高一指数函数对数函数测试题及答案
- 格式:docx
- 大小:120.10 KB
- 文档页数:9
高一数学指数函数和对数函数试题答案及解析一、选择题1. 函数 y = 2^x 的反函数是()A. y = log2(x)B. y = log(x)C. y = log2(x+1)D. y = log2(x-1)答案:A解析:由指数函数与对数函数的关系,我们知道指数函数y = 2^x 的反函数是对数函数 y = log2(x)。
因此,选项A正确。
2. 函数 y = log3(x) 的定义域是()A. x > 0B. x ≥ 1C. x < 0D. x ≤ 1答案:A解析:对数函数 y = log3(x) 的定义域是 x > 0,因为对数函数要求真数大于0。
所以选项A正确。
二、填空题1. 函数 y = 3^x 在 x = 2 时的函数值是________。
答案:9解析:将 x = 2 代入函数 y = 3^x,得到 y = 3^2 = 9。
2. 函数 y = log5(x) 在 x = 25 时的函数值是________。
答案:2解析:将 x = 25 代入函数 y = log5(x),得到 y =log5(25) = 2。
三、解答题1. 已知函数 y = 2^x 和 y = log2(x),求它们的交点坐标。
解析:为了求出两个函数的交点坐标,我们可以将两个函数相等,即:2^x = log2(x)对上式两边取以2为底的对数,得到:log2(2^x) = log2(log2(x))x = log2(log2(x))这是一个关于 x 的方程,我们可以通过换元法求解。
设t = log2(x),则原方程可化为:t = log2(t)2^t = t这是一个二次方程,我们可以通过解二次方程的方法求解。
将方程两边移项,得到:2^t - t = 0设 f(t) = 2^t - t,求导得到 f'(t) = 2^t ln(2) - 1。
令 f'(t) = 0,解得 t = log2(ln(2))。
高一数学《指数函数与对数函数》测试题(含答案解析)一、选择题:1、已知(10)xf x =,则(5)f =( ))A 、510 B 、105 C 、lg10 D 、lg 5 2、对于0,1a a >¹,下列说法中,正确的是(,下列说法中,正确的是( ))①若M N =则log log aa M N =; ②若loglog aaM N =则M N =;③若22log log a a M N =则M N =; ④若M N =则22log log a aM N=。
A 、①②③④、①②③④ B 、①③、①③ C 、②④、②④ D 、②、②3、设集合2{|3,},{|1,}xS y y x R T y y x x R ==Î==-Î,则S T 是 ( )) A 、Æ B 、T C 、S D 、有限集、有限集 4、函数22log (1)y x x =+³的值域为(的值域为( ))A 、()2,+¥B 、(),2-¥C 、[)2,+¥D 、[)3,+¥5、设 1.50.90.4812314,8,2y y y -æö===ç÷èø,则(,则( ))A 、312y y y >>B 、213y y y >>C 、132y y y >>D 、123y y y >> 6、在(2)log(5)a b a -=-中,实数a 的取值范围是(的取值范围是( )) A 、52a a ><或 B 、2335a a <<<<或 C 、25a << D 、34a << 7、计算()()22lg 2lg52lg 2lg5++×等于(等于( ))A 、0B 、1C 、2D 、3 8、已知3log 2a =,那么33log 82log 6-用a 表示是(表示是( ))A 、52a -B 、2a -C 、23(1)a a -+ D 、231a a -- 9、若21025x=,则10x-等于(等于()) A 、15 B 、15- C 、150 D 、16251010、若函数、若函数2(55)xy a a a =-+×是指数函数,则有(是指数函数,则有( ))A 、1a =或4a =B 、1a =C 、4a =D 、0a >,且1a ¹ 11、当1a >时,在同一坐标系中, 函数xy a -=与log xa y =的图象是图中的(的图象是图中的( ))12、已知1x ¹,则与x 3log 1+x 4log 1+x5log 1相等的式子是(相等的式子是( )) A 、x 60log 1 B 、3451log log log x x x ×× C 、 60log 1x D 、34512log log log x x x ×× 1313、、若函数()l o g (01)af x x a =<<在区间[],2a a 上的最大值是最小值的3倍,则a 的值为( ))A 、24B B、、22C C、、14D D、、121414、下图是指数函数(、下图是指数函数(1)x y a =,(2)x y b =,(3)x y c =x ,(4)x y d =x的图象,则的图象,则a 、b 、c 、d 与1的大小关系是(的大小关系是( ))A 、1a b c d <<<<B B、、1b a d c <<<<C 、1a b c d <<<<D D、、1a b d c <<<< 1515、若函数、若函数my x +=-|1|)21(的图象与x 轴有公共点,轴有公共点,则m 的取值范围是(的取值范围是( ))A 、1m £-B B、、10m -£<C C、、1m ³D D、、01m <£二、填空题:1616、指数式、指数式4532-ba 化为根式是化为根式是 。
指数函数与对数函数专项训练一、单选题1.(23-24高一下·云南玉溪·期末)函数()()2lg 35f x x x =-的定义域为()A .()0,∞+B .50,3⎛⎫⎪C .()5,0,3∞∞⎛⎫-⋃+ ⎪D .5,3⎛⎫+∞ ⎪【答案】C【详解】由题意知,2350x x ->,即(35)0x x ->,所以0x <或53x >.故选:C.2.(23-24高一上·云南昭通·期末)函数()327x f x x =+-的零点所在的区间是()A .()0,1B .31,2⎛⎫ ⎪⎝⎭C .3,22⎛⎫⎪D .()2,3【答案】B【详解】∵3x y =和27y x =-均在R 上单调递增,∴()327x f x x =+-在R 上单调递增;又()12f =-,327402f ⎛⎫=-> ⎪⎝⎭,∴()f x 在31,2⎛⎫ ⎪⎝⎭上有唯一的零点,故选:B.3.(23-24高一上·云南昆明·期末)滇池是云南省面积最大的高原淡水湖,一段时间曾由于人类活动的加剧,滇池水质恶化,藻类水华事件频发.在适当的条件下,藻类的生长会进入指数增长阶段.滇池外海北部某年从1月到7月的水华面积占比符合指数增长,其模型为23 1.65x y -=⨯.经研究“以鱼控藻”模式能有效控制藻类水华.如果3月开始向滇池投放一定量的鱼群后,鱼群消耗水华面积占比呈现一次函数 5.213.5y x =-,将两函数模型放在同期进行比较,如图所示.下列说法正确的是(参考数据:671.6520.2,1.6533.3≈≈)()A .水华面积占比每月增长率为1.65B .如果不采取有效措施,到8月水华的面积占比就会达到60%左右C .“以鱼控藻”模式并没有对水华面积占比减少起到作用D .7月后滇池藻类水华会因“以鱼控藻”模式得到彻底治理【答案】B【详解】对于A ,由于模型23 1.65x y -=⨯呈指数增长,故A 错误;对于B ,当8x =时,8220.63 1.605326.y -⨯==⨯≈,故B 正确;对于C ,因为鱼群消耗水华面积占比呈现一次函数 5.213.5y x =-,所以“以鱼控藻”模式对水华面积占比减少起到作用,故C 错误;对于D ,由两函数模型放在同期进行比较的图象可知,7月后滇池藻类水华并不会因“以鱼控藻”模式得到彻底治理,故D 错误.故选:B.4.(23-24高一上·云南昭通·期末)()()1log 14a f x x =-+(0a >且1a ≠)的图象恒过定点M ,幂函数()g x 过点M ,则12g ⎛⎫⎪⎝⎭为()A .1B .2C .3D .4【答案】D【详解】()()1log 14a f x x =-+,令11x -=,得2x =,()124f =,则()()1log 14a f x x =-+(0a >且1a ≠)恒过定点12,4M ⎛⎫⎪⎝⎭,设()g x x α=,则124α=,即2α=-,即()2g x x -=,∴142g ⎛⎫= ⎪⎝⎭,故选:D.5.(23-24高一下·云南楚雄·期末)已知0.320.3lo g 3,2,lo g 2a b c -===,则()A .c b a <<B .<<b c aC .<<c a bD .a b c<<【答案】A【详解】因为2log y x =在(0,)+∞上单调递增,且234<<,所以222log 2log 3log 4<<,所以21log 32<<,即12a <<,因为2x y =在R 上递增,且0.30-<,所以0.300221-<<=,即01b <<,因为0.3log y x =在(0,)+∞上单调递减,且12<,所以0.30.3log 1log 2>,所以0.3log 20<,即0c <,所以c b a <<.故选:A6.(23-24高一上·云南·期末)若()21()ln 1||f x x x =+-,设()0.3(3),(ln2),2a f b f c f =-==,则a ,b ,c 的大小关系为()A .c a b >>B .b c a >>C .a b c >>D .a c b>>【答案】D【详解】由题意知()(),00,x ∈-∞⋃+∞,由()()()21ln 1f x x f x x⎡⎤-=-+-=⎣⎦-,所以()f x 为偶函数,图象关于y 轴对称,当0x >时,由复合函数的单调性法则知()f x 随x 的增大而增大,即()0,x ∈+∞,()21()ln 1||f x x x =+-单调递增,因为()()33a f f =-=,()0.3(ln2),2b f c f ==,且00.3112222=<<=,0ln2lne 1<<=,所以0.3ln 223<<,所以()()()0.3ln223f f f <<-,即b c a <<,也就是a c b >>.故选:D7.(23-24高一下·云南·期末)设222,0()log ,0x x f x x x ⎧+≤⎪=⎨>⎪⎩,若关于x 的方程2[()](2)()20f x a f x a -++=恰有5个不同实数解,则实数a 的取值范围是()A .[]1,2B .(2,3]C .()2,+∞D .()3,+∞【答案】B【详解】方程2[()](2)()20f x a f x a -++=化为[()2][()]0f x f x a --=,解得()2f x =或()f x a =,函数()f x 在(,0]-∞上单调递增,函数值的集合为(2,3],在(0,1]上单调递减,函数值的集合为[0,)+∞,在[1,)+∞上单调递增,函数值的集合为[0,)+∞,在同一坐标系内作出直线2,y y a ==与函数()y f x =的图象,显然直线2y =与函数()y f x =的图象有两个交点,由关于x 的方程2[()](2)()20f x a f x a -++=恰有5个不同实数解,则直线y a =与函数()y f x =的图象有3个交点,此时23a <≤,所以实数a 的取值范围是(2,3].故选:B8.(23-24高一下·云南昆明·期末)若()12:lo g 11,:39a p a q --<<,则p 是q 的()条件A .充分不必要B .必要不充分C .充要D .既不充分也不必要【答案】A【详解】对于()22:log 11log 2p a -<=,则012a <-<,解得13a <<;对于1:39a q -<,则12a -<,解得3a <;因为{}|13a a <<是{}|3a a <的真子集,所以p 是q 的充分不必要条件.故选:A.二、多选题9.(23-24高一上·云南迪庆·期末)已知函数()()2ln 2f x x x =-,则下列结论正确的是()A .函数()f x 的单调递增区间是[)1,+∞B .函数()f x 的值域是RC .函数()f x 的图象关于1x =对称D .不等式()ln 3f x <的解集是()1,3-【答案】BC【详解】对于A ,当1x =时,2210x x -=-<,此时()()2ln 2f x x x =-无意义,故A 错误;对于B ,由于()22y g x x x ==-的值域为[)1,-+∞,满足()[)0,1,+∞⊆-+∞,所以函数()f x 的值域是R ,故B 正确;对于C ,由题意()()()22ln 2ln 11f x x x x ⎡⎤=-=--⎣⎦,且定义域为()(),02,-∞+∞ ,它满足()()()21ln 11f x x f x+=-=-,即函数()f x 的图象关于1x =对称,故C 正确;对于D ,由于()f x 的定义域为()(),02,-∞+∞ ,故D 错误.故选:BC.10.(23-24高一上·云南昆明·期末)已知函数2212,0()2|log ,0x x x f x x x ⎧--≤⎪=⎨⎪⎩,若1234x x x x <<<,且()()()()1234fx fx fx fx ===,则下列结论中正确的是()A .122x x +=-B .1204x x <<C .()41,4x ∈D .342x x +的取值范围是332,4⎡⎫⎪⎢⎣⎭【答案】BC【详解】作出函数2212,0()2|log ,0x x x f x x x ⎧--≤⎪=⎨⎪⎩的图像如图.对于选项A,根据二次函数的对称性知,12()224x x +=⨯=--,故A 项错误;对于选项B ,因120x x <<,由上述分析知124x x +=-,则21212120()()()42x x x x x x --<=-⋅-≤=,因12x x ≠,故有1204x x <<,即B 项正确;对于选项C ,如图,因0x ≤时,2211()2(2)2222f x x x x =--=-++≤,0x >时,2()|log |f x x =,依题意须使20|log |2x <<,由2|log |0x >得1x ≠,由2|log |2x <解得:144x <<,故有3411,144x x <<<<,即C项正确;对于选项D ,由图知2324log log x x -=,可得341x x =,故431x x =,则343322x x x x ++=,3114x <<,不妨设21,(,1)4y x x x =+∈,显然函数2y x x =+在(1,14)上单调递减,故23334x x <+<,即342x x +的取值范围是(333,4),故D 项错误.故选:BC.11.(23-24高一上·云南昆明·期末)关于函数()ln f x x x =+,以下结论正确的是()A .方程()0f x =有唯一的实数解c ,且(0,1)c ∈B .对,0,()()()x y f xy f x f y ∀>=+恒成立C .对()1212,0x x x x ∀>≠,都有()()1212f x f x x x ->-D .对12,0x x ∀>,均有()()121222f x f x x x f ++⎛⎫≤⎪【答案】AC【详解】A 选项,由于1y x =在R 上单调递增,2ln y x =在()0,∞+上单调递增,故()ln f x x x =+在定义域()0,∞+上单调递增,又()11ln 30,11033f f ⎛⎫=-<=> ⎪⎝⎭,故由零点存在性定理可得,方程()0f x =有唯一的实数解c ,且(0,1)c ∈,A 正确;B 选项,()ln f xy xy xy =+,()()ln ln ln f x f y x x y y x y xy +=+++=++,显然,0x y ∀>,由于xy 与x y +不一定相等,故()()f x f y +与()f xy 不一定相等,B 错误;C 选项,由A 选项可知,()ln f x x x =+在定义域()0,∞+上单调递增,对()1212,0x x x x ∀>≠,都有()()12120f x f x x x ->-,C 正确;D 选项,12,0x x ∀>,均有121212ln 222x xx x x x f +++⎛⎫=+ ⎪⎝⎭,()()12112212121212ln ln ln ln 22222f x f x x x x x x x x x x x x x ++++++==+=+,由于12122x x x x +≥,当且仅当12x x =时,等号成立,故1212ln ln 2x x x x +≥,即()()121222f x f x x x f ++⎛⎫≥ ⎪⎝⎭,D 错误.故选:AC 三、填空题12.(23-24高一上·云南昆明·期末)()()2,(1)29,1x a x f x x ax a x ⎧>⎪=⎨-++-≤⎪⎩是R 上的单调递增函数,则实数a 的取值范围为.【答案】[]2,5【详解】因为在R 递增,则112129a a a a a⎧⎪⎪≥⎨⎪-++-≤⎪⎩>,解得:25a ≤≤,故答案为:[]2,513.(23-24高一下·云南昆明·期末)设函数()ln(1)f x x =+,2()g x x a =-+,若曲线()y f x =与曲线()y g x =有两个交点,则实数a 的取值范围是.【答案】(0,)+∞【详解】当0x ≥时,()ln(1),f x x =+当0x <时()ln(1),f x x =-+函数图象示意图为则2()g x x a =-+与()ln (1)f x x =+有两个零点知a 的取值范围是(0,)+∞.故答案为:(0,).+∞14.(23-24高一下·云南玉溪·期末)苏格兰数学家纳皮尔(J.Napier ,1550-1617)在研究天文学的过程中,经过对运算体系的多年研究后发明的对数,为当时的天文学家处理“大数”的计算大大缩短了时间.即就是任何一个正实数N 可以表示成10(110,)n N a a n =⨯≤<∈Z ,则lg lg (0lg 1)N n a a =+≤<,这样我们可以知道N 的位数为1n +.已知正整数M ,若10M 是10位数,则M 的值为.(参考数据:0.9 1.1107.94,1012.56≈≈)【答案】8或9【详解】依题意可得910101010M ≤<,两边取常用对数可得91010lg10lg lg10M ≤<,即910lg 10M ≤<,所以0.9lg 1M ≤<,即0.91010M ≤<,又M 为正整数,所以8M =或9M =.故答案为:8或9四、解答题15.(23-24高一上·云南昆明·期末)设函数()log (3)(,10a f x x a =-+>且1)a ≠.(1)若(12)3f =,解不等式()0f x >;(2)若()f x 在[4,5]上的最大值与最小值之差为1,求a 的值.【答案】(1)10(,)3+∞(2)2a =或12a =【详解】(1)由(12)3f =可得log (123)13a -+=,解得3a =,即3()log (3)1,(3)f x x x =-+>,则()0f x >,即3log (3)10x -+>,即310,1333x x x >⎧⎪∴>⎨->⎪⎩,故不等式()0f x >的解集为10(,)3+∞;(2)由于()f x 在[4,5]上的最大值与最小值之差为1,故log 11(log 21)1a a +-+=,即log 21,2a a =∴=或12a =,即a 的值为2a =或12a =.16.(23-24高一上·云南昭通·期末)化简求值:(1)()13103420.027π4160.49--++;(2)ln22311lg125lg40.1e log 9log 1632-+++⨯.【答案】(1)8(2)9【详解】(1)()13103420.027π4160.49--++()()()1313423420.3120.7⎡⎤⎡⎤⎡⎤=-++⎣⎦⎣⎦⎣⎦0.3180.78=-++=;(2)ln22311lg125lg4lg 0.1e log 9log 1632-++++⨯3211112lg34lg2lg5lg23222lg2lg3=+-++⨯lg 5lg28=++9=.17.(23-24高一上·云南·期末)已知定义域为R 的函数()11333xx m f x +-⋅=+是奇函数.(1)求m 的值并利用定义证明函数()f x 的单调性;(2)若对于任意t ∈R ,不等式()()22620f t t f t k -+-<恒成立,求实数k 的取值范围.【答案】(1)1m =,证明见解析(2)3k <-【详解】(1)因为()f x 是奇函数,函数的定义域为R ,所以(0)0f =,所以1033m-=+,所以1m =,经检验满足()()f x f x -=-易知()11312133331x x x f x +-⎛⎫==-+ ⎪++⎝⎭设12x x <,则2112122(33)()()3(31)(31)x x x x f x f x --=++因为3x y =在实数集上是增函数,故12()()0f x f x ->.所以()f x 在R 上是单调减函数(2)由(1)知()f x 在(,)-∞+∞上为减函数.又因为()f x 是奇函数,所以()()22620f t t f t k -+-<等价于()()2262f t t f k t-<-,因为()f x 为减函数,由上式可得:2262t t k t ->-.即对一切t R ∈有:2360t t k -->,从而判别式361203k k ∆=+<⇒<-.所以k 的取值范围是3k <-.18.(23-24高一下·云南昆明·期末)已知函数1()xx f x a a ⎛⎫=- ⎪⎝⎭ (0a >且1a ≠).(1)讨论()f x 的单调性(不需证明);(2)若2a =,(ⅰ)解不等式3()2≤f x x;(ⅱ)若21()(22))2(x g f x t x x f +=-+在区间[]1,1-上的最小值为74-,求t 的值.【答案】(1)答案见解析(2)(ⅰ)(](],10,1-∞-⋃;(ⅱ)2t =-或2t =【详解】(1)若1a >,则1()()x xf x a a=-在R 上单调递增;若01a <<,则1()()x xf x a a=-在R 上单调递减.(2)(ⅰ)3()2≤f x x ,即132()022xx x --≤,设13()2()22xx g x x=--,则(1)0g =,()()g x g x -=-,所以()g x 为奇函数,当0x >时,()g x 单调递增,由()(1)g x g ≤,解得01x <≤,根据奇函数的性质,当0x <时,()(1)g x g ≤的解为1x ≤-,综上所述,3()2≤f x x的解集为(](],10,1-∞-⋃.(ⅱ)2122()2(2)2()222(22)x x x x x g x f x tf x t +--=-+=++-,令22x x m --=,因为[]1,1x ∈-,则33,22m ⎡⎤∈-⎢⎥⎣⎦,所以2()()22g x h m m tm ==++,其图象为开口向上,对称轴为m t=-的抛物线,①当32t -≤-,即32t ≥时,min 39177()()3232444h m h t t =-=-+=-=-,解得2t =.②当3322t -<-<,即3322t -<<时,222min 7()()2224h m h t t t t =-=-+=-+=-,解得1152t =,2152t =-矛盾.③当32t -≥,即32t ≤-时,min 39177()()3232444h m h t t ==++=+=-,解得2t =-.综上所述,2t =-或2t =.19.(23-24高一上·云南昆明·期末)函数()e (0)x f x mx m =-<.(1)求(1)f -和(0)f 的值,判断()f x 的单调性并用定义加以证明;(2)设0x 是函数()f x 的一个零点,当1em <-时,()02f x k >,求整数k 的最大值.【答案】(1)1(1)e f m --=+,(0)1f =,()f x 在定义域R 上单调递增,证明见解析,(2)整数k 的最大值为1-【详解】(1)1(1)e f m --=+,(0)1f =,判断()f x 在定义域R 上单调递增,证明如下:在R 上任取1x ,2x ,且12x x <,则1212121212()()e (e )(e e )()x x x x f x f x mx mx m x x -=---=---,因为12x x <,0m <,所以12e e x x <,120x x -<,0m ->,所以12e e 0x x -<,12()0m x x --<,所以1212(e e )()0x x m x x ---<,即12())0(f x f x -<,所以12()()f x f x <,所以()f x 在定义域R 上单调递增.(2)由题意得0()0f x =,即00e 0x mx -=,1em <-,则10e m +<,即0(1)0()f f x -<=,由()f x 是R 上的增函数,所以01x -<,又0(0)10()f f x =>=,所以010x -<<,0200(2)e 2x f x mx =-002e 2e x x =-,令01e (ext =∈,1),则22()2(1)1g t t t t =-=--,所以()g t 在1(e ,1)上单调递减,所以()()11g t g >=-,即0(2)1f x >-,当1em <-时,0(2)f x k >,所以1k ≤-,所以整数k 的最大值为1-.。
