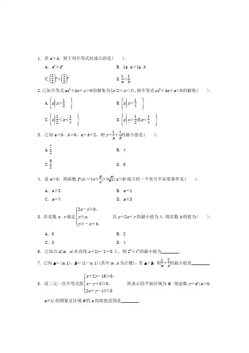
不等式和线性规划试题
- 格式:doc
- 大小:299.00 KB
- 文档页数:10
满足C不等式组表示的点集记为不等式组B C,+的最小值为,且使得+C D满足约束条件的动点满足约束条件是不等式组+则不等式组所表示的平面区18.(2014•枣庄校级模拟)为保增长、促发展,某地计划投资甲、乙两项目,市场调研得知,甲项目每投资100万元需要配套电能2万千瓦,可提供就业岗位24个,增加GDP260万元;乙项目每投资100万元需要配套电能4万千瓦,可提供就业岗位32个,增加GDP200万元、已知该地为甲、乙两项目最多可投资3000万元,配套电能100万千瓦,并要求它们提供的就业岗位不少于800个如何安排甲、乙两项目的投资额,增加的GDP最大?19.(2015•滕州市校级模拟)已知不等式x2﹣5ax+b>0的解集为{x|x>4或x<1}(1)求实数a,b的值;(2)若0<x<1,f(x)=,求f(x)的最小值.21.(2015•广安模拟)在直角坐标系xOy中,O为坐标原点,点M的横纵坐标分别为茎叶图中位数和众数,若点N(x,y)的坐标满足,求•的最大值.满足解:,解得的最小值为,不等式组不等式组DA对应的区域面积为4×4=16,B对应的区域面积如图阴影部分面积为)=,S=2015•温江区校级模拟)某企业拟生产甲、乙两种产品,已知每件甲产品的利润为3万元,每件乙产品的利润为6.(2015•哈尔滨校级二模)设a>b>0,则a++的最小值为a++=+++b==a++的最小值为:7.(2015•安庆二模)设实数m,n满足m>0,n<0,且,解:因为(,所以5+当且仅当+=1(+)+2+2使得+使得=(=≥=,不时,∴=时,∴=∴最小值为10.(2015•黑龙江模拟)设x,y满足约束条件,则,解得二.填空题(共6小题)11.(2015•西安校级二模)已知满足条件的动点解:不等式组解得,=1S=满足约束条件x+,是不等式组表示的平面4=4,.(2015•温州一模)已知a,b∈R,若a(﹣,±;的取值范围是(﹣,+=2+浙江模拟)向量,)满足,17.(2014•安徽模拟)已知函数f(x)=a x﹣2﹣2(a>0且a≠1)的图象恒过定点A(m,n),则不等式组所表示的平面区∴不等式组为,)=3(2014•枣庄校级模拟)为保增长、促发展,某地计划投资甲、乙两项目,市场调研得知,甲项目每投资100万元需要配套电能2万千瓦,可提供就业岗位24个,增加GDP260万元;乙项目每投资100万元需要配套电能4万千瓦,可提供就业岗位32个,增加GDP200万元、已知该地为甲、乙两项目最多可投资3000万元,配套电能100万千瓦,并要求它们提供的就业岗位不少于800个如何安排甲、乙两满足得得>4或x<1}(1)求实数a,b的值;(2)若0<x<1,f(x)=,求f(x)的最小值.)由题意可得,解得=+,∴>>=+=++5+2当且仅当=即时,等号成立.20.(2014•肇庆模拟)广东省某家电企业根据市场调查分析,决定调整新产品生产方案,准备每周(按40个工时计算)生产空调机、彩电、冰箱共120台,且冰箱至少生产20台,已知生产这些家电产品满足y复习17、线性规划、均值不等式21.(2015•广安模拟)在直角坐标系xOy中,O为坐标原点,点M 的横纵坐标分别为茎叶图中位数和众数,若点N(x,y)的坐标满足,求•的最大值.•=23x+23y=,z=46•的最大值是.。
第3节二元一次不等式(组)与简单的线性规划问题选题明细表知识点、方法题号二元一次不等式(组)表示的平面区域1,4,9含参数的线性规划3,5,6,7,10,12目标函数的最值2,8,13,14,15线性规划的实际应用11基础对点练(时间:30分钟)1.不等式组所表示的平面区域是( D )解析:画出直线x=2,在平面上取直线的右侧部分(包含直线本身);再画出直线x-y=0,取直线的右侧部分(包含直线本身),两部分重叠的区域就是不等式组表示的平面区域.故选D.2.(2016·某某卷)若变量x,y满足则x2+y2的最大值是( C )(A)4 (B)9(C)10 (D)12解析: 作出不等式组表示的可行域如图所示,由x2+y2表示可行域内的点(x,y)到原点的距离平方可知,点A(3,-1)满足条件,即x2+y2的最大值为32+(-1)2=10.故选C.3.(2016·某某模拟)已知函数f(x)=log a x(a>1)的图象经过区域则a的取值X 围是( C )(A)(1,] (B)(,+∞)(C)[,+∞) (D)(2,+∞)解析: 作出不等式组表示的可行域,如图中阴影部分所示.联系函数f(x)=log a x(a>1)的图象,能够看出,当图象经过区域的边界点A(3,3)时,a可以取到最小值,而显然只要a大于,函数f(x)=log a x(a>1)的图象必然经过区域内的点.则a的取值X围是[,+∞).故选C.4.(2015·某某校级三模)若A为不等式组表示的平面区域,则a从-2连续变化到1时,动直线x+y=a扫过A中的那部分区域的面积为( D )(A)9(B)3(C)(D)解析: 如图,不等式组表示的平面区域是△AOB,动直线x+y=a(即y=-x+a)在y轴上的截距从-2变化到1.知△ACD是斜边为3的等腰直角三角形,△OEC是直角边为1的等腰直角三角形,所以区域的面积S=S△ACD-S△OEC=×3×-×1×1=.5.(2014·某某卷)x,y满足约束条件若z=y-ax取得最大值的最优解不唯一,则实数a的值为( D )(A)或-1 (B)2或(C)2或1 (D)2或-1解析:线性约束条件对应的可行域如图所示:目标函数z=y-ax化为y=ax+z,当a>0时,要使其取得最大值的最优解不唯一,需动直线y=ax+z与2x-y+2=0平行或重合,此时a=2;同理当a<0时,需动直线y=ax+z与x+y-2=0平行或重合,此时a=-1,故选D.6.(2016·某某章丘期末)若实数x,y满足不等式组且x+y的最大值为9,则实数m等于( C )(A)-2 (B)-1(C)1 (D)2解析: x-my+1=0恒过点(-1,0),旋转直线x-my+1=0可知可行域只可能是△ABC,且x+y的最大值只在点C处取得,联立方程组得C(,)(若m=,则与2x-y-3=0平行,不可能),(x+y)max=+=9,解得m=1.故选C.7.(2016·某某某某名校联考)已知a>0,x,y满足约束条件若z=2x+y的最小值为1,则a等于( A )(A)(B)(C)1 (D)2解析: 根据约束条件画出可行域,如图,由图可知当直线z=2x+y经过点B时,z最小,由解得所以z min=2×1-2a=1,解得a=.故选A.8.导学号 18702285已知x,y满足则的取值X围是( C )(A)[0,] (B)[2,] (C)[1,] (D)[0,]解析:不等式组表示的平面区域如图中阴影部分所示.因为==1+,表示区域内的点与(4,2)连线的斜率.斜率最小值为0,点(-3,-4)与M(4,2)连线斜率最大为=.所以的取值X围为[1,].故选C.9.若点P(m,3)到直线4x-3y+1=0的距离为4,且点P在不等式2x+y<3表示的平面区域内,则m=.解析:由题意可得解得m=-3.答案:-310.(2016·某某模拟)若直线y=2x上存在点(x,y)满足约束条件则实数m的取值X围是.解析: 由题意,由可求得交点坐标为(1,2),要使直线y=2x上存在点(x,y)满足约束条件则点(1,2)在可行域内,如图所示,可得m≤1.答案:(-∞,1]11.导学号 18702284某工厂生产甲、乙两种产品,已知生产每吨甲、乙两种产品所需煤、电、劳力、获得利润及每天资源限额(最大供应量)如下表所示:产品限额资源甲产品(每吨)乙产品(每吨)资源限额(每天)煤(t) 9 4 360电(kW·h) 4 5 200劳力(个) 3 10 300利润(万元) 6 12问:每天生产甲、乙两种产品各多少吨,获得利润总额最大?解:设此工厂应分别生产甲、乙两种产品x吨、y吨,获得利润z万元.依题意可得约束条件利润目标函数z=6x+12y.如图,作出可行域,作直线l:6x+12y=0,把直线l向右上方平移至l1位置,直线经过可行域上的点M时z=6x+12y取最大值.解方程组得M(20,24).所以生产甲种产品20 t,乙种产品24 t,才能使此工厂获得最大利润.能力提升练(时间:15分钟)12.(2016·某某八校联考)已知变量x,y满足约束条件若z=x-2y的最大值与最小值分别为a,b,且方程x2-kx+1=0在区间(b,a)上有两个不同实数解,则实数k的取值X围是( C )(A)(-6,-2) (B)(-3,2)(C)(-,-2)(D)(-,-3)解析: 作出可行域,如图所示,则目标函数z=x-2y在点(1,0)处取得最大值1,在点(-1,1)处取得最小值-3,所以a=1,b=-3,从而可知方程x2-kx+1=0在区间(-3,1)上有两个不同实数解.令f(x)=x2-kx+1,则⇒-<k<-2,故选C.13.导学号 18702286如果实数a,b满足条件:则的最大值是.解析: 根据约束条件画出可行域,如图,表示可行域内的点与原点(0,0)连线的斜率,设z的几何意义表示可行域内点P与原点O(0,0)连线的斜率,易知当直线OP过点B(,)时,取最大值,最大值为3,直线OP过点A(1,1)时,取最小值,最小值为1,所以∈[1,3].所以===2-因为∈[1,3].所以的最大值为.答案:14.(2014·某某卷)当实数x,y满足时,1≤ax+y≤4恒成立,则实数a的取值X 围是.解析:可行域如图所示,则A(1,0),B(2,1),C(1,),设z=ax+y,即得1≤a≤.答案:[1,]15.导学号 18702287变量x,y满足(1)假设z1=4x-3y,求z1的最大值;(2)设z2=,求z2的最小值;(3)设z3=x2+y2,求z3的取值X围.解: 作出可行域如图中阴影部分,联立易得A(1,),B(1,1),C(5,2).(1)z1=4x-3y⇔y=x-,易知平移y=x至过点C时,z1最大,且最大值为4×5-3×2=14.(2)z2=表示可行域内的点与原点连线的斜率大小,显然直线OC斜率最小.故z2的最小值为.(3)z3=x2+y2表示可行域内的点到原点距离的平方,而2=OB2<OA2<OC2=29.故z3∈[2,29].好题天天练1.(2015·某某卷)设实数x,y满足则xy的最大值为( A )(A)(B)(C)12 (D)16解题关键:判断xy取得最大值的点,并分类讨论确定最大值.解析: 先画出可行域,再将xy转化为矩形面积S,求S的最大值.表示的可行域如图中阴影部分所示.令S=xy,不妨设在点M(x0,y0)处S取得最大值,且由图象知点M(x0,y0)只可能在线段AD,AB,BC上.①当M(x0,y0)在线段AD上时,x0∈[-2,0],此时S=xy≤0;②当M(x0,y0)在线段AB上时,x0∈[0,2],S=xy=x·=x(7-)=-+7x=-(x-7)2+,当x0=2时,wordS max=-(2-7)2+=-+=12;③当M(x0,y 0)在线段BC上时,x 0∈[2,4],S=xy=x·(10-2x)=-2x2+10x=-2(x-)2+,当x0=时,S max =.综上所述,xy的最大值为.2.导学号 18702288设实数x,y满足则z=-的取值X围是.解析: 由于表示可行域内的点(x,y)与原点(0,0)的连线的斜率,如图,求出可行域的顶点坐标A(3,1),B(1,2),C(4,2),则k OA=,k OB=2,k OC=,可见∈[,2],令=t,则z=t-在[,2]上单调递增,所以z∈[-,].答案:[-,]11 / 11。
1.二元一次不等式表示的平面区域(1)一般地,二元一次不等式Ax+By+C>0在平面直角坐标系中表示直线Ax+By+C=0某一侧所有点组成的平面区域.我们把直线画成虚线以表示区域不包括边界直线.当我们在坐标系中画不等式Ax+By+C≥0所表示的平面区域时,此区域应包括边界直线,则把边界直线画成实线.(2)由于对直线Ax+By+C=0同一侧的所有点(x,y),把它的坐标(x,y)代入Ax+By+C,所得的符号都相同,所以只需在此直线的同一侧取一个特殊点(x0,y0)作为测试点,由Ax0+By0+C的符号即可判断Ax+By+C>0表示的直线是Ax+By+C=0哪一侧的平面区域.2.线性规划相关概念名称意义约束条件由变量x,y组成的一次不等式线性约束条件由x,y的一次不等式(或方程)组成的不等式组目标函数欲求最大值或最小值的函数线性目标函数关于x,y的一次解析式可行解满足线性约束条件的解可行域所有可行解组成的集合最优解使目标函数取得最大值或最小值的可行解线性规划问题在线性约束条件下求线性目标函数的最大值或最小值问题3.(1)画二元一次不等式表示的平面区域的直线定界,特殊点定域:①直线定界:不等式中无等号时直线画成虚线,有等号时直线画成实线;②特殊点定域:若直线不过原点,特殊点常选原点;若直线过原点,则特殊点常选取(0,1)或(1,0)来验证.(2)利用“同号上,异号下”判断二元一次不等式表示的平面区域: 对于Ax +By +C >0或Ax +By +C <0,则有①当B (Ax +By +C )>0时,区域为直线Ax +By +C =0的上方; ②当B (Ax +By +C )<0时,区域为直线Ax +By +C =0的下方. (3)最优解和可行解的关系:最优解必定是可行解,但可行解不一定是最优解.最优解不一定唯一,有时唯一,有时有多个. 【思考辨析】判断下面结论是否正确(请在括号中打“√”或“×”)(1)不等式Ax +By +C >0表示的平面区域一定在直线Ax +By +C =0的上方.( × ) (2)线性目标函数的最优解可能是不唯一的.( √ )(3)目标函数z =ax +by (b ≠0)中,z 的几何意义是直线ax +by -z =0在y 轴上的截距.( × ) (4)不等式x 2-y 2<0表示的平面区域是一、三象限角的平分线和二、四象限角的平分线围成的含有y 轴的两块区域.( √ )1.如图阴影部分表示的区域可用二元一次不等式组表示为________.答案 ⎩⎪⎨⎪⎧x +y -1≥0,x -2y +2≥0解析 两直线方程分别为x -2y +2=0与x +y -1=0. 由(0,0)点在直线x -2y +2=0右下方可知x -2y +2≥0, 又(0,0)点在直线x +y -1=0左下方可知x +y -1≥0,即⎩⎪⎨⎪⎧x +y -1≥0,x -2y +2≥0为所表示的可行域. 2.(教材改编)不等式组⎩⎪⎨⎪⎧x -3y +6<0,x -y +2≥0表示的平面区域是________.答案 ③解析 用特殊点代入,比如(0,0),容易判断为③. 3.若实数x ,y 满足不等式组⎩⎪⎨⎪⎧x -y ≥-1,x +y ≥1,3x -y ≤3,则该约束条件所围成的平面区域的面积是________. 答案 2解析 因为直线x -y =-1与x +y =1互相垂直, 所以如图所示的可行域为直角三角形,易得A (0,1),B (1,0),C (2,3),故AB =2,AC =22, 其面积为12×AB ×AC =2.4.(2015·北京改编)若x ,y 满足⎩⎪⎨⎪⎧x -y ≤0,x +y ≤1,x ≥0,则z =x +2y 的最大值为________.答案 2解析 可行域如图所示.目标函数化为y =-12x +12z ,当直线y =-12x +12z 过点A (0,1)时,z 取得最大值2.5.(教材改编)投资生产A 产品时,每生产100吨需要资金200万元,需场地200平方米;投资生产B 产品时,每生产100吨需要资金300万元,需场地100平方米.现某单位可使用资金1 400万元,场地900平方米,则上述要求可用不等式组表示为__________________(用x ,y 分别表示生产A ,B 产品的吨数,x 和y 的单位是百吨).答案 ⎩⎪⎨⎪⎧200x +300y ≤1 400,200x +100y ≤900,x ≥0,y ≥0解析 用表格列出各数据A B 总数 产品吨数 x y 资金 200x 300y 1 400 场地200x100y900所以不难看出,x ≥0,y ≥0,200x +300y ≤1 400,200x +100y ≤900.题型一 二元一次不等式(组)表示的平面区域命题点1 不含参数的平面区域问题例1 (1)不等式(x -2y +1)(x +y -3)≤0在坐标平面内表示的区域(用阴影部分表示),应是下列图形中的________.(2)不等式组⎩⎪⎨⎪⎧x ≥0,x +3y ≥4,3x +y ≤4所表示的平面区域的面积等于________.答案 (1)③ (2)43解析 (1)(x -2y +1)(x +y -3)≤0⇒⎩⎪⎨⎪⎧x -2y +1≥0,x +y -3≤0,或⎩⎪⎨⎪⎧x -2y +1≤0,x +y -3≥0.画出平面区域后,只有③符合题意.(2)由题意得不等式组表示的平面区域如图阴影部分,A (0,43),B (1,1),C (0,4),则△ABC 的面积为12×1×83=43.命题点2 含参数的平面区域问题 例2 若不等式组⎩⎪⎨⎪⎧x ≥0,x +3y ≥4,3x +y ≤4所表示的平面区域被直线y =kx +43分为面积相等的两部分,则k 的值是____________________________________________________________. 答案 73解析 不等式组表示的平面区域如图所示.由于直线y =kx +43过定点⎝⎛⎭⎫0,43.因此只有直线过AB 中点时,直线y =kx +43能平分平面区域.因为A (1,1),B (0,4),所以AB 中点D ⎝⎛⎭⎫12,52. 当y =kx +43过点⎝⎛⎭⎫12,52时,52=k 2+43, 所以k =73.思维升华 (1)求平面区域的面积:①首先画出不等式组表示的平面区域,若不能直接画出,应利用题目的已知条件转化为不等式组问题,从而再作出平面区域;②对平面区域进行分析,若为三角形应确定底与高,若为规则的四边形(如平行四边形或梯形),可利用面积公式直接求解,若为不规则四边形,可分割成几个三角形分别求解再求和即可.(2)利用几何意义求解的平面区域问题,也应作出平面图形,利用数形结合的方法去求解.(1)不等式组⎩⎪⎨⎪⎧x ≥0,x +y ≤3,y ≥x +1表示的平面区域为Ω,直线y =kx -1与区域Ω有公共点,则实数k 的取值范围为________. (2)已知约束条件⎩⎪⎨⎪⎧x ≥1,x +y -4≤0,kx -y ≤0表示面积为1的直角三角形区域,则实数k 的值为________.答案 (1)[3,+∞) (2)1解析 (1)直线y =kx -1过定点M (0,-1),由图可知,当直线y =kx -1经过直线y =x +1与直线x +y =3的交点C (1,2)时,k 最小,此时k CM =2-(-1)1-0=3,因此k ≥3,即k ∈[3,+∞).(2)由于x =1与x +y -4=0不可能垂直,所以只有可能x +y -4=0与kx -y =0垂直或x =1与kx -y =0垂直.①当x +y -4=0与kx -y =0垂直时,k =1,检验知三角形区域面积为1,即符合要求. ②当x =1与kx -y =0垂直时,k =0,检验不符合要求.题型二 求目标函数的最值问题命题点1 求线性目标函数的最值例3 (2014·广东)若变量x ,y 满足约束条件⎩⎪⎨⎪⎧y ≤x ,x +y ≤1,y ≥-1,且z =2x +y 的最大值和最小值分别为m 和n ,则m -n =________. 答案 6解析 画出可行域,如图阴影部分所示. 由z =2x +y ,得y =-2x +z .由⎩⎪⎨⎪⎧ y =x ,y =-1,得⎩⎪⎨⎪⎧x =-1,y =-1,∴A (-1,-1).由⎩⎪⎨⎪⎧ x +y =1,y =-1,得⎩⎪⎨⎪⎧x =2,y =-1,∴B (2,-1).当直线y =-2x +z 经过点A 时,z min =2×(-1)-1=-3=n .当直线y =-2x +z 经过点B 时,z max =2×2-1=3=m ,故m -n =6. 命题点2 求非线性目标函数的最值 例4 实数x ,y 满足⎩⎪⎨⎪⎧x -y +1≤0,x >0,y ≤2.(1)若z =yx ,求z 的最大值和最小值,并求z 的取值范围;(2)若z =x 2+y 2,求z 的最大值与最小值,并求z 的取值范围. 解 由⎩⎪⎨⎪⎧x -y +1≤0,x >0,y ≤2,作出可行域,如图中阴影部分所示.(1)z =yx表示可行域内任一点与坐标原点连线的斜率,因此yx的范围为直线OB 的斜率到直线OA 的斜率(直线OA 的斜率不存在,即z max 不存在).由⎩⎪⎨⎪⎧x -y +1=0,y =2,得B (1,2), ∴k OB =21=2,即z min =2,∴z 的取值范围是[2,+∞).(2)z =x 2+y 2表示可行域内的任意一点与坐标原点之间距离的平方. 因此x 2+y 2的值最小为OA 2(取不到),最大值为OB 2.由⎩⎪⎨⎪⎧x -y +1=0,x =0,得A (0,1), ∴OA 2=(02+12)2=1,OB 2=(12+22)2=5,∴z 的取值范围是(1,5]. 引申探究1.若z =y -1x -1,求z 的取值范围.解 z =y -1x -1可以看作过点P (1,1)及(x ,y )两点的直线的斜率.∴z 的取值范围是(-∞,0).2.若z =x 2+y 2-2x -2y +3.求z 的最大值、最小值. 解 z =x 2+y 2-2x -2y +3 =(x -1)2+(y -1)2+1,而(x -1)2+(y -1)2表示点P (1,1)与Q (x ,y )的距离的平方,(PQ 2)max =(0-1)2+(2-1)2=2, (PQ 2)min =(|1-1+1|12+(-1)2)2=12,∴z max =2+1=3,z min =12+1=32.