;(Ⅲ)若f(x)≥2lnx在[1,+∞)上恒成立,求a的取值范围.18. (10分) (2018高一下·北京期中) 某人隔河看到两目标A与B,但都不能到达,该人在此岸选取相距公里的C,D两点,测得∠ACB=75°,∠BCD=45°,∠ADC=30°,∠ADB=45°,如果A,B,C,D共面,求A与B的距离。
高三上册数学第一次月考理科试题(带答案)2021届高三上册数学第一次月考文科试题〔带答案〕本试卷分第一卷(选择题)和第二卷(非选择题)两局部。
答题时120分钟,总分值150分。
第一卷(选择题共10小题,每题5分,共50分)一、选择题(每题给出的四个选项中,只要一个选项契合标题要求.)1.假定集合 , ,那么 ( )A. B. C. D.答案:A解析:集合A={ },A={ },所以,2.在复平面内,双数对应的点的坐标为()A. B. C. D.答案:A解析:原式= = ,所以,对应的坐标为(0,-1),选A3. 为等差数列,假定,那么的值为( )A. B. C. D.答案:D解析:由于为等差数列,假定,所以,,4. 函数有且仅有两个不同的零点,,那么()A.当时,,B.当时,,C.当时,,D.当时,,答案:B解析:函数求导,得:,得两个极值点:由于函数f(x)过定点(0,-2),有且仅有两个不同的零点,所以,可画出函数图象如以下图:因此,可知,,只要B契合。
5. 设集合是的子集,假设点满足:,称为集合的聚点.那么以下集合中以为聚点的有:① ; ② ; ③ ; ④ () A.①④B.②③C.①②D.①②④答案:A【解析】①中,集合中的元素是极限为1的数列,在的时分,存在满足0|x-1|1是集合的聚点②集合中的元素是极限为0的数列,最大值为2,即|x-1|1 关于某个a1,不存在0|x-1| ,1不是集合的聚点③关于某个a1,比如a=0.5,此时对恣意的xZ,都有|x﹣1|=0或许|x﹣1|1,也就是说不能够0|x﹣1|0.5,从而1不是整数集Z的聚点④ 0,存在0|x-1|0.5的数x,从而1是整数集Z的聚点应选A6. 在以下命题中, ① 是的充要条件;② 的展开式中的常数项为;③设随机变量 ~ ,假定 ,那么 .其中一切正确命题的序号是()A.②B.②③C.③D.①③答案:B解析:①是充沛不用要条件,故错误;② ,令12-4k=0,得,k=3,所以,常数项为2,正确;③正态散布曲线的对称轴是x=0,,所以,正确;7.偶函数 ,当时, ,当时, ( ).关于偶函数的图象G和直线 : ( )的3个命题如下:①当a=4时,存在直线与图象G恰有5个公共点;②假定关于 ,直线与图象G的公共点不超越4个,那么a③ ,使得直线与图象G交于4个点,且相邻点之间的距离相等.其中正确命题的序号是()A.①②B.①③C.②③D.①②③答案:D解析:由于函数和的图象的对称轴完全相反,所以两函数的周期相反,所以,所以,当时,,所以,因此选A。
浙江省高三上学期数学第一次月考试卷姓名:________ 班级:________ 成绩:________一、单选题 (共9题;共18分)1. (2分)已知R是实数集,,则()A .B .C .D .2. (2分) (2020高三下·浙江开学考) “ ”是“ ”成立的()A . 充分不必要条件B . 必要不充分条件C . 充分必要条件D . 既不充分也不必要条件3. (2分) (2019高二上·聊城月考) 命题“ ,”的否定是().A . ,B . ,C . ,D . ,4. (2分) (2019高三上·攀枝花月考) 函数的部分图象大致是().A .B .C .D .5. (2分) (2015高一下·普宁期中) 已知a、b为实数,则2a>2b是log2a>log2b的()A . 必要非充分条件B . 充分非必要条件C . 充要条件D . 既不充分也不必要条件6. (2分) (2017高三上·韶关期末) 下列函数中,最小正周期为π且在(0,)是减函数的是()A . y=cos(2x+ )B . y=|sin(x+ )|C . y=2cos2x﹣3D . y=﹣tan2x7. (2分) (2020高一下·抚顺期末) 设△ABC的内角A,B,C所对的边分别为a,b,c若a bcosC,则△ABC的形状为()A . 锐角三角形B . 直角三角形C . 钝角三角形D . 不确定8. (2分) (2020高一上·抚州期末) 为了得到函数的图像,可以将函数的图像()A . 向右平移B . 向右平移C . 向左平移D . 向左平移9. (2分) (2020高一上·抚州期末) 已知函数是定义在上的偶函数,当时,,则下列说法正确的是()A . 在上为增函数B . 的最大值为C . 方程有四个不相等的实数根D . 当时,二、填空题 (共6题;共6分)10. (1分) (2019高一上·河南月考) 已知函数的定义域、值域都是,则 ________.11. (1分) (2020高一下·杭州月考) 锐角中,已知则角C的值为________12. (1分)已知函数y=Asin(ωx+φ),(A>0,ω>0,)的图象最高点为(,3),由此最高点到相邻最低点的图象与x轴的交点为(,0),求此函数的一个表达式.