现代电子线路基础(陆利忠)第2章习题答案
- 格式:doc
- 大小:10.95 MB
- 文档页数:18
第一章习题答案:1、 I=3A,U=4V2、 U=2V3、 (a)耗能 =120W 释放能量 =120W , (b) 耗能 =122W 释放能量 =122W4、 I=2.8A U=10V5、 I=0.5A U=9.6V6、 U=-45V7、 U=-4V U=8V8、 I=18A P=1012.5W1 1)U A 12U(4 U B( 1 1 1 1U BUS1I S32 4R2)U AR3 R11U A (11 )U B3I9、 (a) R1 R3(b) 4 4 11 1 1 1 U S5( I S3 1U AR3 R4 )U B R5 I 2UR3 R5 U C5U C U B 6V( 1 1 1 1 1 U S1I S1 R1 R2)U A U B U CR1R4 R2 R410、1U A (1 1)U B1U CIS3US 3R2 R2 R3 R3 R31 UA1 UB (1 1 1 )UCUS 3IS3 R4 R3 R4 R5 R3R311、 U=1.2V12、I 48A 12513、 I=7A U=14V14、 U=- 1/9 V I=17/7 A15、 I=19A16、 (a)U OC=8V R eq=16 Ω(b) U OC=26/7 V R eq=10/7 Ω17、 (a)U OC=15V R eq=12.5 Ω(b) U OC=- 4.8 V R eq=- 0.6Ω18、 U=- 40V19、 I=0.5AL eq P Lmax L eq P Lmax20、 (a)R =R =6Ω=37.5W (a)R =R =9Ω= 4/9W21、 R eq= 400Ω I=0.04A U=4V P=0.16W P Lmax = 0.25W22、 U OC =1.25V R eq =1.25Ω第二章习题答案2-1 ( a) u c1 (0 )=100V i L (0 )=0A u c2 (0 )=0V i 2 (0 )=0A(b) i L (0 )=6A u c (0 )=0V i c (0 )=6A u R1 (0 )=96V u L (0 )=– 12V 2-2(a) u c (0 )=3V i L (0 )=1.5A i c (0 )=– 3A u L (0)=0V(b) u c (0 )=22V i c (0 )=– 1Att2-3(a) u (t)=6e 3Vi (t)= 2e 3A(b) u (t)=4 e 2tVi (t)= 4 × 10 5e 2t A2-4(a) i (t)= 2 e8tAu (t)= 16 e 8tV(b) i (t)= 0.1 e 10tAu (t)= e 10tV2-5(a) u (t)=8(1 – e250 t) Vi (t)= 10 3e250tA(b) u (t)=15(1 – e 50ti (t)= 15 × 10 450t) V(1– e) Att2-6(a) i (t)= 3 (1 –e 2) Au (t)= 12 + 3e2 V(b) i (t)= 2 (1 – e 10t10tV) Au (t)= 50 + 10ett2-7u c(t)=10 + 5 e3 105Vi c (t)= –6 e3 105At5 t2-8u c (t)= – 10 (1 – e3) Vi c (t)= 3 –Ae332-9 i (t)= 0.0275 –0.003 e104t A2-10 i (t)=8 +8 e7t Au (t)= –112 1127 t– 3+eV33 3改为:i (t)= 4e 7 tAu (t)= 56 e7tV2-11u O ( t ) 14 ( 9 14 )e t14 5e t2-12i( t ) i 1 ( t ) i 2 ( t )2e 5 104t2-132.5etti ( t ) 5 2.5e22-14 画波形2-15 ( a )该电路为积分电路( b )该电路不够成积分电路 (c) 该电路不构成微分电路改为:( a )该电路为阻容耦合电路( b )该电路微分电路(c) 该电路为积分电路第三章习题 答案3.1 ⑴50, 25 2 , 36.87o;⑵ 7 ,14,40.1o23.2 20sin(5000 ×2π t-30o )mV3.3 ⑴ 3 2 sin t ,⑵ 5 2 sin( t90 o)⑶ 5.83 2 sin( t59o ) ,⑷ 5 2 sin( t 36.87 o) 3.4i 5 2 sin( t16.9o) A3.5 P=0.05W 3.6 7A , 3.5A3.7 1002 sin( 106 t 135o) A 3.8 5 10o, 100 30o改为 i : 503.9 5A,12 Ω3.10 5A , 39Ω, 19.5Ω, 19.5Ω3.11 0.15 30 oA 改为: 0.8535 30 oA3.12 ⑴250 rad/s ,⑵ 500 rad/s ,⑶ 1000 rad/s 3.13 0.6, 1162W , 1546Var3.14 L=1.56H , C=5.16 μ F 3.15 50V 改为: -j52V3.16 K 打开:I =I =6A ,U=1202V ,U =120V ;K 闭合: I =I =6A ,I =0,U =0V ,1 3abbc123abU =120Vbc3.17 14.1Ω, 14.1Ω, 7.1Ω, 14.1A 3.18 10A , 15Ω, 7.5Ω, 7.5Ω3.19 3.83A , 0.9883.20 50.7μ F ,1260∠ 85.5o V , -j1256V 3.21 1250 rad/s , I R =4A , I C =I L =10A , U=200V3.22⑴C=10 μ F , U C =89.4V 或 C=40μ F , U C =111.8V ⑵G>0.125S 3.23 ω0 =484~1838kHz ,可以收听 3.24 13.9kV 3.25 220V , 44A 3.26 7.6A , 13.2A 3.27 1.174A , 376.5V 3.28 30.08A , 17.37A4.1 解:用万用表测量二极管的正向直流电阻,选择量程越大,通二极管的电流就减小,由二极管的伏安特性曲线可知, 电流急剧减小时, 电压减小的很慢, 所以测量出来的电阻值会大副增大。
第2章一阶动态电路的暂态分析习题解答。
图2.1 习题2.1图解电流源电流为其他2s11A 1s 01A )(S tt t i 分段计算电容电压)(t u s 10t 期间V2d 5.01d)(1)0()(0t t t i Cu t u s 1t时,V2)1(u s 21t 期间V24)1(22d )1(5.01)1()(1t t u t u t 2t s 时,0)2(u s 2t时t u t u 20d 05.01)2()(其他2s1V241s 0V2)(t t tt t u 瞬时功率为其他2s1W 421s 0W 2)()()(tt t t t i t u t p S 电容的储能为其他2s1J 21s 0J)(21)(222ttt t t Cu t w 2.2在图 2.2(a )中,电感H 3L ,电流波形如图(b )所示,求电压u 、s 1t 时电感吸收功率及储存的能量。
图2.2 习题2.2图解由图 2.2(b)可写出电流的函数其他02s1A 21s 0A)(tt t t t i 其他2s1V 31s 0V 3)(tt dtdi Lt u 1s t 时3W )1()1()1(i u p J231321)1(21)1(22L Li w 2.3 在图 2.3所示电路中,已知V 4cos 8t tu ,A 201i ,A 102i ,求0t时的t i 1和t i 2。
图2.3 习题 2.3电路图解A4sin 2d 4cos 8212d 21)0()(011t t u i t i t tA4s i n 211d 4c o s 841)0()(022t i t i t 2.4 电路如图 2.4(a)所示,开关在0t时由“1”搬向“2”,已知开关在“1”时电路已处于稳定。
求C u 、C i 、L u 和L i 的初始值。
(a )动态电路(b )0t时刻的等效电路图2.4 习题 2.4电路图解在直流激励下,换路前动态元件储有能量且已达到稳定状态,则电容相当于开路,电感相当于短路。
第二章 习题解答2-1 电话线路上的直流电压约为50V ,用于电话机通话时的直流电源。
话机内部电路对电压有极性的要求。
话机电路中有一个导向电路,如题2-1图所示。
外线与话机引线相接时不必考虑电压极性。
试说明其工作原理。
答:当外线与话机引线相接时,如果话机引线的上端接正、下端接负,则电源正端经过D 1,话机内的其他电路、D 4到电源负端,形成电流回路,此时二极管D 1、D 4正向导通,D 2、D 3截止。
如果话机引线的下端接正、上端接负,则电源正端经过D 2、话机内的其他电路、D 3到电源负端,形成电流回路。
由此或见,无论话机引线的上端接正还是下端接正,对于话机内的其他电路来说都符合对电压极性的要求,这就是导向电路所起的作用。
2-2 已知硅和锗PN 结的反向饱和电流分别为10-14A 和10-8A 。
若外加电压为0.25V 、0.45V 、0.65V 时,试求室温下各电流I ,并指出电压增加0.2V 时,电流增加的倍数。
解:根据式(1-2-4) ()1/-=T v v S e I I ,室温时mV V T 26≈对于硅PN 结:A I S 1410-=,则外加电压V0.25V 0.45V 0.65V TV V e/I14993.7A 10105.1-⨯3285 7556 AA μ33.0103.37=⨯-7.20×1010mAA72.0102.74=⨯-电压增加0.2V 时电流增加的倍数为倍219126/20026/2.0≈=mV mv mV V e e对于锗PN 结,A I S 810-=,则 外加电压V0.25V 0.45V 0.65V T V V e /14993.73285 7556 7.20×1010ImAA15.0105.14=⨯-A 33.0A 2102.7⨯电压增加0.2V 时电流同样增加2191倍。
2-3 在室温时锗二极管和硅二极管的反向饱和电流分别为1μA 和0.5pA ,若两个二极管均通过1mA 正向电流,试求它们的管压降分别为多少。
第1章 电路的基本知识1.1 电路的概念 (1)略(2)电路通常由电源、负载和中间环节(导线和开关)等部分组成。
A .电源的作用:将其他形式的能转换成电能。
B .负载的作用:将电能转换成其他形式的能。
C .中间环节的作用:传递、分配和控制电能。
1.2 电路中的主要物理量 (1)零、负电位、正电位 (2)3、1.5、3、1.5、0、3 (3)-7,-5 1.3 电阻 (1)3∶4(2)查表1.3,知锰铜合金的电阻率⋅Ω⨯=-7104.4ρm根据SlR ρ=,得43.1104.41021.0376=⨯⨯⨯==--ρRS l m 1.4 欧姆定律 (1)电动势、内压降(2)当R =∞ 时,电路处于开路状态,其特点是电路中电流为零,电源端电压等于电源电动势;当R =0时,电路处于短路状态,其特点是短路电流极大,电源端电压等于0。
(3)22.01000220===R U I A 由于22.0=I A=220mA 50>mA ,故此人有生命危险。
