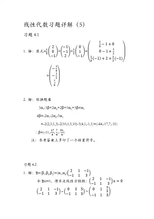
苏州大学线性代数题库-线代05
- 格式:doc
- 大小:104.00 KB
- 文档页数:4
第一部分 专项同步练习第一章 行列式一、单项选择题1.下列排列是5阶偶排列的是 ( ).(A) 24315 (B) 14325 (C ) 41523 (D)24351 2.如果n 阶排列n j j j 21的逆序数是k , 则排列12j j j n 的逆序数是( ). (A )k (B )k n - (C)k n -2! (D)k n n --2)1(3. n 阶行列式的展开式中含1211a a 的项共有( )项。
(A) 0 (B )2-n (C ) )!2(-n (D) )!1(-n4.=0001001001001000( )。
(A ) 0 (B)1- (C) 1 (D) 25. =0001100000100100( ).(A) 0 (B)1- (C ) 1 (D) 26.在函数100323211112)(x x x x x f ----=中3x 项的系数是( ).(A) 0 (B )1- (C) 1 (D) 27。
若21333231232221131211==a a a a a a a a a D ,则=---=323133312221232112111311122222 2a a a a a a a a a a a a D ( ). (A ) 4 (B) 4- (C) 2 (D ) 2-8.若a a a a a =22211211,则=21112212ka a ka a ( )。
(A)ka (B)ka - (C )a k 2 (D)a k 2-9. 已知4阶行列式中第1行元依次是3,1,0,4-, 第3行元的余子式依次为x ,1,5,2-, 则=x ( )。
(A) 0 (B)3- (C) 3 (D) 210. 若5734111113263478----=D ,则D 中第一行元的代数余子式的和为( ). (A )1- (B )2- (C )3- (D )011. 若2235001011110403--=D ,则D 中第四行元的余子式的和为( )。
苏州大学《线性代数》课程试卷库(第十五卷)共4页学院 专业 成绩 年级 学号 姓名 日期 题号 一二三四五六七八九得分1、已知⎪⎪⎭⎫ ⎝⎛=4321A ,则=*A [ ] (A )⎪⎪⎭⎫ ⎝⎛--4321 (B )⎪⎪⎭⎫ ⎝⎛--4231 (C )⎪⎪⎭⎫ ⎝⎛1324 (D )⎪⎪⎭⎫ ⎝⎛--13242、设n 阶矩阵A 与B 相似,则下列结论必成立的是 [ ] (A )B E A E -=-λλ,其中λ为A 与B 的特征值 (B )对于任意常数t ,有B tE A tE -=- (C )存在对角矩阵Λ,使得A 与B 都相似于Λ(D )当0λ是A 与B 的特征值时,n 元齐次线性方程组0)(0=-x A E λ 与 0)(0=-x B E λ同解3、设A 为n 阶矩阵,且0=k A (k 为正整数),则 [ ] (A )0=A (B )A 有一个不为零的特征值 (C )A 的特征值全为零 (D )A 有n 个线性无关的特征向量4、设A 为n 阶方阵,3)(-=n A r ,且向量组321 , ,ααα是0=Ax 的三个线性 无关的解向量,则0=Ax 的基础解系可以是 [ ](A )133221 , ,αααααα+++ (B )312312 ,,αααααα---(C )312312 ,21,2αααααα--- (D )1323321 2- , ,ααααααα--++5、设向量组n ααα , , ,21 (2≥n )线性相关,那么向量组内 [ ] 可由向量组内其余向量线性表示。
(A )任何一个向量 (B )没有一个向量 (C )至少有一个向量 (D )至多有一个向量二、填空题:(每题3分,共计15分)1、设向量()b a ,,1=α与()2,2,2=β,()3,1,3=γ都正交,则=a , =b 。
2、设A ,B 为3阶方阵,且2,1=-=B A ,则=-21)(2B A T 。
3、设4阶方阵A 的秩为2,则其伴随阵*A 的秩是 。
一、单项选择题(本大题共10小题,每小题2分,共30分)在每小题列出的四个备选项中只有一个是符合题目要求的,请将代码填写在题后的括号内。
错选、多选或未选均无分。
1.若A=⎥⎥⎥⎦⎤⎢⎢⎢⎣⎡-=⎥⎥⎥⎦⎤⎢⎢⎢⎣⎡10001000210100002B x 与相似,则x=( ) A .-1 B .0 C .1D .2答案:B2.若A 相似于⎥⎦⎤⎢⎣⎡-=Λ1001,则|A-E|=( ) A .-1 B .0 C .1D .2答案:B3.矩阵A =⎪⎪⎪⎭⎫⎝⎛111111111的非零特征值为( )A .4B .3C .2D .1答案:B4.设3阶实对称矩阵A 的特征值为λ1=λ2=0,λ3=2,则秩(A )=( ) A .0 B .1 C .2 D .3 答案:B5.设A 为n 阶正交矩阵,则行列式|A 2|=( ) A .-2 B .-1 C .1 D .2 答案:C6.设3阶矩阵A 与B 相似,且已知A 的特征值为2,2,3. 则|B -1|=( ) A .121 B .71 C .7 D .12 答案:A7.设A 为3阶矩阵,且已知|3A+2E |=0,则A 必有一个特征值为( ) A .23- B .32- C .32 D .23答案:B8.设A 与B 是两个相似n 阶矩阵,则下列说法错误..的是( ) A.B A =B.秩(A )=秩(B )C.存在可逆阵P ,使P -1AP=BD.λE-A =λE-B答案:D9.与矩阵A =⎢⎢⎢⎣⎡⎥⎥⎥⎦⎤200010001相似的是( )A.⎢⎢⎢⎣⎡⎥⎥⎥⎦⎤100020001 B.⎢⎢⎢⎣⎡⎥⎥⎥⎦⎤200010011 C.⎢⎢⎢⎣⎡⎥⎥⎥⎦⎤200011001 D.⎢⎢⎢⎣⎡⎥⎥⎥⎦⎤100020101答案:A10.设3阶方阵A 的特征值为1,-1,2,则下列矩阵中为可逆矩阵的是( )A .E-AB .-E-AC .2E-AD .-2E-A 答案:D11.设λ=2是可逆矩阵A 的一个特征值,则矩阵(A 2)-1必有一个特征值等于( )A .41B .21C .2D .4 答案:A12.若A 与B 相似,则( ) A.A ,B 都和同一对角矩阵相似 B.A ,B 有相同的特征向量 C.A -λE =B -λE D.|A |=|B | 答案:D13.下列向量中与α=(1,1,-1)正交的向量是( ) A. 1α=(1,1,1) B. 2α=(-1,1,1) C. 3α=(1,-1,1) D. 4α=(0,1,1)答案:D14.若2阶矩阵A 相似于矩阵B =⎪⎪⎪⎭⎫ ⎝⎛-3202,E 为2阶单位矩阵,则与矩阵E -A 相似的矩阵是( )A .⎪⎪⎪⎭⎫ ⎝⎛4101B .⎪⎪⎪⎭⎫⎝⎛--4101C .⎪⎪⎪⎭⎫ ⎝⎛--4201D .⎪⎪⎪⎭⎫ ⎝⎛---4201答案:C15.下列矩阵是正交矩阵的是( ) A.⎥⎥⎥⎦⎤⎢⎢⎢⎣⎡--100010001B.21⎥⎥⎥⎦⎤⎢⎢⎢⎣⎡110011101C.⎥⎦⎤⎢⎣⎡--θθθθcos sin sin cosD.⎥⎥⎥⎥⎥⎥⎥⎦⎤⎢⎢⎢⎢⎢⎢⎢⎣⎡--336102233660336122 答案:A16.已知3阶矩阵A 的特征值为-1,0,1,则下列矩阵中可逆的是( ) A .A B .A E - C .A E -- D .A E -2 答案:D17.已知矩阵A 与对角矩阵D =⎪⎪⎭⎫ ⎝⎛--100010001相似,则A 2=( ) A .A B .D C .E D .-E答案:C18.设矩阵A =⎪⎪⎭⎫⎝⎛001010100,则A 的特征值为( )A .1,1,0B .-1,1,1C .1,1,1D .1,-1,-1答案:B19.设A 为n (n ≥2)阶矩阵,且A 2=E ,则必有( ) A .A 的行列式等于1 B .A 的逆矩阵等于E C .A 的秩等于n D .A 的特征值均为1答案:C20.