SAT考试测试题
- 格式:pdf
- 大小:4.30 MB
- 文档页数:47
sat语法试题及答案SAT语法试题及答案1. 选择下列句子中语法正确的一项。
A) The book that I read yesterday was very interesting.B) The book that I read yesterday is very interesting.C) The book that I read yesterday were very interesting.D) The book that I read yesterday has been very interesting. 答案:A2. 下列句子中,哪个选项使用了正确的标点符号?A) The weather was hot, and humid, and sticky.B) The weather was hot and humid, and sticky.C) The weather was hot; and humid, and sticky.D) The weather was hot, and humid and sticky.答案:B3. 以下句子中,哪个选项的动词时态使用正确?A) I have been working on this project since last week.B) I was working on this project since last week.C) I had been working on this project since last week.D) I will have been working on this project since last week. 答案:A4. 选择下列句子中主谓一致正确的一项。
A) The team are playing well together.B) The team is playing well together.C) The players are playing well together.D) The players is playing well together.答案:B5. 下列句子中,哪个选项使用了正确的平行结构?A) She enjoys reading, to swim, and hiking.B) She enjoys reading, swimming, and hiking.C) She enjoys to read, to swim, and hiking.D) She enjoys reading, swimming, and to hike. 答案:B6. 选择下列句子中语法正确的一项。
紫铭SAT—长春学生入学测试卷SATA姓名:学校:电话:I. Multiple Choices1. Helium is _____ all gases to liquefy and is impossible to solidify at normal air pressure.(A) more than difficult(B) the most difficult of(C) more difficult of(D) most difficult2. Every year Canadian ______ about 75 percent of their exports to the United States.(A) businesses that sell(B) selling businesses(C) businesses sell(D) that sell to businesses3. An innovator, ballerina Augusta Maywood was ___ a traveling company.(A) to form the first(B) the first to form(C) who formed the first(D) forming the first4. When water freezes in the cracks of rocks, _____ expands, causing the rocks to break apart.(A) it(B) but(C) then(D) and5. With x-ray microscopes scientists can see through live insects ___ even through solid pieces of metal.(A) however(B) nevertheless(C) or(D) yet6. Dennis Chavez of New Mexico _____ to the House of Representatives in 1930 and to the Senate in 1938.(A) when elected(B) elected(C) who was elected(D) was elected7. _______ are not leached out of soil, reclamation procedures are needed to restore the land’s productivity.(A) For concentration of salt(B) Salt concentrations that(C) If salt concentrations(D) With concentrations of salt8. ______ social crusade aroused Elizabeth Williams’ enthusiasm more than the expansion of educational facilities for immigrants to the United States.(A) No(B) Nothing(C) Not(D) None9. ______ as 2500 B.C., the Egyptians used mirrors made of highly polished metal.(A) In early(B) As early(C) Early(D) Was as early10. The quantum theory states ______, such as light, is given off and absorbed in tiny definite units called quanta or photons.(A) energy that(B) that it is energy(C) it is energy(D) that energy11. Quails typically have short rounded wings that enable _______ spring into full flight instantly when disturbed in their hiding places.(A) they(B) to their(C) its(D) them to12. Geysers are found near rivers and lakes, where water drains through the soil ______.(A) surface below the deep(B) deep below the surface(C) the deep below surface(D) the deep surface below13. Algebra generalizes certain basic laws _____ the addition, subtraction, multiplication, and division of all numbers.(A) govern(B) that govern(C) have governed(D) which they govern14. Even at low levels,______(A) the nervous system has produced detrimental effects by lead(B) lead’s detrimental effects are producing the nervous system(C) lead produces detrimental effects on the nervous system(D) the detrimental effects produced by lead on the nervous system15. _____ a lonely and rugged life, far from home and family.(A) However the early gold prospector often lived(B) The early gold prospector often lived(C) Not only did the early gold prospector often live(D) The early gold prospector often livingII. Correct the Following Sentences16. The culinary expert Fannie Farmer taught (A) dietetics, kitchen(B) management, andto cook(C) at her famous(D) Boston school.17. The elephant relies more on its(A) sense of smell than for(B) any other(C) sense(D).18. A few of the naturally(A) elements exist in such small amounts(B) that they areknown mainly(C) from laboratory-made samples(D).19. Some insects(A) hear(B) ultrasonic sounds more than(C) two octaves than higher(D)humans can.20. Because(A) of its larger size(B), the United States House of Representatives is more(C)impersonal, hierarchical, and specialization(D) than the Senate.21. To stay warm(A) in cold weather cold-blooded animals must expose itself(B) to asource of(C) warmth such as direct(D) sunlight.22. A severe illness where(A) she was just(B) nineteen months old deprived(C) thewell-known writer and lecturer Helen Keller of both(D) her sight and her hearing. 23. Like all ecological systems, a forest is made up of(A) a living environment and anonliving environment, the latter(B) composed of(C) air, rocks, soiled(D), and water.24. The purposeful(A) of the elementary school is to introduce(B) children to the skills,information(C), and attitudes necessary for a smooth(D) adjustment to society.25. Notorious as a host(A) for wheat rust, the barberry bush(B) has been banned(C) frommany area(D).26. Christopher Plummer is a Canadian actor(A) who(B) has starred in stage(C),television and film productions on both sides the(D) Atlantic Ocean.27. A microphone enables musical(A) tones to be amplified(B), thus making it possible(C)the gentle renditions of soft(D) songs in large halls.28. The poetry of e.e. cummings illustrates the way in which(A) some poets bend(B)grammatical rules as they strive(C) to expression(D) their insights.29. In the wild(A), tea plants become trees(B) of approximately(C) thirty feet in high(D).30. Accounting is described as art(A) of classifying, recording(B), and reportingsignificant(C) financial events(D).。
Sat考试的练习题及答案解析Sat考试的练习题及答案解析Sat考试备考过程中,考生是很有必要做一些练习题并认真解析参考答案。
为此店铺为大家解析一些Sat考试的练习题及参考答案。
Sat考试的练习题及参考答案解析1. Jim was so opposed to any type of change that he ------- even the most beneficial of -------.A. blamed......customsB. presented.......inventionsC. welcomed.......reformsD. anticipated.......resultsE. resisted.......improvements解析:so....that的因果关系,所以前后同义,第一空应与oppose(反对)同义,第二空是beneficial of...应为正向词,故E最合适。
翻译:Jim 反对任何形式的改变,甚至是最有助于提高的(改变也反对)。
2. Eager to enlist as a soldier during the American Revolution, Deborah Sampson Gannett successfully------- the military’s gender boundary by donning men’s clothing and ------ a male identity.A. delineated........flauntingB. circumvented........assumingC. reinstated.......mimickingD. denounced......inventingE. skirted........disguising解析:从前半句可知,为了要参军,D这个人成功的怎么样了性别界限,说明这人是个女的,所以规避这组词可选,故第一空B,E正确,第二空,她通过穿上男人的衣服并且要装得像男人,所以排除了disguise(掩饰)。
sat试题及答案解析SAT试题及答案解析1. 阅读下列句子,选择最恰当的词汇填入空白处。
句子:The artist's new painting was a _______ of colors that left the audience in awe.选项:A. explosionB. collectionC. mixtureD. gathering答案:A解析:在这个句子中,"explosion"(爆炸)一词用来形容色彩的强烈和丰富,给人以强烈的视觉冲击,因此是最合适的词汇。
2. 阅读以下段落,回答以下问题。
段落:In the early morning, the sun rose slowly over the horizon, casting a golden glow on the sleepy town. The streets were still quiet, with only a few people walking by.问题:What time of day is described in the passage?答案:Early morning解析:文中提到“the sun rose slowly over the horizon”和“streets were still quiet”,这些描述都暗示了时间是清晨。
3. 完成以下数学题。
题目:If a car travels 120 miles in 3 hours, what is its speed in miles per hour?答案:40 mph解析:速度的计算公式是距离除以时间。
因此,120英里除以3小时等于40英里每小时。
4. 阅读下列句子,判断下列陈述是否正确。
句子:The scientist's hypothesis was proven incorrectafter the experiment.陈述:The experiment confirmed the scientist's hypothesis.答案:错误解析:句子中提到“hypothesis was proven incorrect”,意味着实验结果与科学家的假设相反,因此陈述是错误的。
2020年sat考试真题1、高渗性脱水时,病人首先表现为A.黏膜干燥B.皮肤弹性减少C.口渴D.尿量增加E.高热恰当答案:C2、关于小脑幕切迹疝的临床表现说法错误的是A.发生进行性意识障碍B.患侧上睑下垂及眼球外斜C.炎症同侧肢体中断D.对光反射消失E.四肢全瘫,回去大脑强直正确答案:C小脑幕切迹疝典型的临床表现就是在颅内压升高的基础上,发生进行性意识障碍,患侧瞳孔最初存有较长时间的增大,但多难于被辨认出,以后逐渐科刺剑、轻易或间接对光反射消失,并诱发患侧上睑下垂及眼球外横。
炎症对侧肢体中断、肌张力减少、腱反射亢进、病理叛阳性。
例如脑疝稳步发展,则发生深度昏迷不醒,双侧眼球紧固及瞳孔散大、对光反射消失,四肢全瘫,回去大脑强直,生命体征轻微失调,最后体温、眩晕暂停而丧生。
3、颅前窝骨折患者临床表现描述正确的是:A.熊猫眼叛B.面神经损伤C.听到神经损伤D.出现脑脊液鼻漏E.第9~12对脑神经受损正确答案:A4、张力性气胸最注重的整体表现就是A.反常呼吸B.高热C.疼痛D.伤侧胸膜腔高压体温极困难E.纵隔摆动恰当答案:D因为张力性气胸形成活瓣,空气只能进入胸腔,而不能排出,所以伤侧胸腔压力会越来越高,压缩伤侧肺,造成呼吸困难。
5、关于颅盖突起性骨折的定义,恰当的就是A.不会损伤神经B.不能受损脑组织C.不会发生脑脊液漏D.不能出现颅内血肿E.骨折凹陷范围超过3cm须手术治疗恰当答案:E6、门脉高压症合并食管胃底静脉曲张出血时,如三腔管压迫无效时,应采用A.垂体后叶素B.加大输血量C.加强三腔管压力D.应用维生素KE.立即行断流之术正确答案:E对于因门脉高压食管胃底静脉曲张引发的上消化道病变,当非手术治疗效果不尽如人意时,新宠手术断流以切断交通支反常血流达至止痛效果。
故挑选E.7、血栓闭塞性脉管炎局部缺血期的表现A.间歇性跛行B.静息痛C.屈膝抱足状D.趾端发烫E.深静脉曲张正确答案:A8、关于腹膜炎的改归恰当的就是A.年轻体壮、抗病能力强者易发生粘连性肠梗阻B.腹膜炎治好后,腹腔内多存有相同程度接合,均可以出现接合性肠梗阻C.趋于恶化者,腹膜严重充血水肿但一般无渗出D.可以构成麻痹性肠梗阻E.预后不良,均加重休克,膈肌下降,影响呼吸循环功能恰当答案:D9、关于腹部损伤治疗正确的是A.绝对卧床歇息B.立即应用止痛药物C.大量快速输液造血D.流质饮食E.早期宜强化功能锻炼身体正确答案:A腹部损伤患上着宜绝对卧床歇息,不必过早活动故A恰当而E错误;禁食至肠功能恢复正常后就可以入流质故D不对;在未明晰确诊前严禁应用领域消炎药物以免晚点病情推论,故B不对;腹部损伤患者适度补液以保持循环平衡,大量快速输液可以引致循环负荷太重故C不清楚。
sat试题及答案SAT试题及答案一、阅读理解(共20题,每题2分,总计40分)1. 根据文章A,作者主要讨论了什么主题?A. 环境保护的重要性B. 科技发展对环境的影响C. 可持续发展的策略D. 气候变化的成因答案:C2. 文章B中提到的“生态足迹”是指什么?A. 人类对自然资源的消耗量B. 人类对环境的污染程度C. 人类对生物多样性的影响D. 人类对气候系统的影响答案:A...20. 文章T中作者对于未来的看法是什么?A. 悲观的B. 乐观的C. 中立的D. 无法确定答案:B二、写作(共1题,总计20分)21. 根据所给材料,写一篇不少于500字的议论文,阐述你对“教育公平”的看法。
答案:略三、数学(共20题,每题2分,总计40分)22. 如果一个圆的半径是5厘米,那么它的面积是多少平方厘米?A. 78.5B. 100C. 157D. 196答案:A23. 一个直角三角形的两条直角边分别是3厘米和4厘米,那么它的斜边是多少厘米?A. 5B. 6C. 7D. 8答案:A...41. 如果一个数列的前三项是2, 4, 6,那么这个数列的第10项是多少?A. 20B. 22C. 24D. 26答案:A四、语法(共20题,每题2分,总计40分)42. 下列句子中,语法正确的是:a) She is one of the student who is going to the concert.b) He has more books than me.c) The children was playing in the park.d) I have been living here for two years.答案:d43. 选择正确的动词形式填空:The teacher _______ (explain/explained) the concept to the students yesterday.答案:explained...61. 选择正确的形容词填空:The _______ (boring/interested) lecture made the audience fell asleep.答案:boring五、词汇(共10题,每题2分,总计20分)62. 选择与“innovative”意思相近的词:A. TraditionalB. ConservativeC. CreativeD. Outdated答案:C63. 选择与“compromise”意思相反的词:A. AgreementB. DisputeC. ConflictD. Resolution答案:C...71. 选择与“meticulous”意思相同的词:A. CarelessB. SloppyC. ThoroughD. Haphazard答案:C请注意:以上内容为示例,实际SAT试题及答案会根据考试的具体内容而有所不同。
2024年SAT考试数学历年真题精选辑一、选择题1. 已知方程 ax^2 + bx + c = 0 中,a ≠ 0,若该方程存在两个相等实数根,则下列哪个条件必然成立?A) a = bB) a = cC) b = cD) a + b = cE) b + c = a2. 投掷一枚均匀硬币,连续抛掷若干次,每次结果独立。
设已知前两次投掷结果都是正面朝上,下一次投掷的正面朝上的概率为多少?A) 1/2B) 1/4C) 1/3D) 2/3E) 2/93. 若函数 f(x) = 2x^2 + kx + 1,对于所有实数 x,f(x) > 0 成立。
则 k 的取值范围是?A) -1 < k < 1B) k > 1C) k < -1D) k ≠ 0E) k = 1二、解答题1. 设正整数 n 满足 n(n+1)(n+2) 可以被 3 和 8 同时整除,求 n 的最小值。
解:根据题意,n(n+1)(n+2) 是 3 和 8 的公倍数。
由于 3 和 8 互质,所以n(n+1)(n+2) 的最小公倍数为 24(3*8)。
因此,n 的最小值为 2。
2. 一辆长为 5 米的火车以恒定速度行驶通过测速点,测速点距离火车的前端 9 米,测得该火车的速度为 72 km/h。
若按该测速点测得的速度计算,火车的长度应为多少米?解:由于测得的速度为火车通过测速点的平均速度,根据平均速度公式v = d/t,我们可以得到火车通过测速点所用的时间 t = 9 米 / 72 km/h = (9/1000) / (72/3600) 小时。
由此,我们可以计算火车通过测速点所用的时间 t = 0.15 秒。
根据速度公式 v = d/t,可以得到火车通过测速点所用的距离 d = v * t = 72 km/h * 0.15 秒 = (72/3600) km * 0.15 秒 = 0.00375 km = 3.75 米。
sat模拟试题1. 阅读理解Passage 1Date: January 14thTime: 9:00 am - 12:00 pmLocation: Room 205Passage 2Date: January 15thTime: 1:00 pm - 4:00 pmLocation: Room 308Passage 3Date: January 16thTime: 9:00 am - 12:00 pmLocation: Room 101Passage 4Date: January 16thTime: 2:00 pm - 5:00 pmLocation: Room 3042. 数学问题a) 用方程y = mx + c表示一条直线,其中m为斜率,c为y轴截距。
给定点A(2, 4)和B(4, 8),求通过这两点的直线方程。
b) 如果一辆汽车以每小时60英里的速度行驶,那么它以每分钟多少英尺的速度行驶?(1英里=5280英尺)c) 华氏温度和摄氏温度之间的关系可以用公式F = (9/5)C + 32来表示,其中F表示华氏温度,C表示摄氏温度。
如果一个地方的气温是摄氏20度,请问相应的华氏温度是多少?3. 语法问题在下列句子中,选择适当的动词形式填空。
a) The cat (is, are) playing in the garden.b) My brother and I (go, goes) to the same school.c) The book, along with its contents, (is, are) on the table.4. 写作任务请你根据下面的题目,撰写一篇关于自然保护的短文。
题目:保护海洋生态环境的重要性海洋生态环境对地球上的生态系统和人类生存都至关重要。
然而,由于人类活动的过度干扰和污染,海洋生物多样性面临严重威胁。
因此,保护海洋生态环境至关重要。
首先,海洋生态环境为无数物种提供了栖息和繁衍的场所。