命题点3 求线性规划的参数例5 已知a >0,x ,y 满足约束条件⎩⎪⎨⎪⎧x ≥1,x +y ≤3,y ≥a (x -3),若z =2x +y 的最小值为1,则a =________.答案 12解析 作出不等式组表示的可行域,如图(阴影部分).易知直线z =2x +y 过交点A 时,z 取最小值,由⎩⎪⎨⎪⎧x =1,y =a (x -3), 得⎩⎪⎨⎪⎧x =1,y =-2a , ∴z min =2-2a =1,解得a =12.思维升华 (1)先准确作出可行域,再借助目标函数的几何意义求目标函数的最值. (2)当目标函数是非线性的函数时,常利用目标函数的几何意义来解题,常见代数式的几何意义有: ①x 2+y 2表示点(x ,y )与原点(0,0)的距离,(x -a )2+(y -b )2表示点(x ,y )与点(a ,b )的距离;②yx 表示点(x ,y )与原点(0,0)连线的斜率,y -b x -a 表示点(x ,y )与点(a ,b )连线的斜率. (3)当目标函数中含有参数时,要根据临界位置确定参数所满足条件.(1)(2015·无锡一模)在直角坐标平面内,不等式组⎩⎪⎨⎪⎧y ≤x +1,y ≥0,0≤x ≤t所表示的平面区域的面积为32,则t 的值为________.(2)(2014·安徽改编)x ,y 满足约束条件⎩⎪⎨⎪⎧x +y -2≤0,x -2y -2≤0,2x -y +2≥0.若z =y -ax 取得最大值的最优解不唯一,则实数a 的值为________. 答案 (1)1 (2)2或-1 解析 (1)不等式组⎩⎨⎧y ≤x +1,y ≥0,0≤x ≤t所表示的平面区域如图中阴影部分所示.由⎩⎪⎨⎪⎧y =x +1,x =t ,解得交点B (t ,t +1),在y =x +1中,令x =0得y =1,即直线y =x +1与y 轴的交点为C (0,1),由平面区域的面积S =(1+t +1)×t 2=32,得t 2+2t -3=0,解得t =1或t =-3(不合题意,舍去).(2)如图,由y =ax +z 知z 的几何意义是直线在y 轴上的截距,故当a >0时,要使z =y -ax 取得最大值的最优解不唯一,则a =2; 当a <0时,要使z =y -ax 取得最大值的最优解不唯一,则a =-1.题型三 线性规划的实际应用例6 某客运公司用A 、B 两种型号的车辆承担甲、乙两地间的长途客运业务,每车每天往返一次.A 、B 两种车辆的载客量分别为36人和60人,从甲地去乙地的营运成本分别为1 600元/辆和2 400元/辆,公司拟组建一个不超过21辆车的客运车队,并要求B 型车不多于A 型车7辆.若每天运送人数不少于900,且使公司从甲地去乙地的营运成本最小,那么应配备A 型车、B 型车各多少辆?解 设A 型、B 型车辆分别为x 、y 辆,相应营运成本为z 元,则z =1 600x +2 400y .由题意,得x ,y 满足约束条件⎩⎪⎨⎪⎧x +y ≤21,y ≤x +7,36x +60y ≥900,x ,y ≥0,x ,y ∈N .作可行域如图所示,可行域的三个顶点坐标分别为P (5,12),Q (7,14),R (15,6).由图可知,当直线z =1 600x +2 400y 经过可行域的点P 时,直线z =1 600x +2 400y 在y 轴上的截距z2 400最小,即z 取得最小值.故应配备A 型车5辆、B 型车12辆,可以满足公司从甲地去乙地的营运成本最小. 思维升华 解线性规划应用问题的一般步骤: (1)分析题意,设出未知量; (2)列出线性约束条件和目标函数; (3)作出可行域并利用数形结合求解; (4)作答.(2015·陕西改编)某企业生产甲、乙两种产品均需用A ,B 两种原料,已知生产1吨每种产品所需原料及每天原料的可用限额如表所示,如果生产1吨甲、乙产品可获利润分别为3万元、4万元,则该企业每天可获得最大利润为________万元.甲 乙 原料限额 A (吨) 3 2 12 B (吨)128答案 18解析 设每天甲、乙的产量分别为x 吨,y 吨,由已知可得⎩⎪⎨⎪⎧3x +2y ≤12,x +2y ≤8,x ≥0,y ≥0,目标函数z =3x +4y ,线性约束条件表示的可行域如图阴影部分所示:可得目标函数在点A 处取到最大值.由⎩⎪⎨⎪⎧x +2y =8,3x +2y =12,得A (2,3). 则z max =3×2+4×3=18(万元).8.含参数的线性规划问题的易错点典例 已知实数x ,y 满足⎩⎪⎨⎪⎧y ≥1,y ≤2x -1,x +y ≤m ,如果目标函数z =x -y 的最小值为-1,则实数m =________.易错分析 题目给出的区域边界“两静一动”,可先画出已知边界表示的区域,分析动直线的位置时容易出错,没有抓住直线x +y =m 和直线y =-x 平行这个特点;另外在寻找最优点时也容易找错区域的顶点.解析 显然,当m <2时,不等式组表示的平面区域是空集;当m =2时,不等式组表示的平面区域只包含一个点A (1,1).此时z min =1-1=0≠-1. 显然都不符合题意.故必有m >2,此时不等式组⎩⎪⎨⎪⎧y ≥1,y ≤2x -1,x +y ≤m所表示的平面区域如图所示,平面区域为一个三角形区域,其顶点为A (1,1),B (m -1,1),C (m +13,2m -13).由图可知,当直线y =x -z 经过点C 时,z 取得最小值, 最小值为m +13-2m -13=2-m3.由题意,得2-m3=-1,解得m =5.答案 5温馨提醒 (1)当约束条件含有参数时,要注意根据题目条件,画出符合条件的可行域.本题因含有变化的参数,可能导致可行域画不出来. (2)应注意直线y =x -z 经过的特殊点.[方法与技巧]1.平面区域的画法:线定界、点定域(注意实虚线).2.求最值:求二元一次函数z =ax +by (ab ≠0)的最值,将函数z =ax +by 转化为直线的斜截式:y =-a b x +z b ,通过求直线的截距zb 的最值间接求出z 的最值.最优解在顶点或边界取得.3.解线性规划应用题,可先找出各变量之间的关系,最好列成表格,然后用字母表示变量,列出线性约束条件;写出要研究的函数,转化成线性规划问题.4.利用线性规划的思想结合代数式的几何意义可以解决一些非线性规划问题. [失误与防范]1.画出平面区域.避免失误的重要方法就是首先使二元一次不等式标准化.2.在通过求直线的截距z b 的最值间接求出z 的最值时,要注意:当b >0时,截距zb 取最大值时,z 也取最大值;截距z b 取最小值时,z 也取最小值;当b <0时,截距zb 取最大值时,z 取最小值;截距zb 取最小值时,z 取最大值.A 组 专项基础训练(时间:30分钟)1.直线2x +y -10=0与不等式组⎩⎪⎨⎪⎧x ≥0,y ≥0,x -y ≥-2,4x +3y ≤20表示的平面区域的公共点有________个.答案 1解析 由不等式组画出平面区域如图(阴影部分).直线2x +y -10=0恰过点A (5,0),且其斜率k =-2<k AB =-43,即直线2x +y -10=0与平面区域仅有一个公共点A (5,0).2.若点(m,1)在不等式2x +3y -5>0所表示的平面区域内,则m 的取值范围是________. 答案 m >1解析 由2m +3-5>0,得m >1.3.设变量x ,y 满足约束条件⎩⎪⎨⎪⎧x +y -2≥0,x -y -2≤0,y ≥1,则目标函数z =x +2y 的最小值为________.答案 3解析 由线性约束条件画出可行域(如图所示).由z =x +2y ,得y =-12x +12z ,12z 的几何意义是直线y =-12x +12z 在y 轴上的截距,要使z 最小,需使12z 最小,易知当直线y =-12x +12z 过点A (1,1)时,z 最小,最小值为3.4.若不等式组⎩⎪⎨⎪⎧x -y ≥0,2x +y ≤2,y ≥0,x +y ≤a ,表示的平面区域是一个三角形,则a 的取值范围是______________. 答案 (0,1]∪⎣⎡⎭⎫43,+∞ 解析 不等式组⎩⎨⎧x -y ≥0,2x +y ≤2,y ≥0表示的平面区域如图(阴影部分),求得A ,B 两点的坐标分别为⎝⎛⎭⎫23,23和(1,0),若原不等式组表示的平面区域是一个三角形,则a 取值范围是0<a ≤1或a ≥43.5.某公司生产甲、乙两种桶装产品.已知生产甲产品1桶需耗A 原料1千克、B 原料2千克;生产乙产品1桶需耗A 原料2千克、B 原料1千克.每桶甲产品的利润是300元,每桶乙产品的利润是400元.公司在生产这两种产品的计划中,要求每天消耗A 、B 原料都不超过12千克.通过合理安排生产计划,从每天生产的甲、乙两种产品中,公司共可获得的最大利润是________元. 答案 2 800解析 设每天生产甲种产品x 桶,乙种产品y 桶,则根据题意得x 、y 的约束条件为⎩⎪⎨⎪⎧x ≥0,x ∈N ,y ≥0,y ∈N ,x +2y ≤12,2x +y ≤12.设获利z 元, 则z =300x +400y . 画出可行域如图.画直线l :300x +400y =0, 即3x +4y =0.平移直线l ,从图中可知,当直线过点M 时, 目标函数取得最大值.由⎩⎪⎨⎪⎧ x +2y =12,2x +y =12,解得⎩⎪⎨⎪⎧x =4,y =4,即M 的坐标为(4,4),∴z max =300×4+400×4=2 800(元).6.若函数y =2x 图象上存在点(x ,y )满足约束条件⎩⎪⎨⎪⎧x +y -3≤0,x -2y -3≤0,x ≥m ,则实数m 的最大值为________. 答案 1解析 在同一直角坐标系中作出函数y =2x的图象及⎩⎪⎨⎪⎧x +y -3≤0,x -2y -3≤0所表示的平面区域,如图阴影部分所示.由图可知,当m ≤1时,函数y =2x 的图象上存在点(x ,y )满足约束条件,故m 的最大值为1.7.(2015·枣庄模拟)已知实数x ,y 满足约束条件⎩⎪⎨⎪⎧x >0,4x +3y ≤4,y ≥0,则ω=y +1x的最小值是________. 答案 1解析 作出不等式组对应的平面区域如图,ω=y +1x 的几何意义是区域内的点P (x ,y )与定点A (0,-1)所在直线的斜率,由图象可知当P 位于点D (1,0)时,直线AP 的斜率最小,此时ω=y +1x 的最小值为-1-00-1=1.8.已知实数x ,y 满足⎩⎪⎨⎪⎧x -2y +1≥0,x <2,x +y -1≥0,则z =2x -2y -1的取值范围是__________.答案 [-53,5)解析 画出不等式组所表示的区域,如图中阴影部分所示,可知2×13-2×23-1≤z <2×2-2×(-1)-1,即z 的取值范围是[-53,5).9.铁矿石A 和B 的含铁率a ,冶炼每万吨铁矿石的CO 2的排放量b 及每万吨铁矿石的价格c 如表:a b (万吨) c (百万元)A 50% 1 3 B70%0.56某冶炼厂至少要生产1.9(万吨)铁,若要求CO 2的排放量不超过2(万吨),则购买铁矿石的最少费用为________(百万元). 答案 15解析 设购买铁矿石A 、B 分别为x 万吨,y 万吨,购买铁矿石的费用为z (百万元),则⎩⎪⎨⎪⎧0.5x +0.7y ≥1.9,x +0.5y ≤2,x ≥0,y ≥0.目标函数z =3x +6y ,由⎩⎪⎨⎪⎧0.5x +0.7y =1.9,x +0.5y =2,得⎩⎪⎨⎪⎧x =1,y =2.记P (1,2), 画出可行域可知,当目标函数z =3x +6y 过点P (1,2)时,z 取到最小值15. 10.设实数x ,y 满足约束条件⎩⎪⎨⎪⎧3x -y -6≤0,x -y +2≥0,x ≥0,y ≥0,若目标函数z =ax +by (a >0,b >0)的最大值为10,则a 2+b 2的最小值为________. 答案2513解析 因为a >0,b >0, 所以由可行域得,如图,当目标函数过点(4,6)时z 取最大值,∴4a +6b =10.a 2+b 2的几何意义是直线4a +6b =10上任意一点到点(0,0)的距离的平方,那么其最小值是点(0,0)到直线4a +6b =10距离的平方,则a 2+b 2的最小值是2513.B 组 专项能力提升(时间:20分钟)11.已知变量x ,y 满足约束条件⎩⎪⎨⎪⎧x +2y ≥1,x -y ≤1,y -1≤0,若z =x -2y 的最大值与最小值分别为a ,b ,且方程x 2-kx +1=0在区间(b ,a )上有两个不同实数解,则实数k 的取值范围是__________. 答案 (-103,-2)解析 作出可行域,如图所示,则目标函数z =x -2y 在点(1,0)处取得最大值1,在点(-1,1)处取得最小值-3, ∴a =1,b =-3,从而可知方程x 2-kx +1=0在区间(-3,1)上有两个不同实数解. 令f (x )=x 2-kx +1,则⎩⎪⎨⎪⎧f (-3)>0,f (1)>0,-3<k2<1,Δ=k 2-4>0⇒-103<k <-2.12.在平面直角坐标系中,点P 是由不等式组⎩⎪⎨⎪⎧x ≥0,y ≥0,x +y ≥1所确定的平面区域内的动点,Q 是直线2x +y =0上任意一点,O 为坐标原点,则|OP →+OQ →|的最小值为________. 答案55解析 在直线2x +y =0上取一点Q ′,使得Q ′O →=OQ →, 则|OP →+OQ →|=|OP →+Q ′O →| =|Q ′P →|≥|P ′P →|≥|BA →|,其中P ′,B 分别为点P ,A 在直线2x +y =0上的投影,如图.因为|AB →|=|0+1|12+22=55,因此|OP →+OQ →|min =55.13.设平面点集A ={(x ,y )|(y -x )·(y -1x )≥0},B ={(x ,y )|(x -1)2+(y -1)2≤1},则A ∩B 所表示的平面图形的面积为________. 答案 π2解析 平面点集A 表示的平面区域就是不等式组⎩⎪⎨⎪⎧ y -x ≥0,y -1x ≥0与⎩⎪⎨⎪⎧y -x ≤0,y -1x≤0表示的两块平面区域,而平面点集B 表示的平面区域为以点(1,1)为圆心, 以1为半径的圆及圆的内部, 作出它们表示的平面区域如图所示,图中的阴影部分就是A ∩B 所表示的平面图形. 由于圆和曲线y =1x 关于直线y =x 对称,因此,阴影部分所表示的图形面积为圆面积的12,即为π2.14.已知圆C :(x -a )2+(y -b )2=1,平面区域Ω:⎩⎪⎨⎪⎧ x +y -7≤0,x -y +3≥0,y ≥0.若圆心C ∈Ω,且圆C与x 轴相切,则a 2+b 2的最大值为________.答案 37解析 由已知得平面区域Ω为△MNP 内部及边界.∵圆C 与x 轴相切,∴b =1. 显然当圆心C 位于直线y =1与x +y -7=0的交点(6,1)处时,a max =6.∴a 2+b 2的最大值为62+12=37.15.已知变量x ,y 满足约束条件⎩⎪⎨⎪⎧ x +2y -3≤0,x +3y -3≥0,y -1≤0,若目标函数z =ax +y (其中a >0)仅在点(3,0)处取得最大值,则a 的取值范围是__________.答案 ⎝⎛⎭⎫12,+∞解析 画出x 、y 满足约束条件的可行域如图所示,要使目标函数z =ax +y 仅在点(3,0)处取得最大值,则直线y =-ax +z 的斜率应小于直线x +2y -3=0的斜率,即-a <-12,∴a >12.16.给定区域D :⎩⎪⎨⎪⎧ x +4y ≥4,x +y ≤4,x ≥0,令点集T ={(x 0,y 0)∈D |x 0,y 0∈Z ,(x 0,y 0)是z =x +y 在D上取得最大值或最小值的点},则T 中的点共确定________条不同的直线.答案 6解析 作出图形可知,△ABF 所围成的区域即为区域D ,其中A (0,1)是z 在D 上取得最小值的点,B ,C ,D ,E ,F 是z 在D 上取得最大值的点,则T 中的点共确定AB ,AC ,AD ,AE ,AF ,BF 共6条不同的直线.。
第 2 讲不等式与线性规划考情解读 1.在高考取主要考察利用不等式的性质进行两数的大小比较、一元二次不等式的解法、基本不等式及线性规划问题.基本不等式主要考察求最值问题,线性规划主要考察直接求最优解和已知最优解求参数的值或取值范围问题.2.多与会合、函数等知识交汇命题,以选择、填空题的形式表现,属中档题.1.四类不等式的解法(1)一元二次不等式的解法先化为一般形式 ax2+bx+ c>0( a≠0),再求相应一元二次方程 ax2+ bx+ c= 0(a≠0)的根,最后依据相应二次函数图象与 x 轴的地点关系,确立一元二次不等式的解集.(2)简单分式不等式的解法①变形 ?f x>0(<0) ? f(x)g(x)>0(<0) ;g x②变形 ?f x≥ 0( ≤?0)f( x)g(x) ≥ 0( ≤且0)g(x) ≠ 0.g x(3) 简单指数不等式的解法①当 a>1 时, a f(x)>a g(x)? f(x)>g(x);②当 0< a<1 时, a f(x) >a g(x)? f(x)<g(x).(4)简单对数不等式的解法①当 a>1 时, log a f(x)>log a g(x) ? f(x)>g(x)且 f( x)>0 , g(x)>0;②当0< a<1 时, log a f( x)>log a g(x)? f(x)<g(x)且 f(x)>0,g(x)>0.2.五个重要不等式(1)|a| ≥0,a2≥ 0(a∈R ).(2)a2+b2≥2ab(a、b∈R ).a+ b(3)2≥ ab(a>0, b>0).a+ b 2(4) ab≤(2) (a, b∈R).(5)a2+ b2 a+ b2ab(a>0, b>0) .2≥2≥ ab≥a+ b3.二元一次不等式(组 )和简单的线性规划(1)线性规划问题的相关观点:线性拘束条件、线性目标函数、可行域、最优解等.(2)解不含实质背景的线性规划问题的一般步骤:①画出可行域;②依据线性目标函数的几何意义确立最优解;③求出目标函数的最大值或许最小值.4.两个常用结论(1) ax2a>0,+ bx+ c>0( a≠0)恒建立的条件是<0.2a<0,(2) ax+ bx+ c<0( a≠0)恒建立的条件是<0.热门一一元二次不等式的解法例 1(1)(2013 安·徽 )已知一元二次不等式f(x)<0 的解集为x|x<-1或x>1,则 f(10x)>0 的解集2为 ()A . { x|x<- 1 或 x>- lg 2}B . { x|- 1<x<- lg 2}C. { x|x>- lg 2}D . { x|x<- lg 2}(2) 已知函数f(x)= (x- 2)(ax+ b)为偶函数,且在 (0,+∞)单一递加,则 f(2- x)>0 的解集为 ()A . { x|x>2 或 x<- 2}B . { x|- 2< x<2}C. { x|x<0 或 x>4} D . { x|0<x<4}思想启示答案(1)D (1) 利用换元思想,设(2)C10x= t,先解f(t)>0.(2) 利用f(x)是偶函数求b,再解f(2 -x)>0.分析(1) 由已知条件0<10x<12,解得x<lg 12=- lg 2.(2)由题意可知 f(- x)= f(x).即 (- x- 2)(- ax+ b) = (x-2)(ax+b) ,(2a- b)x= 0 恒建立,故 2a-b= 0,即 b= 2a,则 f(x)= a(x- 2)(x+ 2).又函数在 (0,+∞)单一递加,所以 a>0.f(2 -x)>0 即 ax(x- 4)>0 ,解得 x<0 或 x>4.应选 C.思想升华二次函数、二次不等式是高中数学的基础知识,也是高考的热门,“三个二次”的相互转变表现了转变与化归的数学思想方法.(1)不等式x-1≤0的解集为 ()2x+ 1A . (-12, 1]1B .[-2,1]1C . (-∞,- 2)∪ [1,+ ∞)1D . (-∞,- 2]∪ [1,+ ∞)(2) 已知 p :? x 0∈ R , mx 02+1≤0,q :? x ∈ R , x 2+ mx + 1>0.若 p ∧ q 为真命题,则实数 m 的取 值范围是 ()A . (-∞,- 2)B . [- 2,0)C . (-2,0)D . [0,2]答案 (1)A (2)C分析(1) 原不等式等价于 (x - 1)(2x + 1)<0 或 x -1= 0,即- 1<x<1 或 x = 1,2 所以不等式的解集为 (- 1, 1],选 A.2(2) p ∧ q 为真命题,等价于 p ,q 均为真命题.命题 p 为真时, m<0;命题 q 为真时, 2= m -4<0 ,解得- 2<m<2. 故 p ∧ q 为真时,- 2<m<0. 热门二 基本不等式的应用例 2(1)(2014 ·湖北 )某项研究表示:在考虑行车安全的状况下,某路段车流量 F( 单位时间内经过丈量点的车辆数,单位:辆 /时) 与车流速度 v(假定车辆以同样速度 v 行驶,单位:米 /秒 )、均匀车长 l(单位:米 )的值相关,其公式为 F = 276 000v.v + 18v + 20l①假如不限制车型, l = 6.05,则最大车流量为 ________辆 /时;②假如限制车型, l =5,则最大车流量比①中的最大车流量增添 ________辆 /时.(2)(2013 山·东 )设正实数 x ,y ,z 知足 x 2- 3xy + 4y 2-z =0,则当xy获得最大值时,2+ 1-2的最zx yz大值为 ( )9A .0B .1C.4 D .3思想启示(1) 把所给 l 值代入,分子分母同除以 v ,结构基本不等式的形式求最值; (2) 重点是找寻xyz 获得最大值时的条件.