中央电大经济数学基础Word版
- 格式:doc
- 大小:184.50 KB
- 文档页数:3
中央电大职业技能实训经济数学基础12形考试题答案1.若数项级数和绝对收敛,则级数必绝对收敛. (正确)2. 反常积分收,则必有。
(错误)3.数项级数收敛当且仅当对每个固定的满足条缺件(错误)4.若连续函数列的极限函数在区间I上不连续,则其函数列在区间I不一致收敛。
(正确)5.若在区间上一致收敛,则在上一致收敛. (正确)6.如果函数在具有任意阶导数,则存在,使得在可以展开成泰勒级数.(错误)7.函数可导必连续,连续必可导。
(错误)8.极值点一定包含在区间内部驻点或导数不存在的点之中。
(正确)9.线性回归得出的估计方程为y=38+2x,此时若已知未来x的值是30,那么我们可以预测y的估计值为( 98 )。
10.下列关系是确定关系的是 ( 正方形的边长和面积 )。
11.样本方差与随机变量数字特征中的方差的定义不同在于 ( 是由各观测值到均值距离的平方和除以样本量减1,而不是直接除以样本 )。
12.主要用于样本含量n≤30以下、未经分组资料平均数的计算的是 ( 直接法 )。
13.( 盒形图 ) 在投资实践中被演变成著名的K线图。
14.设事件A与B同时发生时,事件C必发生,则正确的结论是 ( [B] PC≥PA+PB-1)。
15.统计学以 ( 概率论 ) 为理论基础,根据试验或者观察得到的数据来研究随机现象,对研究对象的客观规律性作出种种合理的估计和判断。
16.已知甲任意一次射击中靶的概率为0,5,甲连续射击3次,中靶两次的概率为 ( 0.375 )17.下面哪一个可以用泊松分布来衡量 ( 一个道路上碰到坑的次数 )。
18.线性回归方法是做出这样一条直线,使得它与坐标系中具有一定线性关系的各点的 ( 垂直距离的平方和 )为最小。
19.当两变量的相关系数接近相关系数的最小取值-1时,表示这两个随机变量之间 ( 近乎完全负相关 )。
20.关于概率,下列说法正确的是 (A.价值余0和1之间;B.是度量某一事件发生的可能的方法;D.概率分布是不正确事件发生的可能性的方法 )。
电大《经济数学基础12》课程考核说明(例题必考哦)《经济数学基础12》课程考核说明第一部分有关说明一、考核对象本课程考核对象为广播电视大学工商管理、会计学等专业(专科)的学生。
二、考核方式本课程的考核形式为形成性考核和期末考试相结合的方式。
考核成绩由形成性考核作业成绩和期末考试成绩两部分组成,考核成绩满分为100分,60分为及格。
其中形成性考核作业成绩占考核成绩的30%,期末考试成绩占考核成绩的70%。
本课程形成性考核由中央电大安排4次形成性考核作业,江苏开大安排2次BBS实时交流活动,其余由地方电大安排。
其中平时作业四次占形成性考核成绩的70%;2次BBS实时交流活动占形成性考核成绩的30%。
要求学员必须完成,辅导教师要认真批阅平时作业,并根据完成情况,进行评分,成绩合格者,方可参加该课程的期末考试。
江苏开大将对各教学点的学生平时作业和网上学习情况进行不定期随机抽查,并提出检查意见。
形成性考核作业的内容及成绩的评定按《经济数学基础12》课程教学实施方案的规定执行。
三、命题依据经济数学基础课程考核说明是根据《经济数学基础12》课程教学大纲制定的,参考教材是李林曙、黎诣远主编的《经济数学基础――微积分》、《经济数学基础――线性代数》,高等教育出版社2010年9月第2版;辅助文字教材为李林曙、黎诣远主编的《经济数学基础――网络课程学习指南》,高等教育出版社2010年8月第2版。
考核说明中的考核知识点与考核要求不得超出或超过课程教学大纲与参考教材的范围与要求。
本考核说明是经济数学基础课程期末考试命题的依据。
四、考试要求本课程考核要求分为三个不同层次:有关定义、定理、性质和特征等概念的内容由低到高分为“知道、了解、理解”三个层次;有关计算、解法、公式和法则等内容由低到高分为“会、掌握、熟练掌握”三个层次。
三个不同层次由低到高在期末试卷中的比例为:2:3:5,试题按其难度分为容易题、中等题和较难题,其分值在期末试卷中的比例为:4:4:2。
