(完整word版)对数与对数函数练习题及答案
- 格式:doc
- 大小:288.51 KB
- 文档页数:3
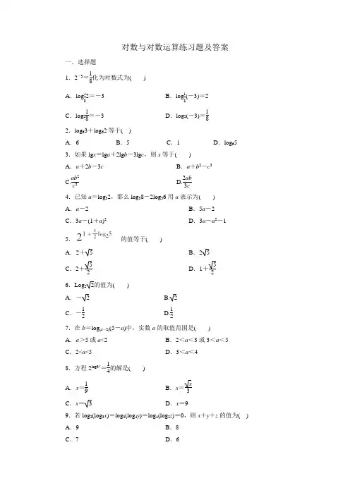
对数与对数运算练习题及答案一.选择题1.2-3=18化为对数式为( )A .log 182=-3 B .log 18(-3)=2C .log 218=-3D .log 2(-3)=182.log 63+log 62等于( )A .6B .5C .1D .log 65 3.如果lg x =lg a +2lg b -3lg c ,则x 等于( )A .a +2b -3cB .a +b 2-c 3C.ab 2c 3 D.2ab 3c4.已知a =log 32,那么log 38-2log 36用a 表示为( )A .a -2B .5a -2C .3a -(1+a )2D .3a -a 2-15. 的值等于( )A .2+ 5B .2 5C .2+52 D .1+526.Log 22的值为( )A .- 2 B. 2C .-12 D.127.在b =log (a -2)(5-a )中,实数a 的取值范围是( )A .a >5或a <2B .2<a <3或3<a <5C .2<a <5D .3<a <48.方程2log3x =14的解是( )A .x =19 B .x =x3C .x = 3D .x =99.若log 2(log 3x )=log 3(log 4y )=log 4(log 2z )=0,则x +y +z 的值为() A .9 B .8C .7D .610.若102x =25,则x 等于( )A .lg 15B .lg5C .2lg5D .2lg 1511.计算log 89·log 932的结果为( )A .4 B.53 C.14 D.3512.已知log a x =2,log b x =1,log c x =4(a ,b ,c ,x >0且≠1),则log x (abc )=( ) A.47 B.27 C.72 D.74二.填空题1. 2log 510+log 50.25=____.2.方程log 3(2x -1)=1的解为x =_______.3.若lg(ln x )=0,则x =_ ______.4.方程9x -6·3x -7=0的解是_______5.若log 34·log 48·log 8m =log 416,则m =________.6.已知log a 2=m ,log a 3=n ,则log a 18=_______.(用m ,n 表示)7.log 6[log 4(log 381)]=_______.8.使对数式log (x -1)(3-x )有意义的x 的取值范围是_______三.计算题1.计算:(1)2log 210+log 20.04 (2)lg3+2lg2-1lg1.2(3)log 6112-2log 63+13log 627 (4)log 2(3+2)+log 2(2-3);2.已知log 34·log 48·log 8m =log 416,求m 的值.对数与对数运算练习题答案一.选择题1. C 2. C 3. C 4. A 5. B 6. D 7. B 8 A 9. A 10. B11.B 12.D二.填空题1. 22. 23. e4. x =log 375. 96. m +2n7. 08. 1<x <3且x ≠2三.计算题1.解: (1)2log 210+log 20.04=log 2(100×0.04)=log 24=2(2)lg3+2lg2-1lg1.2=lg(3×4÷10)lg1.2=lg1.2lg1.2=1 (3)log 6112-2log 63+13log 627=log 6112-log 69+log 63 =log 6(112×19×3)=log 6136=-2. (4)log 2(3+2)+log 2(2-3)=log 2(2+3)(2-3)=log 21=0.2. [解析] log 416=2,log 34·log 48·log 8m =log 3m =2,∴m =9.。
高中数学对数与对数运算训练题(含答案)1.2-3=18化为对数式为()A.log182=-3 B.log18(-3)=2C.log218=-3 D.log2(-3)=18解析:选C.根据对数的定义可知选C.2.在b=log(a-2)(5-a)中,实数a的取值范围是() A.a>5或a B.2<a<3或3<a<5C.25 D.3<a<4解析:选B.5-a>0a-2>0且a-21,2<a<3或3<a<5. 3.有以下四个结论:①lg(lg10)=0;②ln(lne)=0;③若10=lgx,则x=10;④若e=lnx,则x=e2,其中正确的是()A.①③ B.②④C.①② D.③④解析:选C.lg(lg10)=lg1=0;ln(lne)=ln1=0,故①、②正确;若10=lgx,则x=1010,故③错误;若e=lnx,则x=ee,故④错误.4.方程log3(2x-1)=1的解为x=________.解析:2x-1=3,x=2.答案:21.logab=1成立的条件是()A.a=b B.a=b,且b0C.a0,且a D.a0,a=b1解析:选D.a0且a1,b0,a1=b.2.若loga7b=c,则a、b、c之间满足()A.b7=ac B.b=a7cC.b=7ac D.b=c7a解析:选B.loga7b=cac=7b,b=a7c.3.如果f(ex)=x,则f(e)=()A.1 B.eeC.2e D.0解析:选A.令ex=t(t0),则x=lnt,f(t)=lnt.f(e)=lne=1.4.方程2log3x=14的解是()A.x=19 B.x=x3C.x=3 D.x=9解析:选A.2log3x=2-2,log3x=-2,x=3-2=19. 5.若log2(log3x)=log3(log4y)=log4(log2z)=0,则x +y+z的值为()A.9 B.8C.7 D.6解析:选A.∵log2(log3x)=0,log3x=1,x=3.同理y=4,z=2.x+y+z=9.6.已知logax=2,logbx=1,logcx=4(a,b,c,x>0且1),则logx(abc)=()A.47B.27C.72D.74解析:选D.x=a2=b=c4,所以(abc)4=x7,所以abc=x74.即logx(abc)=74.7.若a0,a2=49,则log23a=________.解析:由a0,a2=(23)2,可知a=23,log23a=log2323=1.答案:18.若lg(lnx)=0,则x=________.解析:lnx=1,x=e.答案:e9.方程9x-63x-7=0的解是________.解析:设3x=t(t0),则原方程可化为t2-6t-7=0,解得t=7或t=-1(舍去),t=7,即3x=7. x=log37.答案:x=log3710.将下列指数式与对数式互化:(1)log216=4;(2)log1327=-3;(3)log3x=6(x>0); (4)43=64;(5)3-2=19; (6)(14)-2=16.解:(1)24=16.(2)(13)-3=27.(3)(3)6=x.(4)log464=3.(5)log319=-2.(6)log1416=-2.11.计算:23+log23+35-log39.解:原式=232log23+353log39=233+359=24+27=51. 12.已知logab=logba(a0,且a1;b0,且b1).求证:a=b或a=1b.证明:设logab=logba=k,则b=ak,a=bk,b=(bk)k=bk2.∵b0,且b1,k2=1,即k=1.当k=-1时,a=1b;当k=1时,a=b.a=b或a=1b,命题得证.。
高中数学-对数与对数函数测试题及答案高中数学-对数与对数函数测试题满分150分,时间120分钟)班级:__________ 姓名:__________ 成绩:__________ 第Ⅰ卷(选择题,共60分)一、选择题(共12小题,60分)1.对数式loga 25a)b中,实数a的取值范围是()A。
(∞,5) B。
(2,5) C。
(2,+∞) D。
(2,3)∪(3,5)2.如果lgx lga3lgb5lgc,那么()A。
x=a+3b-c B。
x=ab/33 C。
x=a+b/3-c/3 D。
x=a-b/3+c/53.设函数y=lg(x^2-5x)的定义域为M,函数y=XXX(x-5)+lgx的定义域为N,则()A。
M∪N=R B。
M=N C。
M⊊N D。
M⊆N4.已知a = log0.70.8,b = log1.10.9,c = 1.1^9,则a,b,c的大小关系是()A。
a<c<b B。
b<a<c C。
a<b<XXX<c<a5.若函数y=log2kx^2+4kx+3)的定义域为R,则k的取值范围是()A。
(3/4,2) B。
(3/4,3/2) C。
(3/4,∞) D。
(-∞,3/4]∪[2,∞)6.设a,b,c∈R,且3a= 4b= 6c,则()。
A。
a=b+c B。
b=a+c C。
c=a+b D。
a+b+c=0 7.下列函数中,在(0,2)上为增函数的是()A。
y=log1x+1) B。
y=log2x^2-1) C。
y=log21/x D。
y=log1x^2-4x+5)8.已知函数f(x)=log3x+1),若f(a)=1,则a=()A。
2 B。
1 C。
-1 D。
-29.已知loga21,则a的取值范围是()A。
(0,2/3) B。
(2/3,1) C。
(1,2) D。
(2,∞)10.函数y=34x-3)log0.5的定义域为()A。
(0,1) B。
对数函数测试题及答案对数与对数函数测试题一、选择题。