新课程必修第一册《指数函数与对数函数》基础测试题及答案解析时间:120分钟 满分:150分一、选择题(本大题共8小题,每小题5分,共40分) 1.若a<12,则化简42a -12的结果是( )A .2a -1B .-2a -1C .1-2aD .-1-2a2.函数y =lg x +lg (5-3x)的定义域是( )A .[0,53) B .[0,53] C .[1,53)D .[1,53]3.若a>1,则函数y =a x与y =(1-a)x 2的图象可能是下列四个选项中的( )4.函数f(x)=ln(x +1)-2x的零点所在的大致区间是( )A .(1,2)B .(0,1)C .(2,e)D .(3,4)5.若0<a<1,在区间(-1,0)上函数f(x)=log a (x +1)是( )A .增函数且f(x)>0B .增函数且f(x)<0C .减函数且f(x)>0D .减函数且f(x)<06.已知函数f(x)=⎩⎪⎨⎪⎧log 3x ,x>02x, x≤0,则f(f(19))等于( )A .4B .14C .-4D .-147.函数f(x)=4x+12x 的图象( )A .关于原点对称B .关于直线y =x 对称C .关于x 轴对称D .关于y 轴对称8.下列式子中成立的是( )A .log 0.44<log 0.46B .1.013.4>1.013.5C .3.50.3<3.40.3D .log 76<log 67二、多项选择题(本大题共4小题,每小题5分,共20分) 9.下列函数中,是奇函数且存在零点的是( )A .y =x 3+x B .y =log 2x C .y =2x 2-3D .y =x |x |10.下列说法正确的是( ) A .函数()1f x x=在定义域上是减函数 B .函数()22xf x x =-有且只有两个零点 C .函数2xy =的最小值是1D .在同一坐标系中函数2xy =与2xy -=的图象关于y 轴对称11.若函数1xy a b =+-(0a >,且1a ≠)的图像经过第一、三、四象限,则下列选项中正确的有( ) A .1a >B .01a <<C .0b >D .0b <12.定义运算a ⊕b =⎩⎪⎨⎪⎧a ,a ≥b ,b ,a <b ,设函数f (x )=1⊕2-x,则下列命题正确的有( )A .f (x )的值域为[1,+∞)B .f (x )的值域为(0,1]C .不等式f (x +1)<f (2x )成立的范围是(-∞,0)D .不等式f (x +1)<f (2x )成立的范围是(0,+∞) 二、填空题(本大题共4小题,每小题5分,共20分)13. 函数()()2lg lg x f x x =-的零点为________. 14.函数f(x)=ax -1+3的图象一定过定点P ,则P 点的坐标是________.15.如果函数y =log a x 在区间[2,+∞)上恒有y>1,那么实数a 的取值范围是________.16.若函数f (x )=log a x (a >0,且a ≠1)在⎣⎢⎡⎦⎥⎤12,4上的最大值为2,最小值为m ,函数g (x )=(3+2m )x 在[0,+∞)上是增函数,则a +m =______. 三、解答题(本大题共6小题,共70分) 17.(10分)(1)计算:(-3)0-120+(-2)-2-1416-;(2) 设log a 2=m ,log a 3=n ,求a 2m +n的值;18.(12分)(1) log 49-log 212+5lg210-.(2)12lg 25lg 2lg ++()1lg 0.01+-; 19.(12分)设函数f(x)=2x+a 2x -1(a 为实数).(1)当a =0时,若函数y =g(x)为奇函数,且在x>0时g(x)=f(x),求函数y =g(x)的解析式;(2)当a<0时,求关于x 的方程f(x)=0在实数集R 上的解. 20.(12分)已知函数f (x )=log ax +1x -1(a >0且a ≠1), (1)求f (x )的定义域;(2)判断函数的奇偶性和单调性.21.(12分)已知-3≤12log x ≤-32,求函数f (x )=log 2x 2·log 2x4的最大值和最小值.22.(12分) 已知函数2328()log 1mx x nf x x ++=+. (Ⅰ)若4,4m n ==,求函数()f x 的定义域和值域;(Ⅱ)若函数()f x 的定义域为R ,值域为[0,2],求实数,m n 的值.答案及解析:一、单选题1.C [∵a <12,∴2a -1<0.于是,原式=41-2a2=1-2a .]2.C [由函数的解析式得:⎩⎪⎨⎪⎧lg x ≥0,x >0,5-3x >0,即⎩⎪⎨⎪⎧x ≥1,x >0,x <53.所以1≤x <53.]3.C [∵a >1,∴y =a x在R 上是增函数,又1-a <0,所以y =(1-a )x 2的图象为开口向下的抛物线.] 4.A f(1)=ln2-2=ln 2e 2<ln1=0,f(2)=ln3-1=ln 3e>ln1=0,所以函数f(x)=ln(x +1)-2x的零点所在的大致区间是(1,2).5.C [当-1<x <0,即0<x +1<1,且0<a <1时,有f (x )>0,排除B 、D.设u =x +1,则u 在(-1,0)上是增函数,且y =log a u 在(0,+∞)上是减函数,故f (x )在(-1,0)上是减函数.]6.B [根据分段函数可得f (19)=log 319=-2,则f (f (19))=f (-2)=2-2=14.]7.D 易知f(x)的定义域为R ,关于原点对称.∵f(-x)=4-x+12-x =1+4x2x =f(x),∴f(x)是偶函数,其图象关于y 轴对称.8.D [A 选项中由于y =log 0.4x 在(0,+∞)单调递减, 所以log 0.44>log 0.46;B 选项中函数y =1.01x在R 上是增函数, 所以1.013.4<1.013.5;C 选项中由于函数y =x 0.3在(0,+∞)上单调递增, 所以3.50.3>3.40.3;D 选项中log 76<1,log 67>1,故D 正确.] 二、多选题9.解析:选AD A 中,y =x 3+x 为奇函数,且存在零点x =0,与题意相符;B 中,y =log 2x 为非奇非偶函数,与题意不符;C 中,y =2x 2-3为偶函数,与题意不符;D 中,y =x |x |是奇函数,且存在零点x =0,与题意相符. 10.解析:对于A ,()1f x x=在定义域上不具有单调性,故命题错误; 对于B ,函数()22xf x x =-有三个零点,一个负值,两个正值,故命题错误;对于C ,∵|x |≥0,∴2|x |≥20=1,∴函数y =2|x |的最小值是1,故命题正确;对于D ,在同一坐标系中,函数y =2x 与y =2﹣x 的图象关于y 轴对称,命题正确.故选CD 11.解析:因为函数1xy a b =+- (0a >,且1a ≠)的图像经过第 一、三、四象限,所以其大致图像如图所示:由图像可知函数为增函数,所以1a >.当0x =时,110y b b =+-=<,故选AD.12.解析:选AC 由函数f (x )=1⊕2-x,有f (x )=⎩⎪⎨⎪⎧1,1≥2-x,2-x ,1<2-x,即f (x )=⎩⎪⎨⎪⎧2-x,x <0,1,x ≥0,作出函数f (x )的图象,如图所示,根据函数图象得f (x )的值域为[1,+∞),故A 正确,B 错误;若不等式f (x +1)<f (2x )成立,由函数图象知,当2x <x +1<0即x <-1时成立,当⎩⎪⎨⎪⎧2x <0,x +1≥0即-1≤x <0时也成立.所以不等式f (x +1)<f (2x )成立时,x <0.故C 正确,D 错误.故选A 、C. 三、填空题13. 解析:由题知:()2lg lg 0x x -=,得(l g 1g )l 0x x -=,∴lg 0x =或lg 1x =,∴1x =或10x =.故答案为:1x =或10x = 14.(1,4)解析 由于函数y =a x恒过(0,1),而y =ax -1+3的图象可看作由y =a x的图象向右平移1个单位,再向上平移3个单位得到的,则P 点坐标为(1,4). 15.(1,2)解析 当x ∈[2,+∞)时,y >1>0,所以a >1,所以函数y =log a x 在区间[2,+∞)上是增函数,最小值为log a 2,所以log a 2>1=log a a ,所以1<a <2.16.解析:当a >1时,函数f (x )=log a x 是正实数集上的增函数,而函数f (x )=log a x 在⎣⎢⎡⎦⎥⎤12,4上的最大值为2,因此有f (4)=log a 4=2⇒a =2,所以m =log 212=-1,此时g (x )=x 在[0,+∞)上是增函数,符合题意,因此a +m =2-1=1;当0<a <1时,函数f (x )=log a x 是正实数集上的减函数,而函数f (x )=log a x 在⎣⎢⎡⎦⎥⎤12,4上的最大值为2,因此有f ⎝ ⎛⎭⎪⎫12=log a 12=2⇒a =22,所以m =log 224=-4,此时g (x )=-5x 在[0,+∞)上是减函数,不符合题意. 答案:1 17.解 (1)原式=1-0+1-22-()1442-=1+14-2-1=1+14-12=34.(2) ∵log a 2=m ,log a 3=n , ∴a m =2,a n=3. ∴a 2m +n=a 2m ·a n =(a m )2·a n =22·3=12.18.解 (1) 原式=log 23-(log 23+log 24)+2lg 510=log 23-log 23-2+25=-85.(2) ()11222lg 252100.1-⎡⎤⨯⨯⨯⎢⎥⎣⎦()172227lg 521010lg 102⎛⎫=⨯⨯⨯==⎪⎝⎭;19.解 (1)当a =0时,f (x )=2x-1, 由已知g (-x )=-g (x ),则当x <0时,g (x )=-g (-x )=-f (-x )=-(2-x-1) =-(12)x+1,由于g (x )为奇函数,故知x =0时,g (x )=0, ∴g (x )=⎩⎪⎨⎪⎧2x-1, x ≥0-12x+1, x <0.(2)f (x )=0,即2x+a2x -1=0,整理,得:(2x )2-2x+a =0, 所以2x=1±1-4a 2,又a <0,所以1-4a >1,所以2x=1+1-4a2, 从而x =log 21+1-4a2.20.解 (1)要使此函数有意义,则有⎩⎪⎨⎪⎧x +1>0x -1>0或⎩⎪⎨⎪⎧x +1<0x -1<0,解得x >1或x <-1,此函数的定义域为 (-∞,-1)∪(1,+∞),关于原点对称. (2)f (-x )=log a -x +1-x -1=log a x -1x +1=-log ax +1x -1=-f (x ). ∴f (x )为奇函数.f (x )=log a x +1x -1=log a (1+2x -1),函数u =1+2x -1在区间(-∞,-1)和区间(1,+∞)上单调递减. 所以当a >1时,f (x )=log a x +1x -1在(-∞,-1),(1,+∞)上递减; 当0<a <1时,f (x )=log ax +1x -1在(-∞,-1),(1,+∞)上递增. 21.解 ∵f (x )=log 2x2·log 2x4=(log 2x -1)(log 2x -2) =(log 2x )2-3log 2x +2=(log 2x -32)2-14,∵-3≤12log x ≤-32.∴32≤log 2x ≤3. ∴当log 2x =32,即x =22时,f (x )有最小值-14;当log 2x =3,即x =8时,f (x )有最大值2.22.(1)解 (Ⅰ)若4,4m n ==,则232484()log 1x x f x x ++=+,由2248401x x x ++>+,得到2210x x ++>,得到1x ≠-,故定义域为{}1x x ≠-.令224841x x t x ++=+,则2(4)840t x x t --+-= 当4t =时,0x =符合.当4t ≠时,上述方程要有解,则2644(4)0,t t ⎧∆=--≥⎨≠⎩,得到04t ≤<或48t <≤,又1x ≠-,所以0t ≠,所以08t <≤,则值域为3(,log 8]-∞.(Ⅱ)由于函数()f x 的定义域为R ,则22801mx x nx ++>+恒成立,则06440m mn >⎧⎨-<⎩,即016m mn >⎧⎨>⎩,令2281mx x nt x ++=+,由于()f x 的值域为[0,2],则[1,9]t ∈,而 2()80t m x x t n --+-=,则由644()()0,t m t n ∆=---≥解得[1,9]t ∈ ,故1t =和9t =是方程644()()0t m t n ---=即2()160t m n t mn -++-=的两个根,则10169m n mn +=⎧⎨-=⎩,得到55m n =⎧⎨=⎩,符合题意.所以5,5m n ==.。
高一数学必修1第三章《指数函数、对数函数和幂函数》测练题(满分:150分;考试时间:100分钟)一、选择题(本大题共10小题. 每小题5分,共50分.在每小题给出的四个选项中,只有一个项是符合题目要求的) 1.指数函数y=a x 的图像经过点(2,16)则a 的值是 ( )A .41 B .21C .2D .4 2.化简)31()3)((656131212132b a b a b a ÷-的结果 ( )A .a 6B .a -C .a 9-D .29a3.在区间),0(+∞上不是增函数的是 ( )A.2x y =B.x y log 2=C.xy 2= D.122++=x x y 4.式子82log 9log 3的值为 ( ) A .23 B .32C .2D .3 5.已知0ab >,下面四个等式中:①lg()lg lg ab a b =+; ②lg lg lg a a b b=-;③b ab a lg )lg(212= ;④1lg()log 10ab ab =.其中正确命题的个数为 ( )A .0B .1C .2D .36.已知2log 0.3a =,0.32b =,0.20.3c =,则c b a ,,三者的大小关系是( ) A .a c b >> B .c a b >> C .c b a >> D .a b c >> 7.已知函数)(x f y =的反函数)21(log )(211-=-x x f,则方程1)(=x f 的解集是( )A .{1}B .{2}C .{3}D .{4} 8.图中曲线分别表示l g a y o x =,l g b y o x =,l g c y o x =, l g d y o x =的图象,,,,a b c d 的关系是( )A. 0<a <b <1<d<cB. 0<b<a <1<c<dC. 0<d<c<1<a<bD. 0<c<d <1<a<b9.函数y= | lg (x-1)| 的图象是 ( )xyOy=log a xy=log x y=log c x y=log d x110.给出幂函数①f (x )=x ;②f (x )=x 2;③f (x )=x 3;④f (x )=;⑤f (x )=1x .其中满意条件f 12()2x x + >12()()2f x f x + (x 1>x 2>0)的函数的个数是 ( )A .1个B .2个C .3个D .4个二、填空题(.每小题5分,共20分) 11.函数21()log (2)f x x =-的定义域是 .12.当a >0且a ≠1时,函数f (x )=a x -2-3必过定点 .13.函数)x 2x (log y 221-=的单调递减区间是_________________.14.关于函数21()lg (0,R)||x f x x x x +=≠∈有下列命题:①函数()y f x =的图象关于y 轴对称;②在区 间(,0)-∞上,函数()y f x =是减函数;③函数()y f x =的最小值为lg 2;④在区间(1,)+∞上,函 数()y f x =是增函数.其中正确命题序号为_______________. 三、解答题(6小题,共80分)15.(本小题满分12分)4160.250321648200549-+---)()()16. (本小题满分12分)设函数421()log 1x x f x x x -⎧<=⎨>⎩,求满意()f x =41的x 的值.C17.(本小题满分14分)已知()2xf x =,()g x 是一次函数,并且点(2,2)在函数[()]f g x 的图象上,点(2,5)在函数[()]g f x 的图象上,求()g x 的解析式.18.(本小题满分14分)若0≤x ≤2,求函数y=523421+⨯--x x 的最大值和最小值.19.(本小题满分14分)光线通过一块玻璃,其强度要损失10%,把几块这样的玻璃重叠起来,设光线原来的强度为x 块玻璃后强度为y .(1)写出y 关于x 的函数关系式;(2)通过多少块玻璃后,光线强度减弱到原来的13以下? ( lg30.4771)≈20.(本小题满分14分)已知定义域为R 的函数12()22x x bf x +-+=+是奇函数.(1)求b 的值;(2)推断函数()f x 的单调性;(3)若对随意的R t ∈,不等式22(2)(2)0f t t f t k -+-<恒成立,求k 的取值范围.高一数学必修1第三章《指数函数、对数函数和幂函数》测练题参考答案及解析一、选择题1.D 解析:由a 2=16且a >0得a =42.C 解析:原式a ab ba9990653121612132-=-=-=-+-+3.C 解析:依据反比例函数的性质4.A 解析:因log 89=22232log 32log 3log 23=,故原式=23 5.B 解析:ab >0,故a 、b 同号;当a 、b 同小于0时,①②不成立;当ab =1时,④不成立,故只有③对。
高一数学《指数函数与对数函数》测试题及答案1、已知$f(10)=x$,则$f(5)$的值为(B)。
2、对于$a>0,a\neq1$,正确的说法是(①③)。
3、集合$S=\{y|y=3,x\in R\}$,$T=\{y|y=x-1,x\in R\}$,则$S\cap T$的值为(D)。
4、函数$y=2+\log_2x(x\geq1)$的值域为($[2,+\infty)$)。
5、设$y_1=4,y_2=80.90,y_3=\frac{1}{2^{-1.5}}$,则$y_3>y_1>y_2$。
6、在$b=\log_{a-2}(5-a)$中,实数$a$的取值范围为($2<a<3$)。
7、计算$\log_2(2\cdot5)+2\log_2(2\times5)$的值为(2)。
8、已知$a=\log_32$,则$\log_3(8)-2\log_3(6)$用$a$表示为($5a-2$)。
9、若$10^{2x}\cdot2^{2}=10^{5}\cdot5^{50}$,则$10^{-x}$的值为($\frac{1}{625}$)。
10、若函数$y=(a-5a+5)\cdot a$是指数函数,则$a>0$,且$a\neq1$。
11、当$a>1$时,在同一坐标系中,函数$y=a$与$y=\log_ax$的图像如下图(B)所示。
12、与$\log_3x+\log_4x+\log_5x$相等的式子是($3^{\log_6x}$)。
13、若函数$f(x)=\log_ax(0<a<1)$在区间$[a,2a]$上的最大值是最小值的3倍,则$a=\frac{1}{4}$。
14、根据图象可知,a<b<1<c<d,故选项A正确。
15、要使函数|1-x|+m与x轴有公共点,必须满足|m|≤1,故选项B正确。
16、将指数式化为根式式,即将指数分子和分母分别开方,得到√(3a^4/b^4),故填入的答案为√(3a^4/b^4)。