设矩阵A =⎪⎪⎪⎭⎫⎝⎛3000130011201111,则A 的线性无关的特征向量的个数是( ) A .1 B .2C .3D .4 答案:C21.设向量α=(4,-1,2,-2),则下列向量是单位向量的是( ) A .31α B .51α C .91α D .251α 答案:B22.设矩阵A =⎥⎥⎥⎦⎤⎢⎢⎢⎣⎡---496375254,则以下向量中是A 的特征向量的是( ) A.(1,1,1)TB.(1,1,3)TC.(1,1,0)TD.(1,0,-3)T答案:A23.设矩阵A =⎥⎥⎥⎦⎤⎢⎢⎢⎣⎡--111131111的三个特征值分别为λ1,λ2,λ3,则λ1+λ2+λ 3 = ( )A.4B.5C.6D.7答案:B24.设A 为可逆矩阵,则与A 必有相同特征值的矩阵为( ) A.A T B.A 2 C.A -1 D.A*答案:A7.设A 为3阶方阵,其特征值分别为2,1,0则| A +2E |=( ) A.0 B.2 C.3D.249.若向量α=(1,-2,1)与β=(2,3,t )正交,则t =( ) A.-2B.0C.2D.4二、填空题(本大题共10小题,每小题2分,共20分)请在每小题的空格中填上正确答案。
苏州大学《线性代数》课程试卷库(第二十卷)共4 页学院 专业 成绩 年级 学号 姓名 日期1、设B A , 都是3阶矩阵,且⎪⎪⎪⎭⎫ ⎝⎛=2132γγαA ,⎪⎪⎪⎭⎫⎝⎛=21γγβB ,其中21,,,γγβα均为3维行向量,3,15==B A ,则行列式=-B A 。
2、已知方阵A 满足02=++cE bA aA (其中c b a ,,为常数,且0≠c ),则=-1A 。
3、设02002000110011≠kkk ,则k 应满足 。
4、设21,,ααβ线性相关,32,,ααβ线性无关,则321,,,αααβ线性 。
5、设(),1,1,11=α(),,0,2b a =α()2,3,13=α线性相关,则b a ,应满足关系式 。
6、设A 满足022=++E A A ,则A 的特征值为 。
7、设A 为n 阶方阵,3)(-=n A r ,321,,ααα是齐次线性方程组0=Ax 的三个线性无关的解向量,则0=Ax 的一个基础解系为 。
8、设A 是43⨯阶矩阵,2)(=A r ,⎪⎪⎪⎭⎫ ⎝⎛----=111211120B ,则=)(BA r 。
9、设方阵⎪⎪⎪⎭⎫ ⎝⎛------=124242421A 相似于对角矩阵⎪⎪⎪⎭⎫⎝⎛-45t ,则=t 。
10、设有一个四元非齐次线性方程组b Ax =,3)(=A r ,321,,ααα为其解向量,且(),7,9,9,11T=α(),8,9,9,132T=+αα则此方程组的一般解为 。
二、(10分)计算n 阶行列式nn n n ----111111111111ΛΛM MMM ΛΛ三、(10分)设矩阵⎪⎪⎪⎭⎫ ⎝⎛--=100110011B ,⎪⎪⎪⎭⎫ ⎝⎛=200120312C 矩阵X 满足E C B C E X T T =--)(1,求:矩阵X四、(10分)设矩阵⎪⎪⎪⎭⎫⎝⎛--=22222112121cb a A ,问当b a ,为何值时,A 为正交矩阵;此时利用正交矩阵性质,求解线性方程组()1,1,1TAx =.五、(10分)给定线性方程组⎪⎩⎪⎨⎧=+-+-=+-+-=-++1 )2()2()2()23(1)2(321321321x x x x x x x x x λλλλλλ 讨论λ取何值时,方程组无解?有唯一解?有无穷多解?在有解时,求出其解。
2000年真题1.(14分)设f (x),g (x),h (x)都是数域P 上的一元多项式,并且满足:4(1)()(1)()(2)()0x f x x g x x h x ++-+-= (1)4(1)()(1)()(2)()0x f x x g x x h x +++++= (2) 证明:41x+能整除()g x 。
2.(14分)设A 是n ⨯r 的矩阵,并且秩(A )= r ,B ,C 是r ⨯m 矩阵,并且AB=AC ,证明:B=C 。
3(15分)求矩阵321222361A -⎛⎫ ⎪=-- ⎪ ⎪-⎝⎭的最大的特征值0λ,并且求A 的属于0λ的特征子空间的一组基。
4(14分)设⨯-2,3,-1是33矩阵A的特征值,计算行列式611n A A E -+3.5(14分)设A,B 都是实数域R 上的n n ⨯矩阵,证明:AB,BA 的特征多项式相等.证明:要证明AB,BA 的特征多项式相等,只需证明:E A E B λλ-=-6.(14分)设A 是n n ⨯实对称矩阵,证明:257n A A E -+是一个正定矩阵.证明:A 是实对称矩阵,则A的特征值均为实数.7.(15分)设A 是数域P 上的n 维线性空间V 的一个线性变换,设1,n V A α-∈≠使0,但是()n A α=0,其中n>1.证明:21{,,,,}n A A A αααα-K 是V的一组基.并且求线性变换A在此基下的矩阵,以及A的核的维数.2000年真题答案1、证明:1(2)(1):2()4()0()()2g x h x h x g x -+=⇒=- (3) 将(3)带入(1)中,得到:41(1)()()2x f x xg x +=- 441()x x x g x ∴+Q +1与互素,.注:本题也可以把g,h 作为未知量对线性方程求解,用克莱姆法则导出结果。
2、证明:,()0.AB AC A B C =∴-=Q(),A n r R A r A ⨯=∴Q 是的矩阵,是列满秩的矩阵,即方程0AX =只有零解.0,B C B C∴-==即3、解:()()224E A λλλ-=-+,02λ∴= 当02λ=时,求出线性无关的特征向量为()()12101012ξξ==,,',,,', 则()120,,L ξξλ构成的特征子空间12ξξ,是0λ的特征子空间的一组基.4、解:⨯Q -2,3,-1是33矩阵A的特征值,不妨设1232,3,1,λλλ=-==-则矩阵611n A A E -+3对应的特征值为:12315,20,16ξξξ=== 故6111520164800n A A E -+=⨯⨯=35、利用构造法,设0λ≠,令1E B H A E λ=, 11010E BE E B A E A E E AB λλλ⎛⎫⎛⎫ ⎪⎛⎫ ⎪= ⎪ ⎪ ⎪- ⎪ ⎪⎝⎭- ⎪⎝⎭⎝⎭Q ,两边取行列式得 11()n H E AB E AB λλλ=-=-.(1) 11100E E B E BA B A E A E E λλλ⎛⎫⎛⎫-⎛⎫ ⎪ ⎪= ⎪ ⎪ ⎪- ⎪ ⎪⎝⎭⎝⎭⎝⎭,两边取行列式得 11()n H E BA E BA λλλ=-=-.(2)由(1),(2)两式得1()n E AB λλ-=1()n E BA λλ-E AB E BA λλ∴-=-.(3) 上述等式是假设了0λ≠,但是(3)式两边均为λ的n 次多项式,有无穷多个值使它们成立(0λ≠),从而一定是恒等式. 注:此题可扩展为A是m n ⨯矩阵,B是n m ⨯矩阵,AB,BA的特征多项式有如下关系:n m m n E AB E BA λλλλ-=-,这个等式也称为薛尔佛斯特(Sylvester )公式.6、设λ为A的任意特征值,则257n A A E -+的特征值为225357()024ξλλλ=-+=-+>. 故257n A A E -+是一个正定矩阵.7、证明:1n n AA α-≠Q 0,=0.令()()10110n n l l A l A ααα--+++=K .(1) 用1n A -左乘(1)式两边,得到10()0n l A α-=.由于1n A -≠0,00l ∴=,带入(1)得()()1110n n l A l A αα--++=K .(2) 再用2n A -左乘(2)式两端,可得10l =.这样继续下去,可得到0110n l l l -====K .21,,,,n A A A αααα-∴K 线性无关.21,,,,)n A A A A αααα-K (=21,,,,)n A A A αααα-K (0000100001000010⎛⎫⎪ ⎪ ⎪ ⎪ ⎪ ⎪⎝⎭KK K K K . ∴A在此基下的矩阵为0000100001000010⎛⎫ ⎪ ⎪ ⎪ ⎪ ⎪ ⎪⎝⎭K K K K K , 可见,()1R A n =-,dimker(1)1A n n ∴=--=即A 的核的维数为1.2001年真题2002年真题1.(15分)设A =1111101111001110001100001⎛⎫ ⎪ ⎪ ⎪ ⎪ ⎪ ⎪ ⎪ ⎪⎝⎭L L L LL L L L L L L ,123101221001320001200001n n n n n n B -⎛⎫ ⎪-- ⎪ ⎪--= ⎪ ⎪ ⎪ ⎪ ⎪⎝⎭L L L L L L L L L L L 都是n n ⨯矩阵。