1.5 电功与电功率 (1)25401000===P W t h (2)略(3)31680072002.0220=⨯⨯==UIt W J思考与练习一、判断题1.√2. ×3. √4. ×5. √6. ×7. ×8. √9. × 二、选择题1. C2. C3. B4. B5. B6. B7. C8. B 三、填空题1.正、相反; 2.参考点; 3.负极、正极; 4.高、低、低、高; 5.材料、长度、横截面积、 SlR ρ=; 6.1800、±5%; 7.220 四、计算题1.5510=-=-=b a ab V V U V 10)5(5=--=-=c b bc V V U V 15)5(10=--=-=c a ac V V U V 15-=-=ac ca U U V2.2.012024===t Q I A Ω===202.04I U R 3.(1)210100220=+=+=r R E I A (2)2001002=⨯==IR U V (3)20102=⨯==Ir U r V 4.(1)8804220=⨯==UI P W (2)15840001800880=⨯==Pt W J (3)1440018005.0422=⨯⨯==Rt I Q J (4)1569600144001584000=-=-=Q W E J第2章 直流电路的分析与计算2.1 电阻的连接 (1)5.04211===R U I A 10205.022=⨯==IR U V 1210221=+=+=U U U V(2)由于12221221R R R U R U P P == 故142820101212=⨯==P R R P W(3)(a )Ω==343R R ab (b )Ω=⨯==++++=32043535)()(R R R R R R R R R ab(c )Ω===1444R R ab (d )R R R R RR RR ab ++++=)2()2(Ω=⨯==53245858R2.2 基尔霍夫定律 (1)5、3、6、3(2)假设2I 、3I 的方向和回路绕行方向如图2.1所示,依基尔霍夫定律,知:2332213311321E R I R I E R I R I I I I =+=+=+ 128038050008.0008.0322332=+=+⨯=+I R I I I I 即解得 图2.1 作业测评2电路图0245.02=I A=24.5mA0325.03=I A=32.5mAΩ=3842R2.3 电压源与电流源的等效变换 (1)rEI s =、不变、并、r I E s =、不变、串 (2)(a )把两个电压源等效变换为电流源,如图2.2(a ')所示。
电子线路线性习题答案【篇一:现代电子线路基础(陆利忠)第2章习题答案】习题2.1 求题图2.1电路的静态工作点icq和vceq的值。
已知晶体管的vbe=-0.7v,??50。
22k?rb1rg1100k?rgrb26.8k?15k?题图2.1题图2.2解:转换为戴维南等效电路如下图:rc+vcc其中vb?vcc?rb2??2.8v,rb?rrb2?rb1b2||rb1?5.2k?列输入回路kvl方程:ibq?|vb|?vbe(2.8?0.7)v??38?a,icq??ibq?1.8marb??re(5.2?50?1)k?vceq?vcc?icq(rc?re)??3.8v2.2 已知题图2.2电路中场效应管的夹断电压vp=-2v,工艺参数k?1.25ma/v2。
求静态工作点vgsq、idq和vdsq的值。
解:耗尽型n沟道mosfet管,采用混合偏置:vgsq?vg?idq?rs2 idq?k(vgsq?vp),解得:idq1?3.4ma,idq2?1.9mavgsq1??3.67ma,vgsq2??0.67mavg?vdd?rg?3.13vrg?rg1作为耗尽型n沟道mosfet管而言,要求Vv gsq?vp??2此时Vdsq?vdd?(rd?rs)idq?24?1.9ma?(4.7+2)k??11.27v2.3 放大电路及其静态图解如题图2.3所示。
试估算电路的静态工作点icq和vceq各为多少?集电极电阻rc为多少?(a)rl12840(b)(v)题图2.3解:从输出特性曲线可知:vcc =12 v 因此 ibq=vcc-vbe(12?0.7)v12v???60?a(必忽略vbe,否则输出曲线上无对应点)rb200k?200k?对应输出特性曲线:icq=6ma(找出ib=60ua曲线,平行于横轴作平行线与纵轴交点)vceq=vcc-icq?rc,故rc?1k?,vceq?6v。
2.4 在测绘某电子设备的部分电路时,画得放大电路如题图2.4所示,但半导体器件型号模糊不清。
电工电子学课后习题答案目录电工电子学课后习题答案 (1)第一章电路的基本概念、定律与分析方法 (2)练习与思考 (2)习题 (4)第二章正弦交流电 (14)课后习题 (14)第三章电路的暂态分析 (29)第四章常用半导体器件 (41)第五章基本放大电路 (43)第六章集成运算放大器及其应用 (46)第七章数字集成电路及其应用 (54)第八章Multisim简介及其应用 (65)第九章波形的产生与变换 (65)第十章数据采集系统 (67)第十一章直流稳压电源 (69)第十二章变压器与电动机 (71)第十三章电气控制技术 (77)第十四章电力电子技术 (80)第一章电路的基本概念、定律与分析方法练习与思考1.4.2(b)a1.4.2(c)ab 1.4.3(a)b552155ababUVR=+⨯==Ω1.4.3 (b)ab666426ababU VR=+⨯==Ω1.4.3 (c)abR106510405ababU U VR=+=⨯+==Ω1.4.3 (d)ab124s su uI= I=912:23036absababKVL uuu VRI+- I==-6⨯=+1=3Ω3+61.4.4 (2)R242434311515155b bb bV V R R V V R R --I =I =-+I = I =12341243:b b b b b KCL V V V V R R R R V I =I +I +I +515-6- 5- = + +求方程中2121+9+9==50k 100k 9:=150k 100kb b b b b b b V V V V R R V V KCL V V 6-6-I =I = 6-+=b :650KI+100KI 9=01100KI=15 I=A10k 1=650k =1V10k KVL V -+--⨯习题1.1 (a ) 5427x A I =+-= (b ) 10.40.70.3x A I =-=- 20.30.20.20.1x A I =-++= (C) 40.230x ⨯I ==0.1A 6030.20.10.3x AI =+=2x 10⨯0.3+0.2⨯30I ==0.6A 1.510.30.60.9x A I =+=1.230.010.30.31A I =+=49.610.319.3A I =-=60.39.39.6AI =+=1.3114228P =-⨯=-ω发出功率211010P =⨯=ω 吸收功率 3428P =⨯=ω 吸收功率 4(110)10P =--⨯=ω 吸收功率=28=28P P ωω发吸=P P 吸发1.6612050606()12460120R R R mvV b V=== =⨯=+Ω(a) u u1.7(a )144s u V =⨯=(b) 252209s s s I A u u V = -+-⨯= = 1.812221014102110s s u V I A=⨯+==-=-121428P =-⨯=-ω 210110P =-⨯(-)=ω1.91230.450.30.450.30.15I A I A I A= = =-=1233 6.341680.1510 6.34 6.3174.40.45x y u R I R ⨯===-⨯-==ΩΩ1.10(a): 2116u u V ==(b): 2516 1.6455u V =⨯=+ (c): 251.60.16455u V =⨯=+(d): 250.160.016455u V=⨯=+1.112211128.41p pR R u u VR R R +==++222112 5.64p R u u VR R R ==++1.12B A 630.563=0.51990.5199.5CD D D R R R ⨯==+=+=ΩΩΩ12342311055235 4.23.60.650.83.6I mA I mA I mA I mA I I =⨯= = =⨯==⨯==- 10199.5 1.995=15=510 1.9950.01995AD BD s u mV u mVP =⨯=⨯=-⨯=-ω1.13 (a)RAB(b)AB1.153Ω1.5Ω1.5611.53I A -==-+1.162Ω3Ω3I311302451010110532110202121621633311633s I A I I I I A I A I A I A+==+++=-=-==--=-=-+==⨯=+=⨯=+1.17Ω821222I A-==++1.181231113333222:00I I I KVL u I R I R I R I R u += -++= --+=12316622757575I I I ==0.213 ==0.08 ==0.2931.191321232123218:14020606041012n I I I KVL I I I I I A I A I A=+=+ -++= 5-== = =1122208066014045606018108u I Vu I VP P ==== =-⨯=-ω =-⨯=-ω 电压源发出功率电流源发出功率1.201212221232+10:0.81201160.400.4116408.759.37528.125n I I IKVL I I I I I A I A I A=+= -+-= -+== = =22120:1209.3751125116:120160.75101510:10428.1251175:28.12543078.125L V P V P A P R P I R =-⨯=-ω=-⨯=-ω =-⨯⨯=-ω ==⨯=-ω1.21122212220.523133427I I V V I V I V +=----====1.22suR R212460.14020s u I AR R ===++R sI 2422240.10.10.2200.30.14020s I A R I I AR R =+==⨯=⨯=++1.2331110.250.50.5111I A=⨯=+++sI3231120.50.50.5120.250.50.75I AI A =⨯⨯=++=+=1.24 (a)1231223123:01:2130120202:21204015,10,25KCL I I I KVL I I KVL I I I A I A I A++= -+-= --== = =-(b)开关合在b 点时,求出20V 电压源单独作用时的各支路电流:2Ω''1'2'3204422442206224202222442I AI AI A=-⨯=-+//+==+//=-⨯=-+//+所以开关在b 点时,各支路电流为:123154111061625227I A I A I A=-==+==--=-1.25(b )等效变换3AAAB(3 2.5)211ab U V=+⨯=(c )等效变换abb4A(42) 1.59ab U V=+⨯=1.26 戴维宁:1220110225122110255015a ab L u V R I A=⨯===⨯=+Ω诺顿:22022505252225225255015ab ab L I A R I A ====⨯=+Ω1.28(1) 求二端网络的开路电压:10410242ab U I V ⨯=-=-=10410242ab U I V ⨯=-=-=(2)求二端网络的等效内阻(电压源短路、电流源开路)24ab R R Ω==(3)得到戴维南等效电路+1R abU abR1120.15413ab ab U I A A R R ∴==≈+1.32 (a )1231235050105205050105201007A A AA A AA I I I V V VI I I V V V V V=+-+===-+=+=- 2.3.2(a) 取电源为参考向量2()tan 6031=232R=3c C cC C U I R U I jX IR RIX X X X fc fc ••••==-====π∴π又 (b )2()tan 603=23R=32c R CL L U I jX U I RIRIX X X fL fL••••0==∴==∴= π∴π又第二章 正弦交流电课后习题 2.3.2(a) 取电源为参考向量60ο2U •RU •U •I•2()tan 6031=232R=3c C cC C U I R U I jX IR R IX X X X fc fc ••••==-====π∴π又(b )RU •2U •1U •I •60ο2()tan 603=23R=32c R CL L U I jX U I RIRIX X X fL fL••••0==∴==∴= π∴π又习题2.2111122334455,10sin(100045)45554510sin(100045)5513510sin(1000135)5513510sin(1000135)I