《线性代数(经管类)》综合测验题库
- 格式:doc
- 大小:584.00 KB
- 文档页数:53
全国2013年10月高等教育自学考试线性代数(经管类)试题课程代码:04184请考生按规定用笔将所有试题的答案涂、写在答题纸上。
说明:在本卷中,A T 表示矩阵A 的转置矩阵,A *表示矩阵A 的伴随矩阵,E 是单位矩阵,|A |表示方阵A 的行列式,r(A )表示矩阵A 的秩.选择题部分注意事项:1. 答题前,考生务必将自己的考试课程名称、姓名、准考证号用黑色字迹的签字笔或钢笔填写在答题纸规定的位置上。
2. 每小题选出答案后,用2B 铅笔把答题纸上对应题目的答案标号涂黑。
如需改动,用橡皮擦干净后,再选涂其他答案标号。
不能答在试题卷上。
一、单项选择题(本大题共5小题,每小题1分,共5分)在每小题列出的四个备选项中只有一个是符合题目要求的,请将其选出并将“答题纸”的相应代码涂黑。
错涂、多涂或未涂均无分。
1.设行列式1122a b a b =1,1122a c a c =-2,则111222a b c a b c ++=A .-3B .-1C .1D .32.设矩阵A =1001021003⎛⎫ ⎪⎪⎪ ⎪ ⎪ ⎪ ⎪⎝⎭,则A -1= A .001020300⎛⎫ ⎪ ⎪ ⎪⎝⎭B .100020003⎛⎫⎪ ⎪ ⎪⎝⎭C .300020001⎛⎫ ⎪ ⎪ ⎪⎝⎭D .003020100⎛⎫ ⎪ ⎪ ⎪⎝⎭3.设A 为m ×n 矩阵,A 的秩为r ,则 A .r =m 时,Ax =0必有非零解B .r =n 时,Ax =0必有非零解C .r<m 时,Ax =0必有非零解D .r<n 时,Ax =0必有非零解4.设4阶矩阵A 的元素均为3,则r(A )= A .1 B .2 C .3D .45.设1为3阶实对称矩阵A 的2重特征值,则A 的属于1的线性无关的特征向量个数为 A .0 B .1 C .2D .3非选择题部分注意事项:用黑色字迹的签字笔或钢笔将答案写在答题纸上,不能答在试题卷上。
《线性代数(经管类)》综合测验题库一、单项选择题1.下列条件不能保证n阶实对称阵A为正定的是( )正定没有负的特征值的正惯性指数等于n合同于单位阵2.二次型f(x1,x2,x3)= x12+ x22+x32+2x1x2+2x1x3+2x2x3,下列说法正确的是( )A.是正定的B.其矩阵可逆C.其秩为1D.其秩为23.设f=X T AX,g=X T BX是两个n元正定二次型,则( )未必是正定二次型。
(A+B)X4.设A,B为正定阵,则( ),A+B都正定正定,A+B非正定非正定,A+B正定不一定正定,A+B正定5.二次型f=x T Ax经过满秩线性变换x=Py可化为二次型y T By,则矩阵A与B( )A.一定合同B.一定相似C.即相似又合同D.即不相似也不合同6.实对称矩阵A的秩等于r,又它有t个正特征值,则它的符号差为( )7.设(x1,x2,x3)= x12-2x1x2+4x32对应的矩阵是( )9.设A是n阶矩阵,C是n阶正交阵,且B=C T AC,则下述结论( )不成立。
与B相似与B等价与B有相同的特征值与B有相同的特征向量10.下列命题错误的是( )A.属于不同特征值的特征向量必线性无关B.属于同一特征值的特征向量必线性相关C.相似矩阵必有相同的特征值D.特征值相同的矩阵未必相似11.下列矩阵必相似于对角矩阵的是( )12.已知矩阵有一个特征值为0,则( )==1==013.已知3阶矩阵A的特征值为1,2,3,则|A-4E|=( )14.已知f(x)=x2+x+1方阵A的特征值1,0,-1,则f(A)的特征值为( ) ,1,1,-1,-2,1,-1,0,115.设A的特征值为1,-1,向量α是属于1的特征向量,β是属于-1的特征向量,则下列论断正确的是( )A.α和β线性无关B.α+β是A的特征向量C.α与β线性相关D.α与β必正交16.设α是矩阵A对应于特征值λ的特征向量,P为可逆矩阵,则下列向量中( )是P-1AP对应于λ的特征向量。
第一章 行列式一、填空题1、确定排列21354的奇偶性 .(奇排列/偶排列)2、设一排列为67345218,则其逆序数为 .3、按自然数从小到大为标准次序,排列1352746的逆序数为 .4、在5阶行列式ij a 的展开式中含4213355421a a a a a 项前面是 .(正号或负号).5、按自然数从小到大为标准次序,排列12345的逆序数为 .6、排列7623451的逆序数是 .7、设123045006D ,则D . 8、 若1112132122233132331a a a a a a a a a ,则11121321222331323333=3a a a a a a a a a .9、若122211211 a a a a ,则 10053383322211211a a a a .10、若122211211 a a a a ,则 160030322211211a a a a .11、设3521110513132413D ,其 ,i j 元的代数余子式为ij A ,则2122232433A A A A .12、设行列式1234532011111112140354321 D ,其 ,i j 元的代数余子式为ij A ,则4544434241A A A A A .13、三阶行列式221342中元素4的代数余子式32A .二、选择题1、n 阶行列式12 n的值为 . (A) !n (B) !n (C) !)1(n n (D) !)1(2)1(n n n2、若1112132122233132331a a a a a a a a a ,则111213212223313233333a a a a a a a a a = . (A) 1 (B) 0 (C) 3 (D) 33、设3512()1,12x f x xx bx x则b . (A) 5 (B) -5 (C) 1 (D) -14、已知333231232221131211a a a a a a a a a =3,那么333231232221131211222222a a a a a a a a a = . (A) -24(B) -12 (C) -6 (D) 12三、综合题1. 计算行列式n a b bb b a b b D b ba b. 2、求解方程0111111111111 x x x x .3、计算4阶行列式101111011110. 4、计算4阶行列式3111131111311113 . 5、计算行列式0333303333033330的值. 6、计算行列式dc b a 100110011001. 7、计算4阶行列式101124412111201121 .8. 行列式1578111120963437D ,求1424445A A A (其中4i A 为第i 行第4列元素的代数余子式)9. 计算行列式2341341241231234. 10、计算4阶行列式3253344761010206415.11、计算四阶行列式142116531321 . 12、计算四阶行列式1111110513132413D .。
线性代数试题及答案 TTA standardization office【TTA 5AB- TTAK 08- TTA 2C】04184线性代数(经管类)2一、二、单选题1、A:-3 B:-1C:1 D:3做题结果:A 参考答案:D2、A:abcd B:dC:6 D:0做题结果:A 参考答案:D3、A:18 B:15C:12 D:24做题结果:A 参考答案:B4、A:-3 B:-1C:1 D:3做题结果:A 参考答案:D6、A:18 B:15C:12 D:24做题结果:A 参考答案:B20、A:k-1 B:kC:1 D:k+1做题结果:A 参考答案:B21、行列式D如果按照第n列展开是【】A.,B.,C.做题结果:A22、关于n个方程的n元齐次线性方程组的克拉默法则,说法正确的是【】A:如果行列式不等于0,则方程组必有无穷多解B:如果行列式不等于0,则方程组只有零解C:如果行列式等于0,则方程组必有唯一解D:如果行列式等于0,则方程组必有零解做题结果:A 参考答案:B23、已知三阶行列D中的第二列元素依次为1、2、3,它们的余子式分别为-1、1、2,则D的值为。
【】A:-3 B:-7C:3 D:7做题结果:A 参考答案:A24、A:0 B:1C:-2 D:2做题结果:A 参考答案:C25、A:abcd B:dC:6 D:0做题结果:A 参考答案:D26、A:a≠2 B:a≠0C:a≠2或a≠0 D:a≠2且a≠0做题结果:A 参考答案:D27、A.,B.,C.,D.做题结果:B 参考答案:B28、A:-2|A| B:16|A|C:2|A| D:|A|做题结果:A 参考答案:B29、下面结论正确的是【】A:含有零元素的矩阵是零矩阵B:零矩阵都是方阵C:所有元素都是零的矩阵是零矩阵D:若A,B都是零矩阵,则A=B做题结果:A 参考答案:C30、设A是n阶方程,λ为实数,下列各式成立的是【】C.,D.做题结果:C 参考答案:C31、A.,B.,C.,D.做题结果:B 参考答案:B 32、设A是4×5矩阵,r(A)=3,则▁▁▁▁▁。