1.log89的值就是log23a.()23b.1c.d.2322.若log2[log1(log2x)]?log3[log1(log3y)]?log5[log1(log5z)]=0,则x、y、z的大小 235关系是a.z<x<yb.x<y<z3c.y<z<xc.0d.z<y<xd.()3.未知x=2+1,则log4(x-x-6)等同于a.()32b.5412()4.已知lg2=a,lg3=b,则lg12等同于lg15a.2a?b1?a?bb.a?2b1?a?bc.2a?b1?a?bd.a?2b1?a?b()5.未知2lg(x-2y)=lgx+lgy,则x的值ya.1b.4c.1或4c.(d.4或16()6.函数y=log1(2x?1)的定义域为2a.(1,+∞)22b.[1,+∞)1,1]2d.(-∞,1)()7.未知函数y=log1(ax+2x+1)的值域为r,则实数a的值域范围就是2a.a>1xb.0≤a<1c.0<a<1c.ln5d.0≤a≤1d.log5e()()8.已知f(e)=x,则f(5)等于a.e5b.5e9.若f(x)?logax(a?0且a?1),且f?1(2)?1,则f(x)的图像是yyxoxyxoyxooabcd110.若y??log2(x?ax?a)在区间(??,1?3)上就是增函数,则a的值域范围就是() a.[2?23,2]22b.?2?23,2c.2?23,2?d.2?23,2()11.设集合a?{x|x?1?0},b?{x|log2x?0|},则a?b等于a.{x|x?1}b.{x|x?0} c.{x|x??1}d.{x|x??1或x?1}12.函数y?lnx?1x?1,x?(1,??)的反函数为xa.y?e?1ex?1,x?(0,??)b.y?ex?1ex?1,x?(0,??)c.y?ex?1ex?1,x?(??,0)d.y?ex?1ex?1,x?(??,0)二、填空题.13.计算:log6.25+lg12.51?log23100+lne+2=.14.函数y=log24(x-1)(x<1=的反函数为__________.15.已知m>1,试比较(lgm)0.9与(lgm)0.8的大小.16.函数y=(log21x)-log21x+5在2≤x≤4时的值域为______.44三、答疑题.17.已知y=loga(2-ax)在区间{0,1}上是x的减函数,求a的取值范围.2)(18.已知函数f(x)=lg[(a-1)x+(a+1)x+1],若f(x)的定义域为r谋实数a的值域范围.19.已知f(x)=x+(lga+2)x+lgb,f(-1)=-2,当x∈r时f(x)≥2x恒成立,求实数a的值,并求此时f(x)的最小值?20.设0<x<1,a>0且a≠1,先行比较|loga(1-x)|与|loga(1+x)|的大小.322221.未知函数f(x)=loga(a-a)且a>1,(1)求函数的定义域和值域;(2)探讨f(x)在其定义域上的单调性;(3)证明函数图象关于y=x等距.22.在对数函数y=log2x的图象上(如图),有a、b、c三点,它们的横坐标依次为a、a+1、xa+2,其中a≥1,谋△abc面积的最大值.4对数与对数函数测试题参考答案一、选择题:adbcbcdcbaab二、填空题:13.三、答疑题:17.解析:先求函数定义域:由2-ax>0,得ax<2又a就是对数的底数,∴a>0且a≠1,∴x<2513x0.90.8,14.y=1-2(x∈r),15.(lgm)≤(lgm),16.?y?8242a2>1,∴a<2a由递增区间[0,1]应当在定义域内可以得又2-ax在x∈[0,1]就是减至函数∴y=loga(2-ax)在区间[0,1]也是减函数,由复合函数单调性可知:a>1∴1<a<218、求解:依题意(a-1)x+(a+1)x+1>0对一切x∈r恒设立.当a-1≠0时,其充要条件是:2?5?a?1?0Champsaura<-1或a>?223(a?1)?4(a?1)?0222又a=-1,f(x)=0满足题意,a=1,不合题意.所以a的取值范围是:(-∞,-1]∪(5,+∞)319、解析:由f(-1)=-2,得:f(-1)=1-(lga+2)+lgb=-2,解之lga -lgb=1,∴a=10,a=10b.b22又由x∈r,f(x)≥2x恒设立.言:x+(lga+2)x+lgb≥2x,即x+xlga+lgb≥0,对x∈r恒设立,由δ=lga-4lgb≤0,整理得(1+lgb)-4lg b≤0即(lgb-1)≤0,只有lgb=1,不等式成立.即b=10,∴a=100.∴f(x)=x+4x+1=(2+x)-3当x=-2时,f(x)min=-3.522222。
对数和对数函数练习题1 求下列各式中的x 的值:(1)313x =;(2)6414x =;(3)92x =; (4)1255x 2=;(5)171x 2=-.2 有下列5个等式,其中a 〉0且a ≠1,x 〉0 , y>0①y log x log )y x (log a a a +=+,②y log x log )y x (log a a a ⋅=+, ③y log x log 21y x log a a a -=,④)y x (log y log x log a a a ⋅=⋅, ⑤)y log x (log 2)y x (log a a 22a -=-,将其中正确等式的代号写在横线上_____________.3 化简下列各式:(1)51lg 5lg 32lg 4-+; (2)536lg 27lg 321240lg 9lg 211+--+;(3)3lg 70lg 73lg -+; (4)120lg 5lg 2lg 2-+.4 利用对数恒等式N a N loga =,求下列各式的值: (1)5log 4log 3log354)31()51()41(-+ (2)2log 2log 4log 7101.0317103-+(3)6lg 3log 2log100492575-+ (4)31log 27log 12log 2594532+-5 化简下列各式:(1))2log 2(log )3log 3(log 9384+⋅+; (2)6log ]18log 2log )3log 1[(46626⋅⋅+-6 已知a 5log 3=,75b =,用a 、b 的代数式表示105log 63=________.7 (1))1x (log y 3-= 的定义域为_________值域为____________。
(2)22x log y = 的定义域为__________值域为_____________.8 求下列函数的定义域:(1))2x 3(log x 25y a 2--=;(2))8x 6x (log y 2)1x 2(+-=-;(3))x (log log y 212=.9 (1)已知3log d 30log c 3b 30a 303303....====,,,,将a 、b 、c 、d 四数从小到大排列为_____________________.(2)若02log 2log m n >>时,则m 与n 的关系是( )A .m>n>1B .n 〉m>1C .1>m>n>0D .1〉n>m>010 (1)若a>0且a ≠1,且143log a<,则实数a 的取值范围是( ) A .0〈a 〈1 B .43a 0<< C .43a 043a <<>或 D .43a 0<<或a 〉1 (2)若1<x 〈d ,令)x (log log c x log b )x (log a d d 2d 2d ===,,,则( )A .a<b 〈cB .a 〈c 〈bC .c<b 〈aD .c 〈a<b11 已知函数)x 35(log y )4x 2(log y 3231-=+=,.(1)分别求这两个函数的定义域;(2)求使21y y =的x 的值;(3)求使21y y >的x 值的集合.12 已知函数)x 1x lg()x (f 2-+=(1)求函数的定义域;(2)证明f(x)是减函数.【同步达纲练习】一、选择题1.3log 9log 28的值是( ) A .32 B .1 C .23 D .2 2.函数)1x 2x (log )x (f 22+-=的定义域是( )A .RB .(-∞,1)∪(1,+∞)C .(0,1)D .[1,+∞]3.若函数x 2)x (f =,它的反函数是)x (f 1-,)(f c )4(f b )3(f a 111π===---,,,则下面关系式中正确的是( )A .a<b 〈cB .a 〈c< bC .b 〈c<aD .b 〈a<c4.4log 33的值是( ) A .16 B .4 C .3 D .25.)2x 2x (log )x (f 25+-=,使f(x)是单调增函数的x 值的区间是( )A .RB .(-∞,1)C .[1,+∞]D .(-∞,1)∪(1,+∞) 6.2log 3log 3log 2log )3log 2(log 3223223--+的值是( ) A .6log 2 B .6log 3 C .2 D .17.命题甲:a 〉1且x>y>0 命题乙:y log x log a a >那么甲是乙的( )A .充分而非必要条件B .必要而非充分条件C .充分必要条件D .既不充分也不必要条件8.如果0<a<1,那么下列不等式中正确的是( )A .2131)a 1()a 1(-<- B .1)a 1(a 1>-+C .0)a 1(log )a 1(>+-D .0)a 1(log )a 1(<-+9.5log 222的值是( ) A .5 B .25 C .125 D .62510.函数)x 2(log )x (f 3-=在定义域区间上是( )A .增函数B .减函数C .有时是增函数有时是减函数D .无法确定其单调性11.x log )x (f 2=,若142)a (f 1=--,则实数a 的值是( )A .4B .3C .2D .112.在区间(0,+∞)上是增函数的函数是( )A .1x )32()x (f +=B .)1x (log )x (f 232+=C .)x x lg()x (f 2+=D .x 110)x (f -= 13.3log 15log 15log 5log 52333--的值是( ) A .0 B .1 C .5log 3 D .3log 514.函数2x log y 5+=(x ≥1)的值域是( )A .RB .[2,+∞]C .[3,+∞]D .(-∞,2)15.如果)x 2(log )x (f a -=是增函数,则实数a 的取值范围是( )A .(1,+∞)B .(2,+∞)C .(0,1)D .(0,2)16.函数)3x 2x (log y 23--=是单调增函数的区间是( )A .(1,+∞)B .(3,+∞)C .(-∞,1)D .(-∞,-1)17.如果02log 2log b a >>,那么下面不等关系式中正确的是( )A .0〈a<b 〈1B .0〈b 〈a 〈1C .a 〉b>1D .b>a>1二、填空题1.函数f(x)的定义域是[-1,2],则函数)x (log f 的定义域是_____________.2.若412x log 3=,则x =_____________.3.若)1x (log )x (f 3-=使f(a)=2,那么a =_____________.4.函数)a ax x (log )x (f 23-+=的定义域是R(即(-∞,+∞)),则实数a 的取值范围是_____________.5.函数x )31(y =的图象与函数x log y 3-=的图象关于直线_____________对称. 6.函数)1x (log )x (f 24-=,若f(a)〉2,则实数a 的取值范围是_____________.7.已知1313)x (f x x +-=,则)21(f 1-=_____________. 8.x log )x (f 21=,当]a a [x 2,∈时,函数的最大值比最小值大3,则实数a =_____________.9.])2(log )41)[(log 2(lg 15121--+=_____________.三、解答题1.试比较22x lg )x (lg 与的大小.2.已知)1a (log )x (f x a -=(a>1)(1) 求f (x)的定义域; (2)求使)x (f )x 2(f 1-=的x 的值.3.实数x 满足方程5)312(log x x 2=-+,求x 值的集合.4.已知b 5log a 7log 1414==,,求28log 35(用a 、b 表示).。