国家开放⼤学《经济数学基础》期末考试复习题及参考答案题⽬1:函数的定义域为().答案:题⽬1:函数的定义域为().答案:题⽬1:函数的定义域为().答案:题⽬2:下列函数在指定区间上单调增加的是().答案:题⽬2:下列函数在指定区间上单调增加的是().答案:题⽬2:下列函数在指定区间上单调减少的是().答案:题⽬3:设,则().答案:题⽬3:设,则().答案:题⽬3:设,则=().答案:题⽬4:当时,下列变量为⽆穷⼩量的是().答案:题⽬4:当时,下列变量为⽆穷⼩量的是().答案:题⽬4:当时,下列变量为⽆穷⼩量的是().答案:题⽬5:下列极限计算正确的是().答案:题⽬5:下列极限计算正确的是().答案:题⽬5:下列极限计算正确的是().答案:题⽬6:().答案:0题⽬6:().答案:-1题⽬6:().答案:1题⽬7:().答案:题⽬7:().答案:().题⽬7:().答案:-1题⽬8:().答案:题⽬8:().答案:题⽬8:().答案:().题⽬9:().答案:4题⽬9:().答案:-4题⽬9:().答案:2题⽬10:设在处连续,则().答案:1 题⽬10:设在处连续,则().答案:1 题⽬10:设在处连续,则().答案:2题⽬11:当(),()时,函数在处连续.答案:题⽬11:当(),()时,函数在处连续.答案:题⽬11:当(),()时,函数在处连续.答案:题⽬12:曲线在点的切线⽅程是().答案:题⽬12:曲线在点的切线⽅程是().答案:题⽬12:曲线在点的切线⽅程是().答案:题⽬13:若函数在点处可导,则()是错误的.答案:,但题⽬13:若函数在点处可微,则()是错误的.答案:,但题⽬13:若函数在点处连续,则()是正确的.答案:函数在点处有定义题⽬14:若,则().答案:题⽬14:若,则().答案:1题⽬14:若,则().答案:题⽬15:设,则().答案:题⽬15:设,则().答案:题⽬15:设,则().答案:题⽬16:设函数,则().答案:题⽬16:设函数,则().答案:题⽬16:设函数,则().答案:题⽬17:设,则().答案:题⽬17:设,则().答案:题⽬17:设,则().答案:题⽬18:设,则().答案:题⽬18:设,则().答案:题⽬18:设,则().答案:题⽬19:设,则().答案:题⽬19:设,则().答案:题⽬19:设,则().答案:题⽬20:设,则().答案:题⽬20:设,则().答案:题⽬20:设,则().答案:题⽬21:设,则().答案:题⽬21:设,则().答案:题⽬21:设,则().答案:题⽬22:设,⽅程两边对求导,可得().答案:题⽬22:设,⽅程两边对求导,可得().答案:题⽬22:设,⽅程两边对求导,可得().答案:题⽬23:设,则().答案:题⽬23:设,则().答案:题⽬23:设,则().答案:-2题⽬24:函数的驻点是().答案:题⽬24:函数的驻点是().答案:题⽬24:函数的驻点是().答案:题⽬25:设某商品的需求函数为,则需求弹性().答案:题⽬25:设某商品的需求函数为,则需求弹性().答案:题⽬25:设某商品的需求函数为,则需求弹性().答案:题⽬1:下列函数中,()是的⼀个原函数.答案:题⽬1:下列函数中,()是的⼀个原函数.答案:题⽬1:下列函数中,()是的⼀个原函数.答案:题⽬2:若,则(). 答案:题⽬2:若,则().答案:题⽬2:若,则(). 答案:题⽬3:(). 答案:题⽬3:().答案:题⽬3:(). 答案:题⽬4:().答案:题⽬4:().答案:题⽬4:().答案:题⽬5:下列等式成⽴的是().答案:题⽬5:下列等式成⽴的是().答案:题⽬5:下列等式成⽴的是().答案:题⽬6:若,则(). 答案:题⽬6:若,则().答案:题⽬6:若,则(). 答案:题⽬7:⽤第⼀换元法求不定积分,则下列步骤中正确的是().答案:题⽬7:⽤第⼀换元法求不定积分,则下列步骤中正确的是().答案:题⽬7:⽤第⼀换元法求不定积分,则下列步骤中正确的是().答案:题⽬8:下列不定积分中,常⽤分部积分法计算的是().答案:题⽬8:下列不定积分中,常⽤分部积分法计算的是().答案:题⽬8:下列不定积分中,常⽤分部积分法计算的是().答案:题⽬9:⽤分部积分法求不定积分,则下列步骤中正确的是().答案:题⽬9:⽤分部积分法求不定积分,则下列步骤中正确的是().答案:题⽬9:⽤分部积分法求不定积分,则下列步骤中正确的是().答案:题⽬10:(). 答案:0题⽬10:().答案:0题⽬10:(). 答案:题⽬11:设,则(). 答案:题⽬11:设,则().答案:题⽬11:设,则(). 答案:题⽬12:下列定积分计算正确的是().答案:题⽬12:下列定积分计算正确的是().答案:题⽬12:下列定积分计算正确的是().答案:题⽬13:下列定积分计算正确的是().答案:题⽬13:下列定积分计算正确的是().答案:题⽬13:下列定积分计算正确的是().答案:题⽬14:计算定积分,则下列步骤中正确的是().