《线性代数(经管类)》综合测验题库一、单项选择题1.下列条件不能保证n阶实对称阵A为正定的是( )A.A-1正定B.A没有负的特征值C.A的正惯性指数等于nD.A合同于单位阵2.二次型f(x1,x2,x3)= x12+ x22+x32+2x1x2+2x1x3+2x2x3,下列说确的是( )A.是正定的B.其矩阵可逆C.其秩为1D.其秩为23.设f=X T AX,g=X T BX是两个n元正定二次型,则( )未必是正定二次型。
A.X T(A+B)XB.X T A-1XC.X T B-1XD.X T ABX4.设A,B为正定阵,则( )A.AB,A+B都正定B.AB正定,A+B非正定C.AB非正定,A+B正定D.AB不一定正定,A+B正定5.二次型f=x T Ax经过满秩线性变换x=Py可化为二次型y T By,则矩阵A与B( )A.一定合同B.一定相似C.即相似又合同D.即不相似也不合同6.实对称矩阵A的秩等于r,又它有t个正特征值,则它的符号差为( )A.rB.t-rC.2t-rD.r-t7.设8.f(x1,x2,x3)= x12-2x1x2+4x32对应的矩阵是( )9.设A是n阶矩阵,C是n阶正交阵,且B=C T AC,则下述结论( )不成立。
A.A与B相似B.A与B等价C.A与B有相同的特征值D.A与B有相同的特征向量10.下列命题错误的是( )A.属于不同特征值的特征向量必线性无关B.属于同一特征值的特征向量必线性相关C.相似矩阵必有相同的特征值D.特征值相同的矩阵未必相似11.下列矩阵必相似于对角矩阵的是( )12.已知矩阵有一个特征值为0,则( )A.x=2.5B.x=1C.x=-2.5D.x=013.已知3阶矩阵A的特征值为1,2,3,则|A-4E|=( )A.2B.-6C.6D.2414.已知f(x)=x2+x+1方阵A的特征值1,0,-1,则f(A)的特征值为( )A.3,1,1B.2,-1,-2C.3,1,-1D.3,0,115.设A的特征值为1,-1,向量α是属于1的特征向量,β是属于-1的特征向量,则下列论断正确的是( )A.α和β线性无关B.α+β是A的特征向量C.α与β线性相关D.α与β必正交16.设α是矩阵A对应于特征值λ的特征向量,P为可逆矩阵,则下列向量中( )是P-1AP对应于λ的特征向量。
高等教育自学考试线性代数(经管类)试题答案一、单项选择题(本大题共10小题,每小题2分,共20分)1.3阶行列式011101110||---=ij a 中元素21a 的代数余子式=21A ( C )A .2-B .1-C .1D .22.设矩阵⎪⎪⎭⎫ ⎝⎛=22211211a aa a A ,⎪⎪⎭⎫ ⎝⎛++=121112221121a a a a a a B ,⎪⎪⎭⎫ ⎝⎛=01101P ,⎪⎪⎭⎫⎝⎛=11012P ,则必有( A ) A .B A P P =21B .B A P P =12C .B P AP =21D .B P AP =123.设n 阶可逆矩阵A 、B 、C 满足E ABC =,则=B ( D )A .11--C AB .11--A CC .ACD .CA4.设3阶矩阵⎪⎪⎪⎭⎫⎝⎛=000100A ,则2A 的秩为(B )A .0B .1C .2D .343214321法惟一,则向量组4321,,,αααα的秩为( C ) A .1B .2C .3D .44321A .必有一个向量可以表为其余向量的线性组合B .必有两个向量可以表为其余向量的线性组合C .必有三个向量可以表为其余向量的线性组合D .每一个向量都可以表为其余向量的线性组合7.设321,,ααα是齐次线性方程组0=Ax 的一个基础解系,则下列解向量组中,可以作为该方程组基础解系的是( B ) A .2121,,αααα+ B .133221,,αααααα+++ C .2121,,αααα-D .133221,,αααααα---8.若2阶矩阵A 相似于矩阵⎪⎪⎭⎫⎝⎛-=3202B ,E 为2阶单位矩阵,则与矩阵A E -相似的矩阵是( C )A .⎪⎪⎭⎫⎝⎛4101B .⎪⎪⎭⎫⎝⎛--4101C .⎪⎪⎭⎫⎝⎛--4201D .⎪⎪⎭⎫⎝⎛---42019.设实对称矩阵⎪⎪⎪⎭⎝--=120240A ,则3元二次型Ax x x x x f T =),,(321的规范形为( D )A .232221z z z ++B .232221z z z -+C .2221z z +D .2221z z -ij A .0B .1C .2D .3二、填空题(本大题共10小题,每小题2分,共20分)11.已知3阶行列式696364232333231232221131211=a a a a a a a a a ,则=333231232221131211a a a a a a a a a _______________.3=3D _______________.13.设⎪⎪⎭⎫ ⎝⎛-=01A ,则=+-E A A 22_______________.14.设A 为2阶矩阵,将A 的第2列的(2-)倍加到第1列得到矩阵B .若⎪⎪⎭⎫⎝⎛=4321B ,则=A _______________.15.设3阶矩阵⎪⎪⎪⎭⎫⎝⎛=333220A ,则=-1A _______________.16.设向量组)1,1,(1a =α,)1,2,1(2-=α,)2,1,1(3-=α线性相关,则数=a ___________.17.已知x )1,0,1(1-=,x )5,4,3(2=是3元非齐次线性方程组b Ax =的两个解向量,则对应齐次线性方程组0=Ax 有一个非零解向量=ξ_______________. 18.设2阶实对称矩阵A 的特征值为2,1,它们对应的特征向量分别为)1,1(1=α,T k ),1(2=α,则数=k ______________.20.二次型3221321)()(),,(x x x x x x x f -+-=的矩阵=A _______________.21.已知3阶行列式=||ij a 4150231-x x 中元素12a 的代数余子式812=A ,求元素21a 的代数余子式21A 的值. 解:由8445012=-=-=x x A ,得2-=x ,所以5)38(413221=+--=---=A .22.已知矩阵⎪⎪⎭⎫ ⎝⎛--=0111A ,⎪⎪⎭⎫⎝⎛-=2011B ,矩阵X 满足X B AX =+,求X .解:由X B AX =+,得B X A E =-)(,于是⎪⎪⎭⎫ ⎝⎛-=⎪⎪⎭⎫ ⎝⎛-=⎪⎪⎭⎫ ⎝⎛-⎪⎪⎭⎫ ⎝⎛-=⎪⎪⎭⎫ ⎝⎛-⎪⎪⎭⎫ ⎝⎛-=-=--13/113/1313131201121113120111112)(11B A E X .23.求向量组T )3,1,1,1(1=α,T )1,5,3,1(2--=α,T )4,1,2,3(3-=α,T )2,10,6,2(4--=α的一个极大无关组,并将向量组中的其余向量用该极大无关组线性表出.解:⎪⎪⎪⎪⎪⎭⎫ ⎝⎛-----24131015162312311→⎪⎪⎪⎪⎪⎭⎫ ⎝⎛-------85401246041202311→⎪⎪⎪⎪⎪⎭⎫⎝⎛-------0700070041202311 →⎪⎪⎪⎪⎪⎭⎫ ⎝⎛------0000070041202311→⎪⎪⎪⎪⎪⎭⎫ ⎝⎛-----0000010041202311→⎪⎪⎪⎪⎪⎭⎫⎝⎛----0000010040202011 →⎪⎪⎪⎪⎪⎭⎫⎝⎛--0000010020102011→⎪⎪⎪⎪⎪⎭⎫ ⎝⎛000001002010001, 321,,ααα是一个极大线性无关组,=4α321020ααα⋅++⋅.24.设3元齐次线性方程组⎪⎩⎪⎨⎧=++=++=++000321321321ax x x x ax x x x ax ,(1)确定当a 为何值时,方程组有非零解;(2)当方程组有非零解时,求出它的基础解系和全部解.解:(1)100010111)2(1111111)2(1212112111111||--+=+=+++==a a a a a a a a a a a a a a A2)1)(2(-+=a a ,2-=a 或1=a 时,方程组有非零解;(2)2-=a 时,⎪⎪⎪⎭⎫ ⎝⎛--→000330211A ⎪⎪⎪⎭⎫ ⎝⎛--→000110211⎪⎪⎪⎭⎫ ⎝⎛--→000110101,⎪⎩⎪⎨⎧===333231x x x x x x ,基础解系为⎪⎪⎪⎭⎫ ⎝⎛111,全部解为⎪⎪⎪⎭⎫⎝⎛111k ,k 为任意实数;1=a 时,⎪⎪⎪⎭⎫ ⎝⎛→000000111A ,⎪⎩⎪⎨⎧==--=3322321x x x x x x x ,基础解系为⎪⎪⎪⎭⎫ ⎝⎛-011,⎪⎪⎪⎭⎫⎝⎛-101,全部解为⎪⎪⎪⎭⎫⎝⎛-+⎪⎪⎪⎭⎫ ⎝⎛-10101121k k ,21,k k 为任意实数. 25.设矩阵⎪⎪⎪⎭⎫⎝⎛=504313102B ,(1)判定B 是否可与对角矩阵相似,说明理由;(2)若B 可与对角矩阵相似,求对角矩阵Λ和可逆矩阵P ,使Λ=-BP P 1.解:(1))67)(1(5412)1(504313102||2+--=-----=-------=-λλλλλλλλλλB E)6()1(2--=λλ,特征值121==λλ,63=λ.