1.log89log23的值为()A.1B.-1C.23 D.32答案 C2.(2013·陕西)设a,b,c均为不等于1的正实数,则下列等式中恒成立的是()A.log a b·log c b=log c aB.log a b·log c a=log c bC.log a(bc)=log a b·log a cD.log a(b+c)=log a b+log a c答案 B解析利用对数的换底公式进行验证,log a b·log c a=log c blog c a·log c a=log c b,故选B.3.(2013·课标全国Ⅱ)设a=log36,b=log510,c=log714,则()A.c>b>a B.b>c>aC.a>c>b D.a>b>c答案 D解析a=log36=1+log32,b=log510=1+log52,c=log714=1+log72,则只要比较log32,log52,log72的大小即可,在同一坐标系中作出函数y=log3x,y =log5x,y=log7x的图像,由三个图像的相对位置关系,可知a>b>c,故选D.4.log2sin π12+log2cosπ12的值为()A.-4 B.4 C.-2 D.2 答案 C解析log2sin π12+log2cosπ12=log2(sinπ12cosπ12)=log2(12sinπ6)=log214=-2,故选C.5.当0<x<1时,下列不等式成立的是()A.(12)x+1>(12)1-x B.log(1+x)(1-x)>1C.0<1-x2<1 D.log(1-x)(1+x)>0 答案 C解析方法一:考查答案A:∵0<x<1,∴x+1>1-x.∴(12)x+1<(12)1-x,故A不正确;考查答案B:∵0<x<1,∴1+x>1,0<1-x<1.∴log(1+x)(1-x)<0,故B不正确;考查答案C:∵0<x<1,∴0<x2<1,∴0<1-x2<1,故C正确;考查答案D:∵0<1-x<1,1+x>1.∴log(1-x)(1+x)<0.故D不正确.方法二:(特值法)取x=12,验证立得答案C.6.若0<a<1,在区间(0,1)上函数f(x)=log a(x+1)是()A.增函数且f(x)>0 B.增函数且f(x)<0C.减函数且f(x)>0 D.减函数且f(x)<0答案 D解析∵0<a<1时,y=log a u为减函数,又u=x+1增函数,∴f(x)为减函数;又0<x<1时,x+1>1,又0<a<1,∴f(x)<0.选D.7.函数的图像大致是()答案 C解析 ∵=⎩⎨⎧ x ,x ≥1,1x ,0<x <1,∴选C.8.设a =log 3π,b =log 23,c =log 32,则( )A .a >b >cB .a >c >bC .b >a >cD .b >c >a 答案 A解析 ∵a =log 3π>log 33=1,b =log 23<log 22=1,∴a >b ,又b c =12log 2312log 32=(log 23)2>1,∴b >c ,故a >b >c ,选A.9.0<a <1,不等式1log ax >1的解是( ) A .x >aB .a <x <1C .x >1D .0<x <a答案 B解析 易得0<log a x <1,∴a <x <1.10.若a >1,b >1,p =log b (log b a )log b a ,则a p =________. 答案 log b a11.若log a (x +1)>log a (x -1),则x ∈________,a ∈________.答案 (1,+∞) (1,+∞)12.若log a (a 2+1)<log a 2a <0,则实数a 的取值范围是__________.答案 (12,1)解析 ∵a 2+1>1, log a (a 2+1)<0,∴0<a <1.又log a 2a <0,∴2a >1,∴a >12.∴实数a 的取值范围是(12,1).13.若正整数m 满足10m -1<2512<10m ,则m =__________.(lg2≈0.301 0)答案155解析由10m-1<2512<10m,得m-1<512lg2<m.∴m-1<154.12<m.∴m=155.14.若函数f(x)=log a(x+1)(a>0,a≠1)的定义域和值域都是[0,1],则a=________.答案 2解析f(x)=log a(x+1)的定义域是[0,1],∴0≤x≤1,则1≤x+1≤2.当a>1时,0=log a1≤log a(x+1)≤log a2=1,∴a=2;当0<a<1时,log a2≤log a(x+1)≤log a1=0,与值域是[0,1]矛盾.综上,a=2.15.已知函数y=log2(x2-ax-a)的值域为R,则实数a的取值范围是________.答案(-∞,-4]∪[0,+∞)解析要使f(x)=x2-ax-a的值能取遍一切正实数,应有Δ=a2+4a≥0,解之得a≥0或a≤-4,即a的取值范围为(-∞,-4]∪[0,+∞).16.设函数f(x)=|lg x|,若0<a<b,且f(a)>f(b).证明:ab<1.答案略解析由题设f(a)>f(b),即|lg a|>|lg b|.上式等价于(lg a)2>(lg b)2,即(lg a+lg b)(lg a-lg b)>0,lg(ab)lg ab>0,由已知b>a>0,得0<ab<1.∴lg ab<0,故lg(ab)<0.∴ab<1.17.若f (x )=x 2-x +b ,且f (log 2a )=b ,log 2f (a )=2(a ≠1).(1)求f (log 2x )的最小值及对应的x 值;(2)x 取何值时,f (log 2x )>f (1),且log 2f (x )<f (1).答案 (1)x =2时,最小值74 (2)0<x <1解析 (1)∵f (x )=x 2-x +b ,∴f (log 2a )=(log 2a )2-log 2a +b .由已知(log 2a )2-log 2a +b =b ,∴log 2a (log 2a -1)=0. ∵a ≠1,∴log 2a =1,∴a =2.又log 2f (a )=2,∴f (a )=4.∴a 2-a +b =4,∴b =4-a 2+a =2.故f (x )=x 2-x +2.从而f (log 2x )=(log 2x )2-log 2x +2=(log 2x -12)2+74.∴当log 2x =12,即x =2时,f (log 2x )有最小值74.(2)由题意⎩⎪⎨⎪⎧(log 2x )2-log 2x +2>2,log 2(x 2-x +2)<2⇔ ⎩⎪⎨⎪⎧ x >2或0<x <1,-1<x <2⇔0<x <1.。
数学 对数与对数函数 [基础达标]一、选择题1.[2018·天津卷]已知a =log 2e ,b =ln2,c =log 1213,则a ,b ,c的大小关系为( )A .a >b >cB .b >a >cC .c >b >aD .c >a >b2.下列函数中,与函数y =2x -2-x 的定义域、单调性与奇偶性均一致的是( )A .y =sin xB .y =x 3C .y =⎝ ⎛⎭⎪⎫12xD .y =log 2x3.已知a =⎝ ⎛⎭⎪⎫120.3,b =log 120.3,c =a b ,则a ,b ,c 的大小关系是( )A .a <b <cB .c <a <bC .a <c <bD .b <c <a4.已知a >0且a ≠1,函数f (x )=log a (x +x 2+b )在区间(-∞,+∞)上既是奇函数又是增函数,则函数g (x )=log a ||x |-b |的图象是( )5.若log a (a 2+1)<log a 2a <0,则a 的取值范围是( )A .(0,1) B.⎝ ⎛⎭⎪⎫0,12 C.⎝ ⎛⎭⎪⎫12,1 D .(0,1)∪(1,+∞)二、填空题6.函数f (x )=1-(lg x )2+3lg x -2的定义域是________.7.[2018·全国卷Ⅰ]已知函数f (x )=log 2(x 2+a ).若f (3)=1,则a =________.8.已知函数f (x )=⎩⎪⎨⎪⎧log 2x ,x >0,2x ,x ≤0,若关于x 的方程f (x )-a =0有两个实根,则a 的取值范围是________.三、解答题9.设f (x )=log a (1+x )+log a (3-x )(a >0,a ≠1),且f (1)=2. (1)求a 的值及f (x )的定义域;(2)求f (x )在区间⎣⎢⎡⎦⎥⎤0,32上的最大值.10.已知函数f (x )=log 21+axx -1(a 为常数)是奇函数.(1)求a 的值与函数f (x )的定义域; (2)若当x ∈(1,+∞)时,f (x )+log 2(x -1)>m 恒成立.求实数m 的取值范围.[能力挑战]11.(2018·全国卷Ⅲ)设a =log 0.20.3,b =log 20.3,则( ) A .a +b <ab <0 B .ab <a +b <0 C .a +b <0<abD .ab <0<a +b12.(2017·全国卷Ⅰ)设x ,y ,z 为正数,且2x =3y =5z ,则( ) A .2x <3y <5z B .5z <2x <3y C .3y <5z <2xD .3y <2x <5z13.(2018·荆州模拟)若函数f (x )=⎩⎪⎨⎪⎧log a x ,x >2,-x 2+2x -2,x ≤2(a >0,且a ≠1)的值域是(-∞,-1],则实数a 的取值范围是________.14.(2018·许昌第三次联考)已知f (x )=log a 1-x1+x(a >0,且a ≠1).(1)求f ⎝⎛⎭⎪⎫12 020+f ⎝⎛⎭⎪⎫-12 020的值.(2)当x ∈[-t ,t ](其中t ∈(0,1),且t 为常数)时,f (x )是否存在最小值,如果存在,求出最小值;如果不存在,请说明理由.(3)当a >1时,求满足不等式f (x -2)+f (4-3x )≥0的x 的取值范围.解析:y =2x -2-x 是定义域为R 的单调递增函数,且是奇函数.而y =sin x 不是单调递增函数,不符合题意;y =⎝ ⎛⎭⎪⎫12x是非奇非偶函数,不符合题意;y =log 2x 的定义域是(0,+∞),不符合题意;y =x 3是定义域为R 的单调递增函数,且是奇函数符合题意.故选B.答案:B3.[2019·福建厦门模拟]已知a =⎝ ⎛⎭⎪⎫120.3,b =log 120.3,c =a b ,则a ,b ,c 的大小关系是( )A .a <b <cB .c <a <bC .a <c <bD .b <c <a解析:b =log 120.3>log 1212=1>a =⎝ ⎛⎭⎪⎫120.3,c =a b <a .∴c <a <b .故选B.答案:B4.[2019·河南商丘模拟]已知a >0且a ≠1,函数f (x )=log a (x +x 2+b )在区间(-∞,+∞)上既是奇函数又是增函数,则函数g (x )=log a ||x |-b |的图象是( )解析:∵函数f (x )=log a (x +x 2+b )在区间(-∞,+∞)上是奇函数,∴f (0)=0,∴b =1,又函数f (x )=log a (x +x 2+b )在区间(-∞,+∞)上是增函数,所以a >1,所以g (x )=log a ||x |-1|的定义域为{x |x ≠±1},且在(1,+∞)上递增,在(0,1)上递减,故选A. 答案:A5.若log a (a 2+1)<log a 2a <0,则a 的取值范围是( )A .(0,1) B.⎝⎛⎭⎪⎫0,12C.⎝ ⎛⎭⎪⎫12,1 D .(0,1)∪(1,+∞) 解析:由题意得a >0且a ≠1,故必有a 2+1>2a , 又log a (a 2+1)<log a 2a <0,所以0<a <1,同时2a >1,∴a >12.