10.2_二元一次方程组de解法(1)代入消元法
- 格式:ppt
- 大小:3.64 MB
- 文档页数:21
代入消元法解二元一次方程组的步骤代入消元法是解二元一次方程组的一种有效方法,下面将介绍具体的步骤:1. 确定两个方程中要消去的未知量通过观察两个方程,找到其中一个未知量的系数相同的两项,以此为目标要消去的未知量。
例如,方程组2x + 3y = 74x - y = 1要消去的未知量可以是y,因为第一条方程的系数为3,而第二条方程中的系数为-1。
2. 将其中一个方程针对目标未知量进行变形以要消去的未知量为目标,将其中一个方程进行变形,使其系数与另一个方程中的系数相同。
例如,对于上述方程组,可将第一条方程变形为:6x + 9y = 21使其y的系数和第二条方程中的一致。
3. 将变形后的方程和另一个方程组成新的方程组将变形后的方程和另一个方程组成新的方程组,例如:4x - y = 16x + 9y = 214. 将新方程组中的一个方程中的目标未知量代入到另一个方程中将新方程组中的一个方程中的要消去的未知量按照目标未知量的系数代入到另一个方程中。
例如,将第一条方程中y的代入到第二条方程中,有:6x + 9(4x-1) = 215. 解方程得到目标未知量的值根据新的方程,可以解出目标未知量的值,例如:6x + 36x - 9 = 2142x = 30x = 30/42 = 5/76. 将求得的未知量的值代入到原方程中求出另一个未知量将求得的未知量的值代入到任意一个原方程中,求出另一个未知量的值,例如:2x + 3y = 72×(5/7) + 3y = 73y = 49/7 - 10/7y = 39/217. 检验解的正确性将求得的两个未知量的值代入到原方程组中,检验解的正确性。
如果两个方程都成立,那么该解就是正确的。
通过以上步骤,可以使用代入消元法解二元一次方程组。
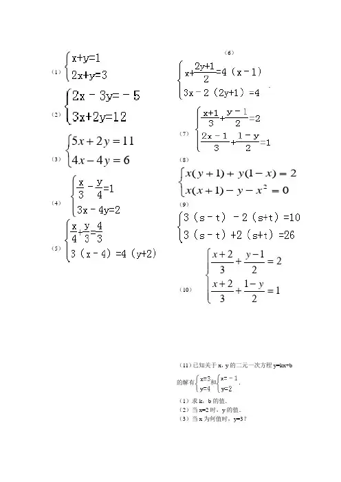
(1)(2)(3)⎩⎨⎧=-=+6441125y x y x (4)(5)(6).(7)(8)⎩⎨⎧=--+=-++0)1(2)1()1(2x y x x x y y x (9)(10)⎪⎪⎩⎪⎪⎨⎧=-++=-++1213222132y x y x(11)已知关于x ,y 的二元一次方程y=kx+b 的解有和.(1)求k ,b 的值.(2)当x=2时,y 的值. (3)当x 为何值时,y=3?(1)(2);(3);(4)(5).(6)(7)(8)(9)(10);(11).在解方程组时,由于粗心,甲看错了方程组中的a,而得解为,乙看错了方程组中的b,而得解为.(1)甲把a看成了什么,乙把b看成了什么?(2)求出原方程组的正确解..求适合得到一组新的方程,,x=本题考查了二元一次方程组的解法,主要运用了加减消元法和代入法.()故原方程组的解为(2)①×解得,y=3把y=3代入故原方程组的解为)原方程组可化为,.所以原方程组的解为,x=,代入×﹣.所以原方程组的解为3.解方程组:先化简方程组,再进一步根据方程组的特点选用相应的方法:用加减法.:原方程组可化为所以方程组的解为.4.解方程组:)原方程组化为,.所以原方程组的解为两个二元一次方程中同一未知数的系数相反或相等时,5.解方程组:解:,.所以方程组的解为的解有和. (1)求k ,b 的值.(2)当x=2时,y 的值.)依题意得:k=,b=y=x+y=y=x+;.(2)先去括号,再转化为整式)原方程组可化为,;)原方程可化为.解方程组:解:原方程组可化为则原方程组的解为..解方程组:解:原方程变形为:..方程中含有分母的要先化去分母,10.解下列方程组: (1)的值;)先将方程组化为整系数方程组,再利用加减消元法求解.)