高中数学第四章指数函数与对数函数典型例题单选题1、已知a=lg2,10b=3,则log56=()A.a+b1+a B.a+b1−aC.a−b1+aD.a−b1−a答案:B分析:指数式化为对数式求b,再利用换底公式及对数运算性质变形. ∵a=lg2,0b=3,∴b=lg3,∴log56=lg6lg5=lg2×3lg102=lg2+lg31−lg2=a+b1−a.故选:B.2、函数f(x)=|x|⋅22−|x|在区间[−2,2]上的图象可能是()A.B.C.D.答案:C分析:首先判断函数的奇偶性,再根据特殊值判断即可;解:∵f(−x)=|x|⋅22−|x|=f(x),∴f(x)是偶函数,函数图象关于y轴对称,排除A,B选项;∵f(1)=2=f(2),∴f(x)在[0,2]上不单调,排除D选项.故选:C3、式子√m⋅√m 43√m 56m >0)的计算结果为( )A .1B .m 120C .m 512D .m 答案:D分析:由指数运算法则直接计算可得结果.√m⋅√m 43√m 56=m 12⋅m 43m 56=m 12+43−56=m .故选:D.4、若f(x)={(6−a)x −a,x <1log a x +3,x ≥1是定义在R 上的增函数,实数a 的取值范围是( )A .[1,5]B .[32,5) C .(32,5)D .(1,5) 答案:B分析:由题意得{6−a >1a >1log a 1+3≥(6−a)−a ,解不等式组可求得答案因为f(x)={(6−a)x −a,x <1log a x +3,x ≥1是定义在R 上的增函数,所以{6−a >1a >1log a 1+3≥(6−a)−a ,解得32≤a <5,故选:B5、函数f (x )=√3−x +log 13(x +1)的定义域是( )A .[−1,3)B .(−1,3)C .(−1,3]D .[−1,3] 答案:C分析:由题可得{3−x ≥0x +1>0,即得.由题意得{3−x ≥0x +1>0,解得−1<x ≤3, 即函数的定义域是(−1,3].故选:C.6、下列函数中是增函数的为( )A .f (x )=−xB .f (x )=(23)xC .f (x )=x 2D .f (x )=√x 3答案:D分析:根据基本初等函数的性质逐项判断后可得正确的选项. 对于A ,f (x )=−x 为R 上的减函数,不合题意,舍. 对于B ,f (x )=(23)x为R 上的减函数,不合题意,舍.对于C ,f (x )=x 2在(−∞,0)为减函数,不合题意,舍. 对于D ,f (x )=√x 3为R 上的增函数,符合题意, 故选:D.7、下列计算中结果正确的是( ) A .log 102+log 105=1B .log 46log 43=log 42=12C .(log 515)3=3log 515=−3D .13log 28=√log 283=√33答案:A分析:直接根据对数的运算性质及换底公式计算可得;解:对于A :log 102+log 105=log 10(2×5)=log 1010=1,故A 正确; 对于B :log 46log 43=log 36,故B 错误;对于C :(log 515)3=(log 55−1)3=(−log 55)3=−1,故C 错误; 对于D :13log 28=13log 223=13×3log 22=1,故D 错误; 故选:A8、荀子《劝学》中说:“不积跬步,无以至千里;不积小流,无以成江海.”所以说学习是日积月累的过程,每天进步一点点,前进不止一小点.我们可以把(1+1%)365看作是每天的“进步”率都是1%,一年后是1.01365≈37.7834;而把(1−1%)365看作是每天“退步”率都是1%,一年后是0.99365≈0.0255.若“进步”的值是“退步”的值的100倍,大约经过(参考数据:lg101≈2.0043,lg99≈1.9956) ( )天.A .200天B .210天C .220天D .230天 答案:D分析:根据题意可列出方程100×0.99x =1.01x ,求解即可.设经过x 天“进步”的值是“退步”的值的100倍,则100×0.99x=1.01x,即(1.010.99)x =100,∴x =log 1.010.99100=lg lg 1.010.99=lg lg 10199=2lg−lg≈22.0043−1.9956=20.0087≈230.故选:D . 多选题9、已知函数f(x)=1−2x 1+2x,则下面几个结论正确的有( )A .f(x)的图象关于原点对称B .f(x)的图象关于y 轴对称C .f(x)的值域为(−1,1)D .∀x 1,x 2∈R ,且x 1≠x 2,f (x 1)−f (x 2)x 1−x 2<0恒成立答案:ACD分析:利用奇函数的定义和性质可判断AB 的正误,利用参数分离和指数函数的性质可判断CD 的正误. 对于A ,f(x)=1−2x1+2x ,则f(−x)=1−2−x1+2−x =2x −11+2x =−f(x), 则f(x)为奇函数,故图象关于原点对称,故A 正确.对于B ,计算f(1)=−13,f(−1)=13≠f(1),故f(x)的图象不关于y 轴对称,故B 错误. 对于C ,f(x)=1−2x1+2x =−1+21+2x ,1+2x =t,t ∈(1,+∞),故y =f(x)=−1+2t ,易知:−1+2t ∈(−1,1),故f(x)的值域为(−1,1),故C 正确. 对于D ,f(x)=1−2x1+2x =−1+21+2x ,因为y =1+2x 在R 上为增函数,y =−1+21+t 为(1,+∞)上的减函数, 由复合函数的单调性的判断法则可得f (x )在R 上单调递减,故∀x 1,x 2∈R ,且x 1≠x 2,f(x 1)−f(x 2)x 1−x 2<0恒成立,故D 正确.故选:ACD.小提示:方法点睛:复合函数的单调性的研究,往往需要将其转化为简单函数的复合,通过内外函数的单调性结合“同增异减”的原则来判断.10、设函数f (x )=ax 2+bx +c (a,b,c ∈R,a >0),则下列说法正确的是( ) A .若f (x )=x 有实根,则方程f(f (x ))=x 有实根 B .若f (x )=x 无实根,则方程f(f (x ))=x 无实根 C .若f (−b 2a)<0,则函数y =f (x )与y =f(f (x ))都恰有2个零点D .若f (f (−b 2a))<0,则函数y =f (x )与y =f(f (x ))都恰有2零点答案:ABD分析:直接利用代入法可判断A 选项的正误;推导出f (x )−x >0对任意的x ∈R 恒成立,结合该不等式可判断B 选项的正误;取f (x )=x 2−x ,结合方程思想可判断C 选项的正误;利用二次函数的基本性质可判断D 选项的正误.对于A 选项,设f (x )=x 有实根x =x 0,则f(f (x 0))=f (x 0)=x 0,A 选项正确; 对于B 选项,因为a >0,若方程f (x )=x 无实根,则f (x )−x >0对任意的x ∈R 恒成立, 故f(f (x ))>f (x )>x ,从而方程f(f (x ))=x 无实根,B 选项正确;对于C 选项,取f (x )=x 2−x ,则f (12)=−14<0,函数y =f (x )有两个零点, 则f(f (x ))=[f (x )]2−f (x )=0,可得f (x )=0或f (x )=1,即x 2−x =0或x 2−x =1. 解方程x 2−x =0可得x =0或1,解方程x 2−x −1=0,解得x =1±√52. 此时,函数y =f(f (x ))有4个零点,C 选项错误;对于D 选项,因为f (f (−b2a ))<0,设t =f (−b2a ),则t =f (x )min , 因为f (t )<0且a >0,所以,函数f (x )必有两个零点,设为x 1、x 2且x 1<x 2, 则x 1<t <x 2,所以,方程f (x )=x 1无解,方程f (x )=x 2有两解,因此,若f(f(−b))<0,则函数y=f(x)与y=f(f(x))都恰有2零点,D选项正确.2a故选:ABD.小提示:思路点睛:对于复合函数y=f[g(x)]的零点个数问题,求解思路如下:(1)确定内层函数u=g(x)和外层函数y=f(u);(2)确定外层函数y=f(u)的零点u=u i(i=1,2,3,⋯,n);(3)确定直线u=u i(i=1,2,3,⋯,n)与内层函数u=g(x)图象的交点个数分别为a1、a2、a3、⋯、a n,则函数y=f[g(x)]的零点个数为a1+a2+a3+⋯+a n.11、(多选题)某市出租车收费标准如下:起步价为8元,起步里程为3km(不超过3km按起步价付费);超过3km 但不超过8km时,超过部分按每千米2.15元收费;超过8km时,超过部分按每千米2.85元收费,另每次乘坐需付燃油附加费1元.下列结论正确的是()A.出租车行驶4km,乘客需付费9.6元B.出租车行驶10km,乘客需付费25.45元C.某人乘出租车行驶5km两次的费用超过他乘出租车行驶10km一次的费用D.某人乘坐一次出租车付费22.6元,则此次出租车行驶了9km答案:BCD分析:根据题意分别计算各个选项的情况,即可得答案.对于A选项:出租车行驶4km,乘客需付费8+1×2.15+1=11.15元,故A错误;对于B选项:出租车行驶10 km,乘客需付费8+2.15×5+2.85×(10-8)+1=25.45元,故B正确;对于C选项:乘出租车行驶5km,乘客需付费8+2×2.15+1=13.30元,乘坐两次需付费26.6元,26.6>25.45,故C正确;对于D选项:设出租车行驶x km时,付费y元,由8+5×2.15+1=19.75<22.6,知x>8,因此由y=8+2.15×5+2.85(x-8)+1=22.6,解得x=9,故D正确.故选:BCD.小提示:本题考查函数模型的应用,解题要点为认真审题,根据题意逐一分析选项即可,属基础题.12、若log2m=log4n,则()A.n=2m B.log9n=log3mC.lnn=2lnm D.log2m=log8(mn)答案:BCD分析:利用对数运算化简已知条件,然后对选项进行分析,从而确定正确选项.依题意log2m=log4n,所以m>0,n>0,log2m=log22n=12log2n=log2n12,所以m=n 12,m2=n,A选项错误.log9n=log32m2=22log3m=log3m,B选项正确.lnn=lnm2=2lnm,C选项正确.log8(mn)=log23m3=33log2m=log2m,D选项正确.故选:BCD13、在平面直角坐标系中,我们把横纵坐标相等的点称之为“完美点”,下列函数的图象中存在完美点的是()A.y=﹣2x B.y=x﹣6C.y=3xD.y=x2﹣3x+4答案:ACD分析:横纵坐标相等的函数即y=x,与y=x有交点即存在完美点,依次计算即可.横纵坐标相等的函数即y=x,与y=x有交点即存在完美点,对于A,{y=xy=−2x,解得{x=0y=0,即存在完美点(0,0),对于B,{y=xy=x−6,无解,即不存在完美点,对于C,{y=xy=3x,解得{x=√3y=√3或{x=−√3y=−√3,即存在完美点(√3,√3),(−√3,−√3)对于D,{y=xy=x2−3x+4,x2−3x+4=x,即x2−4x+4=0,解得x=2,即存在完美点(2,2).故选:ACD.填空题14、化简(√a−1)2+√(1−a)2+√(1−a)33=________.答案:a-1分析:根据根式的性质即可求解.由(√a−1)2知a-1≥0,a≥1.故原式=a-1+|1-a|+1-a=a-1.所以答案是:a-115、对数型函数f(x)的值域为[0,+∞),且在(0,+∞)上单调递增,则满足题意的一个函数解析式为______.答案:f(x)=|log2(x+1)|(答案不唯一,满足f(x)=|log a(x+b)|,a>1,b≥1即可)分析:根据题意可利用对数函数的性质和图像的翻折进行构造函数.∵函数f(x)的值域为[0,+∞),且在(0,+∞)上单调递增,∴满足题意的一个函数是f(x)=|log2(x+1)|.所以答案是:f(x)=|log2(x+1)|(答案不唯一)16、函数y=log a(x+1)-2(a>0且a≠1)的图象恒过点________.答案:(0,-2)分析:由对数函数的图象所过定点求解.解:依题意,x+1=1,即x=0时,y=log a(0+1)-2=0-2=-2,故图象恒过定点(0,-2).所以答案是:(0,-2)解答题17、(1)计算0.027−13−(−16)−2+810.75+(19)0−3−1;(2)若x 12+x−12=√6,求x 2+x −2的值.答案:(1)-5;(2)14.分析:(1)由题意利用分数指数幂的运算法则,计算求得结果. (2)由题意两次利用完全平方公式,计算求得结果. (1)0.027−13−(−16)−2+810.75+(19)0−3−1=0.3﹣1﹣36+33+1−13=103−36+27+1−13=−5.(2)若x 12+x −12=√6,∴x +1x +2=6,x +1x =4,∴x 2+x ﹣2+2=16,∴x 2+x ﹣2=14.18、已知函数f (x )=2x −12x +1.(1)判断并证明f (x )在其定义域上的单调性;(2)若f (k ⋅3x )+f (3x −9x +2)<0对任意x ≥1恒成立,求实数k 的取值范围. 答案:(1)f (x )在R 上单调递增;证明见解析 (2)(−∞,43)分析:(1)设x 2>x 1,可整理得到f (x 2)−f (x 1)=2(2x 2−2x 1)(2x 2+1)(2x 1+1)>0,由此可得结论;(2)利用奇偶性定义可证得f (x )为奇函数,结合单调性可将恒成立的不等式化为k <g (x )=3x −23x −1,由g (x )单调性可求得g (x )≥43,由此可得k 的取值范围.(1)f (x )在R 上单调递增,证明如下: 设x 2>x 1,∴f (x 2)−f (x 1)=2x 2−12x 2+1−2x 1−12x 1+1=(2x 2−1)(2x 1+1)−(2x 2+1)(2x 1−1)(2x 2+1)(2x 1+1)=2(2x 2−2x 1)(2x 2+1)(2x 1+1);∵x 2>x 1,∴2x 2−2x 1>0,又2x 2+1>0,2x 1+1>0,∴f (x 2)−f (x 1)>0, ∴f (x )在R 上单调递增. (2)∵f (−x )=2−x −12−x +1=1−2x1+2x =−f (x ),∴f (x )为R 上的奇函数,由f(k⋅3x)+f(3x−9x+2)<0得:f(k⋅3x)<−f(3x−9x+2)=f(9x−3x−2),由(1)知:f(x)在R上单调递增,∴k⋅3x<9x−3x−2在[1,+∞)上恒成立;当x≥1时,3x≥3,∴k<3x−23x−1在[1,+∞)上恒成立;令g(x)=3x−23x−1,∵y=3x在[1,+∞)上单调递增,y=23x在[1,+∞)上单调递减,∴g(x)在[1,+∞)上单调递增,∴g(x)≥g(1)=3−23−1=43,∴k<43,即实数k的取值范围为(−∞,43).。
指数函数对数函数练习题(参考答案)1. 集合2{|log ,1}A y y x x ==>,1{|(),1}2x B y y x ==>,则()R C A B =( D ).A .1{|0}2y y <<B .{|01}y y <<C .1{|1}2y y << D .∅ 2. 下列函数中,在区间(0,+∞)上为增函数的是( A )A .y =x +1B .y =(x -1)2C .y =2-xD .y =log 0.5(x +1)3. 下列函数中,满足“f (x +y )=f (x )·f (y )”的单调递增函数是( C )A .f (x )=12xB .f (x )=x 3C .f (x )=⎝⎛⎭⎫12xD .f (x )=3x4. 设函数122,1()1log ,1x x f x x x -⎧≤=⎨->⎩,则满足()2≤x f 的x 的取值范围是( D ) A .[-1,2] B .[0,2] C .[1,+∞) D .[0,+∞)5. 已知1-32a =,21log 3b =,121c log 3=,则( C ) A .a >b >cB .a >c >bC .c >a >bD .c >b >a 6. 函数f (x )=1(log 2x )2-1的定义域为( C ) A.⎝⎛⎭⎫0,12 B .(2,+∞) C.⎝⎛⎭⎫0,12∪(2,+∞) D.⎝⎛⎦⎤0,12∪[2,+∞) 7. 下列函数图象关于原点对称的有(D)①()f x =②2()log (f x x =; ③1(),(1,0)(0,1]f x x x=∈- ④()lg f x x x =-. A .①② B .①③ C .②③ D . ②④8. 函数0.5()2|log |1x f x x =-的零点个数为( B )A. 1B. 2C.3D.49. 已知函数|lg |,010,()16,10.2x x f x x x <≤⎧⎪=⎨-+>⎪⎩若,,a b c 互不相等,且()()(),f a f b f c ==则abc 的取值范围是( C )A. (1,10)B. (5,6)C. (10,12)D. (20,24)10. ()f x 是R 上单调函数,且满足对任意x R ∈ 都有[()2]3x f f x -= ,则(3)f = ( C )A .3B .7C .9D .1211. 函数212()log (231)f x x x =-+的增区间是1-2∞(,).12. 已知1()02x a x x ⎧⎫∈-=⎨⎬⎩⎭,则2(23)()x x f x a --=的增区间为-1]∞(,. 13. 已知2510x y ==,则11x y+= _1__.14. 已知函数22log (1)(0)()2(0)x x f x x x x +>⎧=⎨--≤⎩ 若函数()()g x f x m =-有3个零点,则实数m 的取值范围是01)(,.15. 函数2()log )f x x =的最小值为14-.16.(1)计算:2213log lg14812lg 1)27100-⎛⎫-++ ⎪⎝⎭【答案】-3 (2)已知11223x x -+=,求22123x x x x --+-+-的值. 【答案】45417. 已知集合{}41|(21)(216)0x x A x ++=--≤与{}131B x m x m =+≤≤-(1)求集合A ;(2)当A B B =时,求实数m 的取值范围.【答案】(1){x |4x 3}A =-≤≤(2)4{|}3m m ≤ 18. 已知1{|39}3x A x =<<,2{log 0}B x x =>. (1)求B ⋂A 和A B ; (2)定义{A B x x A -=∈且}x B ∉,求A B -和B A -.【答案】(1){|12}A B x x ⋂=<< {|1}A B x x ⋃=>- (2){|11}A B x x -=-<≤ {|2}B A x x -=≥19.( 本小题满分12分)已知0>a 且1≠a ,函数()()1log -=x x f a ,()()x x g a-=3log 1(1)若()()()x g x f x h -=,求函数()x h 的值域;(2)利用对数函数单调性讨论不等式()()0≥+x g x f 中x 的取值范围.。
高一数学(必修一)《第四章 指数函数与对数函数》练习题及答案解析-人教版班级:___________姓名:___________考号:___________一、单选题1.某超市宣传在“双十一”期间对顾客购物实行一定的优惠,超市规定:①如一次性购物不超过200元不予以折扣;②如一次性购物超过200元但不超过500元的,按标价给予九折优惠;③如一次性购物超过500元的,其中500元给予9折优惠,超过500元的部分给予八五折优惠.某人两次去该超市购物分别付款176元和441元,如果他只去一次购买同样的商品,则应付款( )A .608元B .591.1元C .582.6元D .456.8元2.德国天文学家,数学家开普勒(J. Kepier ,1571—1630)发现了八大行星的运动规律:它们公转时间的平方与离太阳平均距离的立方成正比.已知天王星离太阳平均距离是土星离太阳平均距离的2倍,土星的公转时间约为10753d .则天王星的公转时间约为( )A .4329dB .30323dC .60150dD .90670d3.函数()f x = )A .()1,0-B .(),1-∞-和()0,1C .()0,1D .(),1-∞-和()0,∞+4.将进货价为每个80元的商品按90元一个出售时,能卖出400个,每涨价1元,销售量就减少20个,为了使商家利润有所增加,则售价a (元/个)的取值范围应是( )A .90100a <<B .90110a <<C .100110a <<D .80100a <<5.某市工业生产总值2018年和2019年连续两年持续增加,其中2018年的年增长率为p ,2019年的年增长率为q ,则该市这两年工业生产总值的年平均增长率为( )A .2p q +;B .()()1112p q ++-;C ;D 1.6.某污水处理厂为使处理后的污水达到排放标准,需要加入某种药剂,加入该药剂后,药剂的浓度C (单位:3mg/m )随时间t (单位:h )的变化关系可近似的用函数()()()210010419t C t t t t +=>++刻画.由此可以判断,若使被处理的污水中该药剂的浓度达到最大值,需经过( )A .3hB .4hC .5hD .6h7.某同学参加研究性学习活动,得到如下实验数据:以下函数中最符合变量y 与x 的对应关系的是( )A .129y x =+B .245y x x =-+C .112410x y =⨯- D .3log 1y x =+ 8.某种植物生命力旺盛,生长蔓延的速度越来越快,经研究,该一定量的植物在一定环境中经过1个月,其覆盖面积为6平方米,经过3个月,其覆盖面积为13.5平方米,该植物覆盖面积y (单位:平方米)与经过时间x (x ∈N )(单位:月)的关系有三种函数模型x y pa =(0p >,1a >)、log a y m x =(0m >,1a >)和y nx α=(0n >,01α<<)可供选择,则下列说法正确的是( )A .应选x y pa =(0p >,1a >)B .应选log a y m x =(0m >,1a >)C .应选y nx α=(0n >,01α<<)D .三种函数模型都可以9.已知函数()21,1,8, 1.x x f x x x ⎧-≤=⎨>⎩若()8f x =,则x =( ) A .3-或1 B .3- C .1 D .310.函数e 1()sin 2e 1x x f x x +=⋅-的部分图象大致为( ) A . B .C .D .二、填空题11.2021年8月30日第九届未来信息通信技术国际研讨会在北京开幕.研讨会聚焦于5G 的持续创新和演进、信息通信的未来技术前瞻与发展、信息通信技术与其他前沿科技的融合创新.香农公式2log 1S C W N ⎛⎫=+ ⎪⎝⎭是被广泛公认的通信理论基础和研究依据,它表示在受噪声干扰的信道中,最大信息传递速率C 取决于信道带宽W 、信道内信号的平均功率S ,信道内部的高斯噪声功率N 的大小,其中S N 叫作信噪比.若不改变信道带宽W ,而将信噪比S N从11提升至499,则最大信息传递速率C 大约会提升到原来的______倍(结果保留1位小数).