答案(1) ① 1 900 ② 100 (2)B76 000v分析 (1) ① 当 l = 6.05 时, F = v 2+ 18v + 121=76 000≤76 000=76 000= 1 900.v +121+ 182121+ 1822+ 18v v ·v当且仅当 v = 11 米 /秒时等号建立,此时车流量最大为1 900 辆 /时.② 当 l = 5 时, F = 2 76 000v=76 000 ≤ 76 000=76 000= 2 000.v + 18v + 10010010020+ 18v + v + 18 2 v ·v + 18当且仅当 v = 10 米/ 秒时等号建立, 此时车流量最大为 2 000 辆 /时.比 ①中的最大车流量增添100 辆 /时.(2) 由已知得 z = x 2- 3xy + 4y 2, (*)则xy= 2 xy2=1≤1,当且仅当 x = 2y 时取等号,把 x = 2y 代入 (*) 式,得 z = 2y 2,z x - 3xy + 4yx4yy + x - 3所以 2+1- 2= 1+1-12 =-1-1 2+ 1≤1,x y z y y yy所以当 y = 1 时, 2x + 1y - 2z 的最大值为 1.思想升华在利用基本不等式求最值时,要特别注意“拆、拼、凑 ”等技巧,使其知足基本不等式中 “正 ”(即条件要求中字母为正数 )、 “定 ”(不等式的另一边一定为定值 )、 “等 ”(等号获得的条件 )的条件才能应用,不然会出现错误.(1) 若点 A(m , n)在第一象限,且在直线x+ y = 1 上,则 mn 的最大值为 ________.3 42(2) 已知对于 x 的不等式 2x + x - a ≥7在 x ∈ (a ,+ ∞)上恒建立,则实数 a 的最小值为 ()35A .1 B.2 C .2 D.2答案 (1)3 (2)B分析(1) 由于点 A(m , n)在第一象限,且在直线x + y= 1 上,所以 m , n>0 ,且 m +n= 1.3434m n m + nm n13m n 1所以3 4 2, n =2 时,取等号 ).所以·≤( 2 ) ( 当且仅当3== ,即 m = ·≤ ,即 mn ≤3,3 442 23 4 4 所以 mn 的最大值为 3.2= 2(x - a)+ 2 + 2a(2)2x + x - ax - a≥2·x - a2+ 2a = 4+ 2a ,x - a3由题意可知4+ 2a ≥7,得 a ≥ ,2即实数 a 的最小值为 3,应选 B.2热门三简单的线性规划问题例 3(2013 ·湖北 )某旅游社租用A、B 两种型号的客车安排900 名客人旅游, A、B 两种车辆的载客量分别为36 人和 60 人,租金分别为 1600 元 /辆和 2400 元 /辆,旅游社要求租车总数不超出 21 辆,且 B 型车不多于 A 型车 7 辆.则租金最少为 ()A .31 200 元B.36 000 元C. 36 800 元D.38 400 元思想启示经过设变量将实质问题转变为线性规划问题.答案C分析设租 A 型车 x 辆, B 型车 y 辆时租金为 z 元,x+ y≤21y-x≤7则 z= 1 600x+ 2 400y, x、 y 知足36x+ 60y≥900,x,y≥0, x、 y∈N画出可行域如图直线 y=-2x+z过点 A(5,12) 时纵截距最小,3 2 400所以 z min= 5×1 600+ 2 400 ×12= 36 800,故租金最少为36 800 元.思想升华(1)线性规划问题一般有三种题型:一是求最值;二是求地区面积;三是确立目标函数中的字母系数的取值范围.(2)解决线性规划问题第一要找到可行域,再注意目标函数所表示的几何意义,利用数形联合找到目标函数的最优解.(3)对于应用问题,要正确地设出变量,确立可行域和目标函数.x>0(1) 已知实数 x, y 知足拘束条件4x+3y≤4,则 w=y+1的最小值是 ()y≥0xA.-2 B.2 C.-1 D.12x-y+ 1>0 ,(2)(2013北·京 )设对于 x、 y 的不等式组 x+m<0,表示的平面地区内存在点P(x0, y0),y-m>0知足 x0- 2y0= 2,求得 m 的取值范围是 ()A.-∞,4 B. -∞,133C. -∞,-2D. -∞,-533答案 (1)D (2)C分析(1) 画出可行域,如下图.y + 1表示可行域内的点(x , y)与定点 P(0,- 1)连线的斜率,察看图形可知PA 的斜率最小w = x为 -1-0= 1,应选 D.0-1(2) 当 m ≥0 时,若平面地区存在, 则平面地区内的点在第二象限, 平面地区内不行能存在点 P(x 0,y 0)知足 x 0- 2y 0= 2,所以 m<0.如下图的暗影部分为不等式组表示的平面地区.1要使可行域内包括y = 2x - 1 上的点,只要可行域界限点11 2(- m ,m)在直线 y = 2x - 1 的下方即可,即 m<-2m - 1,解得 m<- 3.1.几类不等式的解法一元二次不等式解集的端点值是相应一元二次方程的根,也是相应的二次函数图象与x 轴交点的横坐标,即二次函数的零点;分式不等式可转变为整式不等式 (组 )来解;以函数为背景的不等式可利用函数的单一性进行转变.2.基本不等式的作用二元基本不等式拥有将“积式 ”转变为 “和式 ”或将 “和式 ”转变为 “积式 ”的放缩功能,经常用于比较数 (式 )的大小或证明不等式或求函数的最值或解决不等式恒建立问题.解决问题的重点是弄清分式代数式、函数分析式、不等式的结构特色,选择好利用基本不等式的切入点,并创建基本不等式的应用背景,如经过“代换 ”、“拆项 ”、 “凑项 ”等技巧,改变原式的结构使其具备基本不等式的应用条件.利用基本不等式求最值时要注意 “一正、二定、三相等 ”的条件,三个条件缺一不行.3.线性规划问题的基本步骤(1) 定域 —— 画出不等式 (组)所表示的平面地区, 注意平面地区的界限与不等式中的不等号的对应;(2) 平移 —— 画出目标函数等于 0 时所表示的直线 l ,平行挪动直线, 让其与平面地区有公共点,依据目标函数的几何意义确立最优解,注意要娴熟掌握最常有的几类目标函数的几何意义;(3) 求值 —— 利用直线方程组成的方程组求解最优解的坐标,代入目标函数,求出最值 .真题感悟1. (2014·山东 )已知实数x y) x, y 知足 a <a (0<a<1) ,则以下关系式恒建立的是 (A. 21 >21 B . ln(x2+1)>ln( y2+ 1) x+ 1y+1C. sin x>sin y33 D . x >y答案D分析由于 0<a<1,a x<a y,所以 x>y.采纳赋值法判断, A 中,当 x= 1,y= 0 时,1<1,A 不行2立. B 中,当 x= 0,y=- 1 时, ln 1<ln 2 ,B 不建立. C 中,当 x= 0,y=-π时, sin x= sin y = 0, C 不建立. D 中,由于函数y= x3在R上是增函数,应选 D.x+ 2y- 4≤0,2. (2014 ·浙江 )当实数 x,y 知足 x- y- 1≤0,时, 1≤ax+ y≤4恒建立,则实数 a 的取值范x≥1围是 ________.答案[1,3 ] 2分析画可行域如下图,设目标函数 z= ax+ y,即 y=- ax+z,要使 1≤z≤4 恒建立,则 a>0,1≤2a+ 1≤4,即可,解得33数形联合知,知足1≤a≤ .所以 a 的取值范围是1≤a≤ .1≤a≤422押题精练1.为了迎接2014年3 月8 日的到来,某商场举行了促销活动,经测算某产品的销售量P 万件 (生产量与销售量相等 )与促销花费 x 万元知足 P= 3-2,已知生产该产品还需投入成本 (10 x+ 1+ 2P)万元 (不含促销花费 ),产品的销售价钱定为(4+20P )万元 /万件.则促销花费投入万元时,厂家的收益最大?()A .1B.1.5C. 2 D . 3答案A分析设该产品的收益为y 万元,由题意知,该产品售价为2×(10+ 2P) 万元,所以y=P10+ 2P)×P- 10-2P- x =4- x(x>0) ,所以 y = 17 - (4+ x + 1)≤17 -2×(P16 -x+1x+1244= x+ 1,即 x= 1 时取等号 ),所以促销花费投入 1 万元x+ 1×x+= 13(当且仅当x+1时,厂家的收益最大,应选 A.3x- y≤0,2.若点 P(x,y)知足线性拘束条件x- 3y+ 2≥0,点 A(3, 3),O 为坐标原点,则→ →OA·OPy≥0,的最大值为 ________.答案6分析→→→ →由题意,知 OA= (3, 3),设 OP= (x, y),则 OA·OP= 3x+ 3y.令 z= 3x+ 3y,如图画出不等式组所表示的可行域,可知当直线 y=-3x+33z 经过点 B 时, z 获得最大值.3x- y= 0,解得x= 1,3),故 z 的最大值为3×1+3× 3= 6.由即 B(1,x- 3y+ 2=0,y= 3,→→即 OA·OP的最大值为 6.(介绍时间: 50 分钟 )一、选择题1. (2014 ·四川 )若 a>b>0 ,c<d<0,则必定有 ()a b a bA. c>dB. c<da b a bC.d> cD. d<c答案D分析令 a= 3,b= 2, c=- 3, d=- 2,则ac=- 1,bd=- 1,所以 A ,B 错误;a=- 3,b=-2,d 2 c 3a b所以 d <c ,所以 C 错误.应选 D.2.以下不等式必定建立的是()21 A . lg x+4 >lg x(x>0)1B . sin x +sin x ≥ 2(x ≠k π, k ∈ Z )C . x 2+ 1≥2|x|(x ∈ R )1D.x 2 + 1>1( x ∈ R ) 答案 C分析应用基本不等式: x , y>0,x +y2 ≥ xy(当且仅当 x = y 时取等号 ) 逐一剖析,注意基本不等式的应用条件及取等号的条件.当 x>0 时, x 2+11= x ,≥··42所以 lg2+ 1,应选项 A 不正确;x 4 ≥lg x( x>0) 运用基本不等式时需保证一正二定三相等,而当 x ≠k π, k ∈ Z 时, sin x 的正负不定,应选项 B 不正确;由基本不等式可知,选项C 正确;1当 x = 0 时,有 x 2+ 1= 1,应选项 D 不正确.3. (2013 ·重庆 )对于 x 的不等式 x 2- 2ax - 8a 2<0(a>0) 的解集为 (x 1, x 2) ,且 x 2- x 1= 15,则 a 等于 ()5 7 A. 2B. 215 15 C. 4D. 2答案 A分析由 x 2 - 2ax - 8a 2<0 ,得 (x + 2a)( x - 4a)<0,因 a>0,所以不等式的解集为 (- 2a,4a) ,即x 2= 4a , x 1=- 2a ,由 x 2- x 1= 15,得 4a -( -2a)= 15,解得 a = 52.4. (2014 ·重庆 )若 log 4(3a +4b)= log 2 ab ,则 a + b 的最小值是 ( )A .6+2 3B .7+2 3C.6+4 3D.7+43答案Dab>0 ,a>0,分析由题意得ab≥0,所以b>0.3a+4b>0,又 log 4(3a+ 4b)= log 2 ab,所以 log 4(3a+ 4b)= log4ab,43所以 3a+ 4b= ab,故+=1.所以 a+b= (a+ b)(4+3)= 7+3a+4ba b b a3a 4b≥7+2· =7+43,b a当且仅当3ab=4ba时取等号.应选D.x+ y-5≤05.已知变量 x, y 知足拘束条件x- 2y+ 1≤0,则 z=x+ 2y- 1 的最大值为 ()x- 1≥0A .9B . 8C. 7 D . 6答案Bx+ y- 5≤0分析拘束条件x-2y+ 1≤0所表示的地区如图,x- 1≥0由图可知,当目标函数过A(1,4) 时获得最大值,故z= x+ 2y- 1 的最大值为1+ 2×4- 1= 8.二、填空题6.已知f(x)是R 上的减函数,A(3,- 1),B(0,1)是其图象上两点,则不等式|f(1 +ln x)|<1 的解集是 ________.答案(1,e2) e分析∵ |f(1+ ln x)|<1,∴ - 1<f(1+ ln x)<1 ,∴ f(3)< f(1+ ln x)<f(0), 又 ∵ f(x) 在 R 上为减函数,∴ 0<1 +ln x<3, ∴ - 1<ln x<2,12∴ e <x<e .x - y ≤0,7.若x , y 知足条件x + y ≥0,且 z = 2x + 3y 的最大值是5,则实数a 的值为 ________.y ≤a ,答案1分析 画出知足条件的可行域如图暗影部分所示,则当直线z = 2x + 3y 过点 A( a , a)时, z =2x+ 3y 获得最大值 5,所以 5= 2a + 3a ,解得 a =1.8. 若点 A(1,1)在直线 2mx + ny - 2=0 上,此中 mn>0,则 1+ 1的最小值为 ________.m n答案32+ 2分析∵ 点 A(1,1)在直线 2mx + ny - 2=0 上,∴ 2m + n = 2,∵ 1 + 1= ( 1 + 1)2m + n = 1(2+2m + n+ 1)m n m n 22n m1 2m n 3+ 2,≥ (3+2n· )=2m 2当且仅当2m = n,即 n = 2m 时取等号,n m∴ 1+ 1的最小值为3+ 2.m n2三、解答题9.设会合 A 为函数 y =ln( - x 2- 2x +8) 的定义域,会合B 为函数 y = x +1的值域,会合 Cx + 11为不等式 ( ax - a )(x + 4) ≤0的解集.(1) 求 A ∩B ;(2) 若 C? ?R A ,求 a 的取值范围.解 (1)由- x 2- 2x +8>0 得- 4< x<2,即 A = (- 4,2).y= x+1=(x+1)+1-1,x+ 1x+ 1当 x+ 1>0,即 x>- 1 时 y≥2- 1= 1,此时 x=0,切合要求;当 x+ 1<0,即 x<- 1 时, y≤- 2- 1=- 3,此时 x=- 2,切合要求.所以 B= (-∞,- 3]∪ [1,+∞),所以 A∩B= (- 4,- 3]∪ [1,2) .1(2)(ax-a)( x+ 4)= 0 有两根1 x=- 4 或 x= a2.1当 a>0 时, C={ x|- 4≤x≤a2} ,不行能C? ?R A;当 a<0 时, C={ x|x≤- 4 或 x≥a 12} ,若 C? ?R A,则121,a2≥2,∴a≤2∴ -22, 0).2≤a<0.故 a 的取值范围为 [ -2132处获得极大值,在x= x2处获得极小值,且10.已知函数 f( x)= ax-bx+ (2- b)x+ 1 在 x=x130<x1<1< x2<2.(1)证明: a>0;(2)若 z= a+ 2b,求 z 的取值范围.(1)证明求函数 f(x)的导数f′(x)= ax2- 2bx+ 2- b.由函数 f(x)在 x= x1处获得极大值,在 x= x2处获得极小值,知 x1、 x2是 f′(x)=0 的两个根,所以 f′(x)= a(x- x1)(x- x2) .当 x<x1时, f(x)为增函数, f′(x)>0,由 x- x1<0,x- x2<0 得 a>0.f,(2) 解在题设下, 0<x1<1<x2<2 等价于 f,f,2- b>0,即a- 2b+ 2- b<0,4a- 4b+2- b>0 ,化简得2- b>0,a- 3b+ 2<0,4a- 5b+2>0.此不等式组表示的地区为平面aOb 上的三条直线:2- b =0, a - 3b + 2= 0,4a - 5b + 2=0 所围成的 △ ABC 的内部,其三个极点分别为4 6 A 7,7 , B(2,2), C(4,2).16z 在这三点的值挨次为, 6,8.所以 z 的取值范围为 (16, 8).711.某工厂生产某种产品,每天的成本C(单位:万元 )与日产量 x(单位:吨 )知足函数关系式C= 3+ x ,每天的销售额 S(单位:万元 )与日产量 x 的函数关系式S = k+ 5, 0<x<6,3x + x - 814, x ≥ 6. 已知每天的收益 L = S - C ,且当 x = 2 时, L = 3.(1) 求 k 的值;(2) 当天产量为多少吨时,每天的收益能够达到最大,并求出最大值.(1)由题意可得 L = k+2, 0<x<6,解2x + x - 811-x , x ≥6.k由于当 x = 2 时, L = 3,所以 3= 2×2++ 2,解得 k =18.(2) 当 0<x<6 时, L = 2x + 18+ 2,所以x - 818+ 18=- [2(8 - x)+18- x18+ 18=6,L = 2(x - 8)+x - 88- x ] + 18≤- 28- x当且仅当 2(8- x)= 18,即 x = 5 时获得等号.8-x 当 x ≥6 时, L =11- x ≤5.所以当 x = 5 时 L 获得最大值 6.所以当天产量为 5 吨时,每天的收益能够达到最大,最大值为 6 万元.。
2019-2020年高考数学二轮复习专题1 高考客观题常考知识第3讲不等式与线性规划理不等式的解法1.设f(x)=则不等式f(x)<2的解集为( B )(A)(,+∞) (B)(-∞,1)∪[2,)(C)(1,2]∪(,+∞) (D)(1,)解析:原不等式等价于或即或解得2≤x<或x<1.故选B.2.(xx山东卷)若函数f(x)=是奇函数,则使f(x)>3成立的x的取值范围为( C )(A)(-∞,-1) (B)(-1,0)(C)(0,1) (D)(1,+∞)解析:f(-x)==,由f(-x)=-f(x)得=-,即1-a·2x=-2x+a,化简得a·(1+2x)=1+2x,所以a=1.f(x)=.由f(x)>3,得0<x<1,故选C.3.(xx陕西西安市模拟)关于x的不等式x2-2ax-3a2<0(a<0)的解集为(x1,x2),且x2-x1=12,则实数a的值等于.解析:因为关于x的不等式x2-2ax-3a2<0(a<0)的解集为(x1,x2),所以x1+x2=2a,x1·x2=-3a2,又x2-x1=12,(x2-x1)2=(x2+x1)2-4x1·x2,所以144=4a2+12a2=16a2,解得a=±3,因为a<0,所以a=-3.答案:-3简单的线性规划问题4.(xx北京卷)若x,y满足,则z=x+2y的最大值为( D )(A)0 (B)1 (C) (D)2解析:由x,y的约束条件可画出可行域(如图所示),其中A(,),B(0,1),易知直线x+2y-z=0经过点B(0,1)时,z取最大值2,故选D.5.(xx浙江温州市第二次适应测试)若实数x,y满足不等式组且z=y-2x的最小值等于-2,则实数m的值等于( A )(A)-1 (B)1 (C)-2 (D)2解析:由z=y-2x,得y=2x+z,作出不等式对应的可行域,平移直线y=2x+z,由平移可知当直线y=2x+z经过点A时,直线y=2x+z的截距最小,此时z取得最小值为-2, 即y-2x=-2,由解得即A(1,0),点A也在直线x+y+m=0上,则m=-1.故选A.6.(xx贵州遵义市第二次联考)若则目标函数z=的取值范围是( A )(A)[2,5] (B)[1,5] (C)[,2] (D)[2,6]解析:z==1+2,可理解为求斜率的最值问题,画出可行域如图阴影部分,可知k=在(1,2)点处最大,最大为2;在(2,1)点处最小,最小为,所以z的取值范围为[2,5].故选A.7.(xx河南开封市模拟)设不等式组表示的平面区域为D,若指数函数y=a x的图象上存在区域D上的点,则a的取值范围是.解析:作出区域D的图象,联系指数函数y=a x的图象,能够看出,当图象经过区域的边界点C(2,9)时,a可以取到最大值3,而显然只要a大于1,图象必然经过区域内的点.则a的取值范围是1<a≤3.答案:(1,3]基本不等式的应用8.(xx甘肃省河西五地市高三第一次联考)函数y=a1-x(a>0,a≠1)的图象恒过定点A,若点A 在直线mx+ny-1=0(mn>0)上,则+的最小值为( B )(A)3 (B)4 (C)5 (D)6解析:函数y=a1-x(a>0,a≠1)的图象恒过定点A(1,1),又点A在直线mx+ny-1=0(mn>0)上,所以m+n=1,所以+=(m+n)(+)=2++≥2+2=4,当且仅当m=n=时取等号.故选B.9.(xx河南郑州市第一次质量预测)某三棱锥的三视图如图所示,且三个三角形均为直角三角形,则xy的最大值为( C )(A)32 (B)32 (C)64 (D)64解析:设该三棱锥的高为h,由三视图知,两式相减并整理得x2+y2=128.又因为xy≤==64(仅当x=y时取等号).10.(xx广东深圳市第一次调研考试)已知向量a=(-1,1),b=(1,)(x>0,y>0),若a⊥b,则x+4y的最小值为.解析:由a⊥b得-1+=0,+=1,(x+4y)·(+)=5++≥2+5=9.(当且仅当=时取等号)答案:9一、选择题1.(xx四川资阳市三模)已知loa<lob,则下列不等式一定成立的是( A )(A)()a<()b (B)>(C)ln(a-b)>0 (D)3a-b<1解析:因为y=lox是定义域上的减函数,且loa<lob,所以a>b>0.又因为y=()x是定义域R上的减函数,所以()a<()b;又因为y=x b在(0,+∞)上是增函数,所以()b<()b;所以()a<()b,选项A正确.2.(xx湖南卷)若变量x,y满足约束条件则z=3x-y的最小值为( A )(A)-7 (B)-1 (C)1 (D)2解析:画出可行域如图所示.