综上,a ∈⎝ ⎛⎭⎪⎫12,1. 答案:C 二、填空题6.[2019·山东济南模拟]函数f (x )=1-(lg x )2+3lg x -2的定义域是________.解析:⎩⎪⎨⎪⎧-(lg x )2+3lg x -2>0,x >0⇒⎩⎪⎨⎪⎧1<lg x <2,x >0⇒⎩⎪⎨⎪⎧10<x <100,x >0⇒10<x <100,故函数的定义域为{x |10<x <100}. 答案:{x |10<x <100}7.[2018·全国卷Ⅰ]已知函数f (x )=log 2(x 2+a ).若f (3)=1,则a =________.解析:∵f (x )=log 2(x 2+a )且f (3)=1,∴1=log 2(9+a ), ∴9+a =2,∴a =-7. 答案:-78.已知函数f (x )=⎩⎪⎨⎪⎧log 2x ,x >0,2x ,x ≤0,若关于x 的方程f (x )-a =0有两个实根,则a 的取值范围是________.解析:当x ≤0时,0<2x ≤1,由图象可知方程f (x )-a =0有两个实根,即y =f (x )与y =a 的图象有两个交点,所以由图象可知0<a ≤1.即实数a 的取值范围为(0,1].答案:(0,1] 三、解答题当x >1时,x +1>2, 所以log 2(1+x )>log 22=1.因为x ∈(1,+∞),f (x )+log 2(x -1)>m 恒成立,所以m ≤1,所以m 的取值范围是(-∞,1] [能力挑战]11.(2018·全国卷Ⅲ)设a =log 0.20.3,b =log 20.3,则( ) A .a +b <ab <0 B .ab <a +b <0 C .a +b <0<abD .ab <0<a +b解析:选B.∵a =log 0.20.3>log 0.21=0,b =log 20.3<log 21=0, ∴ab <0.∵a +b ab =1a +1b =log 0.30.2+log 0.32=log 0.30.4, ∴1=log 0.30.3>log 0.30.4>log 0.31=0, ∴0<a +b ab<1,∴ab <a +b <0.故选B.12.(2017·全国卷Ⅰ)设x ,y ,z 为正数,且2x =3y =5z ,则( ) A .2x <3y <5z B .5z <2x <3y C .3y <5z <2xD .3y <2x <5z解析:选D.解法一:(特值法)令x =1,则由已知条件可得3y =2,5z =2,所以y =ln 2ln 3,z =ln 2ln 5,从而3y =3ln 2ln 3=ln 23ln 3<ln 9ln 3=2,5z =5ln 2ln 3=ln 25ln 3>2,则3y <2x <5z ,故选D. 解法二:(数形结合法)由2x =3y =5z ,可设(2)2x =(33)3y =(55)5z=t ,因为x ,y ,z 为正数,所以t >1,因为2=623=68,33=632=69,所以2<33;因为2=1025=1032,55=1025,所以2>55,所以55<2<33.分别作出y =(2)x,y =(33)x,y =(55)x 的图象,如图.则3y <2x <5z ,故选D.解法三:(作商法)由2x =3y =5z ,同时取自然对数,得x ln 2=y ln 3=z ln 5.由2x 3y =2ln 33ln 2=ln 9ln 8>1,可得2x >3y ;由2x 5z =2ln 55ln 2=ln 25ln 32<1,可得2x <5z ,所以3y <2x <5z ,故选D.13.(2018·荆州模拟)若函数f (x )=⎩⎪⎨⎪⎧log a x ,x >2,-x 2+2x -2,x ≤2(a >0,且a ≠1)的值域是(-∞,-1],则实数a 的取值范围是________.解析:x ≤2时,f (x )=-x 2+2x -2=-(x -1)2-1, f (x )在(-∞,1)上递增,在(1,2]上递减,∴f (x )在(-∞,2]上的最大值是-1,又f (x )的值域是(-∞,-1],∴当x >2时,log a x ≤-1,故0<a <1,且log a 2≤-1, ∴12≤a <1. 答案:⎣⎢⎡⎭⎪⎫12,1 14.(2018·许昌第三次联考)已知f (x )=log a 1-x1+x(a >0,且a ≠1).(1)求f ⎝ ⎛⎭⎪⎫12 020+f ⎝ ⎛⎭⎪⎫-12 020的值. (2)当x ∈[-t ,t ](其中t ∈(0,1),且t 为常数)时,f (x )是否存在最小值,如果存在,求出最小值;如果不存在,请说明理由.(3)当a >1时,求满足不等式f (x -2)+f (4-3x )≥0的x 的取值范围.解:(1)由1-x 1+x >0,得-1<x <1,∴f (x )的定义域为(-1,1).又f (-x )=log a 1+x 1-x =log a ⎝ ⎛⎭⎪⎫1-x 1+x -1=-log a1-x 1+x =-f (x ),∴f (x )为奇函数,∴f ⎝ ⎛⎭⎪⎫12 020+f ⎝ ⎛⎭⎪⎫-12 020=0. (2)设-1<x 1<x 2<1,则1-x 11+x 1-1-x 21+x 2=2(x 2-x 1)(1+x 1)(1+x 2). ∵-1<x 1<x 2<1,∴x 2-x 1>0,(1+x 1)(1+x 2)>0,∴1-x 11+x 1>1-x 21+x 2.当a >1时,f (x 1)>f (x 2), f (x )在(-1,1)上是减函数.又t ∈(0,1),∴x ∈[-t ,t ]时,f (x )有最小值,且最小值为f (t )=log a 1-t 1+t.当0<a <1时,f (x 1)<f (x 2),f (x )在(-1,1)上是增函数. 又t ∈(0,1),∴x ∈[-t ,t ]时,f (x )有最小值,且最小值为f (-t )=log a 1+t 1-t.综上,当x ∈[-t ,t ]时,f (x )存在最小值.且当a >1时,f (x )的最小值为log a 1-t1+t,当0<a <1时,f (x )的最小值为log a 1+t1-t .(3)由(1)及f (x -2)+f (4-3x )≥0,得 f (x -2)≥-f (4-3x )=f (3x -4). ∵a >1,∴f (x )在(-1,1)上是减函数,∴⎩⎪⎨⎪⎧x -2≤3x -4,-1<x -2<1,-1<3x -4<1,∴⎩⎪⎨⎪⎧x ≥1,1<x <3,1<x <53,所以1<x <53. ∴x 的取值范围是⎝ ⎛⎭⎪⎫1,53.。
对数函数练习题 (有答案 )1.函数 y = log (2x - 1)(3x - 2)的定义域是 ()1221A . 2,+ ∞B . 3,+ ∞C . 3, 1 ∪(1 ,+ ∞)D . 2, 1 ∪(1 ,+ ∞)2.若集合 A = { x|log 2x =2-x } ,且 x ∈ A ,则有 ()A . 1> x 2> xB . x 2> x > 1C . x 2> 1>xD . x > 1>x 23.若 loga 3> log 3> 0,则 a 、b 、 1 的大小关系为 ()bA . 1<a < bB .1 < b < aC . 0 < a <b < 1D .0 < b < a < 144.若 log a 5< 1,则实数 a 的取值范围为 ()A . a >1B . 0< a <4C . 4<a D . 0< a < 4 或 a >15 555.已知函数 f(x)= log a (x - 1)(a > 0 且 a ≠1)在 x ∈ (1,2) 时, f(x)< 0,则 f(x)是A .增函数B .减函数C .先减后增D .先增后减6.如图所示,已知 0< a < 1,则在同一直角坐标系中,函数- x和 y = log ay = a (- x)的图象只可能为 ( )7.函数 y = f(2 x)的定义域为 [1, 2],则函数2( )y =f(log x)的定义域为A .[0, 1]B . [1, 2]C . [2, 4]D . [4, 16]8.若函数 f(x)= log 1(x 3- ax )上单调递减,则实数 a 的取值范围是 ( )2A .[9, 12]B . [4, 12]C . [4, 27]D . [9, 27]9.函数 y = a x -3+ 3(a > 0,且 a ≠1)恒过定点 __________ .10.不等式1 10- 3x <3- 2x的解集是 _________________________ . 3xx -x的图象. (2) 函数11. (1) 将函数 f(x)= 2 的图象向 ______ 平移 ________个单位,就可以得到函数g( x)= 2 1 |x - 1|f( x)= 2,使 f(x)是增区间是 _________.12.设 f(log 2x)= 2x ( x > 0).则 f(3) 的值为.13.已知集合 A = { x|2≤ x ≤ π,x ∈ R} .定义在集合 A 上的函数 f(x)= log x(0< a < 1)的最大值比最小值大1,a则底数 a 为 __________.14.当 0<x < 1 时,函数 y = log (a 2- 3)x 的图象在 x 轴的上方,则 a 的取值范围为 ________.115.已知16.已知17.已知0< a< 1,0< b< 1,且 alog b(x-3)< 1,则x 的取值范围为.a> 1,求函数f(x) =log a(1- a x)的定义域和值域.0< a< 1,b> 1, ab>1,比较 log1, log a b, log1的大小.a b b b18.已知 f(x)= log a x 在 [2, + ∞上)恒有 |f(x)|> 1,求实数a 的取值范围.19.设在离海平面高度 h m 处的大气压强是x mm 水银柱高, h 与 x 之间的函数关系式为: h= kln x,其中 c、ck 都是常量.已知某地某天在海平面及1000 m 高空的大气压强分别是760 mm 水银柱高和675 mm 水银柱高,求大气压强是720 mm 水银柱高处的高度.20.已知关于x 的方程 log 2( x+3) - log4x2= a 的解在区间 (3, 4)内,求实数a 的取值范围.2参考答案:1. C 2. B 3. A 4. D 5. A 6. B 7. D 8. A9. (3,4)10. { x|_x < 2}11.右, 2; (- ∞, 1), 12. 2562,4)13. 14. a ∈ (-2,- 3)∪ ( 3,2)15.(3π16.解 ∵ a > 1, 1- a x >0,∴ a x < 1,∴ x < 0,即函数的定义域为 (- ∞ , 0).∵ a x > 0 且 a x <1,∴ 0< 1-a x < 1∴ log a (1- a x ) < 0,即函数的值域是 (-∞ ,0).17.解 ∵ 0< a < 1, b > 1,∴ log a b < 0, log b 1=- 1, log a 1> 0,又 ab > 1,∴ b > 1> 1,log a b <log a 1=b b a a - 1,∴ log a b < log b5 1<log a 1.b b18.解 由 |f(x)|> 1,得 log a x > 1 或 log a x <- 1.由 log a x > 1, x ∈ [2, +∞ 得) a >1,(log x)最小= log 2,∴ log 2> 1,∴ a < 2,∴ 1< a < 2;aaa由 log a x <- 1, x ∈[2, + ∞ 得) 0< a < 1, (log a x)最大 = log a 2,∴ log a 2<- 1,∴ a >12,∴12< a < 1.综上所述, a 的取值范围为 (1, 1 )∪ (1, 2).219.解 ∵ h = kln x,当 x = 760, h =0,∴ c =760.c当 x = 675 时, h =1 000,∴ 1 000= kln675= kln0.8907 ∴ k = 1000 = 1000lg e760 ln0.8907 lg0.8907 当 x = 720 时, h = 1000lge720= 1000lg e 1000lg e lg0.9473lg0.8907 ln760 lg0.8907 ·ln0.9473 = lg0.8907· lg e ≈ 456 m .∴ 大气压强为 720 mm 水银柱高处的高度为 456 m .24 220.本质上是求函数 g(x)= log (x+3)- log x x ∈ (3, 4)的值域.∵ g(x)= log 242= log 222x +3= log 21 ∈ log 25, log 24( x+3) - log x(x+3) - log x = log x 1+ x4354∴ a ∈ log 24, log 23 .3。
