经济数学基础作业1(电大)
- 格式:doc
- 大小:672.06 KB
- 文档页数:11
《经济数学基础12》网上形考任务1至2试题及答案形考任务1 试题及答案题目1:函数的定义域为().答案:题目1:函数的定义域为().答案:题目1:函数的定义域为().答案:题目2:下列函数在指定区间上单调增加的是().答案:题目2:下列函数在指定区间上单调增加的是().答案:题目2:下列函数在指定区间上单调减少的是().答案:题目3:设,则().答案:题目3:设,则().答案:题目3:设,则=().答案:题目4:当时,下列变量为无穷小量的是().答案:题目4:当时,下列变量为无穷小量的是(). 答案:题目4:当时,下列变量为无穷小量的是(). 答案:题目5:下列极限计算正确的是().答案:题目5:下列极限计算正确的是().答案:题目5:下列极限计算正确的是().答案:题目6:().答案:0题目6:().答案:-1题目6:().答案:1题目7:().答案:题目7:().答案:().题目7:().答案:-1题目8:().答案:题目8:().答案:题目8:().答案:().题目9:().答案:4 题目9:().答案:-4 题目9:(). 答案:2题目10:设在处连续,则().答案:1题目10:设在处连续,则().答案:1题目10:设在处连续,则().答案:2题目11:当(),()时,函数在处连续. 答案:题目11:当(),()时,函数在处连续. 答案:题目11:当(),()时,函数在处连续.答案:题目12:曲线在点的切线方程是().答案:题目12:曲线在点的切线方程是().答案:题目12:曲线在点的切线方程是().答案:题目13:若函数在点处可导,则()是错误的.答案:,但题目13:若函数在点处可微,则()是错误的.答案:,但题目13:若函数在点处连续,则()是正确的.答案:函数在点处有定义题目14:若,则().答案:题目14:若,则().答案:1题目14:若,则().答案:题目15:设,则().答案:题目15:设,则().答案:题目15:设,则().答案:题目16:设函数,则(). 答案:题目16:设函数,则(). 答案:题目16:设函数,则(). 答案:题目17:设,则().答案:题目17:设,则().答案:题目17:设,则().答案:题目18:设,则().答案:题目18:设,则().答案:题目18:设,则().答案:题目19:设,则().答案:题目19:设,则().答案:题目19:设,则().答案:题目20:设,则().答案:题目20:设,则(). 答案:题目20:设,则(). 答案:题目21:设,则(). 答案:题目21:设,则(). 答案:题目21:设,则().题目22:设,方程两边对求导,可得().答案:题目22:设,方程两边对求导,可得().答案:题目22:设,方程两边对求导,可得().答案:题目23:设,则().答案:题目23:设,则().答案:题目23:设,则().答案:-2题目24:函数的驻点是().答案:题目24:函数的驻点是().答案:题目24:函数的驻点是().答案:题目25:设某商品的需求函数为,则需求弹性().答案:题目25:设某商品的需求函数为,则需求弹性().答案:题目25:设某商品的需求函数为,则需求弹性().答案:形考任务2 试题及答案题目1:下列函数中,()是的一个原函数.答案:下列函数中,()是的一个原函数.答案:下列函数中,()是的一个原函数.答案:题目2:若,则(). 答案:若,则().答案:若,则(). 答案:题目3:(). 答案:题目3:().答案:题目3:(). 答案:题目4:().答案:题目4:().答案:题目4:().答案:题目5:下列等式成立的是().答案:题目5:下列等式成立的是().答案:题目5:下列等式成立的是().答案:题目6:若,则()答案:题目6:若,则().答案:题目6:若,则(). 答案:题目7:用第一换元法求不定积分,则下列步骤中正确的是().答案:题目7:用第一换元法求不定积分,则下列步骤中正确的是().答案:题目7:用第一换元法求不定积分,则下列步骤中正确的是().答案:题目8:下列不定积分中,常用分部积分法计算的是().答案:题目8:下列不定积分中,常用分部积分法计算的是().答案:题目8:下列不定积分中,常用分部积分法计算的是().答案:题目9:用分部积分法求不定积分答案:题目9:用分部积分法求不定积分答案:题目9:用分部积分法求不定积分答案:题目10:答案 0题目11:设,则(). 答案:题目11:设,则().答案:题目11:设,则(). 答案:题目12:下列定积分计算正确的是().答案:答案:答案:题目13:下列定积分计算正确的是().答案:答案:答案:题目14:计算定积分,则下列步骤中正确的是().答案:题目14:().答案:题目14:().答案:题目15:用第一换元法求定积分答案:题目15:用第一换元法求定积分答案:题目15:用第一换元法求定积分答案:题目16:用分部积分法求定积分答案:题目16:用分部积分法求定积分答案:题目16:用分部积分法求定积分答案:题目17:下列无穷积分中收敛的是().答案:答案:答案:题目18:求解可分离变量的微分方程答案:题目18:求解可分离变量的微分方程答案:题目18:求解可分离变量的微分方程答案:题目19:根据一阶线性微分方程的通解公式求解答案:题目19:根据一阶线性微分方程的通解公式求解答案:题目19:根据一阶线性微分方程的通解公式求解答案:题目20:微分方程满足的特解为().答案:题目20:微分方程满足的特解为().答案:题目20:微分方程满足的特解为().答案:有关考试的注意事项:一、考试时注意事项:1、考生参加闭卷考试,除携带2B铅笔、书写兰(黑)字迹的钢笔、圆珠笔或0.5mm签字笔、直尺、圆规、三角板、橡皮外(其他科目有特殊规定的除外),其它任何物品不准带入考场。
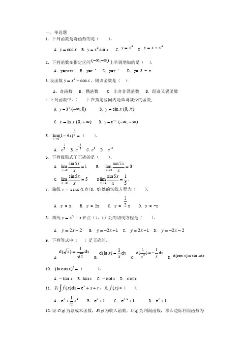
一、单选题1.下列函数是奇函数的是( )。
A.cos y x =B.2sin y x x =C.2x y =D.2x x y +=2.下列函数在指定区间(,)-∞+∞上单调增加的是( ).A .y=cosxB .y=e xC .y=x 2D .y= 3 - x3.设函数2cos y x x =+,则该函数是( ).A .奇函数B .偶函数C .非奇非偶函数D .既奇又偶函数4.下列函数中,( )在指定区间内是单调减少的函数.A.x y 3=)0,(-∞B.x y sin =),0(πC.x y ln =),0(∞+D.x y -=e ),(∞+-∞ 5. 10lim(13)x x x →-=( )。