----------------------------精品word 文档 值得下载 值得拥有---------------------------------------------- 2004级2004-2005第二学期线性代数试题参考答案一、 填空题(每小题3分,共15 分)1. ))()((b c a c a b ---; 2. 相关; 3. 12536-; 4. 44<<-t ; 5.可以二、 选择题(每小题3分,共15 分)1. B2. C;3. D;4. A;5. C三、 计算题(每小题10分共30分)1.行列式的值为36-.2. B X E A X B AX =-⇒+=)(.,110101111⎥⎥⎥⎦⎤⎢⎢⎢⎣⎡----=-E A 0≠-E A , E A -可逆. 故⎥⎥⎥⎦⎤⎢⎢⎢⎣⎡---=⎥⎥⎥⎦⎤⎢⎢⎢⎣⎡--⎥⎥⎥⎦⎤⎢⎢⎢⎣⎡------=-=-143311410352111211101)(1B E A X . 3. ⎥⎥⎥⎥⎦⎤⎢⎢⎢⎢⎣⎡--→⎥⎥⎥⎥⎦⎤⎢⎢⎢⎢⎣⎡-----==00001000021003511991191103281120351),,,(4321T T T T A αααα.向量组的秩为3,它的一个极大无关组为421,,ααα.四、 解答题(每小题12分, 共24分)1. 方程组的增广矩阵⎥⎥⎥⎦⎤⎢⎢⎢⎣⎡-→⎥⎥⎥⎦⎤⎢⎢⎢⎣⎡-300002621037321134551353137321b b .当3=b 时,方程组有解.此时的方程组为⎩⎨⎧=++=+++26237324324321x x x x x x x ,它有一特解T )0,0,2,3(.对应的齐次线性方程组为⎩⎨⎧=++=+++06207324324321x x x x x x x ,它有基础解系T )1,3,0,2(--, T )0,1,2,1(--. 故原方程组的通解为 T )0,0,2,3(+k T )1,3,0,2(--+l T )0,1,2,1(--,k 与l 为任意常数.2. 二次型的矩阵为⎥⎥⎥⎦⎤⎢⎢⎢⎣⎡--=312132220A .由由 0=-A E λ得A 的特征值2-=λ, 和4=λ(二重). 当2-=λ时,0)(=-X A E λ的基础解系为T )1,1,2(-,当6=λ时,0)(=-X A E λ的基础解系为T T )1,1,1(,)1,1,0(-.易知这三个向量是两两正交的. 只需再将它们单位化即可得正交矩阵----------------------------精品word 文档 值得下载 值得拥有---------------------------------------------- ⎥⎥⎥⎦⎤⎢⎢⎢⎣⎡--=61312161312162310P 使得⎥⎥⎥⎦⎤⎢⎢⎢⎣⎡-=-2441AP P . 在正交变换PYX =下,232221244y y y f -+=. 五、 证明题(每小题8分,共16分)1. 对B 按列分块, []321B B B B =, 则对于方程0=AX ,321,,B B B 都是其解.由于0B ≠, 故方程0=AX 至少有一个非零解,其充要条件是0=A .而)2(5-=λA . 所以2=λ. 此时⎥⎥⎥⎦⎤⎢⎢⎢⎣⎡-→000850321A ,秩2)(=A r . 方程0=AX 的基础解系只含一个向量X, )3,2,1(,==i X k B i i . 所以秩3,11)(=-<=n n B r . 故B 的伴随矩阵*B 的秩为0.2. 因三维向量组(I):321,,ααα中的三个向量分别是三阶矩阵A 的属于特征值 0, 1, 3 的特征向量, 一定是线性无关的. 因此等价于其构成的行列式0321≠ααα. 而向量组(II): 421,,ααα线性相关等价于0421=ααα. 向量组(III): 4321,,αααα-满足条件0421*******≠-=-αααααααααα. 故向量组(III)线性无关.。
苏州大学《线性代数》课程试卷库(第二卷)共 页学院 专业 成绩 年级 学号 姓名 日期题号 一 二 三四五六七八得分一、 (每题3分,共计30分)单项选择:1、设0211111111)(≠−−=x xx f 的充要条件是 [ ] (a) 或 (b) 且0≠x 1≠x 0≠x 1≠x (c) 1≠x 或2≠x (d) 1≠x 且 2≠x 2、已知 均为n 阶方阵, B A ,I 为单位阵,I BCA =,则 [ ] (a) (b) (c) I ABC =I ACB =I BAC = (d)I CBA =3、已知阶矩阵n m ×A 的秩为1−n ,21,αα是非齐次线性方程组的两个不同的解,k 为任意常数,则方程组b Ax =0=Ax 的通解可表示为 [ ](a) 21ααk + (b) 12ααk + (c) )(21αα+k (d) )(21αα−k 4、n 阶方阵A 与对角矩阵相似的充分必要条件是 [ ](a) 矩阵A 有n 个特征值 (b) 矩阵A 有个线性无关的特征向量 n (c) 0≠A (d) 矩阵A 为实对称矩阵 填空题5、二次型222324f x y xy yz =+−+对应的矩阵为[ ]6、设05203120021=A ,则[ ]。
=−1A 7、若均为n 阶矩阵,且有B A ,,2−=A ,3=B 则=−−∗1B A [ ]。
8、已知(2,1,1=)β不能由(),1,2,21−=α(),8,4,02=α()3,,13k −=α 线性表出,则k =[ ]。
9、设阶方阵n A 满足每行元素之和都是0,如果秩1)(−=n A r ,则齐次方程组的通解是[ ]。
0=Ax 10、设3阶矩阵A 的特征值是 1,2,-1,设矩阵,则235A A B −==B [ ]。
二、 (10分)计算行列式: D n =aa a a 001000000100L L M MO M M L L三、(10分)讨论k 为何值时,非齐次线性方程组⎪⎩⎪⎨⎧=++=−+=−+−kx x kx x kx x k kx x x 3213213211有唯一解,无解或有无穷多解?并在有无穷多解时利用基础解系求其全部解。
第五章课后习题及解答1. 求下列矩阵的特征值和特征向量:2 3(1);3 12 3 2解:I A3 7 0,313373 37 ,12221I A 37 2 3 1 1 3 372 1 0 1 37 6, T所以, ( 1I A)x 0 的基础解系为: (6,1 37) .T因此, A 的属于 1 的所有特征向量为: k 1( 6,1 37) (k 1 0).2I A1 337 211 3731 6372,T所以, ( 2 I A)x 0 的基础解系为: (6,1 37) .T A的属于 2 的所有特征向量为:k2 (6,1 37) (k2 0).因此,3 1 1(2) 2 0 1 ;1 1 23 1 1解:I A 2 1 ( 1)( 22)1 1 2所以,特征值为: 1 1(单根), 2 2 (二重根)2 1 1 1 0 01I A 2 1 1 0 1 11 1 1 0 0 0T 所以,( 1I A)x 0 的基础解系为:( 0,1,1) .TA的属于 1 的所有特征向量为:k1( 0,1,1) (k1 0).因此,1 1 1 1 1 02 I A 2 2 1 0 0 11 1 0 0 0 0T 所以,( ) 02 I A x 的基础解系为:(1,1,0 ).T 因此,A的属于 2 的所有特征向量为:k2(1,1,0) (k2 0).20 0 (3) 111 ;1 1 320 0 解: IA 1 1 1 (32)113所以,特征值为:12 (三重根 )0 0 1 1 11I A 1 1 1 0 0 0 1 11T T所以, ( 1I A)x 0 的基础解系为: (1,1, 0) ,( 1,0 ,1) .因此, A 的属于 1 的所有特征向量为:Tk Tk 1(1,1, 0 )2( 1,0,1) ( k 1, k 2 为不全为零的任 意常数 )。