﹣=所以原方程组的解为)原方程组整理为,所以原方程组的解为)(2))原方程组可化简为,解得.∴原方程组可化为,∴原方程组的解为).)先将方程组化简,然后运用加减消元的方法可求出x 、y 的值.;)此方程组通过化简可得:,.13.在解方程组时,由于粗心,,而得解为,求出正确的)把代入方程组得,解得:.代入方程组.∴方程组为则原方程组的解是14.x=(y=∴原方程组的解为;.)化简整理为故原方程组的解为)化简整理为故原方程组的解为)(∴原方程组的解为)原方程组可化为,∴原方程组的解为。
10.2二元一次方程组的解法
【学习目标】
1.探索二元一次方程组的解法,会用代入消元法解二元一次方程组;
2.了解二元一次方程组的“消元”思想方法,初步体会数学中“化未知为已知”的化归思想。
【回顾旧知】
已知方程x+6y=4,用含x 的代数式表示y,则y= ______;用含y 的代数式表示x ,则x=______.这两种形式哪一种更简单?当x=1时,y=_____, 当x=-1时,y=______
【自主学习】阅读课本51-52页观察与思考部分,思考以下问题。
⑴方程组中的方程①②中的x 分别代表什么?意义一样吗?y 分别代表什么?意义一样吗?
(2)如果将其中一个方程变形,把其中一个未知数用另一个未知数表示出来,比如,把方程②变形,用x 表示y ,y =③,变形后的方程③中的x,y 和原来的意义一样吗?数值相等吗?
(3)能否用方程③中的代数式代替方程组中的y 呢?依据是什么?分别代入①②试一试,你发现了什么?
所以,应该把③代人中,得到
此时,消去了未知数,得到关于的一元一次方程。
归纳总结:
1.解二元一次方程组的基本思想是什么?
2.什么是代入消元法?
例1.解 方 程 组
练习
本节课你学到了什么?
⎩
⎨⎧=--=)()(23145121x 3y x y x y y x 17918=+=139
2-=-=+y x y x
【当堂达标】 152=+-=y x y x 132163-=+=+n m n m。
《二元一次方程组的解法—代入消元法》教学设计说课的内容是人教版义务教育课程标准实验教科书《数学》七年级下册,第八章第二节《二元一次方程组的解法》第一课时代入消元法。
下面我从教材分析、教学方法、学法指导、教学过程、教学感想这五个方面汇报我对这节课的教学设想。
一、教材分析1、教材的地位和作用本节主要内容是在上一节已学习了二元一次方程(组)和二元一次方程(组)的解的概念的基础上,来学习解方程组的第一种方法——代入消元法。
并初步体会解二元一次方程组的基本思想----“消元”。
二元一次方程组的求解,用到了前面学过的一元一次方程的解法,是对过去所学知识的一个回顾和提高,同时,也为后面利用方程组来解决实际问题打下了基础。
2、教学目标根据本课教材的特点、课程标准对本节课的教学要求、学生的身心发展的合理需要,我从三个不同的方面确立了以下教学目标:(1)知识技能目标:1)会用代入法解二元一次方程组2)初步体会解二元一次方程组的基本思想----消元(2)能力目标:通过对方程组中未知数特点的观察和分析,明确解二元一次方程组的主要思路是“消元”,由未知向已知的转化,培养观察能力和体会化规思想。
通过用代入消元法解二元一次方程组的训练,培养运算能力。
(3)情感目标:通过研究解决问题的方法,培养学生合作交流意识与探究精神。
3、重点、难点根据学生的认知特点,我确立了本节课的重难点。
重点:用代入消元法解二元一次方程组难点:探索如何用代入法将“二元”转化为“一元”的消元过程。
为了突出重点、突破难点,让学生动手操作,积极参与并主动探索解题方法,我设计并制作了多媒体课件,帮助学生理解代入消元法。