对数和对数函数习题一、选择题1.若3a =2,则log 38-2log 36用a 的代数式可表示为( ) (A )a-2 (B )3a-(1+a)2 (C )5a-2 (D )3a-a 2 2.2log a (M-2N)=log a M+log a N,则NM的值为( ) (A )41(B )4 (C )1 (D )4或1 3.已知x 2+y 2=1,x>0,y>0,且log a (1+x)=m,logaya n xlog ,11则=-等于( ) (A )m+n (B )m-n (C )21(m+n) (D )21(m-n)4.如果方程lg2x+(lg5+lg7)lgx+lg5·lg7=0的两根是α、β,则α·β的值是( ) (A )lg5·lg7 (B )lg35 (C )35 (D )351 5.已知log 7[log 3(log 2x)]=0,那么x 21-等于( )(A )31(B )321 (C )221 (D )331 6.函数y=lg (112-+x)的图像关于( ) (A )x 轴对称 (B )y 轴对称 (C )原点对称 (D )直线y=x 对称 7.函数y=log 2x-123-x 的定义域是( )(A )(32,1)⋃(1,+∞) (B )(21,1)⋃(1,+∞) (C )(32,+∞) (D )(21,+∞)8.函数y=log 21(x 2-6x+17)的值域是( )(A )R (B )[8,+∞] (C )(-∞,-3) (D )[3,+∞] 9.函数y=log 21(2x 2-3x+1)的递减区间为( )(A )(1,+∞) (B )(-∞,43] (C )(21,+∞) (D )(-∞,21] 10.函数y=(21)2x +1+2,(x<0)的反函数为( ) (A )y=-)2(1log )2(21>--x x (B ))2(1log )2(21>--x x(C )y=-)252(1log )2(21<<--x x (D )y=-)252(1log )2(21<<--x x11.若log m 9<log n 9<0,那么m,n 满足的条件是( )(A )m>n>1 (B )n>m>1 (C )0<n<m<1 (D )0<m<n<112.log a132<,则a 的取值范围是( ) (A )(0,32)⋃(1,+∞) (B )(32,+∞)(C )(1,32) (D )(0,32)⋃(32,+∞)14.下列函数中,在(0,2)上为增函数的是( )(A )y=log 21(x+1) (B )y=log 212-x (C )y=log 2x 1(D )y=log 21(x 2-4x+5) 15.下列函数中,同时满足:有反函数,是奇函数,定义域和值域相同的函数是( )(A )y=2x x e e -+ (B )y=lg xx+-11 (C )y=-x 3 (D )y=x16.已知函数y=log a (2-ax)在[0,1]上是x 的减函数,则a 的取值范围是( ) (A )(0,1) (B )(1,2) (C )(0,2) (D )[2,+∞) 17.已知g(x)=log a 1+x (a>0且a ≠1)在(-1,0)上有g(x)>0,则f(x)=a1+x 是( )(A )在(-∞,0)上的增函数 (B )在(-∞,0)上的减函数 (C )在(-∞,-1)上的增函数 (D )在(-∞,-1)上的减函数 18.若0<a<1,b>1,则M=a b ,N=log b a,p=b a 的大小是( )(A )M<N<P (B )N<M<P (C )P<M<N (D )P<N<M 二、填空题1.若log a 2=m,log a 3=n,a 2m+n = 。
(完整版)对数运算计算题练习(含答案).docx2017-2018 学年高一数学必修一对数运算计算题练习1、计算:.2、计算:3、计算:.4、计算:.5、计算:6、计算:log224lg 0.5 log 327 lg 2log 2 38、计算:lg 2 3 lg 9 1 (lg27 lg 8 lg 1000 ) .lg 0.3lg 1.29、计算: lg25 +lg2 ·lg 50 + lg 22;10、计算:11、计算:12、计算:13、计算:14、计算: 2(lg 2) 2lg 2 lg 5(lg 2)2lg 2115、计算:.16、计算:17、计算:;18、计算:20、计算:21、计算:22、计算:;23、计算:24、计算:25、计算:26、计算:27、计算:;28、计算.29、计算:.30、计算:.31、计算:32、计算: 2log 32- log 3+log38-;33、计算:.34、计算:35、计算:36、计算: lg+lg 70-lg 3-;37、计算:(lg5)2· lg50+ 21+ log 5. + lg2238、计算:39、计算:参考答案1、答案为: 1.5.2、答案为: 4.75.3、答案为: 6.5.4、答案为: 4.5.5、答案为: -4.6、答案为: 1.5.8、答案为: -1.5.9、答案为: 2.10、答案为: 1.25.11、答案为: 212、答案为: 513、答案为: 1+ 2.14、答案为: 1.15、答案为: -7.16、答案为: 5.17、答案为: 0.18、答案为: 320、答案为: 0.5.21、答案为: 4.22、答案为: a-2 .23、答案为: 1.24、答案为: 1.5.25、答案为: 0.5.26、答案为: 7/6.27、答案为: 6.28、答案为: 1.29、答案为: 3.5.30、答案为: 1.31、答案为: 3.5.32、答案为: -7.33、答案为: 2.34、答案为: 035、答案为: 1.25.36、答案为: lg3.37、答案为: 1+ 2.38、答案为: 11.39、答案为: 2.。
带标准答案对数与对数函数经典例题.docx经典例题透析类型⼀、指数式与对数式互化及其应⽤1.将下列指数式与对数式互化:(1); (2); (3); (4);(5); (6).思路点拨:运⽤对数的定义进⾏互化 .解: (1);(2);(3);(4);(5);(6).总结升华:对数的定义是对数形式和指数形式互化的依据,⽽对数形式和指数形式的互化⼜是解决问题的重要⼿段 .举⼀反三:【变式 1】求下列各式中x 的值:(1)(2)(3)lg100=x (4)思路点拨:将对数式化为指数式,再利⽤指数幂的运算性质求出x.解: (1);(2);(3)10x=100=10 2,于是 x=2 ;(4) 由.类型⼆、利⽤对数恒等式化简求值2.求值:解:.总结升华:对数恒等式中要注意格式:①它们是同底的;②指数中含有对数形式;③其值为真数.举⼀反三:【变式 1】求的值(a,b,c∈ R+,且不等于1,N>0)思路点拨:将幂指数中的乘积关系转化为幂的幂,再进⾏运算.解:.类型三、积、商、幂的对数(1)lg9 (2)lg64 (3)lg6 (4)lg12 (5)lg5 (6) lg15解: (1) 原式 =lg3 2=2lg3=2b(2) 原式 =lg2 6=6lg2=6a(3) 原式 =lg2+lg3=a+b(4) 原式 =lg2 2+lg3=2a+b(5) 原式 =1-lg2=1-a(6) 原式 =lg3+lg5=lg3+1-lg2=1+b-a举⼀反三:【变式 1】求值(1)(2)lg2 · lg50+(lg5) 2 (3)lg25+lg2 · lg50+(lg2) 2解:(1)(2)原式 =lg2(1+lg5)+(lg5) 2 =lg2+lg2lg5+(lg5) 2 =lg2+lg5(lg2+lg5)=lg2+lg5=1(3)原式 =2lg5+lg2(1+lg5)+(lg2) 2=2lg5+lg2+lg2lg5+(lg2)2=1+lg5+lg2(lg5+lg2)=1+lg5+lg2=2.【变式 2】已知 3a=5b=c,,求c的值.解:由 3a=c 得:同理可得.【变式 3】设 a、 b、 c 为正数,且满⾜a2+b2=c2.求证:.证明:.【变式 4】已知: a2+b2=7ab, a>0, b>0. 求证:.证明:∵ a2+b 2=7ab,∴ a2+2ab+b2=9ab,即(a+b)2=9ab,∴ lg(a+b)2=lg(9ab) ,∵ a>0, b>0 ,∴ 2lg(a+b)=lg9+lga+lgb∴2[lg(a+b)-lg3]=lga+lgb即.类型四、换底公式的运⽤4.(1) 已知 log x y=a,⽤ a 表⽰;(2)已知 log a x=m , log b x=n , log c x=p,求 log abc x.解: (1)原式 =;(2)思路点拨:将条件和结论中的底化为同底 .⽅法⼀: a m=x , b n=x , c p=x∴,∴;⽅法⼆:.举⼀反三:【变式 1】求值: (1); (2); (3).解:(1)(2);(3)法⼀:法⼆:.总结升华:运⽤换底公式时,理论上换成以⼤于0 不为 1 任意数为底均可,但具体到每⼀个题,⼀般以题中某个对数的底为标准,或都换成以10 为底的常⽤对数也可.类型五、对数运算法则的应⽤5.求值(1)log 89· log2732(2)(3)(4)(log 2 125+log 425+log 85)(log 1258+log 254+log 52)解: (1)原式 =.(2)原式 =(3)原式 =(4)原式 =(log 2125+log 425+log 85)(log 1258+log 254+log 52)举⼀反三:【变式 1】求值:解:另解:设=m (m>0). ∴,∴,∴,∴ lg2=lgm ,∴ 2=m,即.【变式 2】已知: log 23=a, log37=b ,求: log4256=?解:∵∴,类型六、函数的定义域、值域求含有对数函数的复合函数的定义域、值域,其⽅法与⼀般函数的定义域、值域的求法类似,但要注意对数函数本⾝的性质(如定义域、值域及单调性)在解题中的重要作⽤.6.