§_4_不定积分习题与答案
- 格式:doc
- 大小:408.50 KB
- 文档页数:11
某某学院《高等数学》(上)题库 第四章 不定积分 参考答案一、选择题1. 在区间),(b a 内,如果)()(x x f ϕ'=',则一定有( B ). A.)()(x x f ϕ= B.)()(x x f ϕ=+ C C.[][]'='⎰⎰dx x dx x f )()(ϕ D.⎰⎰'=')()(x d x f d ϕ2. 设)(),(x G x F 都是)(x f 的原函数,则必有( B ).A. 0)()(=-x G x FB. C x G x F =-)()(C. 0)()(=+x G x FD. C x G x F =+)()(3. 若)(x f 为可导、可积函数,则( A ).A. [])(])(x f dx x f ='⎰B. []f(x)f(x)dx d =⎰C. ⎰=')()(x f dx x fD.)()(x f x df =⎰4. 如果()f x =cos x ,那么函数()f x 的不定积分可表示为( D ).A. cos x +1B. -cos x + CC. cos x + CD. sin x +C5. 如果()f x =2x ,那么函数()f x 的不定积分可表示为 (D ).A. 2xB. 2x +1C. 2x -1D. 2x +C6. 若⎰+=C x dx x f )(,则⎰=-dx x f )1(( C )A .C x +-1;B .C x +-;C .C x +;D .C x +-2)1(217. 幂函数的原函数一定是( D ).A.幂函数B.指数函数C.对数函数D.幂函数或对数函数8. 若⎰+=-C e dx x f x )(,则=')(x f ( D ).A.x xe --B.x e x -2C.x eD.x e -9.( D )是函数x x f 21)(=的原函数A .x x F 2ln )(=B .221)(x x F -= C .)2ln()(x x F += D .x x F ln 21)(= 10.若)(x f 满足⎰+=C x dx x f 2sin )(,则=')(x f ( C )A .x 2sin 4B .x 2cos 2C .x 2sin 4-D .x 2cos 2-11.下列等式中( D )是正确的A .⎰=')()(x f dx x f B .C e f dx e f x x +='⎰)()(C .Cx f dx x f +='⎰)()( D .⎰+--=-'C x f dx x f x )1(21)1(22 12.若⎰+=C x F dx x f )()(,则⎰=dx x xf )(cos sin ( A )A .C x F +-)(cosB .C x F +)(cosC .C x f +-)(sinD .C x F +)(sin13.下列函数中,( B )不是x 2sin 的原函数。
不定积分 Ⅰ内容要求(ⅰ)理解原函数与不定积分的概念及其关系。
(ⅱ)记忆基本积分表以及不定积分的线性运算性质.(ⅲ)掌握不定积分第一换元积分法(凑微分法)、第二换元积分法(限于三角代换与简单的根式代换)以及分部积分法.(ⅳ)掌握简单有理函数的不定积分,学会计算简单无理函数的不定积分.(ⅴ)知道初等函数的原函数一定存在,但有些初等函数的原函数不能表达成初等函数的形式。
Ⅱ基本题型(ⅰ)涉及原函数与不定积分、微分与积分的关系问题1. (4分)已知:)(x F 与)(x G 皆为)(x f 的原函数,则下式必定成立的是(B )A C x G x F =+)()(BC x G x F =-)()(C C x G x F =⋅)()(D )()(x G C x F ⋅=2. (4分)设)(x f 的某一原函数为x sin ,则=')(x f —----———-—---——--—-—--——-—(A )A x sin -B x sinC x cosD x cos -3.(4分)下列式子中正确的是-—------————-——-——---—-——--—-——--—--—------—--—---————--—-(C )A ⎰=)()(x f dx x f d B⎰=')()(x f dx x f C )())((x f dx x f ='⎰D ⎰=0dx (ⅱ)简单初等函数的不定积分计算题型 1.计算下列不定积分:(每题5分) (1)⎰⋅3xx dx=C xdx x +-=--⎰31343(2)dx x x ⎰-23)1(dx xx x x ⎰-+-=223133 dx )xx x (2133-+-=⎰ C x x ln x x +++-=-123321 (3)dx x x ⎰+241=dx x )x (⎰++-24111dx )xx (⎰++-=22111 =C x arctan x x ++-331 (4)⎰+dx x x x )sec (tan tan ⎰⎰+=xdx sec x tan xdx tan 2⎰⎰+-=xdx sec x tan dx )x (sec 12 C x sec x x tan ++-=(5)dx x x x ⎰+632=dx )(dx )(xx ⎰⎰+2131 =C ln )(ln )(x x ++21213131 (6)dx xx x⎰22sin cos 2cos dx x sin x cos x sin x cos ⎰-=2222 dx )xcos x sin (⎰-=2211C x tan x cot +--=另解:C xdx x x dx x x x +-==⎰⎰2sin 22sin 2cos 4sin cos 2cos 222 2.计算下列积分:(每题6分)(1)dx e ax bx )(sin ⎰-=C be ax cos ab x+--1(2)⎰+dx x9412C x arctan +=3261 (3)dx x x ⎰++94322=⎰⎰+++94394222x dx x dx ⎰+++=32321121944122xd )x ()x ln( C x arctan )x ln(+++=322194412 (4)dx ee xx⎰-+1C e arctan x += (5)⎰xdx 2cos Cx x dx x ++=+=⎰)2sin 21(21)2cos 1(21(6)xdx x 2sin sin 2⋅⎰C x x xd +==⎰43sin 21sin sin 2 (7)⎰dx xx 3cos sin C x x x d +=-=-⎰23cos 21cos cos 另解:C x x xd xdx x dx x x +===⎰⎰⎰223tan 21tan tan sec tan cos sin (8)⎰dx xx32cos sin ⎰⎰-==xdx x xdx x sec )1(sec sec tan 22 C xdx xdx +-=⎰⎰sec sec 3 C x x xdx ++-=⎰)tan ln(sec sec 3 C x x x x ++-=tan sec ln 21sec .tan 21 []C x x x x xdx +++=⎰tan sec ln sec tan 21sec 3(9)⎰xdx x sec tan 4dx x x ⎰-=sec )1(sec22dx x x x ⎰+-=)sec sec 2(sec 35 x x xdx xdx x x tan sec ln sec 2sec 3tan sec 41333++-⎥⎦⎤⎢⎣⎡+=⎰⎰[]x x xdx x x tan sec ln sec 45tan sec 4133++-=⎰ []C x x x x x x x x +++⎥⎦⎤⎢⎣⎡++-=)tan ln(sec tan sec ln tan (sec 2145tan sec 413[][]C x x x x x x +++-=)tan ln(sec 83tan sec 85tan sec 413 xdx x x x x xd xdx 32335sec tan 3tan sec tan sec sec⎰⎰⎰-==xdx x x x x 323sec )1(sec 3tan sec ⎰--= xdx xdx x x 353sec 3sec 3tan sec ⎰⎰+-=⎥⎦⎤⎢⎣⎡+=⎰⎰xdx x x xdx 335sec 3tan sec 41sec⎰⎰⎰-==x d x x xd xdx x sec )1(sec sec tan sec tan 223C x x +-=sec sec 313 (10)dx xx⎰+ln 112C x ln ++=123.计算下列积分:(每题6分) (1)⎰++dx xx 11令,t x 21=+解:⎰++dx xx11⎰⎰-=+-=dt )t (t tdt tt 122112 C t t +-=2332 C t t +-=2332)C (x )x (+-+-+=11323 (2))0(,22>-⎰a dx x a解:C x a x axa dx x a +-+=-⎰)arcsin (2122222 (3)dx x ⎰+32)1(1解:令tdt dx t x 2sec ,tan ==dx x ⎰+32)1(1dt tdt t t ⎰⎰=+=sec 1)1(tan sec 322 =⎰+=C t tdt sin cosC xx ++=21 (4))0(,122>-⎰a dx ax x令tdt t dx t a x tan .sec ,sec ==⎰⎰-=-)1(sec .sec .tan .sec 12222t a t a dt t t a dx a x xC t a dt a +==⎰11 =C x aa +=arccos 1(5)⎰+dx x x x )1(arctan x d x x d xxarctan arctan 21arctan 2⎰⎰=+=C x +=2)(arctan4.计算下列积分:(每题5分)(1)dx xe x ⎰-2⎰⎰---+-=-=)21(221222x d e e x xde xx x C e e x x x +--=--22412(2)⎰xdx x 3cos 2解:⎰xdx x 3cos 2⎰⎰-==xdx x x x x d x 3sin 323sin 313sin 3122 ⎰+=x xd x x 3cos 923sin 312 ⎰-+=x xd x x x x 23cos 923cos 923sin 312 C x x x x x +-+=3sin 2723cos 923sin 312 (3)⎰xdx ln C x x x x xd x x +-=-=⎰ln ln ln(4)dx x x⎰2ln x d x x xx xd ln 1ln 1)1(ln ⎰⎰+-=-= dx xx x ⎰+-=21ln 1C xx x +--=1ln 1(5)⎰xdx x arctan 2解:⎰xdx x arctan 2dx x x x arctan x xdx arctan ⎰⎰+-==23331313131 22231116131dx x)x (x arctan x ⎰+-+-= C )x ln(x x arctan x +++-=2231616131(6)⎰xdx x 2tan ⎰⎰⎰-=-=xdx x tan d .x dx )x (sec x 12 221x xdx tan x tan .x --=⎰ C x x cos ln x tan .x +-+=221 (7)xdx e x 2cos ⎰-解:xdx e x 2cos ⎰-x sin d e x221⎰-=xxde x sin x sin e --⎰-=221221 x cos d e x sin e x x 241221⎰---=x x x de .x cos x cos e x sin e ---⎰+-=241241221dx .x cos e x cos e x sin e x x x ⎰-----=241241221xdx e x2cos ⎰-C x cos x sin e x +⎥⎦⎤⎢⎣⎡-=-24122154 (8)dx x ⎰+1ln2dx xx .xx x ln x 222111++-+=⎰dx .xx x ln x ⎰+-+=22211 dx .x )x (x ln x ⎰+-+-+=2221111C x arctan x x ln x ++-+=21(9)dx ex⎰3dt t dx t x 233,==dx e x ⎰3222333dt e e t dt e t t t t ⎰⎰-== t t de t e t ⎰-=632 dt e te e t t t t ⎰+-=6632C e t t t ++-=)663(2 Cex x x++-=3)22(33132(10)⎰dx x )sin(ln dx x)x cos(ln x )x sin(ln x ⎰-=1dx )x cos(ln )x sin(ln x ⎰-=⎰--=dx )x sin(ln )x cos(ln x )x sin(ln x⎰dx x )sin(ln []C )x cos(ln )x sin(ln x +-=21Ⅲ提高题型(ⅰ)较复杂的不定积分计算题型 1.求下列不定积分:(每题7分) (1)dx x x x ⎰+22)1(ln )x (d )x (x ln 1121222++=⎰ )x(xd ln ⎰+-=21121 dx )x (x x ln )x (2121121121+++-=⎰-dx )xx x (x ln )x (⎰+-++-=-2121121121 C )x ln(x ln x ln )x (++-++-=-21214121121(2)⎰+dx x x x2)ln (ln 1C x ln x )x ln x ()x ln x (d +-==⎰12(3)dx x x )1ln(2⎰++dx )xx (xx x )x x ln(.x 2221111++++-++=⎰dx xx )x x ln(.x ⎰+-++=2211)x (d x )x x ln(.x 111211222++-++=⎰C x )x x ln(.x ++-++=2211(4)dx x x ⎰++1142dx )x x ()x (dx x x x '⎰⎰+-+=++=----211211222⎰+--=--2211)x x ()x x (dC uarctan u du +=+=⎰22122C )x x (arctan+-=-22112.(7分)若)(x f 的一个原函数为xxsin ,求⎰'.)(dx x f x 解:2xxsin x cos .x )x (f )x x sin ('-==, ⎰'.)(dx x f x =⎰⎰-=dx )x (f )x (xf ).x (xdfC xxsin )x (xf +-= C x x sin x x sin x cos x +--=C x x sin x cos x +-=23.(7分)设⎪⎪⎩⎪⎪⎨⎧>≤<='.1,,10,1)(ln x x x x f 及1)0(=f ,求).(x f解:(1)11C x ln )x (ln f ,)x (ln f '+=⇒=(]01,x ,C x )x (f ∞-∈+=⇒110011-=⇒=+=C C )(f(2)u''e )u (f x )x (ln f =⇒=[)+∞∈+=⇒,u C e )u (f u 02100200=+=⇒=→C e )(f )(f )x (f lim x02=⇒C(][)1,0()0,xx x f x e x ⎧+∈-∞⎪=⎨∈+∞⎪⎩另解:(][)⎪⎩⎪⎨⎧+∞∈∞-∈=,00,1)('tettft(][)⎪⎩⎪⎨⎧+∞∈+∞-∈+=,00,)(21tCetCttft1,1)0(1==Cf而)(tf在0=t可导,故)(xf必连续即01220=⇒=+CCe(][)⎪⎩⎪⎨⎧+∞∈∞-∈+=,00,1)(tetttft第四章不定积分计算测试题一、选择题(7×4分)1.若)(x F 为)(x f 的某一原函数,则必有--—————---—-——--————-----——---—-—-—-——————(A )A )()(x f x F ='BC x f x F +=')()(C )()(x F x f ='D ⎰+=C x f dx x F )()(2.下列式子中正确的是——---—-—--——-————----—--—--——-——-——---————-----——--—---—-———-—-———(B)A ⎰=)()(x f x dfB ⎰=dx x f dx x f d )()(C ⎰=)()(x f dx x f dD ⎰+=C x f dx x f d )()(3.若)(x f 的某一原函数为x 1,则=')(x f —---—--—-——-—---——-—--——---—-——-——-———-—-(D )A x lnB 21x -C 32x -D 32x 4.若⎰+=C x F dx x f )()(,则必有———-——-—-—--——-——-—————--——--—--—--------——--———-(B )A )()(x F x f ='B )()(x f x F ='C C x F x f +=')()(D C x f x F +=')()(5.若)(x f 的某一原函数为)(x F ,则=⋅⎰dx a a f x x )(-—--—————————————--—————(A) A C a F ax +)(ln 1B C a F x +)( C C a aF x +)(ln D C a a F x +)ln (6.⎰=x d x sin sin 12—---———-———---—-—-———--—--—-----————-———-—-—---——-——-——-—----————--—-(A)A C x +-cscBC x +csc C C x +-cotD C x +cot7.若)(x F 为)(x f 的一个原函数,则⎰='dx x f x )(--———--------————-——---——-—-—(B )A C x f x F x +-')()(BC x F x F x +-')()(C C x F x f x +-')()(D C x f x f x +-')()(二、填空题(3×4分)1.⎰=xdx ln C x x ln x +- 2.已知:C x dx x f ++=⎰211)(,则⎰=dx x xf )(C x arctan x x +-+213.⎰='⋅dx x f x f )()(C )x (f +221. 三、计算题(4×7分)1.⎰--dx x x 8212dx x x dx x x ⎰⎰+--=+-=)2141(61)2)(4(1 C x x +⎥⎦⎤⎢⎣⎡+-=24ln 61 2.⎰-++-dx x x x 422111 =⎰⎰-++dx x dx x 221111C x x x ++++=arcsin )1ln(23.dx x x ⎰-9122(x t tdt t dx t x 3cos ,tan .sec 3,sec 3===) ⎰⎰=-=tdt t t tdtt cos 919sec 9sec 9tan .sec 322 C t +=sin 91 C xx +-=9912 4.⎰-dx x )1cos(令dt t dx t x t x )1(2,)1(,12+=+==- ⎰⎰⎰+=+=tdt tdt t tdt t cos 2cos 2cos )1(2t t td sin 2sin 2+=⎰t tdt t t sin 2sin 2sin 2+-=⎰C t t t t +++=sin 2cos 2sin 2C x x x x +-+-+--=)1sin(2)1cos(2)1sin()1(2四、(9分)设)(x f 的一个原函数为22xx,求⎰'.)(dx x f x 解:42'2222ln 2)()()2(xx x x f x f x xx x-=⇒= 3122ln 2.)(x x x f x x +-=⇒ ⎰'.)(d x f x ⎰⎰-==dx x f x xf x xdf )()()(C xx xf x+-=22)( C xx x x xx x +--=+231222ln 2 C xx x xx x +--=+221222ln 2 五、(8分)曲线)(x f y =上点),(y x 处的切线斜率与3x 成正比,并知该曲线通过)6,1(A 和)9,2(-B ,求该曲线的方程.解:C kx y kx dx dy +=⇒=4341 ⎩⎨⎧=-=⇒⎪⎩⎪⎨⎧+=-+=744946C k C k C k 故7)(4+-=x x f六、(8分)求不定积分⎰-.1ln dx x x解:x d x x x x xd dx x xln 121.ln 21ln 21ln ⎰⎰⎰---=-=-dx xx x x ⎰---=121.ln 2(tdt dx t x 2,12==-) dt t t x x ⎰+--=141.ln 222C t t x x ++--=arctan 441.ln 2C x x x x +-+---=1arctan 4141.ln 2七、(7分)(二选一)(1)设x x f +='11)(ln ,且0)0(=f ,求).(x f 解:令u u e u f e x u x +==⇒=11)(,ln 'C e du e e du e u f u u uu ++-=+=+=---⎰⎰)1ln(111)(2ln 02ln 0)0(=⇒=+-⇒=C C f2ln )1ln(2ln )1ln()(++-=++-=-x x e x e x f(1) 试证明⎰=x dxI n n sin (n 为正整数且2≥n )的递推公式为.12sin )1(cos 21----+--=n n n I n nx n x I解:)cot (sin 1sin 2x d x x dxI n n n -==⎰⎰-xdx x n x xx xn n cos .sin )2(sin cos sin cot 12---+-=⎰dx x xn x xn n ⎰----=-sin sin 1)2(sin cos 2121)2()2(sin cos ---+---=n n n I n I n x x21)2(sin cos )1(---+-=-n n n I n x xI n.12sin )1(cos 21----+--=n n n I n n x n xI。