sat数学试题及答案SAT数学试题及答案一、选择题1. 一个圆的半径是5,求这个圆的面积。
A. 25πB. 50πC. 75πD. 100π答案:B2. 如果一个数列的前三项是2, 4, 6,那么第10项是多少?A. 18B. 20C. 22D. 24答案:B3. 一个三角形的三边长分别为3, 4, 5,这个三角形是:A. 等边三角形B. 等腰三角形C. 直角三角形D. 钝角三角形答案:C二、填空题4. 一个数的平方根等于它本身,这个数是________。
答案:0或15. 如果一个函数f(x) = 3x + 5,求f(-2)的值。
答案:-16. 一个长方形的长是10厘米,宽是5厘米,求它的周长。
答案:30厘米三、简答题7. 一个圆的周长是31.4厘米,求这个圆的直径。
解:根据圆的周长公式C = πd,我们有31.4 = πd。
解得d = 31.4 / π ≈ 10厘米。
8. 一个等差数列的首项是5,公差是3,求第20项的值。
解:等差数列的通项公式为an = a1 + (n - 1)d。
将首项a1 = 5和公差d = 3代入公式,得到a20 = 5 + (20 - 1) * 3 = 5 + 57 = 62。
9. 一个直角三角形的两条直角边分别是6和8,求斜边的长度。
解:根据勾股定理,斜边c的长度等于两直角边的平方和的平方根,即c = √(6² + 8²) = √(36 + 64) = √100 = 10。
四、解答题10. 一个工厂生产了1000个零件,其中5%是次品。
如果工厂决定只出售合格的零件,那么工厂将出售多少个零件?解:首先计算次品的数量,1000 * 5% = 50个。
然后从总数中减去次品的数量,得到出售的合格零件数量:1000 - 50 = 950个。
11. 一个投资项目预计在第一年结束时产生$10,000的利润,如果每年的增长率为5%,那么第三年结束时的利润是多少?解:使用复合利息公式计算,P = P0 * (1 + r)^n,其中P0是初始利润,r是增长率,n是年数。
国外英语考试《SAT Test》试题(网友回忆版)三[单选题]1.After graduation, optimistic an(江南博哥)d energetic business school students frequently lose their ______; their enthusiasm ______ by their exposure to the harsh and often unpleasant realities of the business world.A.cynicism, bedraggledB.ardor, sulliedC.mendacity, dilapidatedD.earnestness, substantiatedE.autonomy., budivivessed参考答案:B参考解析:第一个空缺的词应该与冒号之后的词“their enthusiasm”相关。
cynicism“玩世不恭;愤世嫉俗”;ardor“热情;狂热”;mendacity“谎言;虚伪”;earnestness“认真;诚挚”;autonomy“自治;自治权”。
可知ardor和earnestness符合第一个空缺的词。
严酷的和让人不愉快的现实影响了这些人积极的人生观。
sully“玷污;毁坏”;tarnish“玷污;使失去光泽;substantiate“证实”;选项B正确。
dilapidate“变得荒废”;bedraggle “弄湿;弄脏”;buttress“支持”。
[单选题]2.The athlete committed such a ______ foul that the referee had no choice but to throw him out of the game and petition for a______.A.blatant, suspensionB.miniscule, fineC.egregious, celebrationD.obligatory, decorationE.nautical, ceremony参考答案:A参考解析:裁判没有别的选择只能把那个犯规的运动员感触比赛。
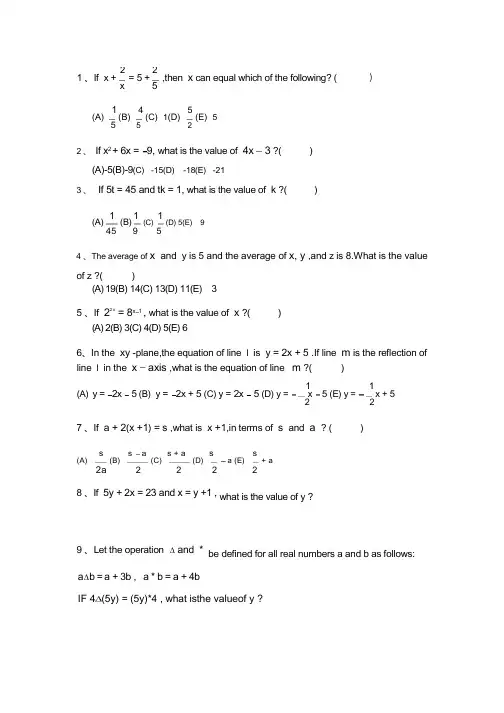
2 2)1 、If x + = 5 + ,then x can equal which of the following? (x 51 4 5(A) (B) (C) 1(D) (E) 55 5 22 、If x2 + 6x = 9, what is the value of 4x3 ?( )(A)-5(B)-9(C) -15(D) -18(E) -213 、If 5t = 45 and tk = 1, what is the value of k ?( )1 1 1(A) (B) (C) (D) 5(E) 945 9 54 、The average of x and y is5 and the average of x, y ,and z is 8.What is the value of z ?( )(A) 19(B) 14(C) 13(D) 11(E) 35 、If 22 x = 8x 1 , what is the value of x ?( )(A) 2(B) 3(C) 4(D) 5(E) 66、In the xy -plane,the equation of line l is y = 2x + 5 .If line m is the reflection of line l in the x axis ,what is the equation of line m ?( )1 1(A) y = 2x 5 (B) y = 2x + 5 (C) y = 2x 5 (D) y = x 5 (E) y = x + 52 27 、If a + 2(x +1) = s ,what is x +1,in terms of s and a ? ( )s s a s + a s s(A) (B) (C) (D) a (E) + a2a 2 2 2 28 、If 5y + 2x = 23 and x = y +1 , what is the value of y ?9 、Let the operation and * be defined for all real numbers a and b as follows:a b = a + 3b , a * b = a + 4bIF 4(5y) = (5y)*4 , what isthe valueof y ?x 2 3x1 、If y = 3 ,what is the value of2 y ?( )1 2 3 9(A) 3 (B) 3 (C) 1 (D) 2 (E) 42 、If 24x = 16 ,then x = ( )(A) 1 (B) 2 (C) 4 (D) 8 (E) 123 、How much greater than r 2 is r + 5 ? ( )(A) 2 (B) 3 (C) 5 (D) 6 (E) 73 54 、IF 7 of n is 42, what is7 of n ? ( )(A)70 (B) 45 (C) 30 (D) 185 、If x2 + y 2 = 73and xy = 24 ,what is the value of (x + y)2 ? ( )(A) 73 (B) 97 (C) 100 (D) 121 (E) 1446 、If 2x 5, x +1, and 3x 8 are all integers and x +1 is the median of theseintegers, which of the following could be a value for x ? ( )(A) 5 (B) 7 (C) 9 (D) 10 (E) 117 、If 2x < y < 0 ,which of the following is greatest ? ( )(A) 2x (B) (2x + y) (C) 2x (D) 0 (E) y8 、If 3b +1 < 10,which of the following CANNOT be the value of b ? ( )(A) -1 (B) 0 (C) 1 (D) 2 (E) 39 、If 30 percent of 40 percent of a positive number is equal to 20 percent of wpercent of the same number, what is the value of w ? ( )(A) 80 (B) 60 (C) 50 (D) 15 (E) 101 110 、If (a + b)2 = (a b) 2 ,which of the following must be true? ( )(A) b = 0 (B) a + b = 1 (C) a b = 1 (D) a2 + b2 = 1 (E) a2 b2 = 11 、 IF f (x) = 3 一 2x 2xfor all nonzero x , then f (2) = ( ) (A)11/2 (B)7/2 (C) — 1/2 (D) —5/2 (E) —72 、It takes 4 complete turns of a crank to raise a window 2 inches. At this rate, how many turns does it take to raise the same window3 2inches?( )(A)3.5 (B) 7 (C)12 (D)14 (E)353、In the figure, AD = BD = 1, DC = 3 , 三ADB = 900 . What is the value of 三BCD ?(A) 15BA D C(第 3 题图)4 、In the right triangle above, if(A) 13 (B) 15(D) 30 (E) 352 yx (第 4 题图)x = 3,what is the value of y ?( )(C) 4 (D) 17 (E) 55 、In the figure above,the circle is tangent to sides BC and AD of the 8 一 by 一 12 rectangle ABCD .What is the area of the circle? (A) 16 (B) 20 (C) 36 (D) 64 nB C lx 0y 0 m(第 5 题图)(第 6 题图)6 、In the figure above , l 」n and x > 90 .Which of the following must be true ?( )(A) y < 90 (B) y > 90 (C) y = 90 (D) n 」m (E) l // m7 、Let the operation be defined by a * b = a a b bfor all numbers a andb,where a b .If 1* 2 = 2 * x , what is the value of x ?( )(E) 96(C) 25(B) 2011 、If= 7 21, What is the value of x? ( )(A)4 (B) 5 (C)9(D) 12 (E) 152 、In the xy-plane ,the line with equation y = 5x 一 10 crosses the x-axis at the pointwith coordinates(a ,b) .What is the value of a ? ( )(A) 一 10300 300(B) 一 2 (C) 0 (D) 266 6(E) 53 、What is the perimerer of the figure above? ( ) (A) 24 (B)25 (C) 28 (D)30 (E)364 、If m is the greatest prime factor of 38 and n is the greatest prime factor of 100,what is the value of m + n ? ( )(A) 7 (B) 12 (C) 24 (D)29 (E) 44QP R5 、In the figure above ,QR is the arc of a circle with center P , if the length of arc QRis 6 , what is the area of sector PQR? ( ) (A) 108 (B) 72 (C) 54 (D) 36 (E) 96 、There are 75 more women than men enrolled in Linden College .If there are n menenrolled ,then ,in terms of n ,what percent of those enrolled are men ? ( ) (A)%(B)%(C)% (D)% (E)%7 、If xr = v ,v = kr,and rv 士 0, which of the following is equal to k ? ( ) (A) 1 (B) 1/ x (C) x 一 1 (D) x (E) x +18 、If x 2 一 y 2 = 21, and x + y = 1, what is the value of x ?9 、 Let the function h(x) be defined byh(x) = 14 + x2 , if h(2m)= 9m , what is one possible value of m ?43001 、If 3x + 9 = 5x +1,what is the value of x ( )(A) 1 (B) 2 (C) 3 (D) 4 (E) 82 、There is the same number of boys and girls on a school bus when it departs from school. Atthe first stop. 4 boys get of the bus and nobody gets on. After the first stop , there are twice as many girls as boys on the bus. How many girls are on the bus? ( )(A) 4 (B) 6 (C)8 (D) 12 (E)163 、In the figure, there line segments meet at a point to form three angles. What is the value of x ? ( )2x4x 3x(A) 20 (B) 36 (C)40 (D) 45 (E) 604、Positive integers x, y, and z satisfy the equations1 1x 2 =3 andy z = 16 .If z > y ,whatis the value of x + z ? ( )(A) 5 (B) 7 (C) 11 (D) 13 (E) 155 、If p is an integer and 3is the remainder when2p + 7 is divided by 5, then p could be ( )(A) 2 (B) 3 (C) 4 (D) 5 (E) 66 、Stacy noted that she is both the 12th tallest and the 12th shortest student in her class. If everyone in the class is of a different height, how many students are in the class? ( )(A) 22 (B) 23 (C) 24 (D) 25 (E) 347、The price of a telephone was first increased by 10 percent and then the new price was decreased by 25 percent. The final price was what percent of the initial price ? ( )(A) 78% (B) 80% (C) 82.5% (D) 85% (E) 87.5%8、When the number w is multiplied by 4, the result is the same as when 4 is added to w . What is the value of 3w ( )3 4(A) 4 (B) 1 (C) 3 (D) 3 (E) 49 、The lengths of the sides of a right triangle are consecutive even integers, and the length of the shortest side is x . Which of the following equations could be used to find x ( )(A) x + y + 1 = x + 2(B) x2 +(x +1)2 = (x + 2)2 (C) x2 +(x + 2)2 = (x + 4)2(D) x + x + 2 = x + 4(E) x2 = (x + 2)(x + 4)110 、If x is an integer greater than 1and if y = x + , which of the following must bextrue ?(1) y x (2) y is an integer (3) xy > x2 ( )(A)(1) only (B)(3) only (C)(1) and (2) only (D)(1) and (3) only (E)(1)(2) and (3)1 、If 2r = 5s ,5s = 6t, what doesr equalin terms of t? ( )(A)12t (B) 6t (C) 3t (D) 15t (E) 30t25 52 、For which of the following function is f (一3) > f (3)? ( )(A) f (x) = 4x 2(B) f (x) = 4 (C)f (x) =x(D) f (x) = 4 一 x 3 (E) f (x) = x 4+ 43 、If Y is the midpoint of XZ ,which of the following must be true? ( ) (1)YZ= 1 XZ (2) 1XZ = 2XY (3)2XY=XZ2 2(A)(1) only (B)(2) only (C) (3) only (D)(1) and (2) (E)(1) and (3) 4 、For what value of x is the FALSE statement about 3x 2 (3x)2 ( )1(A)-3 (B)0 (C) 3(D) 1 (E) For no value of x5 、For how many ordered pairs of positive integers (x, y) is 2x + 3y6 ? ( ) (A)1 (B)2 (C)3 (D) 5 (E) 76 、If x and y are positive consecutive odd integers, where x y ,which of thefollowing is equal to y 2 一 x 2 ( )(A)2x (B)4x (C)2x+2 (D)2x+4 (E)4x+47 、If the average of x and y is k ,which of the following is the average of x,y and z? ( )(A) 2k + z (B) 2k + z (C) k + z (D) k + z (E)2(k + z) 3 2 3 2 3 8 、When 15 is divided by the positive integer k ,the remainder is 3.For how manydifferent values of k is this true? ( ) (A)1 (B)2 (C)3 (D) 4 (E) 59 、When the number t is multiplied by 4, the result is the same as when 4 is added to t . What is the value of 3t?( )3 4(A) 4 (B) 1 (C) 3 (D) 3 (E) 410 、In the xy-plane, line l passes through the origin and is perpendicular to the line 4x + y = k ,where k is a constant.If the two lines intersect at the point (t, t + 1) ,what is the value oft?41 、If 8 + k = 15 ,then k =( )(A) 7 (B) 49 (C) 529 (D) 7 (E) 232、If m and kare positive numbers and 10m2k 1 = 100m ,what is m 1in terms of k ? ( )k k k 1 1(A)10 (B) 90 (C) 10 (D) 10k (E) 90k3、If a,b,and c are different positive integers and 2a . 2b . 2c = 64, then 2a + 2b + 2c= ( )(A)14 (B)17 (C) 21 (D) 28 (E)344 、If 20 percent of x equals 80 percent of y ,which of the following expresses y in terms of x ?( ) (A)y = 16%ofx (B)y = 25%ofx (C)y = 60%ofx (D)y = 100%of x (E) y = 400%ofx 5 、The numerator of a certain fraction is 5 less than the denominator. If the fraction is equal to34 ,what is the denominator of this fraction ?( )(A) 8 (B) 12 (C) 16 (D) 20 (E) 246 、In the xy- plane,the center of a circle has coordinates (3,-7).If one endpoint of a diameter of the circle is (-2,-7).What are the coordinates of the other endpoint of this diameter?( ) (A)(-7,-7) (B)(-2,-2) (C) (3,-2) (D)(8,-2) (E)(8,-7)7 、If 0x 1 , which of the following statemengts must be true ? ( )(1) x 2 > x 3 (2) x > 2x(3) x > x 3(A)(1) only (B)(3) only (C)(1) and (2) only (D)(1) and (3) only (E)(1)(2) and (3)8 、Let the function f be defined by f (x ) = x +1. If 2f (p ) = 20, what is the value off (3p )1 、If x+3=a,then 2x+9=( )(A)a+3 (B)a+6 (C)2a (D)2a+3 (E)2a+61 1 1(A)-4 (B)0 (C)1 (D)2 (E)33 、How old was a person exactly 1 year ago if exactly x years ago the person was yyears old ? ( )(A)y- 1 (B)y-x- 1 (C)x-y- 1 (D)y+x+1 (E)y+x- 14 、A,B and C are points on a line in that order ,if AB=30 and BC is 20 more thanAB ,what does AC equal ? ( )(A)50 (B)60 (C)70 (D)80 (E) 905 、If 0 n 1 , which of the following statemengts must be true ? ( )(A) n n n2 (B) n n2 n (C) n n n2 (D) n n2 n (E) n2 n n6 、In a poll, 35 people were in favor of building a new library, 14 people were against it, and 1 person had no opinion. What fraction of those polled were in favor of building a new library? ( )7 2 3 1 3(A) 10 (B) 3 (C) 7 (D) 3 (E) 1010 一k = 37 、Ifk 一5 = 8,What is the value of k ?8 、If a + 2b is equal to 125 percent of 4b ,what is the value of9 、What is the value of x in the figure above?65°lmx20°10 、In the xy 一coordinate plane,the distance between point A(x,3) is 17.What is one possible value of x ?B(10,18)and point2 、If x = 2 ,what is the value of x + x 一1 ( )ab1 、If 24x= 16 ,then x = ( )(A) 1 (B) 2 (C) 4 (D) 8 (E) 12 2 、 If 5t = 45 and tk = 1, what is the value of k ?( )1 (A)451 (B) 9 1 (C)5(D) 5 (E) 93 、If 22 x= 8x 一1 , what is the value of x ?