为________13. (1分) (2017高二下·启东期末) 已知函数f(x)=ex , g(x)= x2+x+1,则与f(x),g(x)的图象均相切的直线方程是________.14. (1分) (2016高三上·朝阳期中) 已知函数f(x)= 在(﹣∞,+∞)上是具有单调性,则实数m的取值范围________.15. (1分) (2020高三上·温州期末) 已知定义在上的函数满足,且当时,,其中,且.若,则 ________, ________.三、解答题 (共5题;共42分)16. (10分) (2020高三上·江西月考) 在中,角的对边分别是,的面积为,已知.(1)求角;(2)若的周长为12,求的最大值.17. (10分) (2020高二下·重庆期末) “微粒贷”是腾讯旗下2015年9月开发上市的微众银行网货产品.腾讯公司为了了解“微粒贷”上市以来在C市的使用情况,统计了C市2015年至2019年使用了“微粒货”贷款的累计人数,统计数据如表所示:年份20152016201720182019年份代号x12345累计人数y(万2.93.3 3.64.4 4.8人)参考公式: ,参考数据:(1)已知变量x,y具有线性相关关系,求累计人数y(万人)关于年份代号x的线性回归方程;并预测2020年使用“微粒贷“贷款的累计人数;(2)“微粒贷”用户拥有的贷款额度是根据用户的账户信用资质判定的,额度范围在500元至30万元不等,腾讯公司在统计使用人数的同时,对他们所拥有的贷款额度也作了相应的统计.我们把拥有货款额度在500元至5万元(不包括5万元)的人群称为“低额度贷款人群”,简称“A类人群”;把拥有贷款额度在5万元及以上的人群称为“高额度贷款人群”,简称“B类人群”.根据统计结果,随机抽取6人,其中A类人群4人,B类人群2人.现从这6人中任取3人,记随机变量ξ为A类人群的人数,求ξ的分布列及其期望.18. (15分) (2016高三上·南通期中) 已知向量 =(sin(x+φ),1), =(1,cos(x+φ))(ω>0,0<φ<),记函数f(x)=( + )•(﹣).若函数y=f(x)的周期为4,且经过点M (1,).(1)求ω的值;(2)当﹣1≤x≤1时,求函数f(x)的最值.19. (2分) (2018高三上·黑龙江期中) 在中,,分别为,的中点,,如图1.以为折痕将折起,使点到达点的位置,如图2.如图1 如图2(1)证明:平面平面;(2)若平面平面,求直线与平面所成角的正弦值。
( 满分:150分,考试时间:120分钟。
本次考试不得使用计算器)一.选择题:(本大题共10题,每小题5分,共50分.)1、已知全集U =R ,集合A ={x |-2≤x ≤3},B ={x |x <-1或x >4},那么集合A ∩(∁U B )等于( )A .{x |-2≤x <4}B .{x |x ≤3或x ≥4}C .{x |-2≤x <-1}D .{x |-1≤x ≤3}2、在二项式nx x ⎪⎭⎫ ⎝⎛+3的展开式中,各项系数之和为A,各项二项式系数之和为B,且72=+B A ,则展开式中常数项的值为 ( )A .6B .9C .12D .183、执行如图的程序框图,输出的S 和n 的值分别是( )A .9,3B .9,4C .11,3D .11,44、1号箱中有2个白球和4个红球,2号箱中有5个白球和3个红球,现随机地从1号箱中取出一球放入2号箱,然后从2号箱随机取出一球,则从2号箱取出红球的概率是( )A .1127 B . 1124 C . 1627 D . 9245、命题A :(x -1)2<9,命题B :(x +2)·(x +a )<0;若A 是B 的充分不必要条件,则a 的取值范围是( )A .(-∞,-4)B .[4,+∞)C .(4,+∞)D .(-∞,-4] 6.已知,m n 是两条不重合的直线,γβα,,是三个两两不重合的平面, 给出下列四个命题:①若βαβα//,,则⊥⊥m m ; ②若βαβα//,//,,则n m n m ⊂⊂;③若βαγβγα//,,则⊥⊥;④若,m n 是异面直线,βααββα//,//,,//,则n n m m ⊂⊂其中真命题是( )(A )①和② (B )①和③ (C )③和④ (D )①和④ 7.设0<a <b ,且f (x )=xx++11,则下列大小关系式成立的是 ( ) A .f (a )< f (2b a +)<f (ab ) B .f (2ba +)<f (b )< f (ab )C .f (ab )< f (2b a +)<f (a ) D .f (b )< f (2ba +)<f (ab ) 8. 若实数,x y 满足不等式组020x y x x y k ≥⎧⎪≤⎨⎪++≤⎩(k 为常数),且3x y +的最大值为12, 则实数k =( )(A ) 0 (B )24- (C ) 9- (D )任意实数9.函数()M f x 的定义域为R ,且定义如下:1,()()0,()∈⎧=⎨∉⎩M x M f x x M (其中M 是实数集R 的非空真子集),在实数集R 上有两个非空真子集A 、B 满足=∅A B ,则函数()1()()()1+=++A B A B f x F x f x f x 的值域为 ( )A .{}B .}{1C .{}0,1D .∅10.已知函数()f x 满足:①定义域为R ;②对任意∈x R ,有(2)2()+=f x f x ;③当[]1,1∈-x 时,()||1=-+f x x .则方程4()log ||=f x x 在区间[]10,10-内的解的个数是 ( ) A .18 B .12 C .11 D .10 二、填空题:(本大题共7题,每小题4分,共28分.)11.如图是一个几何体的三视图,则这个几何体的体积是12、复数z =cos75o+isin75o(i 是虚数单位),则在复平面内z 2对应的点位于第__ _象限。