j I i t A I AI j Ai t A I j A i t A I j A i t A•00•00•00•00=+ =∴=+==-=-=-=-+==+=--=-=-2.3(1)1••12126306308arctan =536=+=10)U V U V U U U V u t V••00•••00=∠ =∠ϕ= ∠83=ω+83(2)1210301060arctan1=45(4530)7520sin(75)I A I A I A i t A••00•0000=∠- =∠ ϕ= ∴=-+=-=ω-2.4(a) 以电流I•为参考向量•RU •10arctan =451014.145U V U V•0ϕ= ===(b )以电流I•为参考向量CRU ••22280C RC U U U U V=+∴==1122sin()sin(90)sin(45)u t i t A i t A 00=ω=ω+=ω-(c) 以电流I•为参考方向•C(200100)9010090100U V U V•00=-∠=∠=(d )以电压U•为参考方向I••RI•LI •3L I I A =∴==(e ) 以电压U•为参考方向•RI I •7.07I A ===(f )以电压U•为参考方向•I •18L CL C I I I I I I A =-∴=+=2.5 (1)3)70,2314/31.470314100219.80309.9sin()310C L L L C L I t AI A f rad s X L U I j L V Vu t V•0••0-000=ω=∠ ω=π==ω=Ω=ω=∠⨯⨯⨯10∠90=∠9=ω+90(2)3309.9sin()3101274314100L L L Lu t V U I AL X 0-=ω+90===ω⨯⨯102.6 (1)6220022011796.22 3.1402200.28796.20.280.39sin()c c C c C c C c U V U VX C U I AX I i t A•0-•0=∠ ====Ωω⨯⨯5⨯4⨯10 ====∠90=ω+90(2)0.10796.279.6c U V•000=∠-6⨯∠-90⨯=∠-1502.9 (1))22002314/)100u t V U Vf rad s i t A I A0•00•0=ω+30=∠3ω=π==ω-30=∠-3(2)22002201110060.7250L UZ I X L mH•00•0∠3===∠6=+Ω∠-3∴===ωπ⨯(3)00220102200cos 22010cos601100sin 2200sin 601905varS UI V AP UI W ==⨯=•=ϕ=⨯⨯=ϕ=ϕ=⨯=2.10(1)2u电容两端f=HZ |Z |=2000Ω 1000以1I•为参考向量=-601cos 212sin 217072110.1c c cR k K X k X c uF c X ϕ=|Z |ϕ=⨯=Ω=-|Z |ϕ=-⨯(-=Ω=∴==ωω(2)电阻两端1U •U 2R U U ••=1I•c =-30cos =2k 1X =sin =-2K =210.16R c uFc ϕ=|Z |ϕΩ|Z |ϕΩ==ω—(—)10002.12CLCZ=R+(X )10VL C R X j U -=Ω=∣Z∣I =10⨯1=102.1300000006V 1002020)3000.47sin(100020)10000.4400100200.25400900.35sin(100070)11500C 100021010020R L L L L C c C U U Vu t i R t X L U I A jX i t A X U I jX •••-••=∣Z∣I =10⨯1=10=∠+===+=ω=⨯=Ω∠===∠-70∠=-===Ωω⨯⨯∠==-0000.20500900.28sin(1000110)c A i t A =∠11∠-=+000001111111()300400500.0030.00050.003991000.33300L cZ R jX jX j j j U I AZ ••=++- =+-+ =-=∠-∴Z =300∠∠20∴===∠11∠92.14U •以为参考向量I •LI •13022101010101045C L C LC L R RR C C C R C X X I I I I I I I UI A U RVRU RI I AX X I I I A I ••••••••=∴=∴=++=== ======+=∠∴=2.15(1)601301000251030405053CZ R jX j j -=- =-⨯⨯⨯ =-Ω=∠-Ω(2)000000000001000t-30V 1030()103040304090400120120)103050535008383)R S s C s C C s u i R I AU I jX Vu t VU I Z Vu t V •••••===∠-=-=∠-⨯∠-⨯∠- =∠-=-==∠-⨯∠-=∠-=-()(3)00300103000400104000500105000cos -53=3009sin -53=-3993VarR S C C S S P U I WQ Q U I Var S UI V A P S W Q S ==⨯===-=-⨯=-==⨯=•==()()2.18U •U •222824123430.3108(12)(12)10681.5111=X 0.067=0.022C 10 1.510 4.5R L R L C C C C CC C U R I U L I L HU U U U U jU U V VU X I C F F ••••===Ωω===Ω===++ =+-∴8+-=∴= == 4.5Ω ==ω⨯⨯或1或或2.19 (a) (1)(2)10361823691243537j j Z j j j jj j j j ⨯-===Ω+Z =4-4-+ =-=∠-Ω0000010002000300040041000420100237537237483723749085323719025323729041274127 1.3337339041270.67376690U I A Z U V U V U V U V U I A j U I Aj ••••••••••∠===∠∠-=∠⨯=∠=∠⨯∠-=∠-=∠⨯∠-=∠-=∠⨯∠=∠∠===∠∠∠===∠∠(3)0cos 102cos(37)16P UI W =ϕ=⨯⨯-=(b) (1)10(4)(6)242.436102 2.443537j j Z j j j j j j j j ---===-Ω---Z =3.4+4+- =+=∠Ω(2)0000001002000300040041000420100237537237490237237483723790453237 2.490 4.81274.8127 1.2374904.81270.8376690U I A Z U V U V U V U V U I A j U I A j ••••••••••∠===∠-∠=∠-⨯3.∠=∠-=∠-⨯=∠-=∠-⨯2∠=∠=∠-⨯∠-=∠-∠-===∠--4∠-∠-===∠--∠-(3)0cos 102cos(37)16P UI W=ϕ=⨯⨯=2.2001221201115545(55)105-5)10100==10AZ 10A 10AZ=10+1045Z 141.4Z j j j Z j j U I j U I V V=-=-Ω-⨯10==Ω+∴=||∴=Ω∴=||==(读数为读数为2.23426014411111010101()11451()1222101011 1.50.5C L X C j j Z jj j X L Z j Z j-===Ωω⨯⨯⨯--===-=-+--=ω=⨯=Ω=++=-2.240000000100.5229010110.5110.5 1.1(10.5)22+2(10.5)2211+2212123 3.61c c c c R c R R L R L c U I A j U I AR I I I j A A U I R j j VU I j j j j j VU U U U j j j V P UI •••••••••••••••∠===∠90-∠-∠===∠0=+=∠90+∠0=+ =∠26.6==+⨯= ==+=-=- =++=+-++=+=∠56.3 =00os 3.61 1.1cos(W ϕ=⨯⨯56.3 -26.6)=3.452.29110012122 1.21cos cos =0.5112206024.5(tan -tan 1.21(1.7320.456)=10222 3.14502201 4.54220380 4.541727.3sin 177.3-=-VarR P KP UI UI PC U K uFP K I A U S UI V A S =ϕϕ==⨯∴ϕ=ϕ==ϕϕω- =⨯⨯⨯=====⨯=•ϕ=ϕ=⨯0.821408 ,,)()2.30161212.5617.3712.671131.58250100102206.9131.85=25.15220==8.75A25.15cos=220cosRLRLCccRL CRL CRL cZ R j L jUIZZ jj cUI AZZ ZZ ZZ ZUIZP UI-=+ω=+=∠46.3Ω===Ω∣∣==-⨯=-Ωω⨯π⨯⨯⨯===∣∣//Z==∠14.4Ω+==ϕ⨯8.75⨯14.4总总=1864.5wcos=220sin=478.73wS=UI=220.75=1925V Acos0.9686Q UI=ϕ⨯8.75⨯14.4⨯8•ϕ=2.312202.22201002.2arccos0.837100378060PP LPPU VI I AUIZ j====|Z|===Ωϕ===∠=+ Ω2.32(1)861037220220221022PPPL PZ jU VUI AI I A=+=∠ Ω======|Z|==(2)220220220221038L P L P P L P U V U U V U I A I A= =====|Z |==(3)380380380381066L P L P P L P U V U U V U I A I A= =====|Z |==(4)220,380,Y 220N L L U V U V U V == =∆ 行,形2.33C0000000000038022022002200220022002201022002201002200220100220220220L P A B C A A B B C C N A B B U V U V U V U V U V U I AR U I AR U I A R I I I I •••••••••••••= =∣Z∣=10Ω=∠ =∠-12 =∠12 ∠===∠∠-12===∠-3∠-9∠12===∠3∠9=++=∠+∠-3+∠3设002260.1022104840A A P I R W=∠==⨯=2.34000312238380,2202205.838cos cos35.63054sin sin35.6=2290Var 3817cos 0.8L P P L P L L L L L L Z j U V U V U I I A Z P I W I S I V A =+=∠35.6======∣∣∴=ϕ==ϕ=ϕ==•ϕ=2.35380,1122L A B C U V R R R ==Ω==Ω,(1)00000000022222222002200220022002201122001002222010010010022111088A B C A A A B B B N A B B A A A B C C U V U V U V U I AR U I AR I I I I A P I R I R I R •••••••••••=∠ =∠-12 =∠12 ∠∴===∠∠12 ===∠12=++=∠+∠-12+∠12=∠=++=⨯+⨯22+10⨯22=设00W(2)0000000000017.3022017.3022017.30017.3017.30300AB AB B CA CAC B AB C CA A AB CA U I A R U I A R I I