A. 13e B.13e - C.3e D. 3e - 6. 下列极限式子正确的是( )。
A. 15sin lim0=→x x x B. 05sin lim 0=→xx x C. 55sin lim 0=→x x x D 515sin lim 0=→x x x . 7. 曲线y = sinx 在点(0, 0)处的切线方程为( ).A. y = xB. y = 2xC. y = 21x D. y = -x8.曲线x x y -=3在点(1,1)处的切线方程是( )。
A. 22-=x yB. 21y x =-+C. 21y x =-D. 22--=x y9. 下列等式中( )是正确的. A.xx x d 1)(d =B.x x x d 1)(ln d =C.x x xd 1)1(d 2-= D.x x x d sin )(cos d = 10. =')cos (ln x ( )。
A.x tan -B.x tanC.x cot -D. x cot11. 若()d e x f x x x c =++⎰,则)(x f =( ).A .21e 2x x + B .e 1x + C .1e 1x ++ D .e 1x + 12.设C (q )为总成本函数,R (q )为收入函数,L (q )为利润函数,那么边际利润函数为A.)()()(q C q R q L '-='B.)()()(q C q R q L -'='C.)()()(q C q R q L '-'='D.)()()(q C q R q L -=' 13.='⎰x x f d )(( ). A f (x ) ; B f (x )C +; C )(x f ; D )(x f C +14=-⎰dx x 20|1|( )。
《经济数学基础》形成性考核册(一)一、填空题 1.___________________sin lim=-→xxx x .答案:1 2.设 ⎝⎛=≠+=0,0,1)(2x k x x x f ,在0=x 处连续,则________=k .答案1 3.曲线x y =+1在)1,1(的切线方程是 . 答案:y=1/2X+3/24.设函数52)1(2++=+x x x f ,则____________)(='x f .答案x 2 5.设x x x f sin )(=,则__________)2π(=''f .答案: 2π-二、单项选择题1. 当+∞→x 时,下列变量为无穷小量的是( D )A .)1ln(x +B . 12+x xC .21x e - D . xxsin2. 下列极限计算正确的是( B ) A.1lim=→xx x B.1lim 0=+→xx x C.11sinlim 0=→x x x D.1sin lim =∞→xx x3. 设y x =lg2,则d y =( B ). A .12d x x B .1d x x ln10 C .ln10x x d D .1d xx 4. 若函数f (x )在点x 0处可导,则( B )是错误的.A .函数f (x )在点x 0处有定义B .A x f x x =→)(lim 0,但)(0x f A ≠C .函数f (x )在点x 0处连续D .函数f (x )在点x 0处可微 5.若x xf =)1(,则=')(x f ( B ). A .21x B .21x- C .x 1 D .x 1-三、解答题 1.计算极限本类题考核的知识点是求简单极限的常用方法。
它包括: ⑴利用极限的四则运算法则; ⑵利用两个重要极限;⑶利用无穷小量的性质(有界变量乘以无穷小量还是无穷小量) ⑷利用连续函数的定义。
(1)123lim 221-+-→x x x x分析:这道题考核的知识点是极限的四则运算法则。
中央电大经济数学基础形成性考核册及参考答案作业(一)(一)填空题 1.___________________sin lim=-→xxx x .答案:0 2.设 ⎝⎛=≠+=0,0,1)(2x k x x x f ,在0=x 处连续,则________=k .答案:13.曲线x y =在)1,1(的切线方程是 .答案:2121+=x y 4.设函数52)1(2++=+x x x f ,则____________)(='x f .答案:x 2 5.设x x x f sin )(=,则__________)2π(=''f .答案:2π- (二)单项选择题 1. 函数212-+-=x x x y 的连续区间是( )答案:D A .),1()1,(+∞⋃-∞ B .),2()2,(+∞-⋃--∞C .),1()1,2()2,(+∞⋃-⋃--∞D .),2()2,(+∞-⋃--∞或),1()1,(+∞⋃-∞ 2. 下列极限计算正确的是( )答案:B A.1lim=→xx x B.1lim 0=+→xx xC.11sinlim 0=→x x x D.1sin lim =∞→xxx3. 设y x =lg2,则d y =( ).答案:B A .12d x x B .1d x x ln10 C .ln10x x d D .1d xx 4. 若函数f (x )在点x 0处可导,则( )是错误的.答案:BA .函数f (x )在点x 0处有定义B .A x f x x =→)(lim 0,但)(0x f A ≠C .函数f (x )在点x 0处连续D .函数f (x )在点x 0处可微 5.当0→x 时,下列变量是无穷小量的是( ). 答案:C A .x2 B .xxsin C .)1ln(x + D .x cos(三)解答题 1.计算极限(1)=-+-→123lim 221x x x x )1)(1()1)(2(lim 1+---→x x x x x = )1(2lim 1+-→x x x = 21- (2)8665lim 222+-+-→x x x x x =)4)(2()3)(2(lim 2----→x x x x x = )4(3lim 2--→x x x = 21(3)x x x 11lim--→=)11()11)(11(lim 0+-+---→x x x x x =)11(lim+--→x x x x =21)11(1lim 0-=+--→x x (4)=+++-∞→42353lim 22x x x x x 313531lim 22=+++-∞→xx x x x (5)=→xxx 5sin 3sin lim0535sin 33sin 5lim0x x x x x →=53 (6)=--→)2sin(4lim 22x x x 4)2sin()2)(2(lim 2=-+-→x x x x2.设函数⎪⎪⎩⎪⎪⎨⎧>=<+=0sin 0,0,1sin )(x x xx a x b x x x f ,问:(1)当b a ,为何值时,)(x f 在0=x 处有极限存在? (2)当b a ,为何值时,)(x f 在0=x 处连续.答案:(1)当1=b ,a 任意时,)(x f 在0=x 处有极限存在; (2)当1==b a 时,)(x f 在0=x 处连续。