(参考数据:2log 3 1.58≈和2log 5 2.32≈)12.已测得(,)x y 的两组值为(1,2)和(2,5),现有两个拟合模型,甲21y x =+,乙31y x =-.若又测得(,)x y 的一组对应值为(3,10.2),则选用________作为拟合模型较好.13.半径为1的半圆中,作如图所示的等腰梯形ABCD ,设梯形的上底2BC x =,则梯形ABCD 的最长周长为_________.三、解答题14.如图,某中学准备在校园里利用院墙的一段,再砌三面墙,围成一个矩形花园ABCD ,已知院墙MN 长为25米,篱笆长50米(篱笆全部用完),设篱笆的一面AB 的长为x 米.(1)当AB 的长为多少米时,矩形花园的面积为300平方米?(2)若围成的矩形ABCD 的面积为 S 平方米,当 x 为何值时, S 有最大值,最大值是多少?15.以贯彻“节能减排,绿色生态”为目的,某单位在国家科研部门的支持下,进行技术攻关,采用了新工艺,把二氧化碳转化为一种可利用的化工产品.已知该单位每月的处理量最少为400吨,最多为600吨,月处理成本y (百元)与月处理量x (吨)之间的函数关系可近似地表示为212800200y x x =-+. (1)该单位每月处理量为多少吨时,才能使每吨的平均处理成本最低?(提示:平均处理成本为y x) (2)该单位每月处理成本y 的最小值和最大值分别是多少百元? 16.如图,以棱长为1的正方体的三条棱所在直线为坐标轴,建立空间直角坐标系O xyz -,点P 在线段AB 上,点Q 在线段DC 上.(1)当2PB AP =,且点P 关于y 轴的对称点为M 时,求PM ;(2)当点P 是面对角线AB 的中点,点Q 在面对角线DC 上运动时,探究PQ 的最小值.17.经销商经销某种农产品,在一个销售季度内,每售出1 t 该产品获利润500元,未售出的产品,每1 t 亏损300元.根据历史资料,得到销售季度内市场需求量的频率分布直方图,如图所示.经销商为下一个销售季度购进了130 t 该农产品.以X (单位: t ,100150)X )表示下一个销售季度内的市场需求量,T (单位:元)表示下一个销售季度内经销该农产品的利润.(1)将T 表示为X 的函数;(2)根据直方图估计利润T 不少于57000元的概率;(3)在直方图的需求量分组中,以各组的区间中点值代表该组的各个值,并以需求量落入该区间的频率作为需求量取该区间中点值的概率(例如:若需求量[100X ∈,110),则取105X =,且105X =的概率等于需求量落入[100,110)的频率),求T 的分布列.18.为发展空间互联网,抢占6G 技术制高点,某企业计划加大对空间卫星网络研发的投入.据了解,该企业研发部原有100人,年人均投入()0a a >万元,现把研发部人员分成两类:技术人员和研发人员,其中技术人员有x 名(*x ∈N 且4575x ≤≤),调整后研发人员的年人均投入增加4x %,技术人员的年人均投入调整为275x a m ⎛⎫- ⎪⎝⎭万元. (1)要使调整后研发人员的年总投入不低于调整前的100人的年总投入,则调整后的技术人员最多有多少人?(2)是否存在实数m 同时满足两个条件:①技术人员的年人均投入始终不减少;②调整后研发人员的年总投入始终不低于调整后技术人员的年总投入?若存在,求出m 的值;若不存在,请说明理由.19.某公司今年年初用81万元收购了一个项目,若该公司从第1年到第x (N x +∈且1x >)年花在该项目的其他费用(不包括收购费用)为()20x x +万元,该项目每年运行的总收入为50万元.(1)试问该项目运行到第几年开始盈利?(2)该项目运行若干年后,公司提出了两种方案:①当盈利总额最大时,以56万元的价格卖出;②当年平均盈利最大时,以92万元的价格卖出.假如要在这两种方案中选择一种,你会选择哪一种?请说明理由.20.某工厂产生的废气必须经过过滤后排放,规定排放时污染物的残留含量不得超过原污染物总量的0.5%.已知在过滤过程中的污染物的残留数量P (单位:毫克/升)与过滤时间t (单位:小时)之间的函数关系为0ekt P P -=⋅(k 为常数,0P 为原污染物总量).若前4个小时废气中的污染物被过滤掉了80%,那么要能够按规定排放废气,还需要过滤n 小时,求正整数n 的最小值.21.某科技企业生产一种电子设备的年固定成本为600万元,除此之外每台机器的额外生产成本与产量满足一定的关系式.设年产量为x (0200x <,N x ∈)台,若年产量不足70台,则每台设备的额外成本为11402y x =+万元;若年产量大于等于70台不超过200台,则每台设备的额外成本为2264002080101y x x =+-万元.每台设备售价为100万元,通过市场分析,该企业生产的电子设备能全部售完.(1)写出年利润W (万元)关于年产量x (台)的关系式;(2)当年产量为多少台时,年利润最大,最大值为多少?22.为进一步奏响“绿水青山就是金山银山”的主旋律,某旅游风景区以“绿水青山”为主题,特别制作了旅游纪念章,决定近期投放市场,根据市场调研情况,预计每枚该纪念章的市场价y (单位:元)与上市时间x (单位:天)的数据如下表:(1)根据上表数据,从下列函数中选取一个恰当的函数描述每枚该纪念章的市场价y 与上市时间x 的变化关系并说明理由:①(0)y ax b a =+≠,②()20y ax bx c a =++≠,③()log 0,0,1b y a x a b b =≠>≠,④(0)a y b a x=+≠; (2)利用你选取的函数,求该纪念章市场价最低时的上市天数及最低市场价;(3)利用你选取的函数,若存在()10,x ∈+∞,使得不等式()010f x k x -≤-成立,求实数k 的取值范围.四、多选题23.函数()()22x x af x a R =+∈的图象可能为( )A .B .C .D .五、双空题24.某种病毒经30分钟可繁殖为原来的2倍,且已知病毒的繁殖规律为y=e kt (其中k 为常数;t 表示时间,单位:小时;y 表示病毒个数),则k=____,经过5小时,1个病毒能繁殖为____个.25.已知长为4,宽为3的矩形,若长增加x ,宽减少2x ,则面积最大,此时x =__________,面积S =__________.参考答案与解析1.【答案】B【分析】根据题意求出付款441元时的实际标价,再求出一次性购买实际标价金额商品应付款即可.【详解】由题意得购物付款441元,实际标价为10441=4909元 如果一次购买标价176+490=666元的商品应付款5000.9+1660.85=591.1元.故选:B.2.【答案】B【分析】设天王星和土星的公转时间为分别为T 和T ',距离太阳的平均距离为r 和r ',根据2323T r T r =''2r r '= 结合已知条件即可求解.【详解】设天王星的公转时间为T ,距离太阳的平均距离为r土星的公转时间为T ',距离太阳的平均距离为r '由题意知2r r '= 10753T d '= 所以323238T r r T r r ⎛⎫=== ⎪'''⎝⎭所以1075310753 2.82830409.484T d '==≈⨯=故选:B.3.【答案】B【分析】分别讨论0x ≥和0x <,利用二次函数的性质即可求单调递减区间.【详解】当0x ≥时()f x 210x -+≥解得11x -≤≤,又21y x =-+为开口向下的抛物线,对称轴为0x =,此时在区间()0,1单调递减当0x <时()f x == ()21y x =+为开口向上的抛物线,对称轴为1x =-,此时在(),1-∞-单调递减综上所述:函数()f x =(),1-∞-和()0,1.故选:B.4.【答案】A【分析】首先设每个涨价x 元,涨价后的利润与原利润之差为y 元,结合条件列式,根据0y >,求x 的取值范围,即可得到a 的取值范围.【详解】设每个涨价x 元,涨价后的利润与原利润之差为y 元则290,(10)(40020)1040020200a x y x x x x =+=+⋅--⨯=-+.要使商家利润有所增加,则必须使0y >,即2100x x -<,得010,9090100x x <<∴<+<,所以a 的取值为90100a <<.故选:A5.【答案】D【分析】设出平均增长率,并根据题意列出方程,进行求解【详解】设该市2018、2019这两年工业生产总值的年平均增长率为x ,则由题意得:()()()2111x p q +=++解得11x =,21x =因为20x <不合题意,舍去 故选D .6.【答案】A【分析】利用基本不等式求最值可得.【详解】依题意,0t >,所以11t +>所以()()()()()()221001100110010010164191012116121t t C t t t t t t t ++===≤==++++++++++ 当且仅当1611t t +=+,即t =3时等号成立,故由此可判断,若使被处理的污水中该药剂的浓度达到最大值,需经过3h .故选:A .7.【答案】D 【分析】结合表格所给数据以及函数的增长快慢确定正确选项.【详解】根据表格所给数据可知,函数的增长速度越来越慢A 选项,函数129y x =+增长速度不变,不符合题意. BC 选项,当3x ≥时,函数245y x x =-+、112410x y =⨯-增长越来越快,不符合题意. D 选项,当3x ≥时,函数3log 1y x =+的增长速度越来越慢,符合题意.故选:D8.【答案】A【解析】根据指数函数和幂函数的增长速度结合题意即可得结果.【详解】该植物生长蔓延的速度越来越快,而x y pa =(0p >,1a >)的增长速度越来越快 log a y m x =(0m >,1a >)和y nx α=(0n >,01α<<)的增长速度越来越慢故应选择x y pa =(0p >,1a >).故选:A.9.【答案】B【分析】根据分段函数的解析式,分段求解即可.【详解】根据题意得x ≤1x2−1=8或188x x >⎧⎨=⎩ 解得3,x =-故选:B10.【答案】B【分析】结合图象,先判断奇偶性,然后根据x 趋近0时判断排除得选项.【详解】解:()e 1sin 2e 1x x f x x +=⋅-的定义域为()(),00,∞-+∞()()()e 1e 1sin 2sin 2e 1e 1x x x xf x x x f x --++-=⋅-=⋅=⎡⎤⎣⎦-- ()f x ∴是偶函数,排除A ,C . 又0x >且无限接近0时,101x x e e +>-且sin 20x >,∴此时()0f x >,排除D故选:B .11.【答案】2.5【分析】设提升前最大信息传递速率为1C ,提升后最大信息传递速率为2C ,根据题意求出21C C ,再利用指数、对数的运算性质化简计算即可【详解】设提升前最大信息传递速率为1C ,提升后最大信息传递速率为2C ,则由题意可知()122log 111log 12C W W =+= ()222log 1499log 500C W W =+= 所以()()232322222222122222log 25log 500log 2log 523log 523 2.328.96 2.5log 12log 2log 32log 32 1.58 3.58log 23C W C W ⨯+++⨯====≈=≈+++⨯所以最大信息传递速率C 会提升到原来的2.5倍.故答案为:2.512.【答案】甲【分析】将3x =分别代入甲乙两个拟合模型计算,即可判断.【详解】对于甲:3x =时23110y =+=,对于乙:3x =时8y =因此用甲作为拟合模型较好.故答案为:甲13.【答案】5【分析】计算得出AB CD ==ABCD 的周长为y,可得出22y x =++()0,1t,可得出224y t =-++,利用二次函数的相关知识可求得y 的最大值.【详解】过点B 、C 分别作BE AD ⊥、CF AD ⊥垂足分别为E 、F则//BE CF ,//BC EF 且90BEF ∠=,所以,四边形BCFE 为矩形所以2EF BC x ==AB CD =,BAE CDF ∠=∠和90AEB DFC ∠=∠= 所以,Rt ABE Rt DCF ≅所以12AD EF AE DF x -===-,则OF OD DF x =-= CF =AB CD ∴===设梯形ABCD 的周长为y ,则2222y x x =++=++其中01x <<令()0,1t =,则21x t =-所以()2222212425y t t t ⎛=+-+=-++=-+ ⎝⎭所以,当t =y 取最大值,即max 5y =. 故答案为:5.【点睛】思路点睛:解函数应用题的一般程序:第一步:审题——弄清题意,分清条件和结论,理顺数量关系;第二步:建模——将文字语言转化成数学语言,用数学知识建立相应的数学模型;第三步:求模——求解数学模型,得到数学结论;第四步:还原——将用数学方法得到的结论还原为实际问题的意义;第五步:反思回顾——对于数学模型得到的数学结果,必须验证这个数学解对实际问题的合理性.14.【答案】(1)15米;(2)当 x 为12.5米时, S 有最大值,最大值是312.5平方米.【分析】(1)设篱笆的一面AB 的长为 x 米,则(502)m BC x =-,根据“矩形花园的面积为300平方米”列一元二次方程,求解即可;(2)根据题意,可得(502)S x x =-,根据二次函数最值的求法求解即可.(1)设篱笆的一面AB 的长为 x 米,则(502)m BC x =-由题意得(502)300x x -=解得1215,10x x ==50225x -≤12.5x ∴≥15x ∴=所以,AB 的长为15米时,矩形花园的面积为300平方米;(2)由题意得()()22502250212.5312.5,12.525S x x x x x x =-=-+=--+≤<12.5x ∴=时, S 取得最大值,此时312.5S =所以,当 x 为12.5米时, S 有最大值,最大值是312.5平方米.15.【答案】(1)400吨 (2)最小值800百元,最大值1400百元【分析】(1)求出平均处理成本的函数解析式,利用基本不等式求出最值;(2)利用二次函数单调性求解最值.(1)由题意可知,二氧化碳的每吨平均处理成本为18002200y x x x =+-,显然[]400,600x ∈由基本不等式得:1800222200y x x x =+-≥= 当且仅当1800200x x =,即400x =时,等号成立 故每月处理量为400吨时,才能使每吨的平均处理成本最低;(2)212800200y x x =-+ 对称轴220012200x -=-=⨯ 函数212800200y x x =-+在[400,600]单调递增 当400x =时,则2min 14002400800800200y =⨯-⨯+= 当600x =时,则2max 160026008001400200y =⨯-⨯+= 答:该单位每月处理成本y 的最小值800百元,最大值1400百元.16.【答案】【分析】(1)根据空间直角坐标系写出各顶点的坐标,再由2PB AP =求得121,,33OP ⎛⎫= ⎪⎝⎭,得到P 与M 的坐标,再利用两点距离公式求解即可;(2)由中点坐标公式求得111,,22P ⎛⎫ ⎪⎝⎭,再根据题意设点(,1,)Q a a ,最后利用两点间的距离公式与一元二次函数配方法求PQ 的最小值.(1)所以()22211222131133333PM ⎛⎫⎛⎫=++-++= ⎪ ⎪⎝⎭⎝⎭. (2)因为点P 是面对角线AB 的中点,所以111,,22P ⎛⎫ ⎪⎝⎭,而点Q 在面对角线DC 上运动,故设点(,1,)Q a a[0,1]a ∈则(PQ a ===[0,1]a ∈所以当34a =时,PQ 取得最小值33,1,44Q ⎛⎫ ⎪⎝⎭. 17.【答案】(1)80039000,[100,130)65000,[130,150]X X T X -∈⎧=⎨∈⎩(2)0.7(3)59400 【分析】(1)由题意先分段写出,当[100x ∈,130)和[130x ∈,150)时的利润值,利用分段函数写出即可;(2)由(1)知,利润T 不少于57000元,当且仅当120150x ,再由直方图知需求量[120X ∈,150]的频率为0.7,由此估计得出结论;(3)先求出利润与X 的关系,再利用直方图中的频率计算利润分布列,最后利用公式求其数学期望.(1)解:由题意得,当[100X ∈,130)时500300(130)80039000T X X X =--=-当[130X ∈,150]时50013065000T =⨯=80039000,[100,130)65000,[130,150]X X T X -∈⎧∴=⎨∈⎩(2)解:由(1)知,利润T 不少于57000元,当且仅当120150X .由直方图知需求量[120X ∈,150]的频率为0.7所以下一个销售季度的利润T 不少于57000元的概率的估计值为0.7;(3)解:由题意及(1)可得:所以T 的分布列为:18.【答案】(1)最多有75人 (2)存在 7m =【分析】(1)根据题目要求列出方程求解即可得到结果(2)根据题目要求①先求解出m 关于x 的取值范围,再根据x 的取值范围求得m 的取值范围,之后根据题目要求②列出不等式利用基本不等式求解出m 的取值范围,综上取交集即可 (1)依题意可得调整后研发人员有()100x -人,年人均投入为()14%x a +万元则()()10014%100x x a a -+≥,解得075x ≤≤.又4575x ≤≤,*x ∈N 所以调整后的奇数人员最多有75人.(2)假设存在实数m 满足条件.由条件①,得225x a m a ⎛⎫-≥ ⎪⎝⎭,得2125x m ≥+. 又4575x ≤≤,*x ∈N 所以当75x =时,2125x +取得最大值7,所以7m ≥. 由条件②,得()()210014%25x x x a a m x ⎛⎫-+≥- ⎪⎝⎭,不等式两边同除以ax 得1002112525x x m x ⎛⎫⎛⎫-+≥- ⎪⎪⎝⎭⎝⎭,整理得100325x m x ≤++因为10033725x x ++≥=,当且仅当10025x x =,即50x =时等号成立,所以7m ≤. 综上,得7m =.故存在实数m 为7满足条件.19.【答案】(1)第4年 (2)选择方案②,理由见解析【分析】(1)设项目运行到第x 年的盈利为y 万元,可求得y 关于x 的函数关系式,解不等式0y >可得x 的取值范围,即可得出结论;(2)计算出两种方案获利,结合两种方案的用时可得出结论.(1)解:设项目运行到第x 年的盈利为y 万元则()25020813081=-+-=-+-y x x x x x由0y >,得230810x x -+<,解得327x <<所以该项目运行到第4年开始盈利.(2)解:方案①()22308115144=-+-=--+y x x x当15x =时,y 有最大值144.即项目运行到第15年,盈利最大,且此时公司的总盈利为14456200+=万元方案②818130303012y x x x x x ⎛⎫=-+-=-+≤- ⎪⎝⎭ 当且仅当81x x=,即9x =时,等号成立. 即项目运行到第9年,年平均盈利最大,且此时公司的总盈利为12992200⨯+=万元.综上,两种方案获利相等,但方案②时间更短,所以选择方案②.20.【答案】10【分析】由题可得()400180%e k P P --=,求得ln 54k =,再由000.5%e kt P P -≥可求解. 【详解】由题意,前4个小时消除了80%的污染物因为0e kt P P -=⋅,所以()400180%ek P P --= 所以40.2e k -=,即4ln0.2ln5k -==-,所以ln 54k =则由000.5%e kt P P -≥,得ln 5ln 0.0054t ≥- 所以4ln 20013.2ln 5t ≥≈ 故正整数n 的最小值为14410-=.21.【答案】(1)2**160600,070,N 264001480,70200,N x x x x W x x x x ⎧-+-<<∈⎪⎪=⎨⎛⎫⎪-+∈ ⎪⎪⎝⎭⎩;(2)当年产量为80台时,年利润最大,最大值为1320万元.【分析】(1)根据题意,分段表示出函数模型,即可求解;(2)根据题意,结合一元二次函数以及均值不等式,即可求解.(1)当070x <<,*N x ∈时 211100406006060022W x x x x x ⎛⎫=-+-=-+- ⎪⎝⎭; 当70200x ≤≤,*N x ∈时26400208064001001016001480W x x x x x x ⎛⎫⎛⎫=-+--=-+ ⎪ ⎪⎝⎭⎝⎭. ∴.2**160600,070,N 264001480,70200,N x x x x W x x x x ⎧-+-<<∈⎪⎪=⎨⎛⎫⎪-+∈ ⎪⎪⎝⎭⎩; (2)①当070x <<,*N x ∈时 221160600(60)120022W x x x =-+-=--+ ∴当60x =时,y 取得最大值,最大值为1200万元.②当70200x ≤≤,*N x ∈时6400148014801320W x x ⎛⎫=-+≤- ⎪⎝⎭ 当且仅当6400x x =,即80x =时,y 取得最大值1320∵13201200>∴当年产量为80台时,年利润最大,最大值为1320万元.22.【答案】(1)选择()20y ax bx c a =++≠,理由见解析(2)当该纪念章上市10天时,市场价最低,最低市场价为每枚70元(3)k ≥【分析】(1)由表格数据分析变量x 与变量y 的关系,由此选择对应的函数关系;(2)由已知数据求出函数解析式,再结合函数性质求其最值;(3)不等式可化为()17010210x k x -+≤-,由条件可得()min 17010210x k x ⎡⎤-+≤⎢⎥-⎣⎦,利用函数的单调性求()17010210y x x =-+-的最小值,由此可得k 的取值范围. (1)由题表知,随着时间x 的增大,y 的值随x 的增大,先减小后增大,而所给的函数(0)y ax b a =+≠ ()log 0,0,1b y a x a b b =≠>≠和(0)a y b a x =+≠在(0,)+∞上显然都是单调函数,不满足题意,故选择()20y ax bx c a =++≠.(2)得42102,36678,40020120,a b c a b c a b c ++=⎧⎪++=⎨⎪++=⎩∴当10x =时,y 有最小值,且min 70y =.故当该纪念章上市10天时,市场价最低,最低市场价为每枚70元.(3)令()()()1701010210f x g x x x x ==-+--(10,)x ∞∈+因为存在()10,x ∈+∞,使得不等式()0g x k -≤成立则()min k g x ≥.又()()17010210g x x x =-+-在(10,10+上单调递减,在()10++∞上单调递增 ∴当10x =+()g x取得最小值,且最小值为(10g +=∴k ≥23.【答案】ABD【解析】根据函数解析式的形式,以及图象的特征,合理给a 赋值,判断选项.【详解】当0a =时()2x f x =,图象A 满足; 满足;图象C 过点()0,1,此时0a =,故C 不成立.故选:ABD【点睛】思路点睛:函数图象的辨识可从以下方面入手:(1)从函数的定义域,判断图象的左右位置;从函数的值域,判断图象的上下位置.(2)从函数的单调性,判断图象的变化趋势;(3)从函数的奇偶性,判断图象的对称性;(4)从函数的特征点,排除不合要求的图象.24.【答案】2ln2 1024【详解】当t=0.5时,y=2,∴2=12e k ,∴k=2ln 2,∴y=e 2t ln 2 当t=5时,y=e 10ln 2=210=1 024.25.【答案】1 1212【详解】S =(4+x) 32x ⎛⎫- ⎪⎝⎭=-22x +x +12=-12 (x 2-2x)+12=-12 (x -1)2+252. 当x =1时,S max =252,故填1和252.。