A I I AI I I A•••••••••••∠3===∠3∠15===∠15=-=-=∠-15===-=∠3-∠15=∠(3)0000008.6022228.60N A BC B C B C C I I U I I AR R I A••••••==⨯∠-9=-===∠-9++=∠9,2.3605.57760cos ==1018.3 5.59700320.7320.737256.6192.4L L L L I A P W U VS I V A Z = = ϕ0.8==⨯=•∣Z∣===Ω=∠=+ Ω2.3732.919380380L P P P L P I AI AU I V U U V=====|Z |====2.380000000000380=2200220022010100000220039.3039.3L A A A AB ABA A A A U V U V U I A R U I A R I A I I I AI A••'•'•'•''''•'''•••=∠∠∴===∠===∠3=⨯∠-3=∴=+=∠+=∠∴=设第三章电路的暂态分析3.1 (1)Uc22212111120(0)1000(0)(0)100(0)100100100(0) 1.0199(0)(0)1001000(0)0(0) 1.01c c c R R R R c t u U V t u u U V u V i A R u U u V u i A R i i i A--+-+++++++= == = === =====-=-=∴===-=-(2)+-Uci cu12121112222100()()1199()()1()()99()0()()99R R c c R U i i AR R u i R V u i R V i Au u V∞=∞===++∞=∞=∞=∞=∞=∞=∞=3.2 (1)换路前:0t-=434342341234123442123(0) 1.52(0) 1.51 1.5L c L R R R K R K R R R K i uA Ku i R uA K V --=+=Ω=Ω=+=Ω====⨯= (2)换路后0t +=(0)(0) 1.5(0)(0) 1.5L L c c i i mA u u V+-+-====412146 1.5(0) 2.2511(0)0(0)(0)(0) 2.25 1.50.75(0) 1.5 1.5 1.510c L L L i mAK Ki A i i i mA mA mA u i R mA K V++++++-==+==-=-==-=-⨯Ω=(2)t =∝R 4121236232c L L c L u Vi mAKi i mA i i u V(∝)=6⨯=(∝)==(∝)=(∝)=(∝)=0A (∝)=0A (∝)=03.3(1)求()c u +0 0(0)00(0)(0)0c c c t u V t u u V --+-+= ,= = ==(2)求()c u ∞()20c t u U V =∞,∞==(3)求τ2121212121661:112)22060.12R R K C C Z Z j cZ Z Z j c j c C C C C uF RC K s-==Ω//==ω=//==ωω(2∴=//==∴τ==Ω⨯20⨯10=(4)8.330.12()20(020)2020t t c u t ee V --=+-=-s/3.4t -=13K ΩR 60V(0)10660(0)(0)60c c c u m k V u u V-+-=⨯===0t +=13K ΩR c u36=5366060(0)125C K K R K K Ki mAR K +⨯=Ω+--===-Ω总总t =∝10mAR()0()0C Ci u ∝=∝=1R 3K ΩR[]20622100105521010()()(0)()060060()tc c c c t t R K RC K s u t u u u e ee V ----+--=Ωτ==Ω⨯⨯=⎡⎤∴=∝+-∝⎣⎦ =+-=[]210010()012012()t t c i t mA ee mA ---=+--=-60cu V/t s/t s/ci mA/-123.5(1)求(0),()c ci u++3131210(0)1005020(0)(0)505010050(0) 6.2544cc ccRt u U VR Rt u u VUi AR R--+-++= ,=⨯=⨯=+= ==--===++(2)求()()c ci u∞,∞,()0,()100c ct i A u U V=∞∞=∞==(3)求τ565612651021051021088210()0(6.250) 6.25()100(50100)10050t t c t t c R R R RC s i t ee A u t ee V -----⨯⨯--⨯⨯=+=Ωτ==⨯0.25=⨯∴=+-==+-=-3.60t -=+-2R 31i 2i c u +-1U11124(0)10544c R u u VR R -=⨯=⨯=++0t +=(0)(0)5c c u u V +-==+-2R 3R 1R cuci 2i U2212232250cc i i i U iR i R i R i R =+=++-= (0)0.625(0)0.3125c i mA i mA ++∴= =t =∝R 2R120312602244100100.4R R R R K K K R R R C K s-=+=Ω+Ω=Ω+τ==Ω⨯⨯=22122120.40.50.52.5 2.51()5 2.52()05()0.62544() 2.5(5 2.5)2.5 2.5()0(0.6250)()0.625(0.31250.625)c c t c t t c t t R u U VR R i U i mAR R K K u t e e Vi t e V e mAi t e -----∝=⨯=⨯=+∝=∝===+Ω+Ω∴=+- =+ =+-- =-0.625=+- 2.50.6250.3125t e mA- =-3.7650.250.10(0)0()2050100.2()20(020)2020(0.1)0.1(0.1)20207.870.1(0.1)7.87c c tt c c c t u t u U V RC K s u t ee V t s t u e V t u V++----⨯--++= = =∝ ∝==τ==Ω⨯4⨯=∴=+-=- ≤= =-== =U(0.1)(0.1)207.8712.13R c u U u V ++=-=-=()0R t u =∝ ∝=0600.11010.11010.10.1()0252254100.1()0(12.130)12.13(0.1)()20()()12.13(0.1)()20(7.8720)R t t R c t R c t c t u RR K R C K su t e e V t t u t U Vu t U u t e V t u t eV----+-+-=∝ ∝===Ωτ==Ω⨯⨯==+-= ≥=∝ ===-= ≥=+-3.836000.2100(0.2)0.0100.2,11010100.01(0.2)(0.2)100.2,(0.2)(0.2)10(0.2)(0.2)(0.2)01010,()0()0(100)10,0.20,(0)(0)0c i c i i c t t c i t RC s u u V t u u Vu u u V t u V u t ee V t t u u V ----++-+++-------=τ==⨯⨯⨯======∴=-=-=-=∞∞=∴=+--=-≥===001000.0100,(0)(0)0(0)(0)10,()0()0(100)10,00.2c i i t t t u u V u u V t u V u t ee V t +++++-======∞∞=∴=+-=≤≤u V/t s/3.9求(0)c u + ,(0),(0)BA V V ++0(6)0,(0)515250,(0)(0)1:10(0)125(0)660(0)0.31(0)6100.31 2.9(0)(0)1 1.9c c c B A B t u Vt u u VKVL i i i mA V V V V V-+++-++++++--==⨯=+===⨯++⨯--= =∴=-⨯= =-=求(),(),()cB A u V V ∞∞∞ 67127 2.3104.375106(6)()50.35 1.510525()6100.33()()()3 1.5 1.55(1025) 4.3754.37510010 4.37510() 1.5(1 1.5) 1.50.5() 1.5(1.9 1.5c B A B c t t c A u VV V V V u V R K RC s u t ee VV t -----⨯⨯--∞=⨯=⨯=++∞=-⨯=∞=∞-∞=-==//+=Ωτ==⨯⨯=⨯∴=+-=- =+-66662.310 2.3102.310 2.310) 1.50.4()3(2.93)30.1t t t t B e e V V t e e V-⨯-⨯-⨯-⨯=+ =+-=-3.10U L求(0)L i +31312331210.531040,(0)0.25150,(0)(0)0.24()0.3257.5()0.16215 3.7518.75100.5218.75()0.16(0.20.16)0.160.04L L L L t L U t i AR R t i i A U t i AR R R ii A R R R R L ms R i t ee ---++---⨯====++====∞,∞===+//+ ∞===+//=+=Ωτ===∴ =+-=+875t A3.11 (1)121212121212121212121)0.010.020.03(0),(0)0,(0)00,(0)(0)0(0)=(0)=0(),()6,()()2210.033,0.013()2(0L L L Z Z Z j L j L j L L L L L H i i t i A t i i A L i i A i i U t i i AR R L R R R sR i t ++--++-++=+=ω+ω=ω(+∴=+=+======∞∞=∞∞=∞===++=+=Ωτ===∴=+求断开:求1000.0110012)22()22t t t ee Ai t e A----=- =-(2)1010011112000.00512202020222500.022:()2()()26()320.010.0052()3(23)3:()2()()2()00.020.021()0(20)2tt tt L i t A i t i t A U i A R L s R i t e e AL i t A i t i t Ai A L s R i t ee A-+----+---= ==∞===τ====+-=- = ==∞=τ====+-=3.12100.1220(0),(0)101201(0)(0)10220(),()110110.20.111()110(10110)110100()30,0.02L c L L t t U i i AR R R i i A U i t i A R R L s R R i t e e Ai t A t s+-+---===++++==∞=∞,∞===++τ===++∴=+-=- ==求求3.131(40')400'1000,(0) 2.5400,(0)(0) 2.5(0) 2.5'(0),'80,()0,()0140'40'5%:()0(2.50) 2.5ln 0.05'40600.0360't R tR t i A t i i A u R V u V R t i A u VL sR R t i t ee R R --++-++--++=======- ⎢⎢≤200≤Ω=∞∞=∞=τ==++=+-=≥--=Ω∴Ω≤≤80Ω求对应+00,(0)0,0(0)06()1225014.425014.40,0.057625014.4250,0.0288500L L L L t t i A t i A t i mAL R R R s R s--+==>===∞∞==τ==+=τ===Ωτ==设时,开关闭合时,时,0.05760.05760.02880.02880,() 2.4(0 