不定积分习题及答案9.求()()()()()dx x f x f x f x f x f ⎰⎥⎦⎤⎢⎣⎡'''-'32。
10.()d x x x ⎰1,,max 23。
第四章 不定积分(A 层次)1.⎰xx dx cos sin解:原式()()⎰⎰+===C tgx tgxtgx d dx tgx x ln sec 2 2.⎰--dx xx 2112解:原式()⎰⎰+---=-----=C x x x dx x x d arcsin 1211122223.()()⎰-+21x x dx解:原式()()[]⎰+--+-=⎪⎭⎫ ⎝⎛--+-=C x x dx x x 2ln 1ln 31211131 C x x +⎪⎭⎫⎝⎛+-=12ln 314.⎰xdx x 7sin 5sin 解:原式()⎰⎰⎰-=--=xdx xdx dx x x 12cos 212cos 212cos 12cos 21C x x +-=12sin 2412sin 41 5.()⎰+dx x x x arctg 1解:原式()()()⎰⎰+==+=C xarctg x arctg d x arctg dx x x arctg 222126.⎰-+21xx dx解:⎰⎰⎰+-++=+=-+dt tt tt t t t t tdt t x x x dx sin cos sin cos sin cos 21cos sin cos sin 12令()()C t t t t t t t d dt +++=+++=⎰⎰cos sin ln 2121cos sin cos sin 2121 ()C x x x ++-+=21ln 21arcsin 21 7.⎰arctgxdx x 2 解:原式()⎪⎭⎫ ⎝⎛+-==⎰⎰dx x x arctgx x x arctgxd 2333113131 ⎰⎰++-=231313131x xdxxdx arctgx x ()C x x arctgx x ++--=2231ln 6161318.()⎰dx x ln cos解:原式()()[]⎰+=dx x x x x x 1ln sin ln cos ()()⎰+=dx x x x ln sin ln cos()()()[]⎰-+=x xd x x x x ln sin ln sin ln cos ()()()⎰-+=dx x x x x x x ln cos ln sin ln cos 故()()()[]C x x x x dx x ++=⎰ln sin ln cos 21ln cos 9.⎰--+dx xx x x 3458解:原式()⎰⎰--++++=dx xx x x dx x x 32281⎰⎰⎰--+-+++=dx x dx x dx x x x x 131******** ()()C x x x x x x +--+-+++=1ln 31ln 4ln 821312310.()⎰+dx x x 2831解:原式()()()⎰⎰⎰=+=+=t tdt tgt u u du u x x x d 42224284sec sec 41141141令令 ()⎰⎰+==dt t tdt 2cos 181cos 412C t t ++=2sin 16181C uu u arctgu ++⋅++=221118181 ()C x x arctgx +++=844188111.⎰xdx x 2cos解:原式⎰⎪⎭⎫⎝⎛+=dx x x 22cos 1[]()⎰⎰⎰+=+=x xd x xdx x xdx 2sin 41412cos 212 ⎰-+=xdx x x x 2sin 412sin 41412C x x x x +++=2cos 812sin 4141212.⎰dx e x 3解:令t x =3,则3t x =,dt t dx 23=原式[]⎰⎰⎰-===t d t e e t de t dt t e t t t t 2333222[]⎰⎰--=-=dt e te e t tde e t ttttt 636322C e te e t t t t ++-=6632 ()C x x e x++-=2223332313.⎰xx x dxln ln ln解:原式()()[]()()[]C x x x d x x x d +===⎰⎰ln ln ln ln ln ln ln ln ln ln ln 14.()⎰+21x e dx解:()()()()⎰⎰⎰⎰+-+=+-+=+222111111t dtdt t t t t t t t e e dxx x令 ()()C t t t t t d dt t t ++++=++-⎪⎭⎫ ⎝⎛+-=⎰⎰111ln 111112()C e e x C e e e xxx x x ++++-=++++=111ln 111ln15.()⎰+dx exe xx21解:原式()()⎰⎰⎪⎭⎫⎝⎛+-=++=11112x xx e xd ee xd()()⎰⎰⎪⎭⎫ ⎝⎛+-++-=+++-=x x x x x x x x e d e e e x dx e e e e x 111111()C e e e xx x x++-++-=1ln ln 1()C e e xe x xx++-+=1ln 116.dx x ⎰3sin解:令t x =3,则3t x =,dt t dx 23= 原式⎰⎰-=⋅=t d t dt t t cos 33sin 22⎰⎰+-=⋅+-=t td t t tdt t t t sin 6cos 32cos 3cos 322 ⎰-+-=tdt t t t t sin 6sin 6cos 32 C t t t t t +++-=cos 6sin 6cos 32C x x x x x +++-=333332cos 6sin 6cos 3 17.⎰-dx xx 1arcsin解:令u x sin =,则u x 2sin =,udu u dx cos sin 2= 原式⎰=udu u uucos sin 2cos ()⎰⎰--=-=udu u u u d u cos cos 2cos 2C x x x C u u u ++--=++-=2arcsin 12sin 2cos 218.()⎰+dx x x 321ln解:原式()⎰⎪⎭⎫⎝⎛+-=-22211ln x d x()⎰+++-=dx xx x x x 2222122121ln ()()⎰+++-=2222212121ln x x dx x x ()⎰⎪⎭⎫ ⎝⎛+-++-=222221112121ln dx x x x x ()()[]C x x xx ++-++-=22221ln ln 2121ln ()()C x x xx ++-++-=2221ln 21ln 21ln 19.⎰+-dx xx xx sin 2cos 5sin 3cos 7解:原式()()⎰+-++=dx x x x x x x sin 2cos 5sin 5cos 2sin 2cos 5dx x x x x ⎰⎪⎭⎫⎝⎛+-+=sin 2cos 5sin 5cos 21C x x x +++=sin 2cos 5ln 20.()⎰++dx x xx 21ln解:原式()⎰⎪⎭⎫ ⎝⎛+-+=x d x x 11ln⎰+++++-=dx x x x x x 1111ln ⎰+++-=dx x x x x 11ln C x xxx ++++-=ln 1ln 21.⎰xdx x 35cos sin解:原式⎰=xdx x x cos cos sin 25()x d x x sin sin 1sin 25⎰-=C x x +-=86sin 81sin 6122.⎰dx x x tgxsin cos ln解:原式()⎰⎰==tgx d tgx tgxdx xtgxtgx ln cos ln 2 ()()⎰+==C tgx tgx tgxd 2ln 21ln ln 23.dx xx ⎰-2arccos 2110解:原式()⎰-=x d x arccos 21021arccos 2 C C x x ar +-=+-=arccos 2cos 21010ln 211010ln 12124.⎰arctgxdx x 2 解:原式()⎰=331x arctgxd ⎪⎭⎫⎝⎛+-=⎰dx x x arctgx x 2331131 dx xxx x arctgx x ⎰+-+-=23313131 ⎰⎰++-=231313131x xdxxdx arctgx x ()C x x arctgx x ++--=2231ln 61613125.⎰-+dx x xx 1122解:令t x 1=,dt tdx 21-=原式dt t t t t ⎰⎪⎭⎫ ⎝⎛--+=222111111⎰⎰⎰----=-+-=dt tt tdt dt tt 2221111C t t +-+-=21arcsinC xx x+-+-=11arcsin 2 26.dx x a x ⎰+222 解:令atgt x =,tdt a dx 2sec = 原式dt t a ttg a t a ⎰=222sec sec ⎰⎰+==dt tt tt t t dt cos sin cos sin cos sin 2222dt tttdt ⎰⎰+=2sin cos sec C t tgt t +-+=sin 1sec lnC xx a a x a x a ++-++=2222lnC x a x a x ++-++=2222ln 27.()dx tgx e x 221⎰+解:原式()⎰+=dx tgx x e x 2sec 22 ⎰⎰+=tgxdx e xdx e x x 2222sec ⎰⎰+=tgxdx e dtgx e x x 222dx tgx e dx e tgx tgx e x x x ⎰⎰+⋅-=22222C t g xe x +=2 28.()()()⎰+++321x x x xdx解:原式⎥⎦⎤⎢⎣⎡+-+-+=⎰⎰⎰3312421x dx x dx x dx()()()[]C x x x ++-+-+=1ln 3ln 32ln 421()()()C x x x ++++=34312ln2129.()⎰+xx dxsin cos 2解:令t x tg =2,则arctgt x 2=,212t dt dx +=,212sin t tx +=,2211cos t t x +-=,于是原式()⎰++=dt tt t 3122⎰⎥⎥⎥⎥⎦⎤⎢⎢⎢⎢⎣⎡++=dt t t t 313322()⎰⎰+++=dt tt t d 131333122 ()C t t ++=3ln 313C x tg x tg +⎪⎭⎫⎝⎛+=232ln 31330.dx xxx x ex⎰-23sin cos sin cos 。
第四章 不定积分(A)1、求下列不定积分1)⎰2x dx 2)⎰x x dx 23)dx x ⎰-2)2( 4)dx x x ⎰+221 5)⎰⋅-⋅dx xxx 32532 6)dx x x x ⎰22sin cos 2cos 7)dx x e x)32(⎰+8)dx x x x)11(2⎰-2、求下列不定积分(第一换元法)1)dx x ⎰-3)23( 2)⎰-332xdx3)dt tt ⎰sin 4)⎰)ln(ln ln x x x dx5)⎰x x dx sin cos 6)⎰-+x x e e dx7)dx x x )cos(2⎰ 8)dx xx ⎰-4313 9)dx x x ⎰3cos sin 10)dx x x⎰--249111)⎰-122x dx 12)dx x ⎰3cos 13)⎰xdx x 3cos 2sin 14)⎰xdx x sec tan 315) dx x x ⎰+239 16)dx x x ⎰+22sin 4cos 31 17)dx x x ⎰-2arccos 2110 18)dx x x x ⎰+)1(arctan3、求下列不定积分(第二换元法)1)dx xx⎰+211 2)dx x ⎰sin3)dx x x ⎰-42 4)⎰>-)0(,222a dx xa x5)⎰+32)1(x dx 6)⎰+xdx 217)⎰-+21xx dx 8)⎰-+211xdx4、求下列不定积分(分部积分法)1)inxdx xs ⎰ 2)⎰xdx arcsin3)⎰xdx x ln 24)dx x e x ⎰-2sin 25)⎰xdx x arctan 2 6)⎰xdx x cos 27)⎰xdx 2ln 8)dx x x 2cos 22⎰5、求下列不定积分(有理函数积分)1)dx x x ⎰+332)⎰-++dx x x x 1033223)⎰+)1(2x x dx(B) 1、一曲线通过点)3,(2e ,且在任一点处的切线斜率等于该点的横坐标的倒数,求该曲线的方程。
第4章不定积分内容概要课后习题全解习题4-11.求下列不定积分:知识点:直接积分法的练习——求不定积分的基本方法;思路分析:利用不定积分的运算性质和基本积分公式,直接求出不定积分★1⎰思路: 被积函数52x -=,由积分表中的公式2可解; 解:532223x dx x C --==-+⎰★2dx-⎰ 思路:根据不定积分的线性性质,将被积函数分为两项,分别积分;解:1141113332223()24dx x x dx x dx x dx x x C --=-=-=-+⎰⎰⎰⎰ ★322x x dx +⎰()思路:根据不定积分的线性性质,将被积函数分为两项,分别积分;解:2232122ln 23x x x x dx dx x dx x C +=+=++⎰⎰⎰()★43)x dx -思路:根据不定积分的线性性质,将被积函数分为两项,分别积分;解:3153222223)325x dx x dx x dx x x C -=-=-+⎰⎰ ★★54223311x x dx x +++⎰思路:观察到422223311311x x x x x ++=+++后,根据不定积分的线性性质,将被积函数分项,分别积分; 解:42232233113arctan 11x x dx x dx dx x x C x x ++=+=++++⎰⎰⎰ ★★6221x dx x +⎰思路:注意到222221111111x x x x x +-==-+++,根据不定积分的线性性质,将被积函数分项,分别积分;解:2221arctan .11x dx dx dx x x C x x =-=-+++⎰⎰⎰ 注:容易看出56两题的解题思路是一致的;一般地,如果被积函数为一个有理的假分式,通常先将其分解为一个整式加上或减去一个真分式的形式,再分项积分;★7x dx x x x ⎰34134(-+-)2 思路:分项积分;解:3411342x dx xdx dx x dx x dx x x x x --=-+-⎰⎰⎰⎰⎰34134(-+-)2 ★823(1dx x -+⎰思路:分项积分;解:2231(323arctan 2arcsin .11dx dx x x C x x =-=-+++⎰⎰ ★★9思路=11172488xx ++==,直接积分; 解:715888.15x dx x C ==+⎰ ★★10221(1)dx x x +⎰思路:裂项分项积分;解:222222111111()arctan .(1)11dx dx dx dx x C x x x x x x x=-=-=--++++⎰⎰⎰⎰ ★11211x x e dx e --⎰ 解:21(1)(1)(1).11x x x x x x x e e e dx dx e dx e x C e e --+==+=++--⎰⎰⎰★★123x x e dx ⎰思路:初中数学中有同底数幂的乘法: 指数不变,底数相乘;显然33x x x e e =();解:333.ln(3)x x x xe e dx e dx C e ==+⎰⎰()() ★★132cot xdx ⎰思路:应用三角恒等式“22cot csc 1x x =-”;解:22cot (csc 1)cot xdx x dx x x C =-=--+⎰⎰★★1423523x xx dx ⋅-⋅⎰思路:被积函数 235222533x x x x ⋅-⋅=-(),积分没困难; 解:2()2352232525.33ln 2ln 3x x xx x dx dx x C ⋅-⋅=-=-+-⎰⎰(()) ★★152cos 2x dx ⎰ 思路:若被积函数为弦函数的偶次方时,一般地先降幂,再积分;解:21cos 11cos sin .2222x x d dx x x C +==++⎰⎰★★1611cos 2dx x +⎰ 思路:应用弦函数的升降幂公式,先升幂再积分;解:221111sec tan .1cos 2222cos dx dx xdx x C x x===++⎰⎰⎰ ★17cos 2cos sin x dx x x -⎰ 思路:不难,关键知道“22cos 2cos sin (cos sin )(cos sin )x x x x x x x =-=+-”;解:cos 2(cos sin )sin cos .cos sin x dx x x dx x x C x x=+=-+-⎰⎰ ★1822cos 2cos sin x dx x x ⋅⎰ 思路:同上题方法,应用“22cos 2cos sin x x x =-”,分项积分;解:22222222cos 2cos sin 11cos sin cos sin sin cos x x x dx dx dx x x x x x x x-==-⋅⋅⎰⎰⎰⎰★★19dx ⎰思路:注意到被积函数==,应用公式5即可;解:22arcsin .dx x C ==+⎰ ★★2021cos 1cos 2x dx x ++⎰思路:注意到被积函数 22221cos 1cos 11sec 1cos 2222cos x x x x x++==++,则积分易得; 解:221cos 11tan sec .1cos 2222x x x dx xdx dx C x ++=+=++⎰⎰⎰ ★2、设()arccos xf x dx x C =+⎰,求()f x ;知识点:考查不定积分原函数与被积函数的关系;思路分析:直接利用不定积分的性质1:[()]()d f x dx f x dx =⎰即可; 解:等式两边对x 求导数得:★3、设()f x 的导函数为sin x ,求()f x 