成功的教学必须选择合适的教法和学法,因此我确定如下教法和学法:二、教学方法我采用了探究式教学方法,设疑思考、点拨启发、小组探究、逐步深入。
三、学法指导我采用积极引导学生主动参与,合作交流的方法组织教学,使学生真正成为教学的主体,体会参与的乐趣,成功的喜悦,感知数学的奇妙。
二元一次方程组的解法(第1课时)学习目标:1.通过探索,逐步发现解方程组的基本思想是“消元”,化二元—次方程组为一元一次方程。
2.了解“代人消元法”,并掌握直接代入消元法。
3.通过代入消元,初步理解把“未知”转化为“已知”,和复杂问题转化为简单问题的思想方法。
重点:代入法解二元一次方程组。
难点:用含一个未知数的代数式表示另一个方程。
一、【温故知新】1. 什么叫二元一次方程?什么叫二元一次方程组?什么叫二元一次方程组的解?2. 把下列方程写成用含y 的式子表示x 的形式:如,x+y=2,则x=2-y (1)2x -5y =3 (2)3x +8y -1=0 (3)3y-2x = -1二、【创设情境】诸城市将举行篮球联赛,比赛规则:每场比赛都要分出胜负,每队胜1场得2分,负1场得1分,我校为了争取较好名次,想在全部22场比赛中得40分,请计算一下我校的胜负场数各是多少。
1)如果设一个未知数:胜x 场,可得一元一次方程 . 2)如果设两个未知数:胜x 场,负y 场,可得方程组3)请以小组为单位思考:得出的一元一次方程与二元一次方程组有什么关系? 三、【探索新知】 (一)情境分析:用一个未知数表示另一个未知数 ⑴24x y +=,所以________x =;⑵345x y +=,所以________x =,________y =. (二)合作探究:探究一:1、在方程组 y-x=6 ①中,方程②说明y 和4x 是相等的,因此方程①中的y 可以用————代替,从而方程① y=4x ②可变成一元一次方程 ,解这个一元一次方程可得x= ,再把x 的值代入①或②,可得到y= ,所以方程组的解为 x= y=解:把 代入 得 (②说明y 和4x 相等)(①中消去y ,只剩x ,从而变为一元一次方程)解得:x= (解出x 的值)把x= 代入②得 (可以代入①求y 吗?) y= (求出y 的值)所以 x= (写出方程组的解)y=2、二元一次方程组中有 个未知数,消去其中的一个未知数,就把二元一次方程组转化成了我们熟悉的 ,我们可以先求出 ,然后再求出 ,这种将未知数由 化 ,逐一解决的思想叫做消元思想。
怎么求解二元一次方程组
二元一次方程组是由两个未知数和两个方程组成的方程组。
要求解这样的方程组,可以使用以下方法:
1. 消元法,将方程组中的一个未知数消去,得到只含有一个未知数的方程,然后求解该方程,再将求得的结果代入另一个方程中求解另一个未知数。
2. 代入法,将一个方程中的一个未知数用另一个未知数的表达式代入另一个方程中,然后求解得到一个未知数的值,再将此值代入原方程中求解另一个未知数。
3. 直接相减法,将两个方程相减,消去一个未知数,然后求解得到一个未知数的值,再将此值代入原方程中求解另一个未知数。
这些方法都可以用来求解二元一次方程组,选择合适的方法取决于具体的方程组形式和个人偏好。
通过这些方法,可以有效地求解二元一次方程组,得到方程组的解。
《二元一次方程组》作业设计方案(第一课时)一、作业目标本作业设计旨在巩固学生对二元一次方程组的基本概念和解题方法的理解,通过练习和思考,提高学生的逻辑思维能力和解决问题的能力。
二、作业内容本作业内容主要围绕二元一次方程组的基本概念和解题方法展开,包括以下几个部分:1. 理解二元一次方程组的定义及特点。
学生需能够根据给定的实际问题,正确建立二元一次方程组模型。
2. 掌握二元一次方程组的解法,包括加减消元法和代入法。