电大天堂【经济数学基础】形成性考核册答案电大天堂【经济数学基础】形考作业一答案:(一)填空题 1.___________________sin lim=-→xxx x .0 2.设 , 在 处连续, 则 .答案: 13.曲线 在 的切线方程是 .答案:4.设函数 , 则 .答案:5.设 , 则 (二)单项选择题1.函数 , 下列变量为无穷小量是.... . A. B. C. D.2.下列极限计算正确的是....) A.1lim=→xx x B.1lim 0=+→xx xC.11sinlim 0=→x x x D.1sin lim =∞→xx x3.设 , 则 (..).......A. B. C. D.4.若函数.(x)在点x0处可导,则. . )是错误的.. A .函数f (x)在点x0处有定义 B . , 但C. 函数f (x)在点x0处连续D. 函数f (x)在点x0处可微 5.若 , 则 B )A. 1/B. -1/C.D. (三)解答题 1. 计算极限(1)21123lim 221-=-+-→x x x x (2)218665lim 222=+-+-→x x x x x (3)2111lim0-=--→x x x (4)3142353lim 22=+++-∞→x x x x x(5)535sin 3sin lim 0=→x x x (6)4)2sin(4lim22=--→x x x 2. 设函数 ,问: (1)当 为何值时, 在 处有极限存在? (2)当 为何值时, 在 处连续.答案: (1)当 , 任意时, 在 处有极限存在; (2)当 时, 在 处连续。
3. 计算下列函数的导数或微分: (1) , 求 答案:2ln 12ln 22x x y x ++=' (2) , 求 答案:2)(d cx cbad y +-='(3) , 求 答案:3)53(23--='x y(4) , 求 答案:x x xy e )1(21+-='(5) , 求答案:dx bx b bx a dy ax )cos sin (e += (6) , 求 答案: (7) , 求 答案: (8) , 求答案:)cos cos (sin 1nx x x n y n +='- (9) , 求 答案:211xy +='(10) , 求答案:652321cot 61211sin2ln 2--+-='x x xx y x4.下列各方程中 是 的隐函数, 试求 或 (1) , 求 答案:x xy xy y d 223d ---=(2) , 求答案:)cos(e )cos(e 4y x x y x y y xy xy +++--='5. 求下列函数的二阶导数: (1) , 求答案:222)1(22x x y +-='' (2) , 求 及答案: ,电大天堂【经济数学基础】形考作业二答案:(一)填空题1.若 , 则 .答案:2. .答案:3.若 ,则........答案:4.设函数 .答案: 05.若 ,则 .答案: (二)单项选择题1.下列函数中, ....)是xsinx2的原函数...A. cosx2B. 2cosx2C. -2cosx2D. - cosx2 2.下列等式成立的是...)...... A. B.C. D.3.下列不定积分中,常用分部积分法计算的是( . )........A. ,B.C.D. 4.下列定积分计算正确的是. .. )... A. B. C. D.5.下列无穷积分中收敛的是...).. A. B. C. D.(三)解答题 1.计算下列不定积分(1)⎰x x xd e3答案: (2)⎰+x xx d )1(2答案:c x x x +++252352342(3)⎰+-x x x d 242 答案:c x x +-2212(4)⎰-x x d 211答案:c x +--21ln 21(5)⎰+x x x d 22答案:c x ++232)2(31(6)⎰x xx d sin答案:c x +-cos 2(7)⎰x xx d 2sin答案:c xx x ++-2sin 42cos 2(8)⎰+x x 1)d ln(答案:c x x x +-++)1ln()1( 2.计算下列定积分 (1)x x d 121⎰--答案:25(2)x xxd e2121⎰答案:e e - (3)x xx d ln 113e 1⎰+答案:2(4)x x x d 2cos 20⎰π答案:21-(5)x x x d ln e 1⎰答案:)1e (412+(6)x x x d )e 1(4⎰-+答案:4e 55-+电大天堂【经济数学基础】形考作业三答案:(一)填空题1.设矩阵 , 则 的元素 .答案: 32.设 均为3阶矩阵, 且 , 则 = .答案:3.设 均为 阶矩阵, 则等式 成立的充分必要条件........答案:4.设 均为 阶矩阵, 可逆,则矩阵 的解 .答案:A B I 1)(--5.设矩阵 , 则 .答案: (二)单项选择题1.以下结论或等式正确的是..).. A. 若 均为零矩阵, 则有 B .若 , 且 , 则 C. 对角矩阵是对称矩阵 D. 若 , 则2.设 为 矩阵, 为 矩阵,且乘积矩阵 有意义,则 为.. )矩阵...... A. B.C. D.3.设 均为 阶可逆矩阵,则下列等式成立的是( . )........ ` A . , B .C. D. 4.下列矩阵可逆的是. .. )... A. B. C. D.5.矩阵 的秩是. ...).. A. 0 B. 1 C. 2 D. 3三、解答题 1.计算(1)⎥⎦⎤⎢⎣⎡⎥⎦⎤⎢⎣⎡-01103512=⎥⎦⎤⎢⎣⎡-5321 (2)⎥⎦⎤⎢⎣⎡⎥⎦⎤⎢⎣⎡-00113020⎥⎦⎤⎢⎣⎡=0000 (3)[]⎥⎥⎥⎥⎦⎤⎢⎢⎢⎢⎣⎡--21034521=[]02. 计算解 ⎥⎥⎥⎦⎤⎢⎢⎢⎣⎡--⎥⎥⎥⎦⎤⎢⎢⎢⎣⎡--=⎥⎥⎥⎦⎤⎢⎢⎢⎣⎡--⎥⎥⎥⎦⎤⎢⎢⎢⎣⎡--⎥⎥⎥⎦⎤⎢⎢⎢⎣⎡--72301654274001277197723016542132341421231221321=⎥⎥⎥⎦⎤⎢⎢⎢⎣⎡---142301112155 3. 设矩阵 , 求 。