答案:题⽬14:().答案:题⽬14:().答案:题⽬15:⽤第⼀换元法求定积分,则下列步骤中正确的是().答案:题⽬15:⽤第⼀换元法求定积分,则下列步骤中正确的是().答案:题⽬15:⽤第⼀换元法求定积分,则下列步骤中正确的是().答案:题⽬16:⽤分部积分法求定积分,则下列步骤正确的是().答案:题⽬16:⽤分部积分法求定积分,则下列步骤正确的是().答案:题⽬16:⽤分部积分法求定积分,则下列步骤正确的是().答案:题⽬17:下列⽆穷积分中收敛的是().答案:题⽬17:下列⽆穷积分中收敛的是().答案:题⽬17:下列⽆穷积分中收敛的是().答案:题⽬18:求解可分离变量的微分⽅程,分离变量后可得().答案:题⽬18:求解可分离变量的微分⽅程,分离变量后可得().答案:题⽬18:求解可分离变量的微分⽅程,分离变量后可得().答案:题⽬19:根据⼀阶线性微分⽅程的通解公式求解,则下列选项正确的是().答案:题⽬19:根据⼀阶线性微分⽅程的通解公式求解,则下列选项正确的是答案:题⽬19:根据⼀阶线性微分⽅程的通解公式求解,则下列选项正确的是().答案:题⽬20:微分⽅程满⾜的特解为().答案:题⽬20:微分⽅程满⾜的特解为().答案:题⽬20:微分⽅程满⾜的特解为().答案:题⽬1:设矩阵,则的元素().答案:3题⽬1:设矩阵,则的元素a32=().答案:1题⽬1:设矩阵,则的元素a24=().答案:2题⽬2:设,,则().答案:题⽬2:设,,则()答案:题⽬2:设,,则BA =().答案:题⽬3:设A为矩阵,B为矩阵,且乘积矩阵有意义,则为()矩阵.答案:题⽬3:设为矩阵,为矩阵,且乘积矩阵有意义,则C为()矩阵.答案:题⽬3:设为矩阵,为矩阵,且乘积矩阵有意义,则C为()矩阵.答案:题⽬4:设,为单位矩阵,则()答案:题⽬4:设,为单位矩阵,则(A - I )T =().答案:题⽬4:,为单位矩阵,则A T–I =().答案:题⽬5:设均为阶矩阵,则等式成⽴的充分必要条件是().答案:题⽬5:设均为阶矩阵,则等式成⽴的充分必要条件是().答案:题⽬5:设均为阶矩阵,则等式成⽴的充分必要条件是().答案:题⽬6:下列关于矩阵的结论正确的是().答案:对⾓矩阵是对称矩阵题⽬6:下列关于矩阵的结论正确的是().答案:数量矩阵是对称矩阵题⽬6:下列关于矩阵的结论正确的是().答案:若为可逆矩阵,且,则题⽬7:设,,则().答案:0题⽬7:设,,则().答案:0题⽬7:设,,则().答案:-2, 4题⽬8:设均为阶可逆矩阵,则下列等式成⽴的是().答案:题⽬8:设均为阶可逆矩阵,则下列等式成⽴的是().答案:题⽬8:设均为阶可逆矩阵,则下列等式成⽴的是().答案:题⽬9:下列矩阵可逆的是().答案:题⽬9:下列矩阵可逆的是().答案:题⽬9:下列矩阵可逆的是().答案:题⽬10:设矩阵,则().答案:题⽬10:设矩阵,则().答案:题⽬10:设矩阵,则().答案:题⽬11:设均为阶矩阵,可逆,则矩阵⽅程的解().答案:题⽬11:设均为阶矩阵,可逆,则矩阵⽅程的解().答案:题⽬11:设均为阶矩阵,可逆,则矩阵⽅程的解().答案:题⽬12:矩阵的秩是().答案:2题⽬12:矩阵的秩是().答案:3题⽬12:矩阵的秩是().答案:3题⽬13:设矩阵,则当()时,最⼩.答案:2题⽬13:设矩阵,则当()时,最⼩.答案:-2题⽬13:设矩阵,则当()时,最⼩.答案:-12题⽬14:对线性⽅程组的增⼴矩阵做初等⾏变换可得则该⽅程组的⼀般解为(),其中是⾃由未知量答案:题⽬14:对线性⽅程组的增⼴矩阵做初等⾏变换可得则该⽅程组的⼀般解为(),其中是⾃由未知量.答案:题⽬14:对线性⽅程组的增⼴矩阵做初等⾏变换可得则该⽅程组的⼀般解为(),其中是⾃由未知量.选择⼀项:A.B.C.D.答案:题⽬15:设线性⽅程组有⾮0解,则().答案:-1 题⽬15:设线性⽅程组有⾮0解,则().答案:1题⽬15:设线性⽅程组有⾮0解,则().答案:-1题⽬16:设线性⽅程组,且,则当且仅当()时,⽅程组有唯⼀解.答案:题⽬16:设线性⽅程组,且,则当()时,⽅程组没有唯⼀解.答案:题⽬16:设线性⽅程组,且,则当()时,⽅程组有⽆穷多解.答案:题⽬17:线性⽅程组有⽆穷多解的充分必要条件是().答案:题⽬17线性⽅程组有唯⼀解的充分必要条件是().:答案:题⽬17:线性⽅程组⽆解,则().答案:题⽬18:设线性⽅程组,则⽅程组有解的充分必要条件是().答案:题⽬18:设线性⽅程组,则⽅程组有解的充分必要条件是().答案:题⽬18:设线性⽅程组,则⽅程组有解的充分必要条件是()答案:题⽬19:对线性⽅程组的增⼴矩阵做初等⾏变换可得则当()时,该⽅程组⽆解.答案:且题⽬19:对线性⽅程组的增⼴矩阵做初等⾏变换可得则当()时,该⽅程组有⽆穷多解.答案:且题⽬19:对线性⽅程组的增⼴矩阵做初等⾏变换可得则当()时,该⽅程组有唯⼀解.答案:题⽬20:若线性⽅程组只有零解,则线性⽅程组()答案:解不能确定题⽬20:若线性⽅程组有唯⼀解,则线性⽅程组().答案:只有零解题⽬20:若线性⽅程组有⽆穷多解,则线性⽅程组().答案:有⽆穷多解。