的原函数全体;知识点:仍为考查不定积分原函数与被积函数的关系;思路分析:连续两次求不定积分即可;解:由题意可知,1()sin cos f x xdx x C ==-+⎰所以()f x 的原函数全体为:112cos sin x C dx x C x C -+=-++⎰();★4、证明函数21,2x x e e shx 和x e chx 都是s x e chx hx -的原函数 知识点:考查原函数不定积分与被积函数的关系;思路分析:只需验证即可;解:2x x e e chx shx =-,而22[][][]x x x x d d d e e shx e chx e dx dx dx ===1()2 ★5、一曲线通过点2(,3)e ,且在任意点处的切线的斜率都等于该点的横坐标的倒数,求此曲线的方程; 知识点:属于第12章最简单的一阶线性微分方程的初值问题,实质仍为考查原函数不定积分与被积函数的关系; 思路分析:求得曲线方程的一般式,然后将点的坐标带入方程确定具体的方程即可;解:设曲线方程为()y f x =,由题意可知:1[()]d f x dx x =,()ln ||f x x C ∴=+; 又点2(,3)e 在曲线上,适合方程,有23ln(),1e C C =+∴=,所以曲线的方程为()ln || 1.f x x =+★★6、一物体由静止开始运动,经t 秒后的速度是23(/)t m s ,问:(1) 在3秒后物体离开出发点的距离是多少(2) 物体走完360米需要多少时间知识点:属于最简单的一阶线性微分方程的初值问题,实质仍为考查原函数不定积分与被积函数的关系; 思路分析:求得物体的位移方程的一般式,然后将条件带入方程即可;解:设物体的位移方程为:()y f t =,则由速度和位移的关系可得:23[()]3()f t t f t t C =⇒=+d dt, 又因为物体是由静止开始运动的,3(0)0,0,()f C f t t ∴=∴=∴=;1 3秒后物体离开出发点的距离为:3(3)327f ==米;2令3360t t =⇒=秒;习题4-2★1、填空是下列等式成立;知识点:练习简单的凑微分; 思路分析:根据微分运算凑齐系数即可;解:234111(1)(73);(2)(1);(3)(32);7212dx d x xdx d x x dx d x =-=--=-2、求下列不定积分;知识点:凑微分第一换元积分法的练习;思路分析:审题看看是否需要凑微分;直白的讲,凑微分其实就是看看积分表达式中,有没有成块的形式作为一个整体变量,这种能够马上观察出来的功夫来自对微积分基本公式的熟练掌握;此外第二类换元法中的倒代换法对特定的题目也非常有效,这在课外例题中专门介绍★13t e dt ⎰思路:凑微分;解:33311(3)33t t t e dt e d t e C ==+⎰⎰ ★23(35)x dx -⎰思路:凑微分; 解:33411(35)(35)(35)(35)520x dx x x x C -=---=--+⎰⎰d ★3132dx x -⎰思路:凑微分;解:1111(32)ln |32|.322322dx d x x C x x =--=--+--⎰⎰ ★4⎰ 思路:凑微分;解:1233111(53)(53)(53)(53).332x x d x x C -=--=---=--+⎰ ★5(sin )xb ax e dx -⎰思路:凑微分;解:11(sin )sin ()()cos x x x b b b x ax e dx axd ax b e d ax be C a b a-=-=--+⎰⎰⎰★★6思路:如果你能看到td =,凑出d 易解;解:2C ==+⎰ ★7102tan sec x xdx ⎰思路:凑微分;解:10210111tan sec tan (tan )tan .11x xdx xd x x C ==+⎰⎰ ★★8ln ln ln dx x x x ⎰思路:连续三次应用公式3凑微分即可;解:(ln ||)(ln |ln |)ln |ln ln |ln ln ln ln ln ln ln ln dx d x d x x C x x x x x x ===+⎰⎰⎰★★9tan ⎰思路:是什么,是什么呢就是这有一定难度解:ln ||C ==-+⎰⎰ ★★10sin cos dx x x ⎰思路:凑微分;解:方法一:倍角公式sin 22sin cos x x x =;方法二:将被积函数凑出tan x 的函数和tan x 的导数;方法三: 三角公式22sin cos 1x x +=,然后凑微分;★★11x x dx e e -+⎰思路:凑微分:222111()x x x x x x x x dx e dx de de e e e e e -===++++;解:22arctan 11()x x x x x x x dx e dx de e C e e e e -===++++⎰⎰⎰ ★122cos()x x dx ⎰思路:凑微分;解:222211cos()cos sin 22x x dx x dx x C ==+⎰⎰ ★★13思路:22==凑微分易解; 解:1222211(23)(23)66x d x C -=-=---=⎰ ★★142cos ()sin()t t dt ωω⎰思路:凑微分;解:22211cos ()sin()cos ()sin()cos ()cos()t t dt t t d t t d t ωωωωωωωωω==-⎰⎰⎰★★153431x dx x -⎰ 思路:凑微分;解:33444444433431313(1)ln |1|.44441111x x dx dx dx d x x C x x x x===--=--+----⎰⎰⎰⎰ ★163sin cos x dx x ⎰思路:凑微分;解:332sin 111cos .2cos cos cos x dx d x C x x x =-=+⎰⎰ ★★179思路:经过两步凑微分即可;解:9101010111010C ===+⎰ ★★18思路:分项后分别凑微分即可;解:=-⎰ ★★19 221dx x -⎰ 思路:裂项分项后分别凑微分即可;解:21212dx dx x ==-⎰⎰⎰ ★202(45)xdx x -⎰思路:分项后分别凑微分即可;解:22214541114(45)(45)5(45)2545(45)xdx x dx d x x x x x --=-=------⎰⎰⎰()() ★212100(1)x dx x -⎰思路:分项后分别凑微分即可;解:222100100100100100(11)(1)(1)1(2)(1)(1)(1)(1)(1)x dx x dx x x dx x x x x x -+--==++-----⎰⎰⎰ ★★2281xdx x -⎰思路:裂项分项后分别凑微分即可;解:28444444111111()()241(1)(1)1111xdx xdx xdx dx x x x x x x x ==-=---+-+-+⎰⎰⎰⎰ ★233cos xdx ⎰思路:凑微分;cos sin xdx d x =;解:3222cos cos cos cos sin (1sin )sin xdx x xdx xd x x d x =⋅==-⎰⎰⎰⎰★★242cos ()t dt ωϕ+⎰思路:降幂后分项凑微分; 解:21cos 2()11cos ()cos 2()2()224t t dt dt dt t d t ωϕωϕωϕωϕω+++==+++⎰⎰⎰⎰★★★25sin 2cos3x xdx ⎰思路:积化和差后分项凑微分;解:111sin 2cos3(sin 5sin )sin 55sin 2102x xdx x x dx xd x xdx =-=-⎰⎰⎰⎰ ★★★26sin5sin 7x xdx ⎰思路:积化和差后分项凑微分;解:111sin 5sin 7(cos 2cos12)cos 22cos12(12)2424x xdx x x dx xd x xd x =-=-⎰⎰⎰⎰ ★★★273tansec x xdx ⎰思路:凑微分tan sec sec x xdx d x =;解:3222tan sec tan tan sec tan sec (sec 1)sec x xdx x x xdx xd x x d x =⋅==-⎰⎰⎰⎰★★28arccos x思路:(arccos )d x =-;解:arccos arccos arccos 1010arccos .ln10x xxd x C =-=-+⎰★★29思路:(arcsin )d x =;解:2arcsin 1arcsin (arcsin )d x C x x ==-+⎰★★★★30思路:==;解:==⎰★★★★31ln tan cos sin xdx x x ⎰思路:被积函数中间变量为tan x ,故须在微分中凑出tan x ,即被积函数中凑出2sec x , 解:2ln tan ln tan ln tan tan ln tan (ln tan )cos sin tan cos tan x x xdx dx d x xd x x x x x x===⎰⎰⎰⎰ ★★★★3221ln (ln )xdx x x +⎰思路:(ln )(1ln )d x x x dx =+ 解:221ln 11(ln )ln (ln )(ln )x dx d x x C x x x x x x +==-+⎰⎰ ★★★★331x dxe -⎰解:方法一:思路:将被积函数的分子分母同时除以 x e ,则凑微分易得; 方法二: 思路:分项后凑微分 方法三:思路: 将被积函数的分子分母同时乘以 x e ,裂项后凑微分;★★★★346(4)dx x x +⎰解:方法一:思路:分项后凑积分;方法二:思路:利用第二类换元法的倒代换; 令1x t =,则21dx dt t=-; ★★★★3582(1)dxx x -⎰解:方法一: 思路:分项后凑积分;方法二: 思路: 利用第二类换元法的倒代换; 令1x t=,则21dx dt t =-; 6426422753751111(1)()(1)()211111111111111111ln ||ln ||75321753321t t t dt dt t t t dt dt t t t t x t t t t C C t x x x x x =-+++-=-+++---+---=-----+=-----+++⎰⎰⎰⎰3、求下列不定积分;知识点:真正的换元,主要是三角换元第二种换元积分法的练习;思路分析:题目特征是----被积函数中有二次根式,如何化无理式为有理式三角函数中,下列二恒等式起到了重要的作用;为保证替换函数的单调性,通常将交的范围加以限制,以确保函数单调;不妨将角的范围统统限制在锐角范围内,得出新变量的表达式,再形式化地换回原变量即可;★★★1⎰ 思路:令sin ,2x t t π=<,先进行三角换元,分项后,再用三角函数的升降幂公式;解:令sin ,2x t t π=<,则cos dx tdt =;tan arcsin .2t t C x C =-+=+或arcsin x C =+ 万能公式sin 1cos tan 21cos sin tt tt t-==+,又sin t x =时,cos t★★★2⎰思路:令3sec ,(0,)2x t t π=∈,三角换元;解:令3sec ,(0,)2x t t π=∈,则3sec tan dx t tdt =;3sec x x =时,3cos ,sin tan x x x x===★★★3思路:令tan ,2x t t π=<,三角换元;解:令tan ,2x t t π=<,则2sec dx tdt =;★★★4思路:令a tan ,2x t t π=<,三角换元;解:令tan ,2x a t t π=<,则2a sec dx tdt =;★★★★52思路:先令2u x =,进行第一次换元;然后令tan ,2u t t π=<,进行第二次换元;解:2224112x x x +=+⎰,令2u x =得:212=,令tan ,2u t t π=<,则2sec du tdt =, 与课本后答案不同★★★6思路:三角换元,关键配方要正确;解:22549(2)x x x --=-+,令23sin ,2x t t π+=<,则3cos dx tdt =;★★4、求一个函数()f x ,满足'()f x =,且(0)1f =;思路:,由条件(0)1f =确定出常数C 的值即可;解:1(1).1x C x=+=+⎰⎰令()f x C =+,又(0)1f =,可知1C =-,★★★5、设tan ,n n I xdx =⎰,求证:1-21tan 1n n n I x I n -=--,并求5tan xdx ⎰; 思路:由目标式子可以看出应将被积函数tan n x 分开成22tan tan n x x -,进而写成:22222tan (sec 1)tan sec tan n n n x x x x x ----=-,分项积分即可;证明:222222tan (tan sec tan )tan sec tan n n n n n n I xdx x x x dx x xdx xdx ----==-=-⎰⎰⎰⎰ 习题4-3 1、求下列不定积分:知识点:基本的分部积分法的练习;思路分析:严格按照“‘反、对、幂、三、指’顺序,越靠后的越优先纳入到微分号下凑微分;”的原则进行分部积分的练习;★1arcsin xdx ⎰思路:被积函数的形式看作0arcsin x x ,按照“反、对、幂、三、指”顺序,幂函数0x 优先纳入到微分号下,凑微分后仍为dx ;解:21arcsin arcsin arcsin (1)2xdx x x x x x =-=+-⎰⎰ ★★22ln(1)x dx +⎰思路:同上题;解:22222222ln(1)ln(1)ln(1)11x x x dx x x x dx x x dx x x+=+-=+-++⎰⎰⎰ ★3arctan xdx ⎰思路:同上题;解:222(1)arctan arctan arctan 121dx d x xdx x x x x x x x+=-=-++⎰⎰⎰1★★42sin 2xx e dx -⎰ 思路:严格按照“反、对、幂、三、指”顺序凑微分即可; 解:22221111sin sin ()sin cos 22222222xx x x x x x x e dx d e e e dx ----=-=-+⎰⎰⎰ ★★52arctan x xdx ⎰思路:严格按照“反、对、幂、三、指”顺序凑微分即可;解:32332111arctan arctan ()arctan 3331x x xdx xd x x x dx x ==-+⎰⎰⎰ ★6cos 2xx dx ⎰ 思路:严格按照“反、对、幂、三、指”顺序凑微分即可;解:cos 2sin 2sin 2sin 2sin 4sin 2222222xx x x x x xx dx xd x dx x d==-=-⎰⎰⎰⎰ ★★72tan x xdx ⎰思路:严格按照“反、对、幂、三、指”顺序凑微分即可;解:2222tan (sec 1)(sec )sec x xdx x x dx x x x dx x xdx x x =-=-=-⎰⎰⎰⎰⎰d★★82ln xdx ⎰思路:严格按照“反、对、幂、三、指”顺序凑微分即可;解:222211ln ln 2ln ln 2ln ln 2ln 2xdx x x x x dx x x xdx x x x x x dx x x=-⋅⋅=-=-+⋅⎰⎰⎰⎰★★9ln(1)x x dx -⎰思路:严格按照“反、对、幂、三、指”顺序凑微分即可;解:22211ln(1)ln(1)ln(1)2221x x x x dx x d x x dx x -=-=---⎰⎰⎰★★1022ln xdx x ⎰思路:严格按照“反、对、幂、三、指”顺序凑微分即可;解:222222ln 11111ln ln ()ln 2ln ln 2x x dx xd x x dx x dx x x x x x x x=-=-+⋅=-+⎰⎰⎰⎰★★11cosln xdx ⎰思路:严格按照“反、对、幂、三、指”顺序凑微分即可;解:1cosln cosln sin ln cosln sin ln xdx x x x x dx x x xdx x =+⋅=+⎰⎰⎰ ★★122ln x dx x ⎰思路:详见第10 小题解答中间,解答略;★★13ln (1)nx xdxn ≠-⎰思路:严格按照“反、对、幂、三、指”顺序凑微分即可;解:111111ln ln ln 111n nn n x x xdx xdx x x dx n n n x+++==-⋅+++⎰⎰⎰ ★★142xx e dx -⎰思路:严格按照“反、对、幂、三、指”顺序凑微分即可;解:222222x x x x x x x e dx x e e xdx x e xe e dx ------=-+=--+⎰⎰⎰★★1532(ln )x x dx ⎰思路:严格按照“反、对、幂、三、指”顺序凑微分即可; 解:32244241111(ln )(ln )()(ln )2ln 444x x dx x d x x x x x dx x==-⋅⋅⎰⎰⎰ ★★16ln ln xdx x ⎰思路: 将积分表达式ln ln xdx x写成ln ln (ln )xd x ,将ln x 看作一个整体变量积分即可; 解:ln ln 111ln ln (ln )ln ln ln ln ln ln ln ln x dx xd x x x x dx x x dx x x x x==-⋅⋅=-⎰⎰⎰⎰ ★★★ 17sin cos x x xdx ⎰思路:严格按照“反、对、幂、三、指”顺序凑微分即可; 解:11111sin cos sin 2(cos 2)cos 2cos 222244x x xdx x xdx xd x x x xdx ==-=-+⎰⎰⎰⎰★★1822cos 2x x dx ⎰思路:先将2cos 2x 降幂得1cos 2x+,然后分项积分;第二个积分严格按照“反、对、幂、三、指”顺序凑微分即可;解:2222221111cos (cos )cos 22222xx dx x x x dx x dx x xdx =+=+⎰⎰⎰⎰ ★★192(1)sin 2xxdx -⎰思路:分项后对第一个积分分部积分;解:22211(1)sin 2sin 2sin 2(cos 2)cos 222x xdx x xdx xdx x d x x -=-=-+⎰⎰⎰⎰★★★20⎰思路:首先换元,后分部积分;解:令t =,则32,3,x t dx t dt ==★★★212(arcsin )x dx ⎰思路:严格按照“反、对、幂、三、指”顺序凑微分即可; 解:22(arcsin )(arcsin )x dx x x x =-⎰⎰222(arcsin )2(arcsin )2(arcsin )2.x x x x x x dx x x x x C =+-=+-=+-+⎰★★★222sin x e xdx ⎰思路:严格按照“反、对、幂、三、指”顺序凑微分即可; 解:方法一: 方法二:★★★23思路:严格按照“反、对、幂、三、指”顺序凑微分即可;解:ln(1))1x d x x =++-+⎰⎰令t=则2,dx tdt =所以原积分)4arctan x C=+-++;★★★24ln(1)x x e dx e +⎰思路:严格按照“反、对、幂、三、指”顺序凑微分即可;解:ln(1)ln(1)()ln(1)1x x x x x x xx xe e dx e d e e e e dx e e---+=+-=-+++⎰⎰⎰ 注:该题中11x dx e +⎰的其他计算方法可参照习题4-2,233; ★★★251ln 1xx dx x +-⎰思路:严格按照“反、对、幂、三、指”顺序凑微分即可; 解:2222111111111lnln ()ln 1122121(1)x x x x x xx dx d x x x dx x x x x x +++--++==-⋅---+-⎰⎰⎰ 注: 该题也可以化为 1ln[ln(1)ln(1)]1xx dx x x x dx x+=+---⎰⎰再利用分部积分法计算; ★★★26sin 2cos dxx x ⎰思路:将被积表达式sin 2cos dxx x 写成22sec tan 2sin 2sin 2sin cos dx xdx d x x x x x ==,然后分部积分即可; 解:22sec tan sin 2cos 2sin 2sin 2sin cos dx dx xdx d xx x xx x x ===⎰⎰⎰⎰2、 用列表法求下列不定积分;知识点:仍是分部积分法的练习;思路分析:审题看看是否需要分项,是否需要分部积分,是否需要凑微分;按照各种方法完成;我们仍然用一般方法解出,不用列表法;★13xxedx ⎰思路:严格按照“反、对、幂、三、指”顺序凑微分即可;解:33333331111111()3().3333933x x x x x x xxe dx xd e xe e dx xe e d x x e C ==-=-=-+⎰⎰⎰⎰ ★2(1)xx e dx +⎰思路:严格按照“反、对、幂、三、指”顺序凑微分即可;解:(1)(1)(1)x x x x x x e dx x de x e e dx xe C +=+=+-=+⎰⎰⎰;★32cos xxdx ⎰思路:严格按照“反、对、幂、三、指”顺序凑微分即可;解:2222cos sin sin 2sin sin 2cos x xdx x d x x x x xdx x x xd x ==-=+⎰⎰⎰⎰★42(1)x xe dx -+⎰思路:分项后分部积分即可;解:222(1)()x x x x x x e dx x e dx e dx x d e e dx -----+=+=-+⎰⎰⎰⎰⎰★5ln(1)x x dx +⎰思路:严格按照“反、对、幂、三、指”顺序凑微分即可;解:222111ln(1)ln(1)()ln(1)-2221x x x dx x d x x x dx x +=+=++⎰⎰⎰★6cos xe xdx -⎰思路:严格按照“反、对、幂、三、指”顺序凑微分即可; 解:cos cos ()cos sin xx x x exdx xd e e x e xdx ----=-=--⎰⎰⎰★3、已知sin xx是()f x 的原函数,求()xf x dx '⎰; 知识点:考察原函数的定义及分部积分法的练习;思路分析:积分 ()xf x dx '⎰中出现了()f x ',应马上知道积分应使用分部积分, 条件告诉你sin xx是()f x 的原函数,应该知道sin ().xf x dx C x=+⎰解:()()()()xf x dx x f x xf x f x dx '=-⎰⎰⎰d()=又2sin cos sin cos sin (),(),();x x x x x x xf x dx C f x xf x x x x --=+∴=∴=⎰★★4、已知()xe f x x=,求()xf x dx ''⎰;知识点:仍然是分部积分法的练习;思路分析:积分()xf x dx ''⎰中出现了(f x '',应马上知道积分应使用分部积分; 解:()(())()()()().xf x dx xd f x xf x f x dx xf x f x C ''''''==-=-+⎰⎰⎰又22(1)(1)(,(),();x x x x x e xe e e x e x f x f x xf x x x x x---''∴=∴)=== ★★★★5、设n I =sin n dx x ⎰,(2)n ≥;证明:211cos 21sin 1n n n x n I I n x n ---=-⋅+--; 知识点:仍然是分部积分法的练习; 思路分析:要证明的目标表达式中出现了n I ,1cos sin n x x -和2n I - 提示我们如何在被积函数的表达式1sin n x中变出1cos sin n xx- 和21sinn x- 呢这里涉及到三角函数中1的变形应用,初等数学中有过专门的介绍,这里1可变为22sin cos x x +;证明:22sin cos x x +1=2222222221222-1sin cos cos sin cos 1sin sin sin sin sin sin cos cos sin sin sin cos sin sin sin cos sin sin sin sin cos sin n n n n n n n n n n n n n n n n n n dx x x x x x I dx dx dx dx dx x xx x x x x x dx I d x I x x x x x n x x x x dx I x x x I x -----+∴===+=+=+=+-⋅-=-⋅+=+⎰⎰⎰⎰⎰⎰⎰⎰⎰22222212222112.1cos cos 1sin sin sin sin cos cos (2)sin sin 1cos 21sin 1n n n n n n n n n n n n n n n n n x x x n dx I I n dx I x x x x x I nI nI I nI n I x xx n I I n x n --------------++=+++=++-+=+---∴=-⋅+--⎰⎰★★★★6、设f x ()为单调连续函数,f x -1()为其反函数,且()()f x dx F x C =+⎰ ,求:1fx x -⎰()d ;知识点:本题考察了一对互为反函数的函数间的关系,还有就是分部积分法的练习; 思路分析:要明白1(())x f f x -=这一恒等式,在分部积分过程中适时替换;解:f x x x f x x f x ⎰⎰-1-1-1()d =()-d(())又1(())x f f x -=又()()f x dx F x C =+⎰习题4-41、 求下列不定积分知识点:有理函数积分法的练习;思路分析:被积函数为有理函数的形式时,要区分被积函数为有理真分式还是有理假分式,若是假分式,通常将被积函数分解为一个整式加上一个真分式的形式,然后再具体问题具体分析;★133x dx x +⎰思路:被积函数为假分式,先将被积函数分解为一个整式加上一个真分式的形式,然后分项积分; 解:3327272739333x x x x x x x +-==-+-+++2 ★★★2 5438x x dx x x +--⎰思路:被积函数为假分式,先将被积函数分解为一个整式加上一个真分式的形式,然后分项积分; 解:545342323338()()()881,x x x x x x x x x x x x x x x x x x x x +--+-+-++-+-==+++---22而3(1)(1),xx x x x -=+-令23811x x A B C x x x x x +-=++-+-,等式右边通分后比较两边分子x 的同次项的系数得:118A B C C B A ++=⎧⎪-=⎨⎪=⎩解此方程组得:843A B C =⎧⎪=-⎨⎪=-⎩★★★3331dx x +⎰思路:将被积函数裂项后分项积分; 解:321(1)(1)x x x x +=+-+,令323111A Bx Cx x x x +=+++-+等式右边通分后比较两边分子x 的同次项的系数得:⎧⎪⎨⎪⎩A+B=0B+C-A=0A+C=3解此方程组得:112A B C =⎧⎪=-⎨⎪=⎩★★★431(1)x dx x +-⎰思路:将被积函数裂项后分项积分; 解:令32311(1)(1)(1)x A B Cx x x x +=++----,等式右边通分后比较两边分子x 的同次项的系数得:0,21,1A B A A B C =-=-+=,解此方程组得:0,1,2A B C ===;★★★5332(1)x dx x x ++⎰思路:将被积函数裂项后分项积分; 解:3333232(1)(1)(1)x x x x x x +=++++,令32321(1)(1)(1)A B C Dx x x x x x =+++++++等式右边通分后比较两边分子x 的同次项的系数得:0320302A B A B C A B C D A +=⎧⎪++=⎪⎨+++=⎪⎪=⎩解此方程组得:2222A B C D =⎧⎪=-⎪⎨=-⎪⎪=-⎩;★★★62(2)(3)xdxx x ++⎰思路:将被积函数裂项后分项积分; 解:22222222(2)(3)(2)(3)(2)(3)(2)(3)x x x x x x x x x x x +-+==-++++++++ 2212(3)(2)(3)x x x =-+++;令22223(2)(3)(3)A B Cx x x x x =+++++++,等式右边通分后比较两边分子x 的同次项的系数得:06509622A B A B C A B C +=⎧⎪++=⎨⎪++=⎩解此方程组得:2222222223(2)(3)(3)2A B x x x x x C =⎧⎪=-∴=--⎨+++++⎪=-⎩★★★7331xdx x -⎰思路:将被积函数裂项后分项积分;解:332333(1)3331111x x x x x x x -+==+--++- 令323111A Bx C x x x x +=+--++,等式右边通分后比较两边分子x 的同次项的系数得: 003AB A BC A C +=⎧⎪-+=⎨⎪-=⎩ 解此方程组得:112A B C =⎧⎪=-⎨⎪=-⎩而222222131313(21)(21)(21)2222222111111x x x x x x x x x x x x x x x x +++++==+=+++++++++++++ ★★★82221(1)x x dx x --+⎰思路:将被积函数裂项后分项积分;解:22222222112(1)1(1)(1)x x x x x x x --=--+++++又由分部积分法可知:222212(1)11dx x dx x x x =++++⎰⎰★★★9(1)(2)(3)xdxx x x +++⎰思路:将被积函数裂项后分项积分; 解:3313(1)(2)(3)(1)(2)(3)(1)(2)(1)(2)(3)x x x x x x x x x x x x x +-==-+++++++++++令3(1)(2)(3)123A B Cx x x x x x =++++++++,等式右边通分后比较两边分子x 的同次项的系数得:054306323A B C A B C A B C ++=⎧⎪++=⎨⎪++=⎩解之得:333233223(1)(2)(3)12332A B x x x x x x C ⎧=⎪⎪=-∴=-+⎨++++++⎪⎪=⎩而111(1)(2)12x x x x =-++++★★★10221(1)(1)x dx x x ++-⎰思路:将被积函数裂项后分项积分; 解:22222112121(1)(1)(1)(1)(1)(1)x x x x x x x x x +-+==+++-+-+- 令22211(1)(1)(1)A B Cx x x x x =++-++-+,等式右边通分后比较两边分子x 的同次项的系数得:0,20,2A B A C A B C +=+=--=;解之得:11,,122A B C ==-=-;★★★1121(1)dx x x +⎰思路:将被积函数裂项后分项积分; 解:令221(1)1A Bx Cx x x x +=+++,等式右边通分后比较两边分子x 的同次项的系数得: 001A B C A +=⎧⎪=⎨⎪=⎩解之得:221111(1)10A xB x x x xC =⎧⎪=-∴=-⎨++⎪=⎩★★★1222()(1)dxx x x ++⎰思路:将被积函数裂项后分项积分; 解:22211()(1)(1)(1)x x x x x x =++++令22211()(1)1A B Cx Dx x x x x x +=++++++,等式右边通分后比较两边分子x 的同次项的系数得: 0,0,0,1A B C A C D A B D A ++=++=++==,解之得:★★★★★1341dx x +⎰思路:将被积函数裂项后分项积分;解:4221(1)(1)x x x +=+-++令411x =++,等式右边通分后比较两边分子x 的同次项的系数得:0001A C B D A C B D +=⎧+-+=++-=⎪⎪+=⎩解之得:412412A B C D ⎧=-⎪⎪⎪=⎪⎪⎨⎪=⎪⎪⎪=⎪⎩注:由导数的性质可证21)1)arctan1x ++-=-本题的另一种解法:注:由导数的性质可证22arctan21xπ=+-; ★★★★★142222(1)x dx x x --++⎰思路:将被积函数裂项后分项积分; 解:222222211(1)(1)x x x x x x x x --++-+=-++++ 又22223112122(1)11x dxdx x x x x x x +=+++++++⎰⎰ 注:本题再推到过程中用到如下性质:本性质可由分部积分法导出;若记22()n ndxI x a =+⎰,其中n 为正整数,0a ≠,则必有:122211[(23)]2(1)()n n n xI n I a n x a --=+--+; 2、 求下列不定积分知识点:三角有理函数积分和简单的无理函数积分法的练习;思路分析:求这两种积分的基本思路都是通过适当的变换化为有理函数积分去完成;★★123sin dxx+⎰思路:分子分母同除以x 2sin 变为2csc x 后凑微分;解:2222()csc cot 63sin 3csc 13cot 4d x dx xdx d x x x x ==-=-+++⎰⎰⎰⎰★★23cos dxx+⎰思路:万能代换解:令tan 2xt =,则22212cos ,;11t dt x dx t t -==++ 注:另一种解法是:★★32sin dxx+⎰思路:万能代换 解:令tan2x t =,则2222sin ,;11t dt x dx t t ==++ ★★41tan dx x+⎰思路:利用变换tan t x =万能代换也可,但较繁 解:令tan t x =,则2arctan ,;1dtx t dx t ==+ ★★51sin cos dxx x++⎰思路:万能代换解:令tan 2xt =,则2222212sin ,cos ,;111t t dt x x dx t t t -===+++ ★★652sin cos dxx x+-⎰思路:万能代换解:令tan 2xt =,则2222212sin ,cos ,;111t t dt x x dx t t t -===+++而22133221(33dt C t t ===++++⎰ ★★★★7(54sin )cos dxx x+⎰思路一:万能代换解:令tan 2xt =,则2222212sin ,cos ,;111t t dt x x dx t t t -===+++ 而22244(585)(1)(585)(1)(1)t t t t t t t =++-++-+,令22411(585)(1)(1)585At B C Dt t t t t t t t +=++-+++-+++,等式右边通分后比较两边分子t 的同次项的系数得:55013301330554A C DBCD A C D B C D ++=⎧⎪++=⎪⎨-+-=⎪⎪+-=⎩解之得:116,;916C D ⎧⎧=⎪⎪⎪⎪⎨⎨⎪⎪=-⎪⎪⎩⎩5A=27B=8 2222221191110891161161458585851191110871()(54sin )cos 161161458585851191110871(54sin )cos 161161458585851ln 16t t t t t t t dx t dt x x t t t t t t dx t dt dt dt dt x x t t t t t t t +=⋅-⋅+⋅-⋅-++++++∴=-⋅+⋅-⋅-⋅+-++++++∴=-+--+-+++++=--⎰⎰⎰⎰⎰22917541ln 1ln(585)arctan()1642435tan 419172ln tan 1ln tan 1ln(5tan 8tan 5)arctan()162162422243t t t t C x x x x x C +++-++-++=--++-++-+思路二:利用代换sin t x = 解:令sin t x x π=,<2,则dxx ==令21(54)(1)5411A B Ct t t t t =+++-+-+,等式右边通分后比较两边分子t 的同次项的系数得:44090551A B C B C A B C ++=⎧⎪+=⎨⎪-+-=⎩解之得:216911161111118(54)(1)9541812112A B t t t t t C ⎧=⎪⎪⎪=∴=⋅+⋅-⋅⎨+-+-+⎪⎪=-⎪⎩注:比较上述两解法可以看出应用万能代换对某些题目可能并不简单★★★★81sin (1cos )sin xdx x x++⎰思路:将被积函数分项得,对两个不定积分分别利用代换cos t x =和万能代换 解:1sin 11(1cos )sin (1cos )sin 1cos x x x x x x+=++++对积分1(1cos)sin dx x x+⎰,令cos ,(0,)t x x π=∈,则dx x == 令22111(1)(1)(1)A B Ct t t t t =++-++-+,等式右边通分后比较两边分子t 的同次项的系数得:0201A B A C A B C +=⎧⎪+=⎨⎪--=⎩解之得:221411111111441412(1)(1)(1)12A B t t t t t C ⎧=⎪⎪⎪=-∴=⋅-⋅-⋅⎨-++-+⎪⎪=-⎪⎩对积分11cos dx x+⎰,令22212tan ,os ,211x t dt t c x dx t t -===++★★9思路:变无理式为有理式,变量替换t =解:令t =则 321,3;x t dx t dt +==★★103思路:变无理式为有理式,变量替换t =;解:令2,2;t x t dx tdt ===★★11思路:变无理式为有理式,变量替换t =解:令21,2;t x t dx tdt =+==222122222(2)1111124444ln 11)1t t t t t tdt dt dt t dtt t t t tdt dt dt t t t C x Ct---∴====-+++++=-+=-+++=-++⎰⎰⎰⎰⎰⎰⎰★★★12思路:变无理式为有理式,变量替换t =; 解:令87,8;t x t dx t dt ===★★★133思路:变无理式为有理式,三角换元; 解:令2tan ,,sec .2x t t dx tdt π=<=则★★★14 思路,三角换元;解:令sin ,;2x a t t π=<则cos dx a tdt =;注: 另一种解法,分项后凑微分;★★★15思路:换元;解:令11x t x +=-,则22.