1 2 3 4 0 1 2 3 (4);0 0 1 2 0 0 0 112 3 4解: I A0 0 0 1 2 1 3 2 ( 1)40 0 0 1所以,特征值为:11(四重根 )0 2 3 41I A 02320 0 0 0T所以,( 1I A) x 0的基础解系为:(1, 0, 0,0) .因此,A的属于1的所有特征向量为:Tk1(1, 0, 0,0 )( k1 0 ) 4 5 2(5) 2 2 1 ;1 1 14 5 2解:I A 2 2 1 ( 31)1 1 1所以,特征值为: 1 1(三重根)3 5 2 1 0 11I A 2 3 1 0 1 11 1 0 0 0 0T 所以,( 1I A)x 0 的基础解系为:( 1,1,1) .因此,A的属于 1 的所有特征向量为:Tk1( 1,1,1) ( k1 0 )2 2 0 (6) 2 1 2 ;0 2 02 2 0解:( 1)( 4)( 2)I A 2 1 20 2所以,特征值为: 1 1(单根), 2 4 (单根), 3 2(单根),1 2 0 1 0 11I A 20 2 0 2 10 2 1 0 0 0T所以,( 1I A)x 0 的基础解系为:( 2, 1,2 ).因此,A的属于 1 的所有特征向量为:Tk1( 2, 1,2) ( k1 0 )2 2 0 1 0 22I A 2 3 2 0 1 20 2 4 0 0 0T 所以,( 2 I A)x 0的基础解系为:(2, 2 ,1) .因此,A的属于 2 的所有特征向量为:Tk2(2, 2,1) ( k2 0 )4 2 0 2 0 12 3 2 0 1 13 I A0 2 2 0 0 0T 所以,( 3I A) x 0的基础解系为:(1,2,2) .因此,A的属于 3 的所有特征向量为:Tk3(1,2,2) ( k3 0 )7 4 12. 已知矩阵A 4 7 1的特征值 1 3 (二重), 2 12 , 求x的值,并求其特征4 4 x向量。
第五章课后习题及解答1. 求下列矩阵的特征值和特征向量:(1) ;1332⎪⎪⎭⎫⎝⎛-- 解:,07313322=--=--=-λλλλλA I2373,237321-=+=λλ ,001336371237121371⎪⎪⎭⎫ ⎝⎛→→⎪⎪⎭⎫⎝⎛=-++- A I λ 所以,0)(1=-x A I λ的基础解系为:.)371,6(T-因此,A 的属于1λ的所有特征向量为:).0()371,6(11≠-k k T,001336371237123712⎪⎪⎭⎫ ⎝⎛→→⎪⎪⎭⎫⎝⎛-=---+ A I λ 所以,0)(2=-x A I λ的基础解系为:.)371,6(T+因此,A 的属于2λ的所有特征向量为:).0()371,6(22≠+k k T(2) ;211102113⎪⎪⎪⎭⎫ ⎝⎛--解:2)2)(1(21112113--==------=-λλλλλλ A I所以,特征值为:11=λ(单根),22=λ(二重根)⎪⎪⎪⎭⎫ ⎝⎛-→→⎪⎪⎪⎭⎫ ⎝⎛------=-0001100011111121121 A I λ所以,0)(1=-x A I λ的基础解系为:.)1,1,0(T因此,A 的属于1λ的所有特征向量为:).0()1,1,0(11≠k k T⎪⎪⎪⎭⎫ ⎝⎛-→→⎪⎪⎪⎭⎫ ⎝⎛-----=-0001000110111221112 A I λ所以,0)(2=-x A I λ的基础解系为:.)0,1,1(T因此,A 的属于2λ的所有特征向量为:).0()0,1,1(22≠k k T(3) ;311111002⎪⎪⎪⎭⎫ ⎝⎛-解:3)2(31111102-==------=-λλλλλ A I所以,特征值为:21=λ(三重根)⎪⎪⎪⎭⎫⎝⎛-→→⎪⎪⎪⎭⎫ ⎝⎛----=-0000001111111110001 A I λ所以,0)(1=-x A I λ的基础解系为:.)1,0,1(,)0,1,1(TT -因此,A 的属于1λ的所有特征向量为:TT k k )1,0,1()0,1,1(21-+(21,k k 为不全为零的任 意常数)。
工程数学--线性代数课后题答案_第五版第五章 相似矩阵及二次型1. 试用施密特法把下列向量组正交化:(1)⎪⎪⎭⎫⎝⎛=931421111) , ,(321a a a ;解 根据施密特正交化方法,⎪⎪⎭⎫⎝⎛==11111a b ,⎪⎪⎭⎫⎝⎛-=-=101],[],[1112122b b b a b a b ,⎪⎪⎭⎫⎝⎛-=--=12131],[],[],[],[222321113133b b b a b b b b a b a b .(2)⎪⎪⎪⎭⎫⎝⎛---=011101110111) , ,(321a a a .解 根据施密特正交化方法,⎪⎪⎪⎭⎫ ⎝⎛-==110111a b ,⎪⎪⎪⎭⎫⎝⎛-=-=123131],[],[1112122b b b a b a b ,⎪⎪⎪⎭⎫⎝⎛-=--=433151],[],[],[],[222321113133b b b a b b b b a b a b .2. 下列矩阵是不是正交阵:(1)⎪⎪⎪⎪⎪⎭⎫⎝⎛---121312112131211;解 此矩阵的第一个行向量非单位向量, 故不是正交阵.(2)⎪⎪⎪⎪⎪⎭⎫⎝⎛------979494949198949891.解 该方阵每一个行向量均是单位向量, 且两两正交, 故为正交阵.3. 设x 为n 维列向量, x T x =1, 令H =E -2xx T , 证明H 是对称的正交阵. 证明 因为H T =(E -2xx T )T =E -2(xx T )T =E -2(xx T )T=E -2(x T )T x T =E -2xx T ,所以H 是对称矩阵. 因为H T H =HH =(E -2xx T )(E -2xx T ) =E -2xx T -2xx T +(2xx T )(2xx T ) =E -4xx T +4x (x T x )x T =E -4xx T +4xx T =E , 所以H 是正交矩阵.4. 设A 与B 都是n 阶正交阵, 证明AB 也是正交阵. 证明 因为A , B 是n 阶正交阵, 故A -1=A T , B -1=B T ,(AB )T (AB )=B T A T AB =B -1A -1AB =E ,故AB 也是正交阵.5. 求下列矩阵的特征值和特征向量:(1)⎪⎪⎭⎫ ⎝⎛----201335212;解3)1(201335212||+-=-------=-λλλλλE A ,故A 的特征值为λ=-1(三重). 对于特征值λ=-1, 由⎪⎪⎭⎫ ⎝⎛⎪⎪⎭⎫ ⎝⎛----=+000110101101325213~E A ,得方程(A +E )x =0的基础解系p 1=(1, 1, -1)T , 向量p 1就是对应于特征值λ=-1的特征值向量.(2)⎪⎪⎭⎫ ⎝⎛633312321;解)9)(1(633312321||-+-=---=-λλλλλλλE A ,故A 的特征值为λ1=0, λ2=-1, λ3=9. 