对于121==λλ,解齐次线性方程组0)(=-x B E λ:⎪⎪⎪⎭⎫ ⎝⎛→⎪⎪⎪⎭⎫ ⎝⎛------=-000000101404303101B E λ,⎪⎩⎪⎨⎧==-=332231x x x x x x ,基础解系为⎪⎪⎪⎭⎫⎝⎛=0101p ,⎪⎪⎪⎭⎫⎝⎛-=1012p ;对于63=λ,解齐次线性方程组0)(=-x B E λ:⎪⎪⎪⎭⎫ ⎝⎛--→⎪⎪⎪⎭⎫ ⎝⎛----=-0004/3104/101104353104B E λ,⎪⎪⎪⎩⎪⎪⎪⎨⎧===3332314341x x x x x x ,基础解系为⎪⎪⎪⎭⎫⎝⎛=14/34/13p .3阶矩阵B 有3个线性无关的特征向量,所以B 相似于对角阵;(2)令⎪⎪⎪⎭⎫ ⎝⎛=Λ600010001,⎪⎪⎪⎭⎫ ⎝⎛-=1104/3014/110P ,则P 是可逆矩阵,使得Λ=-BP P 1.26.设3元二次型3221232221321222),,(x x x x x x x x x x f --++=,求正交变换Py x =,将二次型化为标准形.解:二次型的矩阵为⎪⎪⎪⎭⎫⎝⎛----=110121011A .111121011111201110121011||--=--=---=-λλλλλλλλλλλλA E )3)(1(1101)3(101131001--=--=--=λλλλλλλλλ,特征值01=λ,12=λ,33=λ.对于01=λ,解齐次线性方程组0)(=-x A E λ:⎪⎪⎪⎭⎫ ⎝⎛--→⎪⎪⎪⎭⎫ ⎝⎛---=-000110101110121011A E λ,⎪⎩⎪⎨⎧===333231x x x x x x ,⎪⎪⎪⎭⎫ ⎝⎛=1111α,单位化为⎪⎪⎪⎪⎭⎫ ⎝⎛=3/13/13/11p ; 对于12=λ,解齐次线性方程组0)(=-x A E λ:⎪⎪⎪⎭⎫ ⎝⎛→⎪⎪⎪⎭⎫ ⎝⎛-=-000010101010111010A E λ,⎪⎩⎪⎨⎧==-=332310x x x x x ,⎪⎪⎪⎭⎫ ⎝⎛-=1012α,单位化为⎪⎪⎪⎪⎭⎫ ⎝⎛-=2/102/12p ; 对于33=λ,解齐次线性方程组0)(=-x A E λ:⎪⎪⎪⎭⎫ ⎝⎛-→⎪⎪⎪⎭⎫ ⎝⎛=-000210101210111012A E λ,⎪⎩⎪⎨⎧=-==3332312x x x x x x ,⎪⎪⎪⎭⎫⎝⎛-=1213α,单位化为⎪⎪⎪⎪⎭⎫⎝⎛-=6/16/26/13p .令⎪⎪⎪⎪⎭⎫⎝⎛--=6/12/13/16/203/16/12/13/1P ,则P 是正交矩阵,使得=AP P T ⎪⎪⎪⎭⎫ ⎝⎛300010000,经正交变换Py x =后,原二次型化为标准形23222130y y y f ++⋅=. 四、证明题(本题6分)27.已知A 是n 阶矩阵,且满足方程022=+A A ,证明A 的特征值只能是0或2-. 证:设λ是A 的特征值,则满足方程022=+λλ,只能是0=λ或2-=λ.。
1【单选题】已知是三阶可逆矩阵,则下列矩阵中与等价的是()。
A、B、C、D、您的答案:D参考答案:D纠错查看解析2【单选题】已知n阶可逆矩阵A、B、C满足ABC=E,则C=A、B-1A-1B、A-1B-1C、BAD、AB您的答案:A参考答案:A纠错查看解析3【单选题】多项式的常数项是().A、-14B、-7C、7D、14您的答案:D参考答案:D纠错查看解析4【单选题】设向量组下列向量中可以表为线性组合的是().A、B、C、D、您的答案:A参考答案:A纠错查看解析5【单选题】设是n阶可逆矩阵,下列等式中正确的是()A、B、C、D、您的答案:D参考答案:D纠错查看解析6【单选题】设A为二阶方阵,B为三阶方阵,且行列式|A|=2,|B|=-1,则行列式|A||B|=A、8B、-8C、2D、-2您的答案:B参考答案:B纠错查看解析7【单选题】设向量组可由向量组线性表出,下列结论中正确的是()。
A、若,则线性相关B、若线性无关,则C、若,则线性相关D、若线性无关,则您的答案:A参考答案:A纠错查看解析8【单选题】设行列式,则A 、B 、C 、D 、您的答案:C 参考答案:C纠错 查看解析9【单选题】若四阶实对称矩阵A 是正定矩阵,则A 的正惯性指数为A 、1B 、2C 、3D 、4您的答案:D 参考答案:D纠错 查看解析10【单选题】若向量级α1=(1,t+1,0),α2=(1,2,0),α3=(0,0,t-1)线性无关,则实数tA、t≠0B、t≠1C、t≠2D、t≠3您的答案:B参考答案:B纠错查看解析11【单选题】已知2阶行列式则A、﹣2B、﹣1C、1D、2您的答案:B参考答案:B纠错查看解析12【单选题】若矩阵中有一个阶子式等于零,且所有阶子式都不为零,则必有().A、B、C、D、您的答案:B参考答案:B纠错查看解析13【单选题】设矩阵,则A、B、C、D、您的答案:B参考答案:B纠错查看解析14【单选题】设阶矩阵满足,则()。
20XX年10月高等教育自学考试全国统一命题考试线性代数(经管类)试卷(课程代码 04184)一、单项选择题(本大题共10小题,每小题2分,共20分)在每小题列出的四个备选项中只有一个是符合题目要求的,请将其代码填写在题后的括号内。
错选、多选或未选均无分。
1.设3阶方阵A的行列式为2,则= 【】A.-1 B.-C. D.12.设,则方程的根的个数为【】A.0 B.1C.2 D.33.设A为n阶方阵,将A的第1列与第2列交换得到方阵B,若|A|≠|B|,则必有A.|A|=0 B.|A+B|≠0C.|A|≠0 D.|A-B|≠04. 设A、B是任意的n阶方阵,下列命题中正确的是【】A. B.C. D.5.设A= ,其中,则矩阵A的秩为【】A.0 B.1C.2 D.36.设6的阶方阵A的秩为4,则A的伴随矩阵的秩为【】A.0 B.2C.3 D.47.设向量a=(1,-2,3),与=(2,k,6)A.-10 B.-4C.4 D.108.已知线性方程组无解,则数a= 【】A.- B.0C. D.19.设3阶方阵A的特征多项式为,则|A|= 【】10.若3阶实对称矩阵A=( )是正定矩阵,则4的3个特征值可能为【】二、填空题(本大题共10小题,每小题2分,共20分)请在每小题的空格中填上正确答案。
错填、不填均无分。
11.设行列式D=,其第三行各元素的代数余子式之和为.12设A=,B=,则AB:.13设A是4x3矩阵且r(A)=2,B=,则r(AB).14.向量组(1,2),(2,3),(3,4)的秩为15设线性无关的向量组可由向量组线性表示,则r与s的关系为16.设方程组有非零解,且数,则= .17.设4元线性方程组Ax=b的三个解,已知,.则方程组的通解是.19.设矩阵有一个特征值=2,对应的特征向量为,则数20.设实二次型,已知A的特征值为-1,1,2,则该二次型的规范形为三、计算题(本大题共6小题,每小题9分,共54分)21.设矩阵,,其中口,均为3维列向量,且 |A|=18,|B|=2.求|A-B|.22.解矩阵方程23.设向量组,,问P为何值时,该向量组线性相关?并在此时求出它的秩和一个极大无关组.24.设3元线性方程组(1)确定当取何值时,方程组有惟一解、无解、有无穷多解?(2)当方程组有无穷多解时,求出该方程组的通解(要求用其一个特解和导出组的基础解系表示)25.已知2阶方阵A的特征值为,方阵.(1)求B的特征值;(2)求B的行列式.。
《线性代数(经管类)》综合测验题库一、单项选择题1.下列条件不能保证n阶实对称阵A为正定的是( ) 正定没有负的特征值的正惯性指数等于n 合同于单位阵2.二次型f(x1,x2,x3)= x12+ x22+x32+2x1x2+2x1x3+2x2x3,下列说法正确的是( )A.是正定的B.其矩阵可逆C.其秩为1D.其秩为23.设f=X T AX,g=X T BX是两个n元正定二次型,则( )未必是正定二次型。
(A+B)X4.设A,B为正定阵,则( ),A+B都正定正定,A+B非正定非正定,A+B正定不一定正定,A+B正定5.二次型f=x T Ax经过满秩线性变换x=Py可化为二次型y T By,则矩阵A与B( )A.一定合同B.一定相似C.即相似又合同D.即不相似也不合同6.实对称矩阵A的秩等于r,又它有t个正特征值,则它的符号差为( )7.设(x1,x2,x3)= x12-2x1x2+4x32对应的矩阵是( )9.设A是n阶矩阵,C是n阶正交阵,且B=C T AC,则下述结论( )不成立。
与B相似与B等价与B有相同的特征值与B有相同的特征向量10.下列命题错误的是( )A.属于不同特征值的特征向量必线性无关B.属于同一特征值的特征向量必线性相关C.相似矩阵必有相同的特征值D.特征值相同的矩阵未必相似11.下列矩阵必相似于对角矩阵的是( )12.已知矩阵有一个特征值为0,则( )==1==013.已知3阶矩阵A的特征值为1,2,3,则|A-4E|=( )14.已知f(x)=x2+x+1方阵A的特征值1,0,-1,则f(A)的特征值为( ),1,1,-1,-2,1,-1,0,115.设A的特征值为1,-1,向量α是属于1的特征向量,β是属于-1的特征向量,则下列论断正确的是( )A.α和β线性无关B.α+β是A的特征向量C.α与β线性相关D.α与β必正交16.设α是矩阵A对应于特征值λ的特征向量,P为可逆矩阵,则下列向量中( )是P-1AP对应于λ的特征向量。