( )(A) 2 (B) 3 (C) 4 (D) 5 (E) 64 、I f a , b , c ,and f are four nonzero numbers then all of the following proportions areequivalent EXCEPT( )(A) f a = c b (B) c f = a b (C) a c = b f (D) c a = f b(E) af bc = f bx 一 y = 8, y = 3z,and z = 25 、 If ,what is the value of x ?( ) (A)- 14 (B) -2 (C) 2 (D) 3 (E)146、Todd is older than Marta but younger than Susan. If i , m and s represent the ages in years of Todd .Marta and Susan respectively, which of the following is true ?( )A. m < i < sB. s < m < iC. s < i < mD. i < m < sE. i < s < m7 、If the areas of two regions are equal and the sum of the areas of the regions is 5. What is the areas of one region ?( )5 5(A) 0 (B) 2 (C) 4 (D) 5 (E) 10n 2 + 18 、Let S be the set of all integers that can be written as . Where n is a nonzero integer. Which of the following integers is in S ?( ) (A) 16 (B) 28 (C) 35 (D) 39 (E) 509 、 Let the operation be defined by a b =for all numbers a andb ,If x 2 = 1x , what is the value of x ?1 、If 3(n 4) = 18 ,what is the value of n ? ( )14 323 32 、 IF 7 of n is 42, what is 7 of n ? ( )(A)70 (B) 45 (C) 30 (D) 183 、If 4x = 2x aand x 丰 0 ,what is the value of a ? ( )1 1(A) 8 (B) 4 (C) 2 2 44 、In the xy-coordinate plane line l is perpendicular to the y-axis and passes through ( )5 、If x 2 + y 2 = 73and xy = 24 ,what is the value of (x y)2 ? ( )(A) 25 (B) 97 (C) 100 (D) 121 (E) 1446 、If 4(x + y)(x y) = 40 and x y = 20 . What is the value of x + y ?7 、A recipe for chili for 20 people requires 4 pounds of beans. At this rate how many pounds of beans are required to make chili for 150 people ?8 、When the positive even integer n is increased by 50 percent of itself ,the result is between 16 and 20 .What is one possible value of n ?9 、The perimeter of a rectangular plot of land is 250 meters .If the length of one side of the plot is 40 meters , what is the area of the plot in square meters ?the point (5,-3). Which of the following is an equation of line l ?(A) x = 0 (B) x = 5 (C) y = 3 (D) y + 3 = x + 5 (E) y 3 = x + 5(A)(B) (C) 6 (D) 10 (E) 22 3 5 (D) (E)1 、If 30 percent of m is 40.What is 15 percent of m ? ( )(A) 15 (B) 20 (C) 25 (D) 30 (E) 352 、 If 0 x 8 and 1 y3 , which of the following gives the set of all possible values of xy( )(A) xy 4 (B)0 xy 24 (C) 1 xy 11 (D) 1 xy 24 (E) 8 xy 24 3 、According to a certain recipe , 25 pounds of flour are needed to make 300 rolls.At this rate how many pounds of flour are needed to make 12 rolls? ( )(A) 1 (B) 2 (C) 3 (D) 4 (E) 62 y(A) 5 (B) 8 (C) 10 (D) 12 (E) 205 、If x y 30 and x 8 , then which of the following must be true ? ( )(A) y 0 (B) y 22 (C) y 22 (D) y 22 (E)x 306 、If k is a positive integer divisible by 3 ,and if k 60 , what is the greatestpossible value of k ?( )(A) 55 (B) 56 (C) 57 (D) 58 (E) 597 、If the average (arithmetic mean) of 6,6,12,16, and x is equal to x . What is the value of x ?( )(A) 6 (B) 8 (C) 9 (D) 10 (E) 118 、How many seconds are there in m minutes and s seconds ? ( )(A) 60m s (B) m 60s (C) 60(m s) (D)9 、If (2x 2)(2 x) 0 ,what are all the possible values of x ? ( )(A) 0 only (B) 1 only (C) 2 only (D) 1 and 2 only (E) 0,1 and 210 、If x 3 y 9 , what is x in terms of y ?( )(A) y (B) y 2 (C) y 3 (D) y 6 (E) y 1211 、 If 2(x 3) 8 , what doesequal ?12 、When twice a number is decreased by 3 , the result is 253. What is the number ? x 4 、If xy 10 , what is the value of 2 y ?( )1 、If = 5 21,what is the value of a ? ( ) (A) 4 (B) 8 (C) 9 (D) 12 (E) 152 、If x 2 一 x 一 2 = 0 ,what are all the possible values of x ? ( )(A) 0 only (B) - 1 only (C) 2 only (D) - 1 and 2 only (E) 0,- 1 and 2 3 、How many integers in the set of all integers from 1 to 100 inclusive are not the square of an integer ? ( )(A) 19 (B) 50 (C) 81 (D) 89 (E) 904 、If n is a negative number. Which of the following must be positive ? ( ) (A) 2 (B) 2n (C) n + 2 (D) n 一 2 (E) 2 一 n5 、The ratio 1.2 to 1 is equal to which of the following ratios ? ( )(A) 1 to 2 (B) 12 to 1 (C) 5 to 6 (D) 6 to 5 (E) 6 to 506 、If 3(m 一 4) =1 ,what is the value of m? ( )(A) 3 (B) 3 (C) 6 (D) 10 (E) 227 、If 24x = 16 ,then x = ( )(A) 1 (B) 2 (C) 4 (D) 8 (E) 121 1 29 、If x = 2x and x 士 0 ,what is the value of 2a +1?3 a10 、If (x + y)(x 一 y) = 40 and x 一 y = 20 . What is the value of 2x + 3y ?1 、If x+1=m,then 2x+3=( )8 、If x = 2 ,what is the value of 2x + x 一 1n13 26(A)m+3 (B)m+6 (C)2m (D)2m+1 (E)2m+32 、If 3(2n 4) 18 ,what is the value of n ? ( )(A) 5 (B) 4 (C) 6 (D) 10 (E) 223 、If 2t 3 13and tk 1, what is the value of k ?( )1 (A)451(B)91(C)5(D) 5 (E) 94 、If y 2x 5, y 3z,and z 3,whatis thevalueof x ? ( )(A)- 14 (B) -2 (C) 2 (D) 3 (E)145 、A,B and C are points on a line in that order ,if AB=15 and BC is 20 more than AB ,what does AC equal ? ( )(A)50 (B)60 (C)70 (D)80 (E) 906 、If x2 y 2 9 and xy 2 ,what is the value of ☎x y✆2 ? ( )(A) 4 (B) 5 (C) 6 (D) 7 (E) 87 、According to a certain recipe,25 pounds of flour are needed to make 300 rolls.At this rate how many pounds of flour are needed to make 36 rolls? ( )(A) 1 (B) 2 (C) 3 (D) 4 (E) 68 、If the average of 3,4,6,7, and x is equal to x . What is the value of x ?( )(A) 4 (B) 5 (C)6 (D)7 (E)89 、If k is a positive integer divisible by 5 ,and if k 60 , what is the greatest possible value of k ?( )(A) 50 (B) 51 (C) 55 (D) 56 (E) 5810 、If 2(x 3) 8 , what does equal ? ( )(A) 1 (B) 2 (C) 3 (D) 4 (E) 511 、If 2x y 4 and 3x 2y 2 . What is the value of x y ?12 、Let the operation be defined by x y for all numbers x and y,If a2 3a , what is the value of 2a+1?1 、If 2n 10 20 , then n 8 ( )(A) 6 (B)7 (C) 8 (D)9 (E)102 、If 6565 65(x 1) , then x ( )(A)10 (B)11 (C) 100 (D)101 (E)1.0013 、If n 3p , for what value of p is n p ?( )(A) 0 (B)1/3 (C) 1 (D)3 (E)n can never equal p4 、If m x m 2 m 10 , (m 3 )y m 12 , what is the value of x y ?( )(A) 8 (B)9 (C) 10 (D)11 (E)125 、If a and b are positive integers and a 2 b 2 7 , what is the value of a ?( )(A) 3 (B)4 (C) 5 (D) 6 (E) 76 、Which of the following numbers is between 1/5 and 1/4 ?( )(A) 0.14 (B) 0.15 (C) 0.19 (D) 0.21 (E) 0.267 、If n represents an odd integer, which of the following expressions represents an even integer ?( )(A) n+2 (B) 2n- 1 (C) 3n-2 (D) 3n+2 (E) 5n+18 、The following are coordinates of points in the xy-plane,which of these points is nearest the origin ?( )(A) (0,- 1) (B) (0,1/2) (C) (1/2,- 1/2) (D) (1/2,1/2) (E) (- 1,- 1)1 b10、Let x be defined as x! x 2 x for all value of x .Ifa ! (a 2) ! ,what is the value of 2a+3 ?9 、If a 16 , a 4b , what is the value of 2a 3b ?1 、If 2a 5 15, then 2a 8 ( )(A)10 (B)11 (C) 12 (D)13 (E)142 、If 121 11(2x 1) , then x ( )(A)5 (B)6 (C) 7 (D)8 (E)93 、If n 2p 1 , for what value of p is n p ?( )(A) 0 (B)1/2 (C) 1 (D)3 (E)n can never equal p4 、If a x a 2 a 10 , (a 3 )y a 12 , what is the value of 2x y ?( )(A) 14 (B)13 (C) 10 (D)11 (E)125 、If x 2 y 2 9 and xy 2 ,what is the value of ☎x y ✆2 ? ( )(A) 11 (B)12 (C) 13 (D) 14 (E) 156 、If the average of 3,4,6,7, and x is equal to x . What is the value of x+2?( )(A) 4 (B) 5 (C)6 (D)7 (E)87 、If n represents an odd integer, which of the following expressions represents aneven integer ?( )(A) n+4 (B) 2n-3 (C) 3n-4 (D) 3n (E) 3n+18 、The following are coordinates of points in the xy-plane, which of these points isthe farthest origin ?( )(A) (0,- 1) (B) (1,- 1) (C) (2,0) (D) (3/2,1/2) (E) (- 1,1)4 y10 、Let x be defined as x* x 2 x 1 for all value of x . Ifm * (m 1)* ,what is the value of 2m+1 ? 9 、If x 16 , and y 2x , what is the value of 2x 3y ?。
sat考试练习题SAT考试是世界上最广泛认可的高中学术能力考试之一,许多学生都会参加这个考试以展示自己的综合能力和获得大学入学机会。
为了帮助大家更好地准备SAT考试,下面将提供一些经典的练习题供大家参考。
阅读理解Passage 1:In recent years, the use of smartphones among young people has increased dramatically. This has had both positive and negative impacts on their lives. On one hand, smartphones have made communication more convenient, allowing teenagers to stay connected with friends and family at all times. On the other hand, excessive smartphone use has been linked to decreased productivity and attention span.1. According to the passage, what is one positive impact of smartphone use among young people?2. What is one negative impact of excessive smartphone use according to the passage?Passage 2:Climate change is a pressing global issue that requires immediate action from individuals and governments. Rising temperatures and extreme weather events are evidence of this phenomenon. Mitigating the effects of climate change is crucial for the survival of our planet and future generations.3. What is the main idea of this passage?4. Why is mitigating the effects of climate change important?Writing and LanguageQuestion 1:Original Sentence: The students, who were busy studying for their exams, were suddenly interrupted by a fire alarm going off in the building.5. Which of the following revisions to the underlined portion would most effectively convey the intended meaning, while also maintaining the appropriate tone and style?a) The students, who had been studying diligently for their exams, were abruptly interrupted by a fire alarm sounding loudly in the building.b) The students, who were busily studying for their exams, were suddenly interrupted as a result of the fire alarm going off in the building.c) The students, who had been busy studying for their exams, were suddenly interrupted by the loud sound of a fire alarm coming from the building.d) The students, who were busy studying for their exams, were abruptly interrupted when a fire alarm went off in the building.Question 2:Original Sentence: The painting was both visually stunning and leaves a lasting impression on viewers.6. Which of the following options best replaces the underlined portion while maintaining the intended meaning?a) stunning visually yet leavesb) visually stunning, yet it also leavesc) stunning in its visual effects, and it also leavesd) visually stunning while also leavingMathematicsQuestion 1:7. The equation 2x + 5y = 10 is graphed on a coordinate plane. Which of the following points is a solution to the equation?a) (2, 1)b) (1, 2)c) (0, 2)d) (3, 1)Question 2:8. A rectangular prism has a length of 6 cm, a width of 4 cm, and a volume of 72 cm³. What is its height?a) 3 cmb) 6 cmc) 9 cmd) 12 cm以上是一些经典的SAT考试练习题,希望能够帮助大家更好地准备SAT考试。