对于特征值λ1=0, 由⎪⎪⎭⎫ ⎝⎛⎪⎪⎭⎫ ⎝⎛=000110321633312321~A , 得方程A x =0的基础解系p 1=(-1, -1, 1)T , 向量p 1是对应于特征值λ1=0的特征值向量. 对于特征值λ2=-1, 由⎪⎪⎭⎫ ⎝⎛⎪⎪⎭⎫ ⎝⎛=+000100322733322322~E A ,得方程(A +E )x =0的基础解系p 2=(-1, 1, 0)T , 向量p 2就是对应于特征值λ2=-1的特征值向量. 对于特征值λ3=9, 由⎪⎪⎪⎭⎫ ⎝⎛--⎪⎪⎭⎫ ⎝⎛---=-00021101113333823289~E A ,得方程(A -9E )x =0的基础解系p 3=(1/2, 1/2, 1)T , 向量p 3就是对应于特征值λ3=9的特征值向量.(3)⎪⎪⎪⎭⎫⎝⎛0001001001001000. 解22)1()1(001010010100||+-=----=-λλλλλλλE A ,故A 的特征值为λ1=λ2=-1, λ3=λ4=1. 对于特征值λ1=λ2=-1, 由⎪⎪⎪⎭⎫ ⎝⎛⎪⎪⎪⎭⎫⎝⎛=+00000000011010011001011001101001~E A , 得方程(A +E )x =0的基础解系p 1=(1, 0, 0, -1)T , p 2=(0, 1, -1, 0)T , 向量p 1和p 2是对应于特征值λ1=λ2=-1的线性无关特征值向量. 对于特征值λ3=λ4=1, 由⎪⎪⎪⎭⎫ ⎝⎛--⎪⎪⎪⎭⎫⎝⎛----=-0000000001101001101011001101001~E A , 得方程(A -E )x =0的基础解系p 3=(1, 0, 0, 1)T , p 4=(0, 1, 1, 0)T , 向量p 3和p 4是对应于特征值λ3=λ4=1的线性无关特征值向量.6. 设A 为n 阶矩阵, 证明A T 与A 的特征值相同. 证明 因为|A T-λE|=|(A-λE)T|=|A-λE|T=|A-λE|,所以A T与A的特征多项式相同,从而A T与A的特征值相同.7.设n阶矩阵A、B满足R(A)+R(B)<n,证明A与B有公共的特征值,有公共的特征向量.证明设R(A)=r,R(B)=t,则r+t<n.若a1,a2,⋅⋅⋅,a n-r是齐次方程组A x=0的基础解系,显然它们是A的对应于特征值λ=0的线性无关的特征向量.类似地,设b1,b2,⋅⋅⋅,b n-t是齐次方程组B x=0的基础解系,则它们是B的对应于特征值λ=0的线性无关的特征向量.由于(n-r)+(n-t)=n+(n-r-t)>n,故a1,a2,⋅⋅⋅,a n-r,b1,b2,⋅⋅⋅,b n-t 必线性相关.于是有不全为0的数k1,k2,⋅⋅⋅,k n-r,l1,l2,⋅⋅⋅,l n-t,使k1a1+k2a2+⋅⋅⋅+k n-r a n-r+l1b1+l2b2+⋅⋅⋅+l n-r b n-r=0.记γ=k1a1+k2a2+⋅⋅⋅+k n-r a n-r=-(l1b1+l2b2+⋅⋅⋅+l n-r b n-r),则k1,k2,⋅⋅⋅,k n-r不全为0,否则l1,l2,⋅⋅⋅,l n-t不全为0,而l1b1+l2b2+⋅⋅⋅+l n-r b n-r=0,与b1,b2,⋅⋅⋅,b n-t线性无关相矛盾.因此,γ≠0,γ是A的也是B的关于λ=0的特征向量,所以A 与B有公共的特征值,有公共的特征向量.8.设A2-3A+2E=O,证明A的特征值只能取1或2.证明设λ是A的任意一个特征值,x是A的对应于λ的特征向量,则(A2-3A+2E)x=λ2x-3λx+2x=(λ2-3λ+2)x=0.因为x≠0,所以λ2-3λ+2=0,即λ是方程λ2-3λ+2=0的根,也就是说λ=1或λ=2.9.设A为正交阵,且|A|=-1,证明λ=-1是A的特征值.证明因为A为正交矩阵,所以A的特征值为-1或1.因为|A|等于所有特征值之积,又|A|=-1,所以必有奇数个特征值为-1,即λ=-1是A的特征值.10.设λ≠0是m阶矩阵A m⨯n B n⨯m的特征值,证明λ也是n阶矩阵BA的特征值.证明设x是AB的对应于λ≠0的特征向量,则有(AB)x=λx,于是B(AB)x=B(λx),或BA(B x)=λ(B x),从而λ是BA的特征值,且B x是BA的对应于λ的特征向量.11.已知3阶矩阵A的特征值为1, 2, 3,求|A3-5A2+7A|.解令ϕ(λ)=λ3-5λ2+7λ,则ϕ(1)=3,ϕ(2)=2,ϕ(3)=3是ϕ(A)的特征值,故|A3-5A2+7A|=|ϕ(A)|=ϕ(1)⋅ϕ(2)⋅ϕ(3)=3⨯2⨯3=18.12.已知3阶矩阵A的特征值为1, 2,-3,求|A*+3A+2E|.解因为|A|=1⨯2⨯(-3)=-6≠0,所以A可逆,故A*=|A|A-1=-6A-1,A*+3A+2E=-6A-1+3A+2E.令ϕ(λ)=-6λ-1+3λ2+2, 则ϕ(1)=-1, ϕ(2)=5, ϕ(-3)=-5是ϕ(A )的特征值, 故|A *+3A +2E |=|-6A -1+3A +2E |=|ϕ(A )|=ϕ(1)⋅ϕ(2)⋅ϕ(-3)=-1⨯5⨯(-5)=25. 13. 设A 、B 都是n 阶矩阵, 且A 可逆, 证明AB 与BA 相 似.证明 取P =A , 则P -1ABP =A -1ABA =BA ,即AB 与BA 相似. 14.设矩阵⎪⎪⎭⎫⎝⎛=50413102x A 可相似对角化,求x .解 由)6()1(50413102||2---=---=-λλλλλλx E A ,得A 的特征值为λ1=6, λ2=λ3=1.因为A 可相似对角化, 所以对于λ2=λ3=1, 齐次线性方程组(A -E )x =0有两个线性无关的解, 因此R (A -E )=1. 由⎪⎪⎭⎫ ⎝⎛-⎪⎪⎭⎫ ⎝⎛=-00030010140403101)(~x x E A r知当x =3时R (A -E )=1, 即x =3为所求.15. 已知p =(1, 1, -1)T是矩阵⎪⎪⎭⎫⎝⎛---=2135212b a A 的一个特征向量.(1)求参数a , b 及特征向量p 所对应的特征值; 解 设λ是特征向量p 所对应的特征值, 则 (A -λE )p =0,即⎪⎪⎭⎫ ⎝⎛=⎪⎪⎭⎫ ⎝⎛-⎪⎪⎭⎫ ⎝⎛------0001112135212λλλb a ,解之得λ=-1, a =-3, b =0.(2)问A 能不能相似对角化?并说明理由. 解 由3)1(201335212||--=-------=-λλλλλE A ,得A 的特征值为λ1=λ2=λ3=1. 由⎪⎪⎭⎫ ⎝⎛-⎪⎪⎭⎫ ⎝⎛----=-00011010111325211~r b E A知R (A -E )=2, 所以齐次线性方程组(A -E )x =0的基础解系只有一个解向量. 因此A 不能相似对角化.16. 试求一个正交的相似变换矩阵, 将下列对称阵化为对角阵:(1)⎪⎪⎭⎫ ⎝⎛----020212022;解 将所给矩阵记为A . 由λλλλ-------=-20212022E A =(1-λ)(λ-4)(λ+2),得矩阵A 的特征值为λ1=-2, λ2=1, λ3=4. 对于λ1=-2, 解方程(A +2E )x =0, 即0220232024321=⎪⎪⎭⎫⎝⎛⎪⎪⎭⎫ ⎝⎛----x x x , 得特征向量(1, 2, 2)T , 单位化得T )32 ,32 ,31(1=p .对于λ2=1, 解方程(A -E )x =0, 即0120202021321=⎪⎪⎭⎫⎝⎛⎪⎪⎭⎫ ⎝⎛-----x x x , 得特征向量(2, 1, -2)T , 单位化得T )32 ,31 ,32(2-=p .对于λ3=4, 解方程(A -4E )x =0, 即0420232022321=⎪⎪⎭⎫⎝⎛⎪⎪⎭⎫ ⎝⎛-------x x x , 得特征向量(2, -2, 1)T , 单位化得T )31 ,32 ,32(3-=p .于是有正交阵P =(p 1, p 2, p 3), 使P -1AP =diag(-2, 1, 4).(2)⎪⎪⎭⎫ ⎝⎛----542452222.解 将所给矩阵记为A . 