2.4) 2.4 2.4250,()2(012)12126()6,0.0288ln 0.0212:02500.02t t L t t L L R i t e e R i t e ei t mA t ms R ms----==+-=-==+-=-==-=∴~Ω~延时:0.0166第四章常用半导体器件4.2 (1)∴⨯∴去掉得优先导通则V 截止,,10,0,9109,19A B DA DB A F B D D U V U V D V D ====+ (2)∴⨯∴∴ ∴∴ 去掉得优先导通则V 导通,,6, 5.8,96 5.4,191196 5.81195.596 5.59 5.8 5.590.410.21110.62A B DA DB A F B A F B F FF F FF A B A B D D U V U V D V D V V V V V V V VV VI mA I mAI I I mA ====+--+=--+==--=====+= (3)∴ ∴∴∴ 去掉得 优先导通,,5,5,551194.735 4.730.270.2710.54A B DA DB A B FFFF A B A B D D U V U V D D V V V V VI mA I mAI I I mA==--+==-====+=4.4LR->反向击穿241228,LZ RL ZLZ R U U U VR R U V ====+ RL-IU∴>80.08100:0.160.080.0880I ZR L Z R R L Z ZmU U I AR KCL I I I A mA I I -====-=-== 4.5LR -IU > ∴>2反向击穿=2100L IZ IL Z I R U U U R R U V U V=+L R-IU ∴∴∴⨯≤≤⨯∴⨯≤≤⨯∴≤≤3333:1010050050020500510301020510301050022.535R Z R L I Z ZZ LI Z I Z Z I I KCL I I I U U U I R R U I U I I U V U V----=+-=+-=+-=-4.6 (1)∆β∆∆β∆11122220500.80.410500.80.6C B C B I I I I ===-===-(2)ββ12184.50.43847.50.8--====第五章 基本放大电路5.2输出端等效电路-2U 0Ω∴∞ ∴Ω0'000'00'001,11111.1100L L LL R K U V R U U r R U r R U Vr ===+=+=== 5.4 (1)β125024026CCB BC B CE CC C C V I uAR I I mA U V I R V ?====-= (2)∴ ∴β012432640CCC CE C BV mAR I mA U V I I ======(3)1206C BE C CE U U U U V=?==5.6R-•+••(1)•••••ββββ⨯⨯011(1)(1)10020.98(1.41012)b cc u be Ei b be b E U I R R A r R U I r I R --===++++-==-+(2)()()•••••ββββ⨯⨯02211(1)(1)10120.9(1.41012)bEEu be Ei b be b E IR RU A r R U I r I R ++===++++==+(3)•••••∠0⨯∠0∠180 ω⨯∠0∠0ω 000011001000220210.9810.981.39sin(180)0.9910.991.4sin i u i u i U U A U u t mVU A U u t mV===-==+==== 5.7ΩΩβ⨯Ωβ⨯∴Ωβ∴⨯01200,20lg 20046512100,20lg10040510.0520122400052626200(1)200(120)74611007463.7320121 3.738.2u Li m C B CC B B be E Cu beu be C CE CC C C A dBmA U R K A dBI uA I I mAB V R K I mAr I RA r A r R K U V I R ==========?==++=++==-=-=-==-=-=7V 5.8分压偏置共射极放大电路(1)⨯⨯β212201236020301.52()12 1.5(32) 4.51.52560B B CC B B B BE C E E CE CC C C E CB R U V VR R V V I I mAR U V I R R V I I uA ===++--?===-+=-+==== (2)βΩ//⨯ΩΩ'026300(160) 1.361.5366088.21.361.363Lu bebe u i be R A r r K A r r K r R C K =-=++==-=-====5.9 (1)β⨯β⨯⨯⨯1295.2(1)755115095.2 4.7612(150)95.217.14CCB B EC B CE CC E E V I uAR R I I mA U V I R V===+++=====-+= (2)β⨯//⨯//ββΩ//β//⨯//1Ω//Ωβ''''0(1)51(11)0.98472.8451(11)(1)(1) 4.8626200(150)472.844.86(1)75472.84(150)(1)19.3472.84757510.741150Lu be LE B be i B be L be S R A r R I I mA r r R r R K r R r +===+++=+==++=轾=++犏臌轾=++=犏臌++===++第六章 集成运算放大器及其应用6.2(1)∴ ∴ ∴0000:i f f if L i LL ii i u u u u u u u u u u KCL R Ru u R R u R A uf u R+--++-==========(2)∴ ∴∴∴∴A 11''1'10''00100:(1)(1)i ii i f E E Ef F F I E EF E i EFc cc EE F EEc EFc F i Ei i u u u u u u i R R KCL i i u R i i R R u R i R R R R u i R u i R i i i i i R u R i R u R Ruf Au R R +-+-+=====-==-===-==-=-»=+=-+==+(3)00001i ii ii i u u u u u u u u u u u A uf u +-++---=========(4)∴∴∴∴11''033'''003013031000:i i i f f i fi ii i u u u u u u u i R R u u u i R R u u u u u i R KCL i i u u R R u R A uf u R +-++----+=====-==-==-====-==-==- 6.3(1)∴±±⨯±55520lg 100101313100.1310opp dm u A u A u U u V mVA -======(2)±⨯±5max 13100.0652dm idu I mA r -===6.4∴0201222102212222122112211111f ix A x A F A A x A F A A A x A A F A A F A F A F =++===++++6.5∴∴∴~Ω Ω∴~0101110066:6(1):01010:612FFFF i i u Vu u V u u u KCL R R R R u u u R R R K R K u V+-+-+----=====-==+=+=6.6(a) ∴改变对无影响00,0i iR iL u u u u u u u i i R R ui RR i +--+--======= (b) 改变对无影响00,0i iR L u u u i u i i RR i -+-=====6.7改变对无影响00000L i R L i R iiL u i R u u u i i u i R u i RRu i R R i +-+-=+==-===6.8作用时12,i i u u'0u 4u i u∴∴⨯'12012'12012000123()1()222i i F i i F i i u u u u u R R R u u u R VR R +-+-====++==-+=-+=-作用时34,i i u u''04R||∴∴∴34343434343434''012''0''034'''0000:()2:234737 5.52i i i i i i Fi i i i u u u u KCL R R R R u u u u u R R R R u u u KCL R R R u u u u u u u V u u u V +-+++---+-==--+=+=+=+-====+=+==+=-+=6.9。
第2章习题参考答案2.1 在题2.1图电路中,1234300R R R R ====Ω,5600R =Ω,试求开关s 断开和闭合时a 和b 之间的等效电阻题2.1图 题2.2图解: 开关S 断开,R 1与R 3串联,R 2与R 4并联,最后它们同R 5并联, 5132411111111600600600200ab R R R R R R =++=++=++,200ab R =Ω 开关S 闭合,R 1与R 2并联,R 3与R 4并联,它们再串联后与R 5并联,20013001600115015016001////11143215=+=++=++=R R R R R R ab Ω=200ab R2.2 在题2.2图电路中,12343,6,12,24R R R R =Ω=Ω=Ω=Ω,试计算等效电阻ab R 。
解: 由于R 1R 4=R 2R 3,所以电桥平衡,R 5支路断开Ω==+=+++=2.7365361911114321ab ab R R R R R R2.3 在题2.3图电路中,计算无源二端电阻网络ab 的等效电阻。
ab题2.3图 题2.4图解:[]Ω=+=+=++=53212//4212//26//32ab R2.4 用等效变换的方法计算题2.4图所示电路中的电流I 、1I 、2I 和电压U 。
解:24K Ω电阻与8K Ω电阻为并联关系,等效电阻1R 为mAU I mA U I VI R U mA I R 5.18/128/,5.024/1224/12,2)612/(366)824/()824(8//242111=========+=KΩ=+⨯==所以 2.5 试计算题2.5图所示电路中5Ω电阻上的电流I ,以及10V 电压源的电流1I 。
题2.5图 题2.6图解:(1)先用等效的方法求I所以原电路中电源部分可等效化简为:3065I A== (2)再回到原电路中求I :由KCL 得:651==+I I 所以A I 1561=-=2.6 试化简题2.6图所示的有源二端网络。
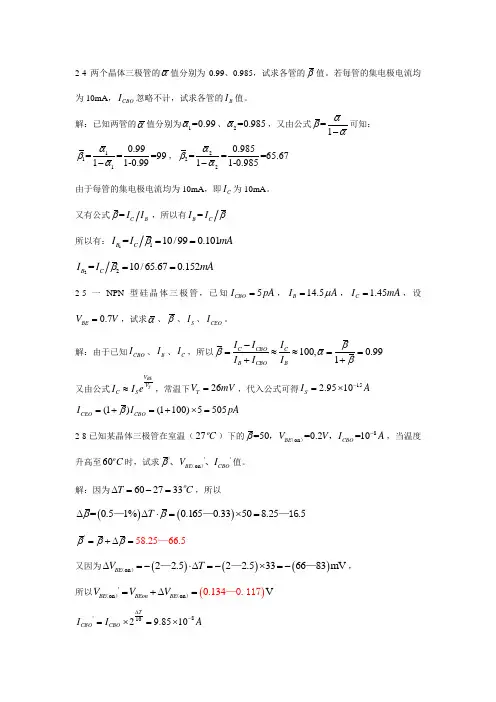
2-4两个晶体三极管的α值分别为0.99、0.985,试求各管的β值。
若每管的集电极电流均为10mA ,CBO I 忽略不计,试求各管的B I 值。
解:已知两管的α值分别为1=0.99α、2=0.985α,又由公式=1αβα-可知: 1110.99===9911-0.99αβα-,2220.985===65.6711-0.985αβα- 由于每管的集电极电流均为10mA ,即C I 为10mA 。
又有公式=C B I I β,所以有=B C I I β所以有:11=10/990.101B CI I mA β==22=10/65.670.152B C I I mA β==2-5一NPN 型硅晶体三极管,已知5CBO I pA =,14.5B I A μ=, 1.45C I mA =,设0.7BE V V =,试求α、β、S I 、CEO I 。
解:由于已知CBO I 、B I 、C I ,所以100,0.991C CBO C B CBO B I I I I I I ββαβ-=≈≈==++又由公式BETV V C S I I e≈,常温下26T V mV =,代入公式可得152.9510S I A -=⨯(1)(1100)5505CEO CBO I I pA β=+=+⨯=2-8已知某晶体三极管在室温(27C)下的8on =50=0.2=10BE CBO V V I A β-(),,,当温度升高至60C时,试求'''on BE CBO V I β()、、值。