高三年级第一次月考问卷一.选择题:本大题共10题,每小题5分,共50分.1.若集合1|lg ,1010A y y x x ⎧⎫==≤≤⎨⎬⎩⎭,{2,1,1,2}B =--,全集U =R ,则下列结论正确的是( )A .{1,1}AB =- B 。
()[1,1]U A B =- ðC .(2,2)A B =-D 。
()[2,2]U A B =- ð2.已知a ,b 都是实数,那么“22a b >”是“a b >”的( )A.充分而不必要条件 B 。
必要而不充分条件 C .充分必要条件 D 。
既不充分也不必要条件3. 在平行四边形ABCD 中, AC 为一条对角线,(2,4),(1,3),AB AC ==则AD = ( )A.(2,4)B.(3,5)()1 , 1C.()1,1--D.(—2,—4)4.下列命题中的假命题是( ) A .,lg 0x R x ∃∈=B.,tan 1x R x ∃∈=C .3,0x R x ∀∈> D .02,>∈∀x R x 5.如图是导函数()y f x '=的图像,则下列命题错误的是A .导函数()y f x '=在1x x =处有极小值B .导函数()y f x '=在2x x =处有极大值C .函数3()y f x x x ==在处有极小值D .函数4()y f x x x ==在处有极小值6.若ABC ∆的三个内角A 、B 、C 满足6sin 4sin 3sin A B C ==,则ABC ∆( ) A .一定是锐角三角形 B .一定是直角三角形C .一定是钝角三角形D .可能是锐角三角形,也可能是钝角三角形7.若函数 22()sin cos 144f x x x ππ⎛⎫⎛⎫=++-- ⎪ ⎪⎝⎭⎝⎭,则函数()f x 是(A) 周期为π的偶函数(B) 周期为2π的偶函数 (C) 周期为2π的奇函数(D) 周期为π的奇函数8.函数)(x f 在定义域R 内可导,若()(2),f x f x =-且(1)'()0x f x-<,若),3(),21(),0(f c f b f a ===则c b a ,,的大小关系是( )A .c b a >>B .a b c >>C .b a c >>D .b c a >>9.设函数()f x 的定义域为D ,如果对于任意的1x D ∈,存在唯一的2x D ∈,使得 12()()2f x f x C+= 成立(其中C 为常数),则称函数()y f x =在D 上的均值为C , 现在给出下列4个函数: ①3y x = ②4sin y x = ③lg y x = ④2xy = ,则在其定义域上的均值为 2的所有函数是下面的 ( ▲ )A. ①②B. ③④C. ①③④D. ①③10. 若函数()() y f x x R =∈满足()()2f x f x +=且[]1,1x ∈-时,()21f x x =-,函数()()()lg 01 0x x g x x x ⎧>⎪=⎨-<⎪⎩,则函数()()()h x f x g x =-在区间[]5,5-内的零点的个数为A .5B .7C .8D .10二.填空题:本大题共7小题,每小题4分,共28分11. 已知函数67,0()10,0xx x f x x +<⎧=⎨≥⎩,则(0)(1)f f +-= 12.若函数2()f x x x a =-+为偶函数,则实数a =13.设 a 、b 为两非零向量,且满足 | a |=2| b |=| 2a + 3b |,则两向量 a 、b 的夹角的余弦值为 。
第一次月考数学试卷(理科)一、选择题:本大题共10小题,每小题5分,共50分,在每小题给出的四个选项中,只有一项是符合题目要求的。
1.集合 A=}4|{2>x x ,B={1log |3<x x }, 则A ⋂B= ( )A .{2|-<x x }B .{|23x x <<}C .{|3x x >}D .{2|-<x x 或23x <<}2.函数y =的定义域是( )A .[1,)+∞B .2(,)3+∞C . 2[,1]3D .2(,1]33.设函数⎩⎨⎧>≤-=00)(2x x x x x f ,若,4)(=a f 则实数a =( ) A.2-4或- B.24或- C.42或- D.22或-4.已知4.3log 25=a ,6.3log 45=b ,3.0log 351⎪⎭⎫ ⎝⎛=c ,则( )A.c b a >>B.c a b >>C.b c a >>D.b a c >>5.设)(x f 是周期为2的奇函数,当10≤≤x 时,)1(2)(x x x f -=,则=-)25(f ( )A.21-B.41- C.41 D.216.