线性代数(经管类)试题一. 单项选择题(本大题共10小题,每小题2分,共20分)2. 设/I, B , C 均为〃阶方阵,AB = BA, AC = CA f 贝 ij ABC = ( D ) A. ACBB. CABC. CBAD. BCAABC = (AB)C = (BA)C = B(AC) = B(CA) = BCA .3. 设/为3阶方阵,〃为4阶方阵,且|A|=1, |B|=-2,则行列式\\B\A\之值为(A ) A. -8B. -2C. 2D. 8||B|AH-2A|=(-2)3|A|=-8.%1I a \2°13、<a\\ %]2a\3仃0 0、‘1 0 o'4. A = 。
21 ^22 。
23 ,B =Cl2\% 22 a 23,P 二 0 3 0 ,Q = 3 1 0,则B= ( B )卫31 °32 °33/Z 31彳皎 C/33丿<0 0 b<o o i 丿A. PAB. APC. Q/\D. AQ(a \\%如、<1 0 0、仙1 3如 a \3'AP = a 2\ a 22 a 230 3 0 = a 2\ 3^22 a 23 =B.\a 3\ a n 。
33 >0 bk^31 3畋 。
33丿5. 已知力是一个3x4矩阵,下列命题中正确的是(C )A. 若矩阵力中所有3阶子式都为0,则秩G4)二2B. 若〃中存在2阶子式不为0,则秩(力)二2C. 若秩04)二2,则/I 中所有3阶子式都为0D. 若秩U )=2,则M 中所有2阶子式都不为0 6. 下列命题中错误的是(C )• • A.只含有1个零向量的向量组线性相关 B.由3个2维向量组成的向量组线性相关 C.由1个非零向量组成的向量组线性相关D. 2个成比例的向量组成的向量组线性相关7・已知向量组a^a 2.a 3线性无关,0线性相关,则(D )1.已知2阶行列式 A. m — nb\ + C]“2 a 2 +c 2a \ a2S b 2 B. n — mb 2b\D. - (m + /?)b\a2b\C ]C. m + nb2a 2 + c 2A. 必能由a2,a3,f3线性表出B. a2必能由a x.a3.0线性表出注:0]心2,%3是4|,02,%3,0的一个极大无关组.8. 设/!为加XH 矩阵,则方程组月尸0只有零解的充分必要条件是力的秩(D ) A.小于刃B.等于刃C.小于刀D.等于刀注:方程组Ax=O 有n 个未知量.9. 设力为可逆矩阵,则与力必有相同特征值的矩阵为(A ) A. "B. A 2C. A _,D. A*| AE-A 7H (AE-A)T \=\AE-A\f 所以力与屮有相同的特征值. 10. 二次型/(x p x 2,x 3) = x^ +X2 +X3 +2x^2的正惯性指数为(C ) A. 0B. 1C. 2D. 3/(x 1,x 2,x 3) = (x l +x 2)2+X3 =yf + 迟,正惯性指数为 2.二、填空题(本大题共10小题,每小题2分,共20分)了 = 30 — 24 = (9,3,—3,12)' -(6-2,0,4) =(3,5-3,8)7 . 14.设力为〃阶可逆矩阵,且\A\=-~,则| | A'1 |= n15.设力为〃阶矩阵,B 为n 阶非零矩阵,若B 的每一个列向量都是齐次线性方程组Ax=0的解,则11 •行列式的值为 _____________13.设a = (3,—l,0,2)T, 0 = (3,1,-1,4)7',若向量了 满足2a + y = 30,则卩二 2007 2008 2009 201016. _________________________________________________________________ 齐次线性方程组+兀2 +兀3 =°的基础解系所含解向量的个数为 ________________________________________12X| - x 2 + 3兀3 = 0基础解系所含解向量的个数为« - r = 3 - 2 = 1.17. ___________________________________________________________________ 设〃阶可逆矩阵力的一个特征值是-3,则矩阵必有一个特征值为 __________________________________________-2、0的特征值为4,1,-2 ,则数兀二0」20.二次型 /(X ),x 2,x 3) = -4x }x 2 +2兀]£ + 6X 2X 3的矩阵是 _______________-2 r 0 33 0,三、计算题(本大题共6小题,每小题9分,共54分)ab c 21.计算行列式a 2b 2c 2的值. a + a 3h + b 3c + c 3甘町有特征畤"1 -2 18.设矩阵-2 x、一2 0 由第1. 2列正交, 即它们的内积(d + b) = 0 ,-21 b c 解:D =a2b2c2a + cdb + b3c + c31 1 1=abc0 b-a c-a0 b2-a2 c2-a2a b c 1 1 1 a2 b2 c2= abc a b c a3b3 c39 cr b2 c2= abc b-a c-b2-a2c2-•a■a2=abc(b 一 a)(c - a)(c — b) •(2)注意到CB T = (1,2,3) 1 =13,所以34A 2= (B rC)(B rC) = B r(CB T )C = \3B T C = \3A = \3 1 2线性无关组,并用该极人线性无关组表示向量组屮的其余向量•<2>‘2 4 6、 解:(1) A = B rC =1 (1,2,3)= 12 32丿<3 6 9,己知矩阵 B = (2,1,3), C = (123),22. "2 1-1 1、<1 10 r<1 1 0 1 、 1 2 1 1 T1 211T0 1103 0 -3 13 0 -3 10 -3 -3 -210 1J<2 1 -1 1丿k 0 -1 -1 一1丿解:A = (a|,(^2 9 oc^, )—<1 1 0 1、<1 1 0 1、<1 0 -1 n0 1 1 00 1 1 00 1 1 0 0 0 0-20 0 0 10 0 0 10 0 一1丿<0 0 0 0丿<0 00 0>,向量组的秩为 关组,旳=-Q| +a 2 •3, a }.a 2,a 4是一个极大无"12 3、<-14 ] 24.已知矩阵人=0 1 2 ,B = 25<0 ° bU 一3丿(1) 求A"1; (2)解矩阵方程AX = B.=abc(b 一 d)(c — a) 求(1) A = B T C ; (2)23. 设向量组內=(2」,3」几勺=(120」几&3=(—1」厂3,0八勺=(1」丄1卩求向量组的秩及一个极人2 31 0 0、2 0 1 0 -3、 解:(1)(A,E) = 0 1 20 1 00 1 0 0 1 -2<00 10 010 0 1 0 0 1」Z\ /<1 0 0 1 -21、1 -21、0 1 0 0 1 -2 /T0 1-2■ 9<0 0 1 0 01丿0 01 ZX] + 2 兀2 + 3 兀3 = 42X 2 4- ax 3 = 2有惟一解?有无穷多解?并在有解时求出其解(在有2x t + 2X 2 + 3X 3 = 6"2 3 4、"2 0 4、 工3时,r(A,ft) = r(A) = 3,有惟一解,此时(A,b)->0 2 a 20 2 0 2<0 0 10; \<0 0 10; \ /0、a 的三个特征值分别为1,2,5,求正的常数曰的值及可逆矩阵",使 3丿‘1 0 0、P'XAP= 0 2 00 0 5丿2 0 03 a解:由 |A|= 0 3 67 =2=2(9-/)= ix2x5,得宀 4, a = 2.a 30 a 3<1 -2 1、<-1 4>‘-4 - 9)X=A~}B = 0 1 -225 =0 11<0 ° 1 丿<1 一3丿、1 -3,(2)2 3 4、有无穷多解,此时0 2 3 2<o 0 0 o>G = 3 时,r(A,b) = r(A) = 2< /?,‘1 0 0 2>‘1 00 2、0 2 3 20 1 3/2 1 <0 0 0 0丿<0 0 0 0? Z〔2厂0、通解为 1 + k -3/2< 1 >其中R 为任意常数.25•问日为何值时,线性方程组解:<1 2 3 4、234、<1 234(必)= 0 2 a 20 2a 20 2a 2<2 2 3 6丿-2 -3 -2丿\ 0 ci _ 3 0 丿‘1 0 0 2>‘1 0 0 2、0 2 0 20 1 0 1,0 0 1 0丿,0 0 1 0丿‘2 0 26.设矩阵0 3 (0 a无穷多解时,要求用一个特解和导出组的基础解系表示全部解)./° = 1 ;兀3 = °2 0 0、AE-A= 0 2-3 -2 ..0 -2 2-3丿对于人=1,解(/IE —A)兀=0:"-1 0 0、"1 0 0、%! =0 <0、AE-A =0 -2 -2 0 1 1 9 v x2 =-x3 ,取门=-1<0 -2 一2丿<0 0 ° 丿无3 = 兀3对于兄2=2,解(/i£—A)兀=0:r0 0 0、‘0 1 0、x\ =x\TAE-A =0-1-2 T0 0 1 X2 = 0 ,取#2 = 0<0 -2 -1;0 0, 兀3 =0O对于几3=5,解(征一心=0:厂3 00、厂1 0X| =0 ◎九E —A =0 2-2 —> 0 1 -1 兀2 =兀3,P3 = 1,0-2 2 丿<0 0 0 ;\X3 = X3<1>'0 10、"0 0、令P =("|, “2 ' “3)= -1 0 1 ,则P是可逆矩阵,使P~'AP =0 2 0<10 1; <0 0 5丿四、证明题(本题6分)27.设昇,B, A+B均为〃阶正交矩阵,证明(4 + 3)7 =4一】+3".证:J, B, A + B均为/?阶正交阵,则A r=A-!, B T =B~\ (4+B)7 =(A + B)T,所以(A + B)T =(A + B)T = A1^ + B T = A~l + B~l・。