解:因为602733T C ∆=-=,所以()()=0.51%0.1650.33508.25.5T ββ∆∆⋅=⨯=———16'58.2566.5βββ=+∆=—又因为()()()on 2 2.52 2.5336683mV BE V T ∆=-⋅∆=-⨯=-()———, 所以()'on on 0.1V 34BE BEon BE V V V =+∆=()()—0.117'81029.8510TCBO CBO I I A ∆-=⨯=⨯2-11、已知晶体三极管的静态工作点电流'=2,80,||100,0CQ A bb I mA V V r β===,试画出器件的混合∏型等效电路,并求其参数'b e r m 、g 和c e r 的值。
电路分析基础》各章习题参考答案第 1 章习题参考答案1- 1 (1) 50W ; (2) 300 V、25V, 200V、75 V ; (3)R2=12.5 Q R3=100 Q, R4=37.5 Q1- 2 V A=8.5V,V m=6.5V,V B=0.5V,V C=-12V,V D=-19V,V p=-21.5V,U AB=8V,U BC=12.5,U DA=-27.5V1- 3 电源(产生功率): A 、 B 元件;负载(吸收功率):C、 D 元件;电路满足功率平衡条件。
1- 4 (1) V A=1 00V , V B=99V, V C=97V, V D=7V, V E=5V, V F=1V, U AF=99V, U CE=92V,U BE=94V, U BF=98V, U CA=-3 V;(2) V C=90V, V B=92V , V A=93V, V E=-2V, V F=-6V, V G=-7V, U AF=99V, U CE=92V, U BE=94V, U BF=98V, U CA=-3 V1- 5 I 〜0.18A , 6 度,2.7 元1- 6 I=4A,I1=11A,I2=19A1-7 (a) U=6V, (b) U=24 V, (c) R=5Q, (d) I=23.5A1-8 (1) i6=-1A ; (2) u4=10V , u6=3 V ; (3) P1 =-2W 发出,P2 =6W 吸收,P3 =16W 吸收,P4=-10W 发出, P5 =-7W 发出, P6=-3W 发出1-9 I=1A , U s=134V , R~ 7.8Q1-10 S 断开:U AB=- 4.8V , U AO=- 12V , U BO=-7.2V ;S 闭合:U AB =-12V, U AO =- 12V , U BO=0V1-11 支路3,节点2,网孔 2 ,回路 31-12 节点电流方程:(A) I1 +I3-I6=0,(B)I6-I5-I7=0,(C)I5 +I4-I3=0回路电压方程:①I6 R6+ U S5 +I 5 R5- U S3 +I 3 R3=0,②-|5 R5- U S5+ I 7R7- U S4 =0,③-|3 R3+ U S3 + U S4 + I 1 R2+ I 1 R1 =01-13 U AB=11V , I2=0.5A , I3=4.5A , R3~ 2.4 Q1-14 V A=60V V C=140V V D=90V U AC=- 80V U AD=- 30V U CD=50V1-15 I1=- 2A I2=3A I3=- 5A I4=7A I5=2A第 2 章习题参考答案2- 1 2.4 Q 5 A2- 2 (1) 4 V 2 V 1 V; (2) 40 mA 20 mA 10 mA2- 3 1.5 Q 2 A 1/3 A2- 4 6 Q 36 Q2- 5 2 A 1 A2- 6 1 A2-7 2 A2-8 1 A2-9 I1 = -1.4 A I2 = 1.6 A I3 = 0.2 A2-10 I1 = 0 A I2 = -3 A P1 = 0 W P2 = -18 W2-11 I i = -1 mA , I2 = - 2 mA , E3 = 10 V2-12 I1 = 6 A , I2 = -3 A , I3 = 3 A2-13 I1 =2 A , I2 = 1A , I3 = 1 A , I4 =2 A , |5 = 1 A2-14 V a = 12 V , |1 = - 1 A, |2 = 2 A2-15 V a = 6 V , I1= 1.5 A , I2 = - 1 A , I3 = 0.5 A2-16 V a = 15 V , I1 = - 1 A , I2 = 2 A ,|3 = 3 A2-17 I1 = -1 A , I2 = 2 A2-18 I1 = 1.5 A , I2 = - 1 A , 13 = 0.5 A2-19 I1 = 0.8 A , I2 = - 0.75 A , I3 = 2 A , I4 = - 2.75 A , I5 = 1.55 A2-20 I3 = 0.5 A2-21 U0 = 2 V , R o = 4 Q, I0 = 0.1 A2-22 I5 = -1 A2-23 (1) I5 = 0 A , U ab = 0 V ; (2) I5 = 1 A , U ab = 11 V2-24 I L = 2 A2-25 I S =11 A , R0 = 2 Q2-26 18 Q, - 2 Q, 12 Q2-27 U = 5 V2-28 I =1 A2-29 U = 5 V2-30 I =1 A2-31 10 V , 180 Q2-32 U0 = 9 V , R0 = 6 Q, U=15 V第3章习题参考答案3- 1 50Hz, 314rad/s, 0.02s, 141V, 100V, 120 °3- 2 200V, 141.4V3- 3 u=14.1si n (314t-60 °V3- 4 (1) 4*111- 4u2= 120 °°(2) ®1 = - 90 °° 4*2= - 210 ° , 4*111- 4*112 = 120 ° (不变)3-5 (1) l& 50 2 90 V , l&> 50 2 0 V ;(2) u3=100 2 sin ( 3t+ 45 °V , u4=100 ■■ 2 sin( ®t+ 135 °V3- 6 (1) i 1=14.1 sin ( 72 °A ; (2) U2=300 sin ( 3—60 °V3-7 错误:(1),⑶,(4), (5)3-8 (1) R; (2) L; (3) C; (4) R3-9 i=2.82 sin (10t-30 °)A , Q~ 40 var3-10 u=44.9sin (3141-135 )V, Q=3.18 var3-11 (1) I=20A ; (2) P=4.4kW3-12 (1)I ~ 1.4A , I& 1.4 30 A ; (3)Q~ 308 var, P=0W ; (4) i~ 0.98 sin (628t-30) A3-13 (1)I=9.67A , & 9.67 150 A , i=13.7 sin (314t+150°) A ; (3)Q=2127.4 var, P=0W;(4) I C=0A(1)C=20.3 [F; (2) I L = 0.25A , I C = 16A章习题参考答案(a) Z 5 36.87, Y 0.2 36.87 S ; (b) Z 2.5 245, Y 0.2.2 45 SY=(0.06-j0.08) S , R Q 16.67 Q, X L =12.5 Q, L ~0.04 HU R60 0 V ,U L80 90 V ,U S100 53.13 V& 2036.87 AZ 100 2 45 ,& 1 0 A , U R1000 V , U& 125 90 V , l&c 25 90 VY0.25 2 45 S,l& 4 2 0 V ,&2 0 A ,& 0.2.290 A ,&1.2 2 90 A& 10 2 45 A,U S100 90 V(a) 30 V ; (b) 2.24 A ⑻ 10 V ; (b) 10 A ⑻ 10 V ; (b) 10 V U=14.1 VU L 1 =15 V , U C 2 =8 V , U S =15.65 VU X1 =100 V , U 2 =600 V , X 1=10 Q, X 2=20 Q, X 3=30 QZ20 2 45,& 245 A ,& .20 A , &290 A ,说b 0 V(1)I2 A ,Z RC5 2, Z 5 10;(2)R10, X C 10P = 774.4 W , Q = 580.8 var , S = 968 V A-11 = 5 A , I 2 = 4 A11 = 1 A , I 2 = 2 A , & -.5 26.565 A , S 44.7226.565 V AZ10, l& 1 90 A , U R 25 2 135 V,P 10 Wa =5X106 rad/s , p = 1000 Q, Q = 100, I = 2 mA , U R =20 mV , U L = U C = 2 V 30 =104 rad/s , p = 100 Q, Q = 100 , U = 10 V , I R = 1 mA , I L = I C = 100 mA L 1 = 1 H , L 2 Q 0.33 H章习题参考答案M = 35.5 mH301 =1000 rad/s , 302 =2236 rad/s Z 1 = j31.4 Q , Z 2 = j6.28 Q Z r = 3+7.5 Q M = 130 mH& .2 45 AU 1 = 44.8 VM 12 = 20 mH , 11 = 4 A U 2 = 220 V , I 1 = 4 A n = 1.9N 2 = 254 匝,N 3 = 72 匝3- 14第4 4- 1 4-2 4-3 4-4 4-5 4-6 4-7 4-8 4-9 4-10 4-11 4-12 4-13 4-14 4-15 4-16 4-17 4-18 4-19 4-20 4-21 4- 22第55- 3 5-4 5-5 5-6 5-7 5-8 5-9 5-10 5-11 5-12 5-13 5-14n = 10 , P2 = 31.25 mW第6章习题参考答案6-1 (1) A 相灯泡电压为零,B 、 C 相各位为220V6-3 I L = I p = 4.4 A , U I P = 220 V , U L = 380V,P = 2.3 kW6-4 (2) Ip = 7.62 A , IL = 13.2 A6-5 A 、 C 相各为2.2A , B 相为3.8A6-6 U L = :404 V6-7 U A N202 47 V6-8 cos $= 0.961 , Q=5.75 kvar6-9 Z 33.4 28.46-10 (1) IP = 11.26 A , Z = 19.53 / 42.3 Q;(2) I P = I i =11.26 A , P = :5.5 kW6-11 U i = 391 V6-12i A22 2 sin( t 53.13 ) AiB 22 .2 sin( t 173.13 ) AiC22 2sin( t66.87 ) A6-13U V = =160 V6-14 (1) 负载以二角形方式接入二相电源(2)I&A B 3.8.215 A , &B C3.8 2135 A , &A3.8.2 105 A&3.8 645 A ,I&B 3.8、6165 A ,l&3.8 6 75 A6-15L = 110 mH , C = =91.9 mF第7章习题参考答案7-1 P = 240 W , Q = 360 var 7-2 P = 10.84 W 7-3(1)i(t) 4.7sin( t 100 ) 3sin3 t A (2) I ~ 3.94 A , U ~ 58.84 V , P ~ 93.02 W7-4u 2(t)MU msin( t n arctan —^[V , z 、R 2 ( LJ 2z2R7-5直流电源中有交流,交流电源中无直流7-6 U i =54.3 V , R = 1 Q, L = 11.4 mH;约为 