(1)dx dt x -=- 总习题四★1、设()f x 的一个原函数是2x e -,则()().f x =A 2x e -B -22x e -C -42x e -D 42x e - 知识点:原函数的定义考察; 思路分析:略; 解:B;★2、设()arcsin xf x dx x C =+⎰,则()dxf x =⎰; 知识点:原函数的定义性质考察;思路分析:对条件两边求导数后解出()f x 后代入到要求的表达式中,积分即可; 解:对式子()arcsin xf x dx x C =+⎰两边求导数得:★★3、设222(1)ln 2x f x x -=-,且(())ln f x x ϕ=,求()x dx ϕ⎰;知识点:函数的定义考察;思路分析:求出()f x 后解得()x ϕ,积分即可; 解:22222111()1(1)ln ln ,()ln ,(())ln ,1()1211x x t x f x f t f x t x x x ϕϕϕ-+++-==∴=∴=-----又()11(())ln ,,()()11x x f x x x x x x ϕϕϕϕ++=∴∴=--=;★★★4、设F()x 为()f x 的原函数,当>0x 时,有2()F()sin 2f x x x =,且(0)1F =, ()0F x ≥试求()f x ;知识点:原函数的定义性质考察;思路分析:注意到()()dF x f x dx =,先求出()F x ,再求()f x 即可; 解:22()()sin 2()()sin 2f x F x x f x F x dx xdx =∴=⎰⎰;即2221()()sin 2,(())sin 2,2F x dF x xdx F x xdx =∴=⎰⎰⎰ 又21(0)1,1;(())sin 41;(0.)4F C F x x x x =∴=∴=-+>又()0,()F x F x >∴=又22()()sin 2,()f x F x x f x =∴=5、求下列不定积分; 知识点:求不定积分的综合考察; 思路分析:具体问题具体分析;★★1⎰思路:变无理式为有理式,变量替换t =解:令t =则222,,55t tx dx dt -==- ★21)x >⎰思路:变无理式为有理式,变量替换sec x t =; 解:令sec ,02x t t π=<<,则sec tan dx t tdt =;★★★32394x xx x dx -⎰思路:将被积函数2394x x x x - 变为2222()33221[()]1()33x xx xx x --=后换元或凑微分;解:令2()3x t =,则22()ln 33x dt dx =;★★4266(0)x dx a a x >-⎰思路:凑微分;解:23336666632111133()x dx dx dx t x a xa x a x ===---⎰⎰⎰,令, ★★5思路:将被积函数进行配方后换元或先凑微分再换元; 解:方法一:(1dx x =+⎰令11sec ,0,222x tt π+=<<,则1sec tan ;2dx ttdt = 方法二:22(1dxx ==+⎰⎰令2t=∴=再令tan ,2t z z π=<,则2sec ,dtzdz =★★★610(2)dxx x +⎰思路:倒代换解:令1x t =,,则21,dx dt t =-★★★★77cos 3sin 5cos 2sin x xdx x x -+⎰思路:大凡被积函数的分子分母皆为同一个角的正余弦函数的线性组合的形式的积分,一般思路是将被积函数的分子写成分母和分母的导数的线性组合的形式,然后分项分别积分即可;解:7cos 3sin 5cos 2sin (5cos 2sin )x x x x x x '-=+++★★★★8 (1sin )1cos x e x dx x ++⎰思路:分项积分后对前一积分采用分部积分,后一积分不动;解:2(1sin )sin ()(tan )1cos 1cos 1cos 22cos 2x x x xx e x e e xe xdx dx e dx x x x x +=+=++++⎰⎰⎰ ★★★★6、求不定积分:23()()()[]()()f x f x f x dx f x f x ''-''⎰知识点:分部积分法考察兼顾凑微分的灵活性;思路分析:分项后,第二个积分显然可凑现成的微分,分部积分第二个积分,第一个积分不动,合并同种积分,出现循环后解出加一个任意常数即可;解:2233()()()()()()[]()()()()f x f x f x f x f x f x dx dx dx f x f x f x f x ''''-=-''''⎰⎰⎰ 而22223333()()()()()()()()()()()()()f x f x f x f x f x dx df x f x f x d f x f x f x f x '''''==-''''⎰⎰⎰ ★★★★7、设tan (1)n n I xdx n =>⎰,,求证:121tan 1n n n I x I n --=--,,并求5tan xdx ⎰; 知识点:分部积分法考察,三角恒等式的应用,凑微分等;思路分析:由要证明的目标式子可知,应将tan n x 分解成22tan tan n x x -,进而写成22tan (sec 1)n x x --,分部积分后即可得到2n I -;证明:2222tan tan tan tan (sec 1)n n n n I xdx x xdx x x dx --===-⎰⎰⎰22121tan tan tan tan 1n n n n xd x xdx x I n ----=-=--⎰⎰; ★★★8、().B = 思路:化无理式为有理式,三交换元; 解:11x x +=-令sin ,2x t t π=<,则cos dx tdt =;★★★9、设不定积分1(1)xxdx x xe +=+⎰1I ,若x u xe =,则有()D ; 思路:x u xe =,提示我们将被积函数的分子分母同乘以x e 后再积分;解:1(1)(1)(1)x x x xx e x dx dx x xe e x xe ++==++⎰⎰1I 又()(1);x x x du e xe dx e x dx =+=+2,(1)duI u u ∴==+⎰1I 选()D ;10、求下列不定积分:知识点:求无理函数的不定积分的综合考察; 思路分析:基本思路——将被积函数化为有理式;★★★★1、思路:先进行倒代换,在进行三角换元 ; 解:令1x t =,则21dx dt t=-; 令2tan ,02tu u π=<<,则22sec dtudu =;★★★2、.思路:进行三角换元,化无理式为有理式; 解:令sec ,02x t t π=<<,则sec tan ,dx t tdt =注: 11(arccos )(arcsin )xx''=-★★★3、.思路:进行三角换元,化无理式为有理式; 解:令sin ,02x t t π=<<,则cos dx tdt =;★★★★★4、思路:进行三角换元,化无理式为有理式; 解:令sin ,02x t t π=<<,则cos dxtdt =;★★★5、思路:进行三角换元,化无理式为有理式; 解:令2sin ,02x t t π=<<,则2cos dx tdt =;11、求下列不定积分:知识点:较复杂的分部积分法的考察;思路分析:基本思路——严格按照“反、对、幂、三、指”顺序凑微分;★★★1、ln(x dx +⎰思路:分部积分;解:ln(ln(x dx x x dx +=+-+⎰★★2、2ln(1)x dx +⎰思路:分部积分;解:222222222(1)2ln(1)ln(1)ln(1)11x x x dx x x dx x x dx x x +-+=+-=+-++⎰⎰⎰ 2221ln(1)22ln(1)22arctan 1x x dx dx x x x x C x=+-+=+-+++⎰⎰; ★★★★3、4tan sec x x xdx ⎰思路:分部积分; 解:4343tan sec sec sec sec sec (sec x x xdx x xd x x x x x ==-⎰⎰⎰★★★4、22arctan 1x xdx x +⎰思路:分项后分部积分;解:22222111arctan arctan arctan arctan 111x x xdx xdx xdx xdx x x x +-==-+++⎰⎰⎰⎰ ★★★★5、23ln(1)x dx x +⎰思路:分部积分后 倒代换;解:22222232ln(1)111ln(1)()ln(1)22221x x dx x d x x x xdx xx ---+=+-=-+++⎰⎰⎰ 对于积分2(1)dx x x +⎰应用倒代换,令1x t =,则21dx dt t =-, ★★★6、1cos xdx x +⎰思路:将被积函数变形后分部积分; 解:2221sec sec tan 1cos 222222cos 2xx x x x x dx dx x dx x d xd x x====+⎰⎰⎰⎰⎰ 11cos tanln tan ln 1cos 222x x xx C x x C +=++=+++; ★★★12、求不定积分:,n x n I x e dx n =⎰为自然数;知识点:较复杂的分部积分法的考察;思路分析:基本思路——严格按照“反、对、幂、三、指”顺序凑微分,推一个递推关系式; 解:1x I xe x C =-+★★★13、求不定积分:2(23)cos 2.x x xdx -+⎰知识点:较复杂的分部积分法的考察;思路分析:基本思路——严格按照“反、对、幂、三、指”顺序凑微分,分项后分别积分; 解:22(23)cos2cos22cos23cos2x x xdx x xdx x xdx xdx -+=-+⎰⎰⎰⎰14、求下列不定积分:知识点:求解较复杂的有理函数和无理函数的不定积分; 思路分析:基本思路——有理式分项、无理式化为有理式;★★★★1、118432x dxx x ++⎰思路:将被积函数化为一个整式加上一个真分式的形式,然后积分;。
第四章不定积分典型例题解析例1 求下列不定积分.(1)2dxx x ⎰. (2)3(1)(1)x x dx +-⎰.分析利用幂函数的积分公式111n n x dx x C n +=++⎰求积分时,应当先将被积函数中幂函数写成负指数幂或分数指数幂的形式.解(1)5322512252121()3dx x dx x C x C x x--+-==+=-++-⎰⎰. (2)35312222323122(1)(1)(1)353x x dx x x x dx x x x x C +-=+--=+--+⎰⎰.例2求21()x dx x+⎰. 分析 将被积函数的平方展开,可化为幂函数的和.解 122211()(2)x dx x x dx x x+=++⎰⎰12212x dx x dx dx x =++⎰⎰⎰ 32314ln 33x x x C =+++. 例3求下列不定积分.(1)2523x xxe dx ⋅-⋅⎰.(2)4223311x x dx x +++⎰.分析 (1)将被积函数拆开,用指数函数的积分公式;(2)分子分母都含有偶数次幂,将其化成一个多项式和一个真分式的和,然后即可用公式.解(1)22()5()2522332()5()3331ln 3ln 2ln 3x xxxx x x e e e dx dx dx C ⋅⋅⋅-⋅=-=-+--⎰⎰⎰. (2)42232233113arctan 11x x dx x dx dx x x C x x ++=+=++++⎰⎰⎰. 例4求下列不定积分.(1)24221(1)x x dx x x +++⎰. (2)421x dx x+⎰. (3)221(1)dx x x +⎰. 分析根据被积函数分子、分母的特点,利用常用的恒等变形,例如:分解因式、直接拆项、“加零”拆项、指数公式和三角公式等等,将被积函数分解成几项之和即可求解.解 (1)242222111(1)(1)1x x dx dx x x x x ++=+-++⎰⎰ 22111dx dx dx x x =+-+⎰⎰⎰1arctan x x C x=--+. (2)4422(1)111x x dx dx x x-+=++⎰⎰ 222(1)(1)11x x dx x -++=+⎰221(1)1x dx dx x =-++⎰⎰C x x x ++-=arctan 313. (3)22222211(1)(1)x x dx dx x x x x +-=++⎰⎰22111dx dx x x =-+⎰⎰1arctan x C x=--+.例5 求下列不定积分. (1)11cos2dx x +⎰. (2)cos2cos sin xdx x x-⎰.(3)2cot xdx ⎰. (4)22cos2sin cos xdx x x⎰.分析 当被积函数是三角函数时,常利用一些三角恒等式,将其向基本积分公式表中有的形式转化,这就要求读者要牢记基本积分公式表.解 (1)2111tan 1cos22cos 2dx dx x C x x ==++⎰⎰.(2)22cos2cos sin cos sin cos sin x x xdx dx x x x x-=--⎰⎰(cos sin )sin cos x x dx x x C =+=-+⎰.(3)22cot (csc 1)cot xdx x dx x x C =-=--+⎰⎰. (4)222222cos2cos sin sin cos sin cos x x xdx dx x x x x-=⎰⎰ 2211sin cos dx dx x x=-⎰⎰ 22csc sec xdx xdx =-⎰⎰cot tan x x C =--+.例6 求下列不定积分.(1)99(79)x dx -⎰. (2)12()nx ax b dx +⎰.(0a ≠) (3)232(cos )x dx x ⎰. (4)(1)x x +.(5)1sin(ln )x dx x ⎰. (6)211cos()dx x x⎰.(7)2cos sin 6sin 12xdx x x -+⎰. (8).(9). (10)2. (11)322(arctan )1x x dx x ++⎰.分析 这些积分都没有现成的公式可套用,需要用第一类换元积分法. 解 (1)999910011(79)(79)(79)(79)7700x dx x d x x C -=--=-+⎰⎰. (2)112221()()()2n nx ax b dx ax b d ax b a+=++⎰⎰12()2(1)n n n ax b C a n +=+++. (3)232(cos )x dx x ⎰333211tan 3(cos )3dx x C x ==+⎰.(4)2C ==.(5)1sin(ln )x dx x⎰sin(ln )(ln )cos(ln )x d x x C ==-+⎰.(6)211cos dx x x ⎰111cos ()sin d C x x x=-=-+⎰. (7)2cos sin 6sin 12xdxx x -+⎰2(sin 3)(sin 3)3d x C x -==+-+⎰. (8)(tan )arcsin(tan )x x C ==+.(9)12[1(cot )](cot )x d x =-+⎰12cot (cot )cot d x x d x =--⎰⎰ 322cot (cot )3x x C =--+.(10)2231arcsin (arcsin )(arcsin )3xd x x C ==+⎰.(11)322(arctan )1x x dx x ++⎰3222(arctan )11x x dx dx x x =+++⎰⎰ 32221(1)(arctan )(arctan )21d x x d x x +=++⎰⎰ 52212ln(1)(arctan )25x x C =+++.注 用第一类换元积分法(凑微分法)求不定积分,一般并无规律可循,主要依靠经验的积累.而任何一个微分运算公式都可以作为凑微分的运算途径.因此需要牢记基本积分公式,这样凑微分才会有目标.下面给出常见的12种凑微分的积分类型.(1)11()()()(0)n n n n f ax b x dx f ax b d ax b a na-+=++≠⎰⎰; (2)1()()ln x x x xf a a dx f a daa =⎰⎰; (3)(sin )cos (sin )(sin )f x xdx f x d x =⎰⎰;适用于求形如21sin cos m n x xdx +⎰的积分,(,m n 是自然数).(4)(cos )sin (cos )(cos )f x xdx f x d x =-⎰⎰;适用于求形如21sin cos m n x xdx -⎰的积分,(,m n 是自然数).(5)2(tan )sec (tan )(tan )f x xdx f x d x =⎰⎰; 适用于求形如2tan sec m n x xdx ⎰的积分,(,m n 是自然数).(6)2(cot )csc (cot )(cot )f x xdx f x d x =-⎰⎰;适用于求形如是2cot csc m n x xdx ⎰的积分,(,m n 是自然数).(7)1(ln )(ln )ln f x dx f x d x x=⎰⎰;(8)21(arcsin )(arcsin )(arcsin )1f x dx f x d x x =-⎰⎰;(9)21(arccos )(arccos )(arccos )1f x dx f x d x x =--⎰⎰;(10)2(arctan )(arctan )(arctan )1f x dx f x d x x =+⎰⎰;(11)2(cot )(cot )(cot )1f arc x dx f arc x d arc x x =-+⎰⎰; (12)()1(())()()f x dx d f x f x f x '=⎰⎰; 例7 求下列函数的不定积分: (1)3cos xdx ⎰.(2)4sin xdx ⎰. (3)sin7cos(3)4x x dx π-⎰.(4)6csc xdx ⎰. (5)34sin cos x xdx ⎰.(6)35sec tan x xdx ⎰.分析 在运用第一类换元法求以三角函数为被积函数的积分时,主要思路就是利用三角恒等式把被积函数化为熟知的积分,通常会用到同角的三角恒等式、倍角、半角公式、积化和差公式等.解(1)被积函数是奇次幂,从被积函数中分离出cos x ,并与dx 凑成微分(sin )d x ,再利用三角恒等式22sin cos 1x x +=,然后即可积分.322coscos (sin )(1sin )(sin )xdx xd x x d x ==-⎰⎰⎰2sin sin sin d x xd x =-⎰⎰31sin sin 3x x C =-+.(2)被积函数是偶次幂,基本方法是利用三角恒等式21cos2sin 2xx -=,降低被积函数的幂次.421cos2sin ()2x xdx dx -=⎰⎰311(cos2cos4)828x x dx =-+⎰311sin 2sin 48432x x x C =-++. (3)利用积化和差公式将被积函数化为代数和的形式.1sin7cos(3)[sin(4)sin(10)]4244x x dx x x dx πππ-=++-⎰⎰ 11sin(4)(4)sin(10)(10)8442044x d x x d x ππππ=+++--⎰⎰ 11cos(4)cos(10)84204x x C ππ=-+--+. (4)利用三角恒等式22csc 1cot x x =+及2csc (cot )xdx d x =-.622222csc (csc )csc (1cot )(cot )xdx x xdx x d x ==-+⎰⎰⎰24(12cot cot )cot x x d x =-++⎰3521cot cot cot 35x x x C =---+.(5)因为322sin sin (sin )sin (cos )xdx x xdx xd x ==-,所以3424sincos sin cos (cos )x xdx x xd x =-⎰⎰24(1cos )cos (cos )x xd x =--⎰46cos (cos )cos (cos )xd x xd x =-+⎰⎰5711cos cos 57x x C =-++. (6)由于sec tan (sec )x xdx d x =,所以3524sectan sec tan (sec )x xdx x xd x =⎰⎰222sec (sec 1)(sec )x x d x =-⎰642(sec 2sec sec )(sec )x x x d x =-+⎰ 753121sec sec sec 753x x x C =-++.注利用上述方法类似可求下列积分3sinxdx ⎰、2cos xdx ⎰、cos3cos2x xdx ⎰、6sec xdx ⎰、25sin cos x xdx ⎰,请读者自行完成.例8求下列不定积分:(1)x xdx e e -+⎰.(2)x x dx e e --⎰.(3)11x dx e +⎰. 分析 可充分利用凑微分公式:x x e dx de =;或者换元,令x u e =.解(1)x x dx e e-+⎰221arctan ()1()1x x x x x e dx de e C e e ===+++⎰⎰. (2)解法1 x x dx e e--⎰221()1()1x x x x e dx de e e ==--⎰⎰, 然后用公式2211ln 2x adx C x a a x a-=+-+⎰,则x x dx e e --⎰11ln 21x x e C e -=++.解法2x x dx e e --⎰21111()()1211x xx x x de de e e e ==---+⎰⎰ 1(1)(1)()211x x x x d e d e e e -+=--+⎰⎰ 11ln 21x x e C e -=++. (3)解法1 11x dx e+⎰1(1)11x x xx xe e e dx dx e e +-==-++⎰⎰ 1(1)1xxdx d e e =-++⎰⎰ln(1)x x e C =-++.