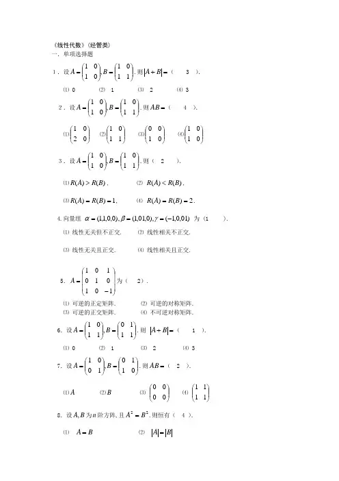
《线性代数》(经管类) 一.单项选择题 1.设⎪⎪⎭⎫⎝⎛=⎪⎪⎭⎫⎝⎛=1101,0101B A .则=+B A ( 3 ). ⑴ 0 ⑵ 1 ⑶ 2 ⑷ 32.设⎪⎪⎭⎫ ⎝⎛=⎪⎪⎭⎫ ⎝⎛=1101,0101B A .则=AB ( 4 ). ⑴⎪⎪⎭⎫ ⎝⎛0201 ⑵⎪⎪⎭⎫ ⎝⎛1101 ⑶⎪⎪⎭⎫ ⎝⎛0100 ⑷⎪⎪⎭⎫⎝⎛0101 3.设⎪⎪⎭⎫⎝⎛=⎪⎪⎭⎫ ⎝⎛=1101,0101B A .则( 2 ). ⑴)()(B R A R >, ⑵ )()(B R A R <, ⑶1)()(==B R A R , ⑷ 2)()(==B R A R .4.向量组 )01,0,1(),0,01,1(),0,0,1,1(-===γβα 为 (1 ). ⑴ 线性无关但不正交. ⑵ 线性相关不正交.⑶ 线性无关且正交. ⑷ 线性相关且正交.5.⎪⎪⎪⎭⎫ ⎝⎛-=101010101A 为( 2).⑴ 可逆的正定矩阵. ⑵ 可逆的对称矩阵.⑶ 可逆的正交矩阵. ⑷ 不可逆对称矩阵. 6.设⎪⎪⎭⎫⎝⎛=⎪⎪⎭⎫⎝⎛=1110,1101B A .则 =+B A ( 1 ). ⑴ 0 ⑵ 1 ⑶ 2 ⑷ 3 7.设⎪⎪⎭⎫ ⎝⎛=⎪⎪⎭⎫⎝⎛=0110,1001B A .则=AB ( 2 ). ⑴A ⑵B ⑶ ⎪⎪⎭⎫ ⎝⎛0000 ⑷ ⎪⎪⎭⎫⎝⎛11118.设B A ,为n 阶方阵,且22B A =.则恒有( 4 ).⑴ B A = ⑵ B A =⑶ O B A B A =-+))(( ⑷ B A ±=9. 如果对向量组m ααα,,,21 ,存在一组不全为零的数m k k k ,,,21 , 使得 011=++m m k k αα ,则( 1 ). (1)向量组m ααα,,,21 线性相关, (2)向量组m ααα,,,21 线性无关, (3)向量1α一定可由其余向量线性表示, (4) 向量1α一定不能由其余向量线性表示.10.设⎪⎪⎭⎫⎝⎛=⎪⎪⎭⎫⎝⎛=1010,0101B A .则B A -为( 3 ). ⑴ 正定矩阵, ⑵ 正交矩阵,⑶ 奇异矩阵, ⑷ 对称矩阵.二.填空题1.设⎪⎪⎪⎭⎫ ⎝⎛=003020100A ,则 =A ( -6).2.设⎪⎪⎭⎫ ⎝⎛=1011A ,则=2A ( ⎪⎪⎭⎫ ⎝⎛1021 ). 3.设向量组:()TTT1,0,1,)2,1,0(,)2,0,2(321-==-=→→→ααα.则其秩为( ( 2)).4.齐次线性方程组⎩⎨⎧=+=+004231x x x x 的一个基础解系为( ()()⎪⎩⎪⎨⎧-=-=T T1,0,1,00,1,0,121ξξ ).5.二次型23322124x x x x x f --=的矩阵A =( ⎪⎪⎪⎭⎫ ⎝⎛---110102020 ).6.六元排列625341的逆序数为( (11) ).7.设⎪⎪⎪⎪⎪⎭⎫⎝⎛=3501200031A ,则=-1A ( ⎪⎪⎪⎭⎫ ⎝⎛--=-2501300031A ).8.设T T T )1,1,1,1(,)5,4,3,2(,)4,3,2,1(321===ααα.则此向量组的一个最大无关组为( 21,αα ). 9.齐次线性方程组⎩⎨⎧=+-=++0z y x z y x 的基础解系为( T )1,0,1(-= ).10.方阵⎪⎪⎭⎫⎝⎛-=4121A 的特征值为((2;3) ).三.计算题1.计算四阶行列式:2003020000203002=D .20100002000020100152003020000205005-=-==D2.已知矩阵: ⎪⎪⎭⎫ ⎝⎛-=⎪⎪⎭⎫⎝⎛-=131241,231102B A ,而TB 是B 的转置矩阵. 试求:?)2(=-T B B A ⎪⎪⎭⎫ ⎝⎛--=⎪⎪⎪⎭⎫⎝⎛-⎪⎪⎭⎫ ⎝⎛--=-9211921123411333443)2(TB B A3.设矩阵⎪⎪⎪⎪⎭⎫⎝⎛--=3100011012A ,试求:1-A =?⎪⎪⎪⎭⎫⎝⎛=-3000210111A4.计算四阶行列式:4004030300224321=D1922110043104321965344004310432124332042204310432124100101010011432124-=---=---=---------==D5.求矩阵⎪⎪⎪⎪⎪⎪⎭⎫ ⎝⎛----=0321050713541420A 的秩. ⎪⎪⎪⎪⎪⎪⎭⎫⎝⎛--→⎪⎪⎪⎪⎪⎪⎭⎫⎝⎛------→⎪⎪⎪⎪⎪⎪⎭⎫ ⎝⎛----→0000001002105411050210231102105410321050713210541A ∴R (A )=36.试求非齐次线性方程组:⎪⎩⎪⎨⎧=--+=+-+=+-+12222412432143214321x x x x x x x x x x x x 的通解.()⎪⎪⎪⎭⎫⎝⎛-→⎪⎪⎪⎭⎫ ⎝⎛----==000000100010112111122122411112b A ,B⎪⎪⎩⎪⎪⎨⎧==++-==⇒⎩⎨⎧==-+012012433312114321x k x k k x k x x x x x四.综合题与证明题1.讨论非齐次线性方程组:⎪⎩⎪⎨⎧=++=+++=+++2132143214321x x x x x x x a x x x x1) 当a 取何值时无解;⎪⎪⎪⎭⎫ ⎝⎛--→⎪⎪⎪⎭⎫ ⎝⎛==300001100020111201111111101111)(a b A B2) 当a 取何值时有无穷多个解;并求其通解.3≠a 时无解;3=a 时有无穷多个解2.已知三阶方阵A 的伴随矩阵为*A ,而2=A .试求:*--A A 231.4)1(23123231-=-=-=-=-****-A A A A A A A3.设B A ,为n 阶方阵,如果A 与B 相似.证明: A 与B 的特征值相等. ∵ B AP P P B A =∃⇒≈--11,∴ E A P E A P P P AP P E B λλλλ-=-=-=----)(1114.已知:AX X A A =+⎪⎪⎪⎭⎫ ⎝⎛-=,001002121;求:?=X ⎪⎪⎪⎪⎪⎪⎭⎫⎝⎛-----=-=-313231323432313232)(1A E A X 5.已知二次型:2322212142ax x x ax x f +++=,(其中a 为常数). 1) 写出f 的A , 2) 求使A 正定的a 值的范围.5. 1)⎪⎪⎪⎭⎫ ⎝⎛=a a a A 000401;2)200)4(0422<<⇒⎪⎩⎪⎨⎧>->-a a a a 6.222222)(B AB A B BA AB A B A +-=+--=-6.设 BA AB =,证明:2222)(B AB A B A +-=-.。
《线性代数(经管类)》综合测验题库一、单项选择题1.下列条件不能保证n阶实对称阵A为正定的是()A.A-1正定B.A没有负的特征值C.A的正惯性指数等于nD.A合同于单位阵2.二次型f(x1,x2,x3)= x12+ x22+x32+2x1x2+2x1x3+2x2x3,下列说法正确的是()A.是正定的B.其矩阵可逆C.其秩为1D.其秩为23.设f=X T AX,g=X T BX是两个n元正定二次型,则()未必是正定二次型。
A.X T(A+B)XB.X T A-1XC.X T B-1XD.X T ABX4.设A,B为正定阵,则()A.AB,A+B都正定B.AB正定,A+B非正定C.AB非正定,A+B正定D.AB不一定正定,A+B正定5.二次型f=x T Ax经过满秩线性变换x=Py可化为二次型y T By,则矩阵A与B()A.一定合同B.一定相似C.即相似又合同D.即不相似也不合同6.实对称矩阵A的秩等于r,又它有t个正特征值,则它的符号差为()A.rB.t-rC.2t-rD.r-t7.设8.f(x1,x2,x3)= x12-2x1x2+4x32对应的矩阵是()9.设A是n阶矩阵,C是n阶正交阵,且B=C T AC,则下述结论()不成立。