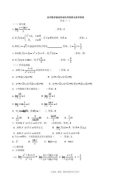
中央电大经济数学基础形成性考核册及参考答案作业(一)(一)填空题 1.___________________sin lim=-→xxx x .答案:0 2.设 ⎝⎛=≠+=0,0,1)(2x k x x x f ,在0=x 处连续,则________=k .答案:13.曲线x y =在)1,1(的切线方程是 .答案:2121+=x y 4.设函数52)1(2++=+x x x f ,则____________)(='x f .答案:x 2 5.设x x x f sin )(=,则__________)2π(=''f .答案:2π- (二)单项选择题 1. 函数212-+-=x x x y 的连续区间是( )答案:D A .),1()1,(+∞⋃-∞ B .),2()2,(+∞-⋃--∞C .),1()1,2()2,(+∞⋃-⋃--∞D .),2()2,(+∞-⋃--∞或),1()1,(+∞⋃-∞ 2. 下列极限计算正确的是( )答案:B A.1lim=→xx x B.1lim 0=+→xx xC.11sinlim 0=→x x x D.1sin lim =∞→xxx3. 设y x =lg2,则d y =( ).答案:B A .12d x x B .1d x x ln10 C .ln10x x d D .1d xx 4. 若函数f (x )在点x 0处可导,则( )是错误的.答案:BA .函数f (x )在点x 0处有定义B .A x f x x =→)(lim 0,但)(0x f A ≠C .函数f (x )在点x 0处连续D .函数f (x )在点x 0处可微 5.当0→x 时,下列变量是无穷小量的是( ). 答案:C A .x2 B .xxsin C .)1ln(x + D .x cos(三)解答题 1.计算极限(1)=-+-→123lim 221x x x x )1)(1()1)(2(lim 1+---→x x x x x = )1(2lim 1+-→x x x = 21- (2)8665lim 222+-+-→x x x x x =)4)(2()3)(2(lim 2----→x x x x x = )4(3lim 2--→x x x = 21(3)x x x 11lim--→=)11()11)(11(lim 0+-+---→x x x x x =)11(lim+--→x x x x =21)11(1lim 0-=+--→x x (4)=+++-∞→42353lim 22x x x x x 313531lim 22=+++-∞→xx x x x (5)=→xxx 5sin 3sin lim0535sin 33sin 5lim0x x x x x →=53 (6)=--→)2sin(4lim 22x x x 4)2sin()2)(2(lim 2=-+-→x x x x2.设函数⎪⎪⎩⎪⎪⎨⎧>=<+=0sin 0,0,1sin )(x x xx a x b x x x f ,问:(1)当b a ,为何值时,)(x f 在0=x 处有极限存在? (2)当b a ,为何值时,)(x f 在0=x 处连续.答案:(1)当1=b ,a 任意时,)(x f 在0=x 处有极限存在; (2)当1==b a 时,)(x f 在0=x 处连续。