由λλλλ-------=-542452222E A =-(λ-1)2(λ-10),得矩阵A 的特征值为λ1=λ2=1, λ3=10. 对于λ1=λ2=1, 解方程(A -E )x =0, 即⎪⎪⎭⎫ ⎝⎛=⎪⎪⎭⎫ ⎝⎛⎪⎪⎭⎫ ⎝⎛----000442442221321x x x , 得线性无关特征向量(-2, 1, 0)T 和(2, 0, 1)T , 将它们正交化、单位化得T 0) 1, ,2(511-=p , T 5) ,4 ,2(5312=p .对于λ3=10, 解方程(A -10E )x =0, 即⎪⎪⎭⎫ ⎝⎛=⎪⎪⎭⎫ ⎝⎛⎪⎪⎭⎫ ⎝⎛-------000542452228321x x x , 得特征向量(-1, -2, 2)T , 单位化得T )2 ,2 ,1(313--=p .于是有正交阵P =(p 1, p 2, p 3), 使P -1AP =diag(1, 1, 10). 17.设矩阵⎪⎪⎭⎫⎝⎛------=12422421x A 与⎪⎪⎭⎫ ⎝⎛-=Λy 45相似,求x , y ; 并求一个正交阵P , 使P -1AP =Λ.解 已知相似矩阵有相同的特征值, 显然λ=5, λ=-4, λ=y 是Λ的特征值, 故它们也是A 的特征值. 因为λ=-4是A 的特征值, 所以0)4(9524242425|4|=-=---+---=+x x E A ,解之得x =4.已知相似矩阵的行列式相同, 因为100124242421||-=-------=A , y y2045||-=-=Λ,所以-20y =-100, y =5.对于λ=5, 解方程(A -5E )x =0, 得两个线性无关的特征向量(1, 0, -1)T , (1, -2, 0)T . 将它们正交化、单位化得T )1 ,0 ,1(211-=p , T )1 ,4 ,1(2312-=p . 对于λ=-4, 解方程(A +4E )x =0, 得特征向量(2, 1, 2)T , 单位化得T )2 ,1 ,2(313=p .于是有正交矩阵⎪⎪⎪⎪⎪⎪⎭⎫⎝⎛--=23132212343102313221P , 使P -1AP =Λ. 18. 设3阶方阵A 的特征值为λ1=2, λ2=-2, λ3=1; 对应的特征向量依次为p 1=(0, 1, 1)T , p 2=(1, 1, 1)T , p 3=(1, 1, 0)T , 求A . 解 令P =(p 1, p 2, p 3), 则P -1AP =diag(2, -2, 1)=Λ, A =P ΛP -1. 因为⎪⎪⎭⎫ ⎝⎛---=⎪⎪⎭⎫ ⎝⎛=--11011101101111111011P ,所以⎪⎪⎭⎫ ⎝⎛---⎪⎪⎭⎫ ⎝⎛-⎪⎪⎭⎫ ⎝⎛=Λ=-1101110111000200020111111101P P A ⎪⎪⎭⎫⎝⎛------=244354331.19. 设3阶对称阵A 的特征值为λ1=1, λ2=-1, λ3=0; 对应λ1、λ2的特征向量依次为p 1=(1, 2, 2)T , p 2=(2, 1, -2)T , 求A .解设⎪⎪⎭⎫⎝⎛=653542321x x x x x x x x x A , 则A p 1=2p 1, A p 2=-2p 2,即⎪⎩⎪⎨⎧=++=++=++222222122653542321x x x x x x x x x , ---① ⎪⎩⎪⎨⎧=-+-=-+-=-+222122222653542321x x x x x x x x x . ---② 再由特征值的性质, 有x 1+x 4+x 6=λ1+λ2+λ3=0. ---③由①②③解得612131x x --=, 6221x x =, 634132x x -=,642131x x -=, 654132x x +=.令x 6=0, 得311-=x , x 2=0, 323=x , 314=x , 325=x .因此⎪⎪⎭⎫ ⎝⎛-=022********A .20. 设3阶对称矩阵A 的特征值λ1=6, λ2=3, λ3=3, 与特征值λ1=6对应的特征向量为p 1=(1, 1, 1)T , 求A .解设⎪⎪⎭⎫ ⎝⎛=653542321x x x x x x x x x A .因为λ1=6对应的特征向量为p 1=(1, 1, 1)T , 所以有⎪⎪⎭⎫ ⎝⎛=⎪⎪⎭⎫ ⎝⎛1116111A , 即⎪⎩⎪⎨⎧=++=++=++666653542321x x x x x x x x x ---①. λ2=λ3=3是A 的二重特征值, 根据实对称矩阵的性质定理知R (A -3E )=1. 利用①可推出⎪⎪⎭⎫⎝⎛--⎪⎪⎭⎫ ⎝⎛---=-331113333653542653542321~x x x x x x x x x x x x x x x E A .因为R (A -3E )=1, 所以x 2=x 4-3=x 5且x 3=x 5=x 6-3, 解之得x 2=x 3=x 5=1, x 1=x 4=x 6=4.因此⎪⎪⎭⎫⎝⎛=411141114A .21. 设a =(a 1, a 2, ⋅⋅⋅, a n )T , a 1≠0, A =aa T .(1)证明λ=0是A的n-1重特征值;证明设λ是A的任意一个特征值,x是A的对应于λ的特征向量,则有A x=λx,λ2x=A2x=aa T aa T x=a T a A x=λa T ax,于是可得λ2=λa T a,从而λ=0或λ=a T a.设λ1,λ2,⋅⋅⋅,λn是A的所有特征值,因为A=aa T的主对角线性上的元素为a12,a22,⋅⋅⋅,a n2,所以a12+a22+⋅⋅⋅+a n2=a T a=λ1+λ2+⋅⋅⋅+λn,这说明在λ1,λ2,⋅⋅⋅,λn中有且只有一个等于a T a,而其余n-1个全为0,即λ=0是A的n-1重特征值.(2)求A的非零特征值及n个线性无关的特征向量.解设λ1=a T a,λ2=⋅⋅⋅=λn=0.因为A a=aa T a=(a T a)a=λ1a,所以p1=a是对应于λ1=a T a的特征向量.对于λ2=⋅⋅⋅=λn=0,解方程A x=0,即aa T x=0.因为a≠0,所以a T x=0,即a1x1+a2x2+⋅⋅⋅+a n x n=0,其线性无关解为p2=(-a2,a1, 0,⋅⋅⋅, 0)T,p3=(-a3, 0,a1,⋅⋅⋅, 0)T,⋅⋅⋅,p n=(-a n, 0, 0,⋅⋅⋅,a1)T.因此n个线性无关特征向量构成的矩阵为⎪⎪⎪⎭⎫⎝⎛⋅⋅⋅⋅⋅⋅⋅⋅⋅⋅⋅⋅⋅⋅⋅⋅⋅⋅-⋅⋅⋅-=⋅⋅⋅112212100), , ,(a a aa a a a n n n p p p . 22.设⎪⎪⎭⎫⎝⎛-=340430241A ,求A 100.解 由)5)(5)(1(340430241||+---=----=-λλλλλλλE A ,得A 的特征值为λ1=1, λ2=5, λ3=-5.对于λ1=1, 解方程(A -E )x =0, 得特征向量p 1=(1, 0, 0)T . 对于λ1=5, 解方程(A -5E )x =0, 得特征向量p 2=(2, 1, 2)T . 对于λ1=-5, 解方程(A +5E )x =0, 得特征向量p 3=(1, -2, 1)T . 令P =(p 1, p 2, p 3), 则P -1AP =diag(1, 5, -5)=Λ, A =P ΛP -1,A 100=P Λ100P -1. 因为Λ100=diag(1, 5100, 5100), ⎪⎪⎭⎫⎝⎛--=⎪⎪⎭⎫ ⎝⎛-=--1202105055112021012111P , 所以⎪⎪⎭⎫ ⎝⎛--⎪⎪⎭⎫⎝⎛⎪⎪⎭⎫ ⎝⎛-=12021050555112021012151100100100A⎪⎪⎭⎫ ⎝⎛-=1001001005000501501.23. 在某国, 每年有比例为p 的农村居民移居城镇, 有比例为q 的城镇居民移居农村, 假设该国总人口数不变, 且上述人口迁移的规律也不变. 