已知q p a x q x p ⌝⌝>>+是且,:,2|1:|的充分不必要条件,则实数a 的取值范围可以是( ) A .1≥aB .1≤aC .1-≥aD .3-≤a7.函数xxa y x=(01)a <<的图象的大致形状是 ( )8.函数()sin ,[,],22f x x x x ππ=∈-12()()f x f x >若,则下列不等式一定成立的是( ) A.021>+x x B.2221x x > C.21x x > D.2221x x <9.函数)(x f 的定义域为R ,2)1(=-f ,对任意2)(,'>∈x f R x ,则42)(+>x x f 的解集为( )A.)1,1(-B.),1(+∞-C.)1,(--∞D.R10.已知函数2|3|)(3--+=a x x x f 在)2,0(上恰有两个零点,则实数a 的取值范围为( ) A .)2,0( B .)4,0( C .)6,0( D .(2,4)二、填空题:本大题共7小题,每小题4分,共28分,把答案填写在答题卡相应位置。
高考数学最新资料杭州高级中学20xx 届高三上学期第一次月考数学理试卷一.选择题:本大题共10题,每小题5分,共50分.1.若集合1|lg ,1010A y y x x ⎧⎫==≤≤⎨⎬⎩⎭,{2,1,1,2}B =--,全集U =R ,则下列结论正确的是( )A .{1,1}AB =- B 。
()[1,1]U A B =-ðC .(2,2)AB =-D 。
()[2,2]U A B =-ð2.已知a ,b 都是实数,那么“22a b >”是“a b >”的( )A.充分而不必要条件 B 。
必要而不充分条件 C .充分必要条件 D 。
既不充分也不必要条件3. 在平行四边形ABCD 中, AC 为一条对角线,(2,4),(1,3),AB AC ==则AD =( ) A.(2,4)B.(3,5)()1 , 1C.()1,1--D.(—2,—4)4.下列命题中的假命题是( ) A .,lg 0x R x ∃∈=B.,tan 1x R x ∃∈=C .3,0x R x ∀∈>D .02,>∈∀xR x 5.如图是导函数()y f x '=的图像,则下列命题错误的是A .导函数()y f x '=在1x x =处有极小值B .导函数()y f x '=在2x x =处有极大值C .函数3()y f x x x ==在处有极小值D .函数4()y f x x x ==在处有极小值6.若ABC ∆的三个内角A 、B 、C 满足6sin 4sin 3sin A B C ==,则ABC ∆( ) A .一定是锐角三角形 B .一定是直角三角形C .一定是钝角三角形D .可能是锐角三角形,也可能是钝角三角形7.若函数 22()sin cos 144f x x x ππ⎛⎫⎛⎫=++-- ⎪ ⎪⎝⎭⎝⎭,则函数()f x 是(A) 周期为π的偶函数(B) 周期为2π的偶函数 (C) 周期为2π的奇函数(D) 周期为π的奇函数8.函数)(x f 在定义域R内可导,若()(2),f x f x =-且(1)'()0x f x -<,若),3(),21(),0(f c f b f a ===则c b a ,,的大小关系是( )A .c b a >>B .a b c >>C .b a c >>D .b c a >>9.设函数()f x 的定义域为D ,如果对于任意的1x D ∈,存在唯一的2x D ∈,使得12()()2f x f x C+= 成立(其中C 为常数),则称函数()y f x =在D 上的均值为C , 现在给出下列4个函数: ①3y x = ②4sin y x = ③lg y x = ④2xy = ,则在其定义域上的均值为 2的所有函数是下面的 ( ▲ )A. ①②B. ③④C. ①③④D. ①③10. 若函数()() y f x x R =∈满足()()2f x f x +=且[]1,1x ∈-时,()21f x x =-,函数()()()lg 010x x g x x x ⎧>⎪=⎨-<⎪⎩,则函数()()()h x f x g x =-在区间[]5,5-内的零点的个数为 A .5 B .7 C .8 D .10二.填空题:本大题共7小题,每小题4分,共28分11. 已知函数67,0()10,0xx x f x x +<⎧=⎨≥⎩,则(0)(1)f f +-= 12.若函数2()f x x x a =-+为偶函数,则实数a =13.设 a 、b 为两非零向量,且满足 | a |=2| b |=| 2a + 3b |,则两向量 a 、b 的夹角的余弦值为 。