求下列函数的定义域:(1);(2).思路点拨:由对数函数的定义知:x2>0 , 4-x>0 ,解出不等式就可求出定义域.解: (1)因为 x2>0 ,即 x≠ 0,所以函数;(2)因为 4-x>0 ,即 x<4 ,所以函数.举⼀反三:【变式1】求下列函数的定义域 .(1) y=(2) y=ln(a x-k· 2x)(a>0 且 a11, k?R).解: (1)因为,所以,所以函数的定义域为(1,) (,2).(2)因为 a x-k· 2x>0,所以 ( )x>k.[1]当 k≤ 0 时,定义域为 R;[2]当 k>0 时,(i) 若 a>2,则函数定义域为(k, +∞ );(ii) 若 0(iii)若 a=2,则当 0【变式 2】函数 y=f(2 x)的定义域为 [-1 ,1] ,求 y=f(log 2x)的定义域 .思路点拨:由 -1≤ x≤1,可得 y=f(x) 的定义域为 [,2],再由≤log2x≤2得y=f(log2x)的定义域为[,4].类型七、函数图象问题7.作出下列函数的图象:(1) y=lgx , y=lg(-x) , y=-lgx ; (2) y=lg|x| ; (3) y=-1+lgx.解: (1) 如图 (1) ; (2) 如图 (2); (3)如图 (3).类型⼋、对数函数的单调性及其应⽤利⽤函数的单调性可以:①⽐较⼤⼩;②解不等式;③判断单调性;④求单调区间;⑤求值域和最值.要求同学们:⼀是牢固掌握对数函数的单调性;⼆是理解和掌握复合函数的单调性规律;三是树⽴定义域优先的观念.8.⽐较下列各组数中的两个值⼤⼩:(1)log 23.4, log 28.5(2)log 0.31.8, log0.32.7(3)log a5.1,log a5.9(a>0 且 a≠ 1)思路点拨:由数形结合的⽅法或利⽤函数的单调性来完成.(1) 解法 1:画出对数函数 y=log 2x 的图象,横坐标为 3.4 的点在横坐标为 8.5 的点的下⽅,所以, log23.4解法 2:由函数 y=log 2x 在 R+上是单调增函数,且 3.4<8.5 ,所以 log23.4解法 3:直接⽤计算器计算得:log23.4≈ 1.8, log28.5≈ 3.1,所以 log 23.4(2) 与第 (1)⼩题类似, log 0.3+上是单调减函数,且 1.8<2.7,所以 log0.31.8>log0.32.7;x 在 R(3) 注:底数是常数,但要分类讨论 a 的范围,再由函数单调性判断⼤⼩.解法 1:当 a>1 时, y=log a x 在 (0, +∞ )上是增函数,且 5.1<5.9 ,所以, log a5.1当 0log a5.9解法 2:转化为指数函数,再由指数函数的单调性判断⼤⼩,令 b1=log a5.1,则,令 b2=log a5.9,则当 a>1 时, y=a x在 R 上是增函数,且 5.1<5.9所以, b1当 0所以, b1>b2,即.【变式 1】( 2011 天津理7)已知则()A.B.C.D.解析:另,,,在同⼀坐标系下作出三个函数图像,由图像可得⼜∵为单调递增函数,∴故选 C.9. 证明函数上是增函数.思路点拨:此题⽬的在于让学⽣熟悉函数单调性证明通法,同时熟悉利⽤对函数单调性⽐较同底数对数⼤⼩的⽅法 .证明:设,且x1⼜∵ y=log 2x 在上是增函数即 f(x 1)∴函数 f(x)=log 2(x2+1) 在上是增函数.举⼀反三:【变式 1】已知 f(log a(a>0 且 a≠ 1),试判断函数f(x) 的单调性 .x)=解:设 t=log a+, t∈ R).当 a>1 时, t=log a 1 212x(x ∈ R x 为增函数,若t∵01,∴ f(t 1)当 01 或 0解:设 t=-x 2+2x+3 ,则 t=-(x-1) 2+4.∵ y=t 为减函数,且0∴ y≥=-2,即函数的值域为[-2, +∞.再由:函数y=(-x2+2x+3) 的定义域为 -x2+2x+3>0 ,即 -1∴ t=-x 2+2x+3 在-1, 1)上递增⽽在[1, 3)上递减,⽽y=t 为减函数 .∴函数 y=(-x2+2x+3) 的减区间为 (-1 ,1),增区间为 [1, 3.类型九、函数的奇偶性11. 判断下列函数的奇偶性. (1)(2).(1) 思路点拨:⾸先要注意定义域的考查,然后严格按照证明奇偶性基本步骤进⾏.解:由所以函数的定义域为:(-1 ,1)关于原点对称⼜所以函数是奇函数;总结升华:此题确定定义域即解简单分式不等式,函数解析式恒等变形需利⽤对数的运算性质.说明判断对数形式的复合函数的奇偶性,不能轻易直接下结论,⽽应注意对数式的恒等变形.(2) 解:由所以函数的定义域为R 关于原点对称⼜即 f(-x)=-f(x) ;所以函数.类型⼗、对数函数性质的综合应⽤12.已知函数f(x)=lg(ax 2+2x+1).(1) 若函数 f(x) 的定义域为R,求实数 a 的取值范围; (2) 若函数 f(x) 的值域为 R,求实数 a 的取值范围 .思路点拨:与求函数定义域、值域的常规问题相⽐,本题属⾮常规问题,关键在于转化成常规问题.f(x) 的定义域为 R,即关于x 的不等式 ax2 +2x+1>0 的解集为 R,这是不等式中的常规问题 .f(x) 的值域为 R 与 ax2+2x+1 恒为正值是不等价的,因为这⾥要求f(x) 取遍⼀切实数,即要求 u=ax2+2x+1 取遍⼀切正数,考察此函数的图象的各种情况,如图,我们会发现,使 u 能取遍⼀切正数的条件是.解: (1)f(x) 的定义域为R,即:关于 x 的不等式 ax2+2x+1>0 的解集为 R,当a=0 时,此不等式变为 2x+1>0 ,其解集不是 R;当 a≠ 0 时,有a>1.∴ a 的取值范围为a>1.(2)f(x) 的值域为R,即 u=ax2+2x+1 能取遍⼀切正数a=0 或0≤ a≤ 1,∴ a 的取值范围为0≤a≤ 1.13.已知函数 h(x)=2 x(x∈ R),它的反函数记作g(x) ,A 、 B、 C 三点在函数g(x) 的图象上,它们的横坐标分别为 a,a+4,a+8(a>1) ,记 ABC 的⾯积为 S.(1) 求 S=f(a) 的表达式; (2) 求函数 f(a) 的值域;(3) 判断函数 S=f(a) 的单调性,并予以证明;(4) 若 S>2,求 a 的取值范围 .解: (1) 依题意有 g(x)=log 2x(x>0).并且 A 、B 、C 三点的坐标分别为A(a , log2 a), B(a+4 , log 2(a+4)) ,C(a+8, log2(a+8)) (a>1) ,如图 .∴A , C 中点 D 的纵坐标为〔log2a+log2(a+8)〕∴ S=|BD|· 4· 2=4|BD|=4log 2(a+4)-2log 2a-2log2(a+8).(2)把 S=f(a) 变形得: S=f(a)=2 〔 2log 2(a+4)-log 2a-log 2(a+8) 〕 =2log 2=2log 2(1+).由于 a>1 时, a2+8a>9,∴ 1<1+<,⼜函数y=log2x在(0,+∞ )上是增函数,∴ 0<2log 2(1+)<2log 2,即0(3)S=f(a) 在定义域 (1, +∞ )上是减函数,证明如下:任取a1, a2,使 1(1+)-(1+)=16()=16 ·,由 a1>1, a2>1,且 a2>a1,∴a1+a2+8>0 ,+8a2>0 ,+8a1>0, a1-a2<0,∴ 1<1+<1+,再由函数 y=log 2x 在 (0, +∞)上是增函数,于是可得 f(a1)>f(a 2)∴S=f(a) 在 (1, +∞ )上是减函数 .(4)由 S>2,即得,解之可得:1。
1、 A 、 B 、5a — 2 C 、3Q —(1 + Q )2D 、 3ci — /2、 2购肱-喝N,则导的值为( A, 3、 ]_4已知尤2 + >2 =],尤〉0, y 〉0 ,且 log 。
(] + 尤)=m, log 。
B 、4C 、1D 、4 或 1=〃,则log :等于(A、4、r 1/ C 、 —[m + n2V如果方程lg 2x + (lg5 + lg7)lgx + lg5 1g7=0的两根是a,f3,则a”D 、-(m-n 2VA 、 Ig5 1g7B 、lg35 C 、35 D 、 1 35 5、 A、B、C、12V2 D、 13^36、 函数y = lg A 、 x 轴对称B 、y 轴对称 C、原点对称D、 直线y = x 对称7、 A、|,ljU(l,+c o) B 、 C 、D、 1—,+co8、 A、 B 、[8,+oo) C、 D、 [3,+00)A 、m>n>\B 、n>m>\对数与对数函数同步练习一、选择题:(本题共12小题,每小题4分,共48分,在每小题给出的四个选项中,只 有一项是符合题目要求的)已知3" =2,那么log 38-21og 36用。
表示是( )已知 log 7[log 3(log 2 X )] = 0 ,那么 X 2 等于函数y = log (2x —i )丁3尤- 2的定义域是(函数y = log,(x 2-6x + 17)的值域是(29、若log m 9<log…9<0,那么皿〃满足的条件是(I。
、log — < 1 >则。
的取值范围是( 嶷3A、[o,i]u(l,+°°)B、II、下列函数中,在(0,2)±为增函数的是A、y = log, (x +1)B 、2c、y - log—D^ y = log2 V-r2-ly = log ] (x2—4x + 5)12、已知g(x) = log」x+l| (a〉0且a? 1)在(一1,0)上有巴⑴〉。
对数与对数运算练习题一.选择题1.2-3=18化为对数式为( ) A .log 182=-3B .log 18(-3)=2C .log 218=-3 D .log 2(-3)=182.log 63+log 62等于( )A .6B .5C .1D .log 65 3.如果lg x =lg a +2lg b -3lg c ,则x 等于( ) A .a +2b -3cB .a +b 2-c 3C.ab 2c 3D.2ab 3c4.已知a =log 32,那么log 38-2log 36用a 表示为( ) A .a -2B .5a -2C .3a -(1+a )2D .3a -a 2-15.的值等于( ) A .2+ 5 B .2 5 C .2+52D .1+526.Log 22的值为( ) A .- 2 B. 2 C .-12D.127.在b =log (a -2)(5-a )中,实数a 的取值范围是( ) A .a >5或a <2 B .2<a <3或3<a <5 C .2<a <5D .3<a <48.方程2log3x =14的解是( ) A .x =19B .x =x3C.x= 3 D.x=99.若log2(log3x)=log3(log4y)=log4(log2z)=0,则x+y+z的值为() A.9 B.8C.7 D.610.若102x=25,则x等于()A.lg 15B.lg5 C.2lg5 D.2lg1511.计算log89·log932的结果为()A.4 B.53C.14D.3512.已知log a x=2,log b x=1,log c x=4(a,b,c,x>0且≠1),则log x(abc)=()A.47 B.27C.72 D.74二.