经济数学基础形成性考核册及参考答案作业(一)(一)填空题 1.___________________sin lim 0=-→xx x x .答案:0 2.设 ⎝⎛=≠+=0,0,1)(2x k x x x f ,在0=x 处连续,则________=k .答案:1 3.曲线x y =在)1,1(的切线方程是 .答案:2121+=x y 4.设函数52)1(2++=+x x x f ,则____________)(='x f .答案:x 25.设x x x f sin )(=,则__________)2π(=''f .答案:2π-(二)单项选择题1. 函数212-+-=x x x y 的连续区间是( )答案:D A .),1()1,(+∞⋃-∞ B .),2()2,(+∞-⋃--∞C .),1()1,2()2,(+∞⋃-⋃--∞D .),2()2,(+∞-⋃--∞或),1()1,(+∞⋃-∞2. 下列极限计算正确的是( )答案:B A.1lim 0=→x xx B.1lim 0=+→x x x C.11sin lim 0=→x x x D.1sin lim =∞→xx x 3. 设y x =lg2,则d y =( ).答案:BA .12d x xB .1d x x ln10C .ln10x x dD .1d xx 4. 若函数f (x )在点x 0处可导,则( )是错误的.答案:BA .函数f (x )在点x 0处有定义B .A x f x x =→)(lim 0,但)(0x f A ≠ C .函数f (x )在点x 0处连续 D .函数f (x )在点x 0处可微5.当0→x 时,下列变量是无穷小量的是( ). 答案:CA .x 2B .xx sin C .)1ln(x + D .x cos (三)解答题1.计算极限 (1)=-+-→123lim 221x x x x )1)(1()1)(2(lim 1+---→x x x x x = )1(2lim 1+-→x x x = 21-(2)8665lim 222+-+-→x x x x x =)4)(2()3)(2(lim 2----→x x x x x = )4(3lim 2--→x x x = 21 (3)x x x 11lim 0--→=)11()11)(11(lim 0+-+---→x x x x x =)11(lim 0+--→x x x x =21)11(1lim 0-=+--→x x (4)=+++-∞→42353lim 22x x x x x 31423531lim 22=+++-∞→xx x x x (5)=→x x x 5sin 3sin lim 0535sin 33sin 5lim 0x x x x x →=53 (6)=--→)2sin(4lim 22x x x 4)2sin()2)(2(lim 2=-+-→x x x x2.设函数⎪⎪⎩⎪⎪⎨⎧>=<+=0sin 0,0,1sin )(x x x x a x b x x x f ,问:(1)当b a ,为何值时,)(x f 在0=x 处有极限存在?(2)当b a ,为何值时,)(x f 在0=x 处连续.答案:(1)当1=b ,a 任意时,)(x f 在0=x 处有极限存在;(2)当1==b a 时,)(x f 在0=x 处连续。
经济数学基础作业(一)(一)填空题1.___________________sin lim0=-→xxx x . 答案:0解:x x x x sin lim 0-→=011sin lim 1)1(lim 00=-=-=-→→xxx simx x x因为2.设 ⎝⎛=≠+=0,0,1)(2x k x x x f ,在0=x 处连续,则________=k .答案:1 1k )0()(lim )(lim )0(,1)1(lim )(lim ,1)1(lim )(lim ox ox 2ox ox 2ox ox ---=====+==+=+++→→→→→→,所以是:而函数连续的充要条件解:f x f x f k f x x f x x f3.曲线x y =+1在(1,2)的切线方程是 . 答案:y=12x+32解:曲线)(x f y =在),(00y x 点的切线方程公式是))((00/0x x x f y y -=-2321),1(212-y ,21)1(,21)()(/21/21/+=-====-x y x f x x x f 即:所以有:4.设函数52)1(2++=+x x x f ,则____________)(='x f .答案:x 2 解:因为)1(+x f =4)1(41222++=+++x x x ,所以,4)(2+=x x f x x f 2)(/=5.设x x x f sin )(=,则__________)2π(=''f ..答案:2π-解:2π2π02πsin 2π2π2)2π(,sin 2)sin ()(,sin )(/////-=-=-=-=-+=+=con f x x conx x x conx conx x f xconx x x f (二)单项选择题1. 当+∞→x 时,下列变量为无穷小量的是( D )A .)1ln(x +B . 12+x xC .21x e - D . xxsin2. 下列极限计算正确的是( B ) A.1lim=→xx x B.1lim 0=+→xx x C.11sinlim 0=→x x x D.1sin lim =∞→xxx3. 设y x =lg 2,则d y =( B ). A .12d x x B .1d x x ln10 C .ln10x x d D .1d xx 4. 若函数f (x )在点x 0处可导,则( B )是错误的.A .函数f (x )在点x 0处有定义B .A x f x x =→)(lim 0,但)(0x f A ≠C .函数f (x )在点x 0处连续D .函数f (x )在点x 0处可微5./1(),()f x f x x==则( B ) A .21x B .—21xC .1xD .1x (三)解答题1.