当直线y=3x-z过点C(-2,1)时,z取最小值,故z min=3×(-2)-1=-7.故选A.3.(xx广西柳州市、北海市、钦州市1月份模拟)设变量x,y满足约束条件则z=2x×的最小值为( B )(A) (B) (C) (D)解析:可得z=2x-2y,设m=x-2y,不等式组表示的平面区域如图阴影部分,平移直线l:y=x,由图象可知直线l经过点A时,其截距最大,m最小,z最小,解方程组得A(2,2),则z最小=.4.(xx江西南昌市第一次模拟)已知实数x,y满足若目标函数z=2x+y的最大值与最小值的差为2,则实数m的值为( C )(A)4 (B)3 (C)2 (D)-解析:作出可行域如图,根据目标函数的几何意义可转化为直线y=-2x+z的截距,可知在N点z取最小值,在M点z取最大值.因为N(m-1,m),M(4-m,m),所以z M-z N=2(4-m)+m-2(m-1)-m=10-4m=2,所以m=2.5.(xx甘肃省河西五地市高三第一次联考)已知集合{(x,y)|}表示的平面区域为Ω,若在区域Ω内任取一点P(x,y),则点P的坐标满足不等式x2+y2≤2的概率为( D )(A) (B) (C) (D)解析:作出不等式组对应的平面区域如图,则对应的区域为△AOB.由解得即B(4,-4).由解得即A(,).直线2x+y-4=0与x轴的交点坐标为(2,0),则△OAB的面积S=×2×+×2×4=.点P的坐标满足不等式x2+y2≤2区域面积S=×π×()2=,由几何概型的概率公式得点P的坐标满足不等式x2+y2≤2的概率为=.故选D.6.(xx陕西卷)某企业生产甲、乙两种产品均需用A,B两种原料,已知生产1吨每种产品所需原料及每天原料的可用限额如表所示,如果生产1吨甲、乙产品可获利润分别为3万元、4万元,则该企业每天可获得最大利润为( D )甲乙原料限额A(吨) 3 2 12B(吨) 1 2 8解析:设该企业每天生产甲产品x吨,乙产品y吨,每天获得的利润为z万元,则有z=3x+4y,由题意得x,y满足不等式组表示的可行域是以O(0,0),A(4,0),B(2,3),C(0,4)为顶点的四边形及其内部.根据线性规划的有关知识,知当直线3x+4y-z=0过点B(2,3)时,z取最大值18,故该企业每天可获得最大利润为18万元.故选D.7.设f(x)=ln x,0<a<b,若p=f(),q=f(),r=[f(a)+f(b)],则下列关系式中正确的是( C )(A)q=r<p (B)q=r>p(C)p=r<q (D)p=r>q解析:由题意得p=ln ,q=ln ,r=(ln a+ln b)=ln =p,因为0<a<b,所以>,所以ln >ln ,所以p=r<q.故选C.8.(xx四川南充市第一次高考适应性考试)若目标函数z=ax+by(a>0,b>0)满足约束条件且最大值为40,则+的最小值为( B )(A) (B) (C)1 (D)4解析:不等式表示的平面区域为如图阴影部分,当直线z=ax+by(a>0,b>0)过直线x-y+2=0与直线2x-y-6=0的交点(8,10)时,目标函数z=ax+by(a>0,b>0)取得最大值40,即8a+10b=40,即4a+5b=20,而+=(+)=+(+)≥+1=.故选B.9.(xx山东卷)已知x,y满足约束条件当目标函数z=ax+by(a>0,b>0)在该约束条件下取到最小值2时, a2+b2的最小值为( B )(A)5 (B)4 (C) (D)2解析:不等式组表示的平面区域如图中阴影部分所示,根据目标函数的几何意义可知,目标函数在点A(2,1)处取得最小值,故2a+b=2.法一将2a+b=2两边分别平方得4a2+b2+4ab=20,而4ab=2×a×2b≤a2+4b2,当且仅当a=2b, 即a=,b=时取等号.所以20≤4a2+b2+a2+4b2=5(a2+b2),所以a2+b2≥4,即a2+b2的最小值为4.故选B.法二将2a+b=2看作平面直角坐标系aOb中的直线,则a2+b2的几何意义是直线上的点与坐标原点距离的平方,故其最小值为坐标原点到直线2a+b=2距离的平方,即()2=4.故选B.10.(xx重庆卷)若不等式组表示的平面区域为三角形,且其面积等于,则m的值为( B )(A)-3 (B)1 (C) (D)3解析:作出不等式组表示的平面区域如图中阴影部分所示,由图可知,要使不等式组表示的平面区域为三角形,则m>-1.由解得即A(1-m,1+m).由解得即B(-m,+m).因为S△ABC=S△ADC-S△BDC=(2+2m)[(1+m)-(+m)]=(m+1)2=,所以m=1或m=-3(舍去),故选B.11.(xx四川宜宾市二诊)已知集合A={x∈R|x4+mx-2=0},满足a∈A的所有点M(a,)均在直线y=x的同侧,则实数m的取值范围是( A )(A)(-∞,-)∪(,+∞)(B)(-,-1)∪(1,)(C)(-5,-)∪(,6)(D)(-∞,-6)∪(6,+∞)解析:因为集合A={x∈R|x4+mx-2=0},所以方程的根显然x≠0,原方程等价于x3+m=,原方程的实根是曲线y=x3+m与曲线y=的交点的横坐标,而曲线y=x3+m是由曲线y=x3向上或向下平移|m|个单位而得到的,若交点(x i,)(i=1,2)均在直线y=x的同侧,因直线y=x与y=交点为(-,-),(,);所以结合图象可得或解得m>或m<-.故选A.12.已知函数f(x)=x+sin x(x∈R),且f(y2-2y+3)+f(x2-4x+1)≤0,则当y≥1时,的取值范围是( A )(A)[,] (B)[0,] (C)[,] (D)[0,]解析:因为f(-x)=-x+sin(-x)=-f(x),且f′(x)=1+cos x≥0,所以函数f(x)为奇函数,且在R上是增函数.所以由f(y2-2y+3)+f(x2-4x+1)≤0,得f(y2-2y+3)≤f(-x2+4x-1),所以y2-2y+3≤-x2+4x-1,即(x-2)2+(y-1)2≤1,其表示圆(x-2)2+(y-1)2=1及其内部.表示满足的点P与定点A(-1,0)连线的斜率.结合图形分析可知,直线AC的斜率=最小,切线AB的斜率tan∠BAX=tan 2∠PAX===最大.故选A.二、填空题13.(xx江苏卷)不等式<4的解集为.解析:不等式<4可转化为<22,由指数函数y=2x为增函数知x2-x<2,解得-1<x<2,故所求解集为(-1,2).答案:(-1,2)14.(xx新课标全国卷Ⅱ)已知偶函数f(x)在[0,+∞)单调递减,f(2)=0.若f(x-1)>0,则x的取值范围是.解析:由题意,得函数f(x)的草图如图所示.因为f(x-1)>0,所以|x-1|<2,所以-2<x-1<2,所以-1<x<3.答案:(-1,3)15.(xx合肥八中段考)若正数a,b满足a+2b=3,且使不等式+-m>0恒成立,则实数m的取值范围是.解析:不等式+-m>0恒成立,即3(+)>3m恒成立.又正数a,b满足a+2b=3,(a+2b)(+)=+++2≥,当且仅当a=b=1时取“=”,所以实数m的取值范围是(-∞,).答案:(-∞,)16.(xx浙江卷)已知函数f(x)=则f(f(-3))= ,f(x)的最小值是.解析:因为-3<1,所以f(-3)=lg[(-3)2+1]=lg 10=1,所以f(f(-3))=f(1)=1+-3=0.当x≥1时,f(x)=x+-3≥2-3(当且仅当x=时,取“=”),当x<1时,x2+1≥1,所以f(x)=lg(x2+1)≥0,又因为2-3<0,所以f(x)min=2-3.答案:0 2-3。
基本不等式1. 若x >0,y >0,且x +y =18,则xy 的最大值是________. 2. 已知t >0,则函数y =t 2-4t +1t的最小值为________.3. 已知x >0,y >0,且2x +y =1,则1x +2y 的最小值是_____________.4. (2012·浙江)若正数x ,y 满足x +3y =5xy ,则3x +4y 的最小值是( )A.245B.285C .5D .65. 圆x 2+y 2+2x -4y +1=0关于直线2ax -by +2=0 (a ,b ∈R )对称,则ab 的取值范围是( )A.⎝⎛⎦⎤-∞,14B.⎝⎛⎦⎤0,14C.⎝⎛⎭⎫-14,0D.⎝⎛⎭⎫-∞,14题型一 利用基本不等式证明简单不等式例1已知x >0,y >0,z >0.求证:⎝⎛⎭⎫y x +z x ⎝⎛⎭⎫x y +z y ⎝⎛⎭⎫x z +y z ≥8.已知a >0,b >0,c >0,且a +b +c =1.求证:1a +1b +1c ≥9.题型二 利用基本不等式求最值例2(1)已知x >0,y >0,且2x +y =1,则1x +1y的最小值为________;(2)当x >0时,则f (x )=2xx 2+1的最大值为________. (1)已知x >0,y >0,x +2y +2xy =8,则x +2y 的最小值是( )A .3B .4C.92D.112题型三 基本不等式的实际应用1.(2010·惠州模拟)某商场中秋前30天月饼销售总量f (t )与时间t (0<t ≤30)的关系大致满足f (t )=t 2+10t +16,则该商场前t 天平均售出(如前10天的平均售出为f (10)10)的月饼最少为( )A.18 B.27 C.20 D.162.某公司租地建仓库,每月土地占用费y1与仓库到车站的距离成反比,而每月库存货物的运费y2与到车站的距离成正比,如果在距离车站10千米处建仓库,这两项费用y1和y2分别为2万元和8万元,那么,要使这两项费用之和最小,仓库应建在离车站________千米处.(2011·北京)某车间分批生产某种产品,每批的生产准备费用为800元.若每批生产x件,则平均仓储时间为x8天,且每件产品每天的仓储费用为1元.为使平均到每件产品的生产准备费用与仓储费用之和最小,每批应生产产品()A.60件B.80件C.100件D.120件A组专项基础训练(时间:35分钟,满分:57分)一、选择题(每小题5分,共20分)1. (2011·陕西)设0<a <b ,则下列不等式中正确的是( )A .a <b <ab <a +b 2B .a <ab <a +b 2<bC .a <ab <b <a +b2D.ab <a <a +b2<b2. (2012·福建)下列不等式一定成立的是( )A .lg ⎝⎛⎭⎫x 2+14>lg x (x >0)B .sin x +1sin x ≥2(x ≠k π,k ∈Z )C .x 2+1≥2|x |(x ∈R ) D.1x 2+1>1(x ∈R )3. 设x ,y ∈R ,a >1,b >1,若a x =b y =3,a +b =23,则1x +1y 的最大值为( ) 4. 已知0<x <1,则x (3-3x )取得最大值时x 的值为( )A.13B.12C.34D.23二、填空题(每小题5分,共15分)5. 已知x ,y ∈R +,且满足x 3+y 4=1,则xy 的最大值为________.6. (2011·湖南)设x ,y ∈R ,且xy ≠0,则⎝⎛⎭⎫x 2+1y 2·⎝⎛⎭⎫1x 2+4y 2的最小值为________. .7. 某公司一年需购买某种货物200吨,平均分成若干次进行购买,每次购买的运费为2万元,一年的总存储费用数值(单位:万元)恰好为每次的购买吨数数值,要使一年的总运费与总存储费用之和最小,则每次购买该种货物的吨数是_______. .三、解答题(共22分)8. (10分)已知a >0,b >0,a +b =1,求证:(1)1a +1b +1ab≥8;(2)⎝⎛⎭⎫1+1a ⎝⎛⎭⎫1+1b ≥9.B 组 专项能力提升 (时间:25分钟,满分:43分)一、选择题(每小题5分,共15分)1. 不等式a 2+b 2≥2|ab |成立时,实数a ,b 一定是( )A .正数B .非负数C .实数D .不存在2. 如果0<a <b <1,P =log 12a +b 2,Q =12(log 12a +log 12b ),M =12log 12(a +b ),那么P ,Q ,M 的大小顺序是( )A .P >Q >MB .Q >P >MC .Q >M >PD .M >Q >P3. 函数y =log a (x +3)-1 (a >0,且a ≠1)的图象恒过定点A ,若点A 在直线mx +ny +1=0上,其中m ,n 均大于0,则1m +2n 的最小值为( )A .2B .4C .8D .16二、填空题(每小题5分,共15分)4. 若正实数x ,y 满足2x +y +6=xy ,则xy 的最小值是________.5. 已知m 、n 、s 、t ∈R +,m +n =2,m s +n t =9,其中m 、n 是常数,且s +t 的最小值是49,满足条件的点(m ,n )是圆(x -2)2+(y -2)2=4中一弦的中点,则此弦所在的直线方程为__________.6.已知关于x 的不等式2x +2x -a≥7在x ∈(a ,+∞)上恒成立,则实数a 的最小值为________.线性规划【母题一】已知变量x ,y 满足约束条件⎩⎪⎨⎪⎧x +y ≥3,x -y ≥-1,2x -y ≤3,则目标函数z =2x +3y 的取值范围为( )A .[7,23]B .[8,23]C .[7,8]D .[7,25]【母题二】变量x ,y 满足⎩⎪⎨⎪⎧x -4y +3≤0,3x +5y -25≤0,x ≥1,(1)设z =y2x -1,求z 的最小值;(2)设z =x 2+y 2,求z 的取值范围;(3)设z =x 2+y 2+6x -4y +13,求z 的取值范围. .1.求目标函数的最值的一般步骤为:一画二移三求.其关键是准确作出可行域,理解目标函数的意义.2.常见的目标函数有: (1)截距型:形如z =ax +by .求这类目标函数的最值常将函数z =ax +by 转化为直线的斜截式:y =-a b x +zb ,通过求直线的截距zb的最值,间接求出z 的最值.(2)距离型:形一:如z =(x -a )2+(y -b )2,z =x 2+y 2+Dx +Ey +F ,此类目标函数常转化为点(x ,y )与定点的距离;形二:z =(x -a )2+(y -b )2,z =x 2+y 2+Dx +Ey +F ,此类目标函数常转化为点(x ,y )与定点的距离的平方.(3)斜率型:形如z =y x ,z =ay -b cx -d ,z =ycx -d ,z =ay -b x ,此类目标函数常转化为点(x ,y )与定点所在直线的斜率.【提醒】 注意转化的等价性及几何意义. 角度一:求线性目标函数的最值1.(2014·新课标全国Ⅱ卷)设x ,y 满足约束条件⎩⎪⎨⎪⎧x +y -7≤0,x -3y +1≤0,3x -y -5≥0,则z =2x -y 的最大值为( )A .10B .8C .3D .23.(2013·高考陕西卷)若点(x ,y )位于曲线y =|x |与y =2所围成的封闭区域,则2x -y 的最小值为( )A .-6B .-2C .0D .2角度二:求非线性目标的最值4.(2013·高考山东卷)在平面直角坐标系xOy 中,M 为不等式组⎩⎪⎨⎪⎧2x -y -2≥0,x +2y -1≥0,3x +y -8≤0所表示的区域上一动点,则直线OM 斜率的最小值为( )A .2B .1C .-13D .-125.已知实数x ,y 满足⎩⎨⎧0≤x ≤2,y ≤2,x ≤2y ,则z =2x +y -1x -1的取值范围 . 6.(2015·郑州质检)设实数x ,y 满足不等式组⎩⎪⎨⎪⎧x +y ≤2y -x ≤2,y ≥1,则x 2+y 2的取值范围是( ) A .[1,2]B .[1,4]C .[2,2]D .[2,4]7.(2013·高考北京卷)设D 为不等式组⎩⎪⎨⎪⎧x ≥0,2x -y ≤0,x +y -3≤0所表示的平面区域,区域D 上的点与点(1,0)之间的距离的最小值为________.角度三:求线性规划中的参数 9.若不等式组⎩⎪⎨⎪⎧x ≥0,x +3y ≥4,3x +y ≤4所表示的平面区域被直线y =kx +43分为面积相等的两部分,则k 的值是( )A .73B .37C .43D .3410.(2014·高考北京卷)若x ,y 满足⎩⎪⎨⎪⎧x +y -2≥0,kx -y +2≥0,y ≥0,且z =y -x 的最小值为-4,则k的值为( )A .2B .-2C .12D .-1211.(2014·高考安徽卷)x ,y 满足约束条件⎩⎪⎨⎪⎧x +y -2≤0,x -2y -2≤0,2x -y +2≥0.若z =y -ax 取得最大值的最优解不唯一,则实数a 的值为( )A .12或-1B .2或12C .2或1D .2或-1。
第1课时一、选择题1.不在3x +2y <6表示的平面区域内的点是( ) A .(0,0) B .(1,1) C .(0,2) D .(2,0)[答案] D[解析] 将点的坐标代入不等式中检验可知,只有(2,0)点不满足3x +2y <6.2.不等式组⎩⎪⎨⎪⎧y <x x +y ≤1y ≥3,表示的区域为D ,点P 1(0,-2),点P 2(0,0),则( )A .P 1∉D ,P 2∉DB .P 1∉D ,P 2∈DC .P 1∈D ,P 2∉D D .P 1∈D ,P 2∈D[答案] A[解析] P 1点不满足y ≥3.P 2点不满足y <x .和y ≥3 ∴选A .3.已知点P (x 0,y 0)和点A (1,2)在直线l :3x +2y -8=0的异侧,则( ) A .3x 0+2y 0>0 B .3x 0+2y 0<0 C .3x 0+2y 0<8 D .3x 0+2y 0>8[答案] D[解析] ∵3×1+2×1-8=-3<0,P 与A 在直线l 异侧,∴3x 0+2y 0-8>0. 4.图中阴影部分表示的区域对应的二元一次不等式组为( )A .⎩⎪⎨⎪⎧x +y -1≥0x -2y +2≥0B .⎩⎪⎨⎪⎧x +y -1≤0x -2y +2≤0C .⎩⎪⎨⎪⎧x +y -1≥0x -2y +2≤0D .⎩⎪⎨⎪⎧x +y -1≤0x -2y +2≥0[答案] A[解析] 取原点O (0,0)检验满足x +y -1≤0,故异侧点应为x +y -1≥0,排除B 、D .O 点满足x -2y +2≥0,排除C .∴选A .5.不等式x 2-y 2≥0表示的平面区域是( )[答案] B[解析] 将(±1,0)代入均满足知选B .6.不等式组⎩⎪⎨⎪⎧x -y +5x +y ≥00≤x ≤3表示的平面区域是一个( ) A .三角形 B .直角梯形 C .梯形 D .矩形[答案] C[解析] 画出直线x -y +5=0及x +y =0,取点(0,1)代入(x -y +5)(x +y )=4>0,知点(0,1)在不等式(x -y +5)(x +y )≥0表示的对顶角形区域内,再画出直线x =0和x =3,则原不等式组表示的平面区域为图中阴影部分,它是一个梯形.二、填空题7.已知x ,y 为非负整数,则满足x +y ≤2的点(x ,y )共有________个. [答案] 6[解析] 符合条件的点有(0,0),(0,1),(0,2),(1,0),(1,1),(2,0)共6个. 8.用三条直线x +2y =2,2x +y =2,x -y =3围成一个三角形,则三角形内部区域(不包括边界)可用不等式表示为________.[答案] ⎩⎪⎨⎪⎧x +2y <22x +y >2x -y <3三、解答题9.画出不等式组⎩⎪⎨⎪⎧x +y -6≥0x -y ≥0y ≤3x <5表示的平面区域.[解析] 不等式x +y -6≥0表示在直线x +y -6=0上及右上方的点的集合,x -y ≥0表示在直线x -y =0上及右下方的点的集合,y ≤3表示在直线y =3上及其下方的点的集合,x<5表示直线x =5左方的点的集合,所以不等式组⎩⎪⎨⎪⎧x +y -6≥0x -y ≥0y ≤3x <5表示的平面区域为如图阴影部分.10.经过点P (0,-1)作直线l ,若直线l 与连结A (1,-2)、B (2,1)的线段总有公共点,求直线l 的斜率k 的取值范围.[解析]由题意知直线l 斜率存在,设为k . 则可设直线l 的方程为kx -y -1=0,由题知:A 、B 两点在直线l 上或在直线l 的两侧,所以有: (k +1)(2k -2)≤0 ∴-1≤k ≤1.一、选择题1.在平面直角坐标系中,若点A (-2,t )在直线x -2y +4=0的上方,则t 的取值范围是( )A .(-∞,1)B .(1,+∞)C .(-1,+∞)D .(0,1)[答案] B[解析] 在直线方程x -2y +4=0中,令x =-2,则y =1,则点P (-2,1)在直线x -2y +4=0上,又点(-2,t )在直线x -2y +4=0的上方,如图知,t 的取值范围是t >1,故选B .2.不等式组⎩⎪⎨⎪⎧x -y +1x +y +1≥0-1≤x ≤4表示的平面区域是( )A .两个三角形B .一个三角形C .梯形D .等腰梯形[答案] B [解析] 如图∵(x -y +1)(x +y +1)≥0表示如图(1)所示的对顶角形区域.且两直线交于点A (-1,0).故添加条件-1≤x ≤4后表示的区域如图(2).3.不等式组⎩⎪⎨⎪⎧x -y +6≥0x +y ≥0x ≤3表示的平面区域的面积是( )A .18B .36C .72D .144[解析] 作出平面区域如图.交点A (-3,3)、B (3、9)、C (3,-3), ∴S △ABC =12[9-(-3)]×[3-(-3)]=36.4.在平面直角坐标系中,若不等式组⎩⎪⎨⎪⎧x +y -1≥0x -1≤0ax -y +1≥0(a 为常数)所表示的平面区域的面积等于2,则a 的值为( )A .-5B .1C .2D .3[答案] D[解析] 画出⎩⎪⎨⎪⎧x +y -1≥0x -1≤0表示的平面区域如图,直线l :y =ax +1过定点(0,1),由于ax -y +1≥0与⎩⎪⎨⎪⎧x +y -1≥0x -1≤0围成平面区域的面积为2,∴a >0,令x =1得y =a +1,∴12×(a +1)×1=2,∴a =3.5.点P (1,a )到直线x -2y +2=0的距离为355,且P 在3x +y -3>0表示的区域内,则a =________.[答案] 3[解析] 由条件知,|1-2a +2|5=355,∴a =0或3,又点P 在3x +y -3>0表示的区域内,∴3+a -3>0,∴a >0,∴a =3.6.不等式⎩⎪⎨⎪⎧x ≤1x -y +1≥02x +y +2≥0表示的平面区域的面积是________.[答案] 6[解析] 作出平面区域如图△ABC ,A (-1,0)、B (1,2)、C (1,-4),S △ABC =12·|BC |·d=12×6×2=6. (d 表示A 到直线BC 的距离.)三、解答题7.求由约束条件⎩⎪⎨⎪⎧x +y ≤52x +y ≤6x ≥0y ≥0确定的平面区域的面积S 和周长C .[解析] 可行域如图所示,其四个顶点为O (0,0),B (3,0),A (0,5),P (1,4).过点P 作y 轴的垂线,垂足为C ,则AC =1,PC =1,OC =4,OB =3,AP =2,PB =4-02+1-32=25,得周长C =AO +BO +AP +PB =8+2+2 5.∵S △ACP =12AC ·PC =12,S 梯形COBP =12(CP +OB )·OC =8,∴面积S =S △ACP +S 梯形COBP =172.8.画出不等式(x +2y +1)(x -y +4)<0表示的平面区域.[解析] (x +2y +1)(x -y +4)<0表示x +2y +1与x -y +4的符号相反,因此原不等式等价于两个不等式组⎩⎪⎨⎪⎧x +2y +1>0,x -y +4<0,与⎩⎪⎨⎪⎧x +2y +1<0,x -y +4>0,在同一直角坐标内作出两个不等式组表示的平面区域,就是原不等式表示的平面区域.在直角坐标系中画出直线x +2y +1=0与x -y +4=0,(画成虚线)取原点(0,0)可以判断. 不等式x +2y +1>0表示直线x +2y +1=0的右上方区域,x +2y +1<0表示直线x +2y +1=0的左下方区域;x -y +4<0表示直线x -y +4=0的左上方区域,x -y +4>0表示直线x -y +4=0的右下方区域.所以不等式组表示的平面区域,即原不等式表示的平面区域如图所示.。