解法211xdx e+⎰(1)ln(1)11x x x x x e d e dx e C e e -----+==-=-++++⎰⎰. 解法3 令x u e =,x du e dx =,则有11x dx e +⎰1111()ln()111udu du C u u u u u=⋅=-=++++⎰⎰ ln()ln(1)1xx xe C e C e-=+=-+++. 注在计算不定积分时,用不同的方法计算的结果形式可能不一样,但本质相同.验证积分结果是否正确,只要对积分的结果求导数,若其导数等于被积函数则积分的结果是正确的.例9求下列不定积分:(1)ln tan sin cos xdx x x⎰.(2)arctan (1)x x x +.分析 在这类复杂的不定积分的求解过程中需要逐步凑微分. 解 (1)2ln tan ln tan sin cos tan cos x xdx dx x x x x=⎰⎰ln tan (tan )ln tan (ln tan )tan x d x xd x x ==⎰⎰21ln (tan )2x C =+. (2)2arctan arctan 2(1)1()x x dx d x x x x =++⎰⎰22arctan (arctan )(arctan )xd x x C ==+⎰. 例10 求21arctan1x dx x +⎰.分析 若将积分变形为1arctan (arctan )d x x ⎰,则无法积分,但如果考虑到凑出1x,将被积函数变形为221arctan 111()x x x⋅+,再将21x 与dx 结合凑成1()d x -,则问题即可解决. 解2222111arctanarctan arctan11()1111()1()x x x dx dx d x x x x x=⋅=-+++⎰⎰⎰11arctan (arctan )d x x =-⎰211(arctan )2C x=-+.例11求21ln (ln )xdx x x +⎰. 分析 仔细观察被积函数的分子与分母的形式,可知(ln )1ln x x x '=+.解221ln 11(ln )(ln )(ln )ln x dx d x x C x x x x x x+==-+⎰⎰. 例12(04研) 已知()x x f e xe -'=,且(1)0f =,则()_________f x =. 分析 先求()f x ',再求()f x . 解令x e t =,即ln x t =,从而ln ()tf t t'=.故 2ln 1()ln (ln )ln 2x f x dx xd x x C x ===+⎰⎰, 由(1)0f =,得0C =,所以21()ln 2f x x =.例13求sin 22sin dxx x+⎰.分析 被积函数为三角函数,可考虑用三角恒等式,也可利用万能公式代换.解法1sin 22sin dx x x +⎰3122sin (cos 1)4sin cos 22x d dx x x x x ⎛⎫ ⎪⎝⎭==+⎰⎰22tan 1tan 1122tan 442tan cos tan222x x d x d x x x ⎛⎫+ ⎪⎛⎫⎝⎭== ⎪⎝⎭⎰⎰ 211tan ln tan 8242x xC =++. 解法2令cos t x =,则 sin 22sin dxx x +⎰2sin 2sin (cos 1)2sin (1cos )dx xdx x x x x ==++⎰⎰212(1)(1)dt t t =--+⎰21112811(1)dt t t t ⎛⎫=-++ ⎪-++⎝⎭⎰12(ln |1|ln |1|)81t t C t =--++++ 111ln(1cos )ln(1cos )884(1cos )x x C x =--++++. 解法3令tan 2x t =,则22sin 1t x t =+,221cos 1t x t -=+,221dx dt t =+,则 sin 22sin dx x x +⎰21111ln ||484t dt t t C t ⎛⎫=+=++ ⎪⎝⎭⎰ 211tan ln |tan |8242x xC =++.例14 求11dx x ++⎰.分析 被积函数含有根式,一般先设法去掉根号,这是第二类换元法最常用的手段之一. 解 设1x t +=,即21x t =-,2dx tdt =,则212(1)1111t dt dt t t x ==-++++⎰⎰⎰22ln 1t t C =-++212ln(11)x x C =+-+++例15 求455x x-+-⎰.分析 被积函数中有开不同次的根式,为了同时去掉根号,选取根指数的最小公倍数.解45x t -=,34dx t dt =-,则24414(1)1155dxt dt t dt t t x x-==--+++-+-⎰⎰⎰ 214(ln 1)2t t t C =--+++4414[55ln(15)]2x x x C =----++-+. 例16 243(1)(1)dxx x +-⎰解 令311x t x -=+,即3211x t =--,2326(1)t dx dt t =-,则 243(1)(1)dxx x +-⎰23322332164(1)1(1)(1)1dx t dt t t x tx t x ==⋅--⋅--+⎰⎰132313131()2221x dt C C t t x +==-⋅+=-+-⎰. 例17求224x x dx -⎰.分析被积函数中含有根式24x -,可用三角代换2sin x t =消去根式. 解 设242cos (0)2x t t π-=<<,2cos dx tdt =,则222244sin 2cos 2cos 4sin 2x x dx t t tdt t dt -=⋅⋅=⋅⎰⎰⎰12(1cos4)2sin 42t dt t t C =-=-+⎰222sin cos (12sin )t t t t C =--+2212arcsin 4(1)222x x x x C =---+.注1 对于三角代换,在结果化为原积分变量的函数时,常常借助于直角三角形.注2 在不定积分计算中,为了简便起见,一般遇到平方根时总取算术根,而省略负平方根情况的讨论.对三角代换,只要把角限制在0到2π,则不论什么三角函数都取正值,避免了正负号的讨论.例18 求221(1)dx x +⎰. 分析虽然被积函数中没有根式,但不能分解因式,而且分母中含有平方和,因此可以考虑利用三角代换,将原积分转换为三角函数的积分.解 设tan x t =,2sec dx tdt =,()2241sec x t +=,则222241sec cos (1)sec t dx dt tdt x t ==+⎰⎰⎰111(1cos2)sin 2224t dt t t C =+=++⎰ 21arctan 22(1)xx C x =+++. 例19求22x a dx x-⎰. 分析 被积函数中含有二次根式22x a -,但不能用凑微分法, 故作代换sec x a t =, 将被积函数化成三角有理式.解 令sec x a t =,sec tan dx a t tdt =⋅,则22x a dx x -⎰22tan sec tan tan (sec 1)sec a t a t tdt a tdt a t dt a t=⋅⋅==-⎰⎰⎰ (tan )a t t C =-+22(arccos )x a aa C a x-=-+.例20求248x dx x x ++⎰.解 由于2248(2)4x x x ++=++,故可设22tan x t +=,22sec dx tdt =,22(2tan 2)2sec 2sec tan 2sec 2sec 48xt t dx dt t tdt tdt t x x -⋅==-++⎰⎰⎰⎰12sec 2ln sec tan t t t C =-++22482ln(248)x x x x x C =+++++++.()12ln 2C C =+注 2ax bx c ++ 由 22222224()0244()024b ac b a x a a a ax bx c b b ac a x a a a ⎧-++>⎪⎪++⎨-⎪--++<⎪⎩可作适当的三角代换, 使其有理化.例21 求23(24)x x -+.解23(24)x x -+322[3(1)]dx x =+-⎰,令13x t -=,则322321sec 11cos sin 3sec 33[3(1)]dxt dt tdt t C t x ===++-⎰⎰⎰21324x C x x -=+-+. 故 23(24)dx x x -+⎰21324x C x x -=+-+.例22求421(1)dx x x +⎰.分析当有理函数的分母中的多项式的次数大于分子多项式的次数时,可尝试用倒代换.解 令1x t=,21dx dt t =-,于是421(1)dx x x +⎰44221111t t dt dt t t --+==-++⎰⎰221(1)1t dt dt t =---+⎰⎰31arctan 3t t t C =--+3111arctan 3C x x x=--+. 注有时无理函数的不定积分当分母次数较高时,也可尝试采用倒代换,请看下例. 例23 求22a x dx -. 解 设1x t=,2dtdx t =-,则2222241()dt a a xt t t -⋅--=1222(1)a t t dt =--⎰.当0x >时,1222222221(1)(1)2a x dx a t d a t a-=---⎰ 32222(1)3a t C a -=-+322223()3a x C a x -=-+.当0x <时,有相同的结果.故22a xdx-322223()3a x C a x -=-+.注1第二类换元法是通过恰当的变换,将原积分化为关于新变量的函数的积分,从而达到化难为易的效果,与第一类换元法的区别在于视新变量为自变量,而不是中间变量.使用第二类换元法的关键是根据被积函数的特点寻找一个适当的变量代换.注2 用第二类换元积分法求不定积分,应注意三个问题: (1)用于代换的表达式在对应的区间内单调可导,且导数不为零. (2)换元后的被积函数的原函数存在. (3)求出原函数后一定要将变量回代.注3 常用的代换有:根式代换、三角代换与倒代换.根式代换和三角代换常用于消去被积函数中的根号,使其有理化,这种代换使用广泛.而倒代换的目的是消去或降低被积函数分母中的因子的幂.注4 常用第二类换元法积分的类型: (1)(,),n n f x ax b dx t ax b +=+⎰令. (2)(,),nnax b ax bf x dx t cx d cx d++=++⎰令. (3)222(,)f x a b x dx -⎰,可令sin a x t b =或cos ax t b =. (4)222(,)f x a b x dx +⎰,可令tan a x t b =或ax sht b =.(5)222(,)f x b x a dx -⎰,可令sec a x t b =或ax cht b=.(6)当被积函数含有22(40)px qx r q pr ++-<时,利用配方与代换可化为以上(3),(4),(5)三种情形之一.(7)当被积函数分母中含有x 的高次幂时,可用倒代换1x t=.例24求下列不定积分:(1)3x xe dx -⎰.(2)2sin 4x xdx ⎰.(3)2ln x xdx ⎰.(4)arcsin xdx ⎰. (5)arctan x xdx ⎰.(6)sin ax e bxdx ⎰22(0)a b +≠.分析上述积分中的被积函数是反三角函数、对数函数、幂函数、指数函数、三角函数中的某两类函数的乘积,适合用分部积分法.解(1)3x xe dx -⎰33333111()33339xx x x x x x xd e e e dx e e C -----=-=-+=--+⎰⎰. (2)2sin 4x xdx ⎰2211(cos4)cos4cos4442x x d x x x xdx =-=-+⎰⎰22111cos4(sin 4)cos4sin 4sin 448488x x x xd x x x x xdx =-+=-+-⎰⎰211cos4sin 4cos44832x x x x x C =-+++.(3)2ln x xdx ⎰3333211ln ()ln ln 33339x x x xd x x x dx x C ==-=-+⎰⎰.(4)解法1 arcsin xdx ⎰22arcsin arcsin 11x x dx x x x C x =-=+-+-⎰.解法2 令arcsin t x =,即sin x t =,则arcsin (sin )sin sin sin cos xdx td t t t tdt t t t C ==-=++⎰⎰⎰2arcsin 1x x x C =+-+(5)解法1 arctan x xdx ⎰222211arctan arctan 2221x x xdx x dx x ==-+⎰⎰2211arctan (1)221x x dx x =--+⎰ 21arctan arctan 222x x x x C =-++. 解法221arctan arctan (1)2x xdx xd x =+⎰⎰ 22111arctan arctan 2222x x xx dx x C ++=-=-+⎰.(6)解法1sin axe bxdx ⎰11sin ()sin cos axax ax b bxd e e bx e bxdx a a a ==-⎰⎰ 21sin cos ()ax ax be bx bxd e a a=-⎰2221sin cos sin ax ax axb b e bx e xbx e bxdx a a a=--⎰ 从而21221(1)sin sin cos ax ax ax b be bxdx e bx e bx C a a a+=-+⎰,则221sin (sin cos )ax axe bxdx e a bx b bx C a b =-++⎰.解法21sin cos axaxe bxdx e d bx b =-⎰⎰,然后用分部积分,余下的解答请读者自行完成. 注在用分部积分法求()f x dx ⎰时关键是将被积表达式()f x dx 适当分成u 和dv 两部分.根据分部积分公式udv uv vdu =-⎰⎰,只有当等式右端的vdu 比左端的udv 更容易积出时才有意义,即选取u 和dv 要注意如下原则:(1)v 要容易求;(2)vdu ⎰要比udv ⎰容易积出. 例25求cos ln(cot )x x dx ⎰.分析 被积函数为三角函数与对数函数的乘积, 可采用分部积分法. 解cos ln(cot )ln(cot )(sin )x x dx x d x =⎰⎰21sin ln(cot )sin (csc )cot x x x x dx x=⋅-⋅⋅-⎰ sin ln(cot )sec x x xdx =⋅+⎰ sin ln(cot )ln sec tan x x x x C =+++例26求2ln(1)x x dx ++⎰.分析 被积函数可以看成是多项式函数与对数函数的乘积,可采用分部积分法.解 2222112ln(1)ln(1)(1)211xx x dx x x x x dx x x x++=++-⋅⋅+⋅+++⎰⎰22ln(1)1x x x x dx x=++-+⎰122221ln(1)(1)(1)2x x x x d x -=++-++⎰22ln(1)1x x x x C =++-++.例27求1x xxe dx e -⎰.分析 可利用凑微分公式x x e dx de =,然后用分部积分;另外考虑到被积函数中含有根式,也可用根式代换.解法11x x dx e -⎰2(1)1x x x xd e e ==--⎰⎰211x x x e e dx ⎡⎤=---⎣⎦⎰, 令1x t e =-,则2ln(1)x t =+,221tdtdx t=+,则 212122(arctan )1xt dte dx t t C t -==-++⎰⎰,故1x x dx e -⎰()21212arctan 1x x x x e e e Cz =---+-+21414arctan 1x x x x e e e C =---+-+.解法21x e tz -=,则1xx xe dx e -⎰22222ln(1)2ln(1)41t t dt t t dt t =+=+-+⎰⎰ 22ln(1)44arctan t t t t C =+-++21414arctan 1x x x x e e e C =---+-+.注求不定积分时,有时往往需要几种方法结合使用,才能得到结果. 例28(01研) 求2arctan xxe dx e⎰. 分析 被积函数是指数函数和反三角函数的乘积,可考虑用分部积分法. 解法12arctan x xe dx e ⎰222211arctan ()arctan 22(1)x x x x xx x de e d e e e e e --⎡⎤=-=--⎢⎥+⎣⎦⎰⎰ 21arctan arctan 2x x x xe e e e C --⎡⎤=-+++⎣⎦. 解法2 先换元,令x e t =,再用分部积分法,请读者自行完成余下的解答.例29 求3csc xdx ⎰.分析 被积函数含有三角函数的奇次幂,往往可分解成奇次幂和偶次幂的乘积,然后凑微分,再用分部积分法.解32csc csc (csc )csc (cot )xdx x x dx xd x ==-⎰⎰⎰ 2csc cot cot csc x x x xdx =--⋅⎰ 3csc cot csc csc x x xdx xdx =--+⎰⎰ 3csc cot csc ln csc cot x x xdx x x =--+-⎰,从而31csc (csc cot ln csc cot )2xdx x x x x C =---+⎰. 注用分部积分法求不定积分时,有时会出现与原来相同的积分,即出现循环的情况,这时只需要移项即可得到结果. 例30求下列不定积分:(1)22221(1)x x x e dx x ---⎰. (2)2ln 1(ln )x dx x -⎰. 解(1)2222222112(1)1(1)xx xx x xdx e dx e dx e x x x --=----⎰⎰⎰ 221()11x x e dx e d x x =+--⎰⎰ 22221111x x x x e e e e dx dx C x x x x =+-=+----⎰⎰.(2)22ln 111(ln )ln (ln )x dx dx dx x x x -=-⎰⎰⎰ 221ln (ln )(ln )x x dx dx x x x x =+-⎰⎰ ln xC x=+. 注将原积分拆项后,对其中一项分部积分以抵消另一项,或对拆开的两项各自分部积分后以抵消未积出的部分,这也是求不定积分常用的技巧之一.例31 求sin(ln )x dx ⎰.分析 这是适合用分部积分法的积分类型,连续分部积分,直到出现循环为止. 解法1 利用分部积分公式,则有1sin(ln )sin(ln )cos(ln )x dx x x x x dx x=-⋅⎰⎰ sin(ln )cos(ln )x x x dx =-⎰sin(ln )cos(ln )sin(ln )x x x x x dx =--⎰,所以1sin(ln )[sin(ln )cos(ln )]2x dx x x x C =-+⎰. 解法2 令 ln x t =,t dx e dt =,则sin(ln )x dx ⎰=sin sin sin sin cos sin t t t t t te tdt e t e tdt e t e t e tdt =-=--⎰⎰⎰,所以11sin(ln )(sin cos )[sin(ln )cos(ln )]22t tx dx e t e t C x x x C =-+=-+⎰. 例32 求ln n n I xdx =⎰,其中n 为自然数. 分析 这是适合用分部积分法的积分类型. 解11ln ln ln ln n n n n n n I xdx x x n xdx x x nI --==-=-⎰⎰,即1ln n n n I x x nI -=-为所求递推公式.而1ln ln ln I xdx x x dx x x x C ==-=-+⎰⎰.