计算极限(1)、2112lim )1)(1(2)-1)(x -x (lim 123lim 11221-=+-=+-=-+-→→→x x x x x x x x x x 解: (2)、212143lim )4)(2()3-(x )2(lim 8665lim 22222=--=--=---=+-+-→→→x x x x x x x x x x x x 解:21111lim )1x -1(11lim )1x -1()1x -1(11lim 11lim).3(0000-=+--=+--=++--=--→→→→x x x x x x x x x x x )(解:(4)32423532lim 423532lim 423532lim 22222222=+++-=+++-=+++-∞→∞→∞→x x x x xx x x x x x x x x x x x 解:535355sin 1lim 33sin lim 535sin 533sin lim 5sin 3sin lim)5(0000=••=••=→→→→xx x x x x x x x x x x x x x x 解:42)2sin(lim )2(lim 2)2sin(2lim )2sin()2)(2(lim )2sin(4lim )6(222222=--+=--+=--+=--→→→→→x x x x x x x x x x x x x x x x 解:2.设函数⎪⎪⎩⎪⎪⎨⎧>=<+=0sin 0,0,1sin )(x x x x a x b x x x f , 问:(1)当b a ,为何值时,)(x f 在0=x 处有极限存在? (2)当b a ,为何值时,)(x f 在0=x 处连续..1)0()(lim )(lim 0)(21),(lim )(lim 0x )(,,1sin lim )(lim ,0lim 1sin lim )1sin(lim )(lim 1000000a b f x f x f x x f b x f x f x f xxx f b b b x x b x x x f x x x x x x x x x x ===========+=+=+=-+-+++----→→→→→→→→→→,即:点连续,所以在)因为(。
最新电大专科《经济数学基础1》期末试题标准题库及答案(试卷号:2441)盗传必究题库一6. 是 函数(就函敷的奇偶性回答).jr.it!上,IV 。
了 的间断点是 ________ ・Z + 】. x ^08. 的单刑增加区间足 —・9. &j/( r )(U Trvr+<*,则 /(1)— ___ ・ 10. _______________ d|c 」dx - .•"限忡髀三;I一,单项选择是(伽小・4分,共20分)1. F 列函散中为偶函数的)・A. airtr K y ・2‘ C y =xcuszD. yH+了')2. 在F 列指定的变化过程中•()足无列小IR ・fiin —(j- -♦ 0)xA. xsin — (jr — 8) C ・ In(x + 1 )(.r — 0)II 3.函数〉一]'-X -6在区问(一5.5)内掘足.( A. m 测下降B. C.先单上升料争测F 降IXc- (x先单n 下降仰箪iW I 升 单调上升4. It/<x)的•个原函ttft-.JM /(x)-(A.In | r I6.i Jiruclr =(二.填空JB (那小题4分.共20分)三3+MlK®小・II 分.共44分)12.+ 求 y'・13. 计算不定枳分14 .计算定租分J\lnx±r.13.解,由换元根分法用(H 分)H.解:由分都枳分法得f xlnxdx =去1<1£ L - :] x J d( ln-r)(11 分)四.应用HU 本H 16分)15.菜厂每天生产某抻产品"件的成本潴数为C (g ),0.5/+36g + 9800(元).为使平均 成本Jft 低.每天产眼成为务少?此时,每件产品平均成本为多少?试题答案及评分标准一 ,■项逸胃■(«!小■ 4分.本■共20分) 3.B5. A二.境空■(每小・4分•*«[« 2。
2018经济数学基础例题大全(考试必备)(一)单项选择题1.函数()1lg +=x xy 的定义域是(D ).A .1->xB .0≠xC .0>xD .1->x 且0≠x2.若函数)(x f 的定义域是(0,1],则函数)2(x f 的定义域是( C ). A .(0,1] B .)1,(-∞C .]0,(-∞D )0,(-∞3.设11)(+=xx f ,则))((x f f =( A).A .11++x x B .x x +1 C .111++x D .x+11 4.下列函数中为奇函数的是( C).A .x x y -=2B .xxy -+=ee C .11ln+-=x x y D .x x y sin = 5.下列结论中,(C )是正确的.A .基本初等函数都是单调函数B .偶函数的图形关于坐标原点对称C .奇函数的图形关于坐标原点对称D .周期函数都是有界函数6. 已知1tan )(-=xxx f ,当( A )时,)(x f 为无穷小量. A .x →0B .1→x C .-∞→x D .+∞→x7.函数sin ,0(),0xx f x x k x ⎧≠⎪=⎨⎪=⎩ 在x = 0处连续,则k = (C ).A .-2B .-1C .1D .28. 曲线y = sinx 在点(0, 0)处的切线方程为( A ). A .y = xB .y = 2xC . y =21xD . y = -x 9.若函数x xf =)1(,则)(x f '=( B ).A .21x B .-21x C .x 1 D .-x 110.若x x x f cos )(=,则='')(x f ( D ).A .x x x sin cos +B .x x x sin cos -C .x x x cos sin 2+D .x x x cos sin 2--11.下列函数在指定区间(,)-∞+∞上单调增加的是( B ).A .sinxB .e xC .x 2D .3 - x12.设需求量q 对价格p 的函数为p p q 23)(-=,则需求弹性为E p =( B ).A .p p32-B .--pp32C .32-ppD .--32pp(二)填空题1.函数⎩⎨⎧<≤-<≤-+=20,105,2)(2x x x x x f 的定义域是.答案:[-5,2)2.若函数52)1(2-+=+x x x f ,则=)(x f .答案:62-x3.设21010)(xx x f -+=,则函数的图形关于对称.答案: y 轴4.=+∞→xxx x sin lim.答案:1 5.已知xxx f sin 1)(-=,当时,)(x f 为无穷小量. 答案:0→x 6.函数1()1exf x =-的间断点是.答案:0x =7.曲线y =)1,1(处的切线斜率是.答案:(1)0.5y '=8.已知x x f 2ln )(=,则])2(['f = .