不等式与线性规划1.已知实数a ,b ,c ,( )A .若|a 2+b +c |+|a +b 2+c |≤1,则a 2+b 2+c 2<100B .若|a 2+b +c |+|a 2+b -c |≤1,则a 2+b 2+c 2<100C .若|a +b +c 2|+|a +b -c 2|≤1,则a 2+b 2+c 2<100D .若|a 2+b +c |+|a +b 2-c |≤1,则a 2+b 2+c 2<100 答案 D解析 由于此题为选择题,可用特值排除法找正确选项. 对选项A ,当a =b =10,c =-110时,可排除此选项; 对选项B ,当a =10,b =-100,c =0时,可排除此选项; 对选项C ,当a =10,b =-10,c =0时,可排除此选项. 故选D.2.若x ,y 满足约束条件⎩⎪⎨⎪⎧x -y +1≥0,x -2y ≤0,x +2y -2≤0, 则z =x +y 的最大值为________.答案 32解析 满足约束条件⎩⎪⎨⎪⎧x -y +1≥0,x -2y ≤0,x +2y -2≤0的可行域为以A (-2,-1),B (0,1),C ⎝⎛⎭⎫1,12为顶点的三角形内部及边界,如图,过C ⎝⎛⎭⎫1,12时取得最大值32.3.(2016·上海)设x ∈R ,则不等式|x -3|<1的解集为________. 答案 (2,4)解析 -1<x -3<1,即2<x <4,故解集为(2,4).4.(2016·上海)设a >0,b >0,若关于x ,y 的方程组⎩⎪⎨⎪⎧ax +y =1,x +by =1无解,则a +b 的取值范围是________. 答案 (2,+∞)解析 由已知得,ab =1,且a ≠b , ∴a +b >2ab =2.1.利用不等式性质比较大小,利用基本不等式求最值及线性规划问题是高考的热点;2.一元二次不等式常与函数、数列结合考查一元二次不等式的解法和参数取值范围;3.利用不等式解决实际问题.热点一 不等式的解法 1.一元二次不等式的解法先化为一般形式ax 2+bx +c >0(a ≠0),再求相应一元二次方程ax 2+bx +c =0(a ≠0)的根,最后根据相应二次函数图象与x 轴的位置关系,确定一元二次不等式的解集. 2.简单分式不等式的解法 (1)f (x )g (x )>0(<0)⇔f (x )g (x )>0(<0); (2)f (x )g (x )≥0(≤0)⇔f (x )g (x )≥0(≤0)且g (x )≠0. 3.指数不等式、对数不等式及抽象函数不等式,可利用函数的单调性求解.例1 (1)已知函数f (x )=x 2+ax +b (a ,b ∈R )的值域为[0,+∞),若关于x 的不等式f (x )<c 的解集为(m ,m +6),则实数c 的值为__________.(2)已知函数f (x )=⎩⎪⎨⎪⎧3x ,x ≤0,log 2x ,x >0,若f (x 0)>0,则x 0的取值范围是________________.答案 (1)9 (2)(-∞,0]∪(1,+∞) 解析 (1)由值域为[0,+∞),可知当x 2+ax +b =0时有Δ=a 2-4b =0,即b =a 24,∴f (x )=x 2+ax +b =x 2+ax +a 24=⎝⎛⎭⎫x +a 22. ∴f (x )=⎝⎛⎭⎫x +a22<c , 解得-c <x +a 2<c ,-c -a 2<x <c -a2.∵不等式f (x )<c 的解集为(m ,m +6), ∴⎝⎛⎭⎫c -a 2-(-c -a2)=2c =6,解得c =9.(2)当x 0≤0时,由03x>0,得x 0≤0;当x 0>0时,由log 2x 0>0,得x 0>1,所以x 0的取值范围是(-∞,0]∪(1,+∞).思维升华 (1)对于和函数有关的不等式,可先利用函数的单调性进行转化;(2)求解一元二次不等式的步骤:第一步,二次项系数化为正数;第二步,解对应的一元二次方程;第三步,若有两个不相等的实根,则利用“大于在两边,小于夹中间”得不等式的解集;(3)含参数的不等式的求解,要对参数进行分类讨论.跟踪演练1 (1)关于x 的不等式x 2-2ax -8a 2<0(a >0)的解集为(x 1,x 2),且x 2-x 1=15,则a =________. (2)不等式22x x-<4的解集为________.答案 (1)52(2)(-1,2)解析 (1)由x 2-2ax -8a 2<0,得(x +2a )(x -4a )<0,因为a >0,所以不等式的解集为(-2a,4a ),即x 2=4a ,x 1=-2a ,由x 2-x 1=15,得4a -(-2a )=15,解得a =52.(2)∵22x x-<4=22,∴x 2-x <2,即x 2-x -2<0,解得-1<x <2.热点二 基本不等式的应用利用基本不等式求最大值、最小值,其基本法则是:(1)如果x >0,y >0,xy =p (定值),当x =y 时,x +y 有最小值2p (简记为:积定,和有最小值);(2)如果x >0,y >0,x +y =s (定值),当x =y 时,xy 有最大值14s 2(简记为:和定,积有最大值).例2 (1)已知向量a =(m,2),b =(1,n -1),若a ⊥b ,则2m +4n 的最小值为( ) A .2 B .2 2 C .4D .8(2)已知正实数x ,y 满足xy +x +y =17,则x +2y +3的最小值为________. 答案 (1)C (2)12解析 (1)因为向量a =(m,2),b =(1,n -1),a ⊥b , 所以m +2(n -1)=0,即m +2n =2. 所以2m+4n≥22m·4n=22m +2n=222=4(当且仅当⎩⎪⎨⎪⎧ 2m =4n ,m +2n =2,即⎩⎪⎨⎪⎧m =1,n =0.5时,等号成立),所以2m +4n 的最小值为4,故选C.(2)由题意,得y =17-x x +1>0,x >0,则0<x <17,所以x +2y +3=x +34-2x x +1+3=(x +1)+36x +1≥2(x +1)·36x +1=12,当且仅当x =5时取等号,故x +2y +3的最小值为12.思维升华 在利用基本不等式求最值时,要特别注意“拆、拼、凑”等技巧,使其满足基本不等式中“正”(即条件要求字母为正数)、“定”(不等式的另一边必须为定值)、“等”(等号取得的条件)的条件才能应用,否则会出现错误.跟踪演练2 (1)若正数a ,b 满足a +b =1,则a a +1+bb +1的最大值为________.(2)已知x ,y 满足⎩⎪⎨⎪⎧x ≥2,y ≥2,x +y ≤8时,z =x a +yb(a ≥b >0)的最大值为2,则a +b 的最小值为( )A .4+2 3B .4-2 3C .9D .8答案 (1)23(2)D解析 (1)∵正数a ,b 满足a +b =1, ∴a a +1+bb +1=a (b +1)+b (a +1)(a +1)(b +1)=2ab +a +b ab +a +b +1=2ab +1ab +2=2(ab +2)-3ab +2=2-3ab +2 ≤2-3⎝⎛⎭⎫a +b 22+2=2-314+2=23,当且仅当a =b =12时取等号,∴a a +1+b b +1的最大值为23.(2)画出不等式组表示的可行域,如图中阴影部分(包括边界)所示.由z =x a +y b (a ≥b >0),得y =-ba x +bz .当直线y =-bax +bz 经过点A 时,z 有最大值,由⎩⎪⎨⎪⎧x =2,x +y =8,得A (2,6),∴2a +6b =2,即1a +3b =1.∵a +b =(a +b )(1a +3b )=4+b a +3ab ,令ba =t ,则0<t ≤1, ∴a +b =4+t +3t ,0<t ≤1.令f (t )=4+t +3t ,0<t ≤1,则f ′(t )=1-3t 2=t 2-3t 2<0,∴y =f (t )在(0,1]上是减函数.∴(a +b )min =f (1)=4+1+3=8.故选D. 热点三 简单的线性规划问题解决线性规划问题首先要找到可行域,再注意目标函数表示的几何意义,数形结合找到目标函数达到最值时可行域的顶点(或边界上的点),但要注意作图一定要准确,整点问题要验证解决.例3 (1)若x ,y 满足约束条件⎩⎪⎨⎪⎧x +y -2≤0,x -2y +1≤0,2x -y +2≥0,则z =3x +y 的最大值为__________.(2)若关于x ,y 的不等式组⎩⎪⎨⎪⎧x ≤0,x +y ≥0,kx -y +1≥0表示的平面区域是等腰直角三角形,则其表示的区域面积为( ) A .1或14B.12或18 C .1或12D.12或14答案 (1)4 (2)D解析 (1)可行域为△ABC 及其内部,其中A (1,1),B (0,2),C (-1,0),当直线z =3x +y 过点A 时取最大值4.(2)直线kx -y +1=0过点(0,1),要使不等式组表示的区域为直角三角形,只有直线kx -y +1=0垂直于y 轴(如图(1))或与直线x +y =0垂直(如图(2))时才符合题意.所以S =12×1×1=12或S =12×22×22=14.思维升华 (1)线性规划问题一般有三种题型:一是求最值;二是求区域面积;三是确定目标函数中的字母系数的取值范围.(2)一般情况下,目标函数的最大值或最小值会在可行域的端点或边界上取得.跟踪演练3 (1)已知实数x ,y 满足⎩⎪⎨⎪⎧x ≥0,y ≥0,x +y ≤2,则z =4x +y 的取值范围是( )A .[0,2]B .[0,8]C .[2,8]D .[2,10](2)已知变量x ,y 满足约束条件⎩⎪⎨⎪⎧x +y ≤1,x -y ≤1,x ≥a ,若x +2y ≥-5恒成立,则实数a 的取值范围为( )A .(-∞,-1]B .[-1,+∞)C .[-1,1]D .[-1,1)答案 (1)B (2)C 解析 (1)作出不等式组所表示的平面区域,如图阴影部分所示,由图知当目标函数z =4x +y 经过点B (2,0)时z 取得最大值,最大值为4×2+0=8;当目标函数z =4x +y 经过点O (0,0)时z 取得最小值,最小值为4×0+0=0,所以z =4x +y 的取值范围是[0,8],故选B. (2)由题意作出不等式组所表示的平面区域,如图中阴影部分所示,则x +2y ≥-5恒成立可转化为图中的阴影部分在直线x +2y =-5的上方,由⎩⎪⎨⎪⎧x -y =1,x +2y =-5, 得⎩⎪⎨⎪⎧x =-1,y =-2, 由⎩⎪⎨⎪⎧x -y =1,x +y =1, 得⎩⎪⎨⎪⎧x =1,y =0,则实数a 的取值范围为[-1,1].1.若点A (a ,b )在第一象限,且在直线x +2y =1上,则ab 的最大值为( ) A .1 B.12 C.14D.18押题依据 基本不等式在历年高考中的地位都很重要,已成为高考的重点和热点,用基本不等式求函数(和式或积式)的最值问题,有时与解析几何、数列等知识相结合. 答案 D解析 因为点A (a ,b )在第一象限,且在直线x +2y =1上,所以a >0,b >0,且a +2b =1, 所以ab =12·a ·2b ≤12·(a +2b 2)2=18,当且仅当a =2b =12,即a =12,b =14时,“=”成立.故选D.2.在R 上定义运算:⎪⎪⎪⎪⎪⎪a b cd =ad -bc ,若不等式⎪⎪⎪⎪⎪⎪x -1 a -2a +1 x ≥1对任意实数x 恒成立,则实数a 的最大值为( ) A .-12B .-32C.12D.32押题依据 不等式的解法作为数学解题的一个基本工具,在高考中是必考内容.往往与函数的单调性相结合,最后转化成一元一次不等式或一元二次不等式. 答案 D解析 由定义知,不等式⎪⎪⎪⎪⎪⎪x -1 a -2a +1 x ≥1等价于x 2-x -(a 2-a -2)≥1,∴x 2-x +1≥a 2-a 对任意实数x 恒成立, ∵x 2-x +1=(x -12)2+34≥34,∴a 2-a ≤34,解得-12≤a ≤32,则实数a 的最大值为32.3.已知实数x ,y 满足⎩⎪⎨⎪⎧x -2y +4≥0,3x -y -3≤0,x ≥12,y ≥1,则z =x +2y 的最小值为( )A .2 B.52 C.72D .5押题依据 线性规划的实质是数形结合思想的应用,利用线性规划的方法求一些线性目标函数的最值是近几年高考的热点. 答案 B解析 由题意可得不等式组所表示的可行域为如图中阴影部分所示的四边形ABCD 及其内部.因为目标函数z =x +2y 可化为y =-x 2+z 2,其表示过可行域上的点(x ,y ),斜率为-12且在y轴上的截距为z 2的直线;由图可知,当z =x +2y 过点D (12,1)时,z 取得最小值z min =12+2=52.故选B. 4.若不等式x 2+2x <a b +16ba 对任意a ,b ∈(0,+∞)恒成立,则实数x 的取值范围是( )A .(-4,2)B .(-∞,-4)∪(2,+∞)C .(-∞,-2)∪(0,+∞)D .(-2,0)押题依据 “恒成立”问题是函数和不等式交汇处的重要题型,可综合考查不等式的性质,函数的值域等知识,是高考的热点. 答案 A解析 不等式x 2+2x <a b +16ba对任意a ,b ∈(0,+∞)恒成立,等价于不等式x 2+2x <⎝⎛⎭⎫a b +16b a min .因为对任意a ,b ∈(0,+∞),a b +16b a ≥2a b ·16b a =8(当且仅当a b =16ba,即a =4b 时取等号),所以x 2+2x <8,解得-4<x <2,故选A.A 组 专题通关1.已知a >b ,则下列不等式中恒成立的是( ) A .ln a >ln b B.1a <1bC .a 2>abD .a 2+b 2>2ab答案 D解析 只有当a >b >0时A 成立;只有当a ,b 同号时B 成立;只有当a >0时C 成立;因为a ≠b ,所以D 恒成立,故选D.2.若函数f (x )=⎩⎪⎨⎪⎧log 2x ,x >0,-2x +12,x ≤0,则“0<x <1”是“f (x )<0”的( ) A .充分不必要条件 B .必要不充分条件 C .充要条件 D .既不充分也不必要条件 答案 A解析 当0<x <1时,f (x )=log 2x <0, 所以“0<x <1”⇒“f (x )<0”;若f (x )<0,则⎩⎪⎨⎪⎧x >0,log 2x <0或⎩⎪⎨⎪⎧x ≤0,-2x +12<0,解得0<x <1或-1<x ≤0,所以-1<x <1, 所以“f (x )<0”D ⇒/“0<x <1”.故选A. 3.设变量x ,y 满足约束条件⎩⎪⎨⎪⎧x +1≥0,x +2y -2≥0,2x -y -2≤0,则目标函数z =3x +4y 的最小值为( )A .1B .3 C.265 D .-19答案 B解析 作出不等式组⎩⎪⎨⎪⎧x +1≥0,x +2y -2≥02x -y -2≤0,表示的平面区域如图所示(图中阴影部分),作出直线3x +4y =0并平移,可知当直线z =3x +4y 经过点(-1,32)时,z 取得最小值,最小值为3.4.设实数x ,y 满足⎩⎪⎨⎪⎧2x +y -2≤0,x -y +1≥0,x -2y -1≤0,则y -1x -1的最小值是( ) A .-5 B .-12C.12 D .5答案 B解析 作出不等式组⎩⎪⎨⎪⎧2x +y -2≤0,x -y +1≥0,x -2y -1≤0表示的可行域如图阴影部分所示.y -1x -1表示可行域内的点(x ,y )与点P (1,1)连线的斜率.结合图形可知,当点(x ,y )取直线2x +y -2=0与x -y +1=0的交点A (13,43)时,y -1x -1取得最小值,最小值为-12.5.若不等式tt 2+9≤a ≤t +2t 2在t ∈(0,2]上恒成立,则a 的取值范围是( )A.⎣⎡⎦⎤16,1 B.⎣⎡⎦⎤16,22 C.⎣⎡⎦⎤16,413 D.⎣⎡⎦⎤213,1答案 D解析 ∵t t 2+9=1t +9t ,而t +9t 在区间(0,2]上单调递减,∴t +9t ≥2+92=132,t t 2+9=1t +9t ≤213(当且仅当t =2时等号成立).又t +2t 2=1t +2t 2=2⎝⎛⎭⎫1t +142-18, ∵1t ≥12,∴2⎝⎛⎭⎫1t +142-18≥1(当且仅当t =2时等号成立).故a 的取值范围为⎣⎡⎦⎤213,1. 6.已知不等式组⎩⎪⎨⎪⎧0≤x ≤2,x +y -2≥0,kx -y +2≥0所表示的平面区域的面积为4,则k 的值为( )A .1B .-3C .1或-3D .0答案 A解析 先作出不等式组⎩⎪⎨⎪⎧0≤x ≤2,x +y -2≥0表示的平面区域,可得点(2,0),(0,2).要使不等式组⎩⎪⎨⎪⎧0≤x ≤2,x +y -2≥0,kx -y +2≥0表示的平面区域的面积为4,那么直线kx -y +2=0与直线x =2的交点应为(2,4),将其代入kx -y +2=0,得k =1.7.要制作一个容积为4 m 3,高为1 m 的无盖长方体容器.已知该容器的底面造价是每平方米20元,侧面造价是每平方米10元,则该容器的最低总造价是________元. 答案 160解析 由题意知,体积V =4 m 3,高h =1 m ,所以底面积S =4 m 2,设底面矩形的一条边长是x m ,则另一条边长是4x m ,又设总造价是y元,则y =20×4+10×⎝⎛⎭⎫2x +8x ≥80+202x ·8x =160,当且仅当2x =8x,即x =2时取得等号.8.已知x >0,y >0,若2y x +8xy >m 2+2m 恒成立,则实数m 的取值范围是________.答案 (-4,2)解析 由题意可得m 2+2m 应小于2y x +8x y 的最小值,所以由基本不等式可得2y x +8xy≥2 2y x ·8xy=8, 所以m 2+2m <8⇒-4<m <2.9.设0<a <1,集合A ={x ∈R |x >0},B ={x ∈R |2x 2-3(1+a )x +6a >0},D =A ∩B ,求集合D .(用区间表示)解 令g (x )=2x 2-3(1+a )x +6a , 其对称轴方程为x =34(1+a ),Δ=9(1+a )2-48a =9a 2-30a +9=3(3a -1)(a -3). ①当0<a ≤13时,Δ≥0,x =34(1+a )>0,g (0)=6a >0,方程g (x )=0的两个根分别为0<x 1=3a +3-9a 2-30a +94<x 2=3a +3+9a 2-30a +94,∴D =A ∩B =⎝ ⎛⎭⎪⎫0,3a +3-9a 2-30a +94∪⎝ ⎛⎭⎪⎫3a +3+9a 2-30a +94,+∞;②当13<a <1时,Δ<0,则g (x )>0恒成立,所以D =A ∩B =(0,+∞). 综上所述,当0<a ≤13时,D =⎝ ⎛⎭⎪⎫0,3a +3-9a 2-30a +94∪ ⎝ ⎛⎭⎪⎫3a +3+9a 2-30a +94,+∞;当13<a <1时,D =(0,+∞). 10.运货卡车以每小时x 千米的速度匀速行驶130千米(按交通法规限制50≤x ≤100)(单位:千米/小时).假设汽油的价格是每升2元,而汽车每小时耗油(2+x 2360)升,司机的工资是每小时14元.