SAT 试题1.An object that’s moving with constant speed travels once around a circular path.Truestatements about this motion include which of the following?A.The displacement is zeroB. The average speed is zeroC. The acceleration i s zeroD. None of the aboveA2.Which of the following must always be true?1.If an object ’s acceleration is constant,then it must move in a straight line2.If an object ’s acceleration is zero,then its speed must remain constant3.If an object ’s speed remains constant,then its acceleration must be zero.A.1 and 2 onlyB.1 and 3 onlyC.2 onlyD.3 onlyE.2 and 3 o nlyC4.A frictionless inclined plane of length 20m has a maximum vertical height of 5m. If anobject of mass 2 kg is planced on the plame . Which of the following best approximates thenet force it feels?A.5NB.10NC.15ND.20NE.30NA5.A person who weighs 800N steps onto a scale that is on the floor of an elevator car. If the elevator accelerates upward at a rate of 5 m/s 2 , what will the scale read?A.400NB.800NC.1000ND.1200NE.1600ND6 .A person standing on a horizontal floor feels two forces: the downward pull of gravityand the upward supporting force from the floor. There two forcesA.have equal magnitudes and from an action /reaction pairB.have equal magnitudes but do not from an action /reaction pairC.have unequal magnitudes and from an action /reaction pairD.have unequal magnitudes and do not from an action /reaction pairE.N one of the a boveB7.How long would it take a car,starting from rest and accelerating uniformly in a straightline at 5m/s 2 ,to cover a distance of 200m?A.9s B 10.5s C.12.0s D.15.5s E.20.0sA8.A rock is dropped off a cliff and strikes the ground with an impact velocity of 30m/s.Howhigh was the cliff?A.15mB.20mC.30mD.45mE.60mD9.A soccer ball at rest on the ground,is kicked with an initial velocity of 10m/s at a launangle of 30 0 .Calculate its total flight time , assuming that air resistance is negligible.A.0.5sB.1sC.1.7sD.2sE.4sB10.If all of the forces acting on an object balance so that the net force is zero , thenA.the object must be at restB.the object ’s speed will decreaseC.the object will follow a parbolic trajectoryD.the object ’s direction of motion can change,but its speed cannotE.N one of the a boveE11.The coefficie nt of static friction between a box and a ramp is 0.5. The ramp ’s incline angle is 30 0 .If the box is placed at rest on the ramp, box willA.accelerate down the r ampB.accelerate briefly down the ramp but then slow down and stopC.m ove with constant velocity down the rampD.n ot moveE.C annot be determined from the information givenA12.A 20N block is being pushed across a horizontal table by an 18N force . If the coefficient of kinetic friction between the block and the table is 0.4. find he acceleration of the blockB.1 m/s 2C.5 m/s 2D.7.5 m/s 2E.9m/s 2A.0.5 m/s 2C13.A stone is thrown horizontally with an initial speed of 30m/s from a bridge.Find thestone ’s total speed when it enters the water 4 seconds later(Ignore air resistance.)A.30m/sB.40m/sC.50m/sD.60m/sE.70m/sC14.Which one of the following statements is true concerning the motion of an ideal projectile launched at an a ngle of 45 0 to the borizontal?A.The acceleration vector points opposite to the velocity vector on the way up and in thesame direction as the velocity vector on the way downB.The speed at the top of the trajectory is zero.C.The object ’s total speed remains constant during the entire flightD.The horizontal speed decreases on the way up and increases on the way downE.The vertical speed decreases on the way up and increases on the way downE15.Which pair of forces can produce a resultant of 15 newtons?A.20N,20NB.25N,5NC.5N,5ND.7N,7NE.5N,3NA16.Two crates are stacked on top of each other on a horizontal floor , crate # 1 is on thebottom , and crate #2 is on the top . Both crates have the same mass . Co mpared with thestrength of the force F1necessary to push only crate #1 at a constant speed across the floor,the strength of the force F necessary to push the stack at the same constant speed across2the floor is greater than F because1A.the force of the floor on crate #1 is greaterB.the coefficient of kinetic friction between crate #1 and the floor is greaterC.the force of kinetic friction. But not the normal force, on crate #1 is greaterD.the coefficient of static friction between crate #1 and the floor is greaterE.the weight of crate #1 is greaterA17.A crate of mass 100kg is at rest on a horizontal floor. The coefficient ofstatic frictionbetween crate and the floor is 0.4, land the coefficient of kinetic friction is 0.3. A force F of magnitude 344N is then applied to the crate,parallel to the floor. Which of the following is true?A.The crate will accelerate across the floor at 0.5m/s 2B.Thestatic friction force , which is the reaction force to F as guaranteed by Newton ’s thirdlaw . will also have a magnitude of 344NC.The crate will slide across the floor at a constant speed of 0.5m/sD.The crate will not m oveE None of the aboveD18.A block of mass m is at rest on a frictionless, horizontal table placed in a laboratory the surface of the earth . An identical block is at rest on a frictionless, horizontal tableplaced on the surface of the moon . Let F be the net force necessary to give the earth-houndblock an acceleration of a across the table . Given that gm oon is one sixth of gearth, the forcenecessary to give the moon-boud block the same acceleration a across the table isA.F/12B.F/6C.F/3D.FE.6FD19.As the angle between two concurrent forces increases,the magnitude of their resultantA.increases onlyB.decreases and then increasesC.increases and then decreasesD.remains the sameE.decreases only E20.A girl walks 2 meters north, 4 meters west,and 2 meters south.Her final displacement isA.4 m eastB.4m westC.2m northD.2m southE.5m northwestB21.A cart is pulled by a rope making an angle of 45 0 to the horizontal.If 100 newtons of force are applied to the rope,the magnitude of the horizontal component force is approximatelyA.45NB.141NC.100ND.80NE.71NE22.A moon of mass m orbits a plant of mass 100m. Let the strength of the gravitationalforce exerted by the planet on the moon be denoted by F1,and let the strength of thegravitational force exerted by the moon on the planet be F2true?.Which of the following isA. F1=100 F2B.10 F = F2 1C. F = F1 2. D. F2.=10 F1E. F2.=100F123.At the surface of the earth , an object of mass m has weight w . If this object is transported to an altitude that ’s twice the radius of the earth , then , at the new locationA. its mass is m/2 and its weight is w/2B. its mass is m and its weight is w/2C.its mass is m/2 and its weight is w/4D. .its mass is m and its weight is w/4E. .its mass is m and its weight is w/9E24.I f the distance between two point particles is doubled, then the gravitational force between themA.decreases by a factor o f 4B. decreases by a factor of 2C. increases by a factor of 2D. increases by a factor of 4E.Cannot be determined without knowing the masses25.The resultant of a 3-newton and a 4-newton force acting simultaneously on an object at right angles to each other is,in newtonsA.0B.1C.3.5D.5E.7D26.Two force act together on an object.The magnitude of their resultant is least when the angle between the forces i sA.0B.45C.60D.90E.180E27.T he resultant of a 5-newton and a 12-newton force acting simultaneously on an object inthe same direction is,in n ewtons.A.0B.5C.7D.13E.17E28.An object is moving around a circle of radius 1.5 meters at a constant velocity of 7meters per second. The frequency of the motion, in revolution per second, isA.0.24B.0.53C.0.67D.0.74E.0.98D29.An object undergoes uniform accelerated motion. If the radius of the path is 2 metersand the period is equal to 4 seconds, the magnitude of the centyipetal acceleration is equa toA.5m/s 2B.10 m/s 2C.20 m/s 2D.25 m/s 2E.30 m/s 2A30.An object undergoes uniform accelerated motion. If the radius of the path is equal to 1.5meters and the magnitude of the centripetal acceleration is equal to 6 m/s 2 ,the magnitudeof the tangential velocity is equal toA.3m/sB.4 m/sC.5 m/sD.6 m/sE.9 m/sA。
美国高考sat数学试题及答案美国高考SAT数学试题及答案1. 某商店进行促销活动,所有商品打8折。
如果一件商品原价为$50,那么打折后的价格是多少?A. $40B. $45C. $35D. $20答案:B2. 一个长方形的长是宽的两倍,如果宽为$x$,那么长方形的周长是多少?A. $6x$B. $4x$C. $2x$D. $8x$答案:A3. 如果一个数的平方等于36,那么这个数是多少?A. 6B. -6C. 6 或 -6D. 0答案:C4. 在一次数学测试中,平均分是75分。
如果一个学生得了80分,那么他的分数比平均分高了多少?A. 5分B. 10分C. 15分D. 20分答案:A5. 一个圆的半径是5厘米,那么这个圆的面积是多少平方厘米?A. 25πB. 50πC. 75πD. 100π答案:B6. 如果一个函数$f(x) = 2x + 3$,那么$f(-1)$的值是多少?A. -1B. 1C. 5D. 7答案:B7. 一个等差数列的首项是3,公差是2,那么这个数列的第10项是多少?A. 23B. 21C. 19D. 17答案:A8. 如果一个三角形的两边长分别是5和7,且这两边夹角是90度,那么这个三角形的面积是多少?A. 12.5B. 15C. 17.5D. 20答案:A9. 如果一个函数$g(x) = x^2 - 4x + 3$,那么这个函数的最小值是多少?A. -1B. 0C. 1D. 3答案:A10. 在一个装有红球和蓝球的袋子里,红球和蓝球的比例是2:3。
如果随机抽取一个球,抽到红球的概率是多少?A. 2/5B. 3/5C. 4/5D. 1/2答案:A结束语:以上是美国高考SAT数学部分的试题及答案,希望对准备参加SAT考试的学生有所帮助。
sat考试题及答案SAT考试题及答案1. 阅读部分阅读部分包含52个问题,分为5篇文章,每篇文章后附有若干个问题。
以下是一篇示例文章及相关问题。
文章摘要:本文讨论了城市化对环境的影响,特别是城市扩张对野生动物栖息地的破坏。
问题1:作者提到城市化的主要目的是什么?A. 提高城市居民的生活质量B. 增加城市的经济收入C. 减少对自然环境的破坏D. 保护野生动物的栖息地正确答案:A问题2:根据文章,城市扩张对野生动物栖息地的影响是什么?A. 栖息地面积增加B. 栖息地面积减少C. 栖息地质量提高D. 栖息地质量下降正确答案:B2. 写作和语言部分写作和语言部分包含44个问题,要求考生修改句子、段落和整个文章,以提高语言的准确性和表达的清晰度。
问题3:以下句子中,哪个选项是语法正确的?A. She is one of the most talented singers who has ever performed.B. She is one of the most talented singers who have ever performed.C. She is one of the most talented singers who had ever performed.D. She is one of the most talented singers who has ever performed.正确答案:B问题4:以下哪个选项最适合填入空白处,以使段落连贯?原文:"The new policy aims to reduce traffic congestion by encouraging people to use public transportation."A. However, many people still prefer driving their own cars.B. Therefore, the policy has been successful in reducing traffic.C. As a result, the number of cars on the road has decreased.D. Despite this, traffic congestion remains a problem.正确答案:A3. 数学部分数学部分包含58个问题,分为两个部分:无需计算器部分和需计算器部分。
SAT测试题ⅠSentence completion (每题两分,共30分)1. Although its publicity has been------, the film itself is intelligent, well-acted, handsomely produced, and altogether------.A. tasteless---respectableB. extensive---moderateC. sophisticated---amateurD. risqué---crudeE. perfect---spectacular2. Dangerously high winds ------ attempts to begin the space shuttle mission on schedule, delaying the launch by nearly a week.A. thwartedB. forfeitedC. implementedD. dischargedE. redoubled3. More valuable and comp rehensive than any previously proposed theory of phenomenon, Salazar’s research has ------ the basis for all subsequent ------ in her field.A. undermined…advancementsB. prepared…debaclesC. provided…investigationsD. dissolved…experimentsE. reinforced…m isconceptions4. Hoping to ------ the dispute, negotiators proposed a compromise that they felt would be ------ to both labor and management.A. enforce…usefulB. end…divisiveC. overcome…unattractiveD. extend…satisfactoryE. resolve…acceptable5. For many of the villagers, marriage was a practical ------, one not necessarily ------ of love but nevertheless grounded largely in economic advantage.A. arrangement…devoidB. entertainment…disparagingC. attitude…consistingD. bargain…worthyE. misfortune…tru sting6. The research is so ------ that it leaves no part of the issue unexamined.A. comprehensiveB. rewardingC. sporadicD. economicalE. problematic7. It is sometimes customary to view rain as---sign; many believe that if it rains on the day of your wedding, you will enjoy financial prosperity.A. an inopportuneB. a meagerC. an auspiciousD. an untimelyE. a modest8. The scene was even---than Rebecca had ---; dead trees and patchy brown seemed to stretch on forever under a leaden sky.A. ugl ier…feignedB. drearier…envisionedC. lazier…divulgedD. scantier…desiredE. keener…perceived.9. The name of the housing development is a---; although it is called “Forest Hills,” it is located in a---valley.A. dilution…riverB. fallacy…neglectedC. misnomer…treelessD. retelling…contentedE. fault…barren10. A true ascetic, Jorge---luxuries and other worldly pleasures in an effort to ---his spiritual side.A. spurns…fortifyB. embraces…emulateC. relishes…assistD. condones…reclaimE. lambastes…inte rpret11. Scientific discoveries are often thought of as the result of ------- effort, but many discoveries have, in fact, arisen from ------- or a mistake.