答案:0 9.需求量q 对价格p 的函数为2e100)(p p q -⨯=,则需求弹性为E p =.答案:2p -(三)计算题1.423lim 222-+-→x x x x解 423lim 222-+-→x x x x =)2)(2()1)(2(lim 2+---→x x x x x = )2(1lim 2+-→x x x = 412.x →解x →0x → =xxx x x 2sin lim)11(lim 00→→++=2⨯2 = 43.113lim21-+--→x xx x 解)13)(1()13)(13(lim 113lim2121x x x x x x x x x x x x ++--++-+--=-+--→→ )13)(1()1(2lim)13)(1())1(3(lim2121x x x x x x x x x x x ++----=++--+--=→→)13)(1(2lim1x x x x ++-+-=→221-=4.2)1tan(lim21-+-→x x x x ;解 )1)(2()1tan(lim 2)1tan(lim 121-+-=-+-→→x x x x x x x x 1)1tan(lim 21lim11--⋅+=→→x x x x x 31131=⨯= 5.20sin e lim()1xx x x x →++ 解 20sin e lim()1x x x x x →++=000sin e lim limsin lim 1xx x x x x x x →→→++ =0+ 1 = 16.已知y x x x--=1cos 2,求)(x y '.解y '(x )=)1cos 2('--x x x =2)1(cos )1(sin )1(2ln 2x xx x x ------ =2)1(sin )1(cos 2ln 2x xx x x ----7.已知2cos ln x y =,求)4(πy ';解 因为 2222tan 22)sin (cos 1)cos (ln x x x x xx y -=-='=' 所以 )4(πy '=ππππ-=⨯-=-1)4tan(4228.已知y =32ln 1x +,求dy .解因为)ln 1()ln 1(312322'++='-x x y=x x x ln 2)ln 1(31322-+ =x x x ln )ln 1(32322-+ 所以x x x xy d ln )ln 1(32d 322-+= 9.设x x y 22e 2cos -+=,求y d . 解:因为 xx x y 222e 2)2(2sin--'-='x x x 22e 22sin ---= 所以 y d x x x x d )e 22sin (22---=10.由方程0e sin =+y x y 确定y 是x 的隐函数,求)(x y '.解 对方程两边同时求导,得0e e cos ='++'y x y y y y y y y x y e )e (cos -='+)(x y '=yyx y ecos e +-. 11.设函数)(x y y =由方程y x y e 1+=确定,求d d =x xy .解:方程两边对x 求导,得 y x y y y '+='e eyy x y e1e -='当0=x 时,1=y所以,d d =x xye e01e 11=⨯-=12.由方程x y x y=++e )cos(确定y 是x 的隐函数,求y d .解在方程等号两边对x 求导,得)()e (])[cos('='+'+x y x y 1e ]1)[sin(='+'++-y y y x y )sin(1)]sin(e [y x y y x y ++='+-)sin(e )sin(1y x y x y y +-++='故 x y x y x y y d )sin(e )sin(1d +-++=(四)应用题1.某厂生产一批产品,其固定成本为2000元,每生产一吨产品的成本为60元,对这种产品的市场需求规律为q p =-100010(q 为需求量,p 为价格).试求:(1)成本函数,收入函数;(2)产量为多少吨时利润最大?解(1)成本函数C q ()= 60q +2000.因为q p =-100010,即p q =-100110, 所以收入函数R q ()=p ⨯q =(100110-q )q =1001102q q -.(2)因为利润函数L q ()=R q ()-C q () =1001102q q --(60q +2000) = 40q -1102q -2000 且'L q ()=(40q -1102q -2000')=40- 0.2q 令'L q ()= 0,即40- 0.2q = 0,得q = 200,它是L q ()在其定义域内的唯一驻点. 所以,q = 200是利润函数L q ()的最大值点,即当产量为200吨时利润最大.2.某厂生产某种产品q 件时的总成本函数为C(q) = 20+4q+0.01q 2(元),单位销售价格为p = 14-0.01q (元/件),问产量为多少时可使利润达到最大?最大利润是多少. 解 由已知201.014)01.014(q q q q qp R -=-==利润函数22202.0201001.042001.014q q q q q q C R L --=----=-= 则q L 04.010-=',令004.010=-='q L ,解出唯一驻点250=q 因为利润函数存在着最大值,所以当产量为250件时可使利润达到最大, 且最大利润为1230125020250025002.02025010)250(2=--=⨯--⨯=L (元)3.已知某厂生产q 件产品的成本为C q q q ()=++25020102(万元).问:要使平均成本最少,应生产多少件产品?解(1)因为C q ()=C q q ()=2502010q q++ 'C q ()=()2502010qq ++'=-+2501102q令'C q ()=0,即-+=25011002q ,得q 1=50,q 2=-50(舍去), q 1=50是q ()在其定义域内的唯一驻点.所以,q 1=50是C q ()的最小值点,即要使平均成本最少,应生产50件产品.1.函数242--=x x y 的定义域是( )(答案:B ) A .),2[+∞- B .),2()2,2[+∞⋃- C .),2()2,(+∞-⋃--∞ D .),2()2,(+∞⋃-∞ 2、若函数4cos)(π=x f ,则xx f x x f x ∆-∆+→∆)()(lim=()。