(1)求这次行车总费用y 关于x 的表达式;(2)当x 为何值时,这次行车的总费用最低,并求出最低费用的值. 解 (1)行车所用时间为t =130x(h),y =130x ×2×(2+x 2360)+14×130x ,x ∈[50,100].所以,这次行车总费用y 关于x 的表达式是 y =2 340x +1318x ,x ∈[50,100].(2)y =2 340x +1318x ≥2610,当且仅当2 340x =1318x ,即x =1810时,上述不等式中等号成立.故当x =1810时,这次行车的总费用最低,最低费用为2610元.B 组 能力提高11.设f (x )=ln x,0<a <b ,若p =f (ab ),q =f ⎝⎛⎭⎫a +b 2,r =12(f (a )+f (b )),则下列关系式中正确的是( ) A .q =r <p B .q =r >p C .p =r <q D .p =r >q答案 C解析 ∵0<a <b ,∴a +b2>ab ,又∵f (x )=ln x 在(0,+∞)上为增函数, 故f ⎝⎛⎭⎫a +b 2>f (ab ),即q >p .又r =12(f (a )+f (b ))=12(ln a +ln b )=12ln a +12ln b =ln(ab )12 =f (ab )=p . 故p =r <q .选C.12.已知正实数m ,n 满足m +n =1,且使1m +16n 取得最小值,若曲线y =x α过点P (m 5,n 4),则α的值等于( ) A .-1 B.12 C .2 D .3答案 B解析 因为正实数m ,n 满足m +n =1,所以1m +16n =m +n m +16m +16n n =n m +16mn +17≥25,当且仅当m =15,n =45时,1m +16n 取得最小值.所以曲线y =x α过点P (125,15),即15=(125)α,所以α=12.13.已知不等式组⎩⎪⎨⎪⎧x +y ≤1,x -y ≥-1,y ≥0所表示的平面区域为D ,若直线(m +2)x -(m +1)y +2=0与平面区域D 有公共点,则实数m 的取值范围为( ) A .(-4,0) B .[-4,0]C .(-∞,-4)∪(0,+∞)D .(-∞,-4]∪[0,+∞) 答案 D解析 如图所示,不等式组⎩⎪⎨⎪⎧x +y ≤1,x -y ≥-1,y ≥0对应的平面区域D 是以点(-1,0),(0,1)和(1,0)为顶点的三角形.直线(m +2)x -(m +1)y +2=0可化为m (x -y )+2x -y +2=0,该直线恒过点(-2,-2).若直线与平面区域D 有公共点,经过点(1,0)时,直线的斜率取得最小值23,经过点(-1,0)时,直线的斜率取得最大值2,则23≤m +2m +1≤2.解得m ≤-4或m ≥0,故实数m 的取值范围是(-∞,-4]∪[0,+∞).14.提高过江大桥的车辆通行能力可改善整个城市的交通状况.在一般情况下,大桥上的车流速度v (单位:千米/小时)是车流密度x (单位:辆/千米)的函数.当桥上的车流密度达到200辆/千米时,造成堵塞,此时车流速度为0千米/小时;当车流密度不超过20辆/千米时,车流速度为60千米/小时,研究表明:当20≤x ≤200时,车流速度v 是车流密度x 的一次函数.(1)当0≤x ≤200时,求函数v (x )的表达式;(2)当车流密度x 为多大时,车流量(单位时间内通过桥上某观测点的车辆数,单位:辆/小时)f (x )=x ·v (x )可以达到最大,并求出最大值.(精确到1辆/小时)解 (1)由题意:当0≤x ≤20时,v (x )=60;当20≤x ≤200时,设v (x )=ax +b ,显然v (x )=ax +b 在[20,200]上是减函数,由已知得⎩⎪⎨⎪⎧200a +b =0,20a +b =60,解得⎩⎨⎧a =-13,b =2003,故函数v (x )的表达式为v (x )=⎩⎪⎨⎪⎧60 (0≤x <20),13(200-x ) (20≤x ≤200).(2)依题意并由(1)可得f (x )=⎩⎪⎨⎪⎧60x (0≤x <20),13x (200-x ) (20≤x ≤200),当0≤x ≤20时,f (x )为增函数,故当x =20时,其最大值为60×20=1 200;当20≤x ≤200时,f (x )=13x (200-x )≤13[x +(200-x )2]2=10 0003,当且仅当x =200-x ,即x =100时,等号成立,所以,当x =100时,f (x )在区间[20,200]上取得最大值10 0003.综上,当x =100时,f (x )在区间[0,200]上取得最大值10 0003≈3 333, 即当车流密度为100辆/千米时,车流量可以达到最大,最大值约3 333辆/小时.。
不等式及线性规划1.设变量x ,y 满足约束条件⎩⎪⎨⎪⎧ x +y ≤5,2x -y ≤4,-x +y ≤1,y ≥0,则目标函数z =3x +5y 的最大值为( ) A .6B .19C .21D .45 2.设x ,y 满足约束条件⎩⎪⎨⎪⎧ x +3y ≤3,x -y ≥1,y ≥0,则z =x +y 的最大值为( ) A .0B .1C .2D .3 3设x ,y 满足约束条件⎩⎪⎨⎪⎧ 2x +3y -3≤0,2x -3y +3≥0,y +3≥0,则z =2x +y 的最小值是( ) A .-15B .-9C .1D .9 4.若x ,y 满足约束条件⎩⎪⎨⎪⎧ x -2y -2≤0,x -y +1≥0,y ≤0,则z =3x +2y 的最大值为______. 5.若x ,y 满足约束条件⎩⎪⎨⎪⎧ x +2y -5≥0,x -2y +3≥0,x -5≤0,则z =x +y 的最大值为______.6.下列三个不等式:①x +1x ≥2(x ≠0);②c a <c b (a >b >c >0);③a +m b +m >a b(a ,b ,m >0且a <b ),恒成立的个数为( )A .3B .2C .1D .07.已知一元二次不等式f (x )≤9的解集为{x |x ≤12或x ≥3},则f (e x )>0的解集为( ) A .{x |x <-ln 2或x >ln 3}B .{x |ln2<x <ln3}C .{x |x <ln3}D .{x |-ln2<x <ln3}8.已知x ,y ∈R ,且x >y >0,则( )A .1x -1y >0B .sin x -sin y >0C .(12)x -(12)y <0D .ln x +ln y >09.已知a ,b ∈R ,且a -3b +6=0,则2a +18b 的最小值为______. 10.在△ABC 中,角A ,B ,C 所对的边分别为a ,b ,c ,∠ABC =120°,∠ABC 的平分线交AC 于点D ,且BD =1,则4a +c 的最小值为______.【参考答案】1.[解析]画出可行域如图中阴影部分所示,由z =3x +5y 得y =-35x +z 5. 设直线l 0为y =-35x ,平移直线l 0,当直线y =-35x +z 5过点P (2,3)时,z 取得最大值,z max =3×2+5×3=21.故选C .2.[解析] 根据题意作出可行域,如图阴影部分所示,由z=x +y 得y =-x +z .作出直线y =-x ,并平移该直线,当直线y =-x +z 过点A 时,目标函数取最大值.由图知A (3,0),故z max =3+0=3.故选D .3.[解析] 不等式组表示的可行域如图中阴影部分所示.将目标函数z =2x +y 化为y =-2x +z ,作出直线y =-2x ,并平移该直线,知当直线y =-2x +z 经过点A (-6,-3)时,z 有最小值,且z min =2×(-6)-3=-15.故选A .4.[解析] 作出满足约束条件的可行域如图阴影部分所示.由z =3x +2y 得y =-32x +z 2. 作直线l 0:y =-32x .平移直线l 0,当直线y =-32x +z 2过点(2,0)时,z 取最大值,z max =3×2+2×0=6.5.[解析] 由不等式组画出可行域,如图(阴影部分).x +y 取得最大值⇔斜率为-1的直线x +y =z (z 看做常数)的横截距最大,由图可得直线x +y =z 过点C 时z 取得最大值.由⎩⎪⎨⎪⎧x =5,x -2y +3=0得点C (5,4), ∴ z max =5+4=9.6.[解析] 当x <0时,①不成立;由a >b >c >0得1a <1b ,所以c a <c b 成立,所以②恒成立;a +m b +m-a b =m (b -a )b (b +m ),由a ,b ,m >0且a <b 知a +m b +m -a b>0恒成立,故③恒成立. 7.[解析] 由题意可知,一元二次不等式所对应的二次函数的图象开口向下,故f (x )>0的解集为{x |12<x <3},又因为f (e x )>0,所以12<e x <3,解得-ln2<x <ln3. 8.[解析] 因为x >y >0,选项A ,取x =1,y =12,则1x -1y=1-2=-1<0,排除A ;选项B ,取x =π,y =π2,则sin x -sin y =sin π-sin π2=-1<0,排除B ;选项D ,取x =2,y =12,则ln x +ln y =ln(x +y )=ln1=0,排除D .故选C .9.[解析] ∵ a -3b +6=0,∴ a -3b =-6,∴ 2a +18b =2a +2-3b ≥22a ·2-3b =22a -3b =22-6=2×2-3=14,当且仅当⎩⎪⎨⎪⎧ a =-3b ,a -3b +6=0时等号成立,即⎩⎪⎨⎪⎧a =-3,b =1时取到等号.10.[解析]方法一:如图(1),∵ S △ABC =S △ABD +S △BCD ,∴ 12ac ·sin120°=12c ×1×sin60°+12a ×1×sin60°, ∴ ac =a +c .∴ 1a +1c=1. ∴ 4a +c =(4a +c )⎝⎛⎭⎫1a +1c =c a +4a c +5≥2c a ·4a c+5=9. 当且仅当c a =4a c,即c =2a 时取等号. 方法二:如图(2),以B 为原点,BD 为x 轴建立平面直角坐标系,则D (1,0), A ⎝⎛⎭⎫c 2,-32c ,C ⎝⎛⎭⎫a 2,32a . 又A ,D ,C 三点共线,∴ c 2-1-32c =a 2-132a , ∴ ac =a +c .以下同方法一.。
第1讲 基本不等式与线性规划高考定位 高考对本内容的考查主要有:(1)基本不等式是C 级要求,理解基本不等式在不等式证明、函数最值的求解方面的重要应用;(2)线性规划的要求是A 级,理解二元一次不等式对应的平面区域,能够求线性目标函数在给定区域上的最值,同时对一次分式型函数、二次型函数的最值也要有所了解.真 题 感 悟1.(2017·江苏卷)某公司一年购买某种货物600吨,每次购买x 吨,运费为6万元/次,一年的总存储费用为4x 万元.要使一年的总运费与总存储费用之和最小,则x 的值是________.解析 一年的总运费与总存储费用之和为y =6×600x +4x =3 600x +4x ≥2 3 600x ×4x =240,当且仅当3 600x =4x ,即x =30时,y 有最小值240. 答案 302.(2016·江苏卷)已知实数x ,y 满足约束条件⎩⎨⎧x -2y +4≥0,2x +y -2≥0,3x -y -3≤0,那么x 2+y 2的取值范围是________.解析 作出实数x ,y 满足的可行域如图中阴影部分所示,则x 2+y 2即为可行域内的点(x ,y )到原点O 的距离的平方.由图可知点A 到原点O 的距离最近,点B 到原点O 的距离最远.点A 到原点O 的距离即原点O 到直线2x +y -2=0的距离d =|0-2|12+22=255,则(x 2+y 2)min =45;点B 为直线x -2y +4=0与3x -y -3=0的交点,即点B 的坐标为(2,3),则(x 2+y 2)max =13.综上,x 2+y 2的取值范围是⎣⎢⎡⎦⎥⎤45,13.答案 ⎣⎢⎡⎦⎥⎤45,133.(2016·江苏卷)已知函数f (x )=2x+⎝ ⎛⎭⎪⎫12x ,若对于任意x ∈R ,不等式f (2x )≥mf (x )-6恒成立,则实数m 的最大值为________.解析 由条件知f (2x )=22x +2-2x =(2x +2-x )2-2=(f (x ))2-2. ∵f (2x )≥mf (x )-6对于x ∈R 恒成立,且f (x )>0, ∴m ≤(f (x ))2+4f (x )对于x ∈R 恒成立.又(f (x ))2+4f (x )=f (x )+4f (x )≥2f (x )·4f (x )=4,且(f (0))2+4f (0)=4,∴m ≤4,故实数m 的最大值为4. 答案 44.(2016·江苏卷)在锐角三角形ABC 中,若sin A =2sin B sin C ,则tan A tan B tan C 的最小值是________.解析 因为sin A =2sin B sin C ,所以sin(B +C )=2sin B sin C , 所以sin B cos C +cos B sin C =2sin B sin C , 等式两边同时除以cos B cos C , 得tan B +tan C =2tan B tan C . 又因为tan A =-tan(B +C )=tan B +tan Ctan B tan C -1,所以tan A tan B tan C -tan A =2tan B tan C , 即tan B tan C (tan A -2)=tan A .因为A ,B ,C 为锐角,所以tan A ,tan B ,tan C >0, 且tan A >2,所以tan B tan C =tan A tan A -2,所以原式=tan 2Atan A -2.令tan A -2=t (t >0),则tan 2A tan A -2=(t +2)2t =t 2+4t +4t =t +4t +4≥8,当且仅当t =2,即tan A =4时取等号. 故tan A tan B tan C 的最小值为8. 答案 8考 点 整 合1.利用基本不等式求最值(1)如果x >0,y >0,xy =p (定值),当x =y 时,x +y 有最小值2p (简记为:积定,和有最小值).(2)如果x >0,y >0,x +y =s (定值),当x =y 时,xy 有最大值14s 2(简记为:和定,积有最大值).2.简单的线性规划问题解决线性规划问题首先要找到可行域,再根据目标函数表示的几何意义,数形结合找到目标函数达到最值时可行域上的顶点(或边界上的点),但要注意作图一定要准确,整点问题要验证解决.热点一 利用基本不等式求最值【例1】 (1)(2017·山东卷)若直线x a +y b =1(a >0,b >0)过点(1,2),则2a +b 的最小值为________.(2)(2017·苏州调研)已知正数x ,y 满足x +y =1,则4x +2+1y +1的最小值为________.解析 (1)∵直线x a +yb =1(a >0,b >0)过点(1,2), ∴1a +2b =1(a >0,且b >0),则2a +b =(2a +b )⎝ ⎛⎭⎪⎫1a +2b=4+b a +4a b ≥4+2b a ·4a b =8.当且仅当b a =4ab ,即a =2,b =4时上式等号成立. 因此2a +b 的最小值为8.(2)设x +2=m ,y +1=n ,m >2,n >1, 则m +n =x +2+y +1=4,4x +2+1y +1=4m +1n =⎝ ⎛⎭⎪⎫4m +1n ⎝ ⎛⎭⎪⎫m 4+n 4=54+n m +m 4n ≥54+2n m ·m 4n =94,当且仅当n m =m 4n ,m =83,n =43时取等号,故4x +2+1y +1的最小值为94. 答案 (1)8 (2)94探究提高 1.利用基本不等式求最值,要注意“拆、拼、凑”等变形,变形的原则是在已知条件下通过变形凑出基本不等式应用的条件,即“和”或“积”为定值,等号能够取得.2.特别注意:(1)应用基本不等式求最值时,若遇等号取不到的情况,则应结合函数的单调性求解.(2)若两次连用基本不等式,要注意等号的取得条件的一致性,否则会出错. 【训练1】 (1)(2017·天津卷)若a ,b ∈R ,ab >0,则a 4+4b 4+1ab的最小值为________.(2)若实数a ,b 满足1a +2b =ab ,则ab 的最小值为________. 解析 (1)∵a ,b ∈R ,ab >0, ∴a 4+4b 4+1ab ≥4a 2b 2+1ab =4ab +1ab ≥24ab ·1ab =4,当且仅当⎩⎪⎨⎪⎧a 2=2b 2,4ab =1ab ,即⎩⎪⎨⎪⎧a 2=22,b 2=24时取得等号. (2)依题意知a >0,b >0,则1a +2b ≥22ab =22ab ,当且仅当1a =2b ,即b =2a 时,“=”成立.∵1a +2b=ab,∴ab ≥22ab ,即ab ≥22,∴ab 的最小值为2 2. 答案 (1)4 (2)2 2热点二 简单的线性规划问题 [命题角度1] 求线性目标函数的最值【例2-1】 (1)(2017·天津卷改编)设变量x ,y 满足约束条件⎩⎨⎧2x +y ≥0,x +2y -2≥0,x ≤0,y ≤3,则目标函数z =x +y 的最大值为________.(2)(2017·全国Ⅰ卷)设x ,y 满足约束条件⎩⎨⎧x +2y ≤1,2x +y ≥-1,x -y ≤0,则z =3x -2y 的最小值为________.解析 (1)作出约束条件所表示的可行域如图中阴影部分所示,由z =x +y 得y =-x +z ,作出直线y =-x ,平移使之经过可行域,观察可知,最优解在B (0,3)处取得,故z max =0+3=3.(2)作出约束条件所表示的可行域如图中阴影部分所示,由z =3x -2y 得y =32x -z 2,求z 的最小值,即求直线y =32x -z2的纵截距的最大值,当直线y =32x -z2过图中点A 时,纵截距最大,由⎩⎨⎧2x +y =-1,x +2y =1解得A 点坐标为(-1,1),此时z =3×(-1)-2×1=-5. 答案 (1)3 (2)-5[命题角度2] 求非线性目标函数的最值【例2-2】 (2017·徐州、宿迁、连云港模拟)已知实数x ,y 满足⎩⎨⎧y ≤x -1,x ≤3,x +y ≥2,则y x 的取值范围是________.解析 不等式组对应的平面区域是以点(3,-1),(3,2)和⎝ ⎛⎭⎪⎫32,12为顶点的三角形及其内部,设z =yx ,则z 表示平面区域内的点与原点连线所在直线的斜率,则当z =y x 经过(3,-1)时取得最小值-13,经过点(3,2)时取得最大值23,故yx 的取值范围是⎣⎢⎡⎦⎥⎤-13,23.答案 ⎣⎢⎡⎦⎥⎤-13,23[命题角度3] 线性规划中的含参问题【例2-3】 (2017·南京师大附中模拟)设变量x ,y 满足约束条件⎩⎨⎧x +y ≤4,y ≥x ,x ≥1,若目标函数z =ax +y 的最小值为-2,则a =________.解析 约束条件对应的可行域是以点(1,1),(1,3)和(2,2)为顶点的三角形及其内部.当a ≥-1时,当目标函数y =-ax +z 经过点(1,1)时,z 取得最小值,则z min =a +1=-2,即a =-3(舍去);当a <-1时,当目标函数y =-ax +z 经过点(2,2)时,z 取得最小值,则z min =2a +2=-2,即a =-2,符合题意,故a =-2. 答案 -2探究提高 1.线性规划的实质是把代数问题几何化,即数形结合的思想.需要注意的是:一,准确无误地作出可行域;二,画目标函数所对应的直线时,要注意与约束条件中的直线的斜率进行比较,避免出错;三,一般情况下,目标函数的最大或最小值会在可行域的端点或边界上取得.2.对于线性规划中的参数问题,需注意:(1)当最值是已知时,目标函数中的参数往往与直线斜率有关,解题时应充分利用斜率这一特征加以转化.(2)当目标函数与最值都是已知,且约束条件中含有参数时,因为平面区域是变动的,所以要抓住目标函数及最值已知这一突破口,先确定最优解,然后变动参数范围,使得这样的最优解在该区域内即可.【训练2】 (1)(2017·山东卷改编)已知x ,y 满足约束条件⎩⎨⎧x -y +3≤0,3x +y +5≤0,x +3≥0,则z =x+2y 的最大值是________.(2)若实数x ,y 满足⎩⎨⎧2x -y +2≥0,2x +y -6≤0,0≤y ≤3,且z =mx -y (m <2)的最小值为-52,则m =________.解析 (1)由已知得约束条件的可行域如图中阴影部分所示,故目标函数z =x +2y 经过点C (-3,4)时取最大值z max =-3+2×4=5.(2)作出约束条件所表示的可行域如图中阴影部分所示,z =mx -y (m <2)的最小值为-52,可知目标函数的最优解过点A ,由⎩⎨⎧y =3,2x -y +2=0,解得A ⎝ ⎛⎭⎪⎫12,3,∴-52=m2-3,解得m =1. 答案 (1)5 (2)11.多次使用基本不等式的注意事项当多次使用基本不等式时,一定要注意每次是否能保证等号成立,并且要注意取等号的条件的一致性,否则就会出错,因此在利用基本不等式处理问题时,列出等号成立的条件不仅是解题的必要步骤,也是检验转换是否有误的一种方法. 2.基本不等式除了在客观题考查外,在解答题的关键步骤中也往往起到“巧解”的作用,但往往需先变换形式才能应用.3.解决线性规划问题首先要作出可行域,再注意目标函数表示的几何意义,数形结合找到目标函数达到最值时可行域的顶点(或边界上的点),但要注意作图一定要准确,整点问题要验证解决.