浙江省高三上学期数学第一次月考试卷姓名:________班级:________成绩:________一、 单选题 (共 8 题;共 16 分)1. (2 分) (2018 高二下·大名期末) 已知集合 A.,则B.()C.D.2. (2 分) 已知满足:,, 则 BC 的长( )A.2B.1C . 1或2D . 无解3. (2 分) (2016·连江模拟) 若两个函数的图象经过若干次平移后能够重合,则称这两个函数为“同形”函数.给出四个函数: 函数是( ),,,.则“同形”A.与B.与C.与D.与第 1 页 共 20 页4. (2 分) 已知 E,F,G,H 是空间四点,命题甲:E,F,G,H 四点不共面,命题乙:直线 EF 和 GH 不相交, 则甲是乙的( )A . 充分不必要条件 B . 必要不充分条件 C . 充要条件 D . 既不充分也不必要条件5. (2 分) (2019 高三上·北京月考) 已知函数 A.B.时,的值域为C.在 上单调递增时,或D . 方程有解时,,则下列结论错误的是( )6. (2 分) 函数 y=2sin( ﹣2x),x∈[0,π])为增函数的区间是( )A . [0, ]B.[ ,]C.[ ,]D.[,π]7. (2 分) 已知 3a=2,那么 log38-2log36 用 a 表示是( )A . a-2B . 5a-2C . 3a-(1+a)2第 2 页 共 20 页D . 3a-a2 8. (2 分) (2019 高二下·大庆期末) 已知 ( ). A. B. C. D.二、 多选题 (共 4 题;共 12 分)9. (3 分) (2020 高一下·沈阳期末) 已知复数 下列结论正确的是( ).A. B . z 的虚部为 C . z 的共轭复数为 D.,则函数的单调递减区间为在复平面内对应的点位于第二象限,且则10. (3 分) (2020 高一下·徐州期中) 在中,,确的是( )A.B. C.D.第 3 页 共 20 页,下列各式正11. (3 分) (2020 高三上·扬州月考) 下列说法正确的是( )A.“”是“”的充分不必要条件B.“ C . 命题“”是“ ,”的充要条件”的否定是“,使得D . 已知函数的定义域为 ,则“”是“函数” 为奇函数”的必要不充分条件12. (3 分) (2020·日照模拟) 若定义在 R 上的函数 ,则下列成立的有( )满足,其导函数满足A. B. C. D.三、 填空题 (共 5 题;共 5 分)13. (1 分) (2018 高一上·北京期中) 已知函数 是________.,若,则 x 的取值范围14. (1 分) 若函数 f(x)=xln(x+)为偶函数,则 a= ________。
浙江省三山高级中学高三数学理科第一次月考试卷一.选择题(每题5分,共50分)1.已知22{|1},{(,)|1}M y y x N x y x y ==+=+=,则集合M N I 中元素的个数是┄┄( )A .0B .1C .2D .不确定2.条件:p ||1x >,条件:q 2x <-,则p ⌝是q ⌝的┄┄┄┄┄┄┄┄┄┄┄┄┄┄┄┄┄( )A.充分但不必要条件B.必要但不充分条件C.充分且必要条件D.既不充分也不必要条件3.已知函数⎩⎨⎧>≤=)0(log )0(3)(2x x x x f x ,那么)]41([f f 的值为┄┄┄┄┄┄┄┄┄┄┄┄┄┄( )A .9B .91C .9-D .91-4.若定义在区间(1,0)-内的函数2()log (1)a f x x =+满足()0f x >,则实数a 的取值范围为( ) A .1(0,)2 B .1(0,]2 C .1(,)2+∞ D .(0,)+∞5.在ABC ∆中,45C ∠=o,则(1tan )(1tan )A B --等于┄┄┄┄┄┄┄┄┄┄┄┄┄┄┄( )A .2-B .1-C .1D .26.在各项均为正数的等比数列}{n a 中,若569a a ⋅=,则3132310log log log a a a +++L 等于( ) A .8 B .10 C .12 D .32log 5+ 7.将函数)32sin(3π+=x y 的图象按向量(,1)6a π=--r平移后所得图象的解析式是┄┄┄┄( )A .3cos21y x =-B .23sin(2)13y x π=++ C .3sin 21y x =+ D .23sin(2)13y x π=+-8.已知2()f x x x k =++,若(0)0,()0f f t ><,则(1)f t +值的符号为┄┄┄┄┄┄┄┄( ) A .正号 B .零 C .负号 D .不能确定9.已知函数()sin f x x x =⋅,若,A B 是锐角三角形两个内角,则┄┄┄┄┄┄┄┄┄┄┄( ) A .(sin )(sin )f A f B ->- B .(cos )(cos )f A f B > C .(cos )(sin )f A f B ->- D .(cos )(sin )f A f B < 10.已知()f x 是(3,3)-上的奇函数,当30<<x 时,()f x 的图象如图所示,那么不等式()cos 0f x x ⋅<的解集是┄┄┄┄┄┄┄┄┄┄┄┄┄( ) A .(3,)(0,1)(,3)22ππ--U U B .(,1)(0,1)(,3)22ππ--U U C .(3,1)(0,1)(1,3)--U U D .(3,)(0,1)(1,3)2π--U U二.填空题(每格4分,共16分)11.函数()lg 3f x x =-的定义域为 . 12.在△ABC 中,若3sin 5A =,5cos 13B =,则cosC = . 13.