(A) conscientious . . a method(B) incidental . . a mishap(C) collaborative . . a design(D) persistent . . an extension(E) systematic . . an accident12. As ------ as the disintegration of the Roman Empire must have seemed, that disaster nevertheless presented some ------ aspects.A.momentous…formidableB.decisive…unavoidableC.unexpected…ambiguousD.advantageous…beneficialE.catastrophic…constructive13. For a long time, most doctors maintained that taking massive doses of vitamins was relatively harmless; now, however, some are warning that excessive dosages can be ------.A.healthyB.expensiveC.wastefulD.toxicE.inane14. Brachiopods, clamlike bivalves of prehistoric times, were one of the most ----- forms of life on the Earth: more than 30,000 species have been ------ from fossil record.A. plentiful…subtractedB. ornate…retrievedC. multifarious…cataloguedD. scarce…extractedE. anachronistic…extrapolated15. Some interactive computer games are so elaborately contrived and require such ------ strategies that only the most ------ player can master them.A. Byzantine…adroitB. nefarious…conscientiousC. devious…lackadaisicalD. onerous…slipshodE. predictable…compulsiveⅡImproving Sentences & Identifying Sentence Errors (两部分共25分)Improving Sentences (每题2分,共20分)1. Some of the Smithsonian Institution’s most prized items, form Duke Ellington’s musicaltranscripts to First Ladies’ gowns, coming from unsolicited donations.A. coming fromB. they come fromC. they have come fromD. came fromE. which came from2. Lecturing at the university, read the poetry of Margaret Atwood was the advice Professor Clark gave her audience.A. read the poetry of Margaret Atwood was the advice Professor Clark gave her audienceB. the poetry of Margaret Atwood was what Professor Clark advised her audience to readC. her audience was advised by Professor Clark to read the poetry of Margaret AtwoodD. Margaret Atwood’s poetry, advised Professor Clark, was what her audience should readE. Professor Clark advised her audience to read the poetry of Margaret Atwood3. Evidence from surveys and interviews show friendships made in high school tend to last longer than those made in college.A. show friendships made in high school tend to lastB. show high school friendships that tend to lastC. is showing high school friendships tending to lastD. shows that friendships made in high school tend to lastE. shows friendships in high school tends to last4. Conners, a publishing and media services company, is acquiring Dispatch Education, it manufactures school uniforms.A. Dispatch Education, it manufacturesB. Dispatch Education, which manufacturesC. Dispatch Education, manufacturingD. Dispatch Education; it is manufacturingE. Dispatch Education; for the manufacturing of5. The campus newspaper does not print as much world news as does my hometown.A. as does my hometownB. as does my hometown newspaperC. compared to what my hometown doesD. like my hometown newspaper doesE. like the one in my hometown does6. The poet Claude McKay was a native of Jamaica who spent most of his life in the United States but writing some of his poems in the Jamaican dialect.(A) The poet Claude McKay was a native of Jamaica who spent most of his life in the United Statesbut writing(B) Being that he was a Jamaican who spent most of his life in the United States, thepoet Claude McKay writing(C) Although a native of Jamaica, the poet Claude McKay spent most of his life in the United States,he wrote(D) Although the poet Claude McKay spent most of his life in the United States, hewas a native of Jamaica and wrote(E) Because he was a native of Jamaica who spent most of his life in the United States, the poetClaude McKay writing7. Many ancient Eastern rulers favored drinking vessels made of celadon porcelain because of supposedly revealing the presence of poison by cracking.(A) because of supposedly revealing the presence of poison(B) for being supposed that it would reveal the presence of poison(C) because of being supposed to reveal poison in it(D) for it was supposed to reveal that there is poison(E) because it was supposed to reveal the presence of poison8. John believes that plants respond to human attention, which causes his talking to his African violets every night.(A) attention, which causes his talking(B) attention and talking is what is done(C) attention and his talks(D) attention; for this reason has been his talking(E) attention; he therefore talks9. All the demands on soprano Kathleen Battle for operatic performances, solo concerts, and special guest appearances, tempting her to sing too often and straining her voice.(A) appearances, tempting her to sing too often and straining(B) appearances not only tempt her to sing too often plus they strain(C) appearances tempts her not only into singing too often but then she strains(D) appearances, tempting her into singing too often and she therefore strains(E) appearances tempt her to sing too often and strain10. One reason that an insect can walk on walls while a human cannot is that the mass of its tiny body is far lower than humans.(A) far lower than humans(B) far lower than that of a human’s body(C) lower by far than humans(D) far lower than a human(E) far lower than is a human’s bodyIdentifying Sentence Errors (每题1分,共5分)11. Fourteen years after the Galileo space probe was launched from the space shuttleAAtlantis, the mission was purposed ended when the Galileo disintegrates in the denseB C Datmosphere of the planet Jupiter. No errorE12. Many professional athletes are motivated by either personal pride and love of theirA Bsport, but some seem interested only in money. No errorC D E13. Even though only parts of clay vessels may be recovered, these pottery shards areA Binvaluable to the archaeologist because it is virtually indestructible. No errorC D E14. Paule Marshall, whose Barbadian background has influenced her writing, describesA B Cmany details of life in the Caribbean Islands vividly in her novels and short stories.DNo errorE15. It is far easier to ride a bicycle than explaining in words exactly how a bicycleA B Cis ridden. No errorD EⅢPassage-based reading (每题3分,共45分)The passages below are followed by questions based on their content; questions following a pair of related passages may also be based on the relationship between the paired passages. Answer the questions on the basis of what is stated or implied in the passages and in any introductory material that may be provided.Question 1-4 are based on the following passages.Passage 1The eighteenth-century botanist Carolus Linnaeus’enormous and essential contribution to natural history was to devise a system of classification whereby any plant or animal could identified andslotted into an overall plan. Yet Linnaeus himself would probably be the first to admit that classification is only a tool, and not the ultimate purpose, of biological inquiry. Unfortunately, this truth was not apparent to his immediate successors, who for the nest hundred years were to concern themselves almost exclusively with classification.Passage 2I am a heretic about Linnaeus. I do not dispute the value of the tool he gave natural science, but I am wary about the change it has effected on human relationship to the world. From Linnaeus on, much of science has been devoted to sorting masses into individual entities and arranging the entities neatly. The cost of having so successfully itemized and pigeonholed nature is to limit certain possibilities of seeing and apprehending. For example, the modern man thinks that he or she can best understand a tree (or a species of tree) by examining a single tree. But trees are not intended to grow in isolation. They are social creatures, and their society in turn supports other species of plants, insects, birds, mammals, and micro-organisms, all of which make up the whole experience of the woods.pared to the author of Passage 2, the author of Passage 1 regards Linnaeus with more(A)cynicism(B)bafflement(C)appreciation(D)nostalgia(E)resentment2.Unlike the author of Passage 1, the author of Passage 2 make use of(A) scientific data(B) literary allusion(C) historical research(D) personal voice(E) direct citation3.Both passages emphasize which of the following aspects of Linnaeus’ work(A)The extent to which it contributed to natural science(B)The way in which it limits present-day science(C)The degree to which it revived interest in biology.(D)The decisiveness with which it settled scientific disputes(E)The kinds of scientific discoveries on which it built.4.The author of Passage 1 would most likely respond to the opening of Passage 2 (Line 12-17) byarguing that the author of Passage 2 has(A)demonstrated that Linnaeus should be better known as a scientist that he currently is(B)minimized the achievements of those scientists who built on Linnaeus’ work(C)refused to appreciate the importance of proper classification to scientific progress(D)failed to distinguish the ideas of Linnaeus from those of his followers(E)misunderstood Linnaeus’ primary contribution to natural historyQuestion 5-10 are based on the following passage.The following is an excerpt from a translation of a novel written in Spanish by an author from Colombia. In a fanciful manner, the novelist portrays the townspeople of an isolated village.Dazzled by so many and such marvelous inventions, the people of Macondo did not know where their amazement began, They stayed up all night looking at the electric bulbs fed by the electric plant that Aureliano Triste had brought back when the train made its second trip, and it took time and effort for them to grow accustomed to its obsessive noise.They became indignant over the living images that the prosperous merchant Bruno Crespi projected on the screen in the theatre with the lion-head ticket windows, for the character who had died and was buried in one film, and for whose misfortune tears of affliction had been shed, would reappear alive and transformed into an Arab sheik in the next one. The audience, who paid tow cents apiece to share the difficulties of the actors, would not tolerate such an outlandish fraud and they broke up the seats. The major, at the urging of Bruno Crespi, explained in a proclamation that the cinema was a machine of illusions that did not merit the emotional outbursts of the audience. With that discouraging explanation many felt that they had been the victims of some new trickery and theydecided not to return to the movies, considering that they already had too many troubles of their own to weep over the acted-out misfortunes of imaginary beings.Something similar happened with cylinder phonographs brought from France and intended as a substitute for the antiquated hand organs used by the band of musicians. For a time the phonograph records had serious effects on the livelihood of the musicians. At first curiosity increased the business on the street where they were sold and there was even word of respectable persons who disguised themselves as workers in order to observe the novelty of the phonograph at firsthand, but from so much and such close observation they soon reached the conclusion that it was not an enchanted mill as everyone had thought and as some had said, but a mechanical trick that could not be compared with something so moving, so human, and so full of everyday truth as a band of musicians, It was such a serious disappointment that when phonograph became so popular that there was one in every house they were not considered objects for amusement for adults but as something good for children to take part.On the other hand, when someone from the town had the opportunity to test the crude reality of the telephone installed in the railroad station, which was thought to be rudimentary version of the phonograph because of its crank, even the most incredulous were upset. It was as if God had decided to put to the test every capacity for surprise and was keeping the inhabitants of Macondo in a permanent alteration between excitement and disappointment, doubt and revelation, to such an extreme that no one knew for certain where the limits of reality lay.5.The word “obsessive” (line 5) most nearly means(A)enthusiastic(B)persistent(C)obvious(D)infatuated(E)hardworking6.The “fraud” (Line 11) that upset the citizens of Macondo was related to the(A)excessive charge for admission(B)outlandish adventures of the characters on the screen(C)fact that the events depicted on the screen did not actually occur(D)types of difficulties the actors faced(E)implausible plots of the stories that were told7.The citizens lost interest in their phonographs because(A)the machines lack the heart and soul of true musicians(B)few people were able to operate them(C)the machines were too difficult to observe firsthand(D)many musicians lost their job because of them(E)the children were breaking them faster than they were made8.The citizens of Macondo were distressed by the arrival of telephone because they(A)did not know where it come from(B)had expected a more socially beneficial invention(C)could envision the