一、填空题1.(2017·全国Ⅱ卷改编)设x ,y 满足约束条件⎩⎨⎧2x +3y -3≤0,2x -3y +3≥0,y +3≥0,则z =2x +y 的最小值是________.解析 可行域如图阴影部分所示,当直线y =-2x +z 经过点A (-6,-3)时,所求最小值为-15.答案 -152.若0<x <1,则当f (x )=x (4-3x )取得最大值时x 的值为________.解析 因为0<x <1,所以f (x )=x (4-3x )=13×3x (4-3x )≤13×⎝ ⎛⎭⎪⎫3x +4-3x 22=43,当且仅当3x =4-3x ,即x =23时取等号. 答案 233.(2017·海门中学检测)已知a >0,b >0,a ,b 的等比中项是1,且m =b +1a ,n =a +1b ,则m +n 的最小值是________.解析 由题意知ab =1,所以m =b +1a =2b ,n =a +1b =2a ,所以m +n =2(a +b )≥4ab =4,当且仅当a =b =1时取等号. 答案 44.(2017·宿迁调研)若实数x ,y 满足xy +3x =3⎝ ⎛⎭⎪⎫0<x <12,则3x +1y -3的最小值是________.解析 由xy +3x =3可得y +3=3x ,又0<x <12,则y +3>6,y >3,所以3x +1y -3=y+3+1y -3=(y -3)+1y -3+6≥2(y -3)·1y -3+6=8,当且仅当y =4时取等号,故3x +1y -3的最小值是8.答案 85.(2017·无锡期末)设不等式组⎩⎨⎧x ≥1,x -y ≤0,x +y ≤4表示的平面区域为M ,若直线y =kx -2上存在M 内的点,则实数k 的取值范围为________.解析 平面区域M 是以点(1,1),(1,3)和(2,2)为顶点的三角形区域(含边界),直线y =kx -2,即k =y +2x 表示区域M 内的点(x ,y )与点(0,-2)连线的斜率.当经过点(2,2)时,k 取得最小值2;当经过点(1,3)时,k 取得最大值5,故实数k 的取值范围为[2,5]. 答案 [2,5]6.已知x ,y ∈R ,且x 2+2xy +4y 2=6,则z =x 2+4y 2的取值范围是________.解析 因为2xy =6-(x 2+4y 2),而2xy ≤x 2+4y 22,所以6-(x 2+4y 2)≤x 2+4y22,所以x 2+4y 2≥4,当且仅当x =2y 时取等号,又因为(x +2y )2=6+2xy ≥0,即2xy ≥-6,所以z =x 2+4y 2=6-2xy ≤12.综上可得4≤x 2+4y 2≤12. 答案 [4,12]7.(2017·北京卷)已知x ≥0,y ≥0,且x +y =1,则x 2+y 2的取值范围是________. 解析 法一 ∵x ≥0,y ≥0且x +y =1.∴2xy ≤x +y =1,从而0≤xy ≤14,因此x 2+y 2=(x +y )2-2xy =1-2xy ,所以12≤x 2+y 2≤1.法二 可转化为线段AB 上的点到原点距离平方的范围,AB 上的点到原点距离的范围为⎣⎢⎡⎦⎥⎤22,1,则x 2+y 2的取值范围为⎣⎢⎡⎦⎥⎤12,1.答案 ⎣⎢⎡⎦⎥⎤12,18.(2016·全国Ⅰ卷)某高科技企业生产产品A 和产品B 需要甲、乙两种新型材料.生产一件产品A 需要甲材料1.5 kg ,乙材料1 kg ,用5个工时;生产一件产品B 需要甲材料0.5 kg ,乙材料0.3 kg ,用3个工时.生产一件产品A 的利润为2 100元,生产一件产品B 的利润为900元.该企业现有甲材料150 kg ,乙材料90 kg ,则在不超过600个工时的条件下,生产产品A 、产品B 的利润之和的最大值为________元.解析 设生产产品A 、产品B 分别为x 件、y 件,利润之和为z 元,则⎩⎨⎧1.5x +0.5y ≤150,x +0.3y ≤90,5x +3y ≤600,x ∈N ,y ∈N ,即⎩⎨⎧3x +y ≤300,10x +3y ≤900,5x +3y ≤600,x ∈N ,y ∈N ,目标函数为z =2 100x +900y .作出不等式组表示的平面区域为图中阴影部分内(包括边界)的整点,即可行域. 由图可知当直线z =2 100x +900y 经过点M 时,z 取得最大值.联立方程组⎩⎨⎧10x +3y =900,5x +3y =600,得M 的坐标为(60,100),所以当x =60,y =100时,z max =2 100×60+900×100=216 000(元). 答案 216 000 二、解答题9.设关于x ,y 的不等式组⎩⎨⎧2x -y +1>0,x +m <0,y -m >0表示的平面区域内存在点P (x 0,y 0),满足x 0-2y 0=2,求实数m 的取值范围. 解 先根据约束条件⎩⎨⎧2x -y +1>0,x +m <0,y -m >0画出可行域(图略), 要使可行域存在,必有m <-2m +1,要求可行域包含直线y =12x -1上的点,只要边界点(-m ,1-2m )在直线y =12x -1的上方,且(-m ,m )在直线y =12x -1的下方,故得不等式组⎩⎪⎨⎪⎧m <-2m +1,1-2m >-12m -1,m <-12m -1,解之得m <-23. 故实数m 的取值范围是⎝ ⎛⎭⎪⎫-∞,-23.10.(1)当点(x ,y )在直线x +3y -4=0上移动时,求3x +27y +2的最小值; (2)已知x ,y 都是正实数,且x +y -3xy +5=0,求xy 的最小值.解 (1)由x +3y -4=0,得x +3y =4,所以3x +27y +2=3x +33y +2≥23x ·33y +2=23x +3y +2=234+2=20, 当且仅当3x =33y 且x +3y -4=0,即x =2,y =23时取等号,此时所求的最小值为20.(2)由x +y -3xy +5=0,得x +y +5=3xy , 所以2xy +5≤x +y +5=3xy , 所以3xy -2xy -5≥0, 所以(xy +1)(3xy -5)≥0, 所以xy ≥53,即xy ≥259,当且仅当x =y =53时取等号,故xy 的最小值是259.11.(2017·天津卷)电视台播放甲、乙两套连续剧,每次播放连续剧时,需要播放广告.已知每次播放甲、乙两套连续剧时,连续剧播放时长、广告播放时长、收视人次如下表所示:已知电视台每周安排的甲、乙连续剧的总播放时间不多于600分钟,广告的总播放时间不少于30分钟,且甲连续剧播放的次数不多于乙连续剧播放次数的2倍.分别用x ,y 表示每周计划播出的甲、乙两套连续剧的次数.(1)用x ,y 列出满足题目条件的数学关系式,并画出相应的平面区域; (2)问电视台每周播出甲、乙两套连续剧各多少次,才能使总收视人次最多? 解 (1)由已知,x ,y 满足的数学关系式为⎩⎪⎨⎪⎧70x +60y ≤600,5x +5y ≥30,x ≤2y ,x ≥0,y ≥0,即⎩⎪⎨⎪⎧7x +6y ≤60,x +y ≥6,x -2y ≤0,x ≥0,y ≥0,该二元一次不等式组所表示的平面区域为图1中的阴影部分:(2)设总收视人次为z 万,则目标函数为z =60x +25y .考虑z =60x +25y ,将它变形为y =-125x +z 25,这是斜率为-125,随z 变化的一族平行直线,z 25为直线在y 轴上的截距,当z25取得最大值时,z 的值最大. 又因为x ,y 满足约束条件,所以由图2可知,当直线z =60x +25y 经过可行域上的点M 时,截距z25最大,即z 最大.解方程组⎩⎨⎧7x +6y =60,x -2y =0,得点M 的坐标为(6,3).所以,电视台每周播出甲连续剧6次、乙连续剧3次时才能使总收视人次最多.。
1.若a >b ,则下列不等式恒成立的是( ).A .a 3>b 3B .lg a >lg bC.⎝ ⎛⎭⎪⎫12a >⎝ ⎛⎭⎪⎫12b D.1a <1b 2.已知不等式ax 2+bx +c >0的解集为{x |2<x <4},则不等式cx 2+bx +a <0的解集( ).A.⎩⎪⎨⎪⎧⎭⎪⎬⎪⎫x ⎪⎪⎪ x >12B.⎩⎪⎨⎪⎧⎭⎪⎬⎪⎫x ⎪⎪⎪ x <14 C.⎩⎪⎨⎪⎧⎭⎪⎬⎪⎫x ⎪⎪⎪ 12<x <14 D.⎩⎪⎨⎪⎧⎭⎪⎬⎪⎫x ⎪⎪⎪ x >12或x <14 3.已知a >0,b >0,a +b =2,则y =1a +4b的最小值是( ). A.72B .4 C.92 D .54.设a >0,则函数f (x )=4x +a x ≥42(x >0)成立的一个充分不必要条件是( ).A .a ≥2B .a =1C .a =4D .a ≤3 5.若实数x ,y 满足⎩⎪⎨⎪⎧ 2x -y ≥0,y ≥x ,y ≥-x +b ,且z =2x +y 的最小值为4,则实数b 的值为( ). A .0B .2C .3D .46.已知点A (m ,n )在直线x +2y -1=0上,则2m +4n 的最小值为________.7.已知a =(m,1),b =(1-n,1)(其中m 、n 为正数),若a ∥b ,则1m +2n的最小值是________. 8.设二元一次不等式组⎩⎪⎨⎪⎧ x +2y -19≥0,x -y +8≥0,2x +y -14≤0所表示的平面区域为M ,使函数y =a x(a >0,a ≠1)的图象过区域M 的a 的取值范围是________.9.如图所示,动物园要围成相同面积的长方形虎笼四间,一面可利用原有的墙,其他各面用钢筋网围成.(1)现有可围36 m 长的钢筋网材料,每间虎笼的长、宽各设计为多少时,可使每间虎笼面积最大?(2)若使每间虎笼面积为24 m 2,则每间虎笼的长、宽各设计为多少时,可使围成四间虎笼的钢筋网总长最小?10.已知函数f (x )=e x +2x 2-3x .(1)求曲线y =f (x )在点(1,f (1))处的切线方程;(2)当x ≥12时,若关于x 的不等式f (x )≥52x 2+(a -3)x +1恒成立,试求实数a 的取值范围.11.已知函数f (x )=x 2+bx +c (b ,c ∈R ),对任意的x ∈R ,恒有f ′(x )≤f (x ).(1)证明:当x ≥0时,f (x )≤(x +c )2;(2)若对满足题设条件的任意b ,c ,不等式f (c )-f (b )≤M (c 2-b 2)恒成立,求M 的最小值.。
2023届二轮专练_专题三 不等式_第1讲 基本不等式与线性规划一、填空题(共17小题)1. 不等式组 {y ≤−x +2,y ≤x −1,y ≥0 所表示的平面区域的面积为 . 2. 若 x ,y 满足约束条件 {2x +y ≥4,x −y ≥1,x −2y ≤2, 则 z =x +y 的最小值是 . 3. 已知函数 f (x )=x +1x −2(x <0),那么 f (x ) 的最大值为 . 4. 若 x >0,y >0,且 log 3x +log 3y =1,则 1x +1y 的最小值为 .5. 设 x,y ∈R ,a >1,b >1,若 a x =b y =2,a +√b =4,则 2x +1y 的最大值为 .6. 设实数 x ,y 满足 x 2+2xy −1=0,则 x 2+y 2 的最小值是 .7. 若实数 x ,y 满足约束条件 {x −y +1≥0,x −2y ≤0,x +2y −2≤0, 则 z =x +y 的最大值为 . 8. 若变量 x ,y 满足约束条件 {x +y ≤2,2x −3y ≤9,x ≥0, 则 x 2+y 2 的最大值是 .9. 若实数 x ,y 满足约束条件 {x +y −3≥0,x −y −3≤0,0≤y ≤1, 则 z =2x+y x+y 的最小值为 . 10. 若 0<x <1,则当 f (x )=x (4−3x ) 取得最大值时 x 的值为 . 11. 已知 a >0,b >0,a ,b 的等比中项是 1,且 m =b +1a ,n =a +1b,则 m +n 的最小值是 .12. 若实数 x ,y 满足约束条件 {2x −y ≤0,x +y ≤3,x ≥0,则 2x +y 的最大值为 .13. 在平面上,过点 P 作直线 l 的垂线所得的垂足称为点 P 在直线 l 上的投影,由区域{x −2≤0,x +y ≥0,x −3y +4≥0中的点在直线 x +y −2=0 上的投影构成的线段记为 AB ,则 AB = . 14. 函数 y =2√x 2+4 的最小值为 .15. 设 x ,y ,z 均为大于 1 的实数,且 z 为 x 和 y 的等比中项,则 lgz 4lgx +lgz lgy 的最小值为 .16. 已知 a >b >1,且 2log a b +3log b a =7 ,则 a +1b 2−1 的最小值为 .17. 若正实数 x ,y 满足 (2xy −1)2=(5y +2)(y −2),则 x +12y 的最大值为 .二、解答题(共1小题)18. 某市对城市路网进行改造,拟在原有a个标段(注:一个标段是指一定长度的机动车道)的基础上,新建x个标段和n个道路交叉口,其中n与x满足n=ax+5.已知新建一个标段的造价为m万元,新建一个道路交叉口的造价是新建一个标段的造价的k倍.(1)试求新建道路交叉口的总造价y(单位:万元)与x的函数关系式;(2)设P是新建标段的总造价与新建道路交叉口的总造价之比.若新建的标段数是原有标段数,并说明理由.的20%,且k≥3.问:P能否大于120答案1. 142. 23. −44. 2√335. 46. √5−127. 328. 109. 5310. 2311. 412. 413. 3√214. 52【解析】y=2√x2+4=√x2+4√x2+4,令t=√x2+4,则t≥2,因为y=t+1t在[2,+∞)上为增函数,所以当t=2时,y min=2+12=52,所以当且仅当x=0时,y min=52.15. 98【解析】因为z为x和y的等比中项,所以z2=xy.两边同时取以e为底的对数得,ln(z2)=ln(xy),即2lnz=lnx+lny.因为x,y,z>1,所以lnx,lny,lnz>0,所以lgz 4lgx +lgzlgy=lnx+lny8lgx+lnx+lny2lgy=18+18×lnylnx+12+12×lnxlny≥58+2√18×lnylnx×12×lnxlny=98.当且仅当y=x2时" = "号成立.所以最小值为98.16. 3【解析】提示:因为a>b>1,所以t=log a b<1,又因为2log a b+3log b a=7,所以2t+3t=7,解得t=12,或t=3(舍去),所以t=log a b=12,所以b2=a,所以a+1b2−1=a−1+1a−1+1≥2√(a−1)1a−1+1=3,当且仅当a−1=1a−1,即a=2且b=√2时,取等号.17. 3√22−1【解析】方法一:令x+12y=t.则2xy=2ty−1,代入已知等式,得(2ty−2)2=(5y+2)(y−2),整理得(4t2−5)y2+8(1−t)y+8=0.因为总存在正实数y使得等式成立,所以Δ=64(1−t)2−32(4t2−5)≥0,即2t2+4t−7≤0,解得−3√22−1≤t≤3√22−1.当t=3√22−1时,y=−8(1−t)2(4t2−5)=8+6√2为正值,所以x+12y 的最大值为3√22−1.方法二:由题意知(x−12y )2=(52+1y)(12−1y),整理得(x−12y)2+(1y+1)2=94.令x−12y =32cosα,1y+1=32sinα,其中α∈R,且x,y>0,所以12y =34sinα−12,x=32cosα+34sinα−12,所以x+12y =32cosα+32sinα−1≤3√22−1.即所求的最大值为3√22−1.18. (1)由题意知y=mkn=mk(ax+5),x∈N∗.(2)方法一:由题意知x=0.2a,所以P=mxy=xk(ax+5)=0.2ak(0.2a2+5)=ak(a2+25)≤a3(a2+25)=13(a+25a)≤3×2√a×25a=130<120.答:P不可能大于120.方法二:由题意知x=0.2a,所以P=mxy =xk(ax+5)=0.2ak(0.2a2+5)=ak(a2+25).假设P>120,得ka2−20a+25k<0.因为k≥3,所以Δ=100(4−k2)<0,不等式ka2−20a+25k<0无解.故P不可能大于120.答:P不可能大于120.。
一元二次不等式、均值不等式及线性规规划训练1、求解下列不等式(1)、23710x x -≤ (2)、2250x x -+-< (3)、2440x x -+-< (4)205x x -<+2、若不等式210x mx ++>的解集为R ,则m 的取值范围是( ) A .RB .()2,2-C .()(),22,-∞-+∞D .[]2,2-3、不等式()221200x ax a a --<<的解集是( )A .()3,4a a -B .()4,3a a -C .()3,4-D .()2,6a a 4、不等式220ax bx ++>的解集是1123x x ⎧⎫-<<⎨⎬⎩⎭,则a b -=( ) A .14- B .14 C .10- D .10二、填空题5、设()21f x x bx =++,且()()13f f =,则()0f x >的解集为 。
6、已知集合{}{}2|20,|3A x x x B x a x a =--≤=<<+,若A B φ⋂=,则实数a 的取值范围是7、利用()()00x a x a x b x b -<⇔--<-,可以求得不等式12x x->的解集为 。
8、使不等式2710124x x -+>成立的x 的取值范围是 。
三、解答题9、已知函数()252f x x x =-+,为使()426f x -<<的x 的取值范围。
10、已知不等式2230x x --<的解集为A ,不等式260x x +-<的解集为B ,求A B ⋂。
11、已知集合{}290x x A =-≤,{}2430x x x B =-+>,求A B ,A B .均值不等式练习一、选择题1.若实数b a ,满足2=+b a ,则b a 33+的最小值是( ) A.18 B.6 C.32 D.4324.设0,0>>b a ,若3是a 3与b 3的等比中项,则b a 11+的最小值为( ) A.8 B.4 C.1 D.415.若实数x,y 满足11122=+yx ,则222y x +有( ) A.最大值223+ B. 最小值223+ C. 最小值6 D.最小值6 9.已知正数b a ,满足304=+b a ,则使得ba 11+取得最小值的有序实数对),(b a 是( ) A.)10,5( B. )6,6( C. )2,7( D. )5,10(10.若14<<-x ,则2222)(2-+-=x x x x f 有( )A.最小值1B. 最大值1C. 最小值-1D.最大值-111.在ABC ∆中,A,B,C 分别为边c b a ,,所对的角,若c b a ,,成等差数列,则B ∠的范围是( ) A.40π≤<B B. 30π≤<B C. 20π≤<B D.ππ<<B 212.已知0,0≥≥b a ,且2=+b a ,则( ) A.21≤ab B. 21≥ab C. 222≥+b a D. 322≤+b a13.函数1)(+=x xx f 的最大值为( ) A.52 B. 21 C. 22 D. 1 线01=++ny mx 上,若0,0>>n m ,则nm 21+的最小值为 15.设12,0,022=+>>b a b a ,则21b a +的最大值为 1. 若,20<<x 求)36(x x y -=的最大值。