把n 年后农村人口和城镇人口占总人口的比例依次记为x n 和y n (x n +y n =1). (1)求关系式⎪⎭⎫⎝⎛=⎪⎭⎫⎝⎛++n n n n y x A y x 11中的矩阵A ; 解 由题意知x n +1=x n +qy n -px n =(1-p )x n +qy n , y n +1=y n +px n -qy n = px n +(1-q )y n , 可用矩阵表示为⎪⎭⎫⎝⎛⎪⎭⎫⎝⎛--=⎪⎭⎫ ⎝⎛++n n n n y x q pq py x 1111, 因此 ⎪⎭⎫⎝⎛--=q p qp A 11.(2)设目前农村人口与城镇人口相等, 即⎪⎭⎫ ⎝⎛=⎪⎭⎫ ⎝⎛5.05.000y x , 求⎪⎭⎫⎝⎛n n y x . 解 由⎪⎭⎫ ⎝⎛=⎪⎭⎫ ⎝⎛++n n n n y x A y x 11可知⎪⎭⎫ ⎝⎛=⎪⎭⎫ ⎝⎛00y x A y x n n n . 由)1)(1(11||q p q p qp E A ++--=----=-λλλλλ,得A 的特征值为λ1=1, λ2=r , 其中r =1-p -q .对于λ1=1, 解方程(A -E )x =0, 得特征向量p 1=(q , p )T . 对于λ1=r , 解方程(A -rE )x =0, 得特征向量p 2=(-1, 1)T . 令⎪⎭⎫⎝⎛-==11) ,(21p q P p p , 则 P -1AP =diag(1, r )=Λ, A =P ΛP -1, A n =P Λn P -1. 于是 11100111-⎪⎭⎫⎝⎛-⎪⎭⎫ ⎝⎛⎪⎭⎫⎝⎛-=p q r p q A nn ⎪⎭⎫⎝⎛-⎪⎭⎫ ⎝⎛⎪⎭⎫ ⎝⎛-+=q p r p q q p n 11001111⎪⎭⎫⎝⎛+--++=n n n n q r p p r p q r q p r q q p 1,⎪⎭⎫ ⎝⎛⎪⎭⎫ ⎝⎛+--++=⎪⎭⎫⎝⎛5.05.01n n n n n n qr p pr p qr q pr q q p y x ⎪⎭⎫ ⎝⎛-+-++=n n r p q p r q p q q p )(2)(2)(21.24. (1)设⎪⎭⎫ ⎝⎛--=3223A , 求ϕ(A )=A 10-5A 9;解 由)5)(1(3223||--=----=-λλλλλE A ,得A 的特征值为λ1=1, λ2=5.对于λ1=1, 解方程(A -E )x =0, 得单位特征向量T )1 ,1(21.对于λ1=5, 解方程(A -5E )x =0, 得单位特征向量T )1 ,1(21-.于是有正交矩阵⎪⎭⎫⎝⎛-=111121P , 使得P -1AP =diag(1, 5)=Λ,从而A =P ΛP -1, A k =P Λk P -1. 因此 ϕ(A )=P ϕ(Λ)P -1=P (Λ10-5Λ9)P -1 =P [diag(1, 510)-5diag(1, 59)]P -1 =P diag(-4, 0)P -1⎪⎭⎫⎝⎛-⎪⎭⎫ ⎝⎛-⎪⎭⎫ ⎝⎛-=1111210004111121 ⎪⎭⎫⎝⎛-=⎪⎭⎫ ⎝⎛----=111122222.(2)设⎪⎪⎭⎫⎝⎛=122221212A ,求ϕ(A )=A 10-6A 9+5A 8.解 求得正交矩阵为⎪⎪⎪⎭⎫⎝⎛---=20223123161P , 使得P -1AP =diag(-1, 1, 5)=Λ, A =P ΛP -1. 于是 ϕ(A )=P ϕ(Λ)P -1=P (Λ10-6Λ9+5Λ8)P -1=P [Λ8(Λ-E )(Λ-5E )]P -1=P diag(1, 1, 58)diag(-2, 0, 4)diag(-6, -4, 0)P -1=P diag(12, 0, 0)P -1⎪⎪⎭⎫⎝⎛---⎪⎪⎭⎫ ⎝⎛⎪⎪⎪⎭⎫ ⎝⎛---=222033211001220223123161⎪⎪⎭⎫ ⎝⎛----=4222112112.25. 用矩阵记号表示下列二次型: (1) f =x 2+4xy +4y 2+2xz +z 2+4yz ; 解⎪⎪⎭⎫⎝⎛⎪⎪⎭⎫ ⎝⎛=z y x z y x f 121242121) , ,(.(2) f =x 2+y 2-7z 2-2xy -4xz -4yz ; 解⎪⎪⎭⎫⎝⎛⎪⎪⎭⎫ ⎝⎛-------=z y x z y x f 722211211) , ,(.(3) f =x 12+x 22+x 32+x 42-2x 1x 2+4x 1x 3-2x 1x 4+6x 2x 3-4x 2x 4.解 ⎪⎪⎪⎭⎫⎝⎛⎪⎪⎪⎭⎫⎝⎛------=432143211021013223111211) , , ,(x x x x x x x x f . 26. 写出下列二次型的矩阵:(1)x x x ⎪⎭⎫⎝⎛=1312)(T f ;解 二次型的矩阵为⎪⎭⎫ ⎝⎛=1312A .(2)x x x ⎪⎪⎭⎫⎝⎛=987654321)(T f .解二次型的矩阵为⎪⎪⎭⎫⎝⎛=987654321A .27. 求一个正交变换将下列二次型化成标准形: (1) f =2x 12+3x 22+3x 33+4x 2x 3; 解二次型的矩阵为⎪⎪⎭⎫⎝⎛=320230002A .由)1)(5)(2(320230002λλλλλλλ---=---=-E A ,得A 的特征值为λ1=2, λ2=5, λ3=1. 当λ1=2时, 解方程(A -2E )x =0, 由⎪⎪⎭⎫ ⎝⎛⎪⎪⎭⎫ ⎝⎛=-0001002101202100002~E A ,得特征向量(1, 0, 0)T . 取p 1=(1, 0, 0)T . 当λ2=5时, 解方程(A -5E )x =0, 由⎪⎪⎭⎫⎝⎛-⎪⎪⎭⎫ ⎝⎛---=-0001100012202200035~E A ,得特征向量(0, 1, 1)T . 取T )21 ,21 ,0(2=p .当λ3=1时, 解方程(A -E )x =0, 由⎪⎪⎭⎫⎝⎛⎪⎪⎭⎫ ⎝⎛=-000110001220220001~E A ,得特征向量(0, -1, 1)T . 取T )21 ,21 ,0(3-=p .于是有正交矩阵T =(p 1, p 2, p 3)和正交变换x =T y , 使f =2y 12+5y 22+y 32.(2) f =x 12+x 22+x 32+x 42+2x 1x 2-2x 1x 4-2x 2x 3+2x 3x 4. 解二次型矩阵为⎪⎪⎪⎭⎫⎝⎛----=111111001111011A . 由 2)1)(3)(1(1101111001111011--+=--------=-λλλλλλλλE A ,得A 的特征值为λ1=-1, λ2=3, λ3=λ4=1.当λ1=-1时, 可得单位特征向量T )21 ,21 ,21 ,21(1--=p .当λ2=3时, 可得单位特征向量T )21 ,21 ,21 ,21(2--=p .当λ3=λ4=1时, 可得线性无关的单位特征向量T )0 ,21 ,0 ,21(3=p , T)21 ,0 ,21 ,0(4=p . 于是有正交矩阵T =( p 1, p 2, p 3, p 4)和正交变换x =T y , 使f =-y 12+3y 22+y 32+y 42.28. 求一个正交变换把二次曲面的方程3x 2+5y 2+5z 2+4xy -4xz -10yz =1化成标准方程. 解二次型的矩阵为⎪⎪⎭⎫⎝⎛----=552552223A .由)11)(2(552552223||---=-------=-λλλλλλλE A ,得A 的特征值为λ1=2, λ2=11, λ3=0, .对于λ1=2, 解方程(A -2E )x =0, 得特征向量(4, -1, 1)T , 单位化得)231 ,231 ,234(1-=p .对于λ2=11, 解方程(A -11E )x =0, 得特征向量(1, 2, -2)T , 单位化得)32 ,32 ,31(2-=p .对于λ3=0, 解方程A x =0, 得特征向量(0, 1, 1)T , 单位化得)21 ,21,0(3=p . 