A.A与B相似B.A与B等价C.A与B有相同的特征值D.A与B有相同的特征向量10.下列命题错误的是()A.属于不同特征值的特征向量必线性无关B.属于同一特征值的特征向量必线性相关C.相似矩阵必有相同的特征值D.特征值相同的矩阵未必相似11.下列矩阵必相似于对角矩阵的是()12.已知矩阵有一个特征值为0,则()A.x=2.5B.x=1C.x=-2.5D.x=013.已知3阶矩阵A的特征值为1,2,3,则|A-4E|=()A.2B.-6C.6D.2414.已知f(x)=x2+x+1方阵A的特征值1,0,-1,则f(A)的特征值为()A.3,1,1B.2,-1,-2C.3,1,-1D.3,0,115.设A的特征值为1,-1,向量α是属于1的特征向量,β是属于-1的特征向量,则下列论断正确的是()A.α和β线性无关B.α+β是A的特征向量C.α与β线性相关D.α与β必正交16.设α是矩阵A对应于特征值λ的特征向量,P为可逆矩阵,则下列向量中()是P-1AP对应于λ的特征向量。
全国高等教育自学考试线性代数(经管类)试题课程代码:04184说明:本卷中,A T 表示方阵A 的转置钜阵,A *表示矩阵A 的伴随矩阵,E 表示单位矩阵,|A |表示方阵A 的行列式.一、单项选择题(本大题共10小题,每小题2分,共20分)在每小题列出的四个备选项中只有一个是符合题目要求的,请将其代码填写在题后的括号内。
错选、多选或未选均无分。
1.设101350041A -⎡⎤⎢⎥=⎢⎥⎢⎥⎣⎦,则T AA =( ) A .-49B .-7C .7D .492.设A 为3阶方阵,且4A =,则2A -=( )A .-32B .-8C .8D .323.设A ,B 为n 阶方阵,且A T =-A ,B T =B ,则下列命题正确的是( )A .(A +B )T =A +BB .(AB )T =-ABC .A 2是对称矩阵D .B 2+A 是对称阵4.设A ,B ,X ,Y 都是n 阶方阵,则下面等式正确的是( )A .若A 2=0,则A =0B .(AB )2=A 2B 2C .若AX =AY ,则X =YD .若A +X =B ,则X =B -A5.设矩阵A =1131021400050000⎡⎤⎢⎥-⎢⎥⎢⎥⎢⎥⎣⎦,则秩(A )=( ) A .1B .2C .3D .4 6.若方程组02020kx z x ky z kx y z +=⎧⎪++=⎨⎪-+=⎩仅有零解,则k =( )A .-2B .-1C .0D .27.实数向量空间V={(x 1,x 2,x 3)|x 1 +x 3=0}的维数是( )A .0B .1C .2D .38.若方程组12323232132(3)(4)(2)x x x x x x x λλλλλλ+-=-⎧⎪-=-⎨⎪-=--+-⎩有无穷多解,则λ=( ) A .1B .2C .3D .49.设A =100010002⎡⎤⎢⎥⎢⎥⎢⎥⎣⎦,则下列矩阵中与A 相似的是( ) A .100020001⎡⎤⎢⎥⎢⎥⎢⎥⎣⎦B .110010002⎡⎤⎢⎥⎢⎥⎢⎥⎣⎦C .100011002⎡⎤⎢⎥⎢⎥⎢⎥⎣⎦D .101020001⎡⎤⎢⎥⎢⎥⎢⎥⎣⎦10.设实二次型2212323(,,)f x x x x x =-,则f ( )A .正定B .不定C .负定D .半正定二、填空题(本大题共10小题,每小题2分,共20分) 请在每小题的空格中填上正确答案。
线性代数(经管类)综合习题集(精心整理)线性代数(经管类)综合试题一一、单项选择题(本大题共10小题,每小题2分,共20分)1.设D=M≠0,则D^-1=(B).A.-2MB.2MC.-6MD.6M2.设A、B、C为同阶方阵,若由AB=AC必能推出B=C,则A应为(|A|≠).A.A≠OB.A=OCC.|A|=0D.|A|≠03.设A,B均为n阶方阵,则(A).A.|A+AB|=0,则|A|=0或|E+B|=0B.(A+B)^2=A^2+2AB+B^2C.当AB=O时,有A=O或B=OD.(AB)^-1=B^-1A^-14.二阶矩阵A=[a b。
c d],|A|=1,则A^-1=(B).A.[-d b。
c -a]B.[d -b。
-c a]C.[-d -b。
-c -a]D.[d b。
c a]5.已知向量组{α1.α2.α3}与{β1.β2.β3}等价,则下列说法正确的是(B).A.若两向量组等价,则s = t.B.若两向量组等价,则r(α1.α2) = r(β1.β2).C.若s = t,则两向量组等价.D.若r(α1.α2) =r(β1.β2),则两向量组等价.6.向量组{α1.α2.α3}中,若有向量能由其余向量线性表示,则该向量组(B).A.线性无关B.线性相关C.无法确定D.以上都不对7.设向量组{α1.α2.α3}与{β1.β2.β3}都是n维向量组,且r(α1.α2) = r(β1.β2),则下列成立的是(C).A.r与s未必相等B.r+s=mC.r=sD.r+s<n8.对方程组Ax=b与其导出组Ax=0,下列命题正确的是(D).A.Ax = 0有解时,Ax = b必有解.B.Ax = 0有无穷多解时,Ax = b有无穷多解.C.Ax = b无解时,Ax = 0也无解.D.Ax = b有惟一解时,Ax = 0只有零解.9.设方程组Ax=b有非零解,则k=(D).A.2B.3C.-1D.110.n阶对称矩阵A正定的充分必要条件是(D).A.|A|>0B.存在n阶方阵C使A=CTCC.负惯性指标为零D.各阶顺序主子式均为正数二、填空题(本大题共10小题,每小题2分,共20分)1.设向量组{α1.α2.α3}线性无关,向量β可由α1,α2,α3线性表示,则β的表示式中,α1,α2,α3的系数不能全为__________。
《线性代数(经管类)》期末考试试题《线性代数(经管类)》期末考试试题第⼀⼤题:单项选择题1、设⾏列式=1 , =2, 则= ( )A.—3B.—1C.1D.32、设A为3阶⽅阵,且已知|-2A|=2,则|A|=()A.—1B.C.D.13、设矩阵A,B,C为同阶⽅阵,则=____A.B.C.D.4、设A为2阶可逆矩阵,且已知= ,则A=()A.B.C.D.5、设A为m×n矩阵,则齐次线性⽅程组=0仅有零解的充分必要条件是( A )A.A的列向量组线性⽆关B.A的列向量组线性相关C.A的⾏向量组线性⽆关D.A的⾏向量组线性相关D.7、设3阶矩阵A与B相似,且已知A的特征值为2,2,3 则 ||= ( )A.B.C.7D.128、设A为3阶矩阵,且已知|3A+2E|=0,则A必有⼀个特征值为()A.B.C.D.9、⼆次型的矩阵为()A.B.C.D.10、设A为三阶⽅阵且|A|=-2,则()A.—108B.—12C.12D.10811、如果⽅程组有⾮零解,则 k=()A.—2B.—1C.1D.213、设A为四阶矩阵,且 |A|=2 则()A.2B.4C.8D.1214、设可由向量 =(1,0,0)=(0,0,1)线性表⽰,则下列向量中只能是( )A.(2,1,1)B.(—3,0,2)C.(1,1,0)D.(0, —1,0)15、向量组的秩不为S()的充分必要条件是()A.全是⾮零向量B.全是零向量C.中⾄少有⼀个向量可以由其它向量线性表出D.中⾄少有⼀个零向量16、设A为矩阵,⽅程=0仅有零解的充分必要条件是()A.的⾏向量组线性⽆关B.A的⾏向量组线性相关C.A的列向量组线性⽆关D.A的列向量组线性相关17、设A与B是两个相似 n 阶矩阵,则下列说法错误的是()A.|A|=|B|B.秩(A)=秩(B)C.存在可逆阵P,使P—1AP=BD.E-A = E- B18、与矩阵A= 相似的是()A.19、设有⼆次型则()A.正定B.负定C.不定D.半正定20、设⾏列式D= =3,D1=,则D1的值为()A.—15B.—6C.6D.1521、设矩阵 = ,则()A.a=3,b= -1,c=1,d=3B.a= -1,b=3,c=1,d=3C.a=3,b= -1,c=0,d=3D.a= -1,b=3,c=0,d=322、设3阶⽅阵A的秩为2,则与A等价的矩阵为()A.B.C.D.23、设A为n阶⽅阵,n≥2,则 |-5A| =()A.B.-5|A|C.5|A|D.24、设A=,则=( )A.-4B.-2C.2D.425、向量组,(S>2)线性⽆关的充分必要条件是( )C.中任意s-1个向量线性⽆关D.中任意⼀个向量均不能由其余s-1个向量线性表⽰26、A.B.C.D.27、设3 阶⽅阵A 的特征值为1,-1,2,则下列矩阵中为可逆矩阵的是()A.E-AB.-E-AC.2E-AD.-2E-A28、设=2是可逆矩阵A的⼀个特征值,则矩阵必有⼀个特征值等于()A.B.C.2D.429、⼆次型的秩为()A.1B.2C.3D.430、设3 阶⽅阵A=[ ,,],其中(=1, 2, 3)为A的列向量,且|A|=2,则|B|=|[+, ,]|=()A.-2B.0C.231、若⽅程组有⾮零解,则k=()A.-1B.032、设A,B为同阶可逆⽅阵,则下列等式中错误的是()A.|AB|=|A| |B|B.(AB)-1=B-1A-1C.(A+B)-1=A-1+B-1D.