数列}{n a 的前n 项和221n S n n =+-,则13525a a a a +++⋅⋅⋅+= .14.已知f (x )是定义在实数集R 上的函数,且满足(2)(2)()()1f x f x f x f x +-+-=,1(1)2f =-,1(2)4f =-,则f (2020)=___________.三.解答题(每小题14分,共84分)15.设关于x 的不等式||2x a -< ()a R ∈的解集为A ,不等式1212<+-x x 的解集为B . ⑴ 求集合A ,B ;⑵ 若B A ⊆,求实数a 的取值范围.16.已知函数2()2cos cos()sin cos 6f x x x x x x π=-+⑴ 求()f x 的最小正周期;⑵ 当[0,]x π∈时,若()1f x =,求x 的值.17.已知数列}{n a 前n 项和n S ,且22(1,2,3,)n n S a n =-=L ,数列{}n b 中,11b =, 点1(,)n n P b b +在直线20x y -+=上. ⑴ 求数列}{n a 、{}n b 的通项公式;⑵ 若n T 为数列{}n b 前n 项和,求证:当*2,n n N ≥∈时,23n n S T n >+.18.已知二次函数2()1()f x x bx b R =++∈,满足(1)(3)f f -=. ⑴ 求b 的值;⑵ 当1x >时,求函数()f x 的反函数1()f x -;⑶ 对于⑵中的1()f x -,若1()(f x m m ->-在11[,]42x ∈上恒成立,求实数m 的取值范围.19.已知定义在实数集R 上的奇函数()f x 有最小正周期2,且当(0,1)x ∈时,2()41xx f x =+.⑴ 求函数()f x 在[1,1]-上的解析式; ⑵ 判断()f x 在(0,1)上的单调性;⑶ 当λ取何值时,方程()f x λ=在[1,1]-上有实数解?20.已知函数131)(23+-+=bx ax x x f (∈x R, a ,b 为实数)有极值, 且在1=x 处的切线与直线01=+-y x 平行. ⑴ 求实数a 的取值范围;⑵ 是否存在实数a ,使得函数)(x f 的极小值为1,若存在,求出实数a 的值; 若不存在,请说明理由;[参考答案]一.选择题(每题5分,共50分)二.填空题(每格4分,共16分) 11.[2,3)(3,4)U 12.166513.350 14.4 三.解答题(每小题14分,共84分)15.解:⑴由于{|22}A x a x a =-<<+, 3分 由1212<+-x x 得,23x -<<, 6分∴ {|23}B x x =-<< 7分 ⑵A B ⊆Q2223a a -≥-⎧∴⎨+≤⎩ 10分⇒ 01a a ≥⎧∴⎨≤⎩ 12分 01a ∴≤≤ 14分16.解:⑴由于2()2cos (cos cossin sin )sin cos 66f x x x x x x x ππ=++22sin cos sin cos x x x x x x =+-+ 3分2sin 2x x =+2sin(2)3x π=+ 3分T π∴= 7分⑵ [0,]x π∈Q 72[,]333x πππ∴+∈ 9分 由()1f x =得:1sin(2)32x π+= , 5132366x πππ∴+=或 12分11412x x ππ∴==或 14分17.解:⑴ 当1n =时,11122a S a ==-,12a ∴= 1分当2n ≥时,1122n n n n n a S S a a --=-=-,12n n a a -∴=, 2分{}n a ∴是以2为首项,以2为公比的等比数列. 2nn a ∴= 4分由于112,1n n b b b +-==, 5分{}n b ∴是以1为首项,以2为公差的等差数列. 21n a n ∴=- 7分⑵ 由⑴知:122n n S +=-,2(121)2n n n T n +-== 9分现在只要证明:当*2,n n N ≥∈时,22234n n n +>++,用数学归纳法证明:(I)当2n =时,有左边=4216=,右边=14,不等式成立 10分 (II)假设当n k =时,不等式成立,即22234k k k +>++,那么当1n k =+时,有322222264k k k k ++=⋅>++222264[(1)3(1)4]4k k k k k k ++-++++=+-Q当2k ≥时,恒有240k k +->成立,22264(1)3(1)4k k k k ∴++>++++ 即32k +>2(1)3(1)4k k ++++∴当1n k =+时,不等式也成立 13分由(I)、(II)知,当*2,n n N ≥∈时, 有23n n S T n >+. 14分18.解:⑴.13911),3()1(++=+-∴=-b b f f Θ解得2-=b .(或利用对称性求解) 3分⑵ 由⑴,12)(2+-==x x x f y 记.1,1),0()1(,12y x y x y x y x +==-∴>-=>即时当Θ)0(1)(1>+==∴-x x x fy . 7分⑶).