高一数学指数函数和对数函数试题答案及解析1.若,那么满足的条件是()A.B.C.D.【答案】C【解析】即,所以,,故选C。
【考点】本题主要考查对数函数的单调性。
点评:解对数不等式,主要考虑化同底数对数,利用函数的单调性。
2.。
【答案】2【解析】==2lg10=2.【考点】本题主要考查对数运算。
点评:简单题,利用对数运算法则及对数性质。
3.已知函数的定义域为,值域为,求的值。
【答案】【解析】由,得,即∵,即由,得,由根与系数的关系得,解得【考点】本题主要考查对数函数的图象和性质,复合函数。
点评:已知函数定义域、值域,求参数问题,往往从求值域方法入手。
4.函数在上的最大值与最小值的和为3,则.【答案】2;【解析】因为,指数函数是单调函数,所以函数在上的最大值与最小值在区间[0,1]端点处取到,=3,a=2.【考点】本题主要考查指数函数的图象和性质,指数不等式解法。
点评:指数函数是重要函数之一,其图象和性质要牢记。
解答本题的关键是认识到最值在区间端点取到。
5.已知函数,判断的奇偶性和单调性。
【答案】(1)是奇函数;(2)为增函数。
【解析】(1),∴是奇函数(2),且,则,∴为增函数。
【考点】本题主要考查指数函数的图象和性质,复合函数,函数的奇偶性好的东西。
点评:判断函数的奇偶性,其必要条件是定义域关于原点对称。
6.已知函数,(1)求的定义域;(2)判断的奇偶性。
【答案】(1);(2)为非奇非偶函数.【解析】(1)∵,∴,又由得,∴的定义域为。
(2)∵的定义域不关于原点对称,∴为非奇非偶函数。
【考点】本题主要考查对数函数的图象和性质,复合函数,函数的奇偶性。
点评:判断函数的奇偶性,其必要条件是定义域关于原点对称。
7.已知函数的定义域为,值域为,求的值。
【答案】【解析】由,得,即∵,即由,得,由根与系数的关系得,解得【考点】本题主要考查对数函数的图象和性质,复合函数。
点评:已知函数定义域、值域,求参数问题,往往从求值域方法入手。
指数与对数函数综合练习(精选题)含答案一.选择题(共24小题)1.已知a=log52,b=log0.50.2,c=0.50.2,则a,b,c的大小关系为()A.a<c<b B.a<b<c C.b<c<a D.c<a<b2.已知正实数a,b,c满足:,则()A.a<b<c B.c<b<a C.b<c<a D.c<a<b3.已知x1=1n,x2=e,x3满足e=1nx3,则正确的是()A.x1<x2<x3B.x1<x3<x2C.x2<x1<x3D.x3<x1<x24.若点(log147,log1456)在函数f(x)=kx+3的图象上,则f(x)的零点为()A.1B.C.2D.5.化简的值得()A.8B.10C.﹣8D.﹣106.函数f(x)=lnx+2x﹣6有零点的区间是()A.(0,1)B.(1,2)C.(2,3)D.(﹣1,2)7.方程x3﹣lgx=0在区间(0,10)内实数解的个数是()A.0个B.1个C.2个D.3个8.已知0<a<1,则函数y=a x和y=(a﹣1)x2在同坐标系中的图象只能是图中的()A.B.C.D.9.对于函数f(x)=log a x(0<a<1),在其定义域内任意的x1、x2且x1≠x2,有如下结论:①f(x1+x2)=f(x1)•f(x2);②f(x1•x2)=f(x1)+f(x2);③;④.上述结论中正确结论的个数是()A.0B.1C.2D.310.已知函数f(x)=,若函数g(x)=f(x)﹣b有两个零点,则实数b的取值范围是()A.0<b<1B.b<0C.﹣2<b<0D.﹣1<b<011.若函数f(x)=log a x(0<a<1)在区间[a,2a]上的最大值是最小值的3倍,则a等于()A.B.C.D.12.方程的解的个数为()A.0B.1C.2D.313.已知f(x)=3x+3﹣x,若f(a)=4,则f(2a)=()A.4B.14C.16D.1814.函数f(x)=2x+x的零点所在的一个区间是()A.(1,2)B.(0,1)C.(﹣1,0)D.(﹣2,﹣1)15.函数f(x)=的定义域为()A.[1,2)B.(1,2]C.(1,2)D.(﹣∞,2)16.已知lga、lgb是方程6x2﹣4x﹣3=0的两根,则(lg)2等于()A.B.C.D.17.已知偶函数f(x)在区间[0,+∞)上单调递增,则满足条件f(2x+1)<f(5)的x的取值范围是()A.(﹣3,2)B.(﹣2,3)C.(﹣2,2)D.[﹣3,2]18.函数的定义域为()A.(﹣4,﹣1)B.(﹣4,1)C.(﹣1,1)D.(﹣1,1]19.已知0<a<1,函数y=a x与y=log a(﹣x)的图象可能是()A.B.C.D.20.已知函数f(x)是奇函数,且当x<0时,f(x)=5﹣x﹣1,则f(log499•log57)的值为()A.﹣4B.﹣2C.D.21.若<,则实数m的取值范围为()A.m B.1C.1D.22.已知f(x)是定义在R上的偶函数,且f(x)在[0,+∞)上单调递增,若实数a满足f(log3a)<f(1),则a的取值范围是()A.(0,),B.()C.()D.(3,+∞)23.已知a>0.a≠1,且f(x)=a x﹣1+1og a x在区间[1,2]上的最大值与最小值之和为a,则a的值为()A.B.C.2D.424.定义在R上的偶函数y=f(x)在[0,+∞)上递减,且,则满足的x的取值范围是()A.(0,)∪(2,+∞)B.(,1)∪(1,2)C.(﹣∞,)∪(2,+∞)D.(,1)∪(2,+∞)二.填空题(共14小题)25.已知函数f(x)=log2(x2+a),若f(3)=1,则a=.26.已知λ∈R,函数f(x)=,当λ=2时,不等式f(x)<0的解集是.若函数f(x)恰有2个零点,则λ的取值范围是.27.已知幂函数过点(2,8),则此幂函数的解析式为.28.已知函数f(x)=的值为.29.函数f(x)=lg(3x﹣2)+2恒过定点.30.若lgx=m,lgy=n,用m,n表示的值为.31.当x∈[﹣1,1]时,函数f(x)=3x﹣2的值域是.32.若指数函数f(x)=(a2﹣1)x(a>0)是减函数,则实数a的取值范围是.33.设,则实数a的取值范围是.34.函数f(x)=lg(x2﹣3x﹣10)的单调递增区间是.35.设f(x)为偶函数,且在(0,+∞)上是增函数,则f(1),f(﹣2),f(﹣3)的大小关系是.36.计算:e ln2+lg2+lg5=.37.若函数y=f(x)的定义域是[0,2],则函数g(x)=的定义域是.38.函数f(x)=a x(a>0且a≠1)在区间[1,2]上的最大值为4,最小值为m,则m=.三.解答题(共12小题)39.化简:(Ⅰ)(a>0,b>0);(Ⅱ).40.计算下列各式的值:(1).(2).41.已知函数f(x)=log a(1﹣x)+log a(x+3)(0<a<1)(1)求函数f(x)的定义域;(2)求函数f(x)的零点;(3)若函数f(x)的最小值为﹣4,求a的值.42.求下列各式中的x值集合:(1)ln(x﹣1)<1(2),其中a>0且a≠1.43.已知函数f(x)=,x∈R.(Ⅰ)求f(x)的单调区间;(Ⅱ)求f(x)的值域.44.已知函数f(x)=a x﹣1(x≥0)的图象经过点,其中a>0且a≠1.(1)求a的值;(2)求函数y=f(x)(x≥0)的值域.45.已知函数,(1)求f(x)的定义域和值域;(2)讨论f(x)的奇偶性;(3)讨论f(x)的单调性.46.已知函数f(x)=x2﹣2|x|.(1)在所给坐标系中,画出函数f(x)的图象并写出f(x)的单调递增区间;(2)若函数g(x)=f(x)+3a﹣1有4个零点,求a的取值范围.47.设f(x)=.(1)判断函数f(x)的奇偶性;(2)讨论函数f(x)在区间(0,+∞)上的单调性.48.已知函数f(x)=log a(x+2)﹣1(a>0且a≠1).(Ⅰ)若f(6)=2,求函数f(x)的零点;(Ⅱ)若f(x)在[1,2]上的最大值与最小值互为相反数,求a的值.49.已知函数f(x)=,(Ⅰ)求f(f())的值;(Ⅱ)若f(a)>,求a的取值范围.50.已知函数.(1)若f(x)是定义在R上的偶函数,求实数a的值;(2)在(1)的条件下,若g(x)=f(x)﹣2,求函数g(x)的零点.指数与对数函数综合练习(精选题)参考答案与试题解析一.选择题(共24小题)1.已知a=log52,b=log0.50.2,c=0.50.2,则a,b,c的大小关系为()A.a<c<b B.a<b<c C.b<c<a D.c<a<b【解答】解:由题意,可知:a=log52<1,b=log0.50.2===log25>log24=2.c=0.50.2<1,∴b最大,a、c都小于1.∵a=log52=,c=0.50.2===.而log25>log24=2>,∴<.∴a<c,∴a<c<b.故选:A.2.已知正实数a,b,c满足:,则()A.a<b<c B.c<b<a C.b<c<a D.c<a<b【解答】解:作图如下:如图:1<b<a,0<c<1,所以c<b<a.故选:B.3.已知x1=1n,x2=e,x3满足e=1nx3,则正确的是()A.x1<x2<x3B.x1<x3<x2C.x2<x1<x3D.x3<x1<x2【解答】解:∵e﹣x>0;∴lnx3>0;∴x3>1;又;∴x1<x2<x3.故选:A.4.若点(log147,log1456)在函数f(x)=kx+3的图象上,则f(x)的零点为()A.1B.C.2D.【解答】解:根据题意,点(log147,log1456)在函数f(x)=kx+3的图象上,则log1456=k×log147+3,变形可得:k=﹣2,则f(x)=﹣2x+3,若f(x)=0,则x=,即f(x)的零点为,故选:D.5.化简的值得()A.8B.10C.﹣8D.﹣10【解答】解:原式=+=9﹣1=8.故选:A.6.函数f(x)=lnx+2x﹣6有零点的区间是()A.(0,1)B.(1,2)C.(2,3)D.(﹣1,2)【解答】解:∵f(1)=﹣4<0,f(2)=ln2﹣2<0 f(3)=ln3>0∴f(2)f(3)<0∴函数的零点在(2,3)故选:C.7.方程x3﹣lgx=0在区间(0,10)内实数解的个数是()A.0个B.1个C.2个D.3个【解答】解:作出y=x3与y=lgx在(0,10)上的函数图象如图所示:由图象可知两函数图象没有公共点,∴方程x3﹣lgx=0在(0,10)上无解.故选:A.8.已知0<a<1,则函数y=a x和y=(a﹣1)x2在同坐标系中的图象只能是图中的()A.B.C.D.【解答】解:∵0<a<1,∴y=a x是减函数,∵0<a<1,∴a﹣1<0,∴y=(a﹣1)x2开口向下,故选:D.9.对于函数f(x)=log a x(0<a<1),在其定义域内任意的x1、x2且x1≠x2,有如下结论:①f(x1+x2)=f(x1)•f(x2);②f(x1•x2)=f(x1)+f(x2);③;④.上述结论中正确结论的个数是()A.0B.1C.2D.3【解答】解:函数f(x)=log a x(0<a<1),由对数函数的性质f(x)在(0,+∞)递减,是凹函数,故③④错误,由f(x1•x2)=log a(x1•x2)=log a x1+log a x2=f(x1)+f(x2),故①错误,②正确,故选:B.10.已知函数f(x)=,若函数g(x)=f(x)﹣b有两个零点,则实数b的取值范围是()A.0<b<1B.b<0C.﹣2<b<0D.﹣1<b<0【解答】解:作出函数f(x)=的图象,令g(x)=0,可得f(x)=b,画出直线y=b,平移可得当﹣1<b<0时,直线y=b和函数y=f(x)有两个交点,则g(x)的零点有两个.故选:D.11.若函数f(x)=log a x(0<a<1)在区间[a,2a]上的最大值是最小值的3倍,则a等于()A.B.C.D.【解答】解:∵0<a<1,∴f(x)=log a x是减函数.∴log a a=3•log a2a.∴log a2a=.∴1+log a2=.∴log a2=﹣.∴a=.故选:A.12.方程的解的个数为()A.0B.1C.2D.3【解答】解:在同一坐标系中作出函数的图象如下图所示:由图可知函数的图象只有一个交点故方程的解的个数为1个故选:B.13.已知f(x)=3x+3﹣x,若f(a)=4,则f(2a)=()A.4B.14C.16D.18【解答】解:∵f(x)=3x+3﹣x,∴f(a)=3a+3﹣a=4,平方得32a+2+3﹣2a=16,即32a+3﹣2a=14.即f(2a)=32a+3﹣2a=14.故选:B.14.函数f(x)=2x+x的零点所在的一个区间是()A.(1,2)B.(0,1)C.(﹣1,0)D.(﹣2,﹣1)【解答】解:∵f(﹣1)=2﹣1﹣1=﹣<0,f(0)=1>0,∴f(﹣1)f(0)<0,函数f(x)=2x+x的零点所在的一个区间是(﹣1,0)故选:C.15.函数f(x)=的定义域为()A.[1,2)B.(1,2]C.(1,2)D.(﹣∞,2)【解答】解:要使f(x)有意义,则;解得1≤x<2;∴f(x)的定义域为[1,2).故选:A.16.已知lga、lgb是方程6x2﹣4x﹣3=0的两根,则(lg)2等于()A.B.C.D.【解答】解:∵lga、lgb是方程6x2﹣4x﹣3=0的两根,∴lga+lgb=,lgalgb=﹣,∴(lg)2=(lga+lgb)2﹣4lgalgb=﹣4×(﹣)=,故选:D.17.已知偶函数f(x)在区间[0,+∞)上单调递增,则满足条件f(2x+1)<f(5)的x的取值范围是()A.(﹣3,2)B.(﹣2,3)C.(﹣2,2)D.[﹣3,2]【解答】解:根据题意,函数f(x)为偶函数且在区间[0,+∞)上单调递增,f(2x+1)<f(5)⇒|2x+1|<5,即﹣5<2x+1<5,解可得:﹣3<x<2;即x的取值范围为(﹣3,2);故选:A.18.函数的定义域为()A.(﹣4,﹣1)B.(﹣4,1)C.(﹣1,1)D.(﹣1,1]【解答】解:由题意知,函数的定义域为,解得﹣1<x<1,故选:C.19.已知0<a<1,函数y=a x与y=log a(﹣x)的图象可能是()A.B.C.D.【解答】解:函数y=a x与y=log a x互为反函数,其图象关于直线y=x对称,y=log a(﹣x)与y=log a x的图象关于y轴对称,又0<a<1,根据函数的单调性即可得出.故选:D.20.已知函数f(x)是奇函数,且当x<0时,f(x)=5﹣x﹣1,则f(log499•log57)的值为()A.﹣4B.﹣2C.D.【解答】解:=;又x<0时,f(x)=5﹣x﹣1,且f(x)为奇函数;∴==﹣2.故选:B.21.若<,则实数m的取值范围为()A.m B.1C.1D.【解答】解:由题意得:,解得:1≤m<,故选:C.22.已知f(x)是定义在R上的偶函数,且f(x)在[0,+∞)上单调递增,若实数a满足f(log3a)<f(1),则a的取值范围是()A.(0,),B.()C.()D.(3,+∞)【解答】解:根据题意,f(x)是定义在R上的偶函数,且在[0,+∞)上单调递增,则f(log3a)<f(1)⇒f(|log3a|)<f(1)⇒|log3a|<1,即﹣1<log3a<1,解可得:<x<3,即a的取值范围为(,3);故选:B.23.已知a>0.a≠1,且f(x)=a x﹣1+1og a x在区间[1,2]上的最大值与最小值之和为a,则a的值为()A.B.C.2D.4【解答】解:当a>1时,y=1og a x,y=a x﹣1均为[1,2]上的递增函数,可得f(x)在[1,2]上为递增函数;同样0<a<1时,f(x)在[1,2]上为递减函数;即有f(x)在[1,2]为单调函数,由题意可得f(1)+f(2)=1+0+a+log a2=a,解得a=,故选:B.24.定义在R上的偶函数y=f(x)在[0,+∞)上递减,且,则满足的x的取值范围是()A.(0,)∪(2,+∞)B.(,1)∪(1,2)C.(﹣∞,)∪(2,+∞)D.(,1)∪(2,+∞)【解答】解:∵定义在R上的偶函数y=f(x)在[0,+∞)上递减,且,∴f(﹣)=0,且函数f(x)在(﹣∞,0)上单调递增,则由,可得>=,或<﹣=,解得0<x<,或x>2,故选:A.二.填空题(共14小题)25.已知函数f(x)=log2(x2+a),若f(3)=1,则a=﹣7.解:函数f(x)=log2(x2+a),若f(3)=1,可得:log2(9+a)=1,可得a=﹣7.故答案为:﹣7.26.已知λ∈R,函数f(x)=,当λ=2时,不等式f(x)<0的解集是{x|1<x<4}.若函数f(x)恰有2个零点,则λ的取值范围是(1,3]∪(4,+∞).【解答】解:当λ=2时函数f(x)=,显然x≥2时,不等式x﹣4<0的解集:{x|2≤x<4};x<2时,不等式f(x)<0化为:x2﹣4x+3<0,解得1<x<2,综上,不等式的解集为:{x|1<x<4}.函数f(x)恰有2个零点,函数f(x)=的草图如图:函数f(x)恰有2个零点,则1<λ≤3或λ>4.故答案为:{x|1<x<4};(1,3]∪(4,+∞).27.已知幂函数过点(2,8),则此幂函数的解析式为y=x3.【解答】解:设幂函数为y=x a,∵幂函数过点(2,8),∴2a=8,解得a=3,∴此幂函数的解析式y=x3.故答案为:y=x3.28.已知函数f(x)=的值为.【解答】解:∵>0∴f()=log3=﹣2∵﹣2<0∴f(﹣2)=2﹣2=故答案为.29.函数f(x)=lg(3x﹣2)+2恒过定点(1,2).【解答】解:由题意,令3x﹣2=1,得x=1,此时y=2函数f(x)=lg(3x﹣2)+2恒过定点(1,2)故答案为:(1,2).30.若lgx=m,lgy=n,用m,n表示的值为.【解答】解:==.故答案为:.31.当x∈[﹣1,1]时,函数f(x)=3x﹣2的值域是.【解答】解:∵函数f(x)=3x的底数3>1∴函数f(x)=3x在R上为增函数∴函数f(x)=3x﹣2在区间[﹣1,1]为增函数当x=﹣1时,函数有最小值3﹣1﹣2=当x=1时,函数有最大值31﹣2=1故当x∈[﹣1,1]时函数f(x)=3x﹣2的值域是故答案为:32.若指数函数f(x)=(a2﹣1)x(a>0)是减函数,则实数a的取值范围是(1,).【解答】解:根据题意,指数函数f(x)=(a2﹣1)x(a>0)是减函数,则有0<a2﹣1<1,又由a>0,则有1<a<,即a的取值范围为(1,);故答案为:(1,).33.设,则实数a的取值范围是.【解答】解:∵,当a>1时,由于,不等式显然成立.当1>a>0时,由=log a a可得0<a<.综上可得,不等式的解集为,故答案为.34.函数f(x)=lg(x2﹣3x﹣10)的单调递增区间是(5,+∞).【解答】解:由x2﹣3x﹣10>0可得x<﹣2或x>5,∵u=x2﹣3x﹣10在(5,+∞)单调递增,而y=lgu是增函数由复合函数的同增异减的法则可得,函数f(x)=lg(x2﹣3x﹣10)的单调递增区间是(5,+∞)故答案为:(5,+∞).35.设f(x)为偶函数,且在(0,+∞)上是增函数,则f(1),f(﹣2),f(﹣3)的大小关系是f(1)<f(﹣2)<f(﹣3).【解答】解:根据题意,若f(x)为偶函数,则f(﹣2)=f(2),f(﹣3)=f(3),又由函数f(x)在(0,+∞)上是增函数,则f(1)<f(2)<f(3),则有f(1)<f(﹣2)<f(﹣3),故答案为:f(1)<f(﹣2)<f(﹣3).36.计算:e ln2+lg2+lg5=3.【解答】解:e ln2+lg2+lg5=2+lg10=2+1=3.故答案为:3.37.若函数y=f(x)的定义域是[0,2],则函数g(x)=的定义域是().【解答】解:∵函数y=f(x)的定义域是[0,2],∴要使函数g(x)=有意义,则,解得:.∴函数g(x)=的定义域为().故答案为:().38.函数f(x)=a x(a>0且a≠1)在区间[1,2]上的最大值为4,最小值为m,则m=2.【解答】解:若a>1,∵函数f(x)=a x(a>0,a≠1)在区间[1,2]上的最大值为4,最小值为m,∴a2=4,解得:a=2,而m=a,故m=2,符合题意;若0<a<1,∵函数f(x)=a x(a>0,a≠1)在区间[1,2]上的最大值为4,最小值为m,∴a=4,m=a2,解得m=16,不合题意,∴m=2,故答案为:2.三.解答题(共12小题)39.化简:(Ⅰ)(a>0,b>0);(Ⅱ).【解答】解:(Ⅰ)原式=…(2分)=…(3分)=…(4分)(Ⅱ)原式=…(6分)==1…(8分)40.计算下列各式的值:(1).(2).【解答】解:(1)原式=﹣1﹣+16=16.(2)原式=+2+2=.41.已知函数f(x)=log a(1﹣x)+log a(x+3)(0<a<1)(1)求函数f(x)的定义域;(2)求函数f(x)的零点;(3)若函数f(x)的最小值为﹣4,求a的值.【解答】解:(1)要使函数有意义:则有,解之得:﹣3<x<1,则函数的定义域为:(﹣3,1)(2)函数可化为f(x)=log a(1﹣x)(x+3)=log a(﹣x2﹣2x+3)由f(x)=0,得﹣x2﹣2x+3=1,即x2+2x﹣2=0,∵,∴函数f(x)的零点是(3)函数可化为:f(x)=log a(1﹣x)(x+3)=log a(﹣x2﹣2x+3)=log a[﹣(x+1)2+4]∵﹣3<x<1,∴0<﹣(x+1)2+4≤4,∵0<a<1,∴log a[﹣(x+1)2+4]≥log a4,即f(x)min=log a4,由log a4=﹣4,得a﹣4=4,∴42.求下列各式中的x值集合:(1)ln(x﹣1)<1(2),其中a>0且a≠1.【解答】解(1)∵ln(x﹣1)<1=lne,∴0<x﹣1<e,∴1<x<1+e故不等式的解集是{x|1<x<1+e}(2)解:可变为a2x﹣1>a2﹣x当a>1时,有2x﹣1>2﹣x得x>1当<0a<1时,有2x﹣1<2﹣x得x<1故不等式的解是a>1:x∈(1,+∞);0<a<1:x∈(﹣∞,1)43.