于是有正交矩阵P =(p 1, p 2, p 3), 使P -1AP =diag(2, 11, 0), 从而有正交变换⎪⎪⎭⎫ ⎝⎛⎪⎪⎪⎪⎪⎪⎭⎫⎝⎛--=⎪⎪⎭⎫ ⎝⎛w v u z y x 21322312132231031234, 使原二次方程变为标准方程2u 2+11v 2=1.29. 明: 二次型f =x T A x 在||x ||=1时的最大值为矩阵A 的最大特征值.证明 A 为实对称矩阵, 则有一正交矩阵T , 使得TAT -1=diag(λ1, λ2, ⋅ ⋅ ⋅, λn )=Λ成立, 其中λ1, λ2, ⋅ ⋅ ⋅, λn 为A 的特征值, 不妨设λ1最大. 作正交变换y =T x , 即x =T T y , 注意到T -1=T T , 有 f =x T A x =y T TAT T y =y T Λy =λ1y 12+λ2y 22+ ⋅ ⋅ ⋅ +λn y n 2. 因为y =T x 正交变换, 所以当||x ||=1时, 有||y ||=||x ||=1, 即y 12+y 22+ ⋅ ⋅ ⋅ +y n 2=1.因此f =λ1y 12+λ2y 22+ ⋅ ⋅ ⋅ +λn y n 2≤λ1,又当y 1=1, y 2=y 3=⋅ ⋅ ⋅=y n =0时f =λ1, 所以f max =λ1.30. 用配方法化下列二次形成规范形, 并写出所用变换的矩阵.(1) f (x 1, x 2, x 3)=x 12+3x 22+5x 32+2x 1x 2-4x 1x 3; 解 f (x 1, x 2, x 3)=x 12+3x 22+5x 32+2x 1x 2-4x 1x 3 =(x 1+x 2-2x 3)2+4x 2x 3+2x 22+x 32 =(x 1+x 2-2x 3)2-2x 22+(2x 2+x 3)2.令⎪⎩⎪⎨⎧+==-+=323223211222x x y x y x x x y , 即⎪⎪⎩⎪⎪⎨⎧+-==+-=323223211221225y y x y x yy y x ,二次型化为规范形f =y 12-y 22+y 32,所用的变换矩阵为⎪⎪⎪⎪⎪⎭⎫ ⎝⎛--=12002102251C .(2) f (x 1, x 2, x 3)=x 12+2x 32+2x 1x 3+2x 2x 3; 解 f (x 1, x 2, x 3)=x 12+2x 32+2x 1x 3+2x 2x 3 =(x 1+x 3)2+x 32+2x 2x 3;=(x 1+x 3)2-x 22+(x 2+x 3)2. 令⎪⎩⎪⎨⎧+==+=32322311x x y x y x x y , 即⎪⎩⎪⎨⎧+-==-+=323223211y y x y x y y y x , 二次型化为规范形f =y 12-y 22+y 32,所用的变换矩阵为⎪⎪⎭⎫⎝⎛--=110010111C . (3) f (x 1, x 2, x 3)=2x 12+x 22+4x 32+2x 1x 2-2x 2x 3. 解 f (x 1, x 2, x 3)=2x 12+x 22+4x 32+2x 1x 2-2x 2x 3. 3223222212421)21(2x x x x x x -+++=232322212)2(21)21(2x x x x x +-++=.令⎪⎪⎩⎪⎪⎨⎧=-=+=333222112)2(21)21(2x y x x y x x y , 即⎪⎪⎩⎪⎪⎨⎧=+=--=33322321121222212121y x y y x y y y x , 二次型化为规范形f =y 12+y 22+y 32,所用的变换矩阵为⎪⎪⎭⎫ ⎝⎛--=10022011121C .31. 设f =x 12+x 22+5x 32+2ax 1x 2-2x 1x 3+4x 2x 3为正定二次型, 求a . 解二次型的矩阵为⎪⎪⎭⎫⎝⎛--=5212111a a A ,其主子式为a 11=1,2111a a a-=, )45(5212111+-=--a a a a .因为f 为正主二次型, 所以必有1-a 2>0且-a (5a +4)>0, 解之得054<<-a .32. 判别下列二次型的正定性:(1) f =-2x 12-6x 22-4x 32+2x 1x 2+2x 1x 3; 解二次型的矩阵为⎪⎪⎭⎫⎝⎛---=401061112A .因为0211<-=a ,0116112>=--, 038||<-=A , 所以f 为负定.(2) f =x 12+3x 22+9x 32+19x 42-2x 1x 2+4x 1x 3+2x 1x 4-6x 2x 4-12x 3x 4. 解二次型的矩阵为⎪⎪⎪⎭⎫⎝⎛------=19631690230311211A . 因为 0111>=a ,043111>=--, 06902031211>=--, 024>=A , 所以f 为正定.33. 证明对称阵A 为正定的充分必要条件是: 存在可逆矩阵U , 使A =U T U , 即A 与单位阵E 合同.证明 因为对称阵A 为正定的, 所以存在正交矩阵P 使P T AP =diag(λ1, λ2, ⋅ ⋅ ⋅, λn )=Λ, 即A =P ΛP T ,其中λ1, λ2, ⋅ ⋅ ⋅, λn 均为正数. 令), , ,diag(211n λλλ⋅⋅⋅=Λ, 则Λ=Λ1Λ1, A =P Λ1Λ1T P T .再令U =Λ1T P T , 则U 可逆, 且A =U T U .。
苏州大学《线性代数》课程试卷库(第五卷)共 4 页
学院 专业 成绩 年级 学号 姓名 日期
1、多项式x
x x x
x f 1
71
3410
732201)(---=中的常数项为 。
2、若A 为三阶可逆矩阵,且2=A ,则=-T A )2(* 。
3、设矩阵A 满足 042=-+I A A ,则=--1)(I A 。
4、已知⎪⎪⎪
⎭
⎫ ⎝⎛+=13212
111
1a A 的秩为2,则=a 。
5、设A 为34⨯阶矩阵,2)(=A r ,⎪⎪⎪
⎭⎫
⎝⎛-=301020201B 则=)(AB r 。
6、已知线性方程组⎪⎩
⎪
⎨
⎧--=-=+--=+-)
2)(1()1(2
21323
3
2
321
λλλλx x x x x x 无解,则=λ 。
7、当t 时,向量组)2,2,1(1-=α,)3,,4(2t =α,)1,1,3(3-=α线性无关。
8、设任意一个n 维向量都是齐次线性方程组0=⨯x A n m 的解向量,则
=)(A r 。
9、已知λ是A 的特征值,*A 是A 的伴随阵,则*A 的特征值= 。
10、已知矩阵,10100002⎪
⎪⎪
⎭
⎫ ⎝⎛=x A ⎪⎪⎪⎭⎫
⎝⎛-=10000002y B 相似,则=y 。
二、(10分) 计算行列式 D=
1
1
1
1
111111111111--+---+---x x x x
三、(10分)设矩阵⎪⎪⎪⎭⎫ ⎝⎛-=100000001B ,⎪⎪⎪
⎭
⎫ ⎝⎛-=112012001P ,且满足关系式PB AP =,
求:A , 5A .
四、(10分) 2001
32
1
321321
2000
001010100001010100⎪⎪⎪⎭
⎫ ⎝⎛⎪⎪⎪⎭⎫ ⎝⎛⎪⎪
⎪
⎭
⎫ ⎝⎛c c c b b b a a a
五、(10分)线性方程组⎪⎪⎩⎪⎪⎨⎧=-+++=+++=-+++=+++
+2
33456220
3235
43215
432543
21
54321x x x x x b x x x x x x x x x a x x x x x 讨论当b a ,为何值时,方程组有解,当方程组有解时,用其导出组的基础解系表示方程组的全部解。
六、(10分)已知2222A -⎛⎫
= ⎪-⎝⎭
,求:
(1)A 的所有特征值和特征向量、(2)正交矩阵,Q 使AQ Q 1-为对角阵Λ。
七、(10分)已知⎪⎪⎪⎭
⎫
⎝⎛--=44144191b a a A 是正交阵,求:b a ,的值
八、(10分)设n 阶方阵B A ,分别与对角阵21,ΛΛ相似,
求证:分块矩阵⎪⎪⎭
⎫ ⎝⎛B A 00 必与一个对角阵相似。