change it would bring to daily village life(D)no longer felt able to make the usual assumptions about their world(E)were fearful that it would have serious affects on their continued employment9.The aspects of the new inventions that most disappointed the citizens was that these inventions(A)were not all fashioned with crank(B)did not have any real educational value(C)were not at all what they seemed to be(D)were meant purely for entertainment(E)were so intricate they ere difficult to operate10.The major purpose of the passage is to(A)illustrate the influence the distinguished residents of Macondo had on the other citizens(B)describe the new scientific inventions that were introduced to Macondo(C)depict a diverse crowd reacting in unison to a magical performance(D)describe the people’s responses to the influx of technical advances(E)delineate old-fashioned ideas about the virtue of nature over technologyQuestions 11-15 are based on the following passage.This passage is from the preface to a 1997 book by a United States journalist detailing a disagreement between doctors and family members about a child’s medical treatment at a hospital in California.Under my desk I keep a large carton of cassette tapes. Though they have all been transcribed, I still like to listen to them from time to time.Some are quiet and easily understood. They are filled with the voices of American doctors, interrupted occasionally by the clink of a coffee cup or beep of a pager. The rest—more than halfof them—are very noisy. They are filled with the voices of the Lees family, Hmong refugees from Laos who came to the United States in 1980. Against a background of babies crying, children playing, doors slamming, dishes clattering, a television yammering, and an air conditioner wheezing, I can hear the mother’s voice, by turns breathy, nasal, gargly, or humlike as it slides up and down the Hmong language’s eight tones; the father’s voice, louder, slower, more vehement; and my interpreter’s voice, mediating in Hmong and English, low and deferential ineach. The hubbub summons sense-memories: the coolness of the red metal folding chair, reserved for guests, that was always set up when I arrived in the apartment; the shadows cast by the amulet that hung from the ceiling and swung inthe breeze on its length of grocer’s twine; the tastes of Hmong food.I sat on the Lees’ red chair for the first time on May 19, 1988. Earlier that spring I hadcome to Merced, California, because I had heard that there were somemisunderstandings at the county hospital between its Hmong patients and medical staff. One doctor called them“collisions,” which made it sound as if two different kinds of people had rammed into each other, head on, to the accompaniment of squealing brakes and breaking glass. As it turned out, the encounters were messy but rarely frontal. Both sides were wounded, but neither side seemed to know what had hit it or how to avoid another crash.I have always felt that the action most worth watching occurs not at the center of things but where edges meet. I like shorelines, weather fronts, international borders.These places have interesting frictions and incongruities, and often, if you stand at the point oftangency, you can see both sides better than if you were in the middle of either one. This is especially true when the apposition is cultural. When I first came to Merced, I hoped that the culture of American medicine, about which I knew a little, and the culture of the Hmong, about which I knew nothing, would somehow illuminate each other if I could position myself between the two and manage not to get caught in the crossfire. But after getting to know the Lees family and theirdaughter’s doctors and realizing how hard it was to blame anyone, I stopped analyzing thesituation in such linear terms. Now, when I play the tapes late at night, I imagine what they would sound like if I could splice them together, so the voices of the Hmong and those of the American doctors could be heard on a single tape, speaking a common language.11. In line 12, “summons” most nearly means(A) sends for(B) calls forth(C) requests(D) orders(E) convenes12. It can be inferred from lines the last five lines in the third paragraph that “collisions”wasNOT an apt description because the(A) clash between Hmong patients and medical staff was indirect and baffling(B) Hmong patients and the medical staff were not significantly affected by the encounters(C) medical staff was not responsible for the dissatisfaction of the Hmong patients(D) misunderstandings between the Hmong patients and the medical staff were easy to resolve(E) disagreement reached beyond particular individuals to the community at large13. Which of the following views of conflict is best supported by lines 26-28 (“These . . . one”)in the last paragraph(A) Efforts to prevent conflicts are not always successful.(B) Conflict can occur in many different guises.(C) In most conflicts, both parties are to blame.(D) You can understand two parties that have resolved their conflicts better than two parties thatare currently in conflict.(E) You can learn more about two parties in conflict as an observer than as an involved participant.14. According to lines 28-32 (“When I . . . crossfire”), the author’s initial goal was to(A) consider the perspectives of both the American doctors and the Lees family to see what insightsmight develop(B) serve as a counselor to the county hospital’s Hmong patients in order to ease their anxieties(C) work out a compromise between the Americandoctors and the Lees family(D) acquire a greater knowledge of how the Americanmedical culture serves patients(E) try to reduce the misunderstandings between the American doctors and the Lees family andpromote good will15. At the end of the passage, the author suggests that it would be ideal if the(A) differences between the Lees family and the American doctors could be resolved quickly(B) concerns and opinions of the Lees family and the American doctors could be merged(C) American doctors could take the time to learn more about their Hmong patients(D) Hmong patients could become more vocal indefense of their rights(E) Hmong patients could get medical treatment consistent with their cultural beliefsSAT答案Answers:ⅠSentence completion1-5 AACEA 6-10 ACBCA 11-15 EEDCAⅡImproving Sentences & Identifying Sentence Errors1-5 DEDBB 6-10 DEEEB 11-15 CBDEBⅢPassage-based reading1-5 CDADB 6-10 CADCD 11-15 BAEAB。
美国sat考试试题美国SAT考试试题SAT(Scholastic Assessment Test)是美国大学入学考试中最为重要的一项。
它评估学生在阅读、写作和数学方面的能力,是美国高中生申请大学时必须参加的考试之一。
SAT考试试题丰富多样,旨在全面考察学生的学术素养和解决问题的能力。
阅读部分的试题涵盖了各种文学作品、科学文章和社会科学领域的文章。
考生需要通过阅读理解文章的主旨、推理作者的观点以及分析文章中的论证和证据等技能来回答问题。
例如,以下是一道SAT阅读部分的题目:"According to the passage, what is one reason why the author believes that climate change is a pressing issue?"A. The author believes that climate change is causing more frequent natural disasters.B. The author believes that climate change is a result of human activities.C. The author believes that climate change is negatively impacting the economy.D. The author believes that climate change is a politically divisive topic.这道题目要求考生根据文章内容推断作者为何认为气候变化是一个紧迫问题。
正确答案是A,因为文章提到气候变化导致自然灾害更加频繁。
写作部分的试题要求考生撰写一篇短文,表达自己的观点,并支持观点的论据。
题目通常与社会问题、教育、科技或文化等相关。
以下是一道SAT写作部分的题目:"Should schools require students to wear uniforms? Support your position withreasoning and examples from your own experience, observations, or reading." 这道题目要求考生就学校是否应该要求学生穿校服发表观点,并提供理由和例子进行支持。
Official SAT® Practice Test 2014-15Taking the Practice TestThe practice test will help you most if you take it under conditions as close as possible to those of the actual test.•Set aside 3 hours and 20 minutes of uninterrupted timeThat way you can complete the entire test in one sitting. Note: The total testingtime is 3 hours and 45 minutes, but you save 25 minutes because the unscoredsection* from this practice test was omitted.•Sit at a desk or table cleared of any other papers or booksYou won’t be able to take a dictionary, books, notes, or scratch paper into the test room.•Allow yourself the specified amount of time for each section Pace yourself by using a watch (without an audible alarm), which is what you areallowed to use on test day.•Have a calculator at hand when you take the math sectionsThis will help you determine how much to use a calculator the day of the test. Use a calculator with which you are familiar------preferably the same calculator you will use on test day.•Read the test instructions carefullyThey are reprinted from the back cover of the test book. On test day, you will beasked to read them before you begin answering questions.•Make sure you use a No. 2 pencilIt is very important that you fill in the entire circle on the answer sheet darkly andcompletely. If you change your response, erase it as completely as possible. It isvery important that you follow these instructions when filling out your answersheet.•Record your answers on paper, then score your testUse the answer sheet when completing a practice test on paper to simulate the real testing environment. After completing the practice test, you can score the testyourself with ‘‘Scoring Your Test,’’ or you can return to 34Getting Ready for the SATESSAYTime — 25 minutesTurn to page 2 of your answer sheet to write your ESSAY.The essay gives you an opportunity to show how effectively you can develop and express ideas. You should, therefore, take care to develop your point of view, present your ideas logically and clearly, and use language precisely.Your essay must be written on the lines provided on your answer sheet—you will receive no other paper on which to write. You will have enough space if you write on every line, avoid wide margins, and keep your handwriting to a reasonable size. Remember that people who are not familiar with your handwriting will read what you write. Try to write or print so that what you are writing is legible to those readers.Important Reminders:x A pencil is required for the essay. An essay written in ink will receive a score of zero. x Do not write your essay in your test book. You will receive credit only for what you write on youranswer sheet.x An off-topic essay will receive a score of zero.x If your essay does not reflect your original and individual work, your test scores may be canceled.You have twenty-five minutes to write an essay on the topic assigned below.Think carefully about the issue presented in the following excerpt and the assignment below.Nowadays nothing is private: our culture has become too confessional and self-expressive.People think that to hide one’s thoughts or feelings is to pretend not to have those thoughtsor feelings. They assume that honesty requires one to express every inclination and impulse.Adapted from J. David Velleman, “The Genesis of Shame”Assignment: Should people make more of an effort to keep some things private? Plan and write an essay in which youdevelop your point of view on this issue. Support your position with reasoning and examples taken fromyour reading, studies, experience, or observations.BEGIN WRITING YOUR ESSAY ON PAGE 2 OF THE ANSWER SHEET.If you finish before time is called, you may check your work on this section only.Do not turn to any other section in the test.35SECTION 2Time — 25 minutes20 QuestionsTurn to Section 2 (page 4) of your answer sheet to answer the questions in this section.Directions: For this section, solve each problem and decide which is the best of the choices given. Fill in the corresponding circle on the answer sheet. You may use any available space for scratch work.1. If 10 x is 5 more than 10, what is the value of 2x ?(A) 5 (B) 5 (C) 10 (D) 25 (E) 502. The result when a number is divided by 2 is equal tothe result when that same number is divided by 4. What is that number?