填空题1.2log510+log50.25=____.2.方程log3(2x-1)=1的解为x=_______.3.若lg(ln x)=0,则x=_ ______.4.方程9x-6·3x-7=0的解是_______5.若log34·log48·log8m=log416,则m=________.6.已知log a2=m,log a3=n,则log a18=_______.(用m,n表示) 7.log6[log4(log381)]=_______.8.使对数式log(x-1)(3-x)有意义的x的取值范围是_______三.计算题1.计算:(1)2log210+log20.04 (2)lg3+2lg2-1lg1.2(3)log6112-2log63+13log627 (4)log2(3+2)+log2(2-3);2.已知log34·log48·log8m=log416,求m的值.对数与对数运算练习题答案一.选择题1.C 2. C 3. C 4. A 5. B 6. D 7. B 8 A 9. A 10. B11.B 12.D二.填空题1. 22. 23. e4. x=log375. 96. m+2n7. 08. 1<x<3且x≠2三.计算题1.解:(1)2log210+log20.04=log2(100×0.04)=log24=2(2)lg3+2lg2-1lg1.2=lg(3×4÷10)lg1.2=lg1.2lg1.2=1(3)log6112-2log63+13log627=log6112-log69+log63=log6(112×19×3)=log6136=-2.(4)log2(3+2)+log2(2-3)=log2(2+3)(2-3)=log21=0.2. [解析] log 416=2,log 34·log 48·log 8m =log 3m =2, ∴m =9.对 数一、选择题 1、25)(log 5a -(a ≠0)化简得结果是( ) A 、-aB 、a 2C 、|a |D 、a2、 log 7[log 3(log 2x )]=0,则21-x 等于( )A 、31B 、321 C 、221 D 、3313、 nn ++1log(n n -+1)等于( ) A 、1B 、-1C 、2D 、-24、 已知32a =,那么33log 82log 6-用表示是( )A 、2a -B 、52a -C 、23(1)a a -+ D 、 23a a - 5、 2log (2)log log a a a M N M N -=+,则NM的值为( ) A 、41B 、4C 、1D 、4或1 6、 若log m 9<log n 9<0,那么m,n 满足的条件是( ) A 、m>n>1 B 、n>m>1 C 、0<n<m<1 D 、0<m<n<17、 若1<x<b,a=log 2b x,c=log a x,则a,b,c 的关系是( ) A 、a<b<c B 、 a<c<b C 、c<b<a D 、c<a<b 8、在)5(log 2a b a -=-中,实数a 的范围是( ) A 、 a >5或a <2B 、 25<<aC 、 23<<a 或35<<aD 、 34<<a9、 已知23834x y ==,log ,则x y +2的值为( ) A 、 3B 、 8C 、 4D 、 log 4810、 设a 、b 、c 都是正数,且c b a 643==,则( ) A 、111c a b=+ B 、221c a b =+ C 、 122c a b=+ D 、212c a b=+ 二、填空题11 、若lg2=a ,lg3=b ,则log 512=________ 12、3a=2,则log 38-2log 36=__________ 13、若2log 2,log 3,m na a m n a+===___________________14、若f x x ()log ()=-31,且f a ()=2,则a=____________ 15、2342923232log ()log ()+-+=___________三、解答题16、计算:(1) 12lg )2(lg 5lg 2lg )2(lg 222+-+⋅+(2)(log 2125+log 425+log 85)(log 52+log 254+log 1258)17、 若lga 、lgb 是方程01422=+-x x 的两个实根,求2)(lg )lg(baab ⋅的值。
8 49 (lg 6)2- 2 lg 6 +1 4 5 23对数运算练习题1. 将下列指数式改为对数式:⎛ 1 ⎫-2 (1) ⎪ ⎝ ⎭= 16-3 (2) 81 4= x2. 将下列对数式改为指数式:(1) log 4 = 4(2) log 1 x = -523 7 13. 3log 3 2 - log 3 4 + 2 log 3 4 + log 3 =14. log a x = 2log a m - 2 log a n - log a p ,则 x =5. lg 0.06 +=6. 下列指数式与对数式互化不正确的一组是()-11 1 1A 100= 1与lg1 = 0B 27 3 = 与log 3 27 3 = - 31C log 3 9 = 2与92= 3D log 5 = 1与51= 57. 已知log x 16 = 2 ,则 x 的值为()A -4B 4C ±4D 148. 下列各等式中,正确运用对数运算性质的是()A lg (x 2 y z )= (lg x )2+ lg y + C lg (x 2 y z )= 2 lg x + lg y - 2 lg zB lg (x 2 y z )= (lg x )2+ lg y + 2 lg z D lg (x 2 y z)= 2 lg x + lg y + 1lg z9. 以下运算中结果正确的是()lg z3 log 28 a a 41 A log2 + log 5 = 1Blog 4 6= log 2 = 11010log 4 3 2C ⎛ log 1 ⎫35 5 ⎪ = 2 lg x + lg y - 2 l g zD 3log 2 8 = = ⎝ ⎭10. 已知 a = log 3 2 ,那么log 3 8 - 2 log 3 6 ,用 a 表示是( )A a - 2 C 3a - (1+ a )2B 5a - 2 D 3a - a 2 -111. 计算:(1) lg 4 + lg 5 l g 20 + (lg 5)21+ 1lg 9 - lg 240 (2) 2 1- 2 lg 27 + lg 36 3 512. 已知log 2 = x , log 3 = y ,求 a2x + y的值13. 设在海拔 x 米处的大气压强是 yPa ,已知 y = ce kx ,其中c , k 为常数,若沿海某地元旦那天,在海平面的大气压强为1.01⨯105 Pa ,100 米高空的大气压强是0.90 ⨯105 Pa ,求 8000米高空的大气压强(结果保留 4 为有效数字)3 3m3 2答案:1.(1)log1 16 =-24(2)log81 x =-43 2.(1)44 =⎛1 ⎫-5(2) ⎪=x⎝⎭3. 34.5. -1n2p6.C7.B8.D9.A 10.A11.(1)2 (2) -112. 1213. 4.015⨯104Pa8。
对数与对数函数测试题一、选择题。
1.3log 9log 28的值是 ( )A .32 B .1 C .23 D .2 2.若log 2)](log [log log )](log [log log )](log [log 55153313221z y x ===0,则x 、y 、z 的大小关系是( )A .z <x <yB .x <y <zC .y <z <xD .z <y <x 3.已知x =2+1,则lo g 4(x 3-x -6)等于( )A.23 B.45 C.0D.21 4.已知lg2=a ,lg3=b ,则15lg 12lg 等于( )A .ba ba +++12B .ba ba +++12C .ba ba +-+12D .ba ba +-+125.已知2lg(x -2y )=lg x +lg y ,则y x 的值为( )A .1B .4C .1或4D .4或16 6.函数y =)12(log 21-x 的定义域为( )A .(21,+∞) B .[1,+∞)C .(21,1] D .(-∞,1)7.已知函数y =log 21(ax 2+2x +1)的值域为R ,则实数a 的取值范围是( )A .a >1B .0≤a <1C .0<a <1D .0≤a ≤1 8.已知f (e x)=x ,则f (5)等于 ( )A .e5B .5eC .ln5D .log 5e 9.若1()log (01),(2)1,()a f x x a a f f x -=>≠<且且则的图像是 ( )A B C DOxyOxyOxyOxy10.若22log ()y x ax a =---在区间(,13)-∞-上是增函数,则a 的取值范围是( )A .[223,2]-B .)223,2⎡-⎣C .(223,2⎤-⎦D .()223,2-11.设集合B A x x B x x A ⋂>=>-=则|},0log |{},01|{22等于 ( )A .}1|{>x xB .}0|{>x xC .}1|{-<x xD .}11|{>-<x x x 或12.函数),1(,11ln+∞∈-+=x x x y 的反函数为( )A .),0(,11+∞∈+-=x e e y xx B .),0(,11+∞∈-+=x e e y xx C .)0,(,11-∞∈+-=x e e y xx D .)0,(,11-∞∈-+=x e e y xx二、填空题.13.计算:log 2.56.25+lg 1001+ln e +3log 122+=.14.函数y =log 4(x -1)2(x <1=的反函数为__________. 15.已知m >1,试比较(lg m )0.9与(lg m )0.8的大小.16.函数y =(log 41x )2-log 41x 2+5在2≤x ≤4时的值域为______.三、解答题.17.已知y =log a (2-ax )在区间{0,1}上是x 的减函数,求a 的取值范围.18.已知函数f(x)=lg[(a2-1)x2+(a+1)x+1],若f(x)的定义域为R求实数a的取值范围.19.已知f(x)=x2+(lg a+2)x+lg b,f(-1)=-2,当x∈R时f(x)≥2x恒成立,求实数a 的值,并求此时f(x)的最小值?20.设0<x<1,a>0且a≠1,试比较|log a(1-x)|与|log a(1+x)|的大小.21.已知函数f(x)=log a(a-a x)且a>1,(1)求函数的定义域和值域;(2)讨论f(x)在其定义域上的单调性;(3)证明函数图象关于y=x对称.22.在对数函数y=log2x的图象上(如图),有A、B、C三点,它们的横坐标依次为a、a+1、a+2,其中a≥1,求△ABC面积的最大值.对数与对数函数测试题参考答案一、选择题:ADBCB CDCBA AB 二、填空题:13.213,14.y =1-2x (x ∈R ),15.(lg m )0.9≤(lg m )0.8,16.8425≤≤y 三、解答题:17.