经济数学基础形成性考核册及参考答案作业(一)(一)填空题 1.___________________sin lim=-→xxx x .答案:0 2.设 ⎝⎛=≠+=0,0,1)(2x k x x x f ,在0=x 处连续,则________=k .答案:13.曲线x y =在)1,1(的切线方程是 .答案:2121+=x y 4.设函数52)1(2++=+x x x f ,则____________)(='x f .答案:x 2 5.设x x x f sin )(=,则__________)2π(=''f .答案:2π-(二)单项选择题 1. 函数212-+-=x x x y的连续区间是( )答案:D A .),1()1,(+∞⋃-∞ B .),2()2,(+∞-⋃--∞C .),1()1,2()2,(+∞⋃-⋃--∞D .),2()2,(+∞-⋃--∞或),1()1,(+∞⋃-∞ 2. 下列极限计算正确的是( )答案:B A.1lim=→xx x B.1lim 0=+→xx xC.11sinlim=→x x x D.1sin lim =∞→xx x3. 设y x =l g 2,则d y =( ).答案:B A .12d x x B .1d x x ln10 C .ln10x x d D .1d xx 4. 若函数f (x )在点x 0处可导,则( )是错误的.答案:B A .函数f (x )在点x 0处有定义 B .A x f x x =→)(lim,但)(0x f A ≠C .函数f (x )在点x 0处连续D .函数f (x )在点x 0处可微 5.当0→x 时,下列变量是无穷小量的是( ). 答案:C A .x2 B .xxsin C .)1ln(x + D .x cos (三)解答题 1.计算极限(1)=-+-→123lim 221x x x x )1)(1()1)(2(lim 1+---→x x x x x = )1(2lim 1+-→x x x = 21-(2)8665lim 222+-+-→x x x x x =)4)(2()3)(2(lim 2----→x x x x x = )4(3lim 2--→x x x = 21 (3)x x x 11lim--→=)11()11)(11(lim 0+-+---→x x x x x =)11(lim+--→x x x x =21)11(1lim 0-=+--→x x(4)=+++-∞→42353lim 22x x x x x 31423531lim 22=+++-∞→xx x x x (5)=→x x x 5sin 3sin lim0535sin 33sin 5lim 0x x x x x →=53(6)=--→)2sin(4lim 22x x x 4)2sin()2)(2(lim2=-+-→x x x x2.设函数⎪⎪⎩⎪⎪⎨⎧>=<+=0sin 0,0,1sin )(x x xx a x b x x x f ,问:(1)当b a ,为何值时,)(x f 在0=x 处有极限存在?(2)当b a ,为何值时,)(x f 在0=x处连续.答案:(1)当1=b ,a 任意时,)(x f 在0=x 处有极限存在;(2)当1==b a时,)(x f 在0=x 处连续。
试卷代号:2006 座位号中央广播电视大学2011-2012学年度第一学期“开放专科”期末考试经济数学基础 试题年1月一、单项选择题(每小题3分,共15分)1.下列函数中为偶函数的是( )。
A. 2y x x =-B.1ln1x y x -=+ C. e e 2x x y -+=D. 2sin y x x =2.设需求量q 对价格p 的函数为()3q p =-p E =( )。
A.B. C.D.3.下列无穷积分中收敛的是( )。
A. 0e d x x +∞⎰B. 1x +∞⎰C.211d x x +∞⎰D.sin d x x +∞⎰4.设A 为3×4矩阵,B 为5×2矩阵,且乘积矩阵AC T B T 有意义,则C 为( )矩阵。
A. 4×2B. 2×4C. 3×5D. 5×35.线性方程组12122123x x x x +=⎧⎨+=⎩的解的情况是( )。
A. 无解B. 只有0解C. 有唯一解D. 有无穷多解二、填空题(每小题3分,共15分)6.函数1()ln(5)2f x x x =++-的定义域是_______________。
7.函数1()1exf x =-的间断点是_________。
8.若2()d 22x f x x x c =++⎰,则()f x =______________。
9.设111222333A ⎡⎤⎢⎥=---⎢⎥⎢⎥⎣⎦,则()r A =__________。
10.设齐次线性方程组A 3×5X =O ,且()2r A =,则方程组一般解中自由未知量的个数为________。
三、微积分计算题(每小题10分,共20分)11.设e lncos x y x =-,求d y 。
12.计算定积分e1ln d x x x ⎰。