已知函数f(x)=,x∈R.(Ⅰ)求f(x)的单调区间;(Ⅱ)求f(x)的值域.【解答】解:(Ⅰ)此函数f(x)=的定义域为R,令t=2x﹣x2=﹣(x﹣1)2+1,则f(x)=2t,f(x)的单调增区间,即t的增区间为(﹣∞,1),f(x)的单调减区间,即t的减区间为(1,+∞).(Ⅱ)∵t=2x﹣x2=﹣(x﹣1)2+1∈(﹣∞,1],则f(x)=2t∈(0,2],即f(x)的值域为(0,2].44.已知函数f(x)=a x﹣1(x≥0)的图象经过点,其中a>0且a≠1.(1)求a的值;(2)求函数y=f(x)(x≥0)的值域.【解答】解:(1)由题意得所以(2)由(1)得因为函数在[0,+∞)上是减函数所以当x=0时f(x)由最大值所以f(x)max=2所以f(x)∈(0,2]所以函数y=f(x)(x≥0)的值域为(0,2].45.已知函数,(1)求f(x)的定义域和值域;(2)讨论f(x)的奇偶性;(3)讨论f(x)的单调性.【解答】解:(1)由分母1+2x≠0,故定义域为R,函数的解析式可以变为,由于2x+1>1,故1>>0故2>>0∴的取值范围是(﹣1,1)(2)函数是一个奇函数,证明如下,故是一个奇函数.(3)先证f(x)在(0,+∞)是一个减函数,证明如下由于,在(0,+∞)上,2x+1递增且函数值大于0,在(0,+∞)上是减函数,故,在(0,+∞)上是增函数,又因为f(x)是奇函数,且f(0)=0,所以f(x)在(﹣∞,+∞)是一个增函数.46.已知函数f(x)=x2﹣2|x|.(1)在所给坐标系中,画出函数f(x)的图象并写出f(x)的单调递增区间;(2)若函数g(x)=f(x)+3a﹣1有4个零点,求a的取值范围.【解答】解:(1)f(x)=,其图象如右:由图象可知:f(x)单调递增区间为:[﹣1,0],[1,+∞);(2)因为函数g(x)=f(x)+3a﹣1有4个零点⇔f(x)+3a﹣1=0有4个实根⇔f(x)=﹣3a+1有4个实根⇔函数y=f(x)与函数y=﹣3a+1的图象有4个交点,由图可知:﹣1<﹣3a+1<0,解得:a <,故实数a的取值范围是(,).47.设f(x)=.(1)判断函数f(x)的奇偶性;(2)讨论函数f(x)在区间(0,+∞)上的单调性.【解答】解:(1)根据题意,f(x)=,则f(﹣x)====f(x),则函数f(x)为偶函数;(2)因为f(x)==﹣x+,所以f′(x)=﹣1+=﹣1+﹣,因为x>0,所以2x+1>2,∴<1,∴﹣1+<0,∴f′(x)<0,故函数f(x)在区间(0,+∞)上是减函数.48.已知函数f(x)=log a(x+2)﹣1(a>0且a≠1).(Ⅰ)若f(6)=2,求函数f(x)的零点;(Ⅱ)若f(x)在[1,2]上的最大值与最小值互为相反数,求a的值.【解答】解:(Ⅰ)∵函数f(x)=log a(x+2)﹣1(a>0且a≠1),f(6)=2,即log a(6+2)﹣1=2,∴log a8=3,即a3=8,∴a=2,∴f(x)=log2(x+2)﹣1,令f(x)=0,即log2(x+2)﹣1=0,∴x+2=2,∴x=0,即f(x)的零点为x=0;(Ⅱ)∵无论a>1或0<a<1,f(x)均为单调函数,∴最值均在区间端点取得,∵f(x)在x∈[1,2]上的最大值与最小值互为相反数,∴f(1)+f(2)=0,即log a3﹣1+log a4﹣1=0,∴log a12=2,∴a2=12,∴a=,又∵a>0且a≠1,∴a=2.49.已知函数f(x)=,(Ⅰ)求f(f())的值;(Ⅱ)若f(a)>,求a的取值范围.【解答】解:(Ⅰ)∵函数f(x)=,∴f()==﹣2,f(f())=f(﹣2)=4﹣2=.…(2分)(Ⅱ)f(a)>等价于或,…(6分)解得a的取值范围是()∪(﹣,0].…(8分)50.已知函数.(1)若f(x)是定义在R上的偶函数,求实数a的值;(2)在(1)的条件下,若g(x)=f(x)﹣2,求函数g(x)的零点.【解答】(1)解:∵f(x)是定义在R上的偶函数.∴f(﹣1)=f(1),即,故.函数f(x)=,f(﹣x)===f(x).所以a=1满足题意.(2)依题意=.则由22x+1=2x+2,得(2x)2﹣4(2x)+1=0,令2x=t(t>0),则t2﹣4t+1=0,解得.即.∴函数g(x)有两个零点,分别为和.第21页(共21页)。
一、选择题1.下列各组函数中,表示同一个函数的是( )A .211x y x -=-与1y x =+B .y x =与log xa y a =(0a >且1a ≠)C .21y x =-与1y x =-D .lg y x =与21lg 2y x =2.函数12xy ⎛⎫= ⎪⎝⎭的大致图象是( ). A . B .C .D .3.我国著名数学家华罗庚曾说过:“数缺形时少直观,形少数时难入微:数形结合百般好,隔离分家万事休”.在数学学习中和研究中,常用函数的图象来研究函数的性质,页常用函数的解析式来琢磨函数图象的特征,如函数()22xy xx R =-∈的大致图象是( )A .B .C .D .4.已知函数()()3,<1log ,1a a x a x f x x x ⎧--=⎨≥⎩的值域..是R ,那么实数a 的取值范围是( ) A .31,2⎛⎤ ⎥⎝⎦B .()1,+∞C .()()0,11,3D .3,32⎡⎫⎪⎢⎣⎭5.已知函数22()lg[(1)(1)1]f x a x a x =-+++的值域为R .则实数a 的取值范围是( ) A .5[1,]3B .5(1,]3C .(]5,1(,)3-∞-⋃+∞D .()5,1[1,)3-∞-6.已知:23log 2a =,42log 3b =,232c -⎛⎫= ⎪⎝⎭,则a ,b ,c 的大小关系是( )A .b c a <<B .b a c <<C .c b a <<D .c a b <<7.函数()212()log 4f x x =-的单调递增区间为( ). A .(0,+∞)B .(-,0)C .(2,+∞)D .(-,-2)8.已知函数()f x 是定义在R 上的单调递增的函数,且满足对任意的实数x 都有[()3]4x f f x -=,则()()f x f x +-的最小值等于( ).A .2B .4C .8D .129.函数1()1x f x a +=-恒过定点( )A .(1,1)B .(1,1)-C .(1,0)-D .(1,1)--10.如图是指数函数①y =x a ;②y =x b ;③y =c x ;④y =d x 的图象,则a ,b ,c ,d 与1的大小关系是( )A .a <b <1<c <dB .b <a <1<d <cC .1<a <b <c <dD .a <b <1<d <c11.函数2()ln(43)f x x x =+-的单调递减区间是( )A .32⎛⎤-∞ ⎥⎝⎦,B .3,42⎡⎫⎪⎢⎣⎭C .3,2⎡⎫+∞⎪⎢⎣⎭D .31,2⎛⎤- ⎥⎝⎦12.已知函数()2,01,0x x f x x x >⎧=⎨+≤⎩,若()()10f a f +=,则实数a 的值等于( )A .-3B .-1C .1D .3二、填空题13.下列命题中所有正确的序号是_____________.①函数1()3x f x a -=+(0a >且1)a ≠的图像一定过定点(1,4)P ; ②函数(1)f x -的定义域是(1,3),则函数()f x 的定义域为(2,4); ③若1log 12a>,则a 的取值范围是112⎛⎫⎪⎝⎭,; ④若22ln ln()x y x y -->-- (0x >,0y <),则0x y +<.14.函数()log 31a y x =+-.(0a >且1a ≠)的图像恒过定点A ,若点A 在直线10mx ny ++=上(其中m ,0n >),则12m n+的最小值等于__________. 15.设函数2()ln(1)f x x x =+,若()23(21)0f a f a +-<,则实数a 的取值范围为_____.16.函数()()cos1log sin f x x =的单调递增区间是____________. 17.函数()()212log 56f x x x =-+的单调递增区...间是__________. 18.已知奇函数()()y f x x R =∈满足:对一切x ∈R ,()()11f x f x +=-且[]0,1x ∈时,()1xf x e =-,则()2019f f =⎡⎤⎣⎦__________.19.设函数122,1()1log ,1x x f x x x -⎧≤=⎨->⎩,则满足()2f x ≤的x 的取值范围是_______________.20.如果()231log 2log 9log 64x x x f x =-+-,则使()0f x <的x 的取值范围是______.三、解答题21.已知函数()log (1)log (1)a a f x x x =+--,(0a >且1a ≠) (1)求()f x 的定义域;(2)判断()f x 的奇偶性,并予以证明; (3)求使()0f x >的x 取值范围. 22.已知函数122()log 2xf x x-=+. (1)求函数()f x 的定义域,并判断其奇偶性;(2)判断()f x 在其定义域上的单调性,并用单调性定义证明. 23.已知函数()421()x x f x a a R =-+⋅-∈. (1)当1a =时,求()f x 的值域; (2)若()f x 在区间[]1,0-的最大值为14-,求实数a 的值. 24.已知函数35()log 5xf x x-=+. (1)求函数()f x 的定义域;(2)判断函数()f x 奇偶性,并证明你的结论.25.已知集合(){}2log 33A x x =+≤,{}213B x m x m =-<≤+. (1)若2m =-,求AB ;(2)若A B A ⋃=,求实数m 的取值范围.26.已知函数()f x 是定义在R 上的奇函数,当0x 时,()121xaf x =++. (1)求实数a 的值及()f x 的解析式; (2)求方程4|(1)|5f x -=的解.【参考答案】***试卷处理标记,请不要删除一、选择题 1.B 解析:B 【分析】分析各个选项中每组函数的定义域和对应关系,若定义域和对应关系均相同则为同一个函数,由此判断出正确选项. 【详解】A .211x y x -=-的定义域为{}1x x ≠,1y x =+的定义域为R ,所以不是同一个函数;B .y x =与log xa y a =的定义域均为R ,且log xa y a =即为y x =,所以是同一个函数; C.y =(][),11,-∞-+∞,1y x =-的定义域为R ,所以不是同一个函数;D .lg y x =的定义域为()0,∞+,21lg 2y x =的定义域为{}0x x ≠,所以不是同一个函数, 故选:B. 【点睛】思路点睛:同一函数的判断步骤:(1)先判断函数定义域,若定义域不相同,则不是同一函数;若定义域相同,再判断对应关系;(2)若对应关系不相同,则不是同一函数;若对应关系相同,则是同一函数.2.A解析:A 【分析】去绝对值符号后根据指数函数的图象与性质判断. 【详解】由函数解析式可得:1,022,0xx x y x ⎧⎛⎫≥⎪ ⎪=⎨⎝⎭⎪<⎩可得值域为:01y <≤,由指数函数的性质知:在(),0-∞上单调递增;在()0,∞+上单调递减. 故选:A. 【点睛】思路点睛:函数图象的辨识可从以下方面入手:(1)从函数的定义域,判断图象的左右位置;从函数的值域,判断图象的上下位置. (2)从函数的单调性,判断图象的变化趋势; (3)从函数的奇偶性,判断图象的对称性; (4)从函数的特征点,排除不合要求的图象.3.A解析:A 【分析】分析函数()()22xf x xx R =-∈的奇偶性,结合()01f =可得出合适的选项.【详解】令()22=-xf x x ,该函数的定义域为R ,()()()2222xxf x x x f x --=--=-=,函数()22=-xf x x 为偶函数,排除B 、D 选项;又()010f =>,排除C 选项. 故选:A. 【点睛】函数图象的辨识可从以下方面入手: (1)从函数的定义域,判断图象的左右位置; (2)从函数的值域,判断图象的上下位置. (3)从函数的单调性,判断图象的变化趋势; (4)从函数的奇偶性,判断图象的对称性; (5)从函数的特征点,排除不合要求的图象.4.A解析:A 【分析】当0<a <1时,当1≥x 时,log 0a y x =≤,则当1x <时,()3y a x a =--的值域必须要包含()0,+∞,,当1a >时,当1≥x 时,[)log 0a y x =∈+∞,,则当1x <时,()3y a x a =--的值域必须要包含()0-∞,,从而可得答案. 【详解】由题意,()f x 的值域为R ,当0<a <1时,当1≥x 时,log 0a y x =≤,所以当1x <时,()3y a x a =--的值域必须要包含()0,+∞,当1x <时,()3y a x a =--单调递增,()332y a x a a =--<- 所以不满足()f x 的值域为R .当1a >时,当1≥x 时,[)log 0a y x =∈+∞,, 所以当1x <时,()3y a x a =--的值域必须要包含()0-∞,, 若3a =时,当1x <时,3y a =-=-,不满足()f x 的值域为R .若3a >时,当1x <时,()3y a x a =--单调递减,()332y a x a a =-->- 所以不满足()f x 的值域为R .若13a <<时,当1x <时,()3y a x a =--单调递增,()332y a x a a =--<- 要使得()f x 的值域为R ,则320a -≥,即32a ≤ 所以满足条件的a 的取值范围是:312a <≤, 故选:A .【点睛】关键点睛:本题考查根据函数的值域求参数的范围,解答本题的关键是当0<a <1时,当1≥x 时,log 0a y x =≤,则当1x <时,()3y a x a =--的值域必须要包含()0,+∞,,当1a >时,当1≥x 时,[)log 0a y x =∈+∞,,则当1x <时,()3y a x a =--的值域必须要包含()0-∞,,属于中档题. 5.A解析:A 【分析】当函数的值域为R 时,命题等价于函数()()22111y a x a x =-+++的值域必须包含区间()0+∞,得解 【详解】22()lg[(1)(1)1]f x a x a x =-+++的值域为R令()()22111y a x a x =-+++,则()()22111y a x a x =-+++的值域必须包含区间()0+∞,当210a -=时,则1a =± 当1a =时,21y x =+符合题意; 当1a =-时,1y =不符合题意;当1a ≠±时,()()222101410a a a ⎧->⎪⎨∆=+--≥⎪⎩,解得513a <≤ 513a ∴≤≤,即实数a 的取值范围是5[1,]3故选:A 【点睛】转化命题的等价命题是解题关键.6.A解析:A 【分析】由换底公式和对数函数的性质可得112b a <<<,再由指数函数的性质可得102c <<,即可得解. 【详解】23ln3ln12log =02ln 2ln 2a ==>,4212ln ln 2ln1323log =03ln 4ln 2ln 2b ====<, a b ∴>22223231log log 410,239222a c -⎛⎫⎛⎫<===< ⎪ ⎪⎭=⎝>⎭=⎝,b c a ∴<<, 故选:A 【点睛】方法点睛:本题考查了对数式、指数式的大小比较,比较大小的常用方法为同底的对数式和指数式利用其单调性进行比较,也可以借助于中间值0和1进行比较,考查了运算求解能力与逻辑推理能力,属于常考题.7.D解析:D 【分析】求出函数的定义域,根据对数型复合函数的单调性可得结果. 【详解】函数()212()log 4f x x =-的定义域为()(),22,-∞-+∞,因为函数()f x 是由12log y u =和24u x =-复合而成,而12log y u =在定义域内单调递减,24u x =-在(),2-∞-内单调递减,所以函数()212()log 4f x x =-的单调递增区间为(),2-∞-, 故选:D. 【点睛】易错点点睛:对于对数型复合函数务必注意函数的定义域.8.B解析:B 【分析】根据()3x f x -为定值,可假设()3xf x m =+,然后计算()()f x f x +-,并计算m 的值,然后使用基本不等式,可得结果. 【详解】由题可知:()3xf x -为定值故设()3xf x m -=,即()3xf x m =+又[()3]4xf f x -=,所以()341mf m m m =+=⇒= 则()31xf x =+()()3131x x f x f x -+-=+++则1()()32243x x f x f x +-=++≥= 当且仅当133xx =时,取等号 所以()()f x f x +-的最小值为:4故选:B 【点睛】本题考查基本不等式的应用,还考查镶嵌函数的应用,难点在于()3xf x -为定值,审清题意,细心计算,属中档题.9.C解析:C 【分析】根据指数函数性质求定点. 【详解】因为01a =,所以()011f a -=-=0,因此过定点()1,0-,选C.【点睛】本题考查指数函数性质以及定点问题,考查基本分析求解能力,属于基础题.10.B解析:B 【分析】根据指数函数的图象与性质可求解. 【详解】根据函数图象可知函数①y =x a ;②y =x b 为减函数,且1x =时,②y =1b <①y =1a , 所以1b a <<,根据函数图象可知函数③y =c x ;④y =d x 为增函数,且1x =时,③y =c 1>④y =d 1, 所以1c d >> 故选:B 【点睛】本题主要考查了指数函数的单调性,指数函数的图象,数形结合的思想,属于中档题.11.B解析:B 【分析】先求函数的定义域,再利用复合函数的单调性同增异减,即可求解. 【详解】由2430x x +->得2340x x --<,解得:14x -<<,2()ln(43)f x x x =+-由ln y t =和234t x x =-++复合而成,ln y t =在定义域内单调递增,234t x x =-++对称轴为32x =,开口向下, 所以 234t x x =-++在31,2⎛⎫- ⎪⎝⎭ 单调递增,在3,42⎡⎫⎪⎢⎣⎭单调递减, 所以2()ln(43)f x x x =+-的单调减区间为3,42⎡⎫⎪⎢⎣⎭,故选:B 【点睛】本题主要考查了利用同增异减求复合函数的单调区间,注意先求定义域,属于中档题12.A解析:A 【分析】先求得()1f 的值,然后根据()f a 的值,求得a 的值. 【详解】由于()1212f =⨯=,所以()()20,2f a f a +==-,22a =-在()0,∞+上无解,由12a +=-解得3a =-,故选A.【点睛】本小题主要考查分段函数求函数值,考查已知分段函数值求自变量,属于基础题.二、填空题13.①③④【分析】由指数函数的图象函数的定义域对数函数的性质判断各命题①令代入判断②利用函数的定义求出的定义域判断③由对数函数的单调性判断④引入新函数由它的单调性判断【详解】①令则即图象过点①正确;②则解析:①③④ 【分析】由指数函数的图象,函数的定义域,对数函数的性质判断各命题.①,令1x =代入判断,②利用函数的定义求出()f x 的定义域判断,③由对数函数的单调性判断,④引入新函数1()ln 2ln 2xxg x x x -⎛⎫=-=- ⎪⎝⎭,由它的单调性判断.【详解】①令1x =,则(1)4f =,即()f x 图象过点(1,4),①正确; ②13x <<,则012x <-<,∴()f x 的定义域是(0,2),②错;③1log 1log 2a a a ,∴0112a a <<⎧⎪⎨>⎪⎩,∴112a <<.③正确;④由22ln ln()x y x y -->-- (0x >,0y <),得ln 2ln()2x y x y --<--, 又1()ln 2ln 2xx g x x x -⎛⎫=-=- ⎪⎝⎭是(0,)+∞上的增函数, ∴由ln 2ln()2x y x y --<--,得x y <-,即0x y +<,④正确. 故答案为:①③④【点睛】关键点点睛:本题考查指数函数的图象,对数函数的单调性,函数的定义域问题,定点问题:(1)指数函数(0x y a a =>且1)a ≠的图象恒过定点(0,1);(2)对数函数log (0a y x a =>且1)a ≠的图象恒过定点(1,0),解题时注意整体思想的应用.14.8【分析】根据函数平移法则求出点得再结合基本不等式即可求解【详解】由题可知恒过定点又点在直线上故当且仅当时取到等号故的最小值等于8故答案为:8【点睛】本题考查函数平移法则的使用基本不等式中1的妙用属 解析:8【分析】根据函数平移法则求出点A ()2,1--,得21m n +=,再结合基本不等式即可求解【详解】由题可知,()log 31a y x =+-恒过定点()2,1--,又点A 在直线 10mx ny ++=上,故21m n +=,()121242448n m m n m n m n m n ⎛⎫+=++=++≥+= ⎪⎝⎭,当且仅当122n m ==时取到等号,故12m n+的最小值等于8 故答案为:8【点睛】本题考查函数平移法则的使用,基本不等式中“1”的妙用,属于中档题15.【分析】根据已知可得为奇函数且在上单调递增不等式化为转化为关于自变量的不等式即可求解【详解】的定义域为是奇函数设为增函数在为增函数在为增函数在处连续的所以在上单调递增化为等价于即所以实数的取值范围为 解析:1(1,)3- 【分析】根据已知可得()f x 为奇函数且在R 上单调递增,不等式化为()23(12)f a f a <-,转化为关于自变量的不等式,即可求解.【详解】()f x 的定义域为R ,()()))ln10f x f x x x +-=+==,()f x ∴是奇函数,设,[0,)()x u x x =∈+∞为增函数,()f x 在[0,)+∞为增函数,()f x 在(,0)-∞为增函数,()f x 在0x =处连续的,所以()f x 在R 上单调递增,()23(21)0f a f a +-<,化为()23(12)f a f a <-,等价于2312a a <-,即213210,13a a a +-<-<<, 所以实数a 的取值范围为1(1,)3-.故答案为: 1(1,)3-【点睛】本题考查利用函数的单调性和奇偶性解不等式,熟练掌握函数的性质是解题的关键,属于中档题. 16.【分析】根据对数型复合函数单调性列不等式再根据正弦函数性质得结果【详解】单调递增区间为单调递减区间且所以故答案为:【点睛】本题考查对数型复合函数单调性以及正弦函数性质考查基本分析求解能力属基础题 解析:[2,2),()2k k k Z ππππ++∈ 【分析】根据对数型复合函数单调性列不等式,再根据正弦函数性质得结果.