必考问题9 不等式及线性规划问题【真题体验】1.(2011·南京模拟)已知A ={x |1≤x ≤2},B ={x |x 2+2x +a ≥0},A 、B 的交集不是空集,则实数a 的取值范围是________.解析 若A ,B 的交集是空集时,即x 2+2x +a <0在1≤x ≤2上恒成立.令f (x )=x 2+2x +a ,因为对称轴为x =-1,所以y =f (x )在集合A 上递增,所以f (2)<0即可,所以a <-8,所以A ,B 的交集不是空集时,实数a 的取值范围是a ≥-8.答案 [-8,+∞)2.(2012·江苏,13)已知函数f (x )=x 2+ax +b (a ,b ∈R )的值域为[0,+∞),若关于x 的不等式f (x )<c 的解集为(m ,m +6),则实数c 的值为________.解析 由题意知f (x )=x 2+ax +b =⎝⎛⎭⎫x +a 22+b -a24. ∵f (x )的值域为[0,+∞),∴b -a 24=0,即b =a 24.∴f (x )=⎝⎛⎫x +a 22. 又∵f (x )<c ,∴⎝⎛⎭⎫x +a 22<c ,即-a 2-c <x <-a2+c . ∴⎩⎨⎧-a2-c =m , ①-a2+c =m +6. ②由②-①得2c =6,∴c =9.答案 93.(2012·江苏,14)已知正数a ,b ,c 满足:5c -3a ≤b ≤4c -a ,c ln b ≥a +c ln c ,则b a 的取值范围是________.解析 由题意知⎩⎪⎨⎪⎧a +b ≤4c ,3a +b ≥5c ,c ln b -a ≥c ln c ⇒b ≥c e ac .作出可行域(如图所示).由⎩⎪⎨⎪⎧a +b =4c ,3a +b =5c , 得a =c 2,b =72c .此时⎝⎛⎭⎫b a max =7. 由⎩⎪⎨⎪⎧a +b =4c ,b =c e ac , 得a =4c e +1,b =4c e e +1.此时⎝⎛⎭⎫b a min =4c ee +14c e +1=e.所以b a ∈[e,7]. 答案 [e,7]4.(2010·江苏,12)设实数x ,y 满足3≤xy 2≤8,4≤x 2y ≤9,则x 3y4的最大值是________.解析 根据不等式的基本性质求解.⎝⎛⎭⎫x 2y 2∈[16,81],1xy 2∈⎣⎡⎦⎤18,13, x 3y 4=⎝⎛⎭⎫x 2y 2·1xy 2∈[2,27],x 3y4的最大值是27. 答案275.(2012·南京模拟)已知变量x ,y 满足约束条件⎩⎪⎨⎪⎧x +y ≥2,x -y ≤1,y ≤2.则目标函数z =-2x +y的取值范围是________.解析 约束条件对应的可行域如图,由图可知,当目标函数经过图中点(3,2)时取得最小值-4,经过点(0,2)时,取得最大值2,所以取值范围是[-4,2].答案 [-4,2] 【高考定位】高考对本内容的考查主要有:(1)一元二次不等式是C 级要求,要求在初中所学二次函数的基础上,掌握二次函数、二次不等式、二次方程之间的联系和区别,可以单独考查,也可以与函数、方程等构成综合题;(2)线性规划的要求是A 级,理解二元一次不等式对应的平面区域,能够求线性目标函数在给定区域上的最值,同时对一次分式型函数、二次型函数的最值也要有所了解;(3)不等式作为一种重要工具,要理解不等式的性质、简单不等式的解法及含参数不等式的分类讨论等.【应对策略】对不等式的学习要立足基础,重在理解,加强训练,学会建模,培养能力,提高素质,具体要注意以下几点:(1)学习不等式性质时,要弄清条件与结论,要克服“想当然”和“显然成立”的思维定势,要以比较准则和实数运算法则为依据解决问题;(2)解决某些不等式时,要与函数定义域、值域、单调性联系起来,注重数形结合思想,解含参数不等式时要注意分类讨论思想;(3)要强化不等式的应用意识,同时要注意到不等式与函数和方程的对比与联系,充分利用函数与方程思想、数形结合处理不等式问题;(4)利用线性规划解决实际问题时,充分利用数形结合思想,会达到事半功倍的效果,因此要力求画图准确.必备知识1.一元二次不等式的求解步骤: 一变、二求、三画、四结论. 2.一元二次不等式恒成立的条件设f (x )=ax 2+bx +c (a ≠0),则ax 2+bx +c >0恒成立(解集为R )⇔y =f (x )图象恒在x 轴上方⇔f (x )min >0⇔⎩⎪⎨⎪⎧a >0,Δ=b 2-4ac <0.ax 2+bx +c <0恒成立(解集为R )⇔y =f (x )图象恒在x 轴下方⇔f (x )max <0⇔⎩⎪⎨⎪⎧a <0,Δ=b 2-4ac <0. 3.二元一次不等式表示的平面区域直线定界,特殊点定域.注意:边界的虚实线.必备方法1.三个“二次”的关系一元二次不等式解集的端点值是相应一元二次方程的根,也是相应的二次函数图象与x 轴交点的横坐标,即二次函数的零点.2.对于给定集合M 和给定含参数的不等式f (x )>0,求不等式中的参数的取值范围问题,要看清楚题目的要求,再相应求解,不妨“对号入座”:(1)若M 是f (x )>0的解集,则由M ={x |f (x )>0}来求; (2)若f (x )>0在M 上有解,则由M ∩{x |f (x )>0}≠∅来求; (3)若f (x )>0在M 上恒成立,则由M ⊆{x |f (x )>0}来求.3.简单的线性规划问题解题步骤:一画二移三算四答,充分挖掘目标对象的几何意义!通常与直线的纵截距、斜率,圆的半径或半径的平方有关.命题角度一 一元二次不等式[命题要点] ①简单一元二次不等式的解法;②含参数的一元二次不等式的解法. 【例1】► 解关于x 的不等式ax 2-(2a +1)x +2<0. [审题视点] [听课记录][审题视点] 不等式的左端可以先分解因式,然后根据a >0,a =0,a <0的情况和方程ax 2-(2a +1)x +2=0两个根的大小进行分类求解.解 不等式ax 2-(2a +1)x +2<0, 即(ax -1)(x -2)<0.(1)当a >0时,不等式可以化为⎝⎛⎭⎫x -1a (x -2)<0. ①若0<a <12,则1a >2,此时不等式的解集为⎝⎛⎭⎫2,1a ; ②若a =12,则不等式为(x -2)2<0,不等式的解集为∅;③若a >12,则1a <2,此时不等式的解集为⎝⎛⎭⎫1a ,2. (2)当a =0时,不等式即-x +2<0, 此时不等式的解集为(2,+∞).(3)当a <0时,不等式可以化为⎝⎛⎭⎫x -1a (x -2)>0. 由于1a <2,故不等式的解集为⎝⎛⎭⎫-∞,1a ∪(2,+∞). 综上所述,当a <0时,不等式的解集为⎝⎛⎭⎫-∞,1a ∪(2,+∞);当a =0时,不等式的解集为(2,+∞); 当0<a <12时,不等式的解集为⎝⎛⎭⎫2,1a ; 当a =12时,不等式的解集为∅;当a >12时,不等式的解集为⎝⎛⎭⎫1a ,2.含有参数的一元二次不等式在能通过因式分解求出对应方程根的情况下,按照本题的方法求解,但如果不能根据因式分解的方法求出其根,则需要按照不等式对应方程根的判别式的情况进行分类.【突破训练1】 已知关于x 的不等式ax -1x +1>0的解集是(-∞,-1)∪⎝⎛⎭⎫12,+∞,则a =________.解析 由题意,可得a ≠0,且不等式等价于a (x +1)·⎝⎛⎭⎫x -1a >0.由不等式解集的特点可得a >0且1a =12,故a =2.答案 2命题角度二 含参不等式恒成立问题[命题要点] 一元二次不等式有解、恒成立,求参数的取值范围.【例2】► (2012·镇江质量检测)不等式a 2+8b 2≥λb (a +b )对任意a ,b ∈R 恒成立,则实数λ的取值范围为________.[审题视点] [听课记录][审题视点] 不等式中有两个变量,可以先看成关于其中一个变量的一元二次不等式恒成立,再考虑另一个变量.解析 先将不等式整理为关于a 的一元二次不等式为a 2-λba +8b 2-λb 2≥0,对任意a ∈R 恒成立,所以λ2b 2-4(8b 2-λb 2)≤0,即(λ2+4λ-32)b 2≤0,对任意b ∈R 恒成立,则λ2+4λ-32≤0,解得-8≤λ≤4.答案 -8≤λ≤4 ,含有多变量的不等式是近年来考查热点,要将不等式逐个看成关于某一变量的不等式,其它变量先看作常数,这样可以逐步减少变量个数,同时要看清是恒成立还是有解.【突破训练2】 已知不等式ax 2+4x +a >1-2x 2对一切实数x 恒成立,求实数a 的取值范围.解 原不等式等价于(a +2)x 2+4x +a -1>0对一切实数恒成立,显然a =-2时,解集不是R ,因此a ≠-2,从而有⎩⎪⎨⎪⎧a +2>0,Δ=42-4(a +2)(a -1)<0, 整理,得⎩⎪⎨⎪⎧ a >-2,(a -2)(a +3)>0,所以⎩⎪⎨⎪⎧a >-2,a <-3,或a >2,所以a >2.故a 的取值范围是(2,+∞).命题角度三 线性规划问题[命题要点] 线性规划考题的新变化为:问题中的目标函数形式已不再局限为单一的、线性的,甚至有的问题隐含有线性规划知识,以上这些变化都可以通过适当的方法转化为较为基本的问题来解决.【例3】► (2012·苏锡常镇调研)设实数n ≤6,若不等式2xm +(2-x )n -8≥0对任意x ∈[-4,2]都成立,则m 4-n 4m 3n的最小值为________.[审题视点] [听课记录][审题视点] 先对题干中恒成立问题进行转化,得到关于m ,n 的关系式,再利用线性规划知识解决.解析 因为不等式2xm +(2-x )n -8≥0即为(2m -n )x ≥8-2n ,对任意x ∈[-4,2]都成立,所以⎩⎪⎨⎪⎧2(2m -n )≥8-2n -4(2m -n )≥8-2n ,所以m ,n 满足的不等式为⎩⎪⎨⎪⎧m ≥24m -3n +4≤0n ≤6,所以点(m ,n )对应的平面区域如图,n m 的几何意义是可行域上的点与原点的连线的斜率,所以nm ∈⎣⎡⎦⎤127,3,而目标函数m 4-n 4m 3n =m n -⎝⎛⎭⎫n m 3,令n m =t ∈⎣⎡⎦⎤127,3,则目标函数即为y =1t -t 3,其导数y ′=-1t 2-3t 2<0,所以函数y =1t -t 3在t ∈⎣⎡⎦⎤127,3上递减,故t =3时取得最小值-803. 答案 -803,线性规划是不等式的重要内容,与函数的综合是常见题型,一般方法是利用线性规划求出某个中间变量的取值范围,再利用换元法、导数等方法求最值.【突破训练3】 (2012·南师附中模拟)已知向量a =(x -z,1),b =(2,y -z ),且a ⊥b .若x ,y 满足不等式组⎩⎪⎨⎪⎧x -2y +2≥0,x +2y -2≥0,x ≤2,则z 的取值范围是________.解析 由a ⊥b 得2(x -z )+y -z =0⇒z =2x +y3,作出不等式组对应的平面区域如图,当目标函数y =-2x +3z 经过点(0,1)时,z 取得最小值13,经过点(2,2)时,z 取得最大值2,所以13≤z ≤2.答案 ⎣⎡⎦⎤13,29.解不等式要留意等号,画可行域要注意边界的虚实一、注意解不等式不能漏解【例1】► 不等式(x -4)x 2-3x -4≥0的解集是________.解析 当x 2-3x -4>0时,x -4≥0,解得x ≥4;当x 2-3x -4=0,即x =-1或4时,原不等式也成立,所以解集是{x |x ≥4或x =-1}.答案 {x |x ≥4或x =-1}老师叮咛:要考虑二次根式有意义的条件,当二次根式等于0时,则对x -4没有条件限制,所以要对根式是否为零进行讨论.否则,本题会出现下面的错误:因为\r(x 2-3x -4)≥0,所以x -4≥0,解得x ≥4,造成遗漏解的情况.二、注意可行域边界的虚实【例2】► 已知函数f (x )=ax 2+bx -1(a >0)的一个零点在区间(1,2)内,则a -b 的取值范围是________.解析 因为二次函数f (x )=ax 2+bx -1(a >0)开口向上,纵截距是-1,一个零点在区间(1,2)内,所以a ,b 满足不等式组⎩⎪⎨⎪⎧a >0f (1)=a +b -1<0f (2)=4a +2b -1>0,作出点(a ,b )对应的平面区域如图,由图可知,当目标函数过点(0,1)(不在区域内)时取得最小值-1(取不到),即a -b ∈(-1,+∞).答案 (-1,+∞)老师叮咛:画可行域要特别注意边界能否取到,当区域不包含边界时,取值范围中等号取不到,如果忽视这一点,容易在等号上出错.三、注意目标函数的几何意义,尤其是平方、开方之类的问题【例3】► 在平面直角坐标系xOy 中,设A 、B 、C 是圆x 2+y 2=1上相异三点,若存在正实数λ,μ,使得OC →=λOA →+μOB →,则λ2+(μ-3)2的取值范围是________.解析 由OC →=λOA →+μOB →两边平方得OC →2=(λOA →)2+(μOB →)2+2λμOA →·OB →,即为1=λ2+μ2+2λμcos 〈OA →,OB →〉,所以cos 〈OA →,OB →〉=1-λ2-μ22λμ∈(-1,1),又λ,μ∈(0,+∞),所以化简即得⎩⎪⎨⎪⎧λ+μ>1-1<λ-μ<1,作出可行域如图目标函数λ2+(μ-3)2的几何意义是区域上的点(λ,μ)到定点(0,3)的距离的平方,由点到直线的距离公式求得点(0,3)到λ-μ+1=0的距离为2,且取不到,故λ2+(μ-3)2的取值范围是(2,+∞).答案 (2,+∞)老师叮咛:对目标函数λ2+(μ-3)2的几何意义要理解正确,表示点(0,3)到λ-μ+1=0的距离的平方,如果忘记平方,就会出现(2,+∞)的错误,所以考虑问题要细心.。
专题7-1线性规划归类【题型一】三大基础题型:截距,斜率与距离(圆系)【典例分析】若实数x ,y 满足{x ≤4y ≤33x +4y ≥12,则x 2+y 2的取值范围是___【提分秘籍】基本规律1.线性,注意Z 与截距之间的正反比例关系,如变式22.斜率型,要写层标准的斜率公式形式,如变式13.距离型,注意圆与直线(线段)的位置关系:点到线的垂直关系还是点到点的关系,如典例分析【变式演练】1.设,x y 满足约束条件20{230 0x y x y x y --≤-+≥+≤,则46y x ++的取值范围是 ( ) A. []4,1- B. 33,7⎡⎤-⎢⎥⎣⎦C. (][),31,-∞-⋃+∞D. []3,1-2.若实数x ,y 满足约束条件{x ≥2,x +y ≤6,x −y ≤0,则目标函数z =2x −3y 的最大值是__________.3.设点(),Px y 是平面区域0{10 220x x y x y ≤++≤++≥内的任意一点,则224x y x +-的最小值为 A. 12 B. 1 C. 92D. 5【题型二】 由参数确定图像形状【典例分析】若不等式组0220x y x y y x y a -≥⎧⎪+≤⎪⎨≥⎪⎪+≤⎩,表示的平面区域是一个三角形区域,则a 的取值范围是( )A.43a ≥B.01a <≤C.413a ≤≤ D.01a <≤或43a ≥【提分秘籍】基本规律分类讨论,动图研究【变式演练】1.设不等式组4,0,10,x y y x x +≤⎧⎪-≥⎨⎪-≥⎩表示的平面区域为D ,若圆222:(1)(1)(0)C x y r r +++=>不经过区域D 上的点,则r 的取值范围是A .22,25⎡⎣B .(22,32]C .(22,25]D .(0,22)(25,)+∞2.不等式组表示的是一个对称四边形围成的区域,则 .3.已知圆的方程为224x y +=,P 是圆O 上的一个动点,若OP 的垂直平分线总是被平面区域||||x y a +≥覆盖,则实数a 的取值范围是( ) A .1a ≥B .1a ≤C .01a <≤D .0a ≤【题型三】 含参线性规划【典例分析】给出平面区域如图所示,其中A (1,1),B (2,5),C (4,3),若使目标函数(0)Z ax y a =->取得最大值的最优解有无穷多个,则a 的值是A .B .1C .4D .【提分秘籍】基本规律含参型,注意区分参数所在位置而采取的不同处理方法。
高2015级高二下期线性规划和不等式集训试题
3月2日星期天下午2:30高二十班教室(带必修5)
1、设变量x ,y 满足约束条件22024010x y x y x +-≥⎧⎪
-+≥⎨⎪-≤⎩
,则目标函数32z x y =-的最小值为( )
A .6-
B .4-
C .2
D . 答案:B
2、设变量y x ,满足约束条件⎪⎩
⎪
⎨⎧≤-≥+-≥-+01042022x y x y x ,则目标函数x y z 32-=的最大值为( )
A .-3
B .2
C .4
D .5
【答案】C
3、点(x ,y )满足⎩⎨⎧
x +y -1≥0,
x -y +1≥0,
x ≤a ,
若目标函数z =x -2y 的最大值为1,则实数a 的值是
( )
A .1
B .-1
C .-3
D .3
选A 由题意可知,目标函数经过点(a,1-a )时达到最大值1,即a -2(1-a )=1,解得a =1.
C 5、设0,0
x y x y +≥⎧⎨
-≥⎩与抛物线2
4y x =-的准线围成的三角形区域(包含边界)为D ,)
,(y x P 为D 的一个动点,则目标函数2z x y =-的最大值为( )
A. 1-
B. 0
C. 2
D. 3
6、若不等式组0
3434
x x y x y ≥⎧⎪+≥⎨
⎪+≤⎩,
所表示的平面区域被直线4
3y kx =+ 分为面积相等的两部分,则k 的值是( B )A 、73 B 、37 C 、43 D 、3
4
7、已知2z x y =+,x y ,满足2y x
x y x m ≥⎧⎪
+≤⎨⎪≥⎩
,且z 的最大值是最小值的4倍,则m 的值是
( )
A .
14
B .
15
C .
16 D .17
考点:简单线性规划
8、已知变量x,y 满足约束条件221x y x y x +≤⎧⎪
-≤⎨⎪≥⎩
,若2x y a +≥恒成立,则实数a 的取值围为
( )
A .(-∞,-1]
B .(-∞,2]
C .(-∞,3]
D .[-1,3]
【答案】A
9、已知点()y x P ,的坐标满足条件⎪⎩
⎪⎨⎧>-+≤≤0222
1y x y x ,那么()22
1y x ++的取值围为( ) A. []8,2 B. (]8,2 C. ⎥⎦⎤⎢⎣⎡8,516 D. ⎥⎦
⎤
⎝⎛8,516
10、如果实数,x y满足不等式组
1,
10,
220,
x
x y
x y
≥
⎧
⎪
-+≤
⎨
⎪--≤
⎩
则22
x y
+的最小值是( )
A.25 B.5 C.4 D.1
【答案】B
11、在平面区域01,
01
x
y
≤≤
⎧
⎨
≤≤
⎩
任取一点(,)
P x y,若(,)
x y满足2x y b
+≤的概率大于1
4
,则b的取值围是( )
(A)(,2)
-∞(B)(0,2)(C)(1,3)(D)(1,)
+∞
【答案】D
【解析】
12、设R
∈
n
m,,若直线0
1
:=
-
+ny
mx
l与x轴相交于点A,与y轴相交于点B,且坐标原点O到直线的距离为3,则AOB
∆的面积S的最小值为( )
A.
2
1 B.
2 C.
3 D.4
二、填空题
13、已知点(3,3)A ,O 为坐标原点,点(,)P x y 满足303200
x y x y y ⎧-≤⎪⎪
-+≥⎨⎪≥⎪⎩
,则||OA OP Z OA ⋅=的最
大值是___________
【答案】3
14、若在区域34000x y y x +-≤⎧⎪≥⎨⎪≥⎩
任取一点P ,则点P 落在单位圆22
1x y +=的概率是_______
答案:
15、在圆22(2)(2)4x y -+-=任取一点,则该点恰好在区域2502303x y x y x +-≥⎧⎪
-+≥⎨⎪≤⎩
的概率为__
_
答案:1
2π
16、设x 、y 满足约束条件⎪⎪⎩⎪
⎪⎨⎧≥≥≤--≥+-0
004402y x y x y x ,若目标函数)0,0(>>+=b a by ax z 的最大
值为6的最小值为 .
答案:2
17、已知函数)2ln()(2++=x x x f 满足f(2-a)=f(b),a>0,b>0.则b
a 11+ 的最小值为 。
18、若直线()200,0ax by a b -+=>>被圆222410x y x y ++-+=截得的弦长为
4,则
11
a b
+的最小值是 。
19、)若正数x ,y 满足x +3y =5xy ,则3x +4y 的最小值是___)5 _____
20、设D 为不等式组⎩⎨⎧
x ≥0,
2x -y ≤0,
x +y -3≤0
所表示的平面区域,区域D 上的点与点(1,0)之间
的距离的最小值为________
.解析:作出可行域,如图中阴影部分所示,则根据图形可知,点B (1,0)到直线2x -y =0的距离最小,d =|2×1-0|22+1
=255,故最小距离为25
5.
21、在平面直角坐标系xOy 中,M 为不等式组⎩⎨⎧
2x -y -2≥0,
x +2y -1≥0,
3x +y -8≤0
所表示的区域上一
动点,则直线OM 斜率的最小值为________.
(2)(2013·北京改编)设关于x 、y 的不等式组⎩⎨⎧
2x -y +1>0,
x +m <0,
y -m >0
表示的平面区域存在
点P (x 0,y 0),满足x 0-2y 0=2,求得m 的取值围是________.
答案 (1)-13 (2)⎝
⎛
⎭⎪⎫-∞,-23
解析(1)由
⎩
⎨
⎧x+2y-1=0,
3x+y-8=0
得A(3,-1).
此时线OM的斜率最小,且为-
1
3.
(2)当m≥0时,若平面区域存在,则平面区域的点在第二象限,平面区域不可能存在
点P(x0,y0)满足x0-2y0=2,因此m<0.
如图所示的阴影部分为不等式组表示的平面区域.
要使可行域包含y=
1
2
x-1上的点,只需可行域边界点(-m,
m)在直线y=
1
2
x-1的下方即可,即m<-
1
2
m-1,解得
22、已知点A(2,-2),点P(x,y)在
⎩
⎨
⎧x-y+1≥0,
x+y+1≥0,
2x-y-1≤0
所表示的平面区域,则OP→在OA→方向上投影的取值围是________.
答案[-
2
2,
2
2]
解析不等式组表示的平面区域,如图所示:
由向量投影的几何意义知,当点P与点D重合时投影最大,当点P与点B或点C重合时投影最小.
又C(-1,0),D(0,-1),
∴OC→=(-1,0),OD→=(0,-1),
∴OD→在OA→方向上的投影为
OD→·OA→
|OA→|
=
2
2,
OC →在OA →
方向上的投影为
OC →·OA
→
|OA →|
=-
22
, 故OP →在OA →
方向上投影的取值围是[-22,22
]. 23、已知变量x ,y 满足约束条件⎩⎨⎧
x -2y +3≥0,x -3y +3≤0,
y -1≤0,
若目标函数z =y -ax 仅在点(-3,0)
处取到最大值,则实数a 的取值围为________.
答案 ⎝ ⎛⎭
⎪⎫12,+∞
解析 如图所示,在坐标平面画出不等式组表示的平面区域 及直线y -ax =0,要使目标函数z =y -ax 仅在点(-3,0)处取到
最大值(即直线z =y -ax 仅当经过该平面区域的点(-3,0)时, 在y 轴上的截距达到最大), 结合图形可知a >12
.
24. 已知实数x ,y 满足⎩⎨⎧
y ≥0,
y -x +1≤0,
y -2x +4≥0,
若z =y -ax 取得最大值时的最优解(x ,y )有
无数个,则a 的值为________. 答案 1
25、将一个质点随机投放在关于,x y 的不等式组3419,1,1x y x y +≤⎧⎪
≥⎨⎪≥⎩
所构成的三角形区域,则该
质点到此三角形的三个顶点的距离均不小于1的概率是 .
考点:1.简单的线性规划;2.几何概。