(1],21,41[),()(1x m m x x x m m x f->+∴∈->-Θ11(11)0.42122m m x x t t ∴++>≤≤=≤≤对一切的的值恒成立设则].22,21[),1)(1()1()1)(1()(∈-+-+=+-+=t m m t m m t m t g 且 9分⎪⎪⎩⎪⎪⎨⎧>+-⋅+=>+-⋅+=∴∈>.0)122()1()22(,0)121()1()21(,]22,21[0)()(m m g m m g t t g t t g 只需上恒成立在的一次函数为则Θ 解得.231<<-m 13分m ∴的取值范围是:231<<-m . 14分19.解:⑴ 当(1,0)x ∈-时,有(0,1)x -∈,Q ()f x 是偶函数22()()4141x xx x f x f x --∴=--=-=-++ 2分由(0)(0)(0)f f f =-=-得(0)0f =,又(1)(21)(1)(1)f f f f =-+=-=-得(1)(1)0f f -==, 5分241()0241xx x x f x ⎧⎪+⎪⎪∴=⎨⎪⎪-⎪+⎩(0,1){1,0,1}(1,0)x x x ∈∈-∈- 6分⑵ 当(0,1)x ∈时,有2()41xx f x =+,任取12,(0,1)x x ∈且12x x <12211212121222(22)(12)()()4141(41)(41)x x x x x x x x x x f x f x +---=-=++++ 8分 1201x x <<<Q ,∴12()()0f x f x -> 即12()()f x f x > ∴()f x 在(0,1)上是减函数. 10分⑶ 由于()f x 在(0,1)上是减函数,()f x 在(1,0)-上是减函数当(0,1)x ∈时,有21()(,)52f x ∈,当(1,0)x ∈-时,有12()(,)25f x ∈--,当{1,0,1}x ∈-时,有(){0}f x ∈, 13分∴当λ1221(,){0}(,)2552∈--U U 时,方程()f x λ=在[1,1]-上有实数解. 14分20.解:⑴ ∵131)(23+-+=bx ax x x f∴b ax x x f -+='2)(2由题意121)1(=-+='b a f a b 2=∴ ……① 3分∵)(x f 有极值,∴方程02)(2=-+='b ax x x f 有两个不等实根.0442>+=∆∴b a 02>+∴b a ……②由①、②可得,02022>-<∴>+a a a a 或. 故实数a 的取值范围是),0()2,(+∞--∞∈Y a 6分⑵存在38-=a , 7分由⑴可知b ax x x f -+='2)(2,令0)(='x f ,a a a a 2,222++2时,取极小值, 9分则11231)(22322=+-+=ax ax x x f , 02=∴x 或063222=-+a ax x ,若02=x ,即022=++-a a a ,则0=a (舍) 11分 若063222=-+a ax x ,又0)(2='x f ,022222=-+∴a ax x ,042=-∴a ax , 402=∴≠x a Θ,422=++-∴a a a 238-<-=∴a ,∴存在实数a =38-,使得函数)(x f 的极小值为1. 14分。
浙江省数学高三上学期理数第一次月考试卷
姓名:________ 班级:________ 成绩:________
一、单选题 (共12题;共24分)
1. (2分) (2017高二下·深圳月考) 设集合,集合,则
()
A .
B .
C .
D .
2. (2分)(2018·南充模拟) ()
A .
B .
C . 2
D . -2
3. (2分)(2017·茂名模拟) 我国古代数学著作《九章算术》有如下问题:“今有金箠,长五尺,斩本一尺,重四斤,斩末一尺,重二斤,问次一尺各重几何?”意思是:“现有一根金箠,长五尺,一头粗,一头细,在粗的一端截下1尺,重4斤;在细的一端截下1尺,重2斤;问依次每一尺各重多少斤?”根据上题的已知条件,若金箠由粗到细是均匀变化的,问第二尺与第四尺的重量之和为()
A . 6 斤
B . 9 斤
C . 9.5斤
D . 12 斤
4. (2分) (2019高一上·儋州期中) 设 ,则的大小关系为()
A .
B .
C .
D .
5. (2分) (2020高二上·钦州期末) 今年入冬以来,我市天气反复.在下图中统计了我市上个月前15天的气温,以及相对去年同期的气温差(今年气温-去年气温,单位:摄氏度),以下判断错误的是()
A . 今年每天气温都比去年气温低
B . 今年的气温的平均值比去年低
C . 今年8-12号气温持续上升
D . 今年8号气温最低
6. (2分) (2020高三上·四川月考) 在中,,,则()
A .
B .
C .
D .
7. (2分)设a∈Z,且0≤a≤13,若512012+a能被13整除,则a=()
A . 0
B . 1
C . 11
D . 12
8. (2分)已知一个几何体的三视图如图所示,则这个几何体的体积是()
A .
B .
C .
D .
9. (2分) (2019高三上·沈阳月考) 已知是偶函数,是奇函数,它们的定义域是,且它们在的图象如图所示,则不等式的解集为()
A .
B .
C .
D .