四、代数计算题(每小题15分,共30分)13.设矩阵010201341A ⎡⎤⎢⎥=-⎢⎥⎢⎥⎣⎦,100010001I ⎡⎤⎢⎥=⎢⎥⎢⎥⎣⎦,求1()I A -+。
一、单项选择题(每题3分,本题共15分)1.下列函数中为奇函数的是( C .1ln1x y x -=+).A .2y x x =-B .x x y e e -=+C .1ln1x y x -=+D .sin y x x =2.设需求量q 对价格p的函数为()3q p =-p E =(D)。
A3A .4A .5A 1A .x >2A 3A .4.设为同阶可逆矩阵,则下列等式成立的是(C .)。
A .()TT T AB A B =B .111()()T T ABA B ---=C .()T T T AB B A =D .111()()T T AB A B ---=5.若线性方程组的增广矩阵为12210A λ⎡⎤=⎢⎥⎣⎦,则当=λ(A .12)时线性方程组无解. A .12B .0C .1D .21.下列函数中为偶函数的是(C .2x xe e y -+=).A .3y x x =- B .1ln 1x y x -=+C .2x x e e y -+=D .2sin y x x =2.设需求量q 对价格p的函数为()3q p =-p E =(D. )。
A3A 4A 5A 1A .y 2A 3A 4.设121201320A -⎡⎤⎢⎥=-⎢⎥⎢⎥-⎣⎦,则()r A =(C .2)。
A .0B .1C .2D .35.线性方程组12111110x x ⎡⎤⎡⎤⎡⎤=⎢⎥⎢⎥⎢⎥-⎣⎦⎣⎦⎣⎦的解的情况是(D .有唯一解). A .无解B .有无穷多解C .只有0解D .有唯一解1..下列画数中为奇函数是(C .2sin x x).A .ln xB .2cos x x C .2sin x xD .2x x +2.当1x →时,变量(D .ln x )为无穷小量。
A .11x -B .sin x xC .5xD .ln x3.若函数21, 0(), 0x x f x k x ⎧+≠=⎨=⎩,在0x =处连续,则k =(B .1).A .1-B .1C .0D .24A .5.设A .1..A .(f x C .2A .3A C 4A .2cos 2x B .22cos x C .22cos x D .2cos 2x -5.计算无穷限积分311dx x +∞=⎰(C .12).A .0B .12-C .12 D .∞二、填空题(每题3分,共15分)6.函数()f x =的定义域是(,2](2,)-∞-+∞.7.函数1()1xf x e =-的间断点是0x =.8.若()()f x dx F x C =+⎰,则()xx ef e dx --=⎰()x F e c --+.9.设10203231A a ⎡⎤⎢⎥=⎢⎥⎢⎥-⎣⎦,当a =0 时,A 是对称矩阵。
一、单项选择题(每题3分,本题共15分) 1.下列函数中为奇函数的是 ( C .1ln1x y x -=+).A .2y x x =- B .x x y e e -=+ C .1ln1x y x -=+D .sin y x x =2.设需求量q 对价格p的函数为()3q p =-p E =(D)。
ABD3.下列无穷积分收敛的是 (B .211dx x+∞⎰). A .0xe dx +∞⎰ B .211dx x +∞⎰C.1dx +∞⎰ D .1ln xdx +∞⎰4.设A 为32⨯矩阵,B 为23⨯矩阵,则下列运算中( A . AB )可以进行。
A . AB B . A B +C . T ABD . TBA5.线性方程组121210x x x x +=⎧⎨+=⎩解的情况是( D .无解 ).A .有唯一解B .只有0解C .有无穷多解D .无解1.函数lg(1)xy x =+的定义域是 (D .10x x >-≠且 ). A .1x >-B .0x > C .0x ≠D .10x x >-≠且2.下列函数在指定区间(,)-∞+∞上单调增加的是( B .xe )。
A .sin xB .xe C .2xD .3x -3.下列定积分中积分值为0的是(A .112x xe e dx ---⎰ ).A . 112x x e e dx ---⎰B .112x x e e dx --+⎰C .2(sin )x x dx ππ-+⎰D .3(cos )x x dx ππ-+⎰4.设AB 为同阶可逆矩阵,则下列等式成立的是( C . ()T T T AB B A = )。