学生需通过具体实例,练习这两种方法的运用。
3. 学会用二元一次方程组解决实际问题。
学生需根据实际问题,建立并解决二元一次方程组,理解其在实际生活中的应用。
4. 拓展练习。
包括一些稍具难度的题目,旨在提高学生的思维深度和广度,如含参数的二元一次方程组等。
三、作业要求1. 学生需独立完成作业,不得抄袭他人答案。
2. 解题过程需清晰,步骤完整,答案准确。
3. 对于实际问题,学生需先理解题意,再建立方程组,最后求解。
4. 拓展练习部分,学生需尝试多种方法解题,并对比不同方法的优劣。
5. 作业需按时提交,迟交或不交将按照班级规定处理。
四、作业评价1. 教师将根据学生的作业完成情况,给予相应的评价和反馈。
2. 对于正确率高的学生,教师将给予表扬和鼓励。
3. 对于解题过程中出现错误的学生,教师将指出错误原因,并给出正确解答方法。
4. 教师将根据学生的拓展练习情况,了解其思维深度和广度,并给出相应建议。
五、作业反馈1. 教师将在课堂上对作业进行讲解,重点讲解学生的错误及原因,并给出正确答案和解题思路。
2. 对于学生在解题过程中表现出的优秀思路和方法,教师将在课堂上进行展示和分享。
3. 教师应关注学生在完成作业过程中的困惑和问题,并在课堂上进行解答和指导。
4. 教师将根据学生的作业完成情况,调整后续的教学内容和进度,以确保教学效果和质量。
通过以上作业设计旨在通过多元化的练习和思考,帮助学生全面掌握二元一次方程组的基本概念和解题方法,提高学生的逻辑思维能力和解决问题的能力。
石碁中学 七 年级 数学 科“研学后教、分层渗透”导学稿课题: 二元一次方程组的解法——代人消元法 课型: 新授课 使用时间:一、学习目标:、1、领悟二元一次方程组的解法核心是“消元”,将二元一次方程组转化为一元一次方程来解;2、掌握代入消元法,并能灵活应用。
二、学习重点、难点:三、学习过程:(表现目标——自主学习——合作交流——展示点评(释疑点拨)——巩固拓展—总结评价)四、学习方法:分层次教学,讲授、练习相结合。
五、时间分配:自主学习 交流研讨 ,展示 ,点拨:一)、把以下方程变形为:用一个未知数的代数式表示另一个未知数:例2:x +y =2 可变形为:x =2-y 或y =2-x(1)x +y =-3 (2)2x +y =1 (3) 2.5x y -=(4)2x =3y (5)341x y -=二)、新知探索1、请观察以下图,求出△、□各等于多少。
(小组交流一下解题思路)2、问题:若用字母x 表示△,y 表示□,上图可用方程组表示为:这个方程组应如何解呢?请你试试。
3、例题1:解方程组:⎩⎨⎧==+xy y x 2723解:将②代入①得: 3x+2×( )=7x =把x = 代入②,得y=2×y =∴⎩⎨⎧==y x 小结:班别: 学号: 姓名: ① ②⎩⎨⎧==y x 通过将②代入①,能消去未知数y,把二元一次方程变为 方程,从而解出方程,这样解二元一次方程组的方法叫练习一:解方程组(1)⎩⎨⎧=+=32y x x y (2)⎩⎨⎧==-xy x y 421 (3)⎩⎨⎧=++=721y x y x(4)⎩⎨⎧=++=8323y x y x(5)⎩⎨⎧-==-x y y x 5717345、例题3:解方程组⎩⎨⎧=+=+1737y x y x 解:由①得:y= ③将③代入②,得:3x+( )=17解方程得:将x= 代入③,得:y==∴练习二:解下列方程组:① ②(5)⎩⎨⎧=+-=-10235y x y x (6)32034100x y x y -=⎧⎨-=⎩(7)⎩⎨⎧=+=-751424y x y x (8)⎩⎨⎧=+-=-73482y x x y三)、巩固练习:1、把x +y =1写成用x 表示y 的形式为 。