10. (2分)设x,y满足则z=x+y()
A . 有最小值2,最大值3
B . 有最小值2,无最大值
C . 有最大值3,无最大值
D . 既无最小值,也无最大值
11. (2分) (2019高一上·宁乡期中) 下列函数是偶函数的是()
A .
B .
C .
D .
12. (2分) (2016高一下·宜昌期中) 设Sn是等差数列{an}的前n项和,若 = ,则 =()
A .
B .
C .
D .
二、填空题 (共4题;共4分)
13. (1分) (2018高二上·山西月考) 椭圆C:的焦距是________.
14. (1分) (2017高一上·陵川期末) 某同学从区间[﹣1,1]随机抽取2n个数x1 , x2 ,…,xn , y1 ,y2 ,…,yn ,构成n个数对(x1 , y1),(x2 , y2),…(xn , yn),该同学用随机模拟的方法估计n个数对中两数的平方和小于1(即落在以原点为圆心,1为半径的圆内)的个数,则满足上述条件的数对约有________个.
15. (1分) (2018高二上·陆川期末) 过点Q(4,1)作抛物线的弦AB,恰被Q所平分,则弦AB所在直线方程为________.
16. (1分)(2020·江苏模拟) 已知点M是曲线y=2lnx+x2﹣3x上一动点,当曲线在M处的切线斜率取得最小值时,该切线的方程为________.
三、解答题 (共7题;共70分)
17. (10分) (2020高三上·朝阳期中) 在△ABC中,AB=2,AC=3.
(1)若B=60°,
(i)求BC;
(ii)设D是边BC上一点,且∠ADC=120°,求 ;
(2)若AE是△ABC的内角平分线,求AE的取值范围.
18. (10分) (2016高二下·静海开学考) 如图,在三棱锥P﹣ABC中,∠APB=90°,∠PAB=60°,AB=BC=CA,平面PAB⊥平面ABC.
(Ⅰ)求直线PC与平面ABC所成角的大小;
(Ⅱ)求二面角B﹣AP﹣C的大小.
19. (10分)(2018·绵阳模拟) 在直角坐标系中,椭圆的左、右焦点分别
为,点在椭圆上且轴,直线交轴于点,,为椭圆的上顶点,的面积为1.
(1)求椭圆的方程;
(2)过的直线交椭圆于,,且满足,求的面积.
20. (10分)(2017·潮州模拟) 当今,手机已经成为人们不可或缺的交流工具,人们常常把喜欢玩手机的人冠上了名号“低头族”,手机已经严重影响了人们的生活,一媒体为调查市民对低头族的认识,从某社区的500名市民中,随机抽取n名市民,按年龄情况进行统计的得到频率分布表和频率分布直方图如下:组数分组(单位:岁)频数频率
1 [20,25)50.05
2[25,30)200.20
3[30,35)a0.35
4[35,40)30b
5[40,45]100.10
合计n 1.00
(1)求出表中的a,b,n的值,并补全频率分布直方图;
(2)媒体记者为了做好调查工作,决定从所随机抽取的市民中按年龄采用分层抽样的方法抽取20名接受采访,再从抽出的这20名中年龄在[30,40)的选取2名担任主要发言人.记这2名主要发言人年龄在[35,40)的人数为ξ,求ξ的分布列及数学期望.
21. (10分)(2016·新课标Ⅰ卷理)
(1)讨论函数的单调性,并证明当>0时,
(2)证明:当时,函数有最小值.设g(x)的最小值为,求函数的值域.
22. (10分)(2019·鞍山模拟) 在平面直角坐标系xOy中,将椭圆上每一点的横坐标保持不变,纵坐标变为原来的一半,得曲线C ,以坐标原点为极点,x轴正半轴为极轴建立极坐标系,直线l的极坐标方程为.
(1)写出曲线C的普通方程和直线l的直角坐标方程;
(2)已知点且直线l与曲线C交于A、B两点,求的值.
23. (10分)(2020·聊城模拟) 在平面四边形中, .
(1)求的面积;
(2)设M为的中点,且,求四边形周长的最大值.
参考答案一、单选题 (共12题;共24分)
答案:1-1、
考点:
解析:
答案:2-1、
考点:
解析:
答案:3-1、
考点:
解析:
答案:4-1、
考点:
解析:
答案:5-1、考点:
解析:
答案:6-1、考点:
解析:
答案:7-1、考点:
解析:
答案:8-1、考点:
解析:
答案:9-1、考点:
解析:
答案:10-1、考点:
解析:
答案:11-1、考点:
解析:
答案:12-1、
考点:
解析:
二、填空题 (共4题;共4分)答案:13-1、
考点:
解析:
答案:14-1、考点:
解析:
答案:15-1、考点:
解析:
答案:16-1、
考点:
解析:
三、解答题 (共7题;共70分)
答案:17-1、
答案:17-2、考点:
解析:
答案:18-1、
考点:
解析:
答案:19-1、
答案:19-2、考点:
解析:
答案:20-1、
答案:20-2、考点:
解析:
答案:21-1、
答案:21-2、考点:
解析:
答案:22-1、。