A . ()TT T AB A B =B .111()()T T AB A B ---=C . ()T T T AB B A = D . 111()()T T AB A B ---=5.若线性方程组的增广矩阵为12210A λ⎡⎤=⎢⎥⎣⎦,则当=λ( A .12 )时线性方程组无解. A .12B .0C .1D .21.下列函数中为偶函数的是(C .2x xe e y -+=).A .3y x x =- B .1ln 1x y x -=+ C .2x x e e y -+=D .2sin y x x =2.设需求量q 对价格p的函数为()3q p =-p E =( D. )。
2•雌『在点(0,1)处的切线斜率为(A ),1 1 1——B. - C. 一/2 2 2厶+ 1)2 27U+1)23.下列定积分计算正确的是(D )・A. T6I dx = 15 c. [cos xclx = 0/tf/r .D. sin xclx = 04.A.12.解:卩工cos2Hdjr = *工sin2j:「-sin2xdx=4-COS2X 1 7=7 14 — 1 0 T四.线性代数计算题(每小题15分,共30分)■2 1 13-设矩阵-0 4•计算(/ + Q -1O2 -1 -1——-0 12_13.解:因为』+ A = 1 1 42 _ 1 0.0 12 1 0 0' 】 1 4 0 1且(/ + A /)= 1 14 0 1 0 —► b 1 2 1 0 02 -1 0 0 0 1 0—3-8 0-210分5分10分试卷代号:2006中央广播电视大学2009〜2010学年度第二学期“开放专科”期末考试经济数学基础试题2010年7月一、单项选择题(每题3分,本题共15分)1.下列函数在指导区间(一oo,+o))上单调增加的是(B ).A・ sinx B. e x c.十D・ 3-X设43均为n阶可逆矩阵•则下列等式成立的是(0 )+ By l=A-[+B~[ B. (AB)_, = A_I B'(Ac. = B~l A~l I). AB = BA5.设线性方程组AX =h有唯一解,则相应的齐次方程组AX =0( c ).A.无解B.有非零解C.只有零解D.解不能确定二、填空题(每题3分,共15分)6.函数的定义域是f M = r + 2, ~5-x<°的定义域是_[-5,2) ____________________ .[兀2_1, () < X < 27.求极限lim V + Sin A = _______ 1 ________________ .Xfg X8.若J\x)存在且连续,则[= _____________________ 广(兀) _________ .9.设A,B均为n阶矩阵,则等式(A-B)2 =A2-2AB + B2成立的充分必要条件是 ____________ AB = BA ____________ ,10. ____________________________________________________________________________ 设齐次线性方程aiA wxn X nxl = O,且r(A)= r<n,则其一般解中的自山未知杲的个数等于_________________________________ n-r ___________三、微积分计算题(每小题10分,共20分)11.设y = tan x3 + 2~x,求dy. 12.计算积分f 兀cos2M「11.解:因为y = )z + 2'Mn2(- xY = - 2^1n2 7 分COS x3cos x所以旳=(矣-2F2皿1 02 — 1 1 (T 1 00 2—10 1 2 10 00 10 4—20 0 — 2 3—-2 1_0 0—2 3 —210 0 2—-11・■0 1 0 4—-210 0 1—3/2 1 —1/22 --1 1 r所以(7 += 4-21■3/21-1/2+ x4 = 211.求线性方程组.X,-2X2+X3+4X4=3的一般解。
精选推荐
试卷代号:2006 座位号
中央广播电视大学2013—2014
会计等专业 经济数学基础 考题
2014年1月
一、单项选择题(每小题3分,本题共15分)
1.下列各函数对中,( )中的两个函数相等.
A .2)()(x x f =,x x g =)(
B .1
1)(2--=x x x f ,x x g =)(+ 1 C .2ln x y =,x x g ln 2)(= D .
x x x f 22cos sin )(+=,1)(=x g 2.下列结论正确的是( ).