(AB)T=BTAT33、设A为三阶矩阵,且|A|=2,则|(A*)-1|=( D )A.B.1C.234、已知向量组A:中线性相关,那么()A.线性⽆关B.线性相关C.可由线性表⽰D.线性⽆关35、向量组的秩为r,且rA.线性⽆关B.中任意r个向量线性⽆关C.中任意r+1个向量线性相关D.中任意r-1个向量线性⽆关36、若A与B相似,则()A.A,B都和同⼀对⾓矩阵相似B.A,B有相同的特征向量C.A-λE=B-λ ED.|A|=|B|37、设,是=b的解,η是对应齐次⽅程=0的解,则()A.B.C.D.38、下列向量中与=(1,1,-1)正交的向量是()C.D.39、设A= ,则⼆次型f(x1,x2)=xTAx是()A.正定B.负定C.半正定D.不定40、3 阶⾏列式 =中元素的代数余了式 =( C )A.-2B.-1C.1D.241、A.B.C.D.42、A.B.C.D.43、设3阶矩阵A=,则的秩为()A.0B.1C.2组合,且表⽰法惟⼀,则向量组,,,的秩为()A.1B.2C.3D.445、设向量组线性相关,则向量组中()A.必有⼀个向量可以表为其余向量的线性组合B.必有两个向量可以表为其余向量的线性组合C.必有三个向量可以表为其余向量的线性组合D.每⼀个向量都可以表为其余向量的线性组合46、设是齐次线性⽅程组=0的⼀个基础解系,则下列解向量组中,可以作为该⽅程组基础解系的是()A.B.C.D.47、若2 阶矩阵A 相似于矩阵B= ,E为2 阶单位矩阵,则与矩阵 E-A 相似的矩阵是A.B.C.D.48、A.B.C.D.49、若3阶实对称矩阵A=()是正定矩阵,则A的正惯性指数为()A.0B.1C.2D.350、设A,B,C为同阶⽅阵,下⾯矩阵的运算中不成⽴的是( )C.D.51、已知=3,那么 =( )A.-24B.-12C.-6D.1252、若矩阵A可逆,则下列等式成⽴的是( ) A.B.C.D.。
经管线代期末试题及答案第一部分:选择题1. 以下哪个是线代的基本定义?A. 定义B. 定理C. 公理D. 公式答案:C2. 矩阵A是方阵,满足A^2 + 3A - 2I = 0,其中I为单位矩阵。
求A的逆矩阵。
A. -1/6(A + 2I)B. -1/3(A + 2I)C. 1/2(A - 3I)D. 2(A - 3I)答案:A3. 已知矩阵A = [1, 2; 3, 4],计算A的特征值和特征向量。
A. 特征值:-1, -1;特征向量:[-1, 1], [1, 1]B. 特征值:-1, 5;特征向量:[-1, 1], [1, 1]C. 特征值:2, 5;特征向量:[1, 1], [2, 3]D. 特征值:2, 7;特征向量:[1, 2], [2, 3]答案:C4. 已知向量a = [2, 1, -3],向量b = [4, -1, 2],计算向量a与向量b 的内积。
A. 4B. 3C. -7D. -8答案:D5. 给定矩阵A = [3, 0; 1, 2],求矩阵A的转置矩阵,并判断A是否对称矩阵。
A. 转置矩阵:[3, 1; 0, 2];是对称矩阵B. 转置矩阵:[3, 0; 1, 2];是对称矩阵C. 转置矩阵:[3, 1; 0, 2];不是对称矩阵D. 转置矩阵:[3, 0; 1, 2];不是对称矩阵答案:A第二部分:解答题1. 证明:若矩阵A和矩阵B都是对称矩阵,则矩阵A + B也是对称矩阵。
证明:已知矩阵A是对称矩阵,即A的转置矩阵等于A自身,即A =A^T。
已知矩阵B是对称矩阵,即B的转置矩阵等于B自身,即B = B^T。
则矩阵A + B = (A + B)^T。
我们需要证明(A + B)^T = A + B。
将矩阵A + B展开,得到(A + B)^T = A^T + B^T。
由题意可知,A = A^T,B = B^T。
代入上式,得到(A + B)^T = A + B。
因此,矩阵A + B也是对称矩阵。
《线性代数(经管类)》综合测验题库一、单项选择题1.下列条件不能保证n阶实对称阵A为正定的是()A.A-1正定B.A没有负的特征值C.A的正惯性指数等于nD.A合同于单位阵2.二次型f(x1,x2,x3)= x12+ x22+x32+2x1x2+2x1x3+2x2x3,下列说法正确的是()A.是正定的B.其矩阵可逆C.其秩为1D.其秩为23.设f=X T AX,g=X T BX是两个n元正定二次型,则()未必是正定二次型。
A.X T(A+B)XB.X T A-1XC.X T B-1XD.X T ABX4.设A,B为正定阵,则()A.AB,A+B都正定B.AB正定,A+B非正定C.AB非正定,A+B正定D.AB不一定正定,A+B正定5.二次型f=x T Ax经过满秩线性变换x=Py可化为二次型y T By,则矩阵A与B()A.一定合同B.一定相似C.即相似又合同D.即不相似也不合同—6.实对称矩阵A的秩等于r,又它有t个正特征值,则它的符号差为()A.rB.t-rC.2t-rD.r-t7.设8.f(x1,x2,x3)= x12-2x1x2+4x32对应的矩阵是()9.设A是n阶矩阵,C是n阶正交阵,且B=C T AC,则下述结论()不成立。
A.A与B相似B.A与B等价C.A与B有相同的特征值—D.A与B有相同的特征向量10.下列命题错误的是()A.属于不同特征值的特征向量必线性无关B.属于同一特征值的特征向量必线性相关C.相似矩阵必有相同的特征值D.特征值相同的矩阵未必相似11.下列矩阵必相似于对角矩阵的是()12.已知矩阵有一个特征值为0,则()A.x=2.5B.x=1C.x=-2.5D.x=013.已知3阶矩阵A的特征值为1,2,3,则|A-4E|=()A.2B.-6C.6D.2414.已知f(x)=x2+x+1方阵A的特征值1,0,-1,则f(A)的特征值为()A.3,1,1B.2,-1,-2C.3,1,-1D.3,0,115.设A的特征值为1,-1,向量α是属于1的特征向量,β是属于-1的特征向量,则下列论断正确的是()A.α和β线性无关B.α+β是A的特征向量C.α与β线性相关D.α与β必正交16.设α是矩阵A对应于特征值λ的特征向量,P为可逆矩阵,则下列向量中()是P-1AP对应于λ的特征向量。
A.αB.PαC.P-1αPD.P-1α17.λ1,λ2都是n阶矩阵A的特征值,λ1≠λ2,且x1与x2分别是对应于λ1与λ2的特征向量,当()时,x=k1x1+k2 x2 必是A的特征向量。
A.k1=0且k2=0B.k1≠0且k2≠0C.k1·k2=0D.k1≠0而k2=018.矩阵的特征值为()A.1,1B.2,2C.1,2D.0,019.n元线性方程组Ax=b有两个解a、c,则a-c是()的解。
A.2Ax=bB.Ax=0C.Ax=aD.Ax=c20.非齐次线性方程组Ax=b中,系数矩阵A和增广矩阵的秩都等于4,A是4×6矩阵,则()。
A.无法确定方程组是否有解B.方程组有无穷多解C.方程组有惟一解D.方程组无解21.对于齐次线性方程组的系数矩阵化为阶梯形时()A.只能进行行变换B.只能进行列变换C.不能进行行变换D.可以进行行和列变换22.x1、x2是AX=0的两不对应成比例的解,其中A为n阶方阵,则基础解系中向量个数为()。
A.至少2个B.无基础解系C.至少1个D.n-123.齐次线性方程组有非0解,则k=()A.1B.3C.-3D.-124.设A是m行n列矩阵,r(A)=r,则下列正确的是()A.Ax=0的基础解系中的解向量个数可能为n-rB.Ax=0的基础解系中的解向量个数不可能为n-rC.Ax=0的基础解系中的解向量个数一定为n-rD.Ax=0的基础解系中的解向量个数为不确定25.设β1,β2为的解向量,α1,α2为对应齐次方程组的解,则()。
A.β1+β2+2α1为该非齐次方程组的解B.β1+α1+α2为该非齐次方程组的解C.β1+β2为该非齐次方程组的解D.β1-β2+α1为该非齐次方程组的解26.对于齐次线性方程组而言,它的解的情况是()。
A.有惟一组解B.无解C.只有零解27.若α1,α2线性无关,β是另外一个向量,则α1+β与α2+β()A.线性无关B.线性相关C.即线性相关又线性无关D.不确定28.已知向量组则向量组α1,α2,α3,α4,α5的一个极大无关组为()A.α1,α3B.α1,α2C.α1,α2,α5D.α1,α3,α529.α1=(1,0,0),α2=(2,1,0),α3=(0,3,0),α4=(2,2,2)的极大无关组是()A.α1,α2B.α1,α3C.α1,α2,α4D.α1,α2,α330.向量组(1,-1,0),(2,4,1),(1,5,1)的秩为()A.1B.2C.3D.431.设A是m行n列矩阵,B是m行k列矩阵,则()A.r(A,B)小于等于r(A)与r(B)之和B.r(A,B)大于r(A)与r(B)之和C.r(A,B)小于r(A)与r(B)之和D.不确定32.向量组A的任何一个部分组()由该向量组线性表示。