【详解】()()cos1cos1(0,1)log sin f x x ∈∴=单调递增区间为sin y x =单调递减区间且sin 0x >, 所以22,()2k x k k Z ππππ+≤<+∈, 故答案为:[2,2),()2k k k Z ππππ++∈【点睛】 本题考查对数型复合函数单调性以及正弦函数性质,考查基本分析求解能力,属基础题. 17.【分析】求出函数的定义域利用复合函数法可求得函数的单调递增区间【详解】对于函数有解得或所以函数的定义域为内层函数在区间上单调递减在区间上单调递增外层函数为减函数所以函数的单调递增区间为故答案为:【点 解析:(),2-∞【分析】求出函数()f x 的定义域,利用复合函数法可求得函数()()212log 56f x x x =-+的单调递增区间.【详解】对于函数()()212log 56f x x x =-+,有2560x x -+>,解得2x <或3x >. 所以,函数()()212log 56f x x x =-+的定义域为()(),23,-∞+∞,内层函数256u x x =-+在区间(),2-∞上单调递减,在区间()3,+∞上单调递增, 外层函数12log y u =为减函数,所以,函数()f x 的单调递增区间为(),2-∞. 故答案为:(),2-∞.【点睛】复合函数()y f g x ⎡⎤=⎣⎦的单调性规律是“同则增,异则减”,即()y f u =与()u g x =.若具有相同的单调性,则()y f g x ⎡⎤=⎣⎦为增函数,若具有不同的单调性,则()y f g x ⎡⎤=⎣⎦必为减函数.18.【分析】根据题意求得的周期性则可求再结合函数解析式求得函数值即可【详解】由题可知:因为对一切故关于对称;又因为是奇函数则可得故可得故函数是周期为的函数则又当故则故答案为:【点睛】本题考查利用函数周期 解析:31e e --【分析】根据题意,求得()f x 的周期性,则()2019f 可求,再结合函数解析式,求得函数值即可.【详解】由题可知:因为对一切x R ∈,()()11f x f x +=-,故()f x 关于1x =对称;又因为()f x 是奇函数,则可得()()()()()21111f x f x f x f x f x +=++=--=-=-,故可得()()()()4222f x f x f x f x +=++=-+=,故函数()f x 是周期为4的函数.则()()()201911f f f =-=-,又当[]0,1x ∈,()1x f x e =-,故()()201911f f e =-=-, 则()()()()()320191131e f f f e f e f e e -=-=--=--=-.故答案为:31e e --.【点睛】本题考查利用函数周期性求函数值,属综合中档题;难点在于求得函数的周期. 19.【分析】根据分段函数分段解不等式最后求并集【详解】当时因为解得:∴当时解得:所以综上原不等式的解集为故答案为:【点睛】本题主要考查了解分段函数不等式涉及指数与对数运算属于基础题解析:[0,)+∞【分析】根据分段函数,分段解不等式,最后求并集.【详解】当1x ≤时,1()2x f x -=,因为11x -≤,解得:0x ≥,∴01x ≤≤ ,当1x >时,2()1log 2f x x =-≤,2log 1x ≥-,解得:12x ≥,所以1x >, 综上,原不等式的解集为[)0,+∞.故答案为:[)0,+∞.【点睛】 本题主要考查了解分段函数不等式,涉及指数与对数运算,属于基础题.20.【分析】可结合对数化简式将化简为再解对数不等式即可【详解】由由得即当时故;当时无解综上所述故答案为:【点睛】本题考查对数化简公式的应用分类讨论求解对数型不等式属于中档题 解析:81,3⎛⎫ ⎪⎝⎭【分析】可结合对数化简式将()f x 化简为()1log 2log 3log 4x x x f x =-+-,再解对数不等式即可【详解】由()2323231log 2log 9log 641log 2log 3log 4x x x x x x f x =-+-=-+- 31log 2log 3log 41log 8x x x x =-+-=+,由()0f x <得81log 03x -<, 即8log log 3x x x >, 当1x >时,83x <,故81,3x ⎛⎫∈ ⎪⎝⎭;当()0,1x ∈时,83x >,无解 综上所述,81,3x ⎛⎫∈ ⎪⎝⎭ 故答案为:81,3⎛⎫ ⎪⎝⎭【点睛】本题考查对数化简公式的应用,分类讨论求解对数型不等式,属于中档题三、解答题21.(1){|11}x x -<<;(2)函数()f x 是奇函数,证明见解析;(3)当1a >时,01x <<;当01a <<时,10x -<<【分析】(1)根据对数的真数为正数列式可解得结果;(2)函数()f x 是奇函数,根据奇函数的定义证明即可;(3)不等式化为log (1)log (1)a a x x +>-后,分类讨论底数a ,根据对数函数的单调性可解得结果.【详解】(1)要使函数数()f x 有意义,则必有1010x x +>⎧⎨->⎩,解得11x -<<, 所以函数()f x 的定义域是{|11}x x -<< .(2)函数()f x 是奇函数,证明如下:∵(1,1)x ∈-,(1,1)x -∈-,()log (1)log (1)a a f x x x -=--+[]log (1)log (1)a a x x =-+--()f x =-,∴函数()f x 是奇函数(3)使()0f x >,即log (1)log (1)a a x x +>-当1a >时,有111010x x x x +>-⎧⎪->⎨⎪+>⎩,解得01x <<,当01a <<时,有111010x x x x +<-⎧⎪->⎨⎪+>⎩,解得10x -<<.综上所述:当1a >时,01x <<;当01a <<时,10x -<<.【点睛】方法点睛:已知函数解析式,求函数定义域的方法:有分式时:分母不为0;有根号时:开奇次方,根号下为任意实数,开偶次方,根号下大于或等于0;有指数时:当指数为0时,底数一定不能为0;有根号与分式结合时,根号开偶次方在分母上时:根号下大于0;有指数函数形式时:底数和指数都含有x ,指数底数大于0且不等于1;有对数函数形式时,自变量只出现在真数上时,只需满足真数上所有式子大于0,自变量同时出现在底数和真数上时,要同时满足真数大于0,底数要大0且不等于1.22.(1)定义域为(2,2)-,奇函数(2)函数()f x 在(2,2)-上为增函数,证明见解析【分析】(1)根据真数大于0可得定义域,根据奇函数的定义可得函数为奇函数;(2)设1222x x -<<<,根据对数函数的单调性可得12()()f x f x <,再根据定义可证函数()f x 在(2,2)-上为增函数.【详解】(1)由函数有意义得202x x->+,解得22x -<<, 所以函数的定义域为(2,2)-, 因为1112222()log log ()22x x f x f x x x -+-⎛⎫-===- ⎪-+⎝⎭, 所以函数为奇函数.(2)因为124()log 12f x x ⎛⎫=-+⎪+⎝⎭,所以函数()f x 在(2,2)-上为增函数, 证明:设1222x x -<<<,则120224x x <+<+<,则1244122x x >>++,则124411022x x -+>-+>++, 因为1012<<,所以12()()f x f x <,所以函数()f x 在(2,2)-上为增函数, 【点睛】思路点睛:判断函数的奇偶性的思路:①求出定义域,并判断其是否关于原点对称;②若定义域不关于原点对称,则函数为非奇非偶函数,若定义域关于原点对称,再判断()f x -与()f x 的关系,若()()f x f x -=-,则函数为奇函数;若()()f x f x -=,则函数为偶函数.23.(1)3,4⎛⎤-∞- ⎥⎝⎦;(2)a =【分析】(1)令()20,xt =∈+∞,可得21y t t =-+-,利用二次函数的性质可求出; (2)令12,12x t ⎡⎤=∈⎢⎥⎣⎦,可得21y t at =-+-,讨论对称轴2a t =的取值范围结合二次函数的性质即可求出.【详解】(1)()2()421221x x x x f x a a =-+⋅-=-+⋅-.令()20,xt =∈+∞,21y t at =-+-,1a =时,2213124y t t t ⎛⎫=-+-=--- ⎪⎝⎭在10,2⎛⎫ ⎪⎝⎭上单调递增,在1,2⎛⎫+∞ ⎪⎝⎭上单调递减. ∴当12t =时,max 34y =-,∴3,4y ⎛⎤∈-∞- ⎥⎝⎦, 所以()f x 的值域为3,4⎛⎤-∞- ⎥⎝⎦. (2)令12,12x t ⎡⎤=∈⎢⎥⎣⎦,22211124a y t at t a ⎛⎫=-+-=---+ ⎪⎝⎭, 其图象的对称轴为2a t =. ①当122a ≤,即1a ≤时,函数y 在区间1,12⎡⎤⎢⎥⎣⎦上单调递减, 当12t =时,max 1111424y a =-+-=-,解得2a =,与1a ≤矛盾; ②当12a ≥,即2a ≥时,函数y 在区间1,12⎡⎤⎢⎥⎣⎦上单调递增, 当1t =时,max 1114y a =-+-=-,解得74a =,与2a ≥矛盾, ③当1122a <<,即12a <<时,函数y 在1,22a ⎡⎤⎢⎥⎣⎦上单调递增,在,12a ⎡⎤⎢⎥⎣⎦上单调递减.当2a t =时,2max 11144y a =-=-,解得a =,舍去a =综上,a =【点睛】思路点睛:求二次函数在闭区间[],a b 的最值的思路;(1)二次函数开口向上时,求函数的最大值,讨论对称轴和2a b +的大小求解; (2)二次函数开口向上时,求函数的最小值,讨论对称轴在(]()[),,,,,a a b b -∞+∞三个区间的范围求解.24.(1)(5,5)- (2)奇函数,见解析【分析】(1)若()f x 有意义,则需满足505x x->+,进而求解即可; (2)由(1),先判断定义域是否关于原点对称,再判断()f x -与()f x 的关系即可.【详解】(1)由题,则505x x->+,解得55x -<<,故定义域为()5,5-(2)奇函数,证明:由(1),()f x 的定义域关于原点对称,因为()()33355log log log 1055x x f x f x x x +--+=+==-+,即()()f x f x -=-, 所以()f x 是奇函数【点睛】本题考查具体函数的定义域,考查函数的奇偶性的证明.25.(1){}31A B x x ⋂=-<≤;(2)[][)1,24,m ∈-+∞ 【分析】(1)计算{}35A x x =-<≤,{}51B x x =-<≤,再计算交集得到答案.(2)A B A ⋃=,故B A ⊆,讨论B =∅和B ≠∅,计算得到答案.【详解】(1)(){}{}2log 3335A x x x x =+≤=-<≤,{}51B x x =-<≤, 故{}31A B x x ⋂=-<≤.(2){}35A x x =-<≤,A B A ⋃=,故B A ⊆, 当B =∅时,213m m -≥+,解得4m ≥;当B ≠∅时,4m <,故21335m m -≥-⎧⎨+≤⎩,解得12m -≤≤. 综上所述:[][)1,24,m ∈-+∞.【点睛】本题考查交集运算,根据集合的包含关系求参数,意在考查学生的计算能力和综合应用能力. 26.(1) 2a =-,()2121x x f x -=+;(2) 212log 3x =+或212log 3x =- 【分析】(1)根据奇函数(0)0f =求解a ,再根据奇函数的性质求解()f x 的解析式即可.(2)根据(1)可得()2121x x f x -=+为奇函数,可先求解4|()|5f t =的根,再求解4|(1)|5f x -=即可. 【详解】(1)因为()f x 是定义在R 上的奇函数,且当0x ≥时,()121x a f x =++,故0(0)1021a f =+=+,即102a +=,解得2a =-.故当0x ≥时,()22112121x x x f x -=-=++. 所以当0x < 时, ()()211221211221x x x x x x f x f x -----=--=-=-=+++.故()2121x x f x -=+ (2) 先求解4|()|5f t =,此时()214215t t f t -==±+. 当()()214421521215t t t t -=⇒+=-+,即29t =解得22log 92log 3t ==. 因为()2121x x f x -=+为奇函数,故当214215t t -=-+时, 22log 3t =-. 故4|(1)|5f x -=的解为212log 3x -=或212log 3x -=-, 解得212log 3x =+或212log 3x =-【点睛】本题主要考查了根据奇函数求解参数的值以及解析式的方法,同时也考查了根据函数性质求解绝对值方程的问题,属于中档题.。
指数函数和对数函数测试题一、选择题。
1、已知集合A={y|x y 2log =,x >1},B={y|y=(21)x ,x >1},则A ∩B = ( )A.{y|0<y <21} B.{y|0<y <1} C.{y|21<y <1} D. φ2、已知集合M={x|x <3}N={x|1log 2>x}则M ∩N 为( )A. φB.{x|0<x <3}C.{x|1<x <3}D.{x|2<x <3}3、若函数f(x)=a (x-2)+3(a >0且a ≠1),则f(x)一定过点( )A.无法确定B.(0,3)C. (1,3)D. (2,4)4、若a=π2log ,b=67log ,c=8.02log ,则( )A.a >b >cB.b >a >cC.c >a >bD.b >c >a5、若函数)(log b x a y += (a >0且a ≠1)的图象过(-1,0)和(0,1)两点,则a ,b 分别为() A.a=2,b=2 B.a=2,b=2 C.a=2,b=1 D.a=2,b=26、函数y=f(x)的图象是函数f(x)=e x +2的图象关于原点对称,则f(x)的表达式为( )A.f(x)=-e x -2B. f(x)=-e x +2C. f(x)=-e -x -2D. f(x)=- e -x +27、设函数f(x)=x a log ( a >0且a ≠1)且f(9)=2,则f -1(29log )等于( ) A. 24 B. 2 C.22D. 29log8、若函数f(x)=a 2log log 32++xx b (a ,b ∈R ),f(20091)=4,则f(2009)=( )A.-4B.2C.0D.-29、下列函数中,在其定义域内既是奇函数,又是增函数的是( )A.y=-x 2log (x >0)B. y=x 2+x (x ∈R)C.y=3x(x ∈R) D.y=x 3(x ∈R)10、若f(x)=(2a-1)x 是增函数,则a 的取值范围为( )A.a <21B.21<a <1 C. a >1 D. a ≥111、若f(x)=|x| (x ∈R),则下列函数说法正确的是( )A.f(x)为奇函数B.f(x)奇偶性无法确定C.f(x)为非奇非偶D.f(x)是偶函数12、f(x)定义域D={x ∈z|0≤x ≤3},且f(x)=-2x 2+6x 的值域为( )A.[0,29]B. [29,+∞] C. [-∞,+29] D.[0,4]13、已知函数{22_)(++=x x x f 则不等式f(x)≥x 2的解集为( ) A.[-1,1] B.[-2,2] C.[-2,1] D.[-1,2]二、填空题。
2023-2024学年高一数学《指数函数与对数函数》一.选择题(共12小题)1.(2022春•鼓楼区校级期中)设,则a,b,c的大小顺序为()A.a<c<b B.c<a<b C.a<b<c D.b<a<c 2.(2022春•鼓楼区校级期中)关于x的不等式e x≤ax(x﹣lnx)只有唯一实数解,则实数a的取值范围是()A.{e}B.[e,+∞)C.{1}D.(0,1] 3.(2022春•福州期中)已知a=lg2,b=log23,c=log34,则a,b,c的大小关系为()A.a>b>c B.a<b<c C.a<c<b D.c<a<b 4.(2022•福州模拟)折纸是我国民间的一种传统手工艺术.现有一张长10cm、宽8cm的长方形的纸片,将纸片沿着一条直线折叠,折痕(线段)将纸片分成两部分,面积分别为S1,S2.若S1:S2=1:3,则折痕长的最大值为()A .cm B.10cm C.2cm D.2cm 5.(2021秋•福州期末)已知函数f(x)=(x+3)(x﹣e)+(x﹣e)(x﹣π)+(x﹣π)(x+3)的零点x1,x2(x1<x2),则()A.x1x2>0B .<﹣C.x2﹣x1<e D.x1+x2<π6.(2021秋•福州期末)设a=0.123,b=30.4,c=log0.40.12,则a,b,c的大小关系为()A.a<b<c B.b<a<c C.a<c<b D.c<a<b 7.(2021秋•仓山区校级期末)若方程x2+2x+m2+3m=m cos(x+1)+7有且仅有1个实数根,则实数m的值为()A.2B.﹣2C.4D.﹣4 8.(2021秋•鼓楼区校级期中)某科技有限公司为了鼓励员工创新,打破发达国家的芯片垄断,计划逐年增加研发资金投入,若该公司2018年全年投入的研发资金为200万元,在此基础上,每年投入的研发资金比上一年增加10%,则该公司全年投入的研发资金开始超过400万元的年份是()(参考数据:1.16=1.77,1.17=1.95,1.18=2.14,1.19=2.36)第1页(共23页)。
高中数学必修一第四章指数函数与对数函数典型例题单选题1、如图所示,函数y =|2x −2|的图像是( )A .B .C .D .答案:B分析:将原函数变形为分段函数,根据x =1及x ≠1时的函数值即可得解. ∵y =|2x −2|={2x −2,x ≥12−2x ,x <1,∴x =1时,y =0,x ≠1时,y >0. 故选:B.2、函数f(x)=2x −1x 的零点所在的区间可能是( ) A .(1,+∞)B .(12,1)C .(13,12)D .(14,13)答案:B分析:结合函数的单调性,利用零点存在定理求解.因为f(1)=2−11=1>0,f(12)=√2−2<0,f(13)=√23−3<0f(14)=√24−4<0, 所以f(12)⋅f(1)<0,又函数f(x)图象连续且在(0,+∞)单调递增, 所以函数f(x)的零点所在的区间是(12,1), 故选:B .小提示:本题主要考查函数的零点即零点存在定理的应用,属于基础题.3、已知函数f (x )={−2x,x <0−x 2+2x,x ≥0 若关于x 的方程f (x )=12x +m 恰有三个不相等的实数解,则m 的取值范围是( ) A .[0,34]B .(0,34) C .[0,916]D .(0,916) 答案:D分析:根据题意,作出函数f (x )={−2x, x <0,−x 2+2x,x ≥0 与y =12x +m 的图像,然后通过数形结合求出答案.函数f (x )={−2x, x <0,−x 2+2x,x ≥0的图像如下图所示:若关于x 的方程f (x )=12x +m 恰有三个不相等的实数解, 则函数f (x )的图像与直线y =12x +m 有三个交点,若直线y =12x +m 经过原点时,m =0,若直线y =12x +m 与函数f (x )=12x +m 的图像相切,令−x 2+2x =12x +m ⇒x 2−32x +m =0,令Δ=94−4m =0⇒m =916. 故m ∈(0,916). 故选:D .4、函数y =2x −2−x ( )A .是R 上的减函数B .是R 上的增函数C .在(−∞,0)上是减函数,在(0,+∞)上是增函数D .无法判断其单调性 答案:B分析:利用指数函数的单调性结合单调性的性质可得出结论.因为指数函数f (x )=2x 为R 上的增函数,指数函数g (x )=2−x =(12)x为R 上的减函数, 故函数y =2x −2−x 是R 上的增函数. 故选:B.5、若y =log 3a 2−1x 在(0,+∞)内为增函数,且y =a −x 也为增函数,则a 的取值范围是( ) A .(√33,1)B .(0,12)C .(√33,√63)D .(√63,1) 答案:D分析:根据函数单调性,列出不等式组{3a 2−1>10<a <1求解,即可得出结果. 若y =log 3a 2−1x 在(0,+∞)内为增函数,则3a 2−1>1,由y =a −x 为增函数得0<a <1.解不等式组{3a 2−1>10<a <1,得a 的取值范围是(√63,1).故选:D.小提示:本题主要考查由对数函数与指数函数的单调性求参数,涉及不等式的解法,属于基础题型. 6、将进货价为每个80元的商品按90元一个出售时,能卖出400个,每涨价1元,销售量就减少20个,为了使商家利润有所增加,则售价a (元/个)的取值范围应是( ) A .90<a <100B .90<a <110C .100<a <110D .80<a <100 答案:A分析:首先设每个涨价x 元,涨价后的利润与原利润之差为y 元,结合条件列式,根据y >0,求x 的取值范围,即可得到a 的取值范围.设每个涨价x 元,涨价后的利润与原利润之差为y 元,则a =x +90,y =(10+x)⋅(400−20x)−10×400=−20x 2+200x .要使商家利润有所增加,则必须使y >0,即x 2−10x <0,得0<x <10,∴90<x +90<100,所以a 的取值为90<a <100. 故选:A7、已知a =lg2,10b =3,则log 56=( ) A .a+b 1+aB .a+b 1−aC .a−b 1+aD .a−b 1−a答案:B分析:指数式化为对数式求b ,再利用换底公式及对数运算性质变形. ∵a =lg2, 10b =3, ∴b =lg3, ∴log 56=lg6lg5=lg2×3lg 102=lg2+lg31−lg2=a+b 1−a.故选:B .8、已知2a =5,log 83=b ,则4a−3b =( ) A .25B .5C .259D .53 答案:C分析:根据指数式与对数式的互化,幂的运算性质以及对数的运算性质即可解出. 因为2a =5,b =log 83=13log 23,即23b =3,所以4a−3b =4a 43b=(2a )2(23b )2=5232=259.故选:C. 多选题9、已知函数f (x )={e x −1,x ≥a,−(x +1)2,x <a (a ∈R ) ,则( ) A .任意a ∈R ,函数f (x )的值域为R B .任意a ∈R ,函数f (x )都有零点C .任意a ∈R ,存在函数g (x )满足g (−|x |)=f (x )D .