注1 在反复使用分部积分法的过程中,不要对调u 和v 两个函数的“地位”,否则不仅不会产生循环,反而会一来一往,恢复原状,毫无所得.注2 分部积分法常见的三种作用: (1)逐步化简积分形式; (2)产生循环;(3)建立递推公式.例33求积分24411(21)(23)(25)x x dx x x x +--+-⎰.分析 计算有理函数的积分可分为两步进行,第一步:用待定系数法或赋值法将有理分式化为部分分式之和;第二步:对各部分分式分别进行积分.解 用待定系数法将24411(21)(23)(25)x x x x x +--+-化为部分分式之和.设24411(21)(23)(25)212325x x A B Cx x x x x x +-=++-+--+-, 用(21)(23)(25)x x x -+-乘上式的两端得24411(23)(25)(21)(25)(21)(23)x x A x x B x x C x x +-=+-+--+-+,两端都是二次多项式,它们同次幂的系数相等,即131155311A B C A B C A B C ++=⎧⎪--+=⎨⎪-+-=-⎩, 这是关于A ,B ,C 的线性方程组,解之得12A =,14B =-,34C =.由于用待定系数法求A ,B ,C 的值计算量大,且易出错,下面用赋值法求A ,B ,C .因为等式24411(23)(25)(21)(25)(21)(23)x x A x x B x x C x x +-=+-+--+-+是恒等式,故可赋予x 为任何值.令 12x =,可得12A =.同样,令32x =-得14B =-,令52x =,得34C =,于是 24411(21)(23)(25)x x dx x x x +--+-⎰111131221423425dx dx dx x x x =-+-+-⎰⎰⎰ 113ln 21ln 23ln 25488x x x C =--++-+ 231(21)(25)ln 823x x C x --=++. 例34 求321452dx x x x +++⎰.解 32452x x x +++是三次多项式,分解因式 32322452()3()2(1)x x x x x x x x +++=+++++22(1)(32)(1)(2)x x x x x =+++=++设221(1)(2)21(1)A B Cx x x x x =+++++++,即2()(23)(22)1A B x A B C x A B C +++++++=,从而0230221A B A B C A B C +=⎧⎪++=⎨⎪++=⎩, 解得1A =,1B =-,1C =,因此3221111()45221(1)dx dx x x x x x x -=++++++++⎰⎰ 211121(1)dx dx dx x x x =-++++⎰⎰⎰ 1ln 2ln 11x x C x =+-+-++. 例35求22(1)(1)dxx x x +++⎰.解因为222211(1)(1)11x x x x x x x x -+=+++++++,所以22221()(1)(1)11dx x x dx x x x x x x -+=+++++++⎰⎰222221(1)1(1)1212121d x d x x dxx x x x x +++=-+++++++⎰⎰⎰ 2221()1112ln(1)ln(1)13222()24d x x x x x +=-+++++++⎰ 2211321ln arctan 2133x x C x x ++=-++++.例36求2425454x x dx x x ++++⎰.解设24222545414x x Ax B Cx D x x x x ++++=+++++,则有 23254()()(4)4x x A C x B D x A C x B D ++=+++++++,比较两边同次幂的系数,解得53A =,1B =,53C =-,0D =,从而 24222541535543134x x x xdx dx dx x x x x +++=-++++⎰⎰⎰2222255151ln arctan 3134164x x x dx dx dx x C x x x x +=-+=++++++⎰⎰⎰. 例37 求322456x x dx x x +++⎰.分析 322456x x x x +++是假分式,先化为多项式与真分式之和,再将真分式分解成部分分式之和.解 由于32224615656x x x x x x x x +-=--++++ 98132x x x =--+++,则 322498(1)5632x x dx x dx x x x x +=--+++++⎰⎰219ln 38ln 22x x x x C =--++++. 例38 求5632x dxx x --⎰.解 令3u x =,23du x dx =,则533636321()123232x dx x d x udux x x x u u ==------⎰⎰⎰ 1112()3(1)(2)912u du du u u u u ==++-+-⎰⎰332121ln 1ln 2ln (1)(2)999u u C x x C =++-+=+-+. 例39 求2100(1)x dx x -⎰. 分析 被积函数2100(1)x x -是有理真分式,若按有理函数的积分法来处理,那么要确定1A ,2A ,…,100A ,比较麻烦.根据被积函数的特点:分母是x 的一次因式,但幂次较高,而分子是x 的二次幂,可以考虑用下列几种方法求解.解法1 令1x t -=,dx dt =-,则222100100100(1)21(1)x t t t dx dt dt x t t --+=-=--⎰⎰⎰98991002t dt t dt t dt ---=-+-⎰⎰⎰9798991112979899t t t C ---=-⋅++ 979899111(1)(1)(1)974999x x x C ---=---+-+. 解法222100100(1)1(1)(1)x x dx dx x x -+=--⎰⎰9910011(1)(1)x dx dx x x +=-+--⎰⎰ 99100(1)21(1)(1)x dx dx x x --=+--⎰⎰ 98991001112(1)(1)(1)dx dx dx x x x =-+---⎰⎰⎰ 979899111(1)(1)(1)974999x x x C ---=---+-+. 解法3 用分部积分法.22991001[(1)](1)99x dx x d x x -=--⎰⎰29999299(1)99(1)x x dx x x =---⎰2989921[(1)]99(1)9998x xd x x -=---⎰ 299989821[]99(1)9998(1)98(1)x x dx x x x =-----⎰ 299989712199(1)9949(1)999897(1)x x C x x x =-⋅-⋅+--⋅-. 注 形如()()P x Q x 的(()P x 与()Q x 均为多项式)有理函数的积分关键是将有理真分式分解成部分分式之和,而部分分式都有具体的积分方法,对于假分式则要化为真分式与多项式之和.例40 求13221dx x x ++-⎰. 分析 这是无理函数的积分,先要去掉根号化为有理函数的积分,分子分母有理化是常用去根号的方法之一.解132213221(3221)(3221)x x dx dx x x x x x x +--=++-++-+--⎰⎰112211(32)(21)44x dx x dx =+--⎰⎰ 332211(32)(21)1212x x C =+--+. 例41 求a xdx a x+-⎰. 解法12222221a x a x xdx dx a dx dx a x a x a x a x++==+----⎰⎰⎰⎰ 1222222211()()2a dx a x d a x a x -=----⎰⎰ 22arcsin xa a x C a=--+.解法2 令 a xt a x+=-,余下的请读者自行完成. 例42求154sin 2dx x+⎰.分析被积函数是三角有理函数,可用万能公式将它化为有理函数. 解令tan t x =,211dx dt t=+,则 21154sin 2585dx dt x t t =+++⎰⎰54332543311()3()1d t t =+++⎰154arctan()333t C =++154arctan(tan )333x C =++. 注虽然万能代换公式总能求出积分,但对于具体的三角有理函数的积分不一定是最简便的方法.通常要根据被积函数的特点,采用三角公式简化积分.例43求1sin cos dxx x++⎰.解法1令tan 2xu =,则2222211211sin cos 1111dx u du du u u x x u u u +==-+++++++⎰⎰⎰ln 1tan 2x C =++.解法21sin cos dxx x ++⎰22122sin cos 2cos cos (1tan )22222dx dx x x x x x ==++⎰⎰ 2()(tan )22cos (1tan )1tan222x x d d x x x==++⎰⎰ ln 1tan2xC =++. 注 可化为有理函数的积分主要要求熟练掌握如下两类: 第一类是三角有理函数的积分,即可用万能代换tan2xu =将其化为u 的有理函数的积分. 第二类是被积函数的分子或分母中带有根式而不易积出的不定积分.对于这类不定积分,可采用适当的变量代换去掉根号,将被积函数化为有理函数的积分.常用的变量代换及适用题型可参考前面介绍过的第二类换元法.例44 求2max{,1}x dx ⎰.分析 被积函数2max{,1}x 实际上是一个分段连续函数,它的原函数()F x 必定为连续函数,可先分别求出各区间段上的不定积分, 再由原函数的连续性确定各积分常数之间的关系.解 由于221,()max{,1}1,1x x f x x x >⎧==⎨≤⎩,设()F x 为()f x 的原函数,则312331,13(),11,13x C x F x x C x x x C ⎧+⎪<-⎪=+≤⎨⎪>⎪+⎩,其中1C ,2C ,3C 均为常数,由于()F x 连续,所以121(1)(1)13F C F C -+-=-+=-=-,231(1)1(1)3F C F C -+=+==+,于是1223C C =-+,3223C C =+,记 2C C =,则32312,133max{,1},112,133x C x x dx x C x x x C⎧-+⎪<-⎪=+≤⎨⎪>⎪++⎩⎰. 注对于一些被积函数中含有绝对值符号的不定积分问题,也可以仿照上述方法处理. 例45 求x e dx -⎰. 解 当0x ≥时,1xx xe dx e dx e C ---==-+⎰⎰. 当0x <时,2xx x edx e dx e C -==+⎰⎰.因为函数x e -的原函数在(,)-∞+∞上每一点都连续,所以120lim()lim()x xx x e C e C +--→→-+=+, 即1211C C -+=+,122C C =+,记 2C C =,则2,0,0xxxe C x e dx x e C --⎧-++≥⎪=⎨<+⎪⎩⎰. 错误解答 当0x ≥时,1xx x edx e dx e C ---==-+⎰⎰.当0x <时,2xx x edx e dx e C -==+⎰⎰.故12,0,0xxxe C x e dx e C x --⎧-+≥⎪=⎨+<⎪⎩⎰. 错解分析 函数的不定积分中只能含有一个任意常数,这里出现了两个,所以是错误的.事实上,被积函数x e -在(,)-∞+∞上连续,故在(,)-∞+∞上有原函数,且原函数在(,)-∞+∞上每一点可导,从而连续.可据此求出任意常数1C 与2C 的关系,使x e -的不定积分中只含有一个任意常数.注 分段函数的原函数的求法:第一步,判断分段函数是否有原函数.如果分段函数的分界点是函数的第一类间断点, 那么在包含该点的区间内,原函数不存在.如果分界点是函数的连续点,那么在包含该点的区间内原函数存在.第二步,若分段函数有原函数,先求出函数在各分段相应区间内的原函数,再根据原函数连续的要求,确定各段上的积分常数,以及各段上积分常数之间的关系.例46 求下列不定积分:(1)sin 1cos x x dx x ++⎰.(2)3sin 2cos sin cos xx x xe dx x-⎰.(3)cot 1sin xdx x+⎰.(4)3sin cos dxx x⎰. 解(1)注意到sin (1cos )xdx d x =-+及2211(tan )1cos 2cos 2xxdx dx d x ==+,可将原来的积分拆为两项,然后积分,即sin sin 1cos 1cos 1cos x x x xdx dx dx x x x +=++++⎰⎰⎰1(tan )(1cos )21cos x xd d x x =-++⎰⎰tan tan ln(1cos )22x xx dx x =--+⎰1tan 2ln cos ln(1cos )22x xx x C =+-++21tan2ln cos ln(2cos )222x x xx C =+-+ 1tan (ln 2)2x x CC C =+=-.(2)被积函数较为复杂,直接凑微分或分部积分都比较困难,不妨将其拆为两项后再观察.3sin sin sin 2cos sin cos tan sec cos xx x x x xedx e x xdx e x xdx x-=-⎰⎰⎰ sin sin ()(sec )x x xd e e d x =-⎰⎰sin sin sin sin sec x x x x xe e dx e x e dx =--+⎰⎰ sin (sec )x e x x C =-+.(3)cot cos 1(sin )1sin sin (1sin )sin (1sin )x x dx dx d x x x x x x ==+++⎰⎰⎰11(sin )(sin )sin 1sin d x d x x x =-+⎰⎰ sin ln 1sin x C x=++.(4)当分母是sin cos m n x x 的形式时,常将分子的1改写成22sin cos x x +,然后拆项,使分母中sin x 和cos x 的幂次逐步降低直到可利用基本积分公式为止.33cos sin cos sin cos sin dx dx xdx x x x x x =+⎰⎰⎰3sin 2csc2sin d xxdx x =+⎰⎰21ln csc2cot 22sin x x C x=--+.注将被积函数拆项,把积分变为几个较简单的积分,是求不定积分常用的技巧之一.例47 求223(1)x dx x -⎰.解 考虑第二类换元积分法与分部积分法,令sin x t =,则222353235sin tan sec (sec sec )(1)cos x t dx dt t tdt t t dt x t ===--⎰⎰⎰⎰, 而53323secsec (tan )sec tan 3tan sec tdt td t t t t tdt ==-⎰⎰⎰ 353sec tan 3(sec sec )t t t t dt =--⎰.故53313sec sec tan sec 44tdt t t tdt =+⎰⎰. 又32secsec (tan )sec tan tan sec tdt td t t t t tdt ==-⎰⎰⎰ 3sec tan (sec sec )t t t t dt =--⎰,从而3111sec sec tan ln sec tan 22tdt t t t t C =+++⎰, 所以223(1)x dx x -⎰3311sec tan sec 44t t tdt =-⎰3111sec tan sec tan ln sec tan 488t t t t t t C =--++ 32211ln 8(1)161x x xC x x++=-+--.例48 求7cos 3sin 5cos 2sin x xdx x x-+⎰.解因为(5cos 2sin )2cos 5sin x x x x '+=-,所以可设7cos 3sin (5cos 2sin )(5cos 2sin )x x A x x B x x '-=+++,即7cos 3sin (5cos 2sin )(2cos 5sin )x x A x x B x x -=++-,比较系数得527253A B A B +=⎧⎨-=-⎩, 解之得1A =,1B =,故7cos 3sin 5cos 2sin x x dx x x -+⎰(5cos 2sin )(5cos 2sin )5cos 2sin x x x x dx x x'+++=+⎰ (5cos 2sin )5cos 2sin d x x dx x x+=++⎰⎰ln 5cos 2sin x x x C =+++.例49 设()F x 是()f x 的原函数,且当0x ≥时有2()()sin 2f x F x x ⋅=,又(0)1F =,()0F x ≥,求()f x .分析 利用原函数的定义,结合已知条件先求出()F x ,然后求其导数即为所求.解 因为()()F x f x '=,所以2()()sin 2F x F x x '=,两边积分得2()()sin2F x F x dx xdx '=⎰⎰,即211()sin 4228x F x x C =-+, 由(0)1F =得12C =,所以 1()sin 414F x x x =-+从而()()12sin 414f x F x x x '==-+21sin 414x x =-+.。
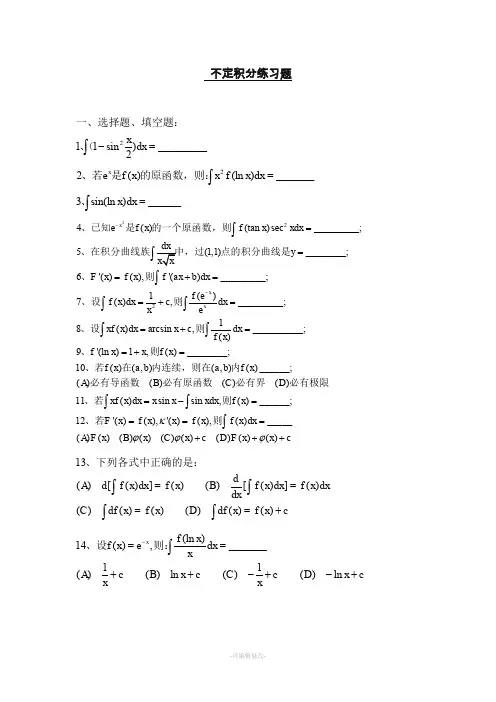
不定积分练习题211sin )_________2xdx -=⎰一、选择题、填空题:、( 22()(ln )_______x e f x x f x dx =⎰、若是的原函数,则:3sin(ln )______x dx =⎰、2224()(tan )sec _________;5(1,1)________;6'()(),'()_________;1()7(),_________;18()arcsin ,______()x x xe f x f x xdx dxy x xF x f x f ax b dx f e f x dx c dx x e xf x dx x c dx f x --===+==+==+=⎰⎰⎰⎰⎰⎰⎰、已知是的一个原函数,则、在积分曲线族中,过点的积分曲线是、则、设则、设则____;9'(ln )1,()________;10()(,)(,)()______;()()()()11()sin sin ,()______;12'()(),'()(),()_____()()()()()(f x x f x f x a b a b f x A B C D xf x dx x x xdx f x F x f x x f x f x dx A F x B x C x κϕϕ=+==-====⎰⎰⎰、则、若在内连续,则在内必有导函数必有原函数必有界必有极限、若则、若则)()()()c D F x x cϕ+++13()[()]()()[()]()()()()()()()dA d f x dx f xB f x dx f x dx dxC df x f xD df x f x c====+⎰⎰⎰⎰、下列各式中正确的是: (ln )14(),_______11()()ln ()()ln x f x f x e dx xA cB x cC cD x cxx-==++-+-+⎰、设则:115______(1)1()arcsin ()arcsin ()2arcsin(21)2()arcsin(21)dx x x A x c B x cC x cD x c=-++-+-+⎰、16()[,][,]()()()()()()()()'()f x a b a b A f x B f x C f x D f x f x 、若在上的某原函数为零,则在上必有____的原函数恒等于零;的不定积分恒等于零;恒等于零;不恒等于零,但导函数恒为零。
第4章不定积分
习题4-1
1.求下列不定积分:
知识点:直接积分法的练习——求不定积分的基本方法。
思路分析:利用不定积分的运算性质和基本积分公式,直接求出不定积分!