电大经济数学基础形成性考核册及参考答案(一)填空题 1.___________________sin lim=-→xxx x .答案:02.设⎝⎛=≠+=0,0,1)(2x k x x x f ,在0=x 处连续,则________=k .答案:1 3.曲线x y =在)1,1(的切线方程是.答案:2121+=x y 4.设函数52)1(2++=+x x x f ,则____________)(='x f .答案:x 2 5.设x x x f sin )(=,则__________)2π(=''f .答案:2π-(二)单项选择题 1. 函数212-+-=x x x y 的连续区间是( D )A .),1()1,(+∞⋃-∞B .),2()2,(+∞-⋃--∞C .),1()1,2()2,(+∞⋃-⋃--∞D .),2()2,(+∞-⋃--∞或),1()1,(+∞⋃-∞ 2. 下列极限计算正确的是( B )A.1lim=→xx x B.1lim 0=+→xx xC.11sinlim 0=→x x x D.1sin lim =∞→xxx3. 设y x =lg2,则d y =(B ).A .12d x x B .1d x x ln10C .ln10x x d D .1d xx 4. 若函数f (x )在点x 0处可导,则( B )是错误的. A .函数f (x )在点x 0处有定义B .A x f x x =→)(lim 0,但)(0x f A ≠C .函数f (x )在点x 0处连续D .函数f (x )在点x 0处可微 5.当0→x时,下列变量是无穷小量的是( C ).A .x2 B .xx sin C .)1ln(x + D .x cos (三)解答题 1.计算极限(1)21123lim 221-=-+-→x x x x2112lim)1)(1()2)(1(lim11-=+-=+---=→→x x x x x x x x 原式 (2)218665lim 222=+-+-→x x x x x 原式=4)-2)(x -(x 3)-2)(x -(x lim2x →2143lim2=--=→x x x(3)2111lim-=--→x x x原式=)11()11)(11(lim+-+---→x x x x x=111lim+--→x x=21-(4)3142353lim22=+++-∞→x x x x x 原式=22433531xx x x +++-=31 (5)535sin 3sin lim0=→x x x原式=xxx x x 55sin 33sin lim530→ =53 (6)4)2sin(4lim 22=--→x x x原式=2)2sin(2lim2+++→x x x x=2)2sin(lim)2(lim 22--+→→x x x x x = 42.设函数⎪⎪⎩⎪⎪⎨⎧>=<+=0sin 0,0,1sin )(x x xx a x b x x x f ,问:(1)当b a ,为何值时,)(x f 在0=x 处有极限存在?(2)当b a ,为何值时,)(x f 在0=x 处连续.解:(1)1)(lim ,)(lim 00==+-→→x f b x f x x当 1f(0)f(x)lim 10x ====→有时,b a(2). 1f(0)f(x)lim 1b a 0x ====→有时,当函数f(x)在x=0处连续. 3.计算下列函数的导数或微分: (1)2222log 2-++=x x y x ,求y '答案:2ln 12ln 22x x y x ++='(2)dcx bax y ++=,求y '答案:22)()()()(d cx bcad d cx b ax c d cx a y +-=++-+='(3)531-=x y ,求y '答案:23)53(23---='x y(4)x x x y e -=,求y '答案:)(21x x xe e xy +-='=x x xe e x--21(5)bx y ax sin e =,求y d答案:∵)cos (sin cos sin )(sin (sin )(bx b bx e bx be bx ae bx e bx e y ax ax ax ax ax +=+='+'='∴dxbx b bx a e dyax )cos sin (+=(6)x x y x+=1e ,求y d答案:∵x e x y x 23112+-='∴dx e xx dy x )123(12-=(7)2e cos xx y --=,求y d答案:∵)()(sin 22'-⋅-'⋅-='-x e x x y x=222sin xxe xx -+-∴dx xe xxdyx )22sin (2-+-=(8)nx x y n sin sin +=,求y '答案:nx n x x n y n cos cos sin 1+⋅='-(9))1ln(2x x y ++=,求y '答案:)1(1122'++⋅++='x x x x y =)11(1122xx xx ++⋅++=2221111xx x xx +++⋅++ =211x+(10)xxx y x212321cot -++=,求y '答案:531cos 261211cos61211sin 2ln 21)2()1(cos 2ln 2x x x x x x xy x x+-⋅⋅-='-++'⋅⋅='-4.下列各方程中y 是x 的隐函数,试求y '或y d(1) 方程两边对x 求导:0322=+'--'⋅+y x y y y x 32)2(--='-x y y x y所以 dx xy x y dy---=232(2) 方程两边对x 求导:4)()1)(cos(='+⋅+'++y x y e y y x xy xy xy ye y x y xe y x -+-='++)cos(4])[cos( 所以 xyxyxe y x ye y x y ++-+-=')cos()cos(45.求下列函数的二阶导数: (1))1ln(2x y +=,求y ''答案: (1)212x x y +='222222)1(22)1(22)1(2x x x x x x y +-=+⋅-+='' (2)212321212121)(-----='-='x x x xy23254143--+=''x x y14143)1(=+='y作业(二)(一)填空题 1.若c x x x f x++=⎰22d )(,则___________________)(=x f .答案:22ln 2+x2.⎰='x x d )sin (________.答案:c x +sin 3.