8% , ( L'=12.33 mH )7-7 使总阻抗或总导纳为实数(虚部为0)的条件为R 1R 2R X. L/C7-8 C 19.39 (J F , C 275.13 疔7-9 L 1 = 1 H , L 2 = 66.7 mH 7-10 C 1 = 10 J F, C 2 = 1.25 J F第8章习题参考答案8-6 i L (0+) = 1.5mA , U L (0+) = - 15V8-7 i1(0+) = 4A, i2(0+) = 1A , U L(0+) = 2V, g )= 3A , i2(^)= 0, U L()= 08-8 i1 (0+) = 75mA , i2(0+) = 75mA , i3(0+) = 0, U L1 (0+) = 0, U L2(0+) = 2.25Vi c (t) 2e1 10 tAU L (t) 6e 4t VU c (t)10(1 e 1 1o6t )V , L(t) 5e 1 10%A U c (t) 500t115e sin (866 60 )V U L (t) 10t.. 12e V ,L(t) 2(1 10te )A U R (t) R 2CU s e t V , U R (3 ) U s e 3V (1) T 0.1s , (2) U c (t) 10e 10tV , (3) t = 0.1s U c (t) 10 9e 105 tV b(t) 5e 10tA1(t (a) f(t) 1(t t o ) (b) f(t) 1(t) 1(t t o ) u c (t) [5(1 e 0.5t)1(t) U o 为三角波,峰值为 临界阻尼R=2 6tL(t) [(1 e )1(t)2t o ); [1(t 5(1 e t o ) 0.5(t ±).05V1(t 2t o )]1) ))1(t-1)]V ,欠阻尼R<2 1(t) 2 过阻尼 (1 e 6 )1(t 1) 2(1 e 6)1(t1(t t o ) 1(t 2t o )R>2 2)]8-98-10 8-11 *8-12 8-13 8-148-15 8-16 8-17 8-188-198-20*8-21 *8-22。
第六章习题答案6.1 在题图6.1所示调谐放大器中,工作频率f o =10.7MHz,L 1-3=4μH,Q o =100, N 1-3=20匝, N 2-3=5匝, N 4-5=5匝,晶体管3DG39在f o =10.7MHz 时测得g ie =2860μS,C ie =18pF, g oe =200μS, C oe =7pF,|y fe |= 45mS,y re =0,试求放大器的电压增益A vo 和通频带BW 。
解:25.02053~13~21===N N P , 25.02053~15~42===N N P 总电容pF 4.55)L *)f 2/((1C 20==∑πLC 振荡回路电容pF 8.53C p C p C C ie 22oe 21=--=∑ LC振荡回路固有谐振频率'0f ==10.85(MHz)固有损耗电导:''600036.710()0011g S Q L2Q f Lωπ-===⨯ 22262661200.25200100.2528601036.7100.228()oe ie G P g P g g mS ---∑=++=⨯⨯+⨯⨯+⨯=116.32L 0Q G Lω∑==)KHz (6563.167.10Q f B L 0W ===, 1210228.0104525.025.0G |y |P P A 63fe 210V -=⨯⨯⨯⨯-=-=--∑ 注:由上述计算可以看出,'0f 和0f 相差不大,即部分接入后对谐振频率影响较小,但概念要清楚。
另外,这里给出了fe y (即认为是m g )不要通过EQ I 来计算m g 。
6.2 题图6.2是某中放单级电路图。
已知工作频率f o =30MHz,回路电感L =1.5μH, Q o =100,N 1/N 2=4,C 1~C 4均为耦合电容和旁路电容。
晶体管在工作条件下的y 参数为ie (2.8j3.5)mS y =+; re 0y ≈ fe (36j27)mS y =- oe (0.2j2)mS y =+ 试解答下列问题:(1) 画出放大器y 参数等效电路; (2) 求回路谐振电导g Σ; (3) 求回路总电容C Σ;(4) 求放大器电压增益A vo 和通频带BW ;(5) 当电路工作温度或电源电压变化时, A vo 和BW 是否变化?解:(1) y 参数等效电路如上图: (3) 由0f =22262121118784431415103010C .(pF )Lf ..∑π-===⨯⨯⨯⨯⨯ (2) 11=P , 25.041122===N N P 由y 参数得)(58.1810302105.363pF C ie =⨯⨯⨯=-π,)(6.101030210263pF C oe =⨯⨯⨯=-π 2221218781060251858702oe ie C C P C P C .....(pF )∑=--=--⨯=491'o f .(MHz )===固有损耗电导:6066001112161022314100491101510''o o g .(S )Q LQ f L ...ωπ--====⨯⨯⨯⨯⨯⨯⨯ 22323612002100252810214100396oe ie G P g P g g .....(mS )---∑=++=⨯+⨯⨯+⨯= (4) 36601189039610230101510L Q .G L..ωπ--∑===⨯⨯⨯⨯⨯⨯03033789W L f B .(MHz )Q .=== 31203102510284039610fe V PP |y |.A .G .--∑⨯=-=-=-⨯(5) 当电路工作温度或电源电压变化时,会引起y 参数变化,从而vo A 和BW 会发生变化。
5.1若题图5」所示电路中晶体管的饱和压降为F CES L 求最大输出功率P°m 。
解:因为 r w = %-0.5V cc -\ V CES |)/V25.2电路如题图5.2,已知VT ]、VT 2管 饱和压降为|r C Es|=3V,K cc = 15V,心=8(2。
试回 答下列问题:(1) 电路中V D 】和V D 2管的作用是什么?(2) 求静态时晶体管发射极电位r EQ ;(3) 求最大输出功率Pom ;(4) 当输入为正弦波时,若R ]虚焊(开路), 则输岀电压波形有何变化?解:⑴V DI 和V D 2为晶体管VT lx VT 2组 成的推挽电路提供偏置电压,消除交越失真。
(2) 由于VT 】、VT 2管的对称性,所以 K E Q=0O(3) 厶的最大不失真输出电压的有效值为 ▼cc -|?CES最大输出功率为心=金%-%『普=9W(4)凡虚焊(开路),VT|管不工作,只有VT2管工作,所以输出波形仅有负半轴。
5.3题图5.2所示的电路中,已知VTi 、VT2饱和管压降为|K C Esl=2V,r C c=16V,/?L =4Q ?输入电压足够大,试问:(1) 最大输出功率几皿和效率%各为多少?(2) 求晶体管最大功耗Pfmax 为多少?(3) 为了使输出功率达到P°m,输入电压的有效值约为多少?解(1)^=K-C -|^CES I=14P 24 5 〃二亠二一=68.7%P D 35.65V 21A 2 (2) Rmax=4I - = 25- = 6.5^所以*齐性昔』K L 2K Lom 4 O7-T1P D =-(K.c x 協 cos&/& = %—cQ = 3 5.65 甲匕”%-n(3) rV.v =-^ = 9.9K x/25.5桥式整流电路如题图5.5所示。
试画出v LH v L2的波形,并标出幅度值(图中所标电 压为有效值)。
解:正半周°】、°3到通,负半周D?、导通v,(r )5.6桥式整流电容滤波电路如题图5.6所示。
电工基础习题册标准答案(第二版)全国中等职业技术2010-04-12 02:05:34| 分类:电工基础2版习题| 标签:|字号大中小订阅全国中等职业技术(电子类)专业通用教材第二章直流电路§2-1 电阻的连接一、填空题1、在电路中,将两个或两个以上的电阻依次连接构成中间无分支的连接方式叫做电阻的串联。
电阻串得越多,等效电阻阻值越大;串联的电阻阻值越大,分得电压越大,消耗的功率越多。
2、电阻串联,可以用来构成分压器以提供几种不同的电压,也可限制和调节电路中电流的大小,还可以扩大电压表的量程。
3、在电路中,将两个或两个以上的电阻连接在、在电路中,将两个或两个以上的电阻连接在相同两点之间的连接方式叫电阻的并联,电阻并得越多,等效电阻越小;并联的电阻阻值越大,分得电流越小,消耗功率少。
4、电阻并联可以用来获得阻值较小的电阻,还可以扩大电流表的量程。
5、需要分压时,可选用电阻的串联;需要分流时可采用电阻的并联。
6、在电路中,既有电阻串联又有电阻并联的连接方式叫做电阻的混联。
在混联电路中为了便于计算电路等效电阻,可采用画等效电路图的方法,把原电路整理成易于判别串、并联关系的电路,然后进行计算。
7、在下列各图中,指出电流表或电压表的读数(电流表内阻无穷小、电压表内阻无穷大)。
(1)在图2-1中,PV1的读数为4V ,PV2的读数为12V ,PV3的读数为24V 。
(2)在图2-2中,PA1的读数为3A ,PA2的读数为2A ,PV的读数为12V 。
(3)在图2-3中,PV1的读数为11.2V ,PV2的读数为8V ,PA的读数为 1.6A 。
二、判断并改错1、在电阻的串联电路中,总电阻上的电压一定大于其中任何一个电阻上的电压。
(√)2、电阻并联后的总电阻一定小于其中任何一个电阻的阻值。
(√)3、在串联电路中,电阻串得越多,消耗的功率越大;在并联电路中,电阻并联得越多,消耗的功率越小。
(×)4、功率大的电灯一定比功率小的电灯亮。
15Q> 00.4/列Lb 方程:13i + 5 x 1.4z + 10(z - 6)= 0z=2A2.5如图所示电路,试选一种树,确定基本割集方程求解电压u,如用节点法,你将选择哪一个节点作为参考点?试用一个节点方程求解电压it6V~O+ jG5A 200 [12V穴+II8Q4图2.5解:所选树为: 所选割集:电路基础:习题解答习题二24如图所示电路,试选一种树,确定基本回路,仅用一个基本回路方程求解电流匚图2.4解:所选树为:A = 1 Aj j3 =i —6所选基本回路:&4 = 20i 3 + 12故「3 = 1, U =20/3=20V2.6如图所示电路,已知电流z 1=2A, Z 2 = 1A 求电压%,电阻R 及电压源冷。
解:由KCL :i2=ib+JZ3 + ‘4 =5la =h +5+S/;=/1+/2=3A由KVL: A R + 6i a = 28 =>2/? + 6x3 = 28 =>R = 5由KVL:3z c + 3 + 4Z2=Ri、3j. + 3 + 4 = 5 x 2 故i c= 1A由KVL:u s + 4i2 + 6i a = 28 => w s. = 6V由KVL:% _ 4 — 3 —比“ =0 二> % = 一7V2.7如图所示电路,各网孔电流如图所示,试列写出可用来求解该电路的网孔方程。
解:19匚+14一一4:= 一 10< ⑷A +2\i B +5: =-10一 4i A + 5i B + 12i c = 22.8如题图所示电路,设节点1, 2的电位分别为"如,试列解出可 用来求解该电路的节点方程。
解:原电路等价为: 对节点1, 2列节点方程,有:(1/3+1/1.2)妁一 1/3幻=1+5—4—1/3 绚+(1/3+1/4) W 2=4—2 — 1 化简可得:7 u } —2U 2= 12+2V图2.77 u2—4w( = 122.9如题图所示电路,求电压心。
1习 题1.1 分别计算本征硅和本征锗在T=500K 时的载流子浓度值,并与常温下的载流子浓度值作比较。
解:本征半导体内的载流子浓度可用下式表示3020exp 2G i i E n p A T kT ⎛⎫==- ⎪⎝⎭上式中硅A o =3.88×1016cm -3K -3/2,锗A o =1.76×1016cm -3K -3/2。
K 是波耳兹曼常数,k=8.63×10-5eV/K=1.38×10-23J/K 。
T 为热力学温度。
E g0是T=0K 时的禁带宽度,硅E g0为1.21eV ,锗为0.785eV 。