(A) 4 (B) 2 (C) 0 (D) 2 (E) 436Getting Ready for the SAT3. If this page was folded along the dotted line in thefigure above, the left half of the letter W wouldexactly coincide with the right half of W. Which ofthe following letters, as shown, CANNOT be foldedalong a vertical line so that its left half would coincidewith its right half?(A)(B)(C)(D)(E)4.In the figure above, lines and k intersect at point Q.If 40m and 25,p what is the value of x ?(A) 15(B) 20(C) 25(D) 40(E) 65x y230 316294155. Which of the following equations is satisfied by thefive pairs of numbers listed in the table above?(A)y x33(B) y x33(C) yx36(D)y x26(E)y x276. The circle graph above shows how David’s monthlyexpenses are divided. If David spends $450 per monthfor food, how much does he spend per month on hiscar?(A) $200(B) $320(C) $360(D) $400(E) $450377. If n and k are positive integers and 82,nk what isthe value of ?nk(A) 14(B) 13(C)12(D) 3 (E)48. In a certain store, the regular price of a refrigerator is$600. How much money is saved by buying this refrig-erator at 20 percent off the regular price rather than buying it on sale at 10 percent off the regular price with an additional discount of 10 percent off the sale price?(A) $6 (B) $12 (C) $24 (D) $54 (E)$609. If the function f is defined by ()34,f xx then 2()4fx (A) 54x (B) 58x (C) 64x (D) 68x (E) 612x10.What is the greatest possible area of a triangle withone side of length 7 and another side of length 10 ?(A) 17 (B) 34 (C) 35 (D) 70 (E) 14011.A total of 120,000 votes were cast for 2 opposingcandidates, Garcia and Pérez. If Garcia won by a ratio of 5 to 3, what was the number of votes cast for Pérez?(A) 15,000 (B) 30,000 (C) 45,000 (D) 75,000 (E) 80,00012.If a positive integer n is picked at random from thepositive integers less than or equal to 10, what is the probability that 5314n +≤?(A) 0(B)110(C) 15(D)310(E)2513.If t is a number greater than 1, then t 2is how muchgreater than t ?(A) 1 (B) 2 (C) t(D) t t −()1(E)t t −()+()1114.The height of a right circular cylinder is 5 and thediameter of its base is 4. What is the distance from the center of one base to a point on the circumference of the other base?(A) 3 (B) 5(C) 29 (approximately 5.39) (D)33 (approximately 5.74) (E)41(approximately 6.40)38 Getting Ready for the SATwhich of the following can be the pThe grid above represents equally spaced streets in a town that has no one-way streets.F marks the corner where a firehouse is located. Points W ,X ,Y represent the locations of some other buildings. The39) 2(B) 2x1yx 41y x 1is 9, what is the units digit of40Getting Ready for the SATSECTION 3Time — 25 minutes24 QuestionsTurn to Section 3 (page 4) of your answer sheet to answer the questions in this section.Directions:For each question in this section, select the best answer from among the choices given and fill in the corresponding circle on the answer sheet.Each sentence below has one or two blanks, each blankindicating that something has been omitted. Beneaththe sentence are five words or sets of words labeled Athrough E. Choose the word or set of words that, wheninserted in the sentence, best fits the meaning of thesentence as a whole.Example:Hoping to------- the dispute, negotiators proposeda compromise that they felt would be ------- to bothlabor and management.(A) enforce . . useful(B) end . . divisive(C) overcome . . unattractive(D) extend . . satisfactory(E) resolve . . acceptable1. Many private universities depend heavily on -------,thewealthy individuals who support them with gifts andbequests.(A) instructors (B) administrators(C) monitors (D) accountants(E) benefactors2. One of the characters in Milton Murayama’s novelis considered ------- because he deliberately defiesan oppressive hierarchical society.(A) rebellious (B) impulsive (C) artistic(D) industrious (E) tyrannical3. Nightjars possess a camouflage perhaps unparalleledin the bird world:by day they roost hidden in shadywoods, so ------- with their surroundings that they arenearly impossible to -------.(A) vexed . . dislodge(B) blended . . discern(C) harmonized . . interrupt(D) impatient . . distinguish(E)integrated . . classify4. Many economists believe that since resources arescarce and since human desires cannot all be -------,a method of ------- is needed.(A)indulged . . apportionment(B) verified . . distribution(C) usurped . . expropriation(D) expressed . . reparation(E)anticipated . . advertising5. The range of colors that homeowners could use on theexterior of their houses was ------- by the community’s stringent rules regarding upkeep of property.(A) circumscribed (B) bolstered(C) embellished (D) insinuated(E) cultivated41The passages below are followed by questions based on their content; questions following a pair of related passages may also be based on the relationship between the paired passages. Answer the questions on the basis of what is stated or implied in the passages and in any introductory material that may be provided. Questions 6-9 are based on the following passages. Passage 1I know what your e-mail in-box looks like, and itisn’t pretty: a babble of come-ons and lies from hucksters and con artists. To find your real e-mail, you must wade through the torrent of fraud and obscenity known politely as “unsolicited bulk e-mail” and colloquially as “spam.” 5In a perverse tribute to the power of the online revolution, we are all suddenly getting the same mail: easy weight loss, get-rich-quick schemes, etc. The crush of these mes- sages is now numbered in billions per day. “It’s becoming a major systems and engineering and network problem,”10says one e-mail expert. “Spammers are gaining control of the Internet.”Passage 2Many people who hate spam assume that it is protected as free speech. Not necessarily so. The United States Supreme Court has previously ruled that individuals15may preserve a threshold of privacy. “Nothing in the Constitution compels us to listen to or view any unwanted communication, whatever its merit,” wrote Chief Justice Warren Burger in a 1970 decision. “We therefore categori-cally reject the argument that a vendor has a right to send20unwanted material into the home of another.” With regard to a seemingly similar problem, the Telephone Consumer Protection Act of 1991 made it illegal in the United States to send unsolicited faxes; why not extend the act to include unsolicited bulk e-mail?25 6. The primary purpose of Passage 1 is to(A) make a comparison (B) dispute a hypothesis (C) settle a controversy (D) justify a distinction (E)highlight a concern7. The primary purpose of Passage 2 is to(A) confirm a widely held belief(B) discuss the inadequacies of a ruling (C) defend a controversial technology (D) analyze a widespread social problem (E)lay the foundation for a course of action8. What would be the most likely reaction by the authorof Passage 1 to the argument cited in lines 16-21 of Passage 2 (“Nothing . . . another”) ?(A) Surprise at the assumption that freedom of speechis indispensable to democracy(B) Dismay at the Supreme Court’s vigorous defenseof vendors’ rights(C) Hope that the same reasoning would be appliedto all unsolicited e-mail(D) Concern for the plight of mass marketers facingsubstantial economic losses(E)Appreciation for the political complexity ofthe debate about spam 9. Unlike the author of Passage 1, the author of Passage 2(A) criticizes a practice (B) offers an example (C) proposes a solution (D) states an opinion (E)quotes an expertLine42Getting Ready for the SAT4344Getting Ready for the SAT4520.The author uses the “automobile” (lines 45-46) to23.Those who hold the “conclusion” referred to in line 1846 Getting Ready for the SATSECTION 547 5. Given the cost of a hardcover book, the price of it 9. At the Constitutional Convention of 1787, the proposal48Getting Ready for the SATThe following sentences test your ability to recognizegrammar and usage errors. Each sentence contains eithera single error or no error at all. No sentence contains morethan one error. The error, if there is one, is underlinedand lettered. If the sentence contains an error, select theone underlined part that must be changed to make thesentence correct. If the sentence is correct, select choice E.In choosing answers, follow the requirements of standardwritten English.EX A MPLE:The otherAdelegates and himBimmediatelyCaccepted the resolution drafted byDtheneutralstates.No errorE12.America’s first roller coaster ride, which opened inA1884 at Coney Island, Brooklyn, and capable ofBa top speedCof onlyDsix miles per hour. No errorE13.The inflation rate in that country is so high thatAeven withBadjusted wages, most workersCcan barelyDpay for food and shelter. No errorE14.Over the pastAtwo years, apparel manufacturers haveBworked to meetingCthe revised federal standardsfor the designDof uniforms. No errorE15.Storing bread in the refrigerator delays dryingAand thegrowth of mold but increaseBthe rate at whichCthebread loses flavorD.No errorE16.According to last week’s survey, most voterswere disappointed byAlegislators’Binability workingCtogether onDkey issues. No errorE17.When Marie Curie sharedAthe 1903 Nobel Prize forPhysics with two otherBscientists—her husbandPierre Curie and Henri Becquerel—she had beenCthe first woman to winDthe prize.No errorE18.Every spring in rural VermontAthe sound of sapdrippingBinto galvanized metal buckets signalCthebeginning of the traditional season for gatheringDmaple syrup.No errorE19.Those investors whoAsoldBstocks just before thestock market crashed in 1929 were eitherCwise orexceptionalD lucky. No errorE4920.Most of the sediment and nutrients of the Mississippi River no longer Areach the coastal wetlands, a phenomenon that has adversely Baffected C the region’s Decological balance. No error E21.Most major air pollutants cannot be seen, althoughlarge amounts of them A concentrated in Bcities are visible Cas Dsmog. No errorE22.The light emitted by high-intensity-dischargecar headlights are A very effective in activating Bthe reflective paints of road markers, therebyCmaking driving at night Dsafer. No errorE23.During Athe nineteenth century, Greek mythologyacquired renewed significance when both Bpoets and painters turned to Cthe ancient myths for Dsubject matter. No errorE24.The museum is submitting Aproposals to severalB foundations inC the hope to gain Dfunds to build a tropical butterfly conservatory. No errorE25.In order Afor the audience to believe in andbe engaged by Ba Shakespearean character, they have Cto come across as a real person Don the stage. No errorE26.Most of A the hypotheses that BKepler developedto explain physical forces were later rejected asCinconsistent to DNewtonian theory. No errorE27.Lynn Margulis’s theory that Aevolution is a processinvolving Binterdependency rather than competition among organisms differs Cdramatically from most biologists D.No errorE28.The Empire State Building, the Sears Tower, theCanadian National Tower—each of these structures Awas B the tallest C in the world at the time they were Dbuilt. No errorE29.The cost of safely disposing Aof the toxic chemicalsis approximately Bfive times what C the company paid to purchase it.DNo errorE50 Getting Ready for the SAT30.Which is the best version of the underlined part of5133.In context, which is the best way to revise sentence 7(reproduced below) ?One of his most famous works is a realistic painting by the name of “The Banjo Lesson.”(A) Add “In contrast,” to the beginning of thesentence.(B) Change “a realistic painting by the name of” to“the realistic painting”.(C) Delete the words “of his most famous works”. (D) Change “is” to “had been”. (E)Delete “most famous”.34.Which sentence is best inserted after sentence 7 ?(A) The painting shows a man teaching his grandsonhow to play the banjo.