解析:先求函数定义域:由2-ax >0,得ax <2又a 是对数的底数, ∴a >0且a ≠1,∴x <a2由递减区间[0,1]应在定义域内可得a2>1,∴a <2 又2-ax 在x ∈[0,1]是减函数∴y =log a (2-ax )在区间[0,1]也是减函数,由复合函数单调性可知:a >1 ∴1<a <218、解:依题意(a 2-1)x 2+(a +1)x +1>0对一切x ∈R 恒成立.当a 2-1≠0时,其充要条件是:⎪⎩⎪⎨⎧<--+=∆>-0)1(4)1(01222a a a 解得a <-1或a >35 又a =-1,f (x )=0满足题意,a =1,不合题意. 所以a 的取值范围是:(-∞,-1]∪(35,+∞) 19、解析:由f (-1)=-2,得:f (-1)=1-(lg a +2)+lg b =-2,解之lg a -lg b =1,∴ba=10,a =10b . 又由x ∈R ,f (x )≥2x 恒成立.知:x 2+(lg a +2)x +lg b ≥2x ,即x 2+x lg a +lg b ≥0,对x ∈R 恒成立,由Δ=lg 2a -4lgb ≤0,整理得(1+lg b )2-4lg b ≤0 即(lg b -1)2≤0,只有lg b =1,不等式成立. 即b =10,∴a =100.∴f (x )=x 2+4x +1=(2+x )2-3 当x =-2时,f (x )min =-3.20.解法一:作差法|log a (1-x )|-|log a (1+x )|=|a x lg )1lg(-|-|a x lg )1lg(+|=|lg |1a (|lg(1-x )|-|lg(1+x )|)∵0<x <1,∴0<1-x <1<1+x ∴上式=-|lg |1a [(lg(1-x )+lg(1+x )]=-|lg |1a ·lg(1-x 2)[来源:] 由0<x <1,得,lg(1-x 2)<0,∴-|lg |1a ·lg(1-x 2)>0, ∴|log a (1-x )|>|log a (1+x )| 解法二:作商法|)1(log ||)1(log |x x a a -+=|log (1-x )(1+x )|∵0<x <1,∴0<1-x <1+x ,∴|log (1-x )(1+x )|=-log (1-x )(1+x )=log (1-x )x+11 由0<x <1,∴1+x >1,0<1-x 2<1 ∴0<(1-x )(1+x )<1,∴x+11>1-x >0 ∴0<log (1-x )x+11<log (1-x )(1-x )=1 ∴|log a (1-x )|>|log a (1+x )| 解法三:平方后比较大小∵log a 2(1-x )-log a 2(1+x )=[log a (1-x )+log a (1+x )][log a (1-x )-log a (1+x )] =log a (1-x 2)·log ax x +-11=|lg |12a ·lg(1-x 2)·lg x x +-11 ∵0<x <1,∴0<1-x 2<1,0<xx+-11<1 ∴lg(1-x 2)<0,lgxx+-11<0 ∴log a 2(1-x )>log a 2(1+x ),即|log a (1-x )|>|log a (1+x )| 解法四:分类讨论去掉绝对值当a >1时,|log a (1-x )|-|log a (1+x )|=-log a (1-x )-log a (1+x )=-log a (1-x 2) ∵0<1-x <1<1+x ,∴0<1-x 2<1∴log a (1-x 2)<0,∴-log a (1-x 2)>0当0<a <1时,由0<x <1,则有log a (1-x )>0,log a (1+x )<0∴|log a (1-x )|-|log a (1+x )|=|log a (1-x )+log a (1+x )|=log a (1-x 2)>0 ∴当a >0且a ≠1时,总有|log a (1-x )|>|log a (1+x )| 21.解析:(1)定义域为(-∞,1),值域为(-∞,1)(2)设1>x 2>x 1 ∵a >1,∴12x x a a>,于是a -2x a <a -1x a则log a (a -a 2x a )<log a (a -1xa ) 即f (x 2)<f (x 1)∴f (x )在定义域(-∞,1)上是减函数(3)证明:令y =log a (a -a x )(x <1),则a -a x =a y ,x =log a (a -a y) ∴f -1(x )=log a (a -a x)(x <1)故f (x )的反函数是其自身,得函数f (x )=log a (a -a x)(x <1=图象关于y =x 对称. 22.解析:根据已知条件,A 、B 、C 三点坐标分别为(a ,log 2a ),(a +1,log 2(a +1)),(a +2,log 2(a +2)),则△ABC 的面积S=)]2(log [log 2)]2(log )1([log 2)]1(log [log 222222++-++++++a a a a a a222)]2([)1)(2(log 21+++=a a a a a )2()1(log 2122++=a a a a a a a 212log 21222+++=)211(log 2122aa ++= 因为1≥a ,所以34log 21)311(log 2122max =+=S三门县志愿者协会红蚂蚁志愿者服务团“光盘行动”系列活动策划书红蚂蚁志愿服务团 2013年1月31日目录一、活动的背景: (9)二、活动目的: (10)三、活动内容: (10)(1)活动的前期宣传: (10)(2)活动开展: (11)1.“我光盘,我自豪”县城设点宣传: (11)2.“让我们一起光盘吧”--万人签字活动: (11)3.【我是光盘族】--餐馆宣传。
对数与对数函数同步练习
一、选择题:(本题共12小题,每小题4分,共48分,在每小题给出的四个选项中,只有一项是符合题目要求的)
1、已知32a =,那么33log 82log 6-用a 表示是( )
A 、2a -
B 、52a -
C 、2
3(1)a a -+ D 、 2
3a a -
2、2log (2)log log a a a M N M N -=+,则
N
M
的值为( ) A 、4
1
B 、4
C 、1
D 、4或1
3、已知221,0,0x y x y +=>>,且1
log (1),log ,log 1y a a a x m n x
+==-则等于( )
A 、m n +
B 、m n -
C 、()12m n +
D 、()1
2m n -
4、如果方程2lg (lg5lg 7)lg lg5lg 70x x +++=g
的两根是,αβ,则αβg 的值是( ) A 、lg5lg 7g B 、lg35 C 、35 D 、35
1 5、已知732log [log (log )]0x =,那么1
2
x -等于( )
A 、1
3 B C D 6、函数2lg 11y x ⎛⎫
=-
⎪+⎝⎭
的图像关于( ) A 、x 轴对称 B 、y 轴对称 C 、原点对称 D 、直线y x =对称
7、函数(21)log x y -= )
A 、()2,11,3⎛⎫+∞ ⎪⎝⎭U
B 、()1,11,2⎛⎫
+∞ ⎪⎝⎭U
C 、2,3⎛⎫+∞ ⎪⎝⎭
D 、1,2⎛⎫+∞ ⎪⎝⎭
8、函数212
log (617)y x x =-+的值域是( )
A 、R
B 、[)8,+∞
C 、(),3-∞-
D 、[)3,+∞ 9、若log 9log 90m n <<,那么,m n 满足的条件是( )
A 、 1 m n >>
B 、1n m >>
C 、01n m <<<
D 、01m n <<<
10、2
log 13
a
<,则a 的取值范围是( ) A 、()20,1,3⎛⎫+∞ ⎪⎝⎭U B 、2,3⎛⎫+∞ ⎪⎝⎭ C 、2,13⎛⎫ ⎪⎝⎭ D 、220,,33⎛⎫⎛⎫+∞ ⎪ ⎪⎝⎭⎝⎭
U
11、下列函数中,在()0,2上为增函数的是( )
A 、12
log (1)y x =+ B 、2log y =C 、2
1log y x = D 、2
log (45)y x x =-+ 12、已知()log x+1 (01)a g x a a =>≠且在()10-,上有()0g x >,则1
()x f x a +=是( )
A 、在(),0-∞上是增加的
B 、在(),0-∞上是减少的
C 、在(),1-∞-上是增加的
D 、在(),0-∞上是减少的
二、填空题:(本题共4小题,每小题4分,共16分,请把答案填写在答题纸上) 13、若2log 2,log 3,m n a a m n a +=== 。
14、函数(-1)log (3-)x y x =的定义域是 。
15、2lg 25lg 2lg 50(lg 2)++=g 。
16、函数)
()lg
f x x =是 (奇、偶)函数。
三、解答题:(本题共3小题,共36分,解答应写出文字说明,证明过程或演算步骤.)
17、已知函数1010()1010x x x x
f x ---=+,判断()f x 的奇偶性和单调性。
18、已知函数2
2
2(3)lg 6
x f x x -=-,
(1)求()f x 的定义域; (2)判断()f x 的奇偶性。
19、已知函数232
8()log 1
mx x n
f x x ++=+的定义域为R ,值域为[]0,2,求,m n 的值。
对数与对数函数同步练习参考答案
13、12 14、{}132x x x <<≠且 由301011x x x ->⎧⎪
->⎨⎪-≠⎩
解得132x x <<≠且 15、2
16、奇,)(),()1lg(11lg )1lg()(222x f x f x x x
x x x x f R x ∴-=-+-=-+=++=-∈且Θ为
奇函数。
三、解答题
17、(1)221010101(),1010101x x x x
x x f x x R ----==∈++,221010101
()(),1010101
x x x x x
x f x f x x R -----==-=-∈++ ∴()f x 是奇函数
(2)2122101
(),.,(,)101
x x f x x R x x -=∈∈-∞+∞+设,且12x x <,
则12121
212
22221222221011012(1010)
()()0101101(101)(101)
x x x x x x x x f x f x ----=-=<++++,1222(10 10)x x <Q ∴()f x 为增函数。
18、(1)∵()()222
2233(3)lg lg 633
x x f x x x -+-==---,∴3()lg 3x f x x +=-,又由062
2>-x x 得233x ->, ∴ ()f x 的定义域为()3,+∞。
(2)∵()f x 的定义域不关于原点对称,∴()f x 为非奇非偶函数。
19、由2
32
8()log 1
mx x n f x x ++=+,得22831y
mx x n
x ++=+,即()23830y y m x x n --+-=g ∵,644(3)(3)0y y x R m n ∈∴∆=---≥,即23()3160 y y m n mn -++-g
≤ 由02y ≤≤,得139y ≤≤,由根与系数的关系得19
1619m n mn +=+⎧⎨-=⎩g
,解得5m n ==。