★(1)
思路: 被积函数5
2
x -=,由积分表中的公式(2)可解。
解:53
22
23x dx x C --==-+⎰
★(2)dx
⎰
思路:根据不定积分的线性性质,将被积函数分为两项,分别积分。
解:1
14111
3332223()2
4dx x x dx x dx x dx x x C ---=-=-=-+⎰⎰⎰⎰ ★(3)22x x dx +⎰()
思路:根据不定积分的线性性质,将被积函数分为两项,分别积分。
解:22
32122ln 23x x x x dx dx x dx x C +=+=++⎰⎰⎰()
★(4)3)x dx - 思路:根据不定积分的线性性质,将被积函数分为两项,分别积分。
解:3153
222223)325x dx x dx x dx x x C -=-=-+⎰⎰⎰ ★★(5)4223311x x dx x +++⎰
思路:观察到422223311311
x x x x x ++=+++后,根据不定积分的线性性质,将被积函数分项,分别积分。
解:42232233113arctan 11x x dx x dx dx x x C x x
++=+=++++⎰⎰⎰ ★★(6)2
21x dx x +⎰
思路:注意到222221111111x x x x x +-==-+++,根据不定积分的线性性质,将被积函数分项,分别积分。
不定积分例题及参考答案87427763不定积分例题及参考答案第4章不定积分内容概要课后习题全解 习题4-11.求下列不定积分:知识点:直接积分法的练习——求不定积分的基本方法。
思路分析:利用不定积分的运算性质和基本积分公式,直接求出不定积分! ★(1)思路: 被积函数52x-=,由积分表中的公式(2)可解。
解:532223x dx x C--==-+⎰★(2)dx⎰思路:根据不定积分的线性性质,将被积函数分为两项,分别积分。
解:1141113332223()24dx x x dx x dx x dx x x C ---=-=-=-+⎰⎰⎰⎰★(3)22xx dx+⎰()思路:根据不定积分的线性性质,将被积函数分为两项,分别积分。
解:2232122ln 23x xxx dx dx x dx x C +=+=++⎰⎰⎰()★(4)3)x dx-思路:根据不定积分的线性性质,将被积函数分为两项,分别积分。
解:3153222223)325x dx x dx x dx x x C-=-=-+⎰⎰★★(5)4223311x x dxx +++⎰思路:观察到422223311311x x x x x ++=+++后,根据不定积分的线性性质,将被积函数分项,分别积分。
解:42232233113arctan 11x x dx x dx dx x x C x x ++=+=++++⎰⎰⎰★★(6)221x dxx +⎰思路:注意到222221111111x x x x x +-==-+++,根据不定积分的线性性质,将被积函数分项,分别积分。
解:2221arctan .11x dx dx dx x x C x x =-=-+++⎰⎰⎰注:容易看出(5)(6)两题的解题思路是一致的。
一般地,如果被积函数为一个有理的假分式,通常先将其分解为一个整式加上或减去一个真分式的形式,再分项积分。
★(7)x dx x x x⎰34134(-+-)2 思路:分项积分。
第 4 章不定积分知识点:直接积分法的练习——求不定积分的基本方法。
思路分析:利用不定积分的运算性质和基本积分公式,直接求出不定积分!d ⎡⎰ ⎤ ⎡⎰ ⎤ 性质 1: f (x )dx = f (x ) 或 d f (x )dx = f (x )dx ;dx ⎣⎦⎣⎦性质 2: ⎰ F '(x )dx = F (x ) + C 或⎰ dF (x ) = F (x ) + C ; 性质 3:⎰[f (x ) ± g (x )]dx =⎰ f (x )dx ± ⎰ g (x )dx ,,为非零常数。
设 f (u ) 的 原函数为 F (u ) , u =(x ) 可导,则有换元公式:⎰ f ((x ))'(x )dx = ⎰ f ((x ))d(x ) = F ((x )) + C设 x =(t ) 单调、可导且导数不为零, f [(t )]'(t ) 有原函数 F (t ) ,则⎰ f (x )dx = ⎰ f ((t ))'(t )dt = F (t ) + C = F (-1(x )) + Cx 2 xx 2x⎰ x1 ★(1)⎰思路: 被积函数1 = x- 5 2,由积分表中的公式(2)可解。
解 :⎰dx= ⎰ x 1- 52 2dx = - 3 - 3 x 2+ C★(2) ⎰( -dx x思路:根据不定积分的线性性质,将被积函数分为两项,分别积分。
11-11- 1 3 41解: ⎰ ( 3 x - )dx = ⎰ (x 3 - x 2 )dx = ⎰ x 3dx - ⎰ x 2dx = x 3 - 2x 2 + C 4★(3) ⎰(2x+ x 2)dx思路:根据不定积分的线性性质,将被积函数分为两项,分别积分。
x2x22x1 3解: ⎰(2 + x )dx = ⎰ 2 dx + x dx = + x + Cln 2 3★(4)⎰x (x - 3)dx思路:根据不定积分的线性性质,将被积函数分为两项,分别积分。
不定积分测验题一、 选择题:1、 设)(,)(21x F x F 是区间I 内连续函数)(x f 的两个不同的原函数,且0)(≠x f ,则在区间I 内必有( )(A ) C x F x F =+)()(21;(B ) C x F x F =⋅)()(21;(C ) )()(21x CF x F =;(D ) C x F x F =-)()(21.2、若,)()('x f x F =则⎰)(x dF =( )(A ))(x f ; (B ) )(x F ;(C )C x f +)(; (D ) C x F +)(.3、)(x f 在某区间内具备了条件( )就可保证它的原函数一定存在(A ) 有极限存在;(B ) 连续;(C )有界;(D )有有限个间断点4、下列结论正确的是( )(A ) 初等函数必存在原函数;(B ) 每个不定积分都可以表示为初等函数;(C ) 初等函数的原函数必定是初等函数;(D ) C B A ,,都不对 .5、函数2)()(x x x f +=的一个原函数=)(x F ( ) (A)334x ; (B)234x x ; (C))(3222x x x +; (D))(322x x x + .6、已知一个函数的导数为x y 2=',21==y x 时且,这个函数是( )(A );2C x y +=(B );12+=x y (C )C x y +=22; (D ).1+=x y7、下列积分能用初等函数表出的是( )(A )⎰-dx e x 2; (B )⎰+31xdx ; (C )⎰dx x ln 1; (D )⎰dx xx ln . 8、⎰+=,)()(C x F dx x f 且,b at x +=则⎰=dt t f )(( )(A )C x F +)(; (B )C t F +)(;(C )C b at F a ++)(1;(D )C b at F ++)(.9、⎰=dx xx 2ln ( ) (A )C xx x ++1ln 1; (B )C xx x ++-1ln 1; (C )C xx x +-1ln 1; (D )C xx x +--1ln 1.10、⎰=+10)14(x dx ( ) (A )C x ++9)14(191; (B )C x ++9)14(1361; (C )C x ++-9)14(1361; (D )C x ++-11)14(1361.二、求下列不定积分:1、⎰dx xx 1cos 12; 2、⎰++522x x dx ; 3、⎰++++dx xx x 2215)1ln(; 4、⎰+)1(2x x e e dx ;测验题答案一、1、D ;2、D ;3、B ;4、D ;5、D ;6、B ;7、D ;8、B ;9、D ; 10、C.二、1、C x+-1sin ; 2、C x ++21arctan 21; 3、C x x ++++322]5)1[ln(32; 4、C e e x x +---)arctan(;。
第4章不定积分内容概要课后习题全解习题4-11.求下列不定积分:知识点:直接积分法的练习——求不定积分的基本方法。
思路分析:利用不定积分的运算性质和基本积分公式,直接求出不定积分!★(1)思路: 被积函数52x-=,由积分表中的公式(2)可解。
解:532223x dx x C --==-+⎰★(2)dx-⎰思路:根据不定积分的线性性质,将被积函数分为两项,分别积分。
解:1141113332223()24dx x x dx x dx x dx x x C --=-=-=-+⎰⎰⎰⎰★(3)22xx dx +⎰()思路:根据不定积分的线性性质,将被积函数分为两项,分别积分。
解:2232122ln 23x xxx dx dx x dx x C +=+=++⎰⎰⎰()★(4)3)x dx -思路:根据不定积分的线性性质,将被积函数分为两项,分别积分。
解:3153222223)325x dx x dx x dx x x C -=-=-+⎰⎰⎰★★(5)4223311x x dx x +++⎰思路:观察到422223311311x x x x x ++=+++后,根据不定积分的线性性质,将被积函数分项,分别积分。
解:42232233113arctan 11x x dx x dx dx x x C x x ++=+=++++⎰⎰⎰ ★★(6)221x dx x +⎰思路:注意到222221111111x x x x x +-==-+++,根据不定积分的线性性质,将被积函数分项,分别积分。
解:2221arctan .11x dx dx dx x x C x x =-=-+++⎰⎰⎰注:容易看出(5)(6)两题的解题思路是一致的。
一般地,如果被积函数为一个有理的假分式,通常先将其分解为一个整式加上或减去一个真分式的形式,再分项积分。
★(7)x dx x x x⎰34134(-+-)2 思路:分项积分。
解:3411342x dx xdx dx x dx x dx x x x x --=-+-⎰⎰⎰⎰⎰34134(-+-)2 223134ln ||.423x x x x C --=--++ ★(8)23(1dx x -+⎰思路:分项积分。
学习资料收集于网络,仅供参考1 1)1、求下列不定积分 1) dx 3) (x _2)2dx 5) 7)第四章不定积分xx23-52 ,dx3x (2ex 3)dx x2、求下列不定积分(第一换元法) 1)(3 _2x)3dx 3 5 7)xcos(x 2)dx9)sin x cos xdx11)2x2-113) sin 2xcos3xdx15)—X102arccosx17)—x3、求下列不定积分(第二换元法)dxx d x 2(A)2)4)6)8)dx2「 X2dx1 xcos2xJ 2 i2dx cos xsin x2)dx32 -3x4)dxx In xln(In x)6)8)dx x . x e e10) . ------------ 2dx 丁9 —4x 2 12)cos 3 xdx14) tan 3 xsecxdx16)3cos 2x 4sin218)册喻'dx *x(1+x)■2) sin - xdx-dx x学习资料收集于网络,仅供参考2x4)------------- dx, (a 0)、a - x4、求下列不定积分(分部积分法) 1) xSnxdx 2) arcs in xdx3)x 2 In xdx 4)_2x .x , e sin dx25) x 2 arcta nxdx 6) x 2cosxdx7)In 2xdx8)2 2xx cos dx25、求下列不定积分(有理函数积分)3,dx3)x(x 2 1)(B)1、一曲线通过点(e 2,3),且在任一点处的切线斜率等于该点的横坐标的倒数,线的方程。
132、 已知一个函数F (x)的导函数为 ----------- ,且当X = 1时函数值为,试求此函数。
U1—X 223、证明:若f (x)dx 二 F (x) • c ,贝U1f (ax b)dx F (ax b) c,(a = 0)。
asin x4、 设f (x)的一个原函数为 ,求xf (x)dx 。
第四章 不定积分(A)1、求下列不定积分1)⎰2x dx2)⎰x x dx 23)dx x ⎰-2)2( 4)dx xx ⎰+2215)⎰⋅-⋅dx x x x 32532 6)dx xx x⎰22sin cos 2cos7)dx x e x)32(⎰+8)dx x x x)11(2⎰-2、求下列不定积分(第一换元法)1)dx x ⎰-3)23( 2)⎰-332xdx3)dt tt ⎰sin 4)⎰)ln(ln ln x x x dx5)⎰xx dxsin cos 6)⎰-+x x e e dx7)dx x x )cos(2⎰ 8)dx x x ⎰-4313 9)dx xx⎰3cos sin 10)dx x x ⎰--2491 11)⎰-122x dx 12)dx x ⎰3cos13)⎰xdx x 3cos 2sin 14)⎰xdx x sec tan 315) dx x x ⎰+239 16)dx x x ⎰+22sin 4cos 3117)dx xx ⎰-2arccos 2110 18)dx x x x ⎰+)1(arctan3、求下列不定积分(第二换元法)1)dx xx⎰+211 2)dx x ⎰sin3)dx x x ⎰-42 4)⎰>-)0(,222a dx xa x5)⎰+32)1(x dx 6)⎰+xdx 217)⎰-+21xx dx 8)⎰-+211xdx4、求下列不定积分(分部积分法)1)inxdx xs ⎰ 2)⎰xdx arcsin3)⎰xdx x ln 24)dx xe x⎰-2sin 25)⎰xdx x arctan 2 6)⎰xdx x cos 27)⎰xdx 2ln 8)dx x x 2cos 22⎰5、求下列不定积分(有理函数积分)1)dx x x ⎰+332)⎰-++dx x x x 1033223)⎰+)1(2x x dx(B) 1、一曲线通过点)3,(2e ,且在任一点处的切线斜率等于该点的横坐标的倒数,求该曲线的方程。
2、已知一个函数)(x F 的导函数为211x -,且当1=x 时函数值为π23,试求此函数。
3、证明:若⎰+=c x F dx x f )()(,则 )0(,)(1)(≠++=+⎰a cb ax F adx b ax f 。
证明:由假设得)()(),()(b ax f b ax F x f x F +=+'∴=',故c b ax F adx b ax f b ax F b ax F a ++=+∴+'='+⎰)(1)(),(])(1[。
4、 设)(x f 的一个原函数为xxsin ,求⎰'dx x f x )(。
5、求下列不定积分1)dx x⎰2cos 22)dx x ⎰-2sin 13)⎰+dx x x211arctan4)dx xxx⎰+-11 5)⎰++))((2222b x a x dx6)dx x a x x ⎰-27)⎰+dx xxx ln 1ln 8)⎰+dx x xe x 232arctan )1((C)1、求以下积分1)⎰-dx e xe x x 12)⎰+xx dxsin 2)2sin(3)dx e e x x ⎰2arctan 4)dx x x ⎰+43515)dx x x x ⎰+-185 6)dx xx x x ⎰+cos sin cos sin第四章 不定积分 习 题 答 案(A)1、(1)c x+-1(2)c x +--2332(3)c x x x ++-423123(4)c x x +-arctan (5)c x x+--3ln 2ln )32(52 (6)c x x ++-)tan (cot (7)c x e x++ln 32 (8)c xx ++427)7(42、(1)c x +--4)23(81 (2)c x +--32)32(21(3)c t +-cos 2 (4)c x +ln ln ln (5)c x +tan ln (6)c e x+arctan(7)c x +)sin(212 (8)c x +--41ln 43(9)c x+2cos 21 (10)c x x +-+2494132arcsin 21 (11)c x x ++-1212ln221 (12)c xx +-3sin sin 3 (13)c x x +-5cos 101cos 21 (14)c x x +-sec sec 313 (15)c x x ++-)9ln(292122 (16)c +32arctan 321 (17)c x+-10ln 210arccos 2 (18)c x +2)(arctan 3、(1)c t t +-cot csc ln (2)c x x x +--)sincos (2(3)c xx +--)2arccos 24(tan22 (4)c x a ax a x a +--)(arcsin 22222(5)c xx ++21 (6)c x x ++-)21ln(2(7)c x x x +-++)1ln (arcsin 212 (8)c xx x +-+-211arcsin 4、(1)c x x x ++-sin cos (2)c x x x +-+21arcsin(3)c x x x +-3391ln 31 (4)c xx e x ++--)2sin 42(cos 1722 (5)c x x x x +++-)1ln(6161arctan 31223 (6)c x x x x x +-+sin 2cos 2sin 2(7)c x x x x x ++-2ln 2ln 2(8)c x x x x x x +-++sin cos sin 216123 5、(1)c x x x x ++-+-3ln 279233123 (2)c x x +++-5ln 2ln(3)c x x ++-)1ln(21ln 2(4) c x x x x +-+-+-arctan 21)1ln(411ln 21ln 2(5)c x x x x ++++++-312arctan 3311ln 2122(B)1、 设曲线)(x f y =,由导数的几何意义:x y 1=',c x dx x+=⎰ln 1,点)3,(2e 代入即可。
2、 设函数为)(x F ,由211)()(xx f x F -==',得C x dx x f x F +==⎰arcsin )()(,代入)23,1(π即可解出C 。
3、 由假设得)()(),()(b ax f b ax F x f x F +=+'∴=',故c b ax F adx b ax f b ax F b ax F a ++=+∴+'='+⎰)(1)(),(])(1[。
4、把)(x f '凑微分后用分部积分法。
5、(1)用倍角公式:2cos 12cos2xx += (2)注意0sin cos ≥-x x 或0sin cos <-x x 两种情况。
(3)利用)cot (11,cot 1arctan2x arc d dx x x arc x -=+=。
(4)先分子有理化,在分开作三角代换。
(5)化为部分分式之和后积分。
(6)可令t a x 2sin 2=。
(7)可令,sin )(2t a b a x -=-则t a b x b 2cos )(-=-。
(8)令t x =+ln 1。
(9)分部积分后移项,整理。
(10)凑xearctan 后分部积分,再移项,整理。
(11)令t x=2tan。
(12)变形为⎰-⋅--4)2(23x x x dx 后,令t x x =--23, 再由2211t x =--,两端微分得tdt dx x 2)2(12=-。
(C)1) 解:令1-=x e u ,则du uudx u x 2212),1ln(+=+= 所以原式du uu u u du u ⎰⎰+-+=+=222214)1ln(2)1ln(2 c u u u u ++-+=arctan 44)1ln(22c e e e x x x x +-+---=1arctan 414122)解:方法一:原式⎰⎰⎰==+=2cos 2tan )2(tan 412cos 2sin )2(41)cos 1(sin 223x x x d x x x d x x dx c x x x d x x++=+=⎰2tan ln 412tan 81)2(tan 2tan 2tan 14122 方法二:令t x=2tan方法三:变形为⎰+-)cos 1)(cos 1(2sin 2x x xdx,然后令u x =cos再化成部分分式积分。
3)解:原式)(arctan 212⎰--=xx e d e ])1()(arctan [21222⎰+--=-x x x xx e e e d e e(令u e x=)])1(arctan [21222⎰+--=-u u due ex x]1arctan [21222⎰⎰++--=-u du u du e e x x[]c e e e e x x x x +++-=--arctan arctan 2124)解:原式)](11)(11[31)(131********433x d x x d x x x d x x ⎰⎰⎰+-++=+=)]1()1()1()1([3134133433++-++=⎰⎰-x d x x d xc x x ++-+=433473)1(94)1(214 5)解:原式⎰⎰-++=+-=----2)()(2122222443x x x x d dx xx x x ,令22-+=x x u c u u u du ++-=-=⎰22ln 2412212 c x x x x ++++-=1212ln24124246)解:原式dx xx x x ⎰+-+=cos sin 11cos sin 221 dx xx dx x x x x ⎰⎰+-++=cos sin 121cos sin )cos (sin 212 ⎰++--=)4sin()4(221)cos (sin 21ππx x d x x⎰+-++-=)4(cos 1)4cos(221)cos (sin 212ππx x d x x )4cos(])4cos(11)4cos(11[241)cos (sin 21πππ+++++-+-=⎰x d x x x x c x x x x ++-+++-=)4cos(1)4cos(1ln 241)cos (sin 21ππ。