A .使
)(x f '不存在的点x 0,一定是f (x )的极值点 B .若f '(x 0) = 0,则x 0
必是f (x )的极值点 C .x 0是f (x )的极值点,则x 0必是f (x )的驻点
D .x 0是f (x )的极值点,且f '(x 0)存在,则必有f '(x 0
) = 0 3.下列等式中正确的是( ).
A .)x 1d(d x 12-=x
B .)cos 1d(d tan 2x x x =
C .sinx)d(d cos -=x x
D .x x x d d 1=
4.下列结论正确的是( ).
A .对角矩阵是数量矩阵
B .数量矩阵是对角矩阵
C .可逆矩阵是单位矩阵
D .对称矩阵是可逆矩阵
5.n 元线性方程组
b AX =有解的充分必要条件是( ). A .秩
=A 秩A B .秩n A < C .秩n A = D .A 不是行满秩矩阵
二、填空题(每小题3分,本题共15分) 1.函数x x x f -++=4)2ln(1)(的定义域是____________.
2.x y -=2在点)1,1(处的切线斜率是 .
3.若x cos 是f (x )的一个原函数,则f (x )= ___________.
4.设⎥⎦
⎤⎢⎣⎡--=2131A ,则=-A I 2 . 5.若线性方程组⎩⎨
⎧=+=-002121x x x x λ有非零解,则=λ .
精选推荐 三、微积分计算题(每小题10分,共20分)
1.设x e x y sin 5+=,求y d .
解 )()()(sin 5sin 5x x e d x d e x d dy +=+=
)(sin 5sin 4x d e dx x x +=
xdx e dx x x cos 5sin 4+=
dx x e x x )cos 5(sin 4+=
2.计算不定积分⎰x x x
d ln .
解 =⎰x x x d ln =-⎰x x x
x x d 2ln 2c x x x +-4ln 2
四、线性代数计算题(每小题15分,共30分)
1.设矩阵⎥⎥⎥⎦⎤
⎢⎢⎢⎣⎡-=14310201
0A ,⎥⎥
⎥⎦
⎤
⎢⎢⎢⎣⎡
=100010001I ,求1)(-+A I .
解 因为⎥⎥⎥⎦⎤
⎢⎢⎢⎣⎡-=+243112011)(A I ⎥⎥⎥⎦⎤⎢⎢⎢⎣⎡
----→
⎥⎥⎥⎦⎤⎢⎢⎢⎣⎡
-1030120012
101
1
00
111000100012431
120
11 ⎥⎥⎥
⎦
⎤
⎢⎢
⎢⎣⎡---→⎥⎥⎥⎦⎤⎢⎢⎢⎣⎡--→11512700
11000
10011115012001100110011
⎥⎥⎥
⎦
⎤
⎢⎢⎢⎣⎡----→115127126100010001
所以⎥⎥⎥⎦
⎤
⎢⎢⎢⎣⎡----=+-115127126)(1A I
2.求下列线性方程组的一般解:⎪⎩⎪⎨⎧=-+-=+-+-=-+0
3520230
243214321431x x x x x x x x x x x .
解:因为系数矩阵
⎥⎥⎥⎦⎤
⎢⎢⎢⎣⎡----→⎥⎥⎥⎦⎤⎢⎢⎢⎣⎡-----=111011101201351223111201
A ⎥⎥⎥⎦⎤
⎢⎢
⎢⎣⎡--→000011101201
所以一般解为⎩⎨⎧-=+-=4
324312x x x x x x (其中3x ,4x 是自由未知量)
精选推荐 五、应用题(本题20分)
已知某产品的边际成本为34)
(-='x x C (万元/百台),x 为产量(百台),固定成本为18(万元),求最低平均成本. 解:因为总成本函数为
⎰-=x x x C d )34()(=c x x +-322
当x = 0时,C (0) = 18,得 c =18 即 C (x )=18322+-x x
又平均成本函数为
x x x x C x A 1832)()(+-== 令 0182)(2=-='x
x A , 解得x = 3 (百台) 该题确实存在使平均成本最低的产量. 所以当x = 3时,平均成本最低. 最底平均成本为
9318332)3(=+
-⨯=A (万元/百台)
试卷代号:2006 座位号
中央广播电视大学2013—2014
会计等专业 经济数学基础 考题
答案及评分标准
(供参考)
2014年1月
一、单项选择题(每小题3分,本题共15分)
1.D 2.D 3.A 4.B 5.A
二、填空题(每小题3分,本题共15分)
1.]4,1()1,2(-⋃-- 2.2
1-
3.x sin - 4. ⎥⎦
⎤⎢⎣⎡--5261 5.1-
(注:可编辑下载,若有不当之处,请指正,谢谢!)。