(B) He finished “The Banjo Lesson” in 1893.(C) In the painting, a bright light sets off the man andboy.(D) Banjos came to the United States from WestAfrica.(E)Portraits by Tanner show a psychological depthand compassion.35.Which is best to add to the beginningof sentence 9 ?(A) Although it is realistic,(B) You can almost hear the music, but(C) Photographs have a beauty of their own, but (D) As a lifelike work,(E)Some people just copy what they see;S T O PIf you finish before time is called, you may check your work on this section only.Do not turn to any other section in the test.52Getting Ready for the SATSECTION 6Time — 25 minutes 18 QuestionsTurn to Section 6 (page 6) of your answer sheet to answer the questions in this section.Directions:This section contains two types of questions. You have 25 minutes to complete both types. For questions 1-8, solve each problem and decide which is the best of the choices given. Fill in the corresponding circle on the answer sheet. You may use any available space for scratch work.4,11,18,...1. In the sequence above, the first term is 4 and each termafter the first is 7 more than the previous term. What is the 12th term of the sequence?(A) 77 (B) 81 (C) 84 (D) 86 (E) 922. If x 2492, then x could be(A) 9 (B) 7 (C) 2 (D) 5 (E) 93. The average (arithmetic mean) of t and y is 15, andthe average of w and x is 15. What is the average of t , w , x , and y ?(A) 7.5 (B) 15 (C) 22.5 (D) 30 (E) 6053In the figure above, triangle ABC is inscribed in thecircle with center O and diameter ACaabbc ac In the figure above,,,AB CD and EF inter 90,50,60,45,s t u and w is the value of x ?(A) 45 Based on the portions of the graphs of the functionsand g shown above, what are all values of x between 6 and 6 for which ?g x f x 63x only 3x 6 x54Getting Ready for the SAT9. When her son’s class held its magazine drive,Dr. Nelson bought 7 one-year magazine subscrip- tions for the waiting room in her office. She bought 4 subscriptions that have 12 issues per year, 2 subscriptions that have 4 issues per year, and 1 subscription that has 52 issues per year. Altogether, how many magazines will her office receive from these subscriptions?10. Three more than twice a number is equal to 4.What is the number?In the figure above, line intersects theand the y-axis at 3.y If lineshown) passes through the origin and is perpendicular value ofIn the figure above,PQRS is a rectangle. The area of2SECTION 7The passages below are followed by questions based on their content; questions following a pair of related passages may also14.It can be inferred that, for Julian Bond,a portrait of“the complete Martin Luther King” (lines 10-11)would(A) celebrate King’s influence both within and out-side the United States(B) acknowledge the logical lapses in some of King’slater work(C) compare King with other significant figures ofhis era(D) achieve a balance between King’s earlier concernsand his later ones(E)reveal information about King’s personal as wellas his public life 15.The author of Passage 2 would most likely view JulianBond’s statement in lines 7-11 of Passage 1 with(A) outright disapproval (B) considerab le surprise (C) cynical mistrust (D) cautious optimism (E) complete agreement16.In line 17, “suffered” most nearly means(A) endured (B) felt(C) prolonged (D) tolerated (E) lamented17.Lines 31-34 (“Segregation in . . . schools”) serveprimarily to(A) express ambitious hopes for the future (B) challenge the accuracy of historicalaccounts(C) provide a contrast with other cultures (D) illustrate a point with particular examples (E)defend a series of unusual occurrences 18.The author of Passage 1 mentions the “sermon”(line 35)primarily in order to(A) show King’s effectiveness as a public speaker (B) demonstrate the broad range of King’s interests (C) illustrate an important trait that King possessed (D) question King’s ability to empathize with others (E)remind readers of a significant obligation to King19.The author of Passage 2 would most likely characterizethe view of King expressed in lines 38-42 of Passage 1 (“The annual . . . America”) as(A) contradictory (B) insightful (C) atypical (D) simplistic (E) arrogant20.Lines 57-58 (“This is . . . Day”) mark a transitionwithin Passage 2 from a(A) consideration of King’s views to a critiqueof people’s understanding of them(B) challenge to King’s beliefs to an acceptanceof their cultural resonance(C) discussion of King’s intellectual predecessorsto an analysis of his legacy(D) celebration of King’s strengths to an exam-ination of his weaknesses(E)defense of King’s aspirations to an attackon those who fail to support them 21.Lines 76-79 in Passage 2 (“The edifying . . .durability”) are best described as(A) contesting the notion of King’s historicalimportance that is advanced by the author of Passage 1(B) providing an explanation for the view ofKing’s speech that is expressed by the author of Passage 1(C) challenging the portrait of the civil rightsmovement that is presented by the author of Passage 1(D) offering a humorous anecdote that sup-ports a statement made by the author of Passage 1(E)dismissing a perspective that is similarlyrejected by the author of Passage 1 22.Unlike the author of Passage 2, the author of Passage 1develops his or her argument by(A) citing an authority with whom he or she disagrees (B) referring to a famous speech delivered by King (C) discussing the universal human trait of dreaming (D)dismissing those who fail to understand the subtlety of King’s thought(E)assuming that his or her readers are completelyunfamiliar with King’s ideas23.The author of Passage 2 would most likely arguethat commemorations focus on “Martin Luther King the dreamer” (line 7 of Passage 1) because people find this aspect of King to be(A) courageous (B) unpretentious (C) reassuring (D) provocative (E) unexpected24.Which best characterizes the overall relationshipbetween the two passages?(A) Passage 2 rejects the political goals that aredescribed in Passage 1.(B) Passage 2 helps account for the responses to aspeech discussed in Passage 1.(C) Passage 2 romanticizes a person who isobjectively depicted in Passage 1.(D) Passage 2 recounts the history of a nationalholiday that is celebrated in Passage 1.(E)Passage 2 reflects on a figure who isdenounced in Passage 1.S T O PIf you finish before time is called, you may check your work on this section only.Do not turn to any other section in the test.SECTION 8Time — 20 minutes 16 QuestionsTurn to Section 8 (page 7) of your answer sheet to answer the questions in this section.Directions: For this section, solve each problem and decide which is the best of the choices given. Fill in the corresponding circle on the answer sheet. You may use any available space for scratch work.1. On Wednesday Heather ran 3 miles in 30 minutes.If she ran for 45 minutes at this rate on Thursday, how far did Heather run on Thursday?(A) 3.5 miles (B) 4 miles (C) 4.5 miles (D) 5 miles (E) 5.5 miles2. If (),26m k then mk(A) 3 (B) 4 (C) 5 (D) 6 (E) 123. If 3 times a number is equal to32, what is the number? (A) 13 (B) 12(C) 23(D) 2 (E) 3In the figure above,CDE is an equilateral triangleand 5?AB AC E is the midpoint ofABC above, ,AC If AEand D is the midpoint of.what is length BC ?20 and y=30 in the figure above, what is the value of z ?how many possible values are there foris the center of both circles in the figure above. If the circumference of the large circle is 36 and the radius of the small circle is half of the radius of the The graph above shows the number of George’s unsold candy bars over a 10-day period. The points on the graph all lie on which of the following lines?(A)10120y x(B) 10120y x16.Which statement best captures the author’s point inlines 54-56 (“Most characters. . . students”) ?(A) The characters spoke through the students’ ownrich cadences.(B) Young drama students have an uncanny knack forconveying character.(C) Most students found class to be repetitious. (D) Characterizations were confined by what thestudents knew.(E)The spontaneity that the students had hoped forhad not been achieved. 17.In line 60, the phrase “home of the character” mostnearly means(A) way of understanding eccentricities (B) social context surrounding a character (C) environment for practicing acting(D) forum in which the self is presented publicly (E)source of a role’s psychological truth18.In lines 63-64, “psychological reality” describes whichquality?(A) The versatility of a performer(B) The physical gestures of a character (C) The essence of an identity(D) The accuracy of an audience’s expectations (E)The logical consistency of certain actions19.The “metaphors” in line 66 are best described as(A) private misgivings (B) ob j ective observations (C) abstract equations (D) memorable phrases (E) personal comparisonsS T O PIf you finish before time is called, you may check your work on this section only.Do not turn to any other section in the test.SECTION 10Time — 10 minutes 14 QuestionsTurn to Section 10 (page 7) of your answer sheet to answer the questions in this section.Directions:For each question in this section, select the best answer from among the choices given and fill in the corresponding circle on the answer sheet.The following sentences test correctness and effectiveness of expression. Part of each sentence or the entire sentence is underlined; beneath each sentence are five ways of phrasing the underlined material. Choice A repeats the original phrasing; the other four choices are different. If you think the original phrasing produces a better sentence than any of the alternatives, select choice A; if not, select one of the other choices.In making your selection, follow the requirements ofstandard written English; that is, pay attention to grammar, choice of words, sentence construction, and punctuation. Your selection should result in the most effective sentence—clear and precise, without awkwardness or ambiguity. EXAMPLE:Laura Ingalls Wilder published her first book and she was sixty-five years old then.(A) and she was sixty-five years old then (B)when she was sixty-five (C) at age sixty-five years old(D) upon the reaching of sixty-five years (E)at the time when she was sixty-five1. In everything from finding comets to spottingsupernovae, amateur astronomers have become soaccomplished, and professional astronomers sometimes seek their help.(A) accomplished, and (B ) accomplished, also (C) accomplished that (D) accomplished therefore (E) accomplished when2. Since scientific advances are central to progress, basicresearch deserving continuing support.(A) basic research deserving continuing support (B)basic research being what deserves continuingsupport(C) basic research deserves continuing support(D) continuing support is deserved by basic research (E)continuing support is what they deserve in basicresearch 3. With Americans consuming sugar in record amounts,nutritionists are urging the public to reduce itsconsumption of sodas, which have largely replaced other, more healthful, beverages.(A) nutritionists are urging the public to reduce itsconsumption of sodas, which(B) nutritionists have been urging that the publicreduces its consumption of sodas; those(C) the public ought to reduce its consuming of sodas,as urged by nutritionists, because they(D) nutritionists urge about reducing public sodaconsumption, which(E)less soda should be consumed by the public, urgenutritionists, which 4. Experts disagree about what is the definition ofintelligence and how to measure it.(A) what is the definition of intelligence and how tomeasure it(B) how to define intelligence, and also itsmeasurement(C) how to define and measure intelligence(D) defining intelligence as well as measurement (E)the definition of intelligence and measuring it。