当a ∈(−∞,−4]时,任意x 1≠x 2,(x 1−x 2)(f (x 1)−f (x 2))>0答案:BD分析:画出分段函数图像,根据图像逐项分析即可得到结果设函数y=e x−1和y=−(x+1)2的左右两交点坐标为(x1,y1),(x2,y2)对于选项A,由图像可知,当a<x1时,f(x)的值域不为R,故A错误对于选项B,由图像可知,无论a取何值,函数f(x)都有零点,故B正确对于选项C,当x>0时g(−|x|)=g(−x),g(−|−x|)=g(−x)由图像可知f(−x)≠f(x)所以不存在函数g(x)满足g(−|x|)=f(x)对于选项D,若x1<a,x2<a,因为y=−(x+1)2为增函数,所以对于任意x1≠x2,(x1−x2)(f(x1)−f(x2))>0成立若x1>a,x2>a因为y=e x−1为增函数,所以对于任意x1≠x2,(x1−x2)(f(x1)−f(x2))>0成立当x1,x2不在同一区间时,因为a∈(−∞,−4],所以y=e x−1(x>a)的图像在y=−(x+1)2(x<a)的图像的上方,所以也满足对于任意x1≠x2,(x1−x2)(f(x1)−f(x2))>0成立故D正确故选:BD10、已知实数a,b满足等式2a=3b,下列五个关系式:①0<b<a;②a<b<0;③0<a<b;④b<a<0;⑤a=b=0其中有可能成立的关系式有()A.①B.②⑤C.②③D.④答案:AB分析:画出指数函数y=2x,y=3x的图象,利用单调生即可得出答案.如图所示,数y=2x,y=3x的图象,由图象可知:( 1 ) 当时x>0,若2a=3b,则a>b;( 2 ) 当x=0时,若2a=3b,则a=b=0;( 3 ) 当x<0时,若2a=3b,则a<b.综上可知,有可能成立的关系式是①②⑤ .故选:AB11、某杂志以每册2元的价格发行时,发行量为10万册.经过调查,若单册价格每提高0.2元,则发行量就减少5000册.要该杂志销售收入不少于22.4万元,每册杂志可以定价为()A.2.5元B.3元C.3.2元D.3.5元答案:BC分析:设每册杂志定价为x(x>2)元,根据题意由(10−x−2×0.5)x≥22.4,解得x的范围,可得答案.0.2依题意可知,要使该杂志销售收入不少于22.4万元,只能提高销售价,×0.5万册,设每册杂志定价为x(x>2)元,则发行量为10−x−20.2则该杂志销售收入为(10−x−2×0.5)x万元,0.2所以(10−x−2×0.5)x≥22.4,化简得x2−6x+8.96≤0,解得2.8≤x≤3.2,0.2故选:BC小提示:关键点点睛:理解题意并求出每册杂志定价为x (x >2)元时的发行量是解题关键. 填空题 12、化简:(1+1232)(1+1216)(1+128)(1+124)(1+122)(1+12)=________.答案:2−1263分析:分析式子可以发现,若在结尾乘以一个(1−12),则可以从后到前逐步使用平方差公式进行计算,为保证恒等计算,在原式末尾乘以(1−12)×2即可﹒ 原式=(1+1232)(1+1216)(1+128)(1+124)(1+122)(1+12)×(1−12)×2=(1+1232)(1+1216)(1+128)(1+124)(1+122)×(1−122)×2 =(1+1232)(1+1216)(1+128)(1+124)×(1−124)×2 =(1+1232)(1+1216)(1+128)×(1−128)×2 =(1+1232)(1+1216)×(1−1216)×2 =(1+1232)×(1−1232)×2 =(1−1264)×2 =2−1263所以答案是:2−1263﹒13、√a ⋅√a ⋅√a 3的分数指数幂表示为____________答案:a 34分析:本题可通过根式与分数指数幂的互化得出结果.√a ⋅√a ⋅√a 3=√a ⋅√a ⋅a 123=√a ⋅√a 323=√a ⋅a 12=√a 32=a 34, 所以答案是:a 34.14、写出一个同时具有下列性质①②③的函数f(x)=________.①定义域为R;②值域为(−∞,1);③对任意x1,x2∈(0,+∞)且x1≠x2,均有f(x1)−f(x2)x1−x2>0.答案:f(x)=1−12x(答案不唯一)分析:直接按要求写出一个函数即可.f(x)=1−12x ,定义域为R;12x>0,f(x)=1−12x<1,值域为(−∞,1);是增函数,满足对任意x1,x2∈(0,+∞)且x1≠x2,均有f(x1)−f(x2)x1−x2>0.所以答案是:f(x)=1−12x(答案不唯一).解答题15、已知函数f(x)=1−2a|x|+1(a>0,a≠1).(1)判断f(x)的奇偶性并证明;(2)若f(x)在[−1,1]上的最大值为13,求a的值.答案:(1)偶函数;证明见解析;(2)a=2.解析:(1)利用奇偶函数的定义证明;(2)讨论去绝对值,并分a>1和0<a<1两种情况讨论函数的单调性,求函数的最大值,建立方程,求a的值.解:(1)f(x)的定义域为R,又f(−x)=1−2a|−x|+1=1−2a|x|+1=f(x)⇒f(−x)=f(x),所以f(x)为偶函数;(2)因为f(x)为偶函数,当0≤x≤1时,f(x)=1−2a|x|+1=1−2a x+1,若a∈(0,1),f(x)=1−2a x+1,函数单调递减,f(x)max=f(0)=0,若a∈(1,+∞),f(x)=1−2a x+1,函数单调递增,f(x)max=f(1)=1−2a+1=13⇒a=2,当−1≤x<0,f(x)=1−2a|x|+1=1−2a−x+1,若a∈(0,1),f(x)=1−2a−x+1,函数单调递增,f(x)max=f(0)=0,若a∈(1,+∞),f(x)=1−2a−x+1,函数单调递减,f(x)max=f(−1)=1−2a+1=13⇒a=2,综上,a=2.小提示:关键点点睛:本题考查指数型复合函数证明奇偶性以及根据函数的最值,求参数的取值范围,本题的关键是求函数的单调性,关键是利用函数是偶函数,先去绝对值,再利用复合函数的单调性求函数的单调性,从而确定函数的最值.。
高一指数函数与对数函数经典基础练习题-及答案指数函数与对数函数1.已知y1=4.9,y2=8.48,y3=2^(-1.5),则哪个不等式成立?A。
y3>y1>y2B。
y2>y1>y3C。
y1>y2>y3D。
y1>y3>y22.函数f(x)=|loga(x)|(a>0且a≠1)的单调递增区间是?A。
(a。
∞)B。
(0.∞)C。
(0.1)D。
[1.∞)3.若函数f(x)的图像可由函数y=XXX(x+1)绕坐标原点逆时针旋转π得到,那么2f(x)等于什么?A。
10-x-1B。
10x-1C。
1-10-xD。
1-10x4.若直线y=2a与函数y=|a-1|(a>0且a≠1)的图像有两个公共点,则a的取值范围是什么?5.函数y=log2(3x-x^2)的递增区间是什么?三.【例题探究】1.已知f(x)=ae^(x+a),求a的值。
2.已知f(x)=log2(x+2),g(x)=log2(x-2)+log2(p-x)(p>2),(1)求使f(x)和g(x)同时有意义的实数x的取值范围;(2)求F(x)=f(x)+g(x)的值域。
3.已知函数f(x)=(a+x)/(x-2)(a>1),(1)证明函数f(x)在(-1.∞)上是增函数;(2)证明方程f(x)=0没有负数根。
4.解方程:(1)3x=1;(2)4^(3x-1)=1;(3)2^x=9;(4)5^(2x)=125;(5)7^(2x-1)=1.5.判断下列等式中正确的是哪一个:①loga(x+y)=loga(x)+loga(y)②loga(x+y)=loga(x)loga(y)③loga(x/y)=loga(x)-loga(y)④loga(xy)=loga(x)+loga(y)⑤loga(x^2-y^2)=2(loga(x)-loga(y))6.化简下列各式:1)4lg2+3lg5-XXX(1/5)2)236/(1-lg27+lg35)3)XXX(3^(1/2)+2)+lg(3^(1/2)-2)1.求解lg70-lg3;XXX(70/3)2.求解lg22+lg5lg20-1;lg22+lg5lg20-1=lg(22*20/5)=lg1763.求解3log5+11(log4-log3/5)-53log.01;3log5+11(log4-log3/5)-53log.01=3log5+11(log4-3log5)+53log10^-2=3log5+11log(4/125)+53log10^-2=3log5+11log4-11log125+53log10^-2=3log5+11log4-11log(5^3)+53log10^-2=3log5+11log4-33log5+53log10^-2=-30log5+11log4+53log10^-24.求解25log2;25log2=log2^255.求解2+49log7;2+49log7=log7^49+26.求解3-100lg4;3-100lg4=3-100log2=3-log2^1007.求解12-3log9;12-3log9=12-log9^38.求解27+5log25/3;27+5log25/3=27+5log(25/3^3)=27+5log(25/27)9.化简(log4/3+log8/3)(log3/2+log9/2);log4/3+log8/3)(log3/2+log9/2)=log(4/3*8/3)+log(3/2*9/2)=lo g64/27+log27/4=log(64/27*27/4)=log64/16=log410.化简[(1-log6^3)^2+log6^2log6^18]log4/6;1-log6^3)^2+log6^2log6^18]log4/6=[(1-log216)^2+2log6log6^18]log4/6=[(1-log216)^2+2log6log6^18]log2^2/3=[(1-log216)^2+2log6log6^18]log8/2711.函数y=3x^2-1(-1≤x<1)的反函数是()y=3x^2-1(-1≤x<1)x=3y^2-1(-1≤y<1)y=sqrt(x+1)/sqrt(3)因为y<1,所以x≥-2/3所以反函数为y=1+log3(x+1)/2选项A12.若f(x)={f(x+3)(x<6),log2x(x≥6)},则f(-1)的值为()因为-1<6,所以f(-1)=f(2)=f(5)=f(8)=log2^8=3选项C13.已知x1是方程xlgx=2006的根,x2是方程x^10=2006的根,则x1*x2等于()x1lgx1=2006x1=2006/lgx1x2^10=2006x2=log2^10(2006)x1*x2=2006/lgx1*log2^10(2006)选项D14.函数y=x/(|x|+2)的值域是a,则a的值是多少?当x>0时,y=x/(x+2),当x<0时,y=x/(2-x)当x>0时,y的最小值为0,当x<0时,y的最小值为-1 当x→+∞时,y→1,当x→-∞时,y→-1所以a∈[-1,1]选项D15.已知函数f(x)=loga(x-ax+3)(a>0且a≠1)满足:对任意实数x1,x2,当x1<x2时,总有f(x1)<f(x2),那么实数a的取值范围是()f(x)=loga(x-ax+3)f'(x)=1/(lna*(x-a+1))当x0,当x>a-1时,f'(x)<0所以a>1选项B16.设函数f(x)=log3(x^2-4mx+4m^2+m+1),其中m是实数,设M={m|m>1},则M中元素的个数是()x^2-4mx+4m^2+m+1>0当m>1/4时,有x^2-4mx+4m^2+m+1>0所以f(x)有定义的条件是m>1/4当m=1/4时,有x^2-4mx+4m^2+m+1=(x-2m)^2>0所以m>1/4时,f(x)单调递增当x1<x2时,有f(x1)<f(x2),即log3(x1^2-4mx1+4m^2+m+1)<log3(x2^2-4mx2+4m^2+m+1)即x1^2-4mx1+4m^2+m+1<x2^2-4mx2+4m^2+m+1即(x1+x2)(x1-x2)<4m(x1-x2)即x1+x2<4m所以m<(x1+x2)/4所以M中元素的个数为正整数,个数无限选项D1)要证明当m属于M时,f(x)对所有实数x都有意义,反之亦然。
分数指数幂1、用根式的形式表示下列各式)0(>a (1)51a = (2)32a- =2、用分数指数幂的形式表示下列各式: (1)34y x = (2))0(2>=m mm3、求下列各式的值(1)2325= (2)32254-⎛⎫⎪⎝⎭=4、解下列方程 (1)1318x - = (2)151243=-x分数指数幂(第9份)答案12、33222,x y m3、(1)125 (2)81254、(1)512 (2)16指数函数(第10份)1、下列函数是指数函数的是 ( 填序号) (1)xy 4= (2)4x y = (3)xy )4(-= (4)24x y =。
2、函数)1,0(12≠>=-a a ay x 的图象必过定点 。
3、若指数函数xa y )12(+=在R 上是增函数,求实数a 的取值范围 。
4、如果指数函数xa x f )1()(-=是R 上的单调减函数,那么a 取值范围是 ( ) A 、2<a B 、2>a C 、21<<a D 、10<<a5、下列关系中,正确的是 ( )A 、5131)21()21(> B 、2.01.022> C 、2.01.022--> D 、115311()()22- - >6、比较下列各组数大小:(1)0.53.1 2.33.1 (2)0.323-⎛⎫ ⎪⎝⎭0.2423-⎛⎫⎪⎝⎭(3) 2.52.3- 0.10.2-7、函数xx f 10)(=在区间[1-,2]上的最大值为 ,最小值为 。
函数xx f 1.0)(=在区间[1-,2]上的最大值为 ,最小值为 。
8、求满足下列条件的实数x 的范围:(1)82>x (2)2.05<x 9、已知下列不等式,试比较n m ,的大小:(1)n m 22< (2)n m 2.02.0< (3))10(<<<a a an m10、若指数函数)1,0(≠>=a a a y x的图象经过点)2,1(-,求该函数的表达式并指出它的定义域、值域和单调区间。
高一指数函数对数函数
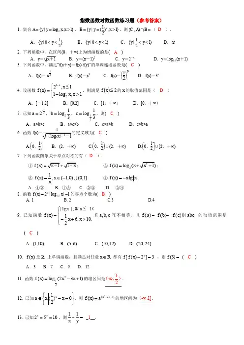
测试题及答案
Coca-cola standardization office【ZZ5AB-ZZSYT-ZZ2C-ZZ682T-ZZT18】
指数函数和对数函数测试题 一、选择题。
1、已知集合A={y|x y 2log =,x >1},B={y|y=(
21)x ,x >1},则A ∩B = ( ) A.{y|0<y <21} B.{y|0<y <1} C.{y|2
1<y <1} D. φ 2、已知集合M={x|x <3}N={x|1log 2>x }则M ∩N 为( )
A. φ
B.{x|0<x <3}
C.{x|1<x <3}
D.{x|2<x <3}
3、若函数f(x)=a (x-2)+3(a >0且a ≠1),则f(x)一定过点( )
A.无法确定
B.(0,3)
C. (1,3)
D. (2,4)
4、若a=π2log ,b=67log ,c=8.02log ,则( )
>b >c >a >c >a >b >c >a
5、若函数)(log b x a
y += (a >0且a ≠1)的图象过(-1,0)和(0,1)两点,则a ,b 分别为
( )
=2,b=2 =2,b=2 =2,b=1 =2,b=2
6、函数y=f(x)的图象是函数f(x)=e x +2的图象关于原点对称,则f(x)的表达式为( )
(x)=-e x -2 B. f(x)=-e x +2 C. f(x)=-e -x -2 D. f(x)=- e -x +2 7、设函数f(x)=x a log ( a >0且a ≠1)且f(9)=2,则f -1(2
9log )等于( ) A. 24 B. 2 C.
22 D. 29log 8、若函数f(x)=a 2log log 32++x x b (a ,b ∈R ),f(
2009
1)=4,则f(2009)=( ) 9、下列函数中,在其定义域内既是奇函数,又是增函数的是( )
=-x
2log (x >0) B. y=x 2+x (x ∈R) =3x (x ∈R) =x 3(x ∈R) 10、若f(x)=(2a-1)x
是增函数,则a 的取值范围为( ) <
2
1 B.21<a <1 C. a >1 D. a ≥1 11、若f(x)=|x| (x ∈R),则下列函数说法正确的是( )
(x)为奇函数 (x)奇偶性无法确定
(x)为非奇非偶 (x)是偶函数
12、f(x)定义域D={x ∈z|0≤x ≤3},且f(x)=-2x 2
+6x 的值域为( )A.[0,29] B. [29,+∞] C. [-∞,+2
9] D.[0,4] 13、已知函数{2
2_)(++=x x x f 则不等式f(x)≥x 2
的解集为( ) A.[-1,1] B.[-2,2] C.[-2,1] D.[-1,2]
二、填空题。
14、设a=,b=,c=2log 2试比较a 、b 、c 的大小关系 (用“<”连接)
15、若函数f(x)的定义域为[2a-1,a+1],且f(x)为偶函数,
则a=
16、1_2x y =的定义域为 .
17、试比较1.1、1.0的大小(用“<”连接) .
18、若f(x)={x x 3log 2{00 x x ≤则f[f(9
1)]= . 19、计算:log361+2log3
2+353log 2+= . 20、若2a =5b =10,则
a 1+b
1= . 三、解答题。
21、求出函数|
|_)5(43)(0
2x x x x x x f ++-+=的定义域.
22、已知f(x)= 1
21
_2)(+=x x x f (1)判断f(x)的奇偶性
(2)证明f(x)在定义域内是增函数
23、已知函数f(x)=loga )1(+x ,g(x)=loga )1(x -(a >1,且a ≠1).
(1)求函数f(x)+g(x)的定义域;
(2)判断函数f(x)+g(x)的奇偶性,并说明理由;
(3)求使f(x)+g(x)<0成立的x 的集合。
24、关于x 的方程x )3
1(=3-2a 有负根,求a 的取值范围.
25、已知函数f(x)= )1_(log x a a
(a >0且a ≠1) (1)求函数f(x)的定义域
(2)讨论函数f(x)的单调性
(3)解方程f(2x)=f 1 (x)
26、定义在R上的函数f(x)对任意的x、a∈R,都有f(x+a)=f(x)+f(a)
(1)求证f(0)=0
(2)证明f(x)为奇函数
27、请在同一平面直角坐标系内画出函数y=a x (a>1)和y=loga x(a>1)的大致图象,并对所画图象的合理性做出解释。
28、甲、乙两车同时沿着某公路从A 地驶往300km 的外的B 地,甲在先以75km/h 的速度行驶到达AB 中点C 处停留2h 后,再以100km/h 的速度驶往B 地,乙始终以速度U 行驶.
(1)请将甲车路程Skm 表示为离开A 地时间th 的函数,并画出这个函数的图象.
(2)两车在途中恰好相遇两次(不包括A 、B 两地)试确定乙车行驶速度U 的取值范围.
指数函数、对数函数测试题答案
一、1、A;2、D ;3、D ;4、A ;5、A ;6、C ;7、B ;8、C ;9、D ;10、C ;11、D ;12、D ;
13、A 。
二、14、a <b <c ;15、a=0;16、x >0;17、
1.0<1.1;18、1/4。
19、44;20、1.
三、
21、解:由题意得:
由①得x ≤-4或x ≥1,由②得x ≠-5,由③得x <0.
所以函数f(x)的定义域{x| x ≤-4, x ≠-5} 22、解:(1)∵f(x)= 1
21
_2)(+=x x x f
x 2+3x-4≥0 X+5≠0 ②
x-|x|≠0 ③
∴f(-x)=1212
+---x x =121121+-x
x =x x 2121+-=-1212+-x x ∴f(-x)=-f(x),即f(x)是奇函数。
(2)设x 1﹥x 2
则f(x 1)=1
21211+-x x ,f(x 2)=121222+-x x f(x 1)-f(x 2)=121211+-x x -121222+-x x =)
12)(12(2221211
1++-++x x x x ﹥0 所以,f(x)在定义域内是增函数。
23解:(1)函数f(x)+g(x)= f(x)=loga )1(+x +loga )1(x -=loga
21x - 则1-x 2>0,函数的定义域为{x|-1<x <1}
(2) 函数f(-x)+g(-x)= f(x)=loga
21x -=f(x)+g(x) 所以函数f(x)+g(x)为偶函数。
(3) f(x)+g(x) =loga
21x -<0, 则0<1-x 2<1,x 的集合为{x|-1<x <1}
24、解:∵方程x )31(=3-2a 有负根,x )3
1(﹥1 ∴3-2a ﹥1,即a ﹤1
A 的取值范围(-∞,1)
25、解:(1)∵f(x)= )1_(log x a a
(a >0且a ≠1) ∴a x -1﹥0,即a x ﹥a 0
当a ﹥1时,x 的定义域(0,+∞)
当0﹤a ﹤1时,x 的定义域(-∞,0)
(2)当a ﹥1时,y=a x
-1是增函数,f(x)= )1_(log x a a 是单调增。
当0﹤a ﹤1时,y=a x -1是减函数,f(x)= )1_(log x a a 是单调减
(3)∵f(x)= )1_(log x a a
(a >0且a ≠1) ∴ f(2x)=loga )
1(2-x a , f 1-(x)=loga
)1(+x a 即loga )1(2-x a = loga )1(+x a
a x 2-1=a x +1,a x 2-a x -2=0,
a x =-1,(无解) a x =2,x=loga 2
26、解:(1)设x=a=0,
∵f(x+a)=f(x)+f(a)
∴f(0)=f(0)+f(0),即f(0)=0
(2)设x=-a
∵f(x+a)=f(x)+f(a)
∴f(0)=f(-a)+f(a),即f(-a)=-f(a)
∴f(x)为奇函数.
27略
28、解:(1)由题意可知,用甲车离开A 地时间th 表示离开A 地路程Skm 的函数为:
(2)由题意可知,若两车在途中恰好相遇两次,那么第一次相遇应该在甲车到达中点C 处停留的两个小时内的第t 小时的时候发生,2h <t <4h,
则150/4<U <150/2,即h <U ≤75km.
而第二次相遇则是甲车到达中点C 处停留两小时后,重新上路的第t 小时赶上乙车的,4h <t <,
则150/4<U <300/,即h <U <h
所以,综合以上情况,乙车行驶速度U 的取值范围是:
h <U <h 。
75t (0≤t ﹤2)
150 (2≤t ≤
4) S=。