按照上式T=500K 时, 本征硅:3163/214302051.21exp 3.8810500exp 3.610228.6310500G i i E n p A T cm kT --⎛⎫⎛⎫==-=⨯⨯⨯-=⨯ ⎪ ⎪⨯⨯⨯⎝⎭⎝⎭本征锗:3163/216302050.785exp 1.7610500exp() 2.210228.6310500G i i E n p A T cm kT --⎛⎫==-=⨯⨯⨯-=⨯ ⎪⨯⨯⨯⎝⎭而常温下(T=300K),本征硅和锗热平衡载流子浓度分别约为1.5×1010cm –3和2.4×1013 cm –3。
结论:T=500K 同T=300K 相比,本征硅载流子浓度高4个数量级,本征锗载流子浓度高3个数量级,即表明温度对本征半导体载流子浓度影响极大,随着温度升高,本征半导体载流子浓度急剧升高。
1.2 在本征硅中掺入浓度为1431.010/cm ⨯的五价元素砷。
试分别计算T=300K 和T=500K 时的自由电子和空穴的热平衡浓度值,并指出相应的半导体类型。
1) T=300K ,本征硅载流子浓度为103=1.510i n cm -⨯,掺入浓度1431.010d N cm -=⨯,满足d i N n >>;故 143210214631.010//(1.510)/1.0102.2510/N d i d Ni N n N n N c m p n n c m ⎧=+≈=⨯⎪⎨==⨯⨯=⨯⎪⎩由于N N n p >>,属于N 型半导体;2) T=500K ,本征硅载流子浓度143=3.610i n cm -⨯,掺入浓度1431.010d N cm -=⨯,不满足d i N n >>;故 2N d NN N i n N p p n n =+⎛ ⨯=⎝ 求解得到 1431433.1310/4.1310/N Np cm n cm ⎛=⨯ =⨯⎝ 由于N N n p ≈,故属于本征半导体。
习题145习 题2.1 求题图2.1电路的静态工作点I CQ 和V CEQ 的值。
已知晶体管的V BE =-0.7V ,50β=。
R B1R B2R G6.8k Ω22k Ω100k ΩR G115k Ω题图2.1题图2.2解:转换为戴维南等效电路如下图:+V CC R C其中221212.8,|| 5.2B B CC B B B B B R V V V R RRk R R =⨯=-==Ω+列输入回路KVL 方程:||(2.80.7)38(5.2501)B BE BQ B E V V VI A R R k μβ--===++⨯Ω, 1.8CQ BQ I I mA β==() 3.8CEQ CC CQ C E V V I R R V =++=-2.2 已知题图2.2电路中场效应管的夹断电压V P =-2V ,工艺参数21.25mA/V k =。
求静态工作点V GSQ 、I DQ 和V DSQ 的值。
解:耗尽型N 沟道MOSFET 管,采用混合偏置:21()3.13GSQ G DQ SDQ GSQ P GG DD G G V V I R Ik V V R V V VR R =-⨯=-=⨯=+,解得:12123.4, 1.93.67,0.67DQ DQ GSQ GSQ I mA I mA V mA V mA===-=- 作为耗尽型N 沟道MOSFET 管而言,要求2GSQ P V V ≥=-V 此时DQ ()I 24 1.911.27DSQ DD D S V R R mA k V =-+=-⨯Ω=V(4.7+2)2.3 放大电路及其静态图解如题图2.3所示。
试估算电路的静态工作点I CQ 和V CEQ 各为多少?集电极电阻R C 为多少?RL4128(V)(b)(a)题图2.3解:从输出特性曲线可知:V CC =12 V因此CC BEBQBV-V(120.7)12I=60R200200V VAk kμ-=≈=ΩΩ(必忽略V BE,否则输出曲线上无对应点)对应输出特性曲线:CQI=6m A(找出BI=60u A曲线,平行于横轴作平行线与纵轴交点)CEQ CC CQ CV=V-I R⨯,故C1R k=Ω,CEQ6V V=。
2.4 在测绘某电子设备的部分电路时,画得放大电路如题图2.4所示,但半导体器件型号模糊不清。
试判断画出一种可能的可以使该电路正常工作的管子符号。
12435题图2.4题图2.5解:因为直流偏置电压源是+V CC如果是晶体管,则为NPN型;如果是场效应管,则为N沟道(增强型或耗尽型);1232.5 某放大器的图解如题图2.5所示。
问:(1) 放大器的静态工作点(V CEQ,I CQ)为多少?(2)放大器的直流负载和交流负载电阻各为多少?(3)放大器的直流电源电压为多少?放大器的输出不失真动态范围约为多少伏?解:1) 从输出特性来看,静态工作点是直流负载线和交流负载线的交点,故5,2CEQ CQV V I mA==;2) 从特性曲线看,负载电阻是负载线斜率倒数,故(75)81, 1.6(20)5A DV VR k R kmA mA-==Ω==Ω-;注:从特性曲线看,交流负载线与纵轴不相交,故需要把Q点作为参照;3) 从输出特性来看,直流电压源是直流负载线与横轴交点,故8CCV V=;从输出特性来看,信号不失真动态范围是交流负载线左右两侧距Q点最小值,由于Q点偏低,故直接取右侧,从图上可以看出,|()| 6.85 1.8sV t V≤-=习题1472.6 场效应管放大电路及其静态图解如题图2.6所示。
试估算电路的静态工作点I DQ 和V GSQ 各为多少?源极电阻R S 的值为多少?漏极电阻R D 的值为多少?R G(a)(b)4128(V)(c)解:采用耗尽型N 沟道MOSFET ,且采用自给偏置。
() DS GS G S S D S D GS VV V I R I R I f V =-=-⎫⎪⎬=⎪⎭,从转移特性曲线看出:5,2DQ GSQ I mA V V ==- 由于GS D S V I R =-,以Q 点作参照,则400S R =Ω由于()DSQ DD D S D V V I R R =-+,故直流负载线斜率倒数对应电阻()S D R R +,求得600D R =Ω; 2.7 在题图2.7所示放大电路中,已知晶体管的50β=,V BE =0.7V 。
(1) 计算工作点I CQ 和V CEQ ;(2) 若要求I CQ =0.5mA ,V CEQ =6V ,求所需的R B 和R C 的值(标称值)。
R B2R B147k Ω15k ΩR L 6.8k Ω题图2.7 题图2.8解:1) 工程估算法:CC BE BQ BV -V (120.7)12I =24R 500500V VA k k μ-=≈=ΩΩ5024 1.2CQ BQ I I mA β==⨯=,12 1.2 6.8 3.84CEQ CC C CQ V V R I V =-=-⨯= 2) 12CEQ CC C CQ C V V R I R k =-=Ω根据得到/10BQ CQ I I A βμ==,CC BE B BQ V -V 12R = 1.2I 10uA V M ≈=Ω说明:若考虑V BE 影响,则结果与书中参考答案一致。
2.8 电路如题图2.8所示。
已知晶体管的100β=,V BE =-0.3V 。
(1) 当偏置电阻R B1、R B2分别开路,估算集电极电位V C 的值,并说明管子的工作状态。
(2) 若R B2开路时要求I CQ =2mA ,确定R B1应取多大 (标称值)。
解:1) 工程估算法:CC BE BQ BV -V (120.7)12I =24R 500500V VA k k μ-=≈=ΩΩ2.9 判断题图2.9中各电路是否具有正常放大作用?若无正常放大作用则说明理由。
R LRLRLR LRLRL(d)(e)(f)解:正常放大需要直流通路(Q点合理)和交流通路(信号有效输入和输出)都正确。
通常都是先考虑直流通路,然后再考虑交流通路。
v oCv ov ov o 题图2.10 (a) (b)(c) (d)2.11 场效应管放大器及其输入、输出波形如题图2.11所示。
试判断输出波形产生了何种失真?在电路习题149上采取何种方法可以消除该失真。
v o v itt题图2.11分析:BJT 或FET 做线性放大而言,Q 点设置不合理会产生截止失真和饱和失真;根据定义进入信号进入饱和区产生饱和失真,信号进入截止区产生截止失真; 由于BJT 或FET 有三种组态,可为同相放大或反相放大,故不能直接看输出波形,认为下半周削平是截止失真,上半周削平是饱和失真。
BJT 或FET 三组态特性如下;输出波形下半周削平,则对应输入波形上半周削平,表明进入饱和区产生失真; 故失真类型是饱和失真。
其失真原因是Q 点太高而引起,因此要消除该失真要求适当降低Q 点,则降低控制电压V GS ,即减小R G2或增大R G1数值。
2.12 一个直接耦合放大器的通频带为20kHz ,若输入一个周期为0.1ms 的方波,则输出信号是否会产生失真?若产生失真则是什么失真?为什么?若输入一个频率为30kHz 的正弦波,则输出信号是否会产生失真?为什么?分析:失真分为两种类型-非线性失真和线性失真非线性失真-典型特点是产生了新的频率成分;线性失真-典型特点是针对多频信号而言,不同频率成分之间幅度失真和(或)频率失真。
通频带-处理信号时,认为在通频带内没有幅度失真,而通频带外信号幅度衰减严重。
周期为T 的方波,其包含了基波频率为f(f=1/T)和无穷个谐波频率为nf(n 为整数)。
根据上述信息:方波信号会产生失真,属于线性失真;正弦波信号不会产生失真,因为其是不在通频带内的单频信号。
2.13 画出题图2.13所示电路的直流通路和交流通路。
分析:直流通路:即偏置电路,画图原则是: 1) 将电容开路、电感短路; 2) 保留直流电源;交流通路:交流电流流经的道路,画图原则是: 1) 直流电压源短路、电流源开路 2) 大电容和小电感短路 3) 小电容和大电感开路r vR B1R B2直流通路rv交流通路(b)R ER C直流通路交流通路直流通路交流通路CCR B2+-2.14 在题图2.14所示的电路中,已知晶体管的150β=,VA=-100V,V BE=0.7V。
画出放大器的小信号等效电路,并求电压放大倍数A v,输入电阻R i和输出电阻R o。
分析:针对放大器而言,画直流通路先求Q点,然后画交流通路;在交流通路中把晶体管用小信号等效电路替换,并按照定义求有关指标参数;R B1CC R B256kΩ15k交流通路图2.14直流通路习题151解:戴维南等效工程估算法:B BE B BE BQ B E2E1B E2E1B2B B B1B2B1B2EQ CQ BQV -V V -V I =R (1)(R R )R (R R )V ,R R ||R R R I I =I CC R V βββ⎧≈⎪+++++⎪⎪=⨯=⎨+⎪⎪≈⎪⎩得BQ EQ CQ T e EQ I =5.8I I =0.87mA V r =(1+)r (1+) 4.5I Ak πμββ⎧⎪≈⎪⎪⎨⎪⎪==Ω⎪⎩输入电阻:i B1B2E1R =R //R //(r +(1+)R ) 4.6k πβ=Ω 输出电阻:ce A EQr =|V |/I 115k =ΩR =R //(r +R //(r +R //R ))R //r 7.6k ≈=Ω 2.15 在题图2.15所示电路中,已知FET 的m g =1mS ,ds r =200k Ω。
(1) 画出放大器的小信号等效电路;(2) 计算电压放大倍数A v 、输入电阻R i 和输出电阻R o 的值。
R G1DDR G2300k 100k ΩR 1M题图2.15直流通路交流通路o小信号等效电路解:1) 在交流通路基础上所画的小信号等效电路如图所示: 2) 输入电阻:i G3G2G1R =R +R //R 1.075M =Ω 输出电阻:D Ro=R 10k =Ω 电压增益:o v i gs 11v A == 3.3v v 1m gs D m D m gs s m s g v R g R g v R g R --==-++2.16 题图2.16电路中,已知FET 跨导g m = 0.5mA/V ,晶体管β=100,2r k π=Ω,r ds 和r ce 均可忽略,其余参数如图所示。
试: (1) 画出微变等效电路;(2) 求电压放大倍数,输入电阻和输出电阻的值。
o+-题图2.16分析:属于阻容耦合二级级联放大器,第一级属于CS 组态,第二级属于CC 组态。