若c x F x x f +=⎰)(d )(,则⎰=-x x xf d )1(2.答案:c x F +--)1(212 4.设函数___________d )1ln(d d e 12=+⎰x x x .答案:0 5.若t tx P xd 11)(02⎰+=,则__________)(='x P .答案:211x+-(二)单项选择题1. 下列函数中,(D )是x sin x 2的原函数. A .21cos x 2B .2cos x 2C .-2cos x 2D .-21cos x 22. 下列等式成立的是( C ). A .)d(cos d sin x xx =B .)1d(d ln x x x =C .)d(22ln 1d 2x xx =D .x x xd d 1= 3. 下列不定积分中,常用分部积分法计算的是( C ). A .⎰+x x c 1)d os(2,B .⎰-x x x d 12C .⎰x x x d 2sinD .⎰+x x xd 124. 下列定积分计算正确的是(D ). A .2d 211=⎰-x x B .15d 161=⎰-xC .0)d (32=+⎰-x x x ππD .0d sin =⎰-x x ππ5. 下列无穷积分中收敛的是( B ). A .⎰∞+1d 1x x B .⎰∞+12d 1x xC .⎰∞+0d e x xD .⎰∞+1d sin x x (三)解答题1.计算下列不定积分(1)⎰x x x d e 3原式=⎰dx e x )3( =c e c ee x x x+-=+)13(ln 33ln )3( (2)⎰+x xx d )1(2答案:原式=⎰++-dx x x x)2(2321=c x x x +++25232152342(3)⎰+-x x x d 242答案:原式=⎰+-=-c x x dx x 221)2(2 (4)⎰-x xd 211答案:原式=c x x x d +--=---⎰21ln 2121)21(21 (5)⎰+x x x d 22答案:原式=⎰++)2(22122x d x =c x ++232)2(31(6)⎰x xx d sin 答案:原式=⎰+-=c x x d x cos 2sin2(7)⎰x xx d 2sin答案:∵(+) x 2sinx (-) 1 cos2- (+) 0 sin4x - ∴原式=c x x x ++-2sin 42cos2 (8)⎰+x x 1)d ln(答案:∵ (+) )1ln(+x 1(-) 11+-x x∴ 原式=⎰+-+dx x xx x 1)1ln(=⎰+--+dx x x x )111()1ln( =c x x x x +++-+)1ln()1ln( 2.计算下列定积分 (1)x x d 121⎰--答案:原式=⎰⎰-+--2111)1()1(dx x dx x =29252)21(2212=+=-+x x (2)x xxd e2121⎰答案:原式=⎰-212211)(xd x xe x=21211e e e x -=-(3)x xx d ln 113e 1⎰+答案:原式=⎰++31)ln 1(ln 1e x d xx x=21ln 123=+e x(4)x x x d 2cos 20⎰π答案:∵ (+)x(+)0 2cos 1-∴ 原式=20)2cos 412sin 21(πx x x +=214141-=--(5)x x x d ln e1⎰答案:∵ (+) xln x(-)x 122x∴ 原式=⎰-e e xdx x x 11221ln 21 =)1(414122122+=-e x e e(6)x x x d )e 1(4⎰-+答案:∵原式=⎰-+44dx xe x又∵ (+)xx e -(-)1 -xe - (+)0 xe -∴⎰-----=44)(x x x e xe dx xe =154+--e故:原式=455--e作业三 (一)填空题1.设矩阵⎥⎥⎥⎦⎤⎢⎢⎢⎣⎡---=161223235401A ,则A 的元素__________________23=a .答案:3 2.设B A ,均为3阶矩阵,且3-==B A ,则TAB 2-=________. 答案:72-3.设B A ,均为n 阶矩阵,则等式2222)(B AB A B A +-=-成立的充分必要条件是.答案:BA AB =4. 设B A ,均为n 阶矩阵,)(B I -可逆,则矩阵XBX A =+的解______________=X .答案:A B I1)(--5.设矩阵⎥⎥⎥⎦⎤⎢⎢⎢⎣⎡-=300020001A ,则__________1=-A .答案:⎥⎥⎥⎥⎥⎥⎦⎤⎢⎢⎢⎢⎢⎢⎣⎡-=31000210001A (二)单项选择题1. 以下结论或等式正确的是( C ). A .若B A ,均为零矩阵,则有B A =B .若AC AB =,且O A ≠,则C B =C .对角矩阵是对称矩阵D .若O B O A ≠≠,,则O AB ≠2. 设A 为43⨯矩阵,B 为25⨯矩阵,且乘积矩阵T ACB 有意义,则TC 为( A )矩阵.A .42⨯B .24⨯C .53⨯D .35⨯3. 设B A ,均为n 阶可逆矩阵,则下列等式成立的是( C ). `A .111)(---+=+B A B A ,B .111)(---⋅=⋅B A B AC .BA AB =D .BA AB =4. 下列矩阵可逆的是(A ).A .⎥⎥⎥⎦⎤⎢⎢⎢⎣⎡300320321B .⎥⎥⎥⎦⎤⎢⎢⎢⎣⎡--321101101C .⎥⎦⎤⎢⎣⎡0011D .⎥⎦⎤⎢⎣⎡2211 5. 矩阵⎥⎥⎥⎦⎤⎢⎢⎢⎣⎡=444333222A 的秩是( B ). A .0 B .1 C .2 D .3三、解答题 1.计算(1)⎥⎦⎤⎢⎣⎡⎥⎦⎤⎢⎣⎡-01103512=⎥⎦⎤⎢⎣⎡-5321(2)⎥⎦⎤⎢⎣⎡⎥⎦⎤⎢⎣⎡-00113020⎥⎦⎤⎢⎣⎡=0000 (3)[]⎥⎥⎥⎥⎦⎤⎢⎢⎢⎢⎣⎡--21034521=[]02.计算⎥⎥⎥⎦⎤⎢⎢⎢⎣⎡--⎥⎥⎥⎦⎤⎢⎢⎢⎣⎡--⎥⎥⎥⎦⎤⎢⎢⎢⎣⎡--723016542132341421231221321解 ⎥⎥⎥⎦⎤⎢⎢⎢⎣⎡--⎥⎥⎥⎦⎤⎢⎢⎢⎣⎡--=⎥⎥⎥⎦⎤⎢⎢⎢⎣⎡--⎥⎥⎥⎦⎤⎢⎢⎢⎣⎡--⎥⎥⎥⎦⎤⎢⎢⎢⎣⎡--72301654274001277197723016542132341421231221321=⎥⎥⎥⎦⎤⎢⎢⎢⎣⎡---1423011121553.设矩阵⎥⎥⎥⎦⎤⎢⎢⎢⎣⎡=⎥⎥⎥⎦⎤⎢⎢⎢⎣⎡--=110211321B 110111132,A ,求AB 。