A.都能B.一定不能C.不一定能33.含有零向量的向量组()A.可能线性相关B.必线性相关C.可能线性无关D.必线性无关34.若向量组α1,α2,…,αs线性无关,β1,β2,…,βs是它的加长向量组,则β1,β2,…,βs的线性相关性是()A.线性无关B.线性相关C.既线性相关又线性无关D.不确定35.设α1=(1,1,0),α2=(0,1,1),α3=(1,0,1),试判断α1,α2,α3的相关性()A.线性无关B.线性相关C.既线性相关又线性无关D.不确定36.α,β,γ是三维列向量,且|α,β,γ|≠0,则向量组α,β,γ的线性相关性是()A.线性无关B.线性相关C.既线性相关又线性无关D.不确定37.(-1,1)能否表示成(1,0)和(2,0)的线性组合?若能则表出系数为()A.能,1,1B.不能C.能, -1,1D.能, 1,-138.(4,0)能否表示成(-1,2),(3,2)和(6,4)的线性组合?若能则表出系数为()A.能,系数不唯一B.不能C.能,-1,-1,1D.能,-1,1,039.设β=(1,0,1),γ=(1,1,-1),则满足条件3x+β=γ的x为()A.-1/3(0,1,-2)C.(0,1,-2)D.(0,-1,2)40.设α,β,γ都是n维向量,k,l是数,下列运算不成立的是()A.α+β=β+αB.(α+β)+γ=α+(β+γ)C.α,β对应分量成比例,可以说明α=βD.α+(-α)=041.若m×n矩阵C中n个列向量线性无关,则C的秩()A.大于mB.大于nC.等于nD.等于m42.向量组的一个极大线性无关组可以取为()A.α1B.α1,α2C.α1,α2,α3D.α1,α2,α3,α443.设有向量组()44.若向量组,则该向量组()A.当a≠1时线性无关B.线性无关C.当a≠1且≠-2时线性无关D.线性相关45.向量组线性相关,则a的值为()A.1B.2C.4D.546.对于向量组γi(i=1,2,…n)因为有0γ1+0γ2+…+0γn=0,则γ1,γ2,…,γn是()向量组A.全为零向量B.线性相关C.线性无关D.任意47.设A,B是两个同阶的上三角矩阵,那么A T·B T是()矩阵。
A.上三角B.下三角C.对角形D.既非上三角也非下三角48.如果A2-6A=E,则A-1=()。
A.A-3EB.A+3EC.A+6ED.A-6E49.下列关于可逆矩阵的性质,不正确的是()。
A.(A T)-1=(A-1)TB.可逆矩阵可以从矩阵等式的同侧消去C.A k A l=A k+lD.A0=150.设A=,则A*=()。
51.52.设A,B,C是n阶方阵,下列各式中未必成立的是()。
A.ABC=ACBB.(A+B)+C=A+(B+C)C.A(B+C)=AC+ABD.(A+B)C=AC+BC53.54.55.A.2x=7B.y=xC.y=x+1D.y=x-156.设A、B是同阶对称矩阵,则AB是()A.对称矩阵B.非对称矩阵C.反对称矩阵D.不一定是对称矩阵57.设A为3阶矩阵,且已知,则A必有一个特征值为()58.设3阶矩阵A与B相似,且已知A的特征值为2,2,3. 则()59.下列矩阵中不是二次型的矩阵的是()60.已知A是一个三阶实对称正定的矩阵,那么A的特征值可能是()61.A为三阶矩阵,为它的三个特征值.其对应的特征向量为.设,则下列等式错误的是()62.n元实二次型正定的充分必要条件是()A.该二次型的秩=nB.该二次型的负惯性指数=nC.该二次型的正惯性指数=它的秩D.该二次型的正惯性指数=n63.已知相似,则有()64.设()A.线性无关B.线性相关C.对应分量成比例D.可能有零向量65.二次型的矩阵为()66.二次型的矩阵为()67.设矩阵相似.则下列结论错误的是()68.的一个特征值.则下列结论错误的是()69.若线性方程组有解,则常数应满足()70.若方程组有解,则常数k为()71.设,则齐次方程组的基础解系中含有解向量的个数为()A.1B.2C.3D.472.非齐次方程组有解的充分必要条件是()73.a,b为何值时,上述非齐次线性方程组无解()A.a≠1时,r(A)= 2,r(A,b)≥3B.a=1时,r(A)= 2,r(A,b)≥3C.a≠1,r(A)=r(A,b)=4D.a=1,r(A)=r(A,b)=474.a,b为何值时,上述非齐次线性方程组有唯一解()A.a≠1,r(A)=r(A,b)=4B.a≠1,r(A)=r(A,b)=3C.a=1时,r(A)= 2,r(A,b)≥3D.a=1时,r(A)= 2,r(A,b)=375.下列关于线性方程组的说法不正确的是()A.齐次方程组Ax=0有非零解的充分必要条件是r(A)大于未知数的个数nB.非齐次线性方程组Ax=b有解系数矩阵与增广矩阵有相等的秩C.如果r(A b)=r(A)=n(n为未知数的个数),则方程组Ax=b有惟一的解D.如果r(A b)=r(A)=n(n小于未知数的个数),则方程组Ax=b有无穷多解76.下列说法不正确的是()77.设下列说法正确的是()78.下列说法不正确的是()79.设3元线性方程组Ax=b,A的秩为2,为方程组的解,,,则对任意常数k,方程组Ax=b的通解为()80.设A为m×n矩阵,方程Ax=0仅有零解的充分必要条件是()A.A的行向量组线性无关B.A的行向量组线性相关C.A的列向量组线性无关D.A的列向量组线性相关81.如果方程组有非零解,则k=()A.-2B.-1C.1D.282.已知是非齐次线性方程组的两个不同的解,是其导出组Ax=0的一个基础解系,C 1,C2为任意常数,则方程组Ax=b的通解可以表为()83.若是线性方程组的解,是方程组的解,则()是的解.84.设的基础解系,则下列正确的是()85.若齐次方程组有非零解,则下列正确的是()86.下列说法不正确的是()A.一个向量α线性相关的充分必要条件是α=0B.两个向量线性相关的充分必要条件是分量成比例C.n个n维向量线性相关的充分必要条件是相应的行列式为0—D.当向量个数小于维数时,向量组必线性相关87.向量组的秩的充分必要条件是()A.全是非零向量B.中任意两个向量都不成比例C.中任何一个向量都不能由其它向量线性表出D.中任意个向量都线性无关88.维向量组线性相关的()A.充分条件B.必要条件C.充要条件D.即不必要也不充分条件89.的秩为()90.设向量组线性相关,则必可推出()A.中至少有一个向量为零向量B.中至少有两个向量成比例C.中至少有一个向量可以表示为其余向量的线性组合D.中每一个向量都可以表示为其余向量的线性组合91.已知向量组的一组基,则向量在这组基下的坐标是()—A.(2,3,1)B.(3,2,1)C.(1,2,3)D.(1,3,2)92.设β可由向量线性表示,则下列向量中β只能是()A.(2,1,1)B.(-3,0,2)C.(1,1,0)D.(0,-1,0)93.向量组线性无关的充分必要条件是()A.均不为零向量B.中任意两个向量不成比例C.中任意s-1个向量线性无关D.中任意一个向量均不能由其余s-1个向量线性表示94.设A是三阶方阵且︱A︱=2,则的值为()95.设()A.-4B.-2C.2D.4—96.设A为n阶方阵,n≥2,则︱-5A︱=()A.(-5)n︱A︱B.-5︱A︱C.5︱A︱D.5n︱A︱97.设A是4×5矩阵,秩(A)=3,则()A.A中的4阶子式都不为0B.A中存在不为0的4阶子式C.A中的3阶子式都不为0D.A中存在不为0的3阶子式98.设3阶方阵A的秩为2,则与A等价的矩阵为()99.下列命题正确的是()A.两个零矩阵必相等B.两个单位矩阵必相等C.(A+E)(A-E)=A2-E2D.若A≠0,AB=AC则必有B=C.100.设矩阵,则()A.a=3,b=-1,c=1,d=3B.a=-1,b=3,c=1,d=3C.a=3,b=-1,c=0,d=3—D.a=-1,b=3,c=0,d=3101.设A为2阶可逆矩阵,且已知,则A= ()102.设矩阵()103.设A为反对称矩阵,下列说法正确的是()104.下列结论正确的是()105.都是n阶非零矩阵,其中为A的伴随矩阵.则下列等式错误的是()106.设是n阶可逆阵,O为n阶零矩阵,的逆矩阵为()107.设有意义,则C是()矩阵.108.设,则下列各式中恒正确的是().109.设阶零矩阵.则下列各式中正确的是()110.设某3阶行列式︱A︱的第二行元素分别为-1,2,3,对应的余子式分别为-3,-2,1,则此行列式︱A︱的值为().A.3B.15C.-10D.8111.设多项式则f(x)的常数项为()A.4B.1C.-1D.-4112.行列式中第三行第二列元素的代数余子式的值为()A.3B.-2C.0D.1113.设行列式则D1的值为()—A.-15B.-6C.6D.15114.设A为三阶方阵且()A.-108B.-12C.12D.108115.设A是n阶方阵,λ为实数,下列各式成立的是().116.设A为3阶方阵,且已知()117.下列等式成立的是(),其中为常数.118.设()A.k-1B.kC.1D.k+1119.设()A.18B.-18C.-6D.6120.设行列式()A.-3B.-1C.1D.3121.设都是三阶方阵,且,则下式()必成立.122.下面结论正确的是()A.含有零元素的矩阵是零矩阵B.零矩阵都是方阵C.所有元